Spandidos Publications Logo
  • About
    • About Spandidos
    • Aims and Scopes
    • Abstracting and Indexing
    • Editorial Policies
    • Reprints and Permissions
    • Job Opportunities
    • Terms and Conditions
    • Contact
  • Journals
    • All Journals
    • Oncology Letters
      • Oncology Letters
      • Information for Authors
      • Editorial Policies
      • Editorial Board
      • Aims and Scope
      • Abstracting and Indexing
      • Bibliographic Information
      • Archive
    • International Journal of Oncology
      • International Journal of Oncology
      • Information for Authors
      • Editorial Policies
      • Editorial Board
      • Aims and Scope
      • Abstracting and Indexing
      • Bibliographic Information
      • Archive
    • Molecular and Clinical Oncology
      • Molecular and Clinical Oncology
      • Information for Authors
      • Editorial Policies
      • Editorial Board
      • Aims and Scope
      • Abstracting and Indexing
      • Bibliographic Information
      • Archive
    • Experimental and Therapeutic Medicine
      • Experimental and Therapeutic Medicine
      • Information for Authors
      • Editorial Policies
      • Editorial Board
      • Aims and Scope
      • Abstracting and Indexing
      • Bibliographic Information
      • Archive
    • International Journal of Molecular Medicine
      • International Journal of Molecular Medicine
      • Information for Authors
      • Editorial Policies
      • Editorial Board
      • Aims and Scope
      • Abstracting and Indexing
      • Bibliographic Information
      • Archive
    • Biomedical Reports
      • Biomedical Reports
      • Information for Authors
      • Editorial Policies
      • Editorial Board
      • Aims and Scope
      • Abstracting and Indexing
      • Bibliographic Information
      • Archive
    • Oncology Reports
      • Oncology Reports
      • Information for Authors
      • Editorial Policies
      • Editorial Board
      • Aims and Scope
      • Abstracting and Indexing
      • Bibliographic Information
      • Archive
    • Molecular Medicine Reports
      • Molecular Medicine Reports
      • Information for Authors
      • Editorial Policies
      • Editorial Board
      • Aims and Scope
      • Abstracting and Indexing
      • Bibliographic Information
      • Archive
    • World Academy of Sciences Journal
      • World Academy of Sciences Journal
      • Information for Authors
      • Editorial Policies
      • Editorial Board
      • Aims and Scope
      • Abstracting and Indexing
      • Bibliographic Information
      • Archive
    • International Journal of Functional Nutrition
      • International Journal of Functional Nutrition
      • Information for Authors
      • Editorial Policies
      • Editorial Board
      • Aims and Scope
      • Abstracting and Indexing
      • Bibliographic Information
      • Archive
    • International Journal of Epigenetics
      • International Journal of Epigenetics
      • Information for Authors
      • Editorial Policies
      • Editorial Board
      • Aims and Scope
      • Abstracting and Indexing
      • Bibliographic Information
      • Archive
    • Medicine International
      • Medicine International
      • Information for Authors
      • Editorial Policies
      • Editorial Board
      • Aims and Scope
      • Abstracting and Indexing
      • Bibliographic Information
      • Archive
  • Articles
  • Information
    • Information for Authors
    • Information for Reviewers
    • Information for Librarians
    • Information for Advertisers
    • Conferences
  • Language Editing
Spandidos Publications Logo
  • About
    • About Spandidos
    • Aims and Scopes
    • Abstracting and Indexing
    • Editorial Policies
    • Reprints and Permissions
    • Job Opportunities
    • Terms and Conditions
    • Contact
  • Journals
    • All Journals
    • Biomedical Reports
      • Information for Authors
      • Editorial Policies
      • Editorial Board
      • Aims and Scope
      • Abstracting and Indexing
      • Bibliographic Information
      • Archive
    • Experimental and Therapeutic Medicine
      • Information for Authors
      • Editorial Policies
      • Editorial Board
      • Aims and Scope
      • Abstracting and Indexing
      • Bibliographic Information
      • Archive
    • International Journal of Epigenetics
      • Information for Authors
      • Editorial Policies
      • Editorial Board
      • Aims and Scope
      • Abstracting and Indexing
      • Bibliographic Information
      • Archive
    • International Journal of Functional Nutrition
      • Information for Authors
      • Editorial Policies
      • Editorial Board
      • Aims and Scope
      • Abstracting and Indexing
      • Bibliographic Information
      • Archive
    • International Journal of Molecular Medicine
      • Information for Authors
      • Editorial Policies
      • Editorial Board
      • Aims and Scope
      • Abstracting and Indexing
      • Bibliographic Information
      • Archive
    • International Journal of Oncology
      • Information for Authors
      • Editorial Policies
      • Editorial Board
      • Aims and Scope
      • Abstracting and Indexing
      • Bibliographic Information
      • Archive
    • Medicine International
      • Information for Authors
      • Editorial Policies
      • Editorial Board
      • Aims and Scope
      • Abstracting and Indexing
      • Bibliographic Information
      • Archive
    • Molecular and Clinical Oncology
      • Information for Authors
      • Editorial Policies
      • Editorial Board
      • Aims and Scope
      • Abstracting and Indexing
      • Bibliographic Information
      • Archive
    • Molecular Medicine Reports
      • Information for Authors
      • Editorial Policies
      • Editorial Board
      • Aims and Scope
      • Abstracting and Indexing
      • Bibliographic Information
      • Archive
    • Oncology Letters
      • Information for Authors
      • Editorial Policies
      • Editorial Board
      • Aims and Scope
      • Abstracting and Indexing
      • Bibliographic Information
      • Archive
    • Oncology Reports
      • Information for Authors
      • Editorial Policies
      • Editorial Board
      • Aims and Scope
      • Abstracting and Indexing
      • Bibliographic Information
      • Archive
    • World Academy of Sciences Journal
      • Information for Authors
      • Editorial Policies
      • Editorial Board
      • Aims and Scope
      • Abstracting and Indexing
      • Bibliographic Information
      • Archive
  • Articles
  • Information
    • For Authors
    • For Reviewers
    • For Librarians
    • For Advertisers
    • Conferences
  • Language Editing
Login Register Submit
  • This site uses cookies
  • You can change your cookie settings at any time by following the instructions in our Cookie Policy. To find out more, you may read our Privacy Policy.

    I agree
Search articles by DOI, keyword, author or affiliation
Search
Advanced Search
presentation
Oncology Letters
Join Editorial Board Propose a Special Issue
Print ISSN: 1792-1074 Online ISSN: 1792-1082
Journal Cover
October-2023 Volume 26 Issue 4

Full Size Image

Sign up for eToc alerts
Recommend to Library

Journals

International Journal of Molecular Medicine

International Journal of Molecular Medicine

International Journal of Molecular Medicine is an international journal devoted to molecular mechanisms of human disease.

International Journal of Oncology

International Journal of Oncology

International Journal of Oncology is an international journal devoted to oncology research and cancer treatment.

Molecular Medicine Reports

Molecular Medicine Reports

Covers molecular medicine topics such as pharmacology, pathology, genetics, neuroscience, infectious diseases, molecular cardiology, and molecular surgery.

Oncology Reports

Oncology Reports

Oncology Reports is an international journal devoted to fundamental and applied research in Oncology.

Experimental and Therapeutic Medicine

Experimental and Therapeutic Medicine

Experimental and Therapeutic Medicine is an international journal devoted to laboratory and clinical medicine.

Oncology Letters

Oncology Letters

Oncology Letters is an international journal devoted to Experimental and Clinical Oncology.

Biomedical Reports

Biomedical Reports

Explores a wide range of biological and medical fields, including pharmacology, genetics, microbiology, neuroscience, and molecular cardiology.

Molecular and Clinical Oncology

Molecular and Clinical Oncology

International journal addressing all aspects of oncology research, from tumorigenesis and oncogenes to chemotherapy and metastasis.

World Academy of Sciences Journal

World Academy of Sciences Journal

Multidisciplinary open-access journal spanning biochemistry, genetics, neuroscience, environmental health, and synthetic biology.

International Journal of Functional Nutrition

International Journal of Functional Nutrition

Open-access journal combining biochemistry, pharmacology, immunology, and genetics to advance health through functional nutrition.

International Journal of Epigenetics

International Journal of Epigenetics

Publishes open-access research on using epigenetics to advance understanding and treatment of human disease.

Medicine International

Medicine International

An International Open Access Journal Devoted to General Medicine.

Journal Cover
October-2023 Volume 26 Issue 4

Full Size Image

Sign up for eToc alerts
Recommend to Library

  • Article
  • Citations
    • Cite This Article
    • Download Citation
    • Create Citation Alert
    • Remove Citation Alert
    • Cited By
  • Similar Articles
    • Related Articles (in Spandidos Publications)
    • Similar Articles (Google Scholar)
    • Similar Articles (PubMed)
  • Download PDF
  • Download XML
  • View XML
Article Open Access

Comprehensive analysis of ACKR family members in breast cancer using prognostic values

  • Authors:
    • Lixian Yang
    • Shiyu Zhang
    • Pengpeng Pu
  • View Affiliations / Copyright

    Affiliations: Department of Breast Surgery, Xingtai People's Hospital, Xingtai, Hebei 054000, P.R. China
    Copyright: © Yang et al. This is an open access article distributed under the terms of Creative Commons Attribution License.
  • Article Number: 425
    |
    Published online on: August 14, 2023
       https://doi.org/10.3892/ol.2023.14011
  • Expand metrics +
Metrics: Total Views: 0 (Spandidos Publications: | PMC Statistics: )
Metrics: Total PDF Downloads: 0 (Spandidos Publications: | PMC Statistics: )
Cited By (CrossRef): 0 citations Loading Articles...

This article is mentioned in:



Abstract

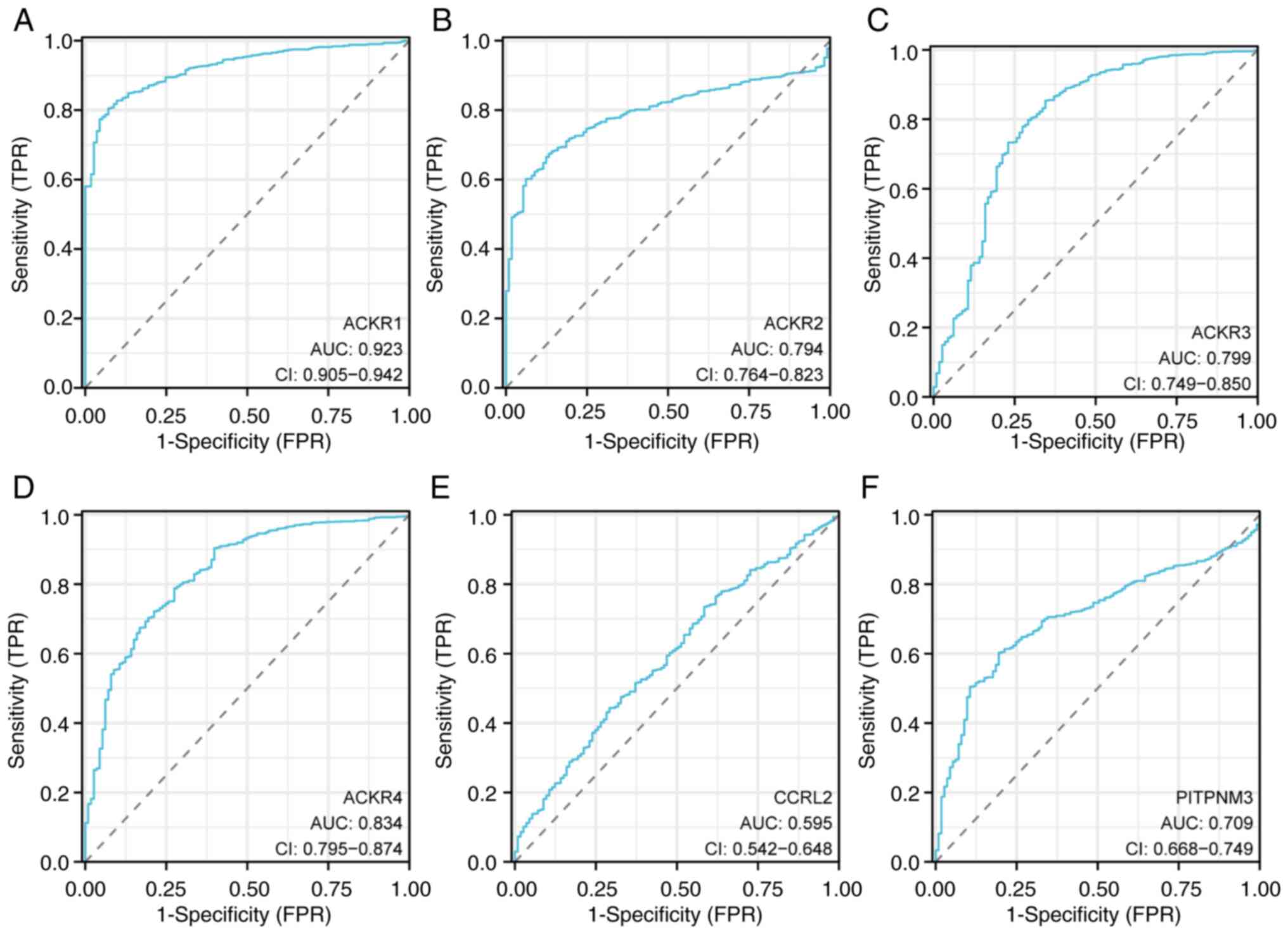
Breast cancer (BC) is by far the most prevalent malignancy found in the female population. Atypical chemokine receptors (ACKRs) are a subclass of G‑protein‑coupled receptors, which are characterized by disrupted ligand binding and a breakdown of signaling following ligand binding. The evolution and function of multiple ACKRs in BC have yet to be fully elucidated, although certain findings on this family have been reported in several studies in Homo sapiens and other species. The present study identified that the expression level of ACKRs was significantly lower in breast carcinoma (BRCA) tissues compared with normal breast tissues through searches of the Tumor Immune Estimation Resource, UALCAN and Gene Expression Profiling Interactive Analysis databases. Additionally, when comparing BRCA tissues with normal breast tissues, it was found that there was obvious hypomethylation in the promoters of ACKR1, ACKR3 and ACKR5, as well as a marked hypermethylation in the promoters of ACKR2 and ACKR6. In determining the prognosis of patients with BRCA, the expression levels of ACKR1, ACKR2, ACKR3, ACKR4 and ACKR6 were all found to be important factors. The values for distant metastasis‑free survival (DMFS), overall survival (OS) and recurrence‑free survival (RFS) were all found to be lower in patients with BRCA who had a low expression level of ACKR1. In addition, the RFS rates for patients with BRCA were lower when the expression of ACKR2 was low, and worse values for DMFS, OS and RFS were found to be highly correlated with higher expression levels of ACKR3. Moreover, the DMFS, OS, RFS and predictive power score values were worse in those patients with low ACKR4 expression, and the RFS values for patients with BRCA were also found to be lower when the expression level of ACKR6 was low. Additionally, dendritic cells, macrophages, neutrophils, T cells with CD4+ status, T cells with CD8+ status and B cells were all substantially linked with ACKR expression, as well as immune cell infiltration. Taken together, the findings of the present study may offer a theoretical foundation for the creation of novel targets and prognostic indicators for BRCA therapy.
View Figures

Figure 1

Figure 2

Figure 3

Figure 4

Figure 5

Figure 6

Figure 7

Figure 8

Figure 9

Figure 10

Figure 11

Figure 12

View References

1 

Sung H, Ferlay J, Siegel RL, Laversanne M, Soerjomataram I, Jemal A and Bray F: Global cancer statistics 2020: GLOBOCAN estimates of incidence and mortality worldwide for 36 cancers in 185 countries. CA Cancer J Clin. 71:209–249. 2021. View Article : Google Scholar : PubMed/NCBI

2 

Stephens PJ, Tarpey PS, Davies H, Van Loo P, Greenman C, Wedge DC, Nik-Zainal S, Martin S, Varela I, Bignell GR, et al: The landscape of cancer genes and mutational processes in breast cancer. Nature. 486:400–404. 2012. View Article : Google Scholar : PubMed/NCBI

3 

Saad ED, Squifflet P, Burzykowski T, Quinaux E, Delaloge S, Mavroudis D, Perez E, Piccart-Gebhart M, Schneider BP, Slamon D, et al: Disease-free survival as a surrogate for overall survival in patients with HER2-positive, early breast cancer in trials of adjuvant trastuzumab for up to 1 year: A systematic review and meta-analysis. Lancet Oncol. 20:361–370. 2019. View Article : Google Scholar : PubMed/NCBI

4 

Nik-Zainal S, Alexandrov LB, Wedge DC, Van Loo P, Greenman CD, Raine K, Jones D, Hinton J, Marshall J, Stebbings LA, et al: Mutational processes molding the genomes of 21 breast cancers. Cell. 149:979–993. 2012. View Article : Google Scholar : PubMed/NCBI

5 

Lischka A, Doberstein N, Freitag-Wolf S, Koçak A, Gemoll T, Heselmeyer-Haddad K, Ried T, Auer G and Habermann JK: Genome instability profiles predict disease outcome in a cohort of 4,003 patients with breast cancer. Clin Cancer Res. 26:4606–4615. 2020. View Article : Google Scholar : PubMed/NCBI

6 

Aushev VN, Lee E, Zhu J, Gopalakrishnan K, Li Q, Teitelbaum SL, Wetmur J, Degli Esposti D, Hernandez-Vargas H, Herceg Z, et al: Novel predictors of breast cancer survival derived from miRNA activity analysis. Clin Cancer Res. 24:581–591. 2018. View Article : Google Scholar : PubMed/NCBI

7 

Shachar SS, Deal AM, Weinberg M, Williams GR, Nyrop KA, Popuri K, Choi SK and Muss HB: Body composition as a predictor of toxicity in patients receiving anthracycline and taxane-based chemotherapy for early-stage breast cancer. Clin Cancer Res. 23:3537–3543. 2017. View Article : Google Scholar : PubMed/NCBI

8 

Duraker N, Hot S, Akan A and Nayır PÖ: A comparison of the clinicopathological features, metastasis sites and survival outcomes of invasive lobular, invasive ductal and mixed invasive ductal and lobular breast carcinoma. Eur J Breast Health. 16:22–31. 2020. View Article : Google Scholar : PubMed/NCBI

9 

Lobbezoo DJA, van Kampen RJ, Voogd AC, Dercksen MW, van den Berkmortel F, Smilde TJ, van de Wouw AJ, Peters FP, van Riel JM, Peters NA, et al: Prognosis of metastatic breast cancer subtypes: The hormone receptor/HER2-positive subtype is associated with the most favorable outcome. Breast Cancer Res Treat. 141:507–514. 2013. View Article : Google Scholar : PubMed/NCBI

10 

Yang J: Lack of robust prognostic biomarkers for immunotherapy in breast cancer-adverse events. JAMA Oncol. 5:1639–1640. 2019. View Article : Google Scholar : PubMed/NCBI

11 

Lokeshwar BL, Kallifatidis G and Hoy JJ: Atypical chemokine receptors in tumor cell growth and metastasis. Adv Cancer Res. 145:1–27. 2020. View Article : Google Scholar : PubMed/NCBI

12 

Griffith JW, Sokol CL and Luster AD: Chemokines and chemokine receptors: Positioning cells for host defense and immunity. Annu Rev Immunol. 32:659–702. 2014. View Article : Google Scholar : PubMed/NCBI

13 

Li XX, Lee JD, Kemper C and Woodruff TM: The complement receptor C5aR2: A powerful modulator of innate and adaptive immunity. J Immunol. 202:3339–3348. 2019. View Article : Google Scholar : PubMed/NCBI

14 

Nagarsheth N, Wicha MS and Zou W: Chemokines in the cancer microenvironment and their relevance in cancer immunotherapy. Nat Rev Immunol. 17:559–572. 2017. View Article : Google Scholar : PubMed/NCBI

15 

Xu S, Tang J, Wang C, Liu J, Fu Y and Luo Y: CXCR7 promotes melanoma tumorigenesis via Src kinase signaling. Cell Death Dis. 10:1912019. View Article : Google Scholar : PubMed/NCBI

16 

Sjöberg E, Meyrath M, Milde L, Herrera M, Lövrot J, Hägerstrand D, Frings O, Bartish M, Rolny C, Sonnhammer E, et al: A novel ACKR2-dependent role of fibroblast-derived CXCL14 in epithelial-to-mesenchymal transition and metastasis of breast cancer. Clin Cancer Res. 25:3702–3717. 2019. View Article : Google Scholar : PubMed/NCBI

17 

Whyte CE, Osman M, Kara EE, Abbott C, Foeng J, McKenzie DR, Fenix KA, Harata-Lee Y, Foyle KL, Boyle ST, et al: ACKR4 restrains antitumor immunity by regulating CCL21. J Exp Med. 217:e201906342020. View Article : Google Scholar : PubMed/NCBI

18 

Del Prete A, Martínez-Muñoz L, Mazzon C, Toffali L, Sozio F, Za L, Bosisio D, Gazzurelli L, Salvi V, Tiberio L, et al: The atypical receptor CCRL2 is required for CXCR2-dependent neutrophil recruitment and tissue damage. Blood. 130:1223–1234. 2017. View Article : Google Scholar : PubMed/NCBI

19 

Lin Z, Li W, Zhang H, Wu W, Peng Y, Zeng Y, Wan Y, Wang J and Ouyang N: CCL18/PITPNM3 enhances migration, invasion, and EMT through the NF-κB signaling pathway in hepatocellular carcinoma. Tumour Biol. 37:3461–3468. 2016. View Article : Google Scholar : PubMed/NCBI

20 

Le Mercier A, Bonnavion R, Yu W, Alnouri MW, Ramas S, Zhang Y, Jäger Y, Roquid KA, Jeong HW, Sivaraj KK, et al: GPR182 is an endothelium-specific atypical chemokine receptor that maintains hematopoietic stem cell homeostasis. Proc Natl Acad Sci USA. 118:e20215961182021. View Article : Google Scholar : PubMed/NCBI

21 

Yin W, Li Y, Song Y, Zhang J, Wu C, Chen Y, Miao Y, Lin C, Lin Y, Yan D, et al: CCRL2 promotes antitumor T-cell immunity via amplifying TLR4-mediated immunostimulatory macrophage activation. Proc Natl Acad Sci USA. 118:e20241711182021. View Article : Google Scholar : PubMed/NCBI

22 

Chandrashekar DS, Bashel B, Balasubramanya SAH, Creighton CJ, Ponce-Rodriguez I, Chakravarthi BVSK and Varambally S: UALCAN: A portal for facilitating tumor subgroup gene expression and survival analyses. Neoplasia. 19:649–658. 2017. View Article : Google Scholar : PubMed/NCBI

23 

Chandrashekar DS, Karthikeyan SK, Korla PK, Patel H, Shovon AR, Athar M, Netto GJ, Qin ZS, Kumar S, Manne U, et al: UALCAN: An update to the integrated cancer data analysis platform. Neoplasia. 25:18–27. 2022. View Article : Google Scholar : PubMed/NCBI

24 

Livak KJ and Schmittgen TD: Analysis of relative gene expression data using real-time quantitative PCR and the 2(−Delta Delta C(T)) method. Methods. 25:402–408. 2001. View Article : Google Scholar : PubMed/NCBI

25 

Li T, Fan J, Wang B, Traugh N, Chen Q, Liu JS, Li B and Liu XS: TIMER: A web server for comprehensive analysis of tumor-infiltrating immune cells. Cancer Res. 77:e108–e110. 2017. View Article : Google Scholar : PubMed/NCBI

26 

Tang Z, Li C, Kang B, Gao G, Li C and Zhang Z: GEPIA: A web server for cancer and normal gene expression profiling and interactive analyses. Nucleic Acids Res. 45((W1)): W98–W102. 2017. View Article : Google Scholar : PubMed/NCBI

27 

Gao J, Aksoy BA, Dogrusoz U, Dresdner G, Gross B, Sumer SO, Sun Y, Jacobsen A, Sinha R, Larsson E, et al: Integrative analysis of complex cancer genomics and clinical profiles using the cBioPortal. Sci Signal. 6:pl12013. View Article : Google Scholar : PubMed/NCBI

28 

Bachelerie F, Ben-Baruch A, Burkhardt AM, Combadiere C, Farber JM, Graham GJ, Horuk R, Sparre-Ulrich AH, Locati M, Luster AD, et al: International union of basic and clinical pharmacology. [corrected]. LXXXIX. Update on the extended family of chemokine receptors and introducing a new nomenclature for atypical chemokine receptors. Pharmacol Rev. 66:1–79. 2013. View Article : Google Scholar : PubMed/NCBI

29 

Xiao Y and Yu D: Tumor microenvironment as a therapeutic target in cancer. Pharmacol Ther. 221:1077532021. View Article : Google Scholar : PubMed/NCBI

30 

Wan W, Liu Q, Lionakis MS, Marino AP, Anderson SA, Swamydas M and Murphy PM: Atypical chemokine receptor 1 deficiency reduces atherogenesis in ApoE-knockout mice. Cardiovasc Res. 106:478–487. 2015. View Article : Google Scholar : PubMed/NCBI

31 

Duchene J, Novitzky-Basso I, Thiriot A, Casanova-Acebes M, Bianchini M, Etheridge SL, Hub E, Nitz K, Artinger K, Eller K, et al: Atypical chemokine receptor 1 on nucleated erythroid cells regulates hematopoiesis. Nat Immunol. 18:753–761. 2017. View Article : Google Scholar : PubMed/NCBI

32 

Graham GJ: D6/ACKR2. Front Immunol. 6:2802015. View Article : Google Scholar : PubMed/NCBI

33 

Hansell CAH, Fraser AR, Hayes AJ, Pingen M, Burt CL, Lee KM, Medina-Ruiz L, Brownlie D, Macleod MKL, Burgoyne P, et al: The atypical chemokine receptor Ackr2 constrains NK cell migratory activity and promotes metastasis. J Immunol. 201:2510–2519. 2018. View Article : Google Scholar : PubMed/NCBI

34 

Massara M, Bonavita O, Savino B, Caronni N, Mollica Poeta V, Sironi M, Setten E, Recordati C, Crisafulli L, Ficara F, et al: ACKR2 in hematopoietic precursors as a checkpoint of neutrophil release and anti-metastatic activity. Nat Commun. 9:6762018. View Article : Google Scholar : PubMed/NCBI

35 

Behnam Azad B, Lisok A, Chatterjee S, Poirier JT, Pullambhatla M, Luker GD, Pomper MG and Nimmagadda S: Targeted imaging of the atypical chemokine receptor 3 (ACKR3/CXCR7) in human cancer xenografts. J Nucl Med. 57:981–988. 2016. View Article : Google Scholar : PubMed/NCBI

36 

Neves M, Fumagalli A, van den Bor J, Marin P, Smit MJ and Mayor F: The role of ACKR3 in breast, lung, and brain cancer. Mol Pharmacol. 96:819–825. 2019. View Article : Google Scholar : PubMed/NCBI

37 

Smit MJ, Schlecht-Louf G, Neves M, van den Bor J, Penela P, Siderius M, Bachelerie F and Mayor F Jr: The CXCL12/CXCR4/ACKR3 axis in the tumor microenvironment: Signaling, crosstalk, and therapeutic targeting. Annu Rev Pharmacol Toxicol. 61:541–563. 2021. View Article : Google Scholar : PubMed/NCBI

38 

Ngambenjawong C, Gustafson HH and Pun SH: Progress in tumor-associated macrophage (TAM)-targeted therapeutics. Adv Drug Deliv Rev. 114:206–221. 2017. View Article : Google Scholar : PubMed/NCBI

39 

Wu T and Dai Y: Tumor microenvironment and therapeutic response. Cancer Lett. 387:61–68. 2017. View Article : Google Scholar : PubMed/NCBI

40 

Vitale I, Manic G, Coussens LM, Kroemer G and Galluzzi L: Macrophages and metabolism in the tumor microenvironment. Cell Metab. 30:36–50. 2019. View Article : Google Scholar : PubMed/NCBI

Related Articles

  • Abstract
  • View
  • Download
  • Twitter
Copy and paste a formatted citation
Spandidos Publications style
Yang L, Zhang S and Pu P: Comprehensive analysis of ACKR family members in breast cancer using prognostic values. Oncol Lett 26: 425, 2023.
APA
Yang, L., Zhang, S., & Pu, P. (2023). Comprehensive analysis of ACKR family members in breast cancer using prognostic values. Oncology Letters, 26, 425. https://doi.org/10.3892/ol.2023.14011
MLA
Yang, L., Zhang, S., Pu, P."Comprehensive analysis of ACKR family members in breast cancer using prognostic values". Oncology Letters 26.4 (2023): 425.
Chicago
Yang, L., Zhang, S., Pu, P."Comprehensive analysis of ACKR family members in breast cancer using prognostic values". Oncology Letters 26, no. 4 (2023): 425. https://doi.org/10.3892/ol.2023.14011
Copy and paste a formatted citation
x
Spandidos Publications style
Yang L, Zhang S and Pu P: Comprehensive analysis of ACKR family members in breast cancer using prognostic values. Oncol Lett 26: 425, 2023.
APA
Yang, L., Zhang, S., & Pu, P. (2023). Comprehensive analysis of ACKR family members in breast cancer using prognostic values. Oncology Letters, 26, 425. https://doi.org/10.3892/ol.2023.14011
MLA
Yang, L., Zhang, S., Pu, P."Comprehensive analysis of ACKR family members in breast cancer using prognostic values". Oncology Letters 26.4 (2023): 425.
Chicago
Yang, L., Zhang, S., Pu, P."Comprehensive analysis of ACKR family members in breast cancer using prognostic values". Oncology Letters 26, no. 4 (2023): 425. https://doi.org/10.3892/ol.2023.14011
Follow us
  • Twitter
  • LinkedIn
  • Facebook
About
  • Spandidos Publications
  • Careers
  • Cookie Policy
  • Privacy Policy
How can we help?
  • Help
  • Live Chat
  • Contact
  • Email to our Support Team