Spandidos Publications Logo
  • About
    • About Spandidos
    • Aims and Scopes
    • Abstracting and Indexing
    • Editorial Policies
    • Reprints and Permissions
    • Job Opportunities
    • Terms and Conditions
    • Contact
  • Journals
    • All Journals
    • Oncology Letters
      • Oncology Letters
      • Information for Authors
      • Editorial Policies
      • Editorial Board
      • Aims and Scope
      • Abstracting and Indexing
      • Bibliographic Information
      • Archive
    • International Journal of Oncology
      • International Journal of Oncology
      • Information for Authors
      • Editorial Policies
      • Editorial Board
      • Aims and Scope
      • Abstracting and Indexing
      • Bibliographic Information
      • Archive
    • Molecular and Clinical Oncology
      • Molecular and Clinical Oncology
      • Information for Authors
      • Editorial Policies
      • Editorial Board
      • Aims and Scope
      • Abstracting and Indexing
      • Bibliographic Information
      • Archive
    • Experimental and Therapeutic Medicine
      • Experimental and Therapeutic Medicine
      • Information for Authors
      • Editorial Policies
      • Editorial Board
      • Aims and Scope
      • Abstracting and Indexing
      • Bibliographic Information
      • Archive
    • International Journal of Molecular Medicine
      • International Journal of Molecular Medicine
      • Information for Authors
      • Editorial Policies
      • Editorial Board
      • Aims and Scope
      • Abstracting and Indexing
      • Bibliographic Information
      • Archive
    • Biomedical Reports
      • Biomedical Reports
      • Information for Authors
      • Editorial Policies
      • Editorial Board
      • Aims and Scope
      • Abstracting and Indexing
      • Bibliographic Information
      • Archive
    • Oncology Reports
      • Oncology Reports
      • Information for Authors
      • Editorial Policies
      • Editorial Board
      • Aims and Scope
      • Abstracting and Indexing
      • Bibliographic Information
      • Archive
    • Molecular Medicine Reports
      • Molecular Medicine Reports
      • Information for Authors
      • Editorial Policies
      • Editorial Board
      • Aims and Scope
      • Abstracting and Indexing
      • Bibliographic Information
      • Archive
    • World Academy of Sciences Journal
      • World Academy of Sciences Journal
      • Information for Authors
      • Editorial Policies
      • Editorial Board
      • Aims and Scope
      • Abstracting and Indexing
      • Bibliographic Information
      • Archive
    • International Journal of Functional Nutrition
      • International Journal of Functional Nutrition
      • Information for Authors
      • Editorial Policies
      • Editorial Board
      • Aims and Scope
      • Abstracting and Indexing
      • Bibliographic Information
      • Archive
    • International Journal of Epigenetics
      • International Journal of Epigenetics
      • Information for Authors
      • Editorial Policies
      • Editorial Board
      • Aims and Scope
      • Abstracting and Indexing
      • Bibliographic Information
      • Archive
    • Medicine International
      • Medicine International
      • Information for Authors
      • Editorial Policies
      • Editorial Board
      • Aims and Scope
      • Abstracting and Indexing
      • Bibliographic Information
      • Archive
  • Articles
  • Information
    • Information for Authors
    • Information for Reviewers
    • Information for Librarians
    • Information for Advertisers
    • Conferences
  • Language Editing
Spandidos Publications Logo
  • About
    • About Spandidos
    • Aims and Scopes
    • Abstracting and Indexing
    • Editorial Policies
    • Reprints and Permissions
    • Job Opportunities
    • Terms and Conditions
    • Contact
  • Journals
    • All Journals
    • Biomedical Reports
      • Information for Authors
      • Editorial Policies
      • Editorial Board
      • Aims and Scope
      • Abstracting and Indexing
      • Bibliographic Information
      • Archive
    • Experimental and Therapeutic Medicine
      • Information for Authors
      • Editorial Policies
      • Editorial Board
      • Aims and Scope
      • Abstracting and Indexing
      • Bibliographic Information
      • Archive
    • International Journal of Epigenetics
      • Information for Authors
      • Editorial Policies
      • Editorial Board
      • Aims and Scope
      • Abstracting and Indexing
      • Bibliographic Information
      • Archive
    • International Journal of Functional Nutrition
      • Information for Authors
      • Editorial Policies
      • Editorial Board
      • Aims and Scope
      • Abstracting and Indexing
      • Bibliographic Information
      • Archive
    • International Journal of Molecular Medicine
      • Information for Authors
      • Editorial Policies
      • Editorial Board
      • Aims and Scope
      • Abstracting and Indexing
      • Bibliographic Information
      • Archive
    • International Journal of Oncology
      • Information for Authors
      • Editorial Policies
      • Editorial Board
      • Aims and Scope
      • Abstracting and Indexing
      • Bibliographic Information
      • Archive
    • Medicine International
      • Information for Authors
      • Editorial Policies
      • Editorial Board
      • Aims and Scope
      • Abstracting and Indexing
      • Bibliographic Information
      • Archive
    • Molecular and Clinical Oncology
      • Information for Authors
      • Editorial Policies
      • Editorial Board
      • Aims and Scope
      • Abstracting and Indexing
      • Bibliographic Information
      • Archive
    • Molecular Medicine Reports
      • Information for Authors
      • Editorial Policies
      • Editorial Board
      • Aims and Scope
      • Abstracting and Indexing
      • Bibliographic Information
      • Archive
    • Oncology Letters
      • Information for Authors
      • Editorial Policies
      • Editorial Board
      • Aims and Scope
      • Abstracting and Indexing
      • Bibliographic Information
      • Archive
    • Oncology Reports
      • Information for Authors
      • Editorial Policies
      • Editorial Board
      • Aims and Scope
      • Abstracting and Indexing
      • Bibliographic Information
      • Archive
    • World Academy of Sciences Journal
      • Information for Authors
      • Editorial Policies
      • Editorial Board
      • Aims and Scope
      • Abstracting and Indexing
      • Bibliographic Information
      • Archive
  • Articles
  • Information
    • For Authors
    • For Reviewers
    • For Librarians
    • For Advertisers
    • Conferences
  • Language Editing
Login Register Submit
  • This site uses cookies
  • You can change your cookie settings at any time by following the instructions in our Cookie Policy. To find out more, you may read our Privacy Policy.

    I agree
Search articles by DOI, keyword, author or affiliation
Search
Advanced Search
presentation
Oncology Letters
Join Editorial Board Propose a Special Issue
Print ISSN: 1792-1074 Online ISSN: 1792-1082
Journal Cover
October-2023 Volume 26 Issue 4

Full Size Image

Sign up for eToc alerts
Recommend to Library

Journals

International Journal of Molecular Medicine

International Journal of Molecular Medicine

International Journal of Molecular Medicine is an international journal devoted to molecular mechanisms of human disease.

International Journal of Oncology

International Journal of Oncology

International Journal of Oncology is an international journal devoted to oncology research and cancer treatment.

Molecular Medicine Reports

Molecular Medicine Reports

Covers molecular medicine topics such as pharmacology, pathology, genetics, neuroscience, infectious diseases, molecular cardiology, and molecular surgery.

Oncology Reports

Oncology Reports

Oncology Reports is an international journal devoted to fundamental and applied research in Oncology.

Experimental and Therapeutic Medicine

Experimental and Therapeutic Medicine

Experimental and Therapeutic Medicine is an international journal devoted to laboratory and clinical medicine.

Oncology Letters

Oncology Letters

Oncology Letters is an international journal devoted to Experimental and Clinical Oncology.

Biomedical Reports

Biomedical Reports

Explores a wide range of biological and medical fields, including pharmacology, genetics, microbiology, neuroscience, and molecular cardiology.

Molecular and Clinical Oncology

Molecular and Clinical Oncology

International journal addressing all aspects of oncology research, from tumorigenesis and oncogenes to chemotherapy and metastasis.

World Academy of Sciences Journal

World Academy of Sciences Journal

Multidisciplinary open-access journal spanning biochemistry, genetics, neuroscience, environmental health, and synthetic biology.

International Journal of Functional Nutrition

International Journal of Functional Nutrition

Open-access journal combining biochemistry, pharmacology, immunology, and genetics to advance health through functional nutrition.

International Journal of Epigenetics

International Journal of Epigenetics

Publishes open-access research on using epigenetics to advance understanding and treatment of human disease.

Medicine International

Medicine International

An International Open Access Journal Devoted to General Medicine.

Journal Cover
October-2023 Volume 26 Issue 4

Full Size Image

Sign up for eToc alerts
Recommend to Library

  • Article
  • Citations
    • Cite This Article
    • Download Citation
    • Create Citation Alert
    • Remove Citation Alert
    • Cited By
  • Similar Articles
    • Related Articles (in Spandidos Publications)
    • Similar Articles (Google Scholar)
    • Similar Articles (PubMed)
  • Download PDF
  • Download XML
  • View XML
Article Open Access

Predicting pleural invasion of invasive lung adenocarcinoma in the adjacent pleura by imaging histology

  • Authors:
    • Lingxin Kong
    • Wenfei Xue
    • Huanfen Zhao
    • Xiaopeng Zhang
    • Shuangqing Chen
    • Dahu Ren
    • Guochen Duan
  • View Affiliations / Copyright

    Affiliations: Department of Thoracic Surgery, Hebei General Hospital, Shijiazhuang, Hebei 050000, P.R. China, Department of Thoracic Surgery, Hebei General Hospital, Shijiazhuang, Hebei 050000, P.R. China, Department of Pathology, Hebei General Hospital, Shijiazhuang, Hebei 050000, P.R. China, Department of Thoracic Surgery, Hebei General Hospital, Shijiazhuang, Hebei 050000, P.R. China
    Copyright: © Kong et al. This is an open access article distributed under the terms of Creative Commons Attribution License.
  • Article Number: 438
    |
    Published online on: August 23, 2023
       https://doi.org/10.3892/ol.2023.14025
  • Expand metrics +
Metrics: Total Views: 0 (Spandidos Publications: | PMC Statistics: )
Metrics: Total PDF Downloads: 0 (Spandidos Publications: | PMC Statistics: )
Cited By (CrossRef): 0 citations Loading Articles...

This article is mentioned in:



Abstract

The aim of the present study was to develop a non‑invasive method based on histological imaging and clinical features for predicting the preoperative status of visceral pleural invasion (VPI) in patients with lung adenocarcinoma (LUAD) located near the pleura. VPI is associated with a worse prognosis of LUAD; therefore, early and accurate detection is critical for effective treatment planning. A total of 112 patients with preoperative computed tomography presentation of adjacent pleura and postoperative pathological findings confirmed as invasive LUAD were retrospectively enrolled. Clinical and histological imaging features were combined to develop a preoperative VPI prediction model and validate the model's efficacy. Finally, a nomogram for predicting LUAD was established and validated using a logistic regression algorithm. Both the clinical signature and radiomics signature (Rad signature) exhibited a perfect fit in the training cohort. The clinical signature was overfitted in the testing cohort, whereas the Rad signature showed a good fit. To combine clinical and radiomics signatures for optimal performance, a nomogram was created using the logistic regression algorithm. The results indicated that this approach had the highest predictive performance, with an area under the curve of 0.957 for the clinical signature and 0.900 for the Rad signature. In conclusion, histological imaging and clinical features can be combined in columnar maps to predict the preoperative VPI status of patients with adjacent pleural infiltrative lung carcinoma.

Introduction

Lung cancer is a malignant tumour with a high morbidity and mortality rate, which poses serious threats to human life and health. Lung adenocarcinoma (LUAD) is the most common histological type of lung cancer, with a high incidence (1,2). A tumor that invades beyond the elastic layer of the visceral pleura (PL1) and exposes the pleural surface (PL2) is known as a visceral pleural invasion (VPI). VPI is also correlated with the severity of lung cancer progression according to the 8th edition of TNM classification for lung cancer (3).

Since VPI is associated with occult lymph node metastases and local recurrence, standardized lobectomy and lymph node dissection are recommended over local excision alone, even in early-stage VPI (4). Therefore, a highly specific non-invasive preoperative VPI diagnostic tool may be useful in screening candidates for lobectomy among those patients in good general condition, thereby increasing the likelihood of beneficial surgical resection.

It is generally accepted by thoracic surgeons that a lung lesion that appears on computed tomography (CT) as an adjacent pleural lesion suggests the development of VPI (5). However, a previous clinical study indicated that not all lesions with pleural reactions on imaging (pleural traction sign, pleural depression sign, etc.) present with VPI postoperatively (6). In addition, pure ground glass nodules (pGGNs) are thought to be weakly invasive, making it difficult to invade the visceral pleura (6). Patients with invasive LUAD adjacent to the pleura and confirmed by postoperative pathology, who are at a greater risk of VPI, were recruited for the present study.

The current gold standard for validation of VPI remains the elastic staining of the diseased tissue pleura after surgical excision (7). Therefore, evaluating the predictive performance of CT-based clinical and radiomics features may help to further refine the treatment strategy to prevent the inappropriate choice of treatment modality and thus benefit the patient. In the present study, patients with invasive LUAD adjacent to the pleura were screened, preoperative imaging and clinical data were collected and a VPI prediction model was constructed and its model efficacy was validated.

Patients and methods

Patient screening and collection of clinical characteristics

Clinical and laboratory data from October 2021 to July 2022 were retrospectively collected. A total of 112 patients with invasive LUAD confirmed by postoperative pathological findings and CT presentation of adjacent pleura were enrolled from the Department of Thoracic Surgery at Hebei General Hospital (Shijiazhuang, China). The inclusion criteria were as follows: Patients aged ≥18 years at the time of surgery and diagnosed with stage I–IIIA LUAD (TNM staging with a T stage of 1–2, N stage of 0–2 and M stage of 0) with complete preoperative clinical and laboratory data. Patients were excluded if they had incomplete or unclear preoperative CT imaging data, pGGNs on CT, postoperative pathology suggesting non-invasive carcinoma or were unable to tolerate standardized lobectomy and lymph node dissection for various reasons.

This study was approved by the Ethics Committee of Hebei General Hospital (Shijiazhuang, China; no. 2023054). The requirement of informed consent was waived due to the retrospective nature of the study. The study was conducted following the Declaration of Helsinki and all identifying information was removed from the data to ensure patient confidentiality. The data of the study were also reported in compliance with the Reporting Recommendations for Tumor Marker Prognostic Studies guidelines (8).

Image and specimen pre-processing

The plain CT of the lungs was used to accurately identify and classify the pleural invasion status. Specifically, the Siemens 64-slice dual-source CT scanning equipment (Siemens Healthineers) was used to scan the entire lung field with specific collimator thickness, reconstruction layer and interlayer spacing settings (0.6-mm thin layer image acquisition). All imaging results were carefully analyzed by outlining the region of interest (ROI) (Fig. 1A and B) and reviewed by two Chinese Academy of Management Science certified technical imaging engineers using ITK-SNAP version 3.8 software (9). In addition, elastic stain was used to differentiate among various stages of pleural invasion (10), including PL0, PL1 and PL2. The rigorous and standardized approach ensured accurate identification and classification of the pleural invasion status in the study population.

Figure 1.

Example of (A) a lesion sketch and (B) post-sketch 3D reconstruction.

Feature extraction

Imaging features were grouped into three categories: Geometry, intensity and texture. The three-dimensional shape of the tumor was characterized using geometric features, while the distribution of voxel intensities within the tumor was described using intensity features. Texture features captured spatial patterns in the distribution of intensities, including both second- and high-order distributions. Several methods, including the gray-level co-occurrence matrix (GLCM), gray-level run length matrix, gray-level size zone matrix (GLSZM) and neighborhood gray-tone difference matrix (NGTDM), were employed to extract texture features for a comprehensive analysis.

Feature selection
Statistics

The Mann-Whitney U-test and feature screening were conducted for all radiomic features. Subsequently, only features with a P<0.05 were retained for further analysis.

Correlation

For radiomic features with high repeatability, the correlation between features was calculated by determining Spearman's rank correlation coefficient. Fig. 2 shows the percentage of each group of imaging features out of the total number of features. If the correlation coefficient between any two features was >0.9, one of the features was retained. The distribution of individual features is shown in Fig. 3. To preserve the ability of the features to accurately represent the data, a greedy algorithm was used for feature filtering. This involved removing the feature with the greatest redundancy in the current set at each iteration. Following this process, 23 features were retained for further analysis.

Figure 2.

Number and ratio of imaging features. glcm, gray-level co-occurrence matrix; gldm, gray level dependence matrix; glrlm, gray-level run length matrix; glszm, gray-level size zone matrix; ngtdm, neighborhood gray-tone difference matrix.

Figure 3.

Statistics of radiomic features. glcm, gray-level co-occurrence matrix; gldm, gray level dependence matrix; glrlm, gray-level run length matrix; glszm, gray-level size zone matrix; ngtdm, neighborhood gray-tone difference matrix.

Least absolute shrinkage and selection operator (LASSO)

The dataset was utilized to build a signature via the LASSO regression model. The LASSO regression model reduces regression coefficients towards zero and sets the coefficients of irrelevant features to zero, based on the regulation weight λ. To identify the optimal λ, 10-fold cross-validation via minimum criteria was applied and the final value of λ was selected based on the minimum cross-validation error. The non-zero coefficients of the retained features were used to fit the regression model and combined to create a radiomics signature (Rad signature). Each patient received a radiomics score (Rad score) that was determined by a linear combination of the retained features and their model coefficients. LASSO regression modeling was implemented using the Python scikit-learn package 1.3.0 (https://scikit-learn.org/stable/index.html).

Rad signature

Following LASSO feature screening, the final features were used to construct a risk model using machine-learning algorithms, such as logistic regression (LR), support vector machine (SVM), random forest (RF) and eXtreme Gradient Boosting (XGBoost). Five-fold cross-validation was used to obtain the final Rad signature. All machine-learning occurred via Python 3.11.4 (https://www.python.org/).

Clinical signature

The process of constructing the clinical signature was similar to that for the Rad signature. Initially, the features used to create the clinical signature were selected using baseline statistics with a P-value threshold of <0.05. The machine learning model used in the Rad signature building process was also employed. To ensure a fair comparison, the 5-fold cross-validation and testing cohort were fixed.

Radiomic nomogram

A radiomic nomogram was established by combining the Rad signature and clinical signature. Receiver operating characteristic (ROC) curves were drawn to test the diagnostic efficacy of the radiomic nomogram. Calibration curves were also drawn to evaluate the calibration efficiency of the nomogram and the Hosmer-Lemeshow analytical fit was used to evaluate its calibration ability. The nomogram was based on the logistic regression algorithm and incorporated both the Rad signature and clinical risk factors. The calibration curve was calculated to assess the degree of agreement between the nomogram's prediction of pleural infiltration and actual observation. Decision curve analysis (DCA) was employed to assess the clinical utility of the predictive models. These analyses were conducted using the testing cohort.

Data sets

The patients were divided into 2 groups based on the presence or absence of pleural invasion. In a ratio of 4:1, all patients were divided into a training group and a test group by randomization. The Mann-Whitney U-test, t-test and χ2 test were used to compare the clinical characteristics of the two groups and determine any significant differences in patient demographics, clinical presentation and other relevant factors that may potentially affect the study outcomes. The results of these tests are summarized in Table I. Statistical analysis of the patient characteristics is an important step in ensuring the validity and reliability of the study results.

Table I.

Baseline characteristics of patients in cohorts.

Table I.

Baseline characteristics of patients in cohorts.

Training Cohort Testing Cohort


FeatureAll (n=89)Non-pleural invasion (n=50)Pleural invasion (n=39)P-valueAll (n=23)Non-pleural invasion (n=13)Pleural invasion (n=10)P-value
Age, years62.29±7.3661.86±8.0262.85±6.470.53357.04±9.5360.23±6.8052.90±11.260.066
Days11.49±4.919.20±3.3914.44±5.03<0.0019.09±2.948.15±1.8610.30±3.680.082
CEA, ng/ml9.11±25.493.30±2.6116.55±37.350.0143.18±4.472.27±1.404.37±6.590.274
NSE, ng/ml13.63±4.8714.51±5.7812.50±3.090.05313.85±3.1514.80±2.9912.60±3.040.097
CK19, ng/ml2.77±1.482.77±1.512.78±1.460.9971.99±0.752.08±0.591.89±0.950.564
Size, cm2.09±1.192.00±1.302.21±1.020.4312.13±0.782.07±0.842.21±0.720.677
BMI, kg/m225.84±3.2426.23±3.6225.34±2.620.19925.24±4.0625.50±1.9324.91±5.920.741
Sex 0.579 1.0
  Female53 (59.55)28 (56.00)25 (64.10) 16 (69.57)9 (69.23)7 (70.00)
  Male36 (40.45)22 (44.00)14 (35.90) 7 (30.43)4 (30.77)3 (30.00)
ECOG PS 0.059 0.634
  07 (7.87)1 (2.00)6 (15.38) 4 (17.39)2 (15.38)2 (20.00)
  152 (58.43)30 (60.00)22 (56.41) 12 (52.17)6 (46.15)6 (60.00)
  230 (33.71)19 (38.00)11 (28.21) 7 (30.43)5 (38.46)2 (20.00)
Diabetes 0.004 1.0
  No71 (79.78)34 (68.00)37 (94.87) 22 (95.65)12 (92.31)10 (100.00)
  Yes18 (20.22)16 (32.00)2 (5.13) 1 (4.35)1 (7.69)Null
Smoking 1.0 1.0
  No69 (77.53)39 (78.00)30 (76.92) 17 (73.91)10 (76.92)7 (70.00)
  Yes20 (22.47)11 (22.00)9 (23.08) 6 (26.09)3 (23.08)3 (30.00)
CHD 0.204 0.183
  No71 (79.78)37 (74.00)34 (87.18) 16 (69.57)11 (84.62)5 (50.00)
  Yes18 (20.22)13 (26.00)5 (12.82) 7 (30.43)2 (15.38)5 (50.00)
T Stage 0.728 0.791
  170 (78.65)38 (76.00)32 (82.05) 19 (82.61)10 (76.92)9 (90.00)
  217 (19.10)11 (22.00)6 (15.38) 4 (17.39)3 (23.08)1 (10.00)
  32 (2.25)1 (2.00)1 (2.56) NoneNoneNone
N Stage 0.093 1.0
  077 (86.52)46 (92.00)31 (79.49) 22 (95.65)12 (92.31)10 (100.00)
  19 (10.11)4 (8.00)5 (12.82) 1 (4.35)1 (7.69)Null
  23 (3.37)Null3 (7.69) NoneNoneNone
Stage 0.243 0.492
  I63 (70.79)37 (74.00)26 (66.67) 18 (78.26)9 (69.23)9 (90.00)
  II21 (23.60)12 (24.00)9 (23.08) 5 (21.74)4 (30.77)1 (10.00)
  IIIA5 (5.62)1 (2.00)4 (10.26) NoneNoneNone
Position 0.153 0.1
  LUL28 (31.46)20 (40.00)8 (20.51) 5 (21.74)3 (23.08)2 (20.00)
  LLL15 (16.85)10 (20.00)5 (12.82) 6 (26.09)6 (46.15)Null
  RUL25 (28.09)10 (20.00)15 (38.46) 8 (34.78)3 (23.08)5 (50.00)
  RML7 (7.87)3 (6.00)4 (10.26) 1 (4.35)Null1 (10.00)
  RLL14 (15.73)7 (14.00)7 (17.95) 3 (13.04)1 (7.69)2 (20.00)

[i] Values are expressed as the mean ± standard deviation or n (%). Days, the time between the first detection of a lung lesion and its surgical removal; CEA, carcinoembryonic antigen; NSE, neuron-specific enolase; CK19, cytokeratin 19; Size, tumour size; BMI, body mass index; ECOG PS, Eastern Cooperative Oncology Group Performance status; CHD, coronary heart disease; LUL, left upper lobe; LLL, left lower lobe; RUL, right upper lobe; RML, right middle lobe; RLL, right lower lobe.

Results

Patients

A total of 112 patients were enrolled, aged 34–77 years with a median age of 62 years. Among them, 69 cases (61.6%) were female and 81 cases (72.3%) were at stage I. Days indicates the time between the first detection of a lung lesion and its surgical removal, with a median time of 10 days. Pleural invasion was confirmed in 49 cases (43.8%) after elastin fibre staining.

Signature construction
Features statistics

A total of 1,835 imaging features were extracted across six categories, including 360 first-order features and 14 shape features. All features were extracted using an in-house analysis program implemented in Pyradiomics (http://pyradiomics.readthedocs.io). All features and corresponding P-values are shown in Fig. 3. Rad characteristics of each type showed some convergence in the P<0.2 interval. Fig. 4 shows the matrix for visualizing the phase clustering analysis with different correlation coefficients. The color change reacts to the data information in the two-dimensional matrix or table. Darker colors indicate positive correlation and lighter colors indicate negative correlation. Color depth indicates the magnitude of the coefficient value; the darker the color, the stronger the correlation, indicating that the correlation coefficient is closer to 1. Correlations between each clinical feature are displayed in Fig. 5, where CEA and pleural invasion had a maximum correlation coefficient. The intersection of the horizontal and vertical coordinates is the correlation between the corresponding two clinical features.

Figure 4.

Visualization of the phase clustering analysis matrix with different correlation coefficients.

Figure 5.

Spearman correlation coefficients of each clinical feature. CEA, carcinoembryonic antigen.

LASSO feature selection

After selecting the nonzero coefficients using a LASSO logistic regression model, the Rad score was established. The coefficients and mean standard error of the 10-fold validation are presented in Figs. 6 and 7, respectively. λ=0.0391 and the coefficient values of the final selected nonzero features are shown in Fig. 8. The calculation formula is as follows:

Figure 6.

Coefficients of 10-fold cross validation. Different colors represent different characteristics.

Figure 7.

MSE of 10-fold cross validation. MSE, mean standard error.

Figure 8.

Histogram of the Rad score based on the selected features. glcm, gray-level co-occurrence matrix; gldm, gray level dependence matrix; glrlm, gray-level run length matrix; glszm, gray-level size zone matrix; ngtdm, neighborhood gray-tone difference matrix.

Pleural invasion=0.45844761565741105-0.045632 × xponential_firstorder_Kurtosis + 0.096350 × exponential_glcm_InverseVariance + 0.001937 × exponential_glszm_SmallAreaEmphasis + 0.012465 × exponential_glszm_SmallAreaLowGrayLevelEmphasis + 0.047830 × gradient_glcm_ClusterShade + 0.014364 × lbp_3D_k_glszm_SizeZoneNonUniformityNormalized −0.056740 × lbp_3D_m1_glcm_Imc2 + 0.066505 × lbp_3D_m2_glszm_LowGrayLevelZoneEmphasis −0.001098 × original_shape_Sphericity + 0.022044 × square_firstorder_10Percentile + 0.039820 × square_firstorder_Minimum + 0.049771 × square_glszm_ZonePercentage + 0.034308 × wavelet_LHH_firstorder_Mean + 0.039643 × wavelet_LHH_glszm_SmallAreaHighGrayLevelEmphasis −0.057262 × wavelet_LLH_firstorder_RootMeanSquared + 0.010122 × wavelet_LLH_firstorder_Skewness + 0.006867 × wavelet_LLL_firstorder_10Percentile −0.037673 × wavelet_LLL_ngtdm_Contrast.

Model comparison

Table II shows all models used to predict pleural infiltration, and the LR model exhibited an excellent performance. Thus, the LR model was selected as the base model in the construction of the clinical signature. By utilizing radiomics features, the optimal model was achieved and compared with classifiers such as LR, SVM, K-nearest neighbor algorithm, Decision Tree, RF, Extra Trees, XGBoost and LightGBM. Multilayer perceptron and LR models achieved the best predictive value for pleural infiltration in LUAD, with an area under the curve (AUC) of 0.885 and 0.515 for the training and testing cohort, respectively. Fig. 9A and B shows the AUC of each Rad signature model in the testing cohort. In the test group, SVM, KNN and EXTRA TREES express better model efficacy, with the exception of the LR model. Table III indicates the performance of each model on the clinical signature. The efficacy of models constructed by combining clinical and imaging features was better than that of models constructed by a single feature. Fig. 10A and B shows the AUC of each clinical signature model in the testing cohort. In the training set, the Clinical Signature model had an AUC of 0.753 (95% CI, 0.654–0.852). The Rad Signature model had an AUC of 0.954 (95% CI, 0.916–0.993) and the mixed nomogram model had an AUC of 0.957 (95% CI, 0.919–0.995).

Figure 9.

ROC curve analysis of different models on the Rad signature. (A) Training cohort. (B) Test cohort. ROC, receiver operating characteristic; AUC, area under the curve; LR, logistic regression; SVM, Support Vector Machines; KNN, K-Nearest Neighbor; XGBoost, eXtreme Gradient Boosting; LightGBM, Gradient Boosting Decision Ttree; MLP, Multi-Layer Perceptron.

Figure 10.

Receiver operating characteristic curves in both the (A) training and (B) testing cohort. AUC, area under the curve.

Table II.

Characteristics of all models.

Table II.

Characteristics of all models.

Model nameAccuracyAUC95% CISensitivitySpecificityPPVNPVPrecisionRecallF1ThresholdTask
LR0.7420.8050.7159–0.89330.6920.7800.7110.7650.7110.6920.7010.469Label-train
LR0.6520.6380.4037–0.87320.5000.7690.6250.6670.6250.5000.5560.459Label-test
SVM0.6400.6900.5805–0.80000.6670.6200.5780.7050.5780.6670.6190.393Label-train
SVM0.6960.5460.2831–0.80920.4000.9230.8000.6670.8000.4000.5330.399Label-test
KNN0.7530.8190.7368–0.90220.6920.8000.7300.7690.7300.6920.7110.600Label-train
KNN0.5650.5120.2681–0.75500.4000.7500.5000.6000.5000.4000.4440.600Label-test
Random Forest0.9550.9940.9858–1.00000.9740.9400.9270.9790.9270.9740.9500.500Label-train
Random Forest0.6090.3770.1166–0.63720.1001.0001.0000.5911.0000.1000.1821.000Label-test
Extra Trees1.0001.0001.0000–1.00001.0001.0001.0001.0001.0001.0001.0001.000Label-train
Extra Trees0.5650.4420.1959–0.68871.0000.2730.5001.0000.5001.0000.6670.100Label-test
XG Boost0.8990.9590.9245–0.99300.8720.9200.8950.9020.8950.8720.8830.453Label-train
XG Boost0.7390.6150.3454–0.88540.5000.9230.8330.7060.8330.5000.6250.721Label-test
Light GBM0.6520.7390.6360–0.84300.8210.5200.5710.7880.5710.8210.6740.405Label-train
Light GBM0.6520.6080.3634–0.85200.8000.5830.5710.7780.5710.8000.6670.416Label-test
MLP0.7080.7620.6638–0.86030.7180.7000.6510.7610.6510.7180.6830.405Label-train
MLP0.6520.6080.3624–0.85300.9000.4620.5620.8570.5620.9000.6920.381Label-test

[i] AUC, area under the curve; PPV, positive predictive value; NPV, negative predictive value; F1=2 × (precision × recall)/(precision + recall); LR, logistic regression; SVM, support vector machine; KNN, K-nearest neighbors; XG Boost, extreme gradient boosting; Light GBM, light gradient boosting machine; MLP, multi-layer perceptron.

Table III.

Nomogram indicators.

Table III.

Nomogram indicators.

SignatureAccuracyAUC95% CISensitivitySpecificityPPVNPVPrecisionRecallF1Threshold
Training cohort
  Clinical0.7420.8050.7159–0.89330.6920.7800.7110.7650.7110.6920.7010.469
  Rad0.9100.9540.9155–0.99320.8460.9600.9430.8890.9430.8460.8920.583
  Nomogram0.9210.9570.9195–0.99540.8970.9400.9210.9220.9210.8970.9090.450
Testing cohort
  Clinical0.6520.6380.4037–0.87320.5000.7690.6250.6670.6250.5000.5560.459
  Rad0.8260.8850.7471–1.00001.0000.6920.7141.0000.7141.0000.8330.095
  Nomogram0.8260.9000.7755–1.00001.0000.6920.7141.0000.7141.0000.8330.326

[i] AUC, area under the curve; PPV, positive predictive value; NPV, negative predictive value; F1=2 × (precision × recall)/(precision + recall).

Subgroup comparison

To establish a VPI model useful for surgical selection, a subgroup analysis of patients was performed with tumor size <2 cm and c-stage I. A total of 81 patients were included in this group. This group was randomly divided into a training set and a testing set with a ratio of 4:1. Machine learning methods were applied to plot the ROC curves (Fig. 11A and B) for the training and testing sets. All of the models showed good predictive modeling, except for the ExtraTrees model, which showed overfitting. Fig. 12 presents the sample prediction histogram of the SVM model. The blue part of the figure represents patients without pleural invasion and the orange part represents positive patients.

Figure 11.

Receiver operating characteristic curves in subgroup analysis. (A) Training cohort. (B) Test cohort. LR, logistic regression; SVM, Support Vector Machines; KNN, K-Nearest Neighbor; XGBoost, eXtreme Gradient Boosting; LightGBM, Gradient Boosting Decision Ttree; MLP, Multi-Layer Perceptron; AUC, area under the curve.

Figure 12.

Histogram of sample prediction based on the SVM model in subgroup analysis. SVM, Support Vector Machines.

Nomogram
AUC

Both the clinical signature and Rad signature exhibited a perfect fit in the training cohort. The clinical signature was overfitted in the testing cohort, whereas the Rad signature showed satisfying goodness-of-fit. A nomogram was established based on both clinical and Rad signatures using the logistic regression algorithm, which ultimately resulted in the best performance. The Delong test was utilized to compare the clinical signature, Rad signature and nomogram (Fig. 13A). In the subgroup analysis, the construction of the nomogram of this group of patients was performed based on the SVM model (Fig. 13B).

Figure 13.

Nomogram in (A) plenary and (B) subgroup analyses.

Calibration curves

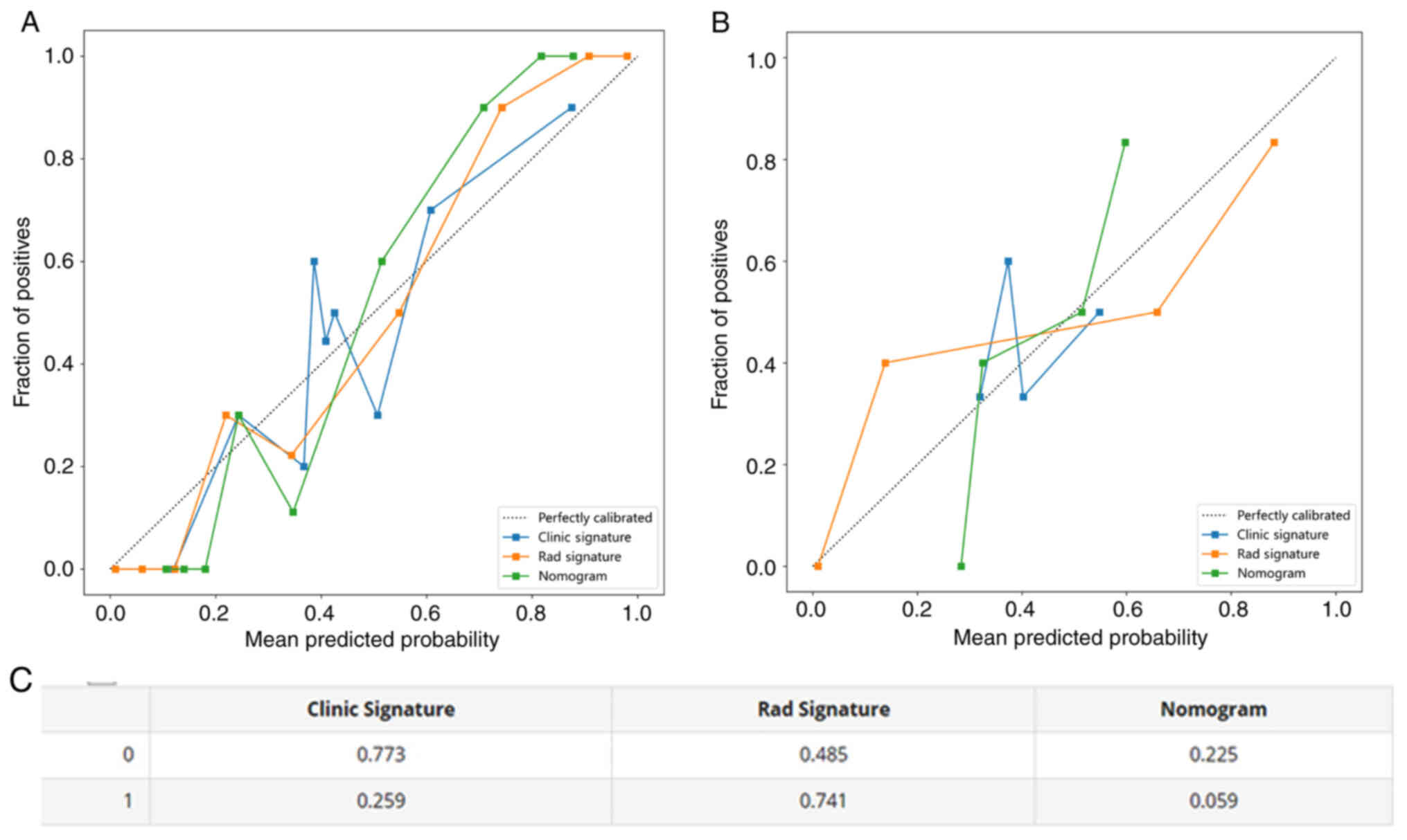
Calibration curves of the nomogram exhibited a strong agreement between predicted and observed values when predicting pleural infiltration in both the training and testing cohorts. The P-values obtained from the Hosmer-Lemeshow test were used to evaluate the clinical signature, Rad signature and nomogram, and the results revealed that the nomogram fitted exceptionally well in both the training and testing cohorts. Fig. 14A-C shows the calibration curves for both the training and testing cohorts. Fig. 15 presents the DCA calibration curve for the nomogram.

Figure 14.

Calibration curves in the (A) training and (B) testing cohort, and (C) results of the Hosmer-Lemeshow test.

Figure 15.

DCA in the testing cohort. DCA, decision curve analysis.

Discussion

In the present study, a tumor-derived radiomics model based on chest CT images for the prediction of preoperative VPI in LUAD was developed and independently validated. This model has superior predictive performance compared with the single imaging model or the clinical characterization model, suggesting that it can help clinicians select the most effective treatment. The endpoint of the present study was whether elastin fibre staining indicated the presence of pleural invasion, and previous studies have also shown that solid lung collapse or pulling under the pleura is not equivalent to pleural invasion, with an accuracy of only 71–95% (6,11–13).

VPI is currently defined as tumor invasion beyond the elastic layer of the visceral pleura (i.e. PL1) or invasion of the surface of the visceral pleura (i.e. PL2) according to the ‘Modified Hammar Classification’ (14). Previous meta-analyses indicated that the degree of VPI was associated with the prognosis of patients with non-small cell lung cancer who underwent surgical resection. Furthermore, the prognosis was worse in the PL2 group compared with the PL0 and PL1 groups (15,16). Therefore, a model to predict the occurrence of VPI is necessary. Several studies also found that pGGN did not undergo VPI (6,17). To ensure the credibility of the data, all pGGNs were excluded from the present study.

A previous study found that arch distance-to-maximum tumor diameter ratios were more effective than conventional criteria in diagnosing lung cancer (12). Tumor borders, pleural retraction and tumor composition were also used to assess VPI (11,13,17–19). A single CT image feature was only 62.7–72.3% accurate in the postoperative confirmation of VPI (20). This suggests that the judgement of VPI through human observation of CT images is still challenging, even for specialist radiologists, due to differences in subjective observation and experience of practitioners (7). A study examined the morphology of stage IA lung cancer, and also used a deep-learning model to evaluate VPI, and achieved a highly sensitive and specific diagnosis (21).

It may be generally agreed that pulmonary nodules with pathological findings confirming the presence of pleural invasion have clear pleural changes visible to the microscopic naked eye during lumpectomy (5). Of note, pleural reactions (pleural traction sign, pleural depression sign, etc.) were present on CT images of all patients enrolled in the present study; however, some of these patients had no clear submacular pleural changes under direct vision during lumpectomy, and smaller (<1 cm diameter) pulmonary nodules were more difficult to identify quickly. The model of the current study predicted the presence of submacular pleural changes in patients, thereby reducing unnecessary preoperative hook-and-wire positioning, patient suffering and duration of hospitalization. The model predicted the presence of subserosal pleural changes. Conversely, for patients with low pleural invasion predicted by the model, surgeons may have difficulty locating the lung nodule intraoperatively and require preoperative localization to minimize the time required to locate the lesion intraoperatively (22).

Patients at high risk of pleural infiltration as predicted by the prediction model should undergo an anatomical lobectomy to meet the margins, rather than partial resections, such as a wedge resection, with waiting for intraoperative frozen pathology results before further surgical treatment. This results in a significant reduction in operative time, unnecessary anesthetic drugs and tracheal intubation.

The present study had several limitations. First, due to its retrospective design, the study has a certain risk of selection bias. Furthermore, the study was a single-center retrospective study. Hence, multi-center studies with larger samples are warranted to support the findings of the present study. Finally, although the internal validation of the model yielded good discrimination, external validation is needed to prove its generalizability. With the widespread use of positron electron tomography/CT, metabolism-related indicators will be incorporated in future studies. In addition, non-invasive LUADs are usually considered to be free of pleural invasion, but some lung cancers at the border of invasion still have a certain possibility of developing pleural invasion (e.g., infiltration extent close to 0.5 cm). Subpleural solid lung collapse is demonstrated on CT images in patients with noninvasive LUAD, and this is likewise a point of interest in future studies

In conclusion, in the present study, CT histological imaging and clinical features were combined to establish and compare the efficacy of multiple models. Based on the dominant model, a columnar line graph predicting the probability of VPI in patients with invasive LUAD adjacent to the pleura was developed and validated. The column line map is well-calibrated and discriminatory, and is a potentially reliable tool for individual assessment and clinical decision-making.

Acknowledgements

Not applicable.

Funding

This research was funded by the Key Research and Development Program of Hebei Province (grant no. 22377790D).

Availability of data and materials

The datasets used and/or analyzed during the current study are available from the corresponding author on reasonable request.

Authors' contributions

LK and GD performed the collection of CT images and the processing of image ROI outlines, and were major contributors in writing the manuscript. WX performed the statistical analysis and graphing. HZ performed the analysis and collection of pathohistology. XZ performed the collection of clinical data and contributed to the experimental design. SC performed the manuscript drafting and contributed to the experimental design. DR participated in the statistical analysis. LK and GD confirm the authenticity of all the raw data. All authors have read and approved the final manuscript.

Ethics approval and consent to participate

This study was approved by the Ethics Committee of Hebei General Hospital (no. 2023054). All patients signed a treatment-related consent form during the consultation. Retrospective information was recorded by the Hebei General Hospital Medical Record System, which dispensed with the requirement for informed patient consent.

Patient consent for publication

Not applicable.

Competing interests

The authors declare that they have no competing interests.

References

1 

Siegel RL, Miller KD and Jemal A: Cancer Statistics, 2017. CA Cancer J Clin. 67:7–30. 2017. View Article : Google Scholar : PubMed/NCBI

2 

Sung H, Ferlay J, Siegel RL, Laversanne M, Soerjomataram I, Jemal A and Bray F: Global cancer statistics 2020: GLOBOCAN estimates of incidence and mortality worldwide for 36 cancers in 185 countries. CA Cancer J Clin. 71:209–249. 2021. View Article : Google Scholar : PubMed/NCBI

3 

Goldstraw P, Chansky K, Crowley J, Rami-Porta R, Asamura H, Eberhardt WE, Nicholson AG, Groome P, Mitchell A, Bolejack V, et al: The IASLC lung cancer staging project: Proposals for revision of the TNM Stage Groupings in the Forthcoming (Eighth) Edition of the TNM classification for lung cancer. J Thorac Oncol. 11:39–51. 2016. View Article : Google Scholar : PubMed/NCBI

4 

Mizuno T, Arimura T, Kuroda H, Sakakura N, Yatabe Y and Sakao Y: P2.16-34 visceral pleural invasion is closely associated with nodal spread in cStage IA lung adenocarcinoma. J Thorac Oncol. 13:S8452018. View Article : Google Scholar

5 

Hwang JH, Song KS, Park SI, Lim TH, Kwon KH and Goo DE: Subtle pleural metastasis without large effusion in lung cancer patients: Preoperative detection on CT. Korean J Radiol. 6:94–101. 2005. View Article : Google Scholar : PubMed/NCBI

6 

Ahn SY, Park CM, Jeon YK, Kim H, Lee JH, Hwang EJ and Goo JM: Predictive CT features of visceral pleural invasion by T1-Sized peripheral pulmonary adenocarcinomas manifesting as subsolid nodules. AJR Am J Roentgenol. 209:561–566. 2017. View Article : Google Scholar : PubMed/NCBI

7 

Takizawa H, Kondo K, Kawakita N, Tsuboi M, Toba H, Kajiura K, Kawakami Y, Sakiyama S, Tangoku A, Morishita A, et al: Autofluorescence for the diagnosis of visceral pleural invasion in non-small-cell lung cancer. Eur J Cardiothorac Surg. 53:987–992. 2018. View Article : Google Scholar : PubMed/NCBI

8 

McShane LM, Altman DG, Sauerbrei W, Taube SE, Gion M and Clark GM; Statistics Subcommittee of the NCI-EORTC Working Group on Cancer Diagnostics, : Reporting recommendations for tumor MARKer prognostic studies (REMARK). Nat Clin Pract Urol. 2:416–422. 2005. View Article : Google Scholar : PubMed/NCBI

9 

Yushkevich PA, Piven J, Hazlett HC, Smith RG, Ho S, Gee JC and Gerig G: User-guided 3D active contour segmentation of anatomical structures: Significantly improved efficiency and reliability. Neuroimage. 31:1116–1128. 2006. View Article : Google Scholar : PubMed/NCBI

10 

Jung G, Hwang HS, Jang SJ and Ro JY: Are elastic stain and specialty sign out necessary to evaluate pleural invasion in lung cancers? Ann Diagn Pathol. 16:250–254. 2012. View Article : Google Scholar : PubMed/NCBI

11 

Hsu JS, Han IT, Tsai TH, Lin SF, Jaw TS, Liu GC, Chou SH, Chong IW and Chen CY: Pleural tags on CT scans to predict visceral pleural invasion of non-small cell lung cancer that does not abut the pleura. Radiology. 279:590–596. 2016. View Article : Google Scholar : PubMed/NCBI

12 

Imai K, Minamiya Y, Ishiyama K, Hashimoto M, Saito H, Motoyama S, Sato Y and Ogawa J: Use of CT to evaluate pleural invasion in non-small cell lung cancer: Measurement of the ratio of the interface between tumor and neighboring structures to maximum tumor diameter. Radiology. 267:619–626. 2013. View Article : Google Scholar : PubMed/NCBI

13 

Yang S, Yang L, Teng L, Zhang S, Cui Y, Cao Y and Shi H: Visceral pleural invasion by pulmonary adenocarcinoma ≤3 cm: The pathological correlation with pleural signs on computed tomography. J Thorac Dis. 10:3992–3999. 2018. View Article : Google Scholar : PubMed/NCBI

14 

Travis WD, Brambilla E, Rami-Porta R, Vallières E, Tsuboi M, Rusch V and Goldstraw P; International Staging Committee. Visceral pleural invasion, : Pathologic criteria and use of elastic stains: Proposal for the 7th edition of the TNM classification for lung cancer. J Thorac Oncol. 3:1384–1390. 2008. View Article : Google Scholar : PubMed/NCBI

15 

Wang T, Zhou C and Zhou Q: Extent of visceral pleural invasion affects prognosis of resected non-small cell lung cancer: A meta-analysis. Sci Rep. 7:15272017. View Article : Google Scholar : PubMed/NCBI

16 

Liang RB, Li P, Li BT, Jin JT, Rusch VW, Jones DR, Wu YL, Liu Q, Yang J, Yang MZ, et al: Modification of pathologic T classification for non-small cell lung cancer with visceral pleural invasion: Data from 1,055 cases of cancers ≤3 cm. Chest. 160:754–764. 2021. View Article : Google Scholar : PubMed/NCBI

17 

Zhao Q, Wang JW, Yang L, Xue LY and Lu WW: CT diagnosis of pleural and stromal invasion in malignant subpleural pure ground-glass nodules: An exploratory study. Eur Radiol. 29:279–286. 2019. View Article : Google Scholar : PubMed/NCBI

18 

Zuo Z, Li Y, Peng K, Li X, Tan Q, Mo Y, Lan Y, Zeng W and Qi W: CT texture analysis-based nomogram for the preoperative prediction of visceral pleural invasion in cT1N0M0 lung adenocarcinoma: An external validation cohort study. Clin Radiol. 77:e215–e221. 2022. View Article : Google Scholar : PubMed/NCBI

19 

Iizuka S, Kawase A, Oiwa H, Ema T, Shiiya N and Funai K: A risk scoring system for predicting visceral pleural invasion in non-small lung cancer patients. Gen Thorac Cardiovasc Surg. 67:876–879. 2019. View Article : Google Scholar : PubMed/NCBI

20 

Kim H, Goo JM, Kim YT and Park CM: CT-defined visceral pleural invasion in T1 lung adenocarcinoma: Lack of relationship to disease-free survival. Radiology. 292:741–749. 2019. View Article : Google Scholar : PubMed/NCBI

21 

Choi H, Kim H, Hong W, Park J, Hwang EJ, Park CM, Kim YT and Goo JM: Prediction of visceral pleural invasion in lung cancer on CT: Deep learning model achieves a radiologist-level performance with adaptive sensitivity and specificity to clinical needs. Eur Radiol. 31:2866–2876. 2021. View Article : Google Scholar : PubMed/NCBI

22 

Klinkenberg TJ, Dinjens L, Wolf RFE, van der Wekken AJ, van de Wauwer C, de Bock GH, Timens W, Mariani MA and Groen HJM: CT-guided percutaneous hookwire localization increases the efficacy and safety of VATS for pulmonary nodules. J Surg Oncol. 115:898–904. 2017. View Article : Google Scholar : PubMed/NCBI

Related Articles

  • Abstract
  • View
  • Download
  • Twitter
Copy and paste a formatted citation
Spandidos Publications style
Kong L, Xue W, Zhao H, Zhang X, Chen S, Ren D and Duan G: Predicting pleural invasion of invasive lung adenocarcinoma in the adjacent pleura by imaging histology. Oncol Lett 26: 438, 2023.
APA
Kong, L., Xue, W., Zhao, H., Zhang, X., Chen, S., Ren, D., & Duan, G. (2023). Predicting pleural invasion of invasive lung adenocarcinoma in the adjacent pleura by imaging histology. Oncology Letters, 26, 438. https://doi.org/10.3892/ol.2023.14025
MLA
Kong, L., Xue, W., Zhao, H., Zhang, X., Chen, S., Ren, D., Duan, G."Predicting pleural invasion of invasive lung adenocarcinoma in the adjacent pleura by imaging histology". Oncology Letters 26.4 (2023): 438.
Chicago
Kong, L., Xue, W., Zhao, H., Zhang, X., Chen, S., Ren, D., Duan, G."Predicting pleural invasion of invasive lung adenocarcinoma in the adjacent pleura by imaging histology". Oncology Letters 26, no. 4 (2023): 438. https://doi.org/10.3892/ol.2023.14025
Copy and paste a formatted citation
x
Spandidos Publications style
Kong L, Xue W, Zhao H, Zhang X, Chen S, Ren D and Duan G: Predicting pleural invasion of invasive lung adenocarcinoma in the adjacent pleura by imaging histology. Oncol Lett 26: 438, 2023.
APA
Kong, L., Xue, W., Zhao, H., Zhang, X., Chen, S., Ren, D., & Duan, G. (2023). Predicting pleural invasion of invasive lung adenocarcinoma in the adjacent pleura by imaging histology. Oncology Letters, 26, 438. https://doi.org/10.3892/ol.2023.14025
MLA
Kong, L., Xue, W., Zhao, H., Zhang, X., Chen, S., Ren, D., Duan, G."Predicting pleural invasion of invasive lung adenocarcinoma in the adjacent pleura by imaging histology". Oncology Letters 26.4 (2023): 438.
Chicago
Kong, L., Xue, W., Zhao, H., Zhang, X., Chen, S., Ren, D., Duan, G."Predicting pleural invasion of invasive lung adenocarcinoma in the adjacent pleura by imaging histology". Oncology Letters 26, no. 4 (2023): 438. https://doi.org/10.3892/ol.2023.14025
Follow us
  • Twitter
  • LinkedIn
  • Facebook
About
  • Spandidos Publications
  • Careers
  • Cookie Policy
  • Privacy Policy
How can we help?
  • Help
  • Live Chat
  • Contact
  • Email to our Support Team