Spandidos Publications Logo
  • About
    • About Spandidos
    • Aims and Scopes
    • Abstracting and Indexing
    • Editorial Policies
    • Reprints and Permissions
    • Job Opportunities
    • Terms and Conditions
    • Contact
  • Journals
    • All Journals
    • Oncology Letters
      • Oncology Letters
      • Information for Authors
      • Editorial Policies
      • Editorial Board
      • Aims and Scope
      • Abstracting and Indexing
      • Bibliographic Information
      • Archive
    • International Journal of Oncology
      • International Journal of Oncology
      • Information for Authors
      • Editorial Policies
      • Editorial Board
      • Aims and Scope
      • Abstracting and Indexing
      • Bibliographic Information
      • Archive
    • Molecular and Clinical Oncology
      • Molecular and Clinical Oncology
      • Information for Authors
      • Editorial Policies
      • Editorial Board
      • Aims and Scope
      • Abstracting and Indexing
      • Bibliographic Information
      • Archive
    • Experimental and Therapeutic Medicine
      • Experimental and Therapeutic Medicine
      • Information for Authors
      • Editorial Policies
      • Editorial Board
      • Aims and Scope
      • Abstracting and Indexing
      • Bibliographic Information
      • Archive
    • International Journal of Molecular Medicine
      • International Journal of Molecular Medicine
      • Information for Authors
      • Editorial Policies
      • Editorial Board
      • Aims and Scope
      • Abstracting and Indexing
      • Bibliographic Information
      • Archive
    • Biomedical Reports
      • Biomedical Reports
      • Information for Authors
      • Editorial Policies
      • Editorial Board
      • Aims and Scope
      • Abstracting and Indexing
      • Bibliographic Information
      • Archive
    • Oncology Reports
      • Oncology Reports
      • Information for Authors
      • Editorial Policies
      • Editorial Board
      • Aims and Scope
      • Abstracting and Indexing
      • Bibliographic Information
      • Archive
    • Molecular Medicine Reports
      • Molecular Medicine Reports
      • Information for Authors
      • Editorial Policies
      • Editorial Board
      • Aims and Scope
      • Abstracting and Indexing
      • Bibliographic Information
      • Archive
    • World Academy of Sciences Journal
      • World Academy of Sciences Journal
      • Information for Authors
      • Editorial Policies
      • Editorial Board
      • Aims and Scope
      • Abstracting and Indexing
      • Bibliographic Information
      • Archive
    • International Journal of Functional Nutrition
      • International Journal of Functional Nutrition
      • Information for Authors
      • Editorial Policies
      • Editorial Board
      • Aims and Scope
      • Abstracting and Indexing
      • Bibliographic Information
      • Archive
    • International Journal of Epigenetics
      • International Journal of Epigenetics
      • Information for Authors
      • Editorial Policies
      • Editorial Board
      • Aims and Scope
      • Abstracting and Indexing
      • Bibliographic Information
      • Archive
    • Medicine International
      • Medicine International
      • Information for Authors
      • Editorial Policies
      • Editorial Board
      • Aims and Scope
      • Abstracting and Indexing
      • Bibliographic Information
      • Archive
  • Articles
  • Information
    • Information for Authors
    • Information for Reviewers
    • Information for Librarians
    • Information for Advertisers
    • Conferences
  • Language Editing
Spandidos Publications Logo
  • About
    • About Spandidos
    • Aims and Scopes
    • Abstracting and Indexing
    • Editorial Policies
    • Reprints and Permissions
    • Job Opportunities
    • Terms and Conditions
    • Contact
  • Journals
    • All Journals
    • Biomedical Reports
      • Information for Authors
      • Editorial Policies
      • Editorial Board
      • Aims and Scope
      • Abstracting and Indexing
      • Bibliographic Information
      • Archive
    • Experimental and Therapeutic Medicine
      • Information for Authors
      • Editorial Policies
      • Editorial Board
      • Aims and Scope
      • Abstracting and Indexing
      • Bibliographic Information
      • Archive
    • International Journal of Epigenetics
      • Information for Authors
      • Editorial Policies
      • Editorial Board
      • Aims and Scope
      • Abstracting and Indexing
      • Bibliographic Information
      • Archive
    • International Journal of Functional Nutrition
      • Information for Authors
      • Editorial Policies
      • Editorial Board
      • Aims and Scope
      • Abstracting and Indexing
      • Bibliographic Information
      • Archive
    • International Journal of Molecular Medicine
      • Information for Authors
      • Editorial Policies
      • Editorial Board
      • Aims and Scope
      • Abstracting and Indexing
      • Bibliographic Information
      • Archive
    • International Journal of Oncology
      • Information for Authors
      • Editorial Policies
      • Editorial Board
      • Aims and Scope
      • Abstracting and Indexing
      • Bibliographic Information
      • Archive
    • Medicine International
      • Information for Authors
      • Editorial Policies
      • Editorial Board
      • Aims and Scope
      • Abstracting and Indexing
      • Bibliographic Information
      • Archive
    • Molecular and Clinical Oncology
      • Information for Authors
      • Editorial Policies
      • Editorial Board
      • Aims and Scope
      • Abstracting and Indexing
      • Bibliographic Information
      • Archive
    • Molecular Medicine Reports
      • Information for Authors
      • Editorial Policies
      • Editorial Board
      • Aims and Scope
      • Abstracting and Indexing
      • Bibliographic Information
      • Archive
    • Oncology Letters
      • Information for Authors
      • Editorial Policies
      • Editorial Board
      • Aims and Scope
      • Abstracting and Indexing
      • Bibliographic Information
      • Archive
    • Oncology Reports
      • Information for Authors
      • Editorial Policies
      • Editorial Board
      • Aims and Scope
      • Abstracting and Indexing
      • Bibliographic Information
      • Archive
    • World Academy of Sciences Journal
      • Information for Authors
      • Editorial Policies
      • Editorial Board
      • Aims and Scope
      • Abstracting and Indexing
      • Bibliographic Information
      • Archive
  • Articles
  • Information
    • For Authors
    • For Reviewers
    • For Librarians
    • For Advertisers
    • Conferences
  • Language Editing
Login Register Submit
  • This site uses cookies
  • You can change your cookie settings at any time by following the instructions in our Cookie Policy. To find out more, you may read our Privacy Policy.

    I agree
Search articles by DOI, keyword, author or affiliation
Search
Advanced Search
presentation
Oncology Letters
Join Editorial Board Propose a Special Issue
Print ISSN: 1792-1074 Online ISSN: 1792-1082
Journal Cover
November-2023 Volume 26 Issue 5

Full Size Image

Sign up for eToc alerts
Recommend to Library

Journals

International Journal of Molecular Medicine

International Journal of Molecular Medicine

International Journal of Molecular Medicine is an international journal devoted to molecular mechanisms of human disease.

International Journal of Oncology

International Journal of Oncology

International Journal of Oncology is an international journal devoted to oncology research and cancer treatment.

Molecular Medicine Reports

Molecular Medicine Reports

Covers molecular medicine topics such as pharmacology, pathology, genetics, neuroscience, infectious diseases, molecular cardiology, and molecular surgery.

Oncology Reports

Oncology Reports

Oncology Reports is an international journal devoted to fundamental and applied research in Oncology.

Experimental and Therapeutic Medicine

Experimental and Therapeutic Medicine

Experimental and Therapeutic Medicine is an international journal devoted to laboratory and clinical medicine.

Oncology Letters

Oncology Letters

Oncology Letters is an international journal devoted to Experimental and Clinical Oncology.

Biomedical Reports

Biomedical Reports

Explores a wide range of biological and medical fields, including pharmacology, genetics, microbiology, neuroscience, and molecular cardiology.

Molecular and Clinical Oncology

Molecular and Clinical Oncology

International journal addressing all aspects of oncology research, from tumorigenesis and oncogenes to chemotherapy and metastasis.

World Academy of Sciences Journal

World Academy of Sciences Journal

Multidisciplinary open-access journal spanning biochemistry, genetics, neuroscience, environmental health, and synthetic biology.

International Journal of Functional Nutrition

International Journal of Functional Nutrition

Open-access journal combining biochemistry, pharmacology, immunology, and genetics to advance health through functional nutrition.

International Journal of Epigenetics

International Journal of Epigenetics

Publishes open-access research on using epigenetics to advance understanding and treatment of human disease.

Medicine International

Medicine International

An International Open Access Journal Devoted to General Medicine.

Journal Cover
November-2023 Volume 26 Issue 5

Full Size Image

Sign up for eToc alerts
Recommend to Library

  • Article
  • Citations
    • Cite This Article
    • Download Citation
    • Create Citation Alert
    • Remove Citation Alert
    • Cited By
  • Similar Articles
    • Related Articles (in Spandidos Publications)
    • Similar Articles (Google Scholar)
    • Similar Articles (PubMed)
  • Download PDF
  • Download XML
  • View XML

  • Supplementary Files
    • Supplementary_Data1.pdf
    • Supplementary_Data2.pdf
Article Open Access

Treatment response prediction of neoadjuvant chemotherapy for rectal cancer by deep learning of colonoscopy images

  • Authors:
    • Shinya Kato
    • Norikatsu Miyoshi
    • Shiki Fujino
    • Soichiro Minami
    • Ayumi Nagae
    • Rie Hayashi
    • Yuki Sekido
    • Tsuyoshi Hata
    • Atsushi Hamabe
    • Takayuki Ogino
    • Mitsuyoshi Tei
    • Yoshinori Kagawa
    • Hidekazu Takahashi
    • Mamoru Uemura
    • Hirofumi Yamamoto
    • Yuichiro Doki
    • Hidetoshi Eguchi
  • View Affiliations / Copyright

    Affiliations: Department of Gastroenterological Surgery, Graduate School of Medicine, Osaka University, Suita, Osaka 565‑0871, Japan, Department of Innovative Oncology Research and Regenerative Medicine, Osaka International Cancer Institute, Osaka 541‑8567, Japan, Department of Surgery, Osaka Rosai Hospital, Sakai, Osaka 591‑8025, Japan, Department of Gastroenterological Surgery, Osaka General Medical Center, Osaka 558‑8588, Japan
    Copyright: © Kato et al. This is an open access article distributed under the terms of Creative Commons Attribution License.
  • Article Number: 474
    |
    Published online on: September 20, 2023
       https://doi.org/10.3892/ol.2023.14062
  • Expand metrics +
Metrics: Total Views: 0 (Spandidos Publications: | PMC Statistics: )
Metrics: Total PDF Downloads: 0 (Spandidos Publications: | PMC Statistics: )
Cited By (CrossRef): 0 citations Loading Articles...

This article is mentioned in:



Abstract

In current clinical practice, several treatment methods, including neoadjuvant therapy, are being developed to improve overall survival or local recurrence rates for locally advanced rectal cancer. The response to neoadjuvant therapy is usually evaluated using imaging data collected before and after preoperative treatment or postsurgical pathological diagnosis. However, there is a need to accurately predict the response to preoperative treatment before treatment is administered. The present study used a deep learning network to examine colonoscopy images and construct a model to predict the response of rectal cancer to neoadjuvant chemotherapy. A total of 53 patients who underwent preoperative chemotherapy followed by radical resection for advanced rectal cancer at the Osaka University Hospital between January 2011 and August 2019 were retrospectively analyzed. A convolutional neural network model was constructed using 403 images from 43 patients as the learning set. The diagnostic accuracy of the deep learning model was evaluated using 84 images from 10 patients as the validation set. The model demonstrated a sensitivity, specificity, accuracy, positive predictive value and area under the curve of 77.6% (38/49), 62.9% (22/33), 71.4% (60/84), 74.5% (38/51) and 0.713, respectively, in predicting a poor response to neoadjuvant therapy. Overall, deep learning of colonoscopy images may contribute to an accurate prediction of the response of rectal cancer to neoadjuvant chemotherapy.

Introduction

Colorectal cancer (CRC) is the third most common malignancy worldwide and the second most common cause of cancer-associated mortality (1). After the locoregional cancer is treated, CRC often causes distant metastasis, with the liver being the most common site (2). Due to anatomical reasons, patients with rectal cancer (RC) have a higher risk of local recurrence compared with patients with colon cancer, and locally recurrent RC is associated with a poor prognosis (3–5). Therefore, various neoadjuvant therapy approaches have been attempted for stage II or stage III RC to prevent distant metastasis and local recurrence, including neoadjuvant chemotherapy (6–8), neoadjuvant chemoradiotherapy (9–11) and total neoadjuvant therapy (12–14).

Previous studies have indicated that tumor regression detected through imaging after preoperative treatment is associated with long-term prognosis in patients with RC (15,16). In a prospective cohort study, the tumor regression grade assessed through imaging was significantly associated with overall survival and disease-free survival (15). Various efforts have been made to explore the usefulness of serological or genetic biomarkers as predictors of the response to preoperative treatment, although such biomarkers are costly (17,18). The use of regular examinations to predict the response of preoperative treatment is desirable in terms of cost-effectiveness and objectivity. Colonoscopy is typically performed on nearly all patients suspected of having colorectal cancer before surgery to assess tumor size, depth and circumference, followed by biopsy to confirm the diagnosis (19,20). Patients undergoing preoperative treatment are assessed for treatment response by comparing endoscopic images taken before and after preoperative treatment. Colonoscopy images are thus among the most readily available tumor images.

Conventional artificial intelligence (AI) techniques and machine learning have major limitations in analyzing natural data (21). However, deep learning, which has emerged in previous years, excels in learning complex structures with high-dimensional data and has enabled significant advancements in various fields (21,22). Deep learning is applicable to medicine, and AI tools developed in collaboration with AI experts, specialized facilities, companies and physicians are gradually being implemented in practical settings (23–25).

The present research developed a deep learning prediction model to assess the treatment response of RC to neoadjuvant chemotherapy using endoscopic images taken during the initial examination. The prediction accuracy of the model was further investigated. To the best of our knowledge, no report has verified whether deep learning of colonoscopy images from initial examinations can predict the response of RC to neoadjuvant chemotherapy.

Materials and methods

Patients and datasets

The present retrospective study included patients who underwent radical resection for advanced RC after neoadjuvant chemotherapy at Osaka University Hospital (Suita, Japan) between January 2011 and August 2019. The exclusion criteria were incomplete planned neoadjuvant chemotherapy, lack of preserved endoscopic images or missing clinical data. The patient characteristics are summarized in Tables I and SI. The mean age of the patients was 60.2 years (range, 19–77 years), with 33 men and 20 women.

Table I.

Clinicopathological backgrounds.

Table I.

Clinicopathological backgrounds.

VariablesLearning set (n=43)Validation set (n=10)P-value
Age, years
  Median (IQR)64 (56–71)59 (37–65)0.069a
Sex, n (%)
  Male28 (65.1)5 (50.0)0.475b
  Female15 (34.9)5 (50.0)
Body mass index
  Median (IQR)22 (20.4–24.5)24.1 (16.3–25.5)0.139a
Carcinoembryonic antigen, ng/ml
  Median (IQR)5 (2–9)4.5 (3–17.8)0.731a
Carbohydrate antigen 19-9, U/ml
  Median (IQR)18 (6–39)27.5 (8.6–52.9)0.413a
Tumor location, n (%)
  Ra4 (9.3)1 (10.0) >0.999b
  Rb39 (90.7)9 (90.0)
Histological grade, n (%)
  Tub, no evidence of cancer38 (88.4)9 (90.0) >0.999b
  Muc, Por5 (11.6)1 (10.0)
Lymphatic invasion, n (%)
  Present19 (44.2)5 (50.0) >0.999b
  Absent24 (55.8%)5 (50.0)
Vascular invasion, n (%)
  Present13 (30.2)3 (30.0) >0.999b
  absent30 (69.8)7 (70.0)
Pathological tumor invasion, n (%)
  T0, Tis, T1, T222 (51.2)5 (50.0) >0.999b
  T3, T421 (48.8)5 (50.0)
Pathological lymph node metastasis, n (%)
  Present15 (34.9)2 (20.0)0.471b
  Absent28 (65.1)8 (80.0)
Pathological tumor regression grade, n (%)
  Grade 0, 1, 26 (14.0)3 (30.0)0.346b
  Grade 337 (86.0)7 (70.0)
Clinical response to NAC, n (%)
  Poor response22 (51.2)5 (50.0) >0.999b
  Good response21 (48.8)5 (50.0)
Regimens of NAC, n (%)
  Capecitabine, oxaliplatin containing42 (97.7)10 (100.0) >0.999b
  Capecitabin and Bevacizumab1 (2.3)0 (0.0)

a Mann-Whitney U test,

b Fisher's exact test. Location and histological grade were determined according to the Japanese Classification of Colorectal Carcinoma (9th edition). Clinical response was determined according to Response Evaluation Criteria in Solid Tumors version 1.1. Progressive disease and stable disease were defined as poor response, and partial response and complete response were defined as good response. Ra, upper rectum; Rb, lower rectum; IQR, interquartile range; Tub, tubular adenocarcinoma; Por, poorly differentiated adenocarcinoma; NAC, neo-adjuvant chemotherapy.

The information and images of the patients were obtained from electronic medical records. Clinical and pathological factors were determined according to the 8th edition of the Union for International Cancer Control Tumor-Node-Metastasis classification (26). Multidetector row computed tomography (MDCT) and magnetic resonance imaging (MRI) were used to preoperatively diagnose progression, including tumor invasion and lymph node metastasis. Lymph nodes with a short axis diameter of ≥7 mm on MDCT were considered positive (27). The MDCT parameters were rotation speed of 0.6 s/r, helical pitch of 17.5 mm/r and slice thickness of 0.625 mm. The reconstruction intervals were set to 0.5 mm. MRI was performed using a thin, 3-mm section turbo spin-echo T2-weighted technique with a surface pelvic phased-array coil and a small field of view. Bowel preparation, air insufflation or intravenous antispasmodic agents were not routinely used.

The location and histological grade in response to neoadjuvant chemotherapy were determined according to the Japanese Classification of Colorectal, Appendiceal and Anal Carcinoma (28). The classification of pathological tumor regression grade was based on the guidelines provided by the National Comprehensive Cancer Network (29). R0 resection was defined as no evidence of tumor within 1-mm of the distal, proximal or radial margins, as assessed by the review of the pathologists who were independent from the present study.

Evaluation of clinical response to neoadjuvant chemotherapy

Clinical response to neoadjuvant chemotherapy was assessed by MRI conducted before and after chemotherapy according to the Response Evaluation Criteria in Solid Tumors version 1.1 (30). To simplify the end points, progressive disease and stable disease were defined as poor responder RC (PR-RC), and partial response and complete response as good responder RC (GR-RC).

Colonoscopy

Colonoscopy was performed before and after neoadjuvant chemotherapy. The images were obtained using the EVIS LUCERA video system (Olympus Corporation) and the following colonoscopes: CF-HQ290I, CF-Q260AI, PCF-H290I, PCF-H290I, PCF-Q260AI, CF-H290I and CF-H260AI (Olympus Corporation). All these endoscopes were equipped with high-definition-compatible charge-coupled devices that enabled high-quality imaging. Although the endoscopes had different scope diameters, viewing angles and focal lengths, they yielded images of similar quality. All images had at least one RC lesion, and multiple images of the same lesion were produced to illustrate the differences in angle, distance and extension of the mucosa. Images that include at least part of the tumor area within the field of view were selected. The present study did not limit images of the target by the distance from the tumor surface. All images were captured under white light after adjusting white balance. Poor-quality images due to halos, blurred focus or mucus were excluded from the current study.

Deep learning

A model was constructed using deep learning of colonoscopy images to predict PR-RC or GR-RC. Overall, two models were constructed, one based on pre-treatment images and the other based on post-treatment images (Figs. 1B and S1A). AlexNet (31) in Matlab 2022b (MathWorks) was used as the network for building the models (32). Deep Learning Toolbox (MathWorks; http://jp.mathworks.com/products/deep-learning.html) and Image Processing Toolbox (MathWorks; http://jp.mathworks.com/products/image.html) were used as toolboxes for constructing the deep learning models. To eliminate unnecessary background information and focus on the tumor, each image was cropped to a square shape and resized to a predetermined size prior to the analysis. Occlusion was used to assess the impact input images and determine their influence on the classification results.

Figure 1.

Overview of the deep learning model. (A) Study population diagram. (B) Deep learning was performed using 322 colonoscopy images taken before neoadjuvant chemotherapy. The validity of the constructed prediction model was verified with an independent validation set including 84 images.

Statistical analyses

The differences in clinicopathological factors between the two groups were analyzed using Fisher's exact test. Continuous variables that had a non-parametric distribution were analyzed using the Mann-Whitney U test. The Shapiro-Wilk test was used to test for normality. The continuous variables are presented as the median ± interquartile range. P<0.05 was considered to indicate a statistically significant difference for all analyses. All statistical analyses were performed using the JMP Pro version 16 (SAS Institute, Inc.).

Results

A total of 53 of the 71 patients were included in the present study. A total of 322 pre-treatment images from 43 patients who underwent neoadjuvant chemotherapy for advanced RC between January 2011 and March 2018 were included in the learning set (Table I; Fig. 1). A validation set was created that included 84 images obtained during the pre-treatment examination of 10 patients who underwent neoadjuvant chemotherapy between June 2018 and August 2019. All patients underwent total mesorectal excision with R0 resection 3 to 6 weeks after completing neoadjuvant chemotherapy. In the learning set, patients with PR-RC had more advanced pathological tumor invasion and pathological lymph node metastasis compared with that observed among patients GR-RC, reflecting the clinical efficacy of neoadjuvant chemotherapy (Table II).

Table II.

Clinicopathological features of the learning set.

Table II.

Clinicopathological features of the learning set.

VariablesPoor responder (n=21)Good responder (n=22)P-value
Age, years
  Median (IQR)62 (56–71)64.5 (54–70)0.913a
Sex, n (%)
  Male16 (76.2)12 (54.5)0.203b
  Female5 (23.8)10 (45.5)
Body mass index
  Median (IQR)22.8 (20.4–24.8)21.9 (20.1–23.6)0.671a
Carcinoembryonic Antigen, ng/ml
  Median (IQR)6 (3–10)3 (2–9.75)0.413a
Carbohydrate antigen 19-9, U/ml
  Median (IQR)18 (5.75–46.5)12 (5–40)0.913a
Tumor location, n (%)
  Ra2 (9.5)0 (0.0)0.233b
  Rb19 (90.5)22 (100.0)
Histological grade, n (%)
  Tubular adenocarcinoma17 (81.0)21 (95.5)0.185b
  Muc or por4 (19.0)1 (4.5)
Lymphatic invasion, n (%)
  Present11 (52.4)8 (36.4)0.364b
  Absent10 (47.6)14 (63.6)
Vascular invasion, n (%)
  Present8 (38.1)5 (22.7)0.332b
  Absent13 (61.9)17 (77.3)
Pathological tumor invasion, n (%)
  T1, T26 (28.6)16 (72.7)0.006b,c
  T3, T415 (71.4)6 (7.3)
Pathological lymph node metastasis, n (%)
  Present11 (52.4)4 (18.2)0.027b,c
  Absent10 (47.6)18 (81.8)
Pathological tumor regression grade, n (%)
  Grade 0, 1, 21 (4.8)5 (22.7)0.185b
  Grade 320 (95.2)17 (77.3)

a Mann-Whitney U test,

b Fisher's exact test.

c P<0.05. Location and histological grade were determined according to the Japanese Classification of Colorectal Carcinoma (9th edition). Clinical response was determined according to Response Evaluation Criteria in Solid Tumors version 1.1. Progressive disease and stable disease were defined as poor response, and partial response and complete response were defined as good response. Ra, upper rectum; Rb, lower rectum; NAC, neo-adjuvant chemotherapy; IQR, interquartile range.

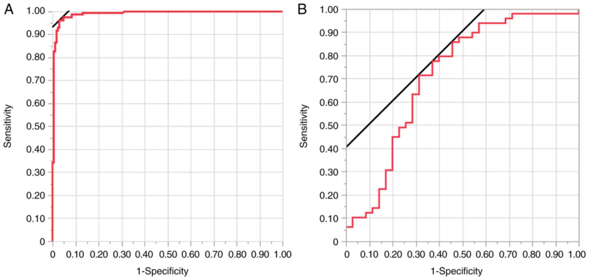
The present study constructed a prediction model based on deep learning of pre-treatment images and clinical responses in the learning set. The accuracy of pre-chemotherapy deep learning model in predicting the response to chemotherapy in the validation set is shown in Table III. In the validation dataset, 49 images were taken from five patients who were clinically diagnosed as PR-RC, and 35 images were taken from five patients who were clinically diagnosed as GR-RC. When using the validation set, the sensitivity, specificity, positive predictive value, accuracy and area under the curve (AUC) of the model in predicting PR-RC status were 77.6% (38/49), 62.9% (22/35), 74.5% (38/51), 71.4% (60/84) and 0.713, respectively (Table II; Fig. 2).

Figure 2.

Receiver operating characteristic curves of the deep learning model. (A) Area under the curve value of the learning set was 0.990. (B) Area under the curve value of the validation set was 0.713.

Table III.

Prediction accuracy in the validation set of AI prediction models constructed by deep learning of colonoscopy images before neoadjuvant chemotherapy.

Table III.

Prediction accuracy in the validation set of AI prediction models constructed by deep learning of colonoscopy images before neoadjuvant chemotherapy.

AI prediction

Clinical responsePoor responderGood responderTotal
Poor responder38 images11 images49 images
Good responder13 images22 images35 images

[i] Sensitivity, 77.6% (38/49); specificity, 62.9% (22/35); positive predictive value, 74.5% (38/51); accuracy, 71.4% (60/84). Clinical response was determined according to Response Evaluation Criteria in Solid Tumors version 1.1. Progressive disease and stable disease were defined as poor response, and partial response and complete response were defined as good response. AI, artificial intelligence.

Prediction errors where the model was unable to predict response occurred when the AI focused on areas other than the tumor (Fig. 3). The percentages of incorrect predictions where the AI focused on tumor area were 36.4% for PR-RC and 15.4% for GR-RC. The percentage of incorrect predictions where the AI focused on the normal mucosa was 54.5% for PR-RC and 46.1% for GR-RC (Table IV). The percentages of incorrect predictions focused on bleeding were 9.1% for PR-RC and 38.5% for GR-RC. AI focus on non-tumor areas was considered to be partly responsible for the incorrect AI predictions.

Figure 3.

Examples for attention color mapping on six colonoscopy images. (A) Examples of correct AI prediction. (B) Incorrect AI prediction due to focus on normal mucosa or bleeding. White arrows indicate the normal mucosa that the AI focused on. White arrow heads indicate the bleeding that the AI focused on. AI, artificial intelligence; CNN, convolutional neural network; PR, poor response; GR, good response.

Table IV.

Focused area of incorrect AI prediction in the validation set.

Table IV.

Focused area of incorrect AI prediction in the validation set.

Focused area of incorrect AI prediction

Other area

Clinical responseTumor areaNormal mucosaBleedingTotal
Poor responder4 images (36.4%)6 images (54.5%)1 image (9.1%)11 images
Good responder2 images (15.4%)6 images (46.1%)5 images (38.5%)13 images

[i] Clinical response was determined according to Response Evaluation Criteria in Solid Tumors version 1.1. Progressive disease and stable disease were defined as poor response, and partial response and complete response were defined as good response. AI, artificial intelligence.

Finally, the present study constructed another prediction model based on deep learning of clinical responses and colonoscopy images of the same patient dataset after preoperative chemotherapy, and its accuracy was verified. The same learning and validation sets were used to test the model based on colonoscopy images after preoperative chemotherapy. The accuracy of the model is shown in Table SII. The post-chemotherapy model had a sensitivity of 40.5% (17/42), specificity of 56.1% (23/41), accuracy of 48.2% (40/83) and AUC value of 0.592 (Fig. S1C). The post-chemotherapy deep learning model had inferior predictive performance to the model based on pre-chemotherapy endoscopic images.

Discussion

AI technology has achieved unprecedented success in various fields. Deep learning, which is a subset of machine learning that focuses on deep artificial neural networks (21,25), has been used in numerous areas of oncology, ranging from cancer detection and classification to the molecular characterization of tumors and their microenvironment (33,34), drug discovery (35) and prediction of distant metastasis (36). In the context of predicting the efficacy of preoperative treatment for RC, deep learning based on MRI images and hematoxylin-eosin (HE) staining images has been reportedly useful in predicting complete response to preoperative chemoradiotherapy (37). The colonoscopy that was the source of images in the current study was an examination conducted for nearly all patients with RC who received preoperative treatment, meaning it was relatively straightforward to implement a deep learning model using this modality in clinical practice.

The present study examined the ability of deep learning models based on colonoscopy images to predict the response of RC to preoperative chemotherapy. This study did not include the patients who were provided neoadjuvant radiation therapy or neoadjuvant chemoradiotherapy because the mechanisms of antitumor effects of chemotherapy and radiation therapy differ. The model based on colonoscopy images taken before preoperative chemotherapy was able to differentiate PR-RC from GR-RC with a sensitivity of 77.6% and accuracy of 71.4% with an AUC of 0.713. Furthermore, the present study created a program to visualize the parts of the image that the AI recognized and diagnosed using a color map (38–40). AI-based image recognition detects the location of the tumor as well as the information around the tumor, including the bleeding area, which might influence the prediction accuracy. Implementing a program that accurately recognizes the tumor surface may improve the accuracy of the prediction. The analyses in the study did not exclude patients who used molecularly targeted drugs. The present study also attempted to create another model using pre-treatment images except for the patients who used molecularly targeted drugs and the accuracy was assessed. The sensitivity and accuracy of the model that excluded the patient on targeted therapy were 71.4% (35/49) and 65.5% (55/84), respectively.

The current study defined MRI-detected clinical response as the outcome of deep learning models because MRI assessments of tumor regression grade are imaging markers that predict survival outcomes (15). Pathologic tumor regression grading is based on the percentage of fibrosis in the surgical specimen and correlates with survival at a greater statistical significance (15,16); however, by applying a similar approach with MRI, the present study was able to assess tumor response and predict the outcome of patients before surgery (15). Future validation studies are needed to determine the tumor response and survival outcome before chemotherapy using deep learning and endoscopic images.

To the best of our knowledge, the present study was the first to report on the utility of deep learning based on pretreatment endoscopic images to predict the treatment response to neoadjuvant chemotherapy. The current results had several important implications. The first was the possibility of improving the model by combining the modality with other modalities, such as MRI images and clinicopathological factors. Recently, deep learning prediction models have combined multiple modalities to predict the clinical efficacy of preoperative RC treatment. Predictive models combining multiple modalities significantly outperform predictive models involving individual modalities (37). Secondly, the application of deep learning to pretreatment endoscopic images could serve as a potential method for predicting the complete response to preoperative chemoradiotherapy. In the future, if deep learning models based on endoscopic images demonstrate improved predictive accuracy compared with models based on histological images, their significance must be further emphasized through future validation. Thirdly, pre-chemotherapy endoscopic images may be more useful compared with post-chemotherapy images to build models predicting the effect of chemotherapy. The present study revealed that the deep learning model based on pre-chemotherapy images was more accurate in predicting chemotherapy efficacy compared with that using post-chemotherapy images. Furthermore, the present study validated a combination model; however, the sensitivity (20.0%) and accuracy (40.0%) were so low that the model was not considered useful. The deep learning model based on pre-chemotherapy images may capture features of tumor surface structures that reflect chemotherapy responsiveness.

The present results were limited by the potential risk of overfitting due to the use of data from a single-center and small sample size. Additionally, the current results are limited by uncertain reproducibility due to the lack of prospective validation; therefore, additional validation is required.

In conclusion, deep learning based on endoscopic images may allow for enhanced accuracy when predicting the response of RC to neoadjuvant chemotherapy. There is a need to collect more images and investigate additional image features to improve prediction accuracy.

Supplementary Material

Supporting Data
Supporting Data

Acknowledgements

The authors would like to thank Mr. Hiroyuki Hishida and Ms. Misa Taguchi (The MathWorks Japan, Inc., Tokyo, Japan) for their technical assistance and support in program development.

Availability of data and materials

The datasets used and/or analyzed during the current study are available from the corresponding author on reasonable request.

Authors' contributions

SK, NM, SF, MU, YD and HE conceived and designed the study. Material preparation and data collection were performed by SK, SM, AN and RH. Data analyses were performed by SK, NM, YS, TH, AH, TO, HT, MU, HY, MT and YK. The first draft of the manuscript was written by SK, and all the authors commented on previous versions of the manuscript. SK and NM confirm the authenticity of all the raw data All authors have read and approved the final manuscript.

Ethics approval and consent to participate

This study was conducted in accordance with the principles of the Declaration of Helsinki. Written informed consent was obtained from all participants. This study was approved by the Institutional Review Board of Osaka University (approval no. 19020).

Patient consent for publication

Not applicable.

Competing interests

The authors declare that they have no competing interests.

References

1 

Sung H, Ferlay J, Siegel RL, Laversanne M, Soerjomataram I, Jemal A and Bray F: Global Cancer Statistics 2020: GLOBOCAN estimates of incidence and mortality worldwide for 36 cancers in 185 countries. CA Cancer J Clin. 71:209–249. 2021. View Article : Google Scholar : PubMed/NCBI

2 

Fong Y, Cohen AM, Fortner JG, Enker WE, Turnbull AD, Coit DG, Marrero AM, Prasad M, Blumgart LH and Brennan MF: Liver resection for colorectal metastases. J Clin Oncol. 15:938–946. 1997. View Article : Google Scholar : PubMed/NCBI

3 

Rajput A and Bullard Dunn K: Surgical management of rectal cancer. Semin Oncol. 34:241–249. 2007. View Article : Google Scholar : PubMed/NCBI

4 

Weiser MR, Landmann RG, Wong WD, Shia J, Guillem JG, Temple LK, Minsky BD, Cohen AM and Paty PB: Surgical salvage of recurrent rectal cancer after transanal excision. Dis Colon Rectum. 48:1169–1175. 2005. View Article : Google Scholar : PubMed/NCBI

5 

Wiig JN, Larsen SG and Giercksky KE: Operative treatment of locally recurrent rectal cancer. Recent Results Cancer Res. 165:136–147. 2005. View Article : Google Scholar : PubMed/NCBI

6 

Schrag D, Weiser MR, Goodman KA, Gonen M, Hollywood E, Cercek A, Reidy-Lagunes DL, Gollub MJ, Shia J, Guillem JG, et al: Neoadjuvant chemotherapy without routine use of radiation therapy for patients with locally advanced rectal cancer: A pilot trial. J Clin Oncol. 32:513–518. 2014. View Article : Google Scholar : PubMed/NCBI

7 

Glynne-Jones R, Hava N, Goh V, Bosompem S, Bridgewater J, Chau I, Gaya A, Wasan H, Moran B, Melcher L, et al: Bevacizumab and Combination Chemotherapy in rectal cancer Until Surgery (BACCHUS): A phase II, multicentre, open-label, randomised study of neoadjuvant chemotherapy alone in patients with high-risk cancer of the rectum. BMC Cancer. 15:7642015. View Article : Google Scholar : PubMed/NCBI

8 

Kamiya T, Uehara K, Nakayama G, Ishigure K, Kobayashi S, Hiramatsu K, Nakayama H, Yamashita K, Sakamoto E, Tojima Y, et al: Early results of multicenter phase II trial of perioperative oxaliplatin and capecitabine without radiotherapy for high-risk rectal cancer: CORONA I study. Eur J Surg Oncol. 42:829–835. 2016. View Article : Google Scholar : PubMed/NCBI

9 

Folkesson J, Birgisson H, Pahlman L, Cedermark B, Glimelius B and Gunnarsson U: Swedish Rectal Cancer Trial: Long lasting benefits from radiotherapy on survival and local recurrence rate. J Clin Oncol. 23:5644–5650. 2005. View Article : Google Scholar : PubMed/NCBI

10 

Peeters KC, Marijnen CA, Nagtegaal ID, Kranenbarg EK, Putter H, Wiggers T, Rutten H, Pahlman L, Glimelius B, Leer JW, et al: The TME trial after a median follow-up of 6 years: Increased local control but no survival benefit in irradiated patients with resectable rectal carcinoma. Ann Surg. 246:693–701. 2007. View Article : Google Scholar : PubMed/NCBI

11 

Sauer R, Liersch T, Merkel S, Fietkau R, Hohenberger W, Hess C, Becker H, Raab HR, Villanueva MT, Witzigmann H, et al: Preoperative versus postoperative chemoradiotherapy for locally advanced rectal cancer: Results of the German CAO/ARO/AIO-94 randomized phase III trial after a median follow-up of 11 years. J Clin Oncol. 30:1926–1933. 2012. View Article : Google Scholar : PubMed/NCBI

12 

Ciseł B, Pietrzak L, Michalski W, Wyrwicz L, Rutkowski A, Kosakowska E, Cencelewicz A, Spałek M, Polkowski W, Jankiewicz M, et al: Long-course preoperative chemoradiation versus 5x5 Gy and consolidation chemotherapy for clinical T4 and fixed clinical T3 rectal cancer: Long-term results of the randomized Polish II study. Ann Oncol. 30:1298–1303. 2019. View Article : Google Scholar : PubMed/NCBI

13 

Bahadoer RR, Dijkstra EA, van Etten B, Marijnen CAM, Putter H, Kranenbarg EM, Roodvoets AGH, Nagtegaal ID, Beets-Tan RGH, Blomqvist LK, et al: Short-course radiotherapy followed by chemotherapy before total mesorectal excision (TME) versus preoperative chemoradiotherapy, TME, and optional adjuvant chemotherapy in locally advanced rectal cancer (RAPIDO): A randomised, open-label, phase 3 trial. Lancet Oncol. 22:29–42. 2021. View Article : Google Scholar : PubMed/NCBI

14 

Jin J, Tang Y, Hu C, Jiang LM, Jiang J, Li N, Liu WY, Chen SL, Li S, Lu NN, et al: Multicenter, randomized, Phase III trial of short-term radiotherapy plus chemotherapy versus long-term chemoradiotherapy in locally advanced rectal cancer (STELLAR). J Clin Oncol. 40:1681–1692. 2022. View Article : Google Scholar : PubMed/NCBI

15 

Patel UB, Taylor F, Blomqvist L, George C, Evans H, Tekkis P, Quirke P, Sebag-Montefiore D, Moran B, Heald R, et al: Magnetic resonance imaging-detected tumor response for locally advanced rectal cancer predicts survival outcomes: MERCURY experience. J Clin Oncol. 29:3753–3760. 2011. View Article : Google Scholar : PubMed/NCBI

16 

Fokas E, Liersch T, Fietkau R, Hohenberger W, Beissbarth T, Hess C, Becker H, Ghadimi M, Mrak K, Merkel S, et al: Tumor regression grading after preoperative chemoradiotherapy for locally advanced rectal carcinoma revisited: Updated results of the CAO/ARO/AIO-94 trial. J Clin Oncol. 32:1554–1562. 2014. View Article : Google Scholar : PubMed/NCBI

17 

Ghadimi BM, Grade M, Difilippantonio MJ, Varma S, Simon R, Montagna C, Füzesi L, Langer C, Becker H, Liersch T, et al: Effectiveness of gene expression profiling for response prediction of rectal adenocarcinomas to preoperative chemoradiotherapy. J Clin Oncol. 23:1826–1838. 2005. View Article : Google Scholar : PubMed/NCBI

18 

Cercek A, Dos Santos Fernandes G, Roxburgh CS, Ganesh K, Ng S, Sanchez-Vega F, Yaeger R, Segal NH, Reidy-Lagunes DL, Varghese AM, et al: Mismatch repair-deficient rectal cancer and resistance to neoadjuvant chemotherapy. Clin Cancer Res. 26:3271–3279. 2020. View Article : Google Scholar : PubMed/NCBI

19 

Lynch ML and Brand MI: Preoperative evaluation and oncologic principles of colon cancer surgery. Clin Colon Rectal Surg. 18:163–173. 2005. View Article : Google Scholar : PubMed/NCBI

20 

Arteaga-González I, Martín-Malagón A, Fernández EM, Arranz-Durán J, Parra-Blanco A, Nicolas-Perez D, Quintero-Carrión E, Luis HD and Carrillo-Pallares A: The use of preoperative endoscopic tattooing in laparoscopic colorectal cancer surgery for endoscopically advanced tumors: A prospective comparative clinical study. World J Surg. 30:605–611. 2006. View Article : Google Scholar : PubMed/NCBI

21 

LeCun Y, Bengio Y and Hinton G: Deep learning. Nature. 521:436–444. 2015. View Article : Google Scholar : PubMed/NCBI

22 

Duch W, Swaminathan K and Meller J: Artificial intelligence approaches for rational drug design and discovery. Curr Pharm Des. 13:1497–1508. 2007. View Article : Google Scholar : PubMed/NCBI

23 

Ehteshami Bejnordi B, Veta M, Johannes van Diest P, van Ginneken B, Karssemeijer N, Litjens G, van der Laak J, Hermsen M, Manson QF, Balkenhol M, et al: Diagnostic assessment of deep learning algorithms for detection of lymph node metastases in women with breast cancer. JAMA. 318:2199–2210. 2017. View Article : Google Scholar : PubMed/NCBI

24 

Khosravi P, Kazemi E, Imielinski M, Elemento O and Hajirasouliha I: Deep Convolutional neural networks enable discrimination of heterogeneous digital pathology images. EBioMedicine. 27:317–328. 2018. View Article : Google Scholar : PubMed/NCBI

25 

Bhinder B, Gilvary C, Madhukar NS and Elemento O: Artificial intelligence in cancer research and precision medicine. Cancer Discov. 11:900–915. 2021. View Article : Google Scholar : PubMed/NCBI

26 

TNM Classifcation of Maligant Tumours, Eighth Edition. Wiley Blackwell; Hoboken: 2016

27 

Yukimoto R, Uemura M, Tsuboyama T, Sekido Y, Hata T, Ogino T, Miyoshi N, Takahashi H, Kida A, Furuyashiki M, et al: Efficacy of PET/CT in diagnosis of regional lymph node metastases in patients with colorectal cancer: Retrospective cohort study. BJS Open. 6:2022. View Article : Google Scholar : PubMed/NCBI

28 

Japanese Classification of Colorectal, Appendiceal and Anal Carcinoma: The 3d English Edition [Secondary Publication]. J Anus Rectum Colon. 3:175–195. 2019. View Article : Google Scholar : PubMed/NCBI

29 

Benson AB, Venook AP, Al-Hawary MM, Azad N, Chen YJ, Ciombor KK, Cohen S, Cooper HS, Deming D, Garrido-Laguna I, et al: Rectal cancer, version 2.2022, NCCN clinical practice guidelines in oncology. J Natl Compr Canc Netw. 20:1139–1167. 2022. View Article : Google Scholar : PubMed/NCBI

30 

Eisenhauer EA, Therasse P, Bogaerts J, Schwartz LH, Sargent D, Ford R, Dancey J, Arbuck S, Gwyther S, Mooney M, et al: New response evaluation criteria in solid tumours: Revised RECIST guideline (version 1.1). Eur J Cancer. 45:228–247. 2009. View Article : Google Scholar : PubMed/NCBI

31 

Krizhevsky AS and Hinton GEI: Imagenet classification with deep convolutional neural networks. Adv Neural Inf Process Syst. 25:1097–1105. 2012.PubMed/NCBI

32 

Minami S, Saso K, Miyoshi N, Fujino S, Kato S, Sekido Y, Hata T, Ogino T, Takahashi H, Uemura M, et al: Diagnosis of depth of submucosal invasion in colorectal cancer with AI using deep learning. Cancers (Basel). 14:53612022. View Article : Google Scholar : PubMed/NCBI

33 

Yamashita R, Long J, Longacre T, Peng L, Berry G, Martin B, Higgins J, Rubin DL and Shen J: Deep learning model for the prediction of microsatellite instability in colorectal cancer: A diagnostic study. Lancet Oncol. 22:132–141. 2021. View Article : Google Scholar : PubMed/NCBI

34 

Jiao Y, Li J, Qian C and Fei S: Deep learning-based tumor microenvironment analysis in colon adenocarcinoma histopathological whole-slide images. Comput Methods Programs Biomed. 204:1060472021. View Article : Google Scholar : PubMed/NCBI

35 

Gupta R, Srivastava D, Sahu M, Tiwari S, Ambasta RK and Kumar P: Artificial intelligence to deep learning: Machine intelligence approach for drug discovery. Mol Divers. 25:1315–1360. 2021. View Article : Google Scholar : PubMed/NCBI

36 

Liu X, Zhang D, Liu Z, Li Z, Xie P, Sun K, Wei W, Dai W, Tang Z, Ding Y, et al: Deep learning radiomics-based prediction of distant metastasis in patients with locally advanced rectal cancer after neoadjuvant chemoradiotherapy: A multicentre study. EBioMedicine. 69:1034422021. View Article : Google Scholar : PubMed/NCBI

37 

Feng L, Liu Z, Li C, Li Z, Lou X, Shao L, Wang Y, Huang Y, Chen H, Pang X, et al: Development and validation of a radiopathomics model to predict pathological complete response to neoadjuvant chemoradiotherapy in locally advanced rectal cancer: A multicentre observational study. Lancet Digit Health. 4:e8–e17. 2022. View Article : Google Scholar : PubMed/NCBI

38 

Miyoshi N: AI application for surgery. J Jpn Soc Precis Eng. 88:9–11. 2022. View Article : Google Scholar

39 

Lu L, Dercle L, Zhao B and Schwartz LH: Deep learning for the prediction of early on-treatment response in metastatic colorectal cancer from serial medical imaging. Nat Commun. 12:66542021. View Article : Google Scholar : PubMed/NCBI

40 

Horvat N, Veeraraghavan H, Khan M, Blazic I, Zheng J, Capanu M, Sala E, Garcia-Aguilar J, Gollub MJ and Petkovska I: MR Imaging of rectal cancer: Radiomics analysis to assess treatment response after neoadjuvant therapy. Radiology. 287:833–843. 2018. View Article : Google Scholar : PubMed/NCBI

Related Articles

  • Abstract
  • View
  • Download
  • Twitter
Copy and paste a formatted citation
Spandidos Publications style
Kato S, Miyoshi N, Fujino S, Minami S, Nagae A, Hayashi R, Sekido Y, Hata T, Hamabe A, Ogino T, Ogino T, et al: Treatment response prediction of neoadjuvant chemotherapy for rectal cancer by deep learning of colonoscopy images. Oncol Lett 26: 474, 2023.
APA
Kato, S., Miyoshi, N., Fujino, S., Minami, S., Nagae, A., Hayashi, R. ... Eguchi, H. (2023). Treatment response prediction of neoadjuvant chemotherapy for rectal cancer by deep learning of colonoscopy images. Oncology Letters, 26, 474. https://doi.org/10.3892/ol.2023.14062
MLA
Kato, S., Miyoshi, N., Fujino, S., Minami, S., Nagae, A., Hayashi, R., Sekido, Y., Hata, T., Hamabe, A., Ogino, T., Tei, M., Kagawa, Y., Takahashi, H., Uemura, M., Yamamoto, H., Doki, Y., Eguchi, H."Treatment response prediction of neoadjuvant chemotherapy for rectal cancer by deep learning of colonoscopy images". Oncology Letters 26.5 (2023): 474.
Chicago
Kato, S., Miyoshi, N., Fujino, S., Minami, S., Nagae, A., Hayashi, R., Sekido, Y., Hata, T., Hamabe, A., Ogino, T., Tei, M., Kagawa, Y., Takahashi, H., Uemura, M., Yamamoto, H., Doki, Y., Eguchi, H."Treatment response prediction of neoadjuvant chemotherapy for rectal cancer by deep learning of colonoscopy images". Oncology Letters 26, no. 5 (2023): 474. https://doi.org/10.3892/ol.2023.14062
Copy and paste a formatted citation
x
Spandidos Publications style
Kato S, Miyoshi N, Fujino S, Minami S, Nagae A, Hayashi R, Sekido Y, Hata T, Hamabe A, Ogino T, Ogino T, et al: Treatment response prediction of neoadjuvant chemotherapy for rectal cancer by deep learning of colonoscopy images. Oncol Lett 26: 474, 2023.
APA
Kato, S., Miyoshi, N., Fujino, S., Minami, S., Nagae, A., Hayashi, R. ... Eguchi, H. (2023). Treatment response prediction of neoadjuvant chemotherapy for rectal cancer by deep learning of colonoscopy images. Oncology Letters, 26, 474. https://doi.org/10.3892/ol.2023.14062
MLA
Kato, S., Miyoshi, N., Fujino, S., Minami, S., Nagae, A., Hayashi, R., Sekido, Y., Hata, T., Hamabe, A., Ogino, T., Tei, M., Kagawa, Y., Takahashi, H., Uemura, M., Yamamoto, H., Doki, Y., Eguchi, H."Treatment response prediction of neoadjuvant chemotherapy for rectal cancer by deep learning of colonoscopy images". Oncology Letters 26.5 (2023): 474.
Chicago
Kato, S., Miyoshi, N., Fujino, S., Minami, S., Nagae, A., Hayashi, R., Sekido, Y., Hata, T., Hamabe, A., Ogino, T., Tei, M., Kagawa, Y., Takahashi, H., Uemura, M., Yamamoto, H., Doki, Y., Eguchi, H."Treatment response prediction of neoadjuvant chemotherapy for rectal cancer by deep learning of colonoscopy images". Oncology Letters 26, no. 5 (2023): 474. https://doi.org/10.3892/ol.2023.14062
Follow us
  • Twitter
  • LinkedIn
  • Facebook
About
  • Spandidos Publications
  • Careers
  • Cookie Policy
  • Privacy Policy
How can we help?
  • Help
  • Live Chat
  • Contact
  • Email to our Support Team