Spandidos Publications Logo
  • About
    • About Spandidos
    • Aims and Scopes
    • Abstracting and Indexing
    • Editorial Policies
    • Reprints and Permissions
    • Job Opportunities
    • Terms and Conditions
    • Contact
  • Journals
    • All Journals
    • Oncology Letters
      • Oncology Letters
      • Information for Authors
      • Editorial Policies
      • Editorial Board
      • Aims and Scope
      • Abstracting and Indexing
      • Bibliographic Information
      • Archive
    • International Journal of Oncology
      • International Journal of Oncology
      • Information for Authors
      • Editorial Policies
      • Editorial Board
      • Aims and Scope
      • Abstracting and Indexing
      • Bibliographic Information
      • Archive
    • Molecular and Clinical Oncology
      • Molecular and Clinical Oncology
      • Information for Authors
      • Editorial Policies
      • Editorial Board
      • Aims and Scope
      • Abstracting and Indexing
      • Bibliographic Information
      • Archive
    • Experimental and Therapeutic Medicine
      • Experimental and Therapeutic Medicine
      • Information for Authors
      • Editorial Policies
      • Editorial Board
      • Aims and Scope
      • Abstracting and Indexing
      • Bibliographic Information
      • Archive
    • International Journal of Molecular Medicine
      • International Journal of Molecular Medicine
      • Information for Authors
      • Editorial Policies
      • Editorial Board
      • Aims and Scope
      • Abstracting and Indexing
      • Bibliographic Information
      • Archive
    • Biomedical Reports
      • Biomedical Reports
      • Information for Authors
      • Editorial Policies
      • Editorial Board
      • Aims and Scope
      • Abstracting and Indexing
      • Bibliographic Information
      • Archive
    • Oncology Reports
      • Oncology Reports
      • Information for Authors
      • Editorial Policies
      • Editorial Board
      • Aims and Scope
      • Abstracting and Indexing
      • Bibliographic Information
      • Archive
    • Molecular Medicine Reports
      • Molecular Medicine Reports
      • Information for Authors
      • Editorial Policies
      • Editorial Board
      • Aims and Scope
      • Abstracting and Indexing
      • Bibliographic Information
      • Archive
    • World Academy of Sciences Journal
      • World Academy of Sciences Journal
      • Information for Authors
      • Editorial Policies
      • Editorial Board
      • Aims and Scope
      • Abstracting and Indexing
      • Bibliographic Information
      • Archive
    • International Journal of Functional Nutrition
      • International Journal of Functional Nutrition
      • Information for Authors
      • Editorial Policies
      • Editorial Board
      • Aims and Scope
      • Abstracting and Indexing
      • Bibliographic Information
      • Archive
    • International Journal of Epigenetics
      • International Journal of Epigenetics
      • Information for Authors
      • Editorial Policies
      • Editorial Board
      • Aims and Scope
      • Abstracting and Indexing
      • Bibliographic Information
      • Archive
    • Medicine International
      • Medicine International
      • Information for Authors
      • Editorial Policies
      • Editorial Board
      • Aims and Scope
      • Abstracting and Indexing
      • Bibliographic Information
      • Archive
  • Articles
  • Information
    • Information for Authors
    • Information for Reviewers
    • Information for Librarians
    • Information for Advertisers
    • Conferences
  • Language Editing
Spandidos Publications Logo
  • About
    • About Spandidos
    • Aims and Scopes
    • Abstracting and Indexing
    • Editorial Policies
    • Reprints and Permissions
    • Job Opportunities
    • Terms and Conditions
    • Contact
  • Journals
    • All Journals
    • Biomedical Reports
      • Information for Authors
      • Editorial Policies
      • Editorial Board
      • Aims and Scope
      • Abstracting and Indexing
      • Bibliographic Information
      • Archive
    • Experimental and Therapeutic Medicine
      • Information for Authors
      • Editorial Policies
      • Editorial Board
      • Aims and Scope
      • Abstracting and Indexing
      • Bibliographic Information
      • Archive
    • International Journal of Epigenetics
      • Information for Authors
      • Editorial Policies
      • Editorial Board
      • Aims and Scope
      • Abstracting and Indexing
      • Bibliographic Information
      • Archive
    • International Journal of Functional Nutrition
      • Information for Authors
      • Editorial Policies
      • Editorial Board
      • Aims and Scope
      • Abstracting and Indexing
      • Bibliographic Information
      • Archive
    • International Journal of Molecular Medicine
      • Information for Authors
      • Editorial Policies
      • Editorial Board
      • Aims and Scope
      • Abstracting and Indexing
      • Bibliographic Information
      • Archive
    • International Journal of Oncology
      • Information for Authors
      • Editorial Policies
      • Editorial Board
      • Aims and Scope
      • Abstracting and Indexing
      • Bibliographic Information
      • Archive
    • Medicine International
      • Information for Authors
      • Editorial Policies
      • Editorial Board
      • Aims and Scope
      • Abstracting and Indexing
      • Bibliographic Information
      • Archive
    • Molecular and Clinical Oncology
      • Information for Authors
      • Editorial Policies
      • Editorial Board
      • Aims and Scope
      • Abstracting and Indexing
      • Bibliographic Information
      • Archive
    • Molecular Medicine Reports
      • Information for Authors
      • Editorial Policies
      • Editorial Board
      • Aims and Scope
      • Abstracting and Indexing
      • Bibliographic Information
      • Archive
    • Oncology Letters
      • Information for Authors
      • Editorial Policies
      • Editorial Board
      • Aims and Scope
      • Abstracting and Indexing
      • Bibliographic Information
      • Archive
    • Oncology Reports
      • Information for Authors
      • Editorial Policies
      • Editorial Board
      • Aims and Scope
      • Abstracting and Indexing
      • Bibliographic Information
      • Archive
    • World Academy of Sciences Journal
      • Information for Authors
      • Editorial Policies
      • Editorial Board
      • Aims and Scope
      • Abstracting and Indexing
      • Bibliographic Information
      • Archive
  • Articles
  • Information
    • For Authors
    • For Reviewers
    • For Librarians
    • For Advertisers
    • Conferences
  • Language Editing
Login Register Submit
  • This site uses cookies
  • You can change your cookie settings at any time by following the instructions in our Cookie Policy. To find out more, you may read our Privacy Policy.

    I agree
Search articles by DOI, keyword, author or affiliation
Search
Advanced Search
presentation
Oncology Letters
Join Editorial Board Propose a Special Issue
Print ISSN: 1792-1074 Online ISSN: 1792-1082
Journal Cover
October-2023 Volume 26 Issue 4

Full Size Image

Sign up for eToc alerts
Recommend to Library

Journals

International Journal of Molecular Medicine

International Journal of Molecular Medicine

International Journal of Molecular Medicine is an international journal devoted to molecular mechanisms of human disease.

International Journal of Oncology

International Journal of Oncology

International Journal of Oncology is an international journal devoted to oncology research and cancer treatment.

Molecular Medicine Reports

Molecular Medicine Reports

Covers molecular medicine topics such as pharmacology, pathology, genetics, neuroscience, infectious diseases, molecular cardiology, and molecular surgery.

Oncology Reports

Oncology Reports

Oncology Reports is an international journal devoted to fundamental and applied research in Oncology.

Experimental and Therapeutic Medicine

Experimental and Therapeutic Medicine

Experimental and Therapeutic Medicine is an international journal devoted to laboratory and clinical medicine.

Oncology Letters

Oncology Letters

Oncology Letters is an international journal devoted to Experimental and Clinical Oncology.

Biomedical Reports

Biomedical Reports

Explores a wide range of biological and medical fields, including pharmacology, genetics, microbiology, neuroscience, and molecular cardiology.

Molecular and Clinical Oncology

Molecular and Clinical Oncology

International journal addressing all aspects of oncology research, from tumorigenesis and oncogenes to chemotherapy and metastasis.

World Academy of Sciences Journal

World Academy of Sciences Journal

Multidisciplinary open-access journal spanning biochemistry, genetics, neuroscience, environmental health, and synthetic biology.

International Journal of Functional Nutrition

International Journal of Functional Nutrition

Open-access journal combining biochemistry, pharmacology, immunology, and genetics to advance health through functional nutrition.

International Journal of Epigenetics

International Journal of Epigenetics

Publishes open-access research on using epigenetics to advance understanding and treatment of human disease.

Medicine International

Medicine International

An International Open Access Journal Devoted to General Medicine.

Journal Cover
October-2023 Volume 26 Issue 4

Full Size Image

Sign up for eToc alerts
Recommend to Library

  • Article
  • Citations
    • Cite This Article
    • Download Citation
    • Create Citation Alert
    • Remove Citation Alert
    • Cited By
  • Similar Articles
    • Related Articles (in Spandidos Publications)
    • Similar Articles (Google Scholar)
    • Similar Articles (PubMed)
  • Download PDF
  • Download XML
  • View XML
Article Open Access

Prognostic value of nutritional and inflammatory markers in patients with hepatocellular carcinoma who receive immune checkpoint inhibitors

  • Authors:
    • Chunxun Liu
    • Haoran Zhao
    • Rujia Zhang
    • Zuoming Guo
    • Peng Wang
    • Zhaowei Qu
  • View Affiliations / Copyright

    Affiliations: Department of Hepatobiliary and Pancreatic Surgery, Harbin Medical University Cancer Hospital, Harbin Medical University, Harbin, Heilongjiang 150081, P.R. China, Department of Hepatobiliary and Pancreatic Surgery, Harbin Medical University Cancer Hospital, Harbin Medical University, Harbin, Heilongjiang 150081, P.R. China, Department of Operating Room, The Second Affiliated Hospital of Harbin Medical University, Harbin Medical University, Harbin, Heilongjiang 150086, P.R. China
    Copyright: © Liu et al. This is an open access article distributed under the terms of Creative Commons Attribution License.
  • Article Number: 437
    |
    Published online on: August 23, 2023
       https://doi.org/10.3892/ol.2023.14024
  • Expand metrics +
Metrics: Total Views: 0 (Spandidos Publications: | PMC Statistics: )
Metrics: Total PDF Downloads: 0 (Spandidos Publications: | PMC Statistics: )
Cited By (CrossRef): 0 citations Loading Articles...

This article is mentioned in:



Abstract

The emergence of immune checkpoint inhibitors (ICIs) has provided a new treatment option for patients with hepatocellular carcinoma (HCC). However, further evaluation is needed for determining biomarkers for the use of ICIs. The present study evaluated the prognostic value of certain nutritional and inflammatory markers in patients with HCC who received ICIs. In the present study, the clinical data of 151 patients with HCC who received ICIs at Harbin Medical University Cancer Hospital from January 2019 to December 2021 were collected. The blood parameters of all patients before treatment were collected to evaluate certain nutritional and inflammatory markers, including the prognostic nutrition index (PNI), nutritional risk index (NRI), geriatric NRI (GNRI), systemic immune‑inflammation index (SII), systemic inflammation response index (SIRI) and advanced lung cancer inflammation index (ALI). Patients were grouped using the cut‑off value calculated using receiver operating characteristic (ROC) curves, and the relationship between these biomarkers and prognosis was evaluated through survival analysis. Furthermore, the prognostic value of these biomarkers was assessed through multivariate Cox regression analysis and construction of nomograms. Finally, time‑ROC curves were plotted to compare the differences in predicting prognosis between the biomarkers. In the preliminary survival analysis, all inflammatory and nutritional markers included in the present study were significantly associated with the prognosis of HCC in patients who received ICIs. Similar results were obtained in a subgroup analysis of patients with different Barcelona Clinic Liver Cancer (BCLC) stages. Multivariate Cox regression analysis demonstrated that GNRI, PNI, BCLC stage and Tumor‑Node‑Metastasis (TNM) stage were significantly associated with progression‑free survival (PFS), whereas GNRI, BCLC stage and TNM stage were also significantly associated with overall survival (OS). Furthermore, the time‑ROC curves indicated that nutritional indicators had a higher prognostic value in all indexes, especially GNRI. The C‑index (95% confidence interval) of the nomograms for predicting the survival probability of patients who received ICIs were 0.801 (0.746‑0.877) and 0.823 (0.761‑0.898) for PFS and overall OS, respectively, which also showed high accuracy. In conclusion, the present study demonstrated that PNI, GNRI, NRI, SII, SIRI and ALI were all related to the efficacy of ICIs in HCC and could serve as non‑invasive biomarkers for ICI treatment effectiveness. Moreover, compared with inflammatory markers, nutritional markers had greater predictive ability, with GNRI being the biomarker with the best prognostic value.

Introduction

Hepatocellular carcinoma (HCC) is a common type of cancer originating from liver cells, typically occurring in patients with liver cirrhosis or chronic hepatitis (1). HCC is a significant global burden and is ranked as the sixth most common cancer and the fourth leading cause of cancer-related death worldwide (2). The primary risk factors for HCC include viral hepatitis, liver cirrhosis, alcohol abuse and non-alcoholic fatty liver disease (3). The early diagnosis of HCC is difficult as symptoms such as jaundice, abdominal pain and weight loss are not always apparent until the advanced stages of the disease. As a result, the treatment of HCC remains a challenge, despite the availability of certain treatment modalities, such as surgical resection, liver transplantation, chemotherapy and radiation therapy (4). Surgery is the primary treatment modality for HCC; however, for patients with a high risk of postoperative recurrence, such as those with larger tumor volumes (diameter >5 cm), multiple tumor nodules, the presence of satellite lesions, elevated preoperative α-fetoprotein levels and active chronic viral hepatitis, adjuvant therapy can be considered after curative resection. Adjuvant therapy commonly used for patients with HCC includes targeted therapy and immunotherapy (5).

Immune checkpoint inhibitors (ICIs) are a novel class of cancer treatment drugs that restore the ability of T cells to attack tumor cells by blocking inhibitory signaling molecules, such as cytotoxic T-lymphocyte-associated protein 4 (CTLA-4) and programmed cell death protein 1 (PD-1)/PD ligand 1 (PD-L1), on the surface of T cells (6–8). ICIs have been reported to be effective in treating certain solid tumors, including HCC (9–11). Previous studies have also reported that ICIs may improve treatment efficacy and the survival rate of patients with HCC (12,13). However, the application of ICIs also presents certain challenges, including adverse reactions and treatment resistance in some patients. Studies focusing on ICIs have shown that the objective response rates (ORR) for nivolumab and pembrolizumab are only 20 and 16.9%, respectively (14,15). Existing biomarkers that indicate the use of ICIs, such as PD-L1 expression levels and microsatellite instability, are difficult to assess and may not be applicable to all patients (16,17). Therefore, it is still crucial to identify convenient and effective biomarkers to determine which patients will benefit from ICI treatment.

Non-invasive biomarkers have attracted attention since they are easy to assess without the need for tissue biopsy or other invasive procedures. The effectiveness of non-invasive biomarkers for determination of the use of ICIs has also been widely reported (18–20). These biomarkers are also more practical for patients with HCC with lower surgical and biopsy rates. The efficacy of ICIs is dependent on the immune function of the patient, which is influenced by inflammation and nutritional status (21). Numerous studies have shown that certain inflammatory and nutritional biomarkers such as prognostic nutrition index (PNI) and systemic immune-inflammation index (SII) could predict the prognosis of patients with solid tumors who receive ICIs (22–25). However, to the best of our knowledge, the value of these biomarkers in HCC remains unclear.

Therefore, the present study comprehensively evaluated the predictive ability of the PNI, nutritional risk index (NRI), geriatric NRI (GNRI), SII, systemic inflammation response index (SIRI) and advanced lung cancer inflammation index (ALI) for the determination of the prognosis of patients with HCC who received ICIs.

Materials and methods

Patients

The present study included 151 patients with HCC who received ICIs at Harbin Medical University Cancer Hospital (Harbin, China) from January 2019 to December 2021. The age range was 37–81 years old. The clinical and pathological data of the patients were collected through the electronic medical record system. All patients had a confirmed diagnosis of HCC through pathological assessment, and complete clinical and pathological data were available. Clinical data loss or treatment abandonment were exclusion criteria for enrollment in the present study. The Barcelona Clinic Liver Cancer (BCLC) stages system, which combines tumor burden, liver function and performance status, is the most commonly used staging system for HCC (26,27). BCLC stage has been indicated as the primary reference for the selection of treatment modalities for patients with HCC in numerous guidelines (28,29). Therefore, both BCLC and Tumor-Node-Metastasis (TNM) stage information was collected from the patients and the main subgroup analyses were established based on the BCLC stages (30). The data collection and statistical analysis process adhered to the principles of The Declaration of Helsinki and its subsequent amendments, and the present study was approved by The Ethics Committee of Harbin Medical University Cancer Hospital (approval no. ALTN-AK105-III-06). Due to the retrospective nature of the present investigation, The Ethics Committee of Harbin Medical University Cancer Hospital waived the requirement for informed patient consent.

Data collection and follow-up

The progression-free survival (PFS) and overall survival (OS) time were determined following routine patient follow-up via telephone. PFS was determined as the period from the start of treatment to the occurrence of tumor progression, with evidence of progression obtained through imaging and pathological examination. In addition, PFS for patients without evidence of tumor progression was determined as the period from the start of treatment to death or the last follow-up. OS was defined as the period from the start of treatment to death or the last follow-up. The clinical information, pathological characteristics and blood parameters of the patients were obtained from the electronic medical record system and subsequently analyzed.

Treatment methods

Due to the unsatisfactory outcomes of using targeted therapy or immunotherapy alone, combination therapy is the main approach in current HCC treatment (31). Among the 151 patients included in the present study, 51 patients (33.8%) underwent curative resection, with 29 of them (56.9%) receiving atezolizumab combined with bevacizumab treatment due to poor pathological results or postoperative recurrence. The remaining patients participated in a clinical trial and received camrelizumab combined with apatinib treatment (trial registration number: CTR20211710). A total of 100 patients (66.2%) did not undergo surgical treatment due to disease progression or poor liver function. Among them, 48 patients (48.0%) received atezolizumab combined with bevacizumab treatment, while the rest participated in the same clinical trial and received camrelizumab combined with apatinib treatment.

Nutritional and inflammatory markers

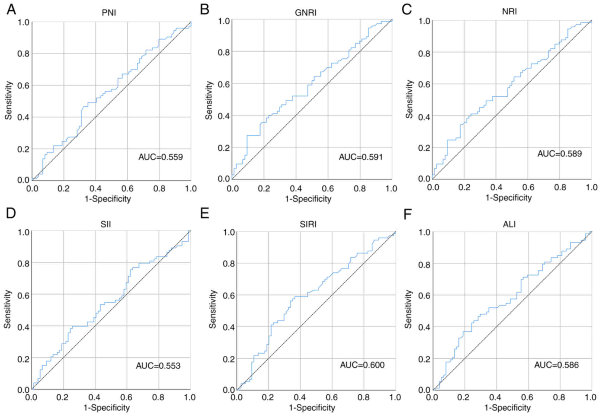
The nutritional and inflammatory markers evaluated in the present study were calculated based on the blood parameters of the patients. The calculation formulas of PNI, GNRI, NRI, SII, SIRI and ALI are presented in Table I. Death-based survival receiver operating characteristic (ROC) curves were plotted and cut-off points for biomarkers in the present study were determined by calculating the maximum Youden index (Fig. 1). The area under the curve (AUC), maximum Youden index and cut-off points are presented in Table II.

Figure 1.

ROC curves of the inflammation and nutritional markers. The ROC curves for (A) PNI, (B) GNRI, (C) NRI, (D) SII, (E) SIRI and (F) ALI. AUC, area under the curve; ROC, receiver operating characteristic; PNI, prognostic nutrition index; NRI, nutritional risk index; GNRI, geriatric NRI; SII, systemic immune-inflammation index; SIRI, systemic inflammation response index; ALI, advanced lung cancer inflammation index.

Table I.

Calculation formulas for the inflammation and nutritional markers.

Table I.

Calculation formulas for the inflammation and nutritional markers.

MarkerCalculation formula
PNIAlbumin (g/l) + 5 × lymphocyte (109/l)
GNRI[1.489 × albumin (g/l)] + [41.7 × (weight/ideal weighta)]
NRI[1.519 × albumin (g/l)] + [41.7 × (weight/ideal weighta)]
SIIplatelet (109/l) × neutrophil (109/l)/lymphocyte (109/l)
SIRImonocyte (109/l) × neutrophil (109/l)/lymphocyte (109/l)
ALIBMI (kg/m2) × albumin (g/dl) × lymphocyte (109/l)/neutrophil (109/l)

a The ideal weight was calculated through the Lorentz equations as follows: Male=height-100-[(height-150)/4]; female=height-100-[(height-150)/2.5]. BMI, body mass index; PNI, prognostic nutrition index; NRI, nutritional risk index; GNRI, geriatric NRI; SII, systemic immune-inflammation index; SIRI, systemic inflammation response index; ALI, advanced lung cancer inflammation index.

Table II.

Cut-off points for inflammation and nutritional markers.

Table II.

Cut-off points for inflammation and nutritional markers.

MarkerAUC95% CIYouden indexCut-off point
PNI0.5590.466–0.6520.14243.37
GNRI0.5910.499–0.6830.17988.92
NRI0.5890.497–0.6810.16892.22
SII0.5530.460–0.6460.141377.03
SIRI0.6000.508–0.6920.2241.02
ALI0.5860.494–0.6790.18230.31

[i] AUC, area under the curve; CI, confidence interval; PNI, prognostic nutrition index; NRI, nutritional risk index; GNRI, geriatric NRI; SII, systemic immune-inflammation index; SIRI, systemic inflammation response index; ALI, advanced lung cancer inflammation index.

Statistical analysis

The one-sample Kolmogorov-Smirnov test was used to assess whether continuous variables followed a Gaussian distribution. Continuous variables following a Gaussian distribution are presented as the mean ± SD and were analyzed using unpaired independent-sample t-test. Continuous variables not following a Gaussian distribution are presented as the median and interquartile range and were analyzed using the Mann-Whitney U test. Categorical variables are presented as the number and percentage of patients. Survival analysis was performed using the Kaplan-Meier curve and evaluated the differences in patient survival through log-rank test. Prognostic markers were assessed using Cox regression analysis and are presented as risk hazard ratios and 95% confidence intervals. In addition, time-ROC curves were plotted to evaluate the prognostic value of inflammation and nutritional markers. Nomograms were constructed to predict the survival probability of patients with HCC who received ICIs, and the accuracy of the nomograms was evaluated by drawing calibration curves. All statistical analyses were performed using R 4.2.2 (r-project.org; ‘ggplot2’, ‘survival’, ‘survminer’, ‘rms’, ‘pROC’, and ‘timeROC’). P<0.05 was considered to indicate a statistically significant difference.

Results

Patient characteristics

Among the 151 patients who received ICIs, there were 124 (82.1%) male and 27 (17.9%) female patients, with a mean age of 57.41 (SD, 9.14) years. All patients received standard treatment prior to receiving ICIs. Among the patients, 123 (81.5%) patients had tumor ≥5 cm. The number of patients in BCLC stage A, stage B and stage C were 4 (2.6%), 62 (41.1%) and 85 (56.3%), respectively. TNM staging indicated that 4 (2.6%) patients were in stage I, 55 (36.4%) patients were in stage II, 70 (46.4%) patients were in stage III and 22 (14.6%) patients were in stage IV. In addition, due to the markedly skewed distribution of carcinoembryonic antigen, α-fetoprotein and carbohydrate antigen 199, patients were grouped based on the median values of these factors. The detailed patient characteristics are presented in Table III. The detailed blood parameters from patients before treatment were also collected (Table IV). Because BCLC stage A patients usually experience a greater survival advantage compared with stage B or C patients, and the limited number of cases (n=4) did not support conducting a subgroup analysis for BCLC stage A patients, the BCLC stage A patients were excluded from all subsequent analyses to prevent the introduction of bias into the results (32).

Table III.

Patient characteristics (n=151).

Table III.

Patient characteristics (n=151).

Patient characteristicValue
Sex, n (%)
  Male124 (82.10)
  Female27 (17.90)
Mean age, years (SD)57.41 (9.14)
Mean BMI, kg/m2 (SD)23.34 (3.57)
Smoking, n (%)
  Yes31 (20.5)
  No120 (79.5)
Alcohol consumption, n (%)
  Yes19 (12.6)
  No132 (87.4)
ECG, n (%)
  Normal66 (43.7)
  Abnormal85 (56.3)
ABO blood type, n (%)
  A42 (27.8)
  B45 (29.8)
  AB22 (14.6)
  O42 (27.8)
Surgery, n (%)
  Yes51 (33.8)
  No100 (66.2)
Tumor number, n (%)
  Single62 (41.1)
  Multiple89 (58.9)
Tumor size, n (%)
  <5 cm28 (18.5)
  ≥5 cm123 (81.5)
Liver cirrhosis, n (%)
  Yes45 (29.8)
  No106 (70.2)
BCLC stage, n (%)
  A4 (2.6)
  B62 (41.1)
  C85 (56.3)
TNM stage, n (%)
  I4 (2.6)
  II55 (36.4)
  III70 (46.4)
  IV22 (14.6)
CEA, n (%)
  <2.38 ng/ml75 (49.7)
  ≥2.38 ng/ml76 (50.3)
AFP, n (%)
  <151.4 ng/ml75 (49.7)
  ≥151.4 ng/ml76 (50.3)
CA199, n (%)
  <22.64 U/ml74 (49.0)
  ≥22.64 U/ml77 (51.0)

[i] AFP, α-fetoprotein; BCLC, Barcelona Clinic Liver Cancer; BMI, body mass index; CA199, carbohydrate antigen 199; CEA, carcinoembryonic antigen; ECG, electrocardiogram; TNM, Tumor-Node-Metastasis.

Table IV.

Patient blood parameters (n=151).

Table IV.

Patient blood parameters (n=151).

ParameterMedian (interquartile range)
ALT, U/l31.00 (22.00, 49.00)
AST, U/l47.00 (31.00, 47.00)
γ-GGT, U/l97.00 (47.00, 237.00)
ALP, U/l120.00 (91.00, 204.00)
TBIL, µmol/l20.00 (14.50, 32.10)
DBIL, µmol/l5.00 (3.20, 10.50)
IDBIL, µmol/l15.30 (11.10, 22.50)
TP, g/l72.00 (68.10, 77.10)
ALB, g/l38.30 (34.10, 41.70)
GLOB, g/l32.90 (29.30, 39.40)
A/G1.10 (0.90, 1.40)
PALB, mg/l146.00 (101.00, 200.00)
Urea, mmol/l5.40 (4.40, 6.90)
CREA, µmol/l73.00 (63.00, 83.00)
UA, µmol/l298.00 (232.00, 364.00)
CYS-C, mg/l0.97 (0.76, 1.07)
CO2-CP, mmol/l25.6 (23.6, 27.8)
LDH, U/l225.00 (184.00, 295.00)
Glu, mmol/l5.20 (4.70, 5.90)
K, mmol/l4.00 (3.70, 4.30)
Na, mmol/l139.00 (137.00, 140.00)
Cl, mmol/l103.00 (101.00, 105.00)
Ca, mmol/l2.30 (2.10, 2.40)
PHOS, mmol/l1.00 (0.90, 1.14)
Mg, mmol/l0.86 (0.77, 0.95)
WBC, 109/l6.06 (4.82, 7.64)
NEU, 109/l4.08 (2.98, 5.18)
LYM, 109/l1.30 (0.90, 1.70)
MON, 109/l0.45 (0.31, 0.62)
EOS, 109/l0.08 (0.04, 0.13)
BAS, 109/l0.02 (0.01, 0.03)
RBC, 109/l4.49 (4.05, 4.85)
HGB, 109/l140.00 (126.00, 155.00)
HCT, ×109/l41.80 (37.90, 46.60)
PLT, ×109/l158.00 (109.00, 207.00)
PT, sec12.20 (11.60, 13.10)
INR,1.07 (1.01, 1.15)
Fbg, g/l2.97 (2.39, 3.90)
TT, sec16.90 (16.20, 17.50)

[i] ALT, alanine transaminase; AST, aspartate aminotransferase; γ-GGT, γ-glutamyl transferase; ALP, alkaline phosphatase; TBIL, total bilirubin; DBIL, direct BIL; IDBIL, indirect BIL; TP, total protein; ALB, albumin; GLOB, globulin; A/G, albumin/globulin; PALB, prealbumin; urea, urea nitrogen; CREA, creatinine; UA, uric acid; CYS-C, cystatin C; CO2-CP, CO2 combining power; LDH, lactate dehydrogenase; Glu, glucose; PHOS, phosphate; WBC, white blood cell; NEU, neutrophil; LYM, lymphocyte; MON, monocyte; EOS, eosinophil; BAS, basophil; RBC, red blood cell; HGB, hemoglobin; HCT, hematocrit; PLT, platelet; PT, prothrombin time; INR, international normalized ratio; Fbg, fibrinogen; TT, thrombin time.

Distribution differences in inflammation and nutritional marker scores

Differences in the inflammatory and nutritional marker scores among different surgery, tumor size and BCLC stage groups were assessed. The nutritional markers (PNI, GNRI and NRI) all followed a Gaussian distribution. The unpaired independent samples t-test demonstrated significant differences in these biomarkers among different surgery, tumor size and BCLC stage groups (all P<0.05; Fig. 2). The inflammatory markers (SII, SIRI and ALI) did not demonstrate a Gaussian distribution and so significant differences between their maximum and minimum values, the data characteristics and distributions of these markers could not be evaluated using violin plots combined with box plots. The median values of SII, SIRI, and ALI for patients who underwent surgery were 653.64 (313.46, 1165.24), 0.87 (0.56, 3.34), and 45.03 (18.15, 71.64), respectively, while for patients who did not undergo surgery, the respective values were 554.55 (355.89, 838.45), 0.97 (0.63, 1.72), and 34.74 (23.36, 53.25). Furthermore, the median values of SII, SIRI, and ALI for patients with tumor size <5 cm were 533.28 (311.35, 1033.29), 0.77 (0.45, 1.38), and 35.55 (25.31, 73.70), respectively, while for patients with tumor size ≥5 cm, the respective values were 590.21 (350.39, 859.96), 1.01 (0.64, 2.06), and 36.93 (19.69, 56.51). Median SII, SIRI, and ALI for patients with BCLC B stage were 592.41 (333.91, 918.23), 0.89 (0.64, 1.74), and 37.65 (24.68, 64.32), respectively, while for patients with BCLC C stage, the respective values were 554.55 (349.67, 873.63), 1.03 (0.58, 1.97), and 35.00 (19.83, 55.93). The Mann-Whitney U test demonstrated significant differences in SII, SIRI and ALI scores among different surgery, tumor size and BCLC stage groups (all P<0.05; Table V). These results suggested a possible significant association between inflammation and nutritional markers, and disease progression.

Figure 2.

Distribution differences in nutritional marker scores. (A) PNI, (B) GNRI and (C) NRI scores in different surgery, tumor size and BCLC stage groups. BCLC, Barcelona Clinic Liver Cancer; PNI, prognostic nutrition index; NRI, nutritional risk index; GNRI, geriatric NRI.

Table V.

SII, SIRI, and ALI scores.

Table V.

SII, SIRI, and ALI scores.

A, SII

CharacteristicRank meanSum of ranksU-valueZ-valueP-value
Surgery 2254.500−4.428<0.001
  Yes62.777204.50
  No86.533673.50
Tumor size, cm 1517.500−3.513<0.001
  <550.201895.50
  ≥574.858982.50
BCLC stage 2534.500−3.394<0.001
  B52.384487.50
  C75.186390.50

B, SIRI

CharacteristicRank meanSum of ranksU-valueZ-valueP-value

Surgery 2371.000−4.350<0.001
  Yes63.903547.00
  No84.057331.00
Tumor size, cm 2280.000−2.701<0.001
  <561.411658.00
  ≥586.839220.00
BCLC stage 2545.400−3.710<0.001
  B61.084407.00
  C76.136471.00

C, ALI

CharacteristicRank meanSum of ranksU-valueZ-valueP-value

Surgery 2095.500−2.362<0.001
  Yes51.177045.50
  No79.843832.50
Tumor size, cm 1755.500−3.323<0.001
  <561.808615.50
  ≥593.802262.50
BCLC stage 1336.500−3.171<0.001
  B50.495991.50
  C88.814886.50

[i] BCLC, Barcelona Clinic Liver Cancer; SII, systemic immune-inflammation index; SIRI, systemic inflammation response index; ALI, advanced lung cancer inflammation index.

Univariate and multivariate Cox regression analysis

Cox regression analysis was performed on the disease characteristics, and the inflammation and nutritional markers of patients. The univariate results demonstrated that both the PFS and OS of patients were significantly related to surgery, tumor number, tumor size, liver cirrhosis, BCLC stage, TNM stage. and all inflammatory and nutritional markers (all P<0.05; Table VI). In addition, sex was also a significant prognostic factor for OS. Moreover, the multivariate analysis found that GNRI, PNI, BCLC stage and TNM stage were independent prognostic markers for PFS, and GNRI, BCLC stage and TNM stage were independent prognostic markers for OS.

Table VI.

Univariate and multivariate analyses for PFS and OS.

Table VI.

Univariate and multivariate analyses for PFS and OS.

PFSOS


Univariate analysisMultivariate analysisUnivariate analysisMultivariate analysis




VariableHR (95% CI)P-valueHR (95% CI)P-valueHR (95% CI)P-valueHR (95% CI)P-value
Sex
  MaleRef Ref Ref
  Female1.5650.094 1.7600.0351.0410.900
(0.927–2.643) (1.042–2.973) (0.556–1.947)
Age0.9950.732 0.9950.723
(0.970–1.022) (0.970–1.021)
BMI0.9390.070 0.9570.213
(0.877–1.005) (0.893–1.026)
Smoking
  NoRef Ref
  Yes1.3580.317 1.3460.332
(0.745–2.475) (0.739–2.452)
Drinking
  NoRef Ref
  Yes1.1250.719 1.1050.761
(0.592–2.139) (0.581–2.100)
CEA, U/ml
  <2.38Ref Ref
  ≥2.381.3600.191 1.4480.116
(0.858–2.155) (0.913–2.297)
AFP, U/ml
  <151.4Ref Ref
  ≥151.41.1760.489 1.2900.278
(0.743–1.862) (0.814–2.045)
CA199, U/ml
  <22.64Ref Ref
  ≥22.641.2910.278 1.1610.524
(0.814–2.047) (0.733–1.838)
Surgery
  YesRef Ref Ref Ref
  No2.4810.0011.1690.6292.683<0.0011.3240.369
(1.457–4.222) (0.621–2.202) (1.578–4.562) (0.718–2.439)
Tumor number
  SingleRef Ref Ref Ref
  Multiple1.7210.0291.2590.4021.7610.0221.4340.202
(1.058–2.800) (0.734–2.161) (1.084–2.860) (0.824–2.493)
Tumor size, cm
  <5Ref Ref Ref Ref
  ≥53.2250.0021.8810.1373.2840.0022.0690.086
(1.537–6.770) (0.818–4.321) (1.568–6.877) (0.901–4.752)
Liver cirrhosis
  NoRef Ref Ref Ref
  Yes1.8740.0131.7420.0501.6550.0451.6450.066
(1.141–3.076) (1.013–2.998) (1.011–2.708) (0.967–2.797)
BCLC stage
  BRef Ref Ref Ref
  C2.726<0.0011.7690.0453.178<0.0012.3530.006
(1.667–4.457) (0.999–3.133) (1.938–5.209) (1.276–4.340)
TNM stage
  IIRef Ref Ref Ref
  III2.314<0.0011.3450.0372.782<0.0012.0170.004
(1.117–3.028) (0.893–2.461) (1.564–4.792) (1.325–4.660)
  IV3.406<0.0011.9700.0253.749<0.0012.8070.001
(2.040–5.688) (1.091–3.559) (2.246–6.258) (1.487–5.298)
PNI
  <43.37Ref Ref Ref Ref
  ≥43.374.189<0.0012.0690.0462.606<0.0011.2120.572
(2.497–7.029) (1.013–4.226) (1.628–4.170) (0.623–2.358)
GNRI
  <88.92Ref Ref Ref Ref
  ≥88.927.855<0.0012.8410.0195.889<0.0012.6540.031
(4.443–13.919) (1.183–6.821) (3.441–10.078) (1.094–6.438)
NRI
  <92.22Ref Ref Ref Ref
  ≥92.223.170<0.0011.0770.8523.021<0.0011.5410.292
(1.959–5.131) (0.494–2.348) (1.880–4.853) (0.689–3.447)
SII
  <377.03Ref Ref Ref Ref
  ≥377.031.8490.0271.0710.8572.0060.0121.0040.992
(1.073–3.186) (0.510–2.249) (1.163–3.460) (0.473–2.130)
SIRI
  <1.02Ref Ref Ref Ref
  ≥1.021.9620.0051.7030.1572.1340.0021.7960.124
(1.228–3.134) (0.815–3.555) (1.332–3.421) (0.852–3.789)
ALI
  <30.31Ref Ref Ref Ref
  ≥30.311.8840.0071.1490.7141.9560.0041.5020.280
(1.188–2.987) (0.547–2.416) (1.232–3.105) (0.718–3.142)

[i] Ref, reference; BMI, body mass index; CI, confidence interval; HR, hazard ratio; OS, overall survival; PFS, progress-free survival; AFP, α-fetoprotein; CA199, carbohydrate antigen 199; CEA, carcinoembryonic antigen; BCLC, Barcelona Clinic Liver Cancer; TNM, Tumor-Node-Metastasis; PNI, prognostic nutrition index; NRI, nutritional risk index; GNRI, geriatric NRI; SII, systemic immune-inflammation index; SIRI, systemic inflammation response index; ALI, advanced lung cancer inflammation index.

Survival analysis for inflammatory and nutritional markers

In the present study, survival analysis was performed for inflammation and nutritional markers after grouping and survival curves were plotted. There were 62 cases with a PNI <43.37 and 85 cases with a PNI ≥43.37. Patients with a low PNI had significantly shorter PFS (13.14 vs. 20.53 months; P<0.001) and OS (15.70 vs. 22.37 months; P<0.001) times compared with patients with a high PNI (Fig. 3A and B). Furthermore, there were 27 patients with a GNRI <88.92 and 120 patients with a GNRI ≥88.92. Patients with a GNRI <88.92 had significantly shorter PFS (7.13 vs. 18.43 months; P<0.001) and OS (9.30 vs. 21.87 months; P<0.001) times compared with patients with a GNRI ≥88.92 (Fig. 3C and D). There were 48 patients with a NRI <92.22 and 99 cases with a NRI ≥92.22. Patients with a NRI <92.22 had significantly shorter PFS (11.02 vs. 19.39 months; P<0.001) and OS (14.01 vs. 22.27 months; P<0.001) times compared with patients with NRI ≥92.22 (Fig. 3E and F).

Figure 3.

Inflammation and nutritional marker-related PFS and OS curves. (A) PFS and (B) OS curves for PNI. (C) PFS and (D) OS curves for GNRI. (E) PFS and (F) OS curves for NRI. (G) PFS and (H) OS curves for SII. (I) PFS and (J) OS curves for SIRI. (K) PFS and (L) OS curves for ALI. PFS, progression-free survival; OS, overall survival; PNI, prognostic nutrition index; NRI, nutritional risk index; GNRI, geriatric NRI; SII, systemic immune-inflammation index; SIRI, systemic inflammation response index; ALI, advanced lung cancer inflammation index.

For the inflammatory markers, there were 43 cases with a SII <377.03 and 104 cases with SII ≥377.03. Patients with a SII ≥377.03 had significantly shorter PFS (20.13 vs. 15.24 months; P=0.048) and OS (not reached vs. 18.77 months; P=0.021) times compared with patients with a SII <377.03 (Fig. 3G and H). Furthermore, 76 patients had a SIRI <1.02 and 71 patients had a SIRI ≥1.02. Patients with a SIRI ≥1.02 had significantly shorter PFS (20.13 vs. 15.07 months; P=0.004) and OS (not reached vs. 17.57 months; P=0.003) times compared with patients with a SIRI <1.02 (Fig. 3I and J). Finally, there were 64 cases with an ALI <30.31 and 83 cases with an ALI ≥30.31. Patients with an ALI <30.31 had significantly shorter PFS (15.10 vs. 19.39 months; P=0.006) and OS (17.57 vs. 23.13 months; P=0.004) times compared with patients with an ALI ≥30.31 (Fig. 3K and L).

Subgroup survival analysis

To further investigate the prognostic value of inflammatory and nutritional biomarkers, subgroup survival analyses among patients with different BCLC stages were performed. There were 62 patients (42.2%) in BCLC stage B, among whom 30 patients (48.4%) underwent surgery and targeted therapy combined with immunotherapy, while 32 patients (51.6%) only received targeted therapy combined with immunotherapy. After analyzing all BCLC stage B patients, the results revealed significant associations between PNI, GNRI and NRI, and survival among patients with BCLC stage B (all P<0.001; Fig. 4). However, it is worth noting that the results for GNRI may be biased due to a small sample size of only 6 patients in the low GNRI group. Furthermore, there were 85 patients (57.8%) with BCLC stage C, among whom 18 patients (21.2%) underwent surgery and targeted therapy combined with immunotherapy, while 67 patients (78.8%) only received targeted therapy combined with immunotherapy. After analyzing all BCLC stage C patients, we found that all inflammatory and nutritional indicators demonstrated significant prognostic value in patients with BCLC stage C (all P<0.05; Fig. 5).

Figure 4.

PFS and OS curves for patients with BCLC stage B. (A) PFS and (B) OS curves for PNI. (C) PFS and (D) OS curves for GNRI. (E) PFS and (F) OS curves for NRI. (G) PFS and (H) OS curves for SII. (I) PFS and (J) OS curves for SIRI. (K) PFS and (L) OS curves for ALI. BCLC, Barcelona Clinic Liver Cancer; PFS, progression-free survival; OS, overall survival; PNI, prognostic nutrition index; NRI, nutritional risk index; GNRI, geriatric NRI; SII, systemic immune-inflammation index; SIRI, systemic inflammation response index; ALI, advanced lung cancer inflammation index.

Figure 5.

PFS and OS curves for patients with BCLC stage C. (A) PFS and (B) OS curves for PNI. (C) PFS and (D) OS curves for GNRI. (E) PFS and (F) OS curves for NRI. (G) PFS and (H) OS curves for SII. (I) PFS and (J) OS curves for SIRI. (K) PFS and (L) OS curves for ALI. BCLC, Barcelona Clinic Liver Cancer; PFS, progression-free survival; OS, overall survival; PNI, prognostic nutrition index; NRI, nutritional risk index; GNRI, geriatric NRI; SII, systemic immune-inflammation index; SIRI, systemic inflammation response index; ALI, advanced lung cancer inflammation index.

Subgroup survival analysis was also performed on surgical and non-surgical patients. Among patients who underwent surgery, all inflammatory and nutritional markers demonstrated significant prognostic value for OS, and all except SII demonstrated significant prognostic value for PFS (all P<0.05; Fig. 6). However, the results of GNRI were also limited in their reference value due to the small sample size of the GNRI <88.92 group (n=2). Furthermore, PNI, GNRI, and NRI also demonstrated significant prognostic value in non-surgical patients (all P<0.05; Fig. 7).

Figure 6.

PFS and OS curves for patients that underwent surgery. (A) PFS and (B) OS curves for PNI. (C) PFS and (D) OS curves for GNRI. (E) PFS and (F) OS curves for NRI. (G) PFS and (H) OS curves for SII. (I) PFS and (J) OS curves for SIRI. (K) PFS and (L) OS curves for ALI. PFS, progression-free survival; OS, overall survival; PNI, prognostic nutrition index; NRI, nutritional risk index; GNRI, geriatric NRI; SII, systemic immune-inflammation index; SIRI, systemic inflammation response index; ALI, advanced lung cancer inflammation index.

Figure 7.

PFS and OS curves for patients that did not undergo surgery. (A) PFS and (B) OS curves for PNI. (C) PFS and (D) OS curves for GNRI. (E) PFS and (F) OS curves for NRI. (G) PFS and (H) OS curves for SII. (I) PFS and (J) OS curves for SIRI. (K) PFS and (L) OS curves for ALI. PFS, progression-free survival; OS, overall survival; PNI, prognostic nutrition index; NRI, nutritional risk index; GNRI, geriatric NRI; SII, systemic immune-inflammation index; SIRI, systemic inflammation response index; ALI, advanced lung cancer inflammation index.

Prognostic value of inflammation and nutritional markers

In the ROC curves based on death, it was demonstrated that SIRI and ALI had a markedly higher Youden index and AUC than inflammation and nutritional markers in this study (Fig. 1; Table II). To evaluate the prognostic value of the inflammation and nutritional markers, time-ROC curves based on PFS and OS were plotted (Fig. 8), the results demonstrated that the prognostic values of GNRI, NRI and PNI were higher than those for SII, SIRI and ALI, at all times, with the prognostic value of GNRI being the highest at all times.

Figure 8.

Inflammation and nutritional marker-related time-ROC curves of PFS and OS. Time-ROC curves of (A) PFS and (B) OS. AUC of GNRI was consistently higher than that of other indicators at all time points, indicating its superior predictive value. AUC, area under the curve; ROC, receiver operating characteristic; PFS, progression-free survival; OS, overall survival; PNI, prognostic nutrition index; NRI, nutritional risk index; GNRI, geriatric NRI; SII, systemic immune-inflammation index; SIRI, systemic inflammation response index; ALI, advanced lung cancer inflammation index.

Nomograms predict survival probability

Due to the identification of PNI and GNRI as independent prognostic factors according to the Cox regression analysis, predictive models for patients with HCC who received ICIs were constructed to further evaluate their prognostic value (Fig. 9). The C-index (95% CI) of the nomograms for PFS and OS were 0.801 (0.746–0.877) and 0.823 (0.761–0.898), reflecting the high predictive accuracy of the nomograms. Due to limited number of patients, bootstrap validation was performed on the nomograms and calibration curves were plotted (Fig. 10), which demonstrated the high predictive performance of the nomograms.

Figure 9.

Nomograms predicting the probability of PFS and OS. Nomograms predicted probability of (A) PFS and (B) OS. GNRI exhibits highest proportion of scores in both PFS and OS nomograms (even surpassing TNM and BCLC stage), further confirming its superior predictive advantage. PFS, progression-free survival; OS, overall survival; PNI, prognostic nutrition index; GNRI, geriatric nutritional risk index; BCLC, Barcelona Clinic Liver Cancer; TNM, Tumor-Node-Metastasis.

Figure 10.

Calibration curves of the nomograms. The calibration curves of the (A) PFS and (B) OS nomograms. The high consistency between the predicted survival probabilities and actual survival probabilities in the calibration curves demonstrated the high accuracy of the nomograms for PFS and OS. PFS, progression-free survival; OS, overall survival.

Discussion

The emergence of ICIs has changed the cancer treatment landscape, increasing patient survival (33). However, patients with solid tumors have a low responsiveness to ICIs and only a subset of patients may benefit from ICI treatment, including patients with HCC (34,35). Existing biomarkers are costly to assess and may not be applicable to all patients, making it difficult to further promote their use (36). Non-invasive biomarkers based on the inflammatory and nutritional status of patients have gained widespread attention due to their ease of acquisition and accuracy and have been used to predict the efficacy of ICIs in certain solid tumors with satisfactory results. Mezquita et al (37) conducted a multicenter study on lung cancer in 2018 to validate the accuracy of non-invasive indicators in predicting the efficacy of ICIs. They established a lung immune prognostic index by combining the derived neutrophil-to-lymphocyte ratio (dNLR) and lactate dehydrogenase (LDH) and found a significant correlation between this index and adverse outcomes of ICIs (37). The present study evaluated the predictive ability of commonly used inflammatory and nutritional markers on the prognosis of patients with HCC who received ICIs, offering broader references for selecting treatment strategies for these patients.

Nutritional status is closely related to immune function, and nutritional indicators have been widely studied in the application of ICIs. In 2022, Sun et al (38) collected the data of 146 patients with gastric cancer who received ICIs or chemotherapy and analyzed the predictive efficacy of PNI in these patients. The results demonstrated that PNI was not only a prognostic indicator for ICIs and chemotherapy in patients, but also an independent prognostic biomarker for disease-free survival. It is worth noting that, since ICIs were still not a standard treatment and were expensive, only a few patients with advanced gastric cancer considered using them, resulting in a significantly higher survival rate for patients who received chemotherapy than those who received ICIs (38). Certain studies focusing on GNRI validated the association between nutritional status and the efficacy of ICIs (39–41). Sonehara et al (42) assessed the survival time of 85 patients with advanced non-small cell lung cancer who were treated with ICIs and reported that those with a low GNRI had a shorter survival time. Other studies on nutritional indicators in patients receiving ICIs have reported similar findings (23,43,44). Inflammation is another of the factors that affect immune function. A study on renal cell carcinoma found that SII was a significant factor in disease progression and prognosis after analyzing its application in 49 patients who received ICIs combined with targeted therapy (45). Qi et al (46) extensively studied the application of inflammatory biomarkers in patients with small-cell lung cancer receiving ICIs. The survival status of 53 patients was prospectively analyzed and it was found that inflammatory markers were related to prognosis, in particular the platelet-lymphocyte ratio. ALI is also an accurate indicator of the inflammatory status of patients. Mountzios et al (47) collected the data of 672 patients with non-small cell lung cancer who received ICIs and analyzed the application of ALI. The results demonstrated that ALI was a significant prognostic factor for patients who received ICIs, and a high ALI was associated with a longer survival time. Subsequent studies also reported the value of ALI in predicting the prognosis of other tumors (48–50). In summary, certain inflammatory and nutritional markers have been reported to be related to the prognosis of patients with cancer.

The present study analyzed the data of 151 patients with HCC who received ICIs, to evaluate the prognostic value of classic nutritional and inflammatory markers with a larger sample size of patients than previous studies (51–53). As with previous studies, ICIs were not the preferred treatment for solid tumors and patients who received ICIs had a poor clinical and pathological status (38,54). Only one-third of patients in the present study received surgical treatment, and more than one-half of these patients had BCLC stage C and TNM stage III + IV. Survival analysis demonstrated that PNI, GNRI, NRI, SII, SIRI and ALI were all significantly associated with patient prognosis. Subgroup survival analysis also indicated that nutritional markers maintained significant prognostic value in all patients. Furthermore, although the death-based ROC curves had higher AUCs for SIRI and ALI, both the time-ROC curve and multivariate Cox regression analysis indicated predictive advantages for PNI, GNRI and NRI. Moreover, GNRI had the highest prognostic value in the present study. The nomograms indicated that the prognostic value of GNRI exceeded the value of the BCLC and TNM stage, which might be due to the uneven distribution of patients in different stages in the present study.

ICIs are a novel type of cancer treatment that inhibit receptors, such as PD-1, PD-L1 and CTLA-4, on the surface of tumor cells, thus enhancing the ability of immune cells to attack tumors (55). Therefore, the effectiveness of ICIs relies on normal immune function. The nutritional and inflammatory status could affect the immune system of the patient, thereby affecting its cytotoxicity against tumors, and consequently influencing the effectiveness of immunotherapy (56,57). Firstly, malnutrition could affect the growth and function of immune cells, thereby reducing the immune response to tumors. For example, a lack of protein and energy could lead to a decrease in the number and activity of T cells and B cells, and a decrease in the phagocytic function of macrophages, thereby decreasing the antitumor ability of the body (58,59). Secondly, inflammatory status can have a negative impact on the immune system (60). Inflammation can deplete the nutrient reserves in the body, and lead to persistent activation of immune cells and inflammatory responses, thereby inhibiting the immune response to tumors and enhancing tumor escape mechanisms (61,62). Albumin levels and weight not only reflect the nutritional status of patients, but also indicate their liver function reserve and treatment tolerance (63,64). Furthermore, 'a previous study reported that low levels of serum albumin are associated with systemic inflammation (65). Lymphocytes are a major component of both cellular and humoral immunity and serve key roles in the antitumor process (66,67). Low levels of lymphocytes can restrict the ability of the immune system to fight tumors, leading to accelerated tumor progression and metastasis. Moreover, the levels of neutrophils, monocytes and platelets can also reflect the inflammatory status of the patient and can promote tumor progression and metastasis (68–71). This may enable classic inflammatory and nutritional markers to accurately predict the prognosis of patients with HCC who receive ICIs. Furthermore, GNRI includes changes in patient weight after illness, which dynamically reflects the patient condition compared to other indicators and may more accurately reflect the condition of the patient. Albumin is synthesized by the liver and may more accurately reflect the liver status of patients with HCC. This may give GNRI a significant advantage in the prediction of clinical outcomes in patients with HCC.

The present study had certain limitations. First, the information bias inherent to retrospective studies could not be avoided. Especially as ICIs have not yet been routinely used in treating HCC and the number of patients who received ICIs in the present study was still relatively small. Second, the cut-off values of the biomarkers considered in the present study need to be further evaluated in studies with a larger sample size. Finally, the prognostic value of GNRI requires further validation through prospective studies.

In conclusion, the present study found that PNI, GNRI, NRI, SII, SIRI and ALI were all associated with the efficacy of ICIs in HCC and could serve as non-invasive biomarkers for ICI effectiveness. In addition, nutritional markers had greater predictive ability than inflammatory markers in the present study, with GNRI being the biomarker with the best prognostic value.

Acknowledgements

Not applicable.

Funding

The present study was supported by The Beijing Medical and Health Foundation (grant no. YWJKJJHKYJJ-LC19009) and The Beijing Medical Award Foundation (grant no. YXJL-2022-1350-0312).

Availability of data and materials

The datasets used and/or analyzed during the current study are available from the corresponding author on reasonable request.

Authors' contributions

CL and HZ performed the study and wrote the manuscript. Data curation and investigation was performed by RZ and ZG. PW was responsible for data analysis and interpretation. ZQ designed and performed the study and reviewing and editing the manuscript. All authors read and approved the final manuscript. CL and ZQ confirm the authenticity of all the raw data.

Ethics approval and consent to participate

This study was approved by The Ethics Committee of Harbin Medical University Cancer Hospital (Harbin, China; approval no., ALTN-AK105-III-06.). Due to the retrospective nature of this investigation, The Ethics Committee of Harbin Medical University Cancer Hospital waived the requirement for informed patient consent.

Patient consent for publication

Not applicable.

Competing interests

The authors declare that they have no competing interests.

References

1 

Wang Y and Deng B: Hepatocellular carcinoma: Molecular mechanism, targeted therapy, and biomarkers. Cancer Metastasis Rev. Feb 2–2023.(Epub ahead of print). View Article : Google Scholar

2 

Bray F, Ferlay J, Soerjomataram I, Siegel RL, Torre LA and Jemal A: Global cancer statistics 2018: GLOBOCAN estimates of incidence and mortality worldwide for 36 cancers in 185 countries. CA Cancer J Clin. 68:394–424. 2018. View Article : Google Scholar : PubMed/NCBI

3 

Vogel A, Meyer T, Sapisochin G, Salem R and Saborowski A: Hepatocellular carcinoma. Lancet. 400:1345–1362. 2022. View Article : Google Scholar : PubMed/NCBI

4 

Yang JD, Hainaut P, Gores GJ, Amadou A, Plymoth A and Roberts LR: A global view of hepatocellular carcinoma: Trends, risk, prevention and management. Nat Rev Gastroenterol Hepatol. 16:589–604. 2019. View Article : Google Scholar : PubMed/NCBI

5 

Yang C, Zhang H, Zhang L, Zhu AX, Bernards R, Qin W and Wang C: Evolving therapeutic landscape of advanced hepatocellular carcinoma. Nat Rev Gastroenterol Hepatol. 20:203–222. 2023. View Article : Google Scholar : PubMed/NCBI

6 

Bagchi S, Yuan R and Engleman EG: Immune checkpoint inhibitors for the treatment of cancer: Clinical impact and mechanisms of response and resistance. Annu Rev Pathol. 16:223–249. 2021. View Article : Google Scholar : PubMed/NCBI

7 

Naimi A, Mohammed RN, Raji A, Chupradit S, Yumashev AV, Suksatan W, Shalaby MN, Thangavelu L, Kamrava S, Shomali N, et al: Tumor immunotherapies by immune checkpoint inhibitors (ICIs); the pros and cons. Cell Commun Signal. 20:442022. View Article : Google Scholar : PubMed/NCBI

8 

Yap TA, Parkes EE, Peng W, Moyers JT, Curran MA and Tawbi HA: Development of immunotherapy combination strategies in cancer. Cancer Discov. 11:1368–1397. 2021. View Article : Google Scholar : PubMed/NCBI

9 

Janjigian YY, Shitara K, Moehler M, Garrido M, Salman P, Shen L, Wyrwicz L, Yamaguchi K, Skoczylas T, Campos Bragagnoli A, et al: First-line nivolumab plus chemotherapy versus chemotherapy alone for advanced gastric, gastro-oesophageal junction, and oesophageal adenocarcinoma (CheckMate 649): A randomised, open-label, phase 3 trial. Lancet. 398:27–40. 2021. View Article : Google Scholar : PubMed/NCBI

10 

Bote H, Mesas A, Baena J, Herrera M and Paz-Ares L: Emerging immune checkpoint inhibitors for the treatment of non-small cell lung cancer. Expert Opin Emerg Drugs. 27:289–300. 2022. View Article : Google Scholar : PubMed/NCBI

11 

Jácome AA, Castro ACG, Vasconcelos JPS, Silva MHCR, Lessa MAO, Moraes ED, Andrade AC, Lima FMT, Farias JPF, Gil RA, et al: Efficacy and safety associated with immune checkpoint inhibitors in unresectable hepatocellular carcinoma: A meta-analysis. JAMA Netw Open. 4:e21361282021. View Article : Google Scholar : PubMed/NCBI

12 

Zheng Y, Wang S, Cai J, Ke A and Fan J: The progress of immune checkpoint therapy in primary liver cancer. Biochim Biophys Acta Rev Cancer. 1876:1886382021. View Article : Google Scholar : PubMed/NCBI

13 

Bai J, Liang P, Li Q, Feng R and Liu J: Cancer immunotherapy-immune checkpoint inhibitors in hepatocellular carcinoma. Recent Pat Anticancer Drug Discov. 16:239–248. 2021. View Article : Google Scholar : PubMed/NCBI

14 

Finn RS, Ryoo BY, Merle P, Kudo M, Bouattour M, Lim HY, Breder VV, Edeline J, Chao Y, Ogasawara S, et al: Results of KEYNOTE-240: Phase 3 study of pembrolizumab (Pembro) vs best supportive care (BSC) for second line therapy in advanced hepatocellular carcinoma (HCC). J Clin Oncol. 37 (15 Suppl):S40042019. View Article : Google Scholar

15 

El-Khoueiry AB, Sangro B, Yau T, Crocenzi TS, Kudo M, Hsu C, Kim TY, Choo SP, Trojan J, Welling TH Rd, et al: Nivolumab in patients with advanced hepatocellular carcinoma (CheckMate 040): An open-label, non-comparative, phase 1/2 dose escalation and expansion trial. Lancet. 389:2492–2502. 2017. View Article : Google Scholar : PubMed/NCBI

16 

Doroshow DB, Bhalla S, Beasley MB, Sholl LM, Kerr KM, Gnjatic S, Wistuba II, Rimm DL, Tsao MS and Hirsch FR: PD-L1 as a biomarker of response to immune-checkpoint inhibitors. Nat Rev Clin Oncol. 18:345–362. 2021. View Article : Google Scholar : PubMed/NCBI

17 

Rizzo A, Ricci AD and Brandi G: PD-L1, TMB, MSI, and other predictors of response to immune checkpoint inhibitors in biliary tract cancer. Cancers (Basel). 13:5582021. View Article : Google Scholar : PubMed/NCBI

18 

Valero C, Lee M, Hoen D, Weiss K, Kelly DW, Adusumilli PS, Paik PK, Plitas G, Ladanyi M, Postow MA, et al: Pretreatment neutrophil-to-lymphocyte ratio and mutational burden as biomarkers of tumor response to immune checkpoint inhibitors. Nat Commun. 12:7292021. View Article : Google Scholar : PubMed/NCBI

19 

Wei J, Feng J, Weng Y, Xu Z, Jin Y, Wang P, Cui X, Ruan P, Luo R, Li N and Peng M: The prognostic value of ctDNA and bTMB on immune checkpoint inhibitors in human cancer. Front Oncol. 11:7069102021. View Article : Google Scholar : PubMed/NCBI

20 

Nabet BY, Esfahani MS, Moding EJ, Hamilton EG, Chabon JJ, Rizvi H, Steen CB, Chaudhuri AA, Liu CL, Hui AB, et al: Noninvasive early identification of therapeutic benefit from immune checkpoint inhibition. Cell. 183:363–376.e13. 2020. View Article : Google Scholar : PubMed/NCBI

21 

Alwarawrah Y, Kiernan K and MacIver NJ: Changes in nutritional status impact immune cell metabolism and function. Front Immunol. 9:10552018. View Article : Google Scholar : PubMed/NCBI

22 

Xia H, Zhang W, Zheng Q, Zhang Y, Mu X, Wei C, Wang X and Liu Y: Predictive value of the prognostic nutritional index in advanced non-small cell lung cancer patients treated with immune checkpoint inhibitors: A systematic review and meta-analysis. Heliyon. 9:e174002023. View Article : Google Scholar : PubMed/NCBI

23 

Ni L, Huang J, Ding J, Kou J, Shao T, Li J, Gao L, Zheng W and Wu Z: Prognostic nutritional index predicts response and prognosis in cancer patients treated with immune checkpoint inhibitors: A systematic review and meta-analysis. Front Nutr. 9:8230872022. View Article : Google Scholar : PubMed/NCBI

24 

Tian BW, Yang YF, Yang CC, Yan LJ, Ding ZN, Liu H, Xue JS, Dong ZR, Chen ZQ, Hong JG, et al: Systemic immune-inflammation index predicts prognosis of cancer immunotherapy: Systemic review and meta-analysis. Immunotherapy. 14:1481–1496. 2022. View Article : Google Scholar : PubMed/NCBI

25 

Kou J, Huang J, Li J, Wu Z and Ni L: Systemic immune-inflammation index predicts prognosis and responsiveness to immunotherapy in cancer patients: A systematic review and meta-analysis. Clin Exp Med. Mar 26–2023.(Epub ahead of print). View Article : Google Scholar

26 

Llovet JM, Brú C and Bruix J: Prognosis of hepatocellular carcinoma: The BCLC staging classification. Semin Liver Dis. 19:329–338. 1999. View Article : Google Scholar : PubMed/NCBI

27 

Reig M, Forner A, Rimola J, Ferrer-Fàbrega J, Burrel M, Garcia-Criado Á, Kelley RK, Galle PR, Mazzaferro V, Salem R, et al: BCLC strategy for prognosis prediction and treatment recommendation: The 2022 update. J Hepatol. 76:681–693. 2022. View Article : Google Scholar : PubMed/NCBI

28 

Colombo M and Sangiovanni A: Treatment of hepatocellular carcinoma: Beyond international guidelines. Liver Int. 35 (Suppl 1):S129–S138. 2015. View Article : Google Scholar

29 

Chonprasertsuk S and Vilaichone RK: Epidemiology and treatment of hepatocellular carcinoma in Thailand. Jpn J Clin Oncol. 47:294–297. 2017.PubMed/NCBI

30 

Huang J, Zhang Y, Peng Z, Gao H, Xu L, Jiao LR and Chen M: A modified TNM-7 staging system to better predict the survival in patients with hepatocellular carcinoma after hepatectomy. J Cancer Res Clin Oncol. 139:1709–1719. 2013. View Article : Google Scholar : PubMed/NCBI

31 

Xing R, Gao J, Cui Q and Wang Q: Strategies to improve the antitumor effect of immunotherapy for hepatocellular carcinoma. Front Immunol. 12:7832362021. View Article : Google Scholar : PubMed/NCBI

32 

Tsilimigras DI, Bagante F, Sahara K, Moris D, Hyer JM, Wu L, Ratti F, Marques HP, Soubrane O, Paredes AZ, et al: Prognosis after resection of barcelona clinic liver cancer (BCLC) stage 0, A, and B hepatocellular carcinoma: A comprehensive assessment of the current BCLC classification. Ann Surg Oncol. 26:3693–3700. 2019. View Article : Google Scholar : PubMed/NCBI

33 

Chen Y, Hu H, Yuan X, Fan X and Zhang C: Advances in immune checkpoint inhibitors for advanced hepatocellular carcinoma. Front Immunol. 13:8967522022. View Article : Google Scholar : PubMed/NCBI

34 

Wang Z, Wang Y, Gao P and Ding J: Immune checkpoint inhibitor resistance in hepatocellular carcinoma. Cancer Lett. 555:2160382023. View Article : Google Scholar : PubMed/NCBI

35 

Schoenfeld AJ and Hellmann MD: Acquired resistance to immune checkpoint inhibitors. Cancer Cell. 37:443–455. 2020. View Article : Google Scholar : PubMed/NCBI

36 

Li N, Hou X, Huang S, Tai R, Lei L, Li S, Abuliz A, Wang G and Yang S: Biomarkers related to immune checkpoint inhibitors therapy. Biomed Pharmacother. 147:1124702022. View Article : Google Scholar : PubMed/NCBI

37 

Mezquita L, Auclin E, Ferrara R, Charrier M, Remon J, Planchard D, Ponce S, Ares LP, Leroy L, Audigier-Valette C, et al: Association of the lung immune prognostic index with immune checkpoint inhibitor outcomes in patients with advanced non-small cell lung cancer. JAMA Oncol. 4:351–357. 2018. View Article : Google Scholar : PubMed/NCBI

38 

Sun H, Chen L, Huang R, Pan H, Zuo Y, Zhao R, Xue Y and Song H: Prognostic nutritional index for predicting the clinical outcomes of patients with gastric cancer who received immune checkpoint inhibitors. Front Nutr. 9:10381182022. View Article : Google Scholar : PubMed/NCBI

39 

Haas M, Lein A, Fuereder T, Brkic FF, Schnoell J, Liu DT, Kadletz-Wanke L, Heiduschka G and Jank BJ: The geriatric nutritional risk index (GNRI) as a prognostic biomarker for immune checkpoint inhibitor response in recurrent and/or metastatic head and neck cancer. Nutrients. 15:8802023. View Article : Google Scholar : PubMed/NCBI

40 

Wang Y and Ni Q: Prognostic and clinicopathological significance of systemic immune-inflammation index in cancer patients receiving immune checkpoint inhibitors: A meta-analysis. Ann Med. 55:808–819. 2023. View Article : Google Scholar : PubMed/NCBI

41 

Lee JH, Hyung S, Lee J and Choi SH: Visceral adiposity and systemic inflammation in the obesity paradox in patients with unresectable or metastatic melanoma undergoing immune checkpoint inhibitor therapy: A retrospective cohort study. J Immunother Cancer. 10:e0052262022. View Article : Google Scholar : PubMed/NCBI

42 

Sonehara K, Tateishi K, Araki T, Komatsu M, Yamamoto H and Hanaoka M: Prognostic value of the geriatric nutritional risk index among patients with previously treated advanced non-small cell lung cancer who subsequently underwent immunotherapy. Thorac Cancer. 12:1366–1372. 2021. View Article : Google Scholar : PubMed/NCBI

43 

Shoji F, Takeoka H, Kozuma Y, Toyokawa G, Yamazaki K, Ichiki M and Takeo S: Pretreatment prognostic nutritional index as a novel biomarker in non-small cell lung cancer patients treated with immune checkpoint inhibitors. Lung Cancer. 136:45–51. 2019. View Article : Google Scholar : PubMed/NCBI

44 

Ren B, Shen J, Qian Y and Zhou T: Sarcopenia as a determinant of the efficacy of immune checkpoint inhibitors in non-small cell lung cancer: A meta-analysis. Nutr Cancer. 75:685–695. 2023. View Article : Google Scholar : PubMed/NCBI

45 

Stühler V, Herrmann L, Rausch S, Stenzl A and Bedke J: Role of the systemic immune-inflammation index in patients with metastatic renal cell carcinoma treated with first-line ipilimumab plus nivolumab. Cancers (Basel). 14:29722022. View Article : Google Scholar : PubMed/NCBI

46 

Qi WX, Xiang Y, Zhao S and Chen J: Assessment of systematic inflammatory and nutritional indexes in extensive-stage small-cell lung cancer treated with first-line chemotherapy and atezolizumab. Cancer Immunol Immunother. 70:3199–3206. 2021. View Article : Google Scholar : PubMed/NCBI

47 

Mountzios G, Samantas E, Senghas K, Zervas E, Krisam J, Samitas K, Bozorgmehr F, Kuon J, Agelaki S, Baka S, et al: Association of the advanced lung cancer inflammation index (ALI) with immune checkpoint inhibitor efficacy in patients with advanced non-small-cell lung cancer. ESMO Open. 6:1002542021. View Article : Google Scholar : PubMed/NCBI

48 

Zhang X, Wang D, Sun T, Li W and Dang C: Advanced lung cancer inflammation index (ALI) predicts prognosis of patients with gastric cancer after surgical resection. BMC Cancer. 22:6842022. View Article : Google Scholar : PubMed/NCBI

49 

Barth DA, Brenner C, Riedl JM, Prinz F, Klocker EV, Schlick K, Kornprat P, Lackner K, Stöger H, Stotz M, et al: External validation of the prognostic relevance of the advanced lung cancer inflammation index (ALI) in pancreatic cancer patients. Cancer Med. 9:5473–5479. 2020. View Article : Google Scholar : PubMed/NCBI

50 

Pian G, Hong SY and Oh SY: Prognostic value of advanced lung cancer inflammation index in patients with colorectal cancer liver metastases undergoing surgery. Tumori. 108:56–62. 2022. View Article : Google Scholar : PubMed/NCBI

51 

Xiong B, Fu B, Wu Y, Gao F and Hou C: Body composition predicts prognosis of hepatocellular carcinoma patients undergoing immune checkpoint inhibitors. J Cancer Res Clin Oncol. Jul 4–2023.(Epub ahead of print). View Article : Google Scholar

52 

Zhu HF, Feng JK, Xiang YJ, Wang K, Zhou LP, Liu ZH, Cheng YQ, Shi J, Guo WX and Cheng SQ: Combination of alpha-fetoprotein and neutrophil-to-lymphocyte ratio to predict treatment response and survival outcomes of patients with unresectable hepatocellular carcinoma treated with immune checkpoint inhibitors. BMC Cancer. 23:5472023. View Article : Google Scholar : PubMed/NCBI

53 

Zhang L, Feng J, Kuang T, Chai D, Qiu Z, Deng W, Dong K, Zhao K and Wang W: Blood biomarkers predict outcomes in patients with hepatocellular carcinoma treated with immune checkpoint Inhibitors: A pooled analysis of 44 retrospective sudies. Int Immunopharmacol. 118:1100192023. View Article : Google Scholar : PubMed/NCBI

54 

Chen L, Sun H, Zhao R, Huang R, Pan H, Zuo Y, Zhang L, Xue Y, Song H and Li X: Controlling nutritional status (CONUT) predicts survival in gastric cancer patients with immune checkpoint inhibitor (PD-1/PD-L1) outcomes. Front Pharmacol. 13:8369582022. View Article : Google Scholar : PubMed/NCBI

55 

van de Donk PP, Kist de Ruijter L, Lub-de Hooge MN, Brouwers AH, van der Wekken AJ, Oosting SF, Fehrmann RS, de Groot DJA and de Vries EG: Molecular imaging biomarkers for immune checkpoint inhibitor therapy. Theranostics. 10:1708–1718. 2020. View Article : Google Scholar : PubMed/NCBI

56 

Collins N and Belkaid Y: Control of immunity via nutritional interventions. Immunity. 55:210–223. 2022. View Article : Google Scholar : PubMed/NCBI

57 

Di Giosia P, Stamerra CA, Giorgini P, Jamialahamdi T, Butler AE and Sahebkar A: The role of nutrition in inflammaging. Ageing Res Rev. 77:1015962022. View Article : Google Scholar : PubMed/NCBI

58 

Childs CE, Calder PC and Miles EA: Diet and immune function. Nutrients. 11:19332019. View Article : Google Scholar : PubMed/NCBI

59 

Swarbrick GM, Gela A, Cansler ME, Null MD, Duncan RB, Nemes E, Shey M, Nsereko M, Mayanja-Kizza H, Kiguli S, et al: Postnatal expansion, maturation, and functionality of MR1T cells in humans. Front Immunol. 11:5566952020. View Article : Google Scholar : PubMed/NCBI

60 

Divangahi M, Aaby P, Khader SA, Barreiro LB, Bekkering S, Chavakis T, van Crevel R, Curtis N, DiNardo AR, Dominguez-Andres J, et al: Trained immunity, tolerance, priming and differentiation: Distinct immunological processes. Nat Immunol. 22:2–6. 2021. View Article : Google Scholar : PubMed/NCBI

61 

Barrea L, Di Somma C, Muscogiuri G, Tarantino G, Tenore GC, Orio F, Colao A and Savastano S: Nutrition, inflammation and liver-spleen axis. Crit Rev Food Sci Nutr. 58:3141–3158. 2018. View Article : Google Scholar : PubMed/NCBI

62 

Iddir M, Brito A, Dingeo G, Fernandez Del Campo SSF, Samouda H, La Frano MR and Bohn T: Strengthening the immune system and reducing inflammation and oxidative stress through diet and nutrition: Considerations during the COVID-19 crisis. Nutrients. 12:15622020. View Article : Google Scholar : PubMed/NCBI

63 

Dong J, Zhang W, Zhang T, Chen X, Zhao J, Zeng Y, Chen Y, Wei X, Lei T, Wang P, et al: Baseline nutritional status could be a predictor for radiation esophagitis in esophageal cancer patients undergoing radiotherapy. Ann Transl Med. 8:11482020. View Article : Google Scholar : PubMed/NCBI

64 

Kaymak Cerkesli ZA, Ozkan EE and Ozseven A: The esophageal dose-volume parameters for predicting Grade I–II acute esophagitis correlated with weight loss and serum albumin decrease in lung cancer radiotherapy. J Cancer Res Ther. 17:94–98. 2021. View Article : Google Scholar : PubMed/NCBI

65 

Zheng C, Liu S, Feng J and Zhao X: Prognostic value of inflammation biomarkers for survival of patients with neuroblastoma. Cancer Manag Res. 12:2415–2425. 2020. View Article : Google Scholar : PubMed/NCBI

66 

Golovtchenko AM and Raichvarg D: Lymphocytes. Roles in cellular immunity and humoral immunity. Ann Biol Clin (Paris). 33:63–74. 1975.(In French). PubMed/NCBI

67 

Cancro MP and Tomayko MM: Memory B cells and plasma cells: The differentiative continuum of humoral immunity. Immunol Rev. 303:72–82. 2021. View Article : Google Scholar : PubMed/NCBI

68 

Papayannopoulos V: Neutrophil extracellular traps in immunity and disease. Nat Rev Immunol. 18:134–147. 2018. View Article : Google Scholar : PubMed/NCBI

69 

Quail DF, Amulic B, Aziz M, Barnes BJ, Eruslanov E, Fridlender ZG, Goodridge HS, Granot Z, Hidalgo A, Huttenlocher A, et al: Neutrophil phenotypes and functions in cancer: A consensus statement. J Exp Med. 219:e202200112022. View Article : Google Scholar : PubMed/NCBI

70 

Junqueira C, Crespo Â, Ranjbar S, de Lacerda LB, Lewandrowski M, Ingber J, Parry B, Ravid S, Clark S, Schrimpf MR, et al: FcγR-mediated SARS-CoV-2 infection of monocytes activates inflammation. Nature. 606:576–584. 2022. View Article : Google Scholar : PubMed/NCBI

71 

Kapellos TS, Bonaguro L, Gemünd I, Reusch N, Saglam A, Hinkley ER and Schultze JL: Human monocyte subsets and phenotypes in major chronic inflammatory diseases. Front Immunol. 10:20352019. View Article : Google Scholar : PubMed/NCBI

Related Articles

  • Abstract
  • View
  • Download
  • Twitter
Copy and paste a formatted citation
Spandidos Publications style
Liu C, Zhao H, Zhang R, Guo Z, Wang P and Qu Z: Prognostic value of nutritional and inflammatory markers in patients with hepatocellular carcinoma who receive immune checkpoint inhibitors. Oncol Lett 26: 437, 2023.
APA
Liu, C., Zhao, H., Zhang, R., Guo, Z., Wang, P., & Qu, Z. (2023). Prognostic value of nutritional and inflammatory markers in patients with hepatocellular carcinoma who receive immune checkpoint inhibitors. Oncology Letters, 26, 437. https://doi.org/10.3892/ol.2023.14024
MLA
Liu, C., Zhao, H., Zhang, R., Guo, Z., Wang, P., Qu, Z."Prognostic value of nutritional and inflammatory markers in patients with hepatocellular carcinoma who receive immune checkpoint inhibitors". Oncology Letters 26.4 (2023): 437.
Chicago
Liu, C., Zhao, H., Zhang, R., Guo, Z., Wang, P., Qu, Z."Prognostic value of nutritional and inflammatory markers in patients with hepatocellular carcinoma who receive immune checkpoint inhibitors". Oncology Letters 26, no. 4 (2023): 437. https://doi.org/10.3892/ol.2023.14024
Copy and paste a formatted citation
x
Spandidos Publications style
Liu C, Zhao H, Zhang R, Guo Z, Wang P and Qu Z: Prognostic value of nutritional and inflammatory markers in patients with hepatocellular carcinoma who receive immune checkpoint inhibitors. Oncol Lett 26: 437, 2023.
APA
Liu, C., Zhao, H., Zhang, R., Guo, Z., Wang, P., & Qu, Z. (2023). Prognostic value of nutritional and inflammatory markers in patients with hepatocellular carcinoma who receive immune checkpoint inhibitors. Oncology Letters, 26, 437. https://doi.org/10.3892/ol.2023.14024
MLA
Liu, C., Zhao, H., Zhang, R., Guo, Z., Wang, P., Qu, Z."Prognostic value of nutritional and inflammatory markers in patients with hepatocellular carcinoma who receive immune checkpoint inhibitors". Oncology Letters 26.4 (2023): 437.
Chicago
Liu, C., Zhao, H., Zhang, R., Guo, Z., Wang, P., Qu, Z."Prognostic value of nutritional and inflammatory markers in patients with hepatocellular carcinoma who receive immune checkpoint inhibitors". Oncology Letters 26, no. 4 (2023): 437. https://doi.org/10.3892/ol.2023.14024
Follow us
  • Twitter
  • LinkedIn
  • Facebook
About
  • Spandidos Publications
  • Careers
  • Cookie Policy
  • Privacy Policy
How can we help?
  • Help
  • Live Chat
  • Contact
  • Email to our Support Team