Spandidos Publications Logo
  • About
    • About Spandidos
    • Aims and Scopes
    • Abstracting and Indexing
    • Editorial Policies
    • Reprints and Permissions
    • Job Opportunities
    • Terms and Conditions
    • Contact
  • Journals
    • All Journals
    • Oncology Letters
      • Oncology Letters
      • Information for Authors
      • Editorial Policies
      • Editorial Board
      • Aims and Scope
      • Abstracting and Indexing
      • Bibliographic Information
      • Archive
    • International Journal of Oncology
      • International Journal of Oncology
      • Information for Authors
      • Editorial Policies
      • Editorial Board
      • Aims and Scope
      • Abstracting and Indexing
      • Bibliographic Information
      • Archive
    • Molecular and Clinical Oncology
      • Molecular and Clinical Oncology
      • Information for Authors
      • Editorial Policies
      • Editorial Board
      • Aims and Scope
      • Abstracting and Indexing
      • Bibliographic Information
      • Archive
    • Experimental and Therapeutic Medicine
      • Experimental and Therapeutic Medicine
      • Information for Authors
      • Editorial Policies
      • Editorial Board
      • Aims and Scope
      • Abstracting and Indexing
      • Bibliographic Information
      • Archive
    • International Journal of Molecular Medicine
      • International Journal of Molecular Medicine
      • Information for Authors
      • Editorial Policies
      • Editorial Board
      • Aims and Scope
      • Abstracting and Indexing
      • Bibliographic Information
      • Archive
    • Biomedical Reports
      • Biomedical Reports
      • Information for Authors
      • Editorial Policies
      • Editorial Board
      • Aims and Scope
      • Abstracting and Indexing
      • Bibliographic Information
      • Archive
    • Oncology Reports
      • Oncology Reports
      • Information for Authors
      • Editorial Policies
      • Editorial Board
      • Aims and Scope
      • Abstracting and Indexing
      • Bibliographic Information
      • Archive
    • Molecular Medicine Reports
      • Molecular Medicine Reports
      • Information for Authors
      • Editorial Policies
      • Editorial Board
      • Aims and Scope
      • Abstracting and Indexing
      • Bibliographic Information
      • Archive
    • World Academy of Sciences Journal
      • World Academy of Sciences Journal
      • Information for Authors
      • Editorial Policies
      • Editorial Board
      • Aims and Scope
      • Abstracting and Indexing
      • Bibliographic Information
      • Archive
    • International Journal of Functional Nutrition
      • International Journal of Functional Nutrition
      • Information for Authors
      • Editorial Policies
      • Editorial Board
      • Aims and Scope
      • Abstracting and Indexing
      • Bibliographic Information
      • Archive
    • International Journal of Epigenetics
      • International Journal of Epigenetics
      • Information for Authors
      • Editorial Policies
      • Editorial Board
      • Aims and Scope
      • Abstracting and Indexing
      • Bibliographic Information
      • Archive
    • Medicine International
      • Medicine International
      • Information for Authors
      • Editorial Policies
      • Editorial Board
      • Aims and Scope
      • Abstracting and Indexing
      • Bibliographic Information
      • Archive
  • Articles
  • Information
    • Information for Authors
    • Information for Reviewers
    • Information for Librarians
    • Information for Advertisers
    • Conferences
  • Language Editing
Spandidos Publications Logo
  • About
    • About Spandidos
    • Aims and Scopes
    • Abstracting and Indexing
    • Editorial Policies
    • Reprints and Permissions
    • Job Opportunities
    • Terms and Conditions
    • Contact
  • Journals
    • All Journals
    • Biomedical Reports
      • Information for Authors
      • Editorial Policies
      • Editorial Board
      • Aims and Scope
      • Abstracting and Indexing
      • Bibliographic Information
      • Archive
    • Experimental and Therapeutic Medicine
      • Information for Authors
      • Editorial Policies
      • Editorial Board
      • Aims and Scope
      • Abstracting and Indexing
      • Bibliographic Information
      • Archive
    • International Journal of Epigenetics
      • Information for Authors
      • Editorial Policies
      • Editorial Board
      • Aims and Scope
      • Abstracting and Indexing
      • Bibliographic Information
      • Archive
    • International Journal of Functional Nutrition
      • Information for Authors
      • Editorial Policies
      • Editorial Board
      • Aims and Scope
      • Abstracting and Indexing
      • Bibliographic Information
      • Archive
    • International Journal of Molecular Medicine
      • Information for Authors
      • Editorial Policies
      • Editorial Board
      • Aims and Scope
      • Abstracting and Indexing
      • Bibliographic Information
      • Archive
    • International Journal of Oncology
      • Information for Authors
      • Editorial Policies
      • Editorial Board
      • Aims and Scope
      • Abstracting and Indexing
      • Bibliographic Information
      • Archive
    • Medicine International
      • Information for Authors
      • Editorial Policies
      • Editorial Board
      • Aims and Scope
      • Abstracting and Indexing
      • Bibliographic Information
      • Archive
    • Molecular and Clinical Oncology
      • Information for Authors
      • Editorial Policies
      • Editorial Board
      • Aims and Scope
      • Abstracting and Indexing
      • Bibliographic Information
      • Archive
    • Molecular Medicine Reports
      • Information for Authors
      • Editorial Policies
      • Editorial Board
      • Aims and Scope
      • Abstracting and Indexing
      • Bibliographic Information
      • Archive
    • Oncology Letters
      • Information for Authors
      • Editorial Policies
      • Editorial Board
      • Aims and Scope
      • Abstracting and Indexing
      • Bibliographic Information
      • Archive
    • Oncology Reports
      • Information for Authors
      • Editorial Policies
      • Editorial Board
      • Aims and Scope
      • Abstracting and Indexing
      • Bibliographic Information
      • Archive
    • World Academy of Sciences Journal
      • Information for Authors
      • Editorial Policies
      • Editorial Board
      • Aims and Scope
      • Abstracting and Indexing
      • Bibliographic Information
      • Archive
  • Articles
  • Information
    • For Authors
    • For Reviewers
    • For Librarians
    • For Advertisers
    • Conferences
  • Language Editing
Login Register Submit
  • This site uses cookies
  • You can change your cookie settings at any time by following the instructions in our Cookie Policy. To find out more, you may read our Privacy Policy.

    I agree
Search articles by DOI, keyword, author or affiliation
Search
Advanced Search
presentation
Oncology Letters
Join Editorial Board Propose a Special Issue
Print ISSN: 1792-1074 Online ISSN: 1792-1082
Journal Cover
January-2024 Volume 27 Issue 1

Full Size Image

Sign up for eToc alerts
Recommend to Library

Journals

International Journal of Molecular Medicine

International Journal of Molecular Medicine

International Journal of Molecular Medicine is an international journal devoted to molecular mechanisms of human disease.

International Journal of Oncology

International Journal of Oncology

International Journal of Oncology is an international journal devoted to oncology research and cancer treatment.

Molecular Medicine Reports

Molecular Medicine Reports

Covers molecular medicine topics such as pharmacology, pathology, genetics, neuroscience, infectious diseases, molecular cardiology, and molecular surgery.

Oncology Reports

Oncology Reports

Oncology Reports is an international journal devoted to fundamental and applied research in Oncology.

Experimental and Therapeutic Medicine

Experimental and Therapeutic Medicine

Experimental and Therapeutic Medicine is an international journal devoted to laboratory and clinical medicine.

Oncology Letters

Oncology Letters

Oncology Letters is an international journal devoted to Experimental and Clinical Oncology.

Biomedical Reports

Biomedical Reports

Explores a wide range of biological and medical fields, including pharmacology, genetics, microbiology, neuroscience, and molecular cardiology.

Molecular and Clinical Oncology

Molecular and Clinical Oncology

International journal addressing all aspects of oncology research, from tumorigenesis and oncogenes to chemotherapy and metastasis.

World Academy of Sciences Journal

World Academy of Sciences Journal

Multidisciplinary open-access journal spanning biochemistry, genetics, neuroscience, environmental health, and synthetic biology.

International Journal of Functional Nutrition

International Journal of Functional Nutrition

Open-access journal combining biochemistry, pharmacology, immunology, and genetics to advance health through functional nutrition.

International Journal of Epigenetics

International Journal of Epigenetics

Publishes open-access research on using epigenetics to advance understanding and treatment of human disease.

Medicine International

Medicine International

An International Open Access Journal Devoted to General Medicine.

Journal Cover
January-2024 Volume 27 Issue 1

Full Size Image

Sign up for eToc alerts
Recommend to Library

  • Article
  • Citations
    • Cite This Article
    • Download Citation
    • Create Citation Alert
    • Remove Citation Alert
    • Cited By
  • Similar Articles
    • Related Articles (in Spandidos Publications)
    • Similar Articles (Google Scholar)
    • Similar Articles (PubMed)
  • Download PDF
  • Download XML
  • View XML

  • Supplementary Files
    • Supplementary_Data.pdf
Article Open Access

Predictors of efficacy of anamorelin in patients with non‑small cell lung cancer and cachexia: A retrospective study

Retraction in: /10.3892/ol.2024.14360
  • Authors:
    • Yoshiko Ishioka
    • Hisashi Tanaka
    • Tomonori Makiguchi
    • Syunsuke Fujishima
    • Yasuhito Nunomura
    • Hiroaki Sakamoto
    • Toshihiro Shiratori
    • Kageaki Taima
    • Sadatomo Tasaka
  • View Affiliations / Copyright

    Affiliations: Department of Respiratory Medicine, Hirosaki University Graduate School of Medicine, Hirosaki, Aomori 036‑8562, Japan
    Copyright: © Ishioka et al. This is an open access article distributed under the terms of Creative Commons Attribution License.
  • Article Number: 22
    |
    Published online on: November 16, 2023
       https://doi.org/10.3892/ol.2023.14154
  • Expand metrics +
Metrics: Total Views: 0 (Spandidos Publications: | PMC Statistics: )
Metrics: Total PDF Downloads: 0 (Spandidos Publications: | PMC Statistics: )
Cited By (CrossRef): 0 citations Loading Articles...

This article is mentioned in:



Abstract

Anamorelin, a ghrelin receptor agonist, is approved in Japan for the treatment of cachexia in patients with lung and gastrointestinal cancer. However, there is limited research on the usefulness of anamorelin in clinical settings, therefore, the present study evaluated its efficacy using patient characteristics. A total of 40 patients with non‑small cell lung cancer and cachexia who were prescribed anamorelin in the Department of Respiratory Medicine, Hirosaki University Graduate School of Medicine (Aomori, Japan) between July 2021 and November 2022, were retrospectively assessed. Anamorelin was prescribed at a dose of 100 mg once daily to patients who had lost >5% of their body weight within 6 months. All patients were weighed before treatment and those who continued anamorelin treatment for 12 weeks were also weighed at 12 weeks. A logistic regression analysis was used to analyze the association between background characteristics and early discontinuation of treatment with anamorelin (within 4 weeks). The median age was 67 years (range, 36‑88), and 65% of the patients were male. There were 24 patients (60.0%) with an Eastern Cooperative Oncology Group Performance Status (ECOG‑PS) score 1, 11 patients (27.5%) with an ECOG‑PS score 2 and five patients (12.5%) with an ECOG‑PS score 3. The early discontinuation group included 11 patients (27.5%). An ECOG‑PS score ≥2 (odds ratio, 7.85; 95% confidence interval, 1.43‑43.21; P=0.018) was associated with early discontinuation. A total of 18/40 patients (45.0%) were able to continue anamorelin treatment for 12 weeks, and the mean change in body weight was +2.31 kg, which was a significant change from the weight recorded at baseline (P=0.027). The mean changes in lean body mass and soft lean mass between baseline and 12 weeks were +1.97 kg (P=0.14) and +1.26 kg (P=0.15), respectively. The results from the present study indicate that anamorelin is unlikely to be useful for patients with a poor general condition (ECOG‑PS score ≥2).

Introduction

Lung cancer is one of the most common cancers in the world, with ~2.2 million new cases diagnosed in a year according to statistics published in 2020 (1). Non-small cell lung cancer accounts for ~85% of these cases (2).

Cancer cachexia is characterized by weight loss, anorexia, inflammation and decreased skeletal muscle mass, and is diagnosed in 50–80% of patients with cancer (3). Cachexia not only impairs quality of life, but also decreases the tolerability of anticancer chemotherapy (4), and is associated with a poor prognosis (5). Cancer cachexia was defined in 2011 as a multifactorial syndrome characterized by an ongoing loss of skeletal muscle mass, with or without loss of fat mass, that cannot be fully reversed by conventional nutritional support, leading to progressive functional impairment. The diagnostic criteria for cachexia include >5% body weight loss or >2% weight loss in individuals who have already shown depletion according to their current body weight and height [body mass index (BMI), <20 kg/m2] or skeletal muscle mass (sarcopenia) (6). Although guidelines for the management of cancer cachexia have recently been published, pharmacological treatment for cancer cachexia is limited at present (7,8).

Anamorelin is an oral selective ghrelin-like agonist that has received attention as a novel drug for the treatment of cachexia (9–11). Ghrelin is a peptide hormone secreted by the stomach that acts as a regulator of hunger and a growth hormone secretagogue (12–15). Previous phase 1 and 2 studies have evaluated the safety and efficacy of anamorelin (16–18). Global phase 3 studies in patients with non-small cell lung cancer (NSCLC) (19,20) and Japanese studies in patients with either NSCLC (21,22) or gastrointestinal cancers (23) have also reported the effects of anamorelin on lean body mass (LBM). In the phase 2 study ONO-7643-04 of NSCLC in Japan, 64.4% of patients maintained or increased their LBM (22). Although these studies did not report improvements in physical function, the primary endpoint of increased LBM was notable, leading to the approval of anamorelin in Japan in 2021 (24).

In the present study, a retrospective evaluation was performed, assessing whether anamorelin provides the same benefit to patients with cachexia as reported in previous clinical trials or if there are patient factors that affect the efficacy of anamorelin in practice.

Materials and methods

Study design

The present study was a retrospective observational study without a placebo group. It was performed in accordance with the Declaration of Helsinki and the regulations of the Japanese Ministry of Health, Labor and Welfare, and was approved by the Ethics Committee of the Hirosaki University Graduate School of Medicine (approval no. 2022-069). Informed consent was obtained from all patients using the opt-out method. A total of 40 patients received 100 mg anamorelin (ADLUMIZ®; Ono Pharmaceutical Co., Ltd.) orally once daily. All patients experienced a weight loss of >5% within 6 months and ≥2 of the following symptoms: i) Fatigue or malaise; ii) muscle weakness; and iii) ≥1 of the following conditions: >0.5 mg/dl C-reactive protein (CRP), <12 g/dl hemoglobin (Hb) and <3.2 g/dl albumin (Alb).

Data extraction

The medical records of patients treated with anamorelin between July 2021 and November 2022 at Hirosaki University Hospital were screened. The following baseline patient characteristics at the start of anamorelin treatment were obtained from their medical records: Age, sex, histological type of cell carcinoma (squamous/non-squamous), stage (25), number of treatment regimens, Eastern Cooperative Oncology Group (ECOG)-performance status (PS) score (26), body weight, BMI, Alb, CRP and Hb levels. Information on whether the patients were positive for driver gene mutations was obtained from their medical records. Specimens of patients with non-squamous carcinoma histology without interstitial pneumonia were sent to SRL, Inc.; H.U. Group Holdings, Inc. to identify driver gene mutations through next-generation sequencing [Oncomine™ Dx Target Test Multi-CDx System (Oncomine™ DxTT; Thermo Fisher Scientific, Inc.) and Archer®MET (ArcherDX, Inc.; Invitae, Corp.)] as well as the AmoyDx® Pan Lung Cancer PCR panel (Amoy Diagnostics Co., Ltd.) and epidermal growth factor receptor (EGFR) mutation analysis; a companion diagnostic test was carried out for every mutation. Oncomine™ DxTT tested for 46 gene mutations, and Archer®MET detected mesenchymal-epithelial transition (MET) gene exon 14 skipping. AmoyDx® was used to test for nine gene mutations. Positive/negative/insufficient specimen results were obtained from the company. The reasons behind the discontinuation of treatment with anamorelin within 4 weeks (early discontinuation group) were also obtained. The body weight, LBM and soft lean mass (SLM) of patients who received anamorelin for >12 weeks were measured using InBody770 (InBody Co., Ltd.) at the beginning of the study and then again at week 12. Adverse events that were indefinably related to anamorelin treatment were recorded using the Common Terminology Criteria for Adverse Events (version 5.0) (27).

Statistical analysis

Patients were divided into two groups: The early discontinuation group (discontinuation within 4 weeks) and all other patients. The reason for dividing the patients into these two groups was that typical chemotherapy regimens for lung cancer last 3–4 weeks per course, therefore, patients who discontinued anamorelin after only one course were unlikely to benefit from anamorelin. Logistic regression analysis was used to analyze factors associated with early discontinuation. In patients who continued treatment for 12 weeks, a paired Student's t-test was used to compare changes in body weight, LBM and SLM. Statistical analyses were performed using JMP® Pro (version 15.2.0; SAS Institute Inc.). P<0.05 was considered to indicate a statistically significant difference.

Results

Patient characteristics

Anamorelin is indicated for the treatment of NSCLC and gastrointestinal cancer (24), but not for other histological types such as small cell lung cancer, therefore, all patients had NSCLC. The patients' characteristics are presented in Table I. The median age was 67 years (range, 36–88 years). The proportion of male patients was 65%. Patients with an ECOG-PS score 1 (n=24), score 2 (n=11) and score 3 (n=5) who had been excluded from the clinical trials (19–22) were included. A total of 12 patients (30%) had driver mutations that could be treated using molecularly targeted drugs. Of these 12 patients, seven had EGFR mutations, three had V-Raf murine sarcoma viral oncogene homolog B gene mutations and two had MET exon 14 skipping. These patients had a single mutation and no patient had >1 mutation as shown in Table I. The driver gene mutations were investigated using next-generation sequencing by a testing company, and the positive/negative results for every mutation site were provided. The number of treatment lines was 20 (50%) for first-line treatment and 20 (50%) for second- or later-line treatment. The regimens are presented in Table SI.

Table I.

Patient characteristics at baseline.

Table I.

Patient characteristics at baseline.

CharacteristicsValue
Age, years (range)67 (36–88)
Sex, n (%)
  Male26 (65.0)
  Female14 (35.0)
Histology, n (%)
  Squamous cell carcinoma11 (27.5)
  Non-squamous cell carcinoma29 (72.5)
Stage, n (%)
  III6 (15.0)
  IV27 (67.5)
  Recurrence after chemoradiotherapy7 (17.5)
Number of treatment regimens, n (%)
  120 (50.0)
  ≥220 (50.0)
Driver mutation, n (%)
  None28 (70.0)
  Yes12 (30.0)
    EGFR7
    BRAF3
    MET exon14 skipping2
ECOG-PS score, n (%)
  00 (0.0)
  124 (60.0)
  211 (27.5)
  35 (12.5)
  40 (0.0)
Body mass index (range), kg/m219.50 (14.00–27.80)
Serum albumin (range), g/dl2.90 (2.20–4.20)
C-reactive protein (range), mg/dl1.80 (0.02–15.10)
Hemoglobin (range), g/dl11.20 (7.90–16.30)

[i] EGFR, epidermal growth factor receptor; BRAF, V-Raf murine sarcoma viral oncogene homolog B; MET, mesenchymal-epithelial transition; ECOG-PS, Eastern Cooperative Oncology Group-Performance Status. The reference laboratory values: Serum albumin range, 4.1–5.1 g/dl; C-reactive protein, <0.3 mg/dl; hemoglobin, Male range, 13.7–16.8 g/dl; female range, 11.6–14.8 g/dl.

Risk factors for the early discontinuation of treatment with anamorelin

The duration of anamorelin treatment was <4 weeks in 11 patients (27.5%), 4–12 weeks in 11 patients (27.5%) and >12 weeks in 18 patients (45%). The reasons for the discontinuation of treatment with anamorelin in the early discontinuation group were as follows: Deterioration of general condition due to cancer progression (n=5); deterioration of general condition due to chemotherapy-related adverse events such as drug induced interstitial lung disease (n=3); refusal of treatment by the patient (n=3).

In the early discontinuation group, three patients had an ECOG-PS score 1, three patients had an ECOG-PS score 2 and five patients had an ECOG-PS score 3, indicating that most patients had a poor general condition. Table II presents the associations between early discontinuation and patient characteristics. A univariate analysis of every background characteristic of the patients indicated P<0.05 for a younger age [odds ratio, 0.90; 95% confidence interval (CI), 0.83–0.99; P=0.042] and an ECOG-PS score ≥2 (odds ratio, 7.00; 95% CI, 1.47–33.20; P=0.014). A multivariate analysis of younger age and an ECOG-PS score ≥2 demonstrated that only an ECOG-PS score ≥2 was significantly associated with early discontinuation (odds ratio, 7.85; 95% CI, 1.43–43.91; P=0.018). It is unclear why younger age was a factor for early discontinuation in the univariate analysis. It could be due to the presence of several young patients with severe disease. However, in the multivariate analysis, an ECOG PS score ≥2 was the only significant factor. The number of treatment lines at the beginning of the study was assessed, but no significant differences were revealed (odds ratio, 0.94; 95% CI, 0.24–3.73; P=0.94). A total of 12 patients had driver mutations that could be treated using molecularly targeted drugs, but there were no significant differences in the presence of driver gene mutations (odds ratio, 1.5; 95% CI, 0.34–6.54; P=0.59). Sex, histology, BMI and laboratory results on Alb, CRP and Hb levels were not significantly associated with early discontinuation.

Table II.

A logistic regression analysis of factors associated with early discontinuation of treatment with anamorelin.

Table II.

A logistic regression analysis of factors associated with early discontinuation of treatment with anamorelin.

Univariate analysisMultivariate analysis


CharacteristicsOdds ratio95% CIP-valueOdds ratio95% CIP-value
Age0.900.83–0.990.040a1.110.99–1.240.060
Sex, male vs. female0.920.21–3.920.910
Histology, sq vs. non-sq1.790.40–8.000.440
Stage, III vs. IV/rec0.720.11–4.620.730
Line of chemotherapy, 1 vs. ≥20.940.24–3.730.940
Driver mutation, none vs. yes1.500.34–6.540.590
ECOG-PS score, ≥2 vs. 0–17.001.47–33.200.014a7.851.43–49.210.018a
Body mass index1.040.85–1.270.710
Serum albumin1.310.40–4.290.650
C-reactive protein0.910.75–1.090.270
Hemoglobin1.010.69–1.450.970

a P<0.05. sq, squamous cell carcinoma; rec, recurrence after chemoradiotherapy; ECOG-PS, Eastern Cooperative Oncology Group-Performance Status; CI, confidence interval.

Body weight changes

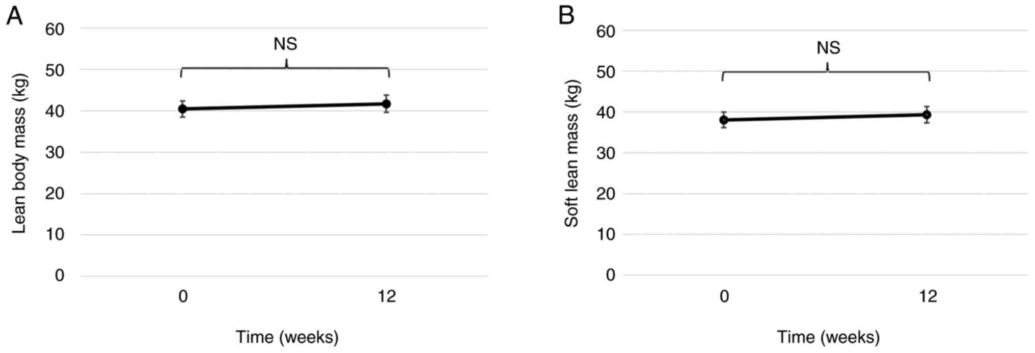
The mean change in body weight from baseline in the 18 patients who received anamorelin for 12 weeks was +2.31 kg, which was a significant change (P=0.027; Fig. 1). The weight of a total of 15/18 patients was measured using Inbody at baseline and at 12 weeks, and the mean change in LBM and SLM was +1.97 kg (P=0.14; Fig. 2A) and +1.26 kg (P=0.15; Fig. 2B), respectively.

Figure 1.

Changes in body weight of patients receiving treatment with anamorelin for 12 weeks.

Figure 2.

Changes in (A) lean body mass and (B) soft lean mass in patients receiving treatment with anamorelin for 12 weeks. NS, not significant.

Adverse events

Adverse events possibly related to anamorelin treatment were observed in four patients (10%). A total of two patients experienced a decline in diabetic control, as shown by the increased level of HbA1c, and two patients experienced nausea; both adverse events were of grade 1. No adverse events were observed with respect to cardiac function, such as atrioventricular block or QT interval prolongation on an electrocardiogram. None of the patients required a dose reduction of anamorelin.

Discussion

In the present study, an evaluation of the effectiveness of anamorelin in clinical settings was performed as in previous clinical trials (19–22). In the ONO-7643-04 clinical trial, 55/84 patients (65.4%) completed 12 weeks of treatment with anamorelin (22), compared with only 18/40 patients (45%) in the present study. Patients in the early discontinuation group who received anamorelin for <4 weeks were considered to have discontinued anamorelin before it became effective.

The main factor associated with early discontinuation of treatment with anamorelin was a poor general condition (ECOG-PS score ≥2). The ONO-7643-04 clinical trial included an ECOG-PS score range of 0–2 among its enrollment criteria, but only 12.0% of patients in the anamorelin group had an ECOG-PS score 2 (22). There are no restrictions on the administration of anamorelin using the ECOG-PS scores in clinical settings (24). In the present study, 16/40 patients (40%) had an ECOG-PS score 2 or 3, which may have led to an increased early discontinuation rate. Although the subgroup analysis of the ONO-7643-04 clinical trial did not report the characteristics of patients who did not complete the full 12 weeks of treatment, the change in LBM was not notably greater for the anamorelin treatment group compared with that in the placebo group in the ECOG-PS score 2 subgroup from baseline to week 12 (28). This indicated that the efficacy of treatment with anamorelin was reduced in patients with poor general condition. It is possible that the duration of treatment is shorter in patients with poor general condition; therefore the efficacy of anamorelin may not be fully demonstrated.

In the present study, significant changes in body weight were observed in the 18/40 patients who received treatment with anamorelin for 12 weeks. There were no significant changes in either LBM or SLM, but the mean changes after 12 weeks of treatment with anamorelin were +1.97 kg and +1.26 kg, respectively. In the ONO-7643-04 clinical trial, the mean change in LBM after 12 weeks was +1.38 kg in the anamorelin treatment group (22), and a trend towards maintenance or mild increase in the LBM was also observed in the present study.

Loss of body weight has deleterious effects on the efficacy of anticancer therapies (29–31). A previous study reported decreased skeletal muscle mass in patients who responded to palliative chemotherapy as well as in those patients who experienced cancer progression (32). Loss of body weight and muscle mass are not limited to cytotoxic anticancer agents. Another study reported that molecular-targeted therapy decreased skeletal muscle mass in renal cancer (33). The aforementioned studies indicated that the body weight gain effect of treatment with anamorelin may be useful as a supportive therapy.

Cachexia is classified into three stages: Pre-cachexia, cachexia and refractory cachexia (6). Pre-cachexia is a condition in which the patient does not meet the body weight loss criteria for cachexia but presents with anorexia and metabolic abnormalities. Although pre-cachexia and cachexia require early multidisciplinary intervention, including exercise, nutrition and medication, refractory cachexia is characterized by progressive catabolism, a poor ECOG-PS score and a predicted survival of 3 months. Intervention is primarily palliative (6). In the present study, 8/11 patients in the early discontinuation group had an ECOG-PS score of either 2 or 3, suggesting that most of them had refractory cachexia. In clinical practice, anamorelin is likely to be prescribed to patients with refractory cachexia, as observed in the present study. However, the present study demonstrated that anamorelin should also be prescribed to patients with cachexia or pre-cachexia.

In a subgroup analysis of the ONO-7643-04 study, the incidence of adverse drug reactions (ADRs) increased with age and ECOG-PS score 2, but there was no increase in severe ADRs (22). In the present study, more patients had an ECOG-PS score ≥2 than in the clinical trials, but there was no increase in ADRs.

To evaluate whether cachexia has improved in a patient, it is important to note changes not only in LBM but also physical function, such as hand grip strength (34) and the 6-minute walk test (6-MWT). In clinical trials of anamorelin, no notable improvement in hand grip strength (19,20,22) and 6-MWT (22) was reported. Thus, pharmacological interventions alone do not improve physical function. Multidisciplinary treatment trials combining nutritional and exercise therapies have now been performed (35–37). A clinical trial is currently underway to evaluate maintenance of daily living activities following anamorelin treatment in addition to nutritional and exercise interventions (trial registration no. UMIN000033574; University Hospital Medical Information Network Center).

Several limitations are associated with the present study. First, it was a single-center retrospective study, presenting a risk of selection biases. However, anamorelin is currently only approved in Japan, but the present study was conducted in a real clinical setting and may help to understand the types of patients who can benefit most by treatment with anamorelin. Second, the background characteristics of the patients, such as their chemotherapy regimen and the number of treatment lines, varied. It is possible that the efficacy or side effects of chemotherapy contributed to the weight gain or loss in the group of patients who continued for >12 weeks. However, the small number of patients and the heterogeneity of the regimens in the present study made such an analysis challenging. Third, physical function was not assessed, however, clinical trials of anamorelin have not reported any improvement in physical function, and it is still unclear whether anamorelin improves physical function.

In conclusion, the present study demonstrated that anamorelin may not be significantly effective in patients with a poor general condition (ECOG-PS score ≥2). However, a significant change in body weight was observed in patients who were able to continue anamorelin treatment for 12 weeks, with no safety concerns. As the present study only included a small number of patients, further research on a larger number of patients is required.

Supplementary Material

Supporting Data

Acknowledgements

Not applicable.

Funding

Funding: No funding was received.

Availability of data and materials

The datasets used and/or analyzed during the current study are available from the corresponding author on reasonable request.

Authors' contributions

Planning of the study protocol and data collection were performed by YI and HT. Data analysis was performed by TM and YI. The first draft of the manuscript was written by YI. ST supervised the study and approved the final draft. SF, YN, HS, TS KT and ST treated and managed the patients. All authors commented on previous versions of the manuscript. YI, HT and TM confirm the authenticity of all the raw data. All authors read and approved the final manuscript.

Ethics approval and consent to participate

The present retrospective observational study was performed in accordance with the Declaration of Helsinki and the regulations of the Japanese Ministry of Health, Labor and Welfare. Approval was obtained from the Ethics Committee of Hirosaki University Graduate School of Medicine (approval no. 2022-069). Informed consent was obtained from all patients using the opt-out method.

Patient consent for publication

Not applicable.

Competing interests

HT, TM, HS, KT and ST received lecture fees from Ono Pharmaceutical Co., Ltd., however the company had no role in the study design, data collection, analysis or interpretation of data, or in writing the draft version of the manuscript.

References

1 

Sung H, Ferlay J, Siegel RL, Laversanne M, Soerjomataram I, Jemal A and Bray F: Global cancer statistics 2020: GLOBOCAN estimates of incidence and mortality worldwide for 36 cancers in 185 countries. CA Cancer J Clin. 71:209–249. 2021. View Article : Google Scholar : PubMed/NCBI

2 

Sher T, Dy GK and Adjei AA: Small cell lung cancer. Mayo Clin Proc. 83:355–367. 2008. View Article : Google Scholar : PubMed/NCBI

3 

Argilés JM, Busquets S, Stemmler B and López-Soriano FJ: Cancer cachexia: Understanding the molecular basis. Nat Rev Cancer. 14:754–762. 2014. View Article : Google Scholar : PubMed/NCBI

4 

Ross PJ, Ashley S, Norton A, Priest K, Waters JS, Eisen T, Smith IE and O'Brien ME: Do patients with weight loss have a worse outcome when undergoing chemotherapy for lung cancers? Br J Cancer. 90:1905–1911. 2004. View Article : Google Scholar : PubMed/NCBI

5 

Fearon KC, Voss AC and Hustead DS; Cancer Cachexia Study Group, : Definition of cancer cachexia: Effect of weight loss, reduced food intake, and systemic inflammation on functional status and prognosis. Am J Clin Nutr. 83:1345–1350. 2006. View Article : Google Scholar : PubMed/NCBI

6 

Fearon K, Strasser F, Anker SD, Bosaeus I, Bruera E, Fainsinger RL, Jatoi A, Loprinzi C, MacDonald N, Mantovani G, et al: Definition and classification of cancer cachexia: An international consensus. Lancet Oncol. 12:489–495. 2011. View Article : Google Scholar : PubMed/NCBI

7 

Arends J, Strasser F, Gonella S, Solheim TS, Madeddu C, Ravasco P, Buonaccorso L, de van der Schueren MAE, Baldwin C, Chasen M, et al: Cancer cachexia in adult patients: ESMO clinical practice guidelines. ESMO Open. 6:1000922021. View Article : Google Scholar : PubMed/NCBI

8 

Roeland EJ, Bohlke K, Baracos VE, Bruera E, Del Fabbro E, Dixon S, Fallon M, Herrstedt J, Lau H, Platek M, et al: Management of cancer cachexia: ASCO guideline. J Clin Oncol. 38:2438–2453. 2020. View Article : Google Scholar : PubMed/NCBI

9 

Zhang H and Garcia JM: Anamorelin hydrochloride for the treatment of cancer-anorexia-cachexia in NSCLC. Expert Opin Pharmacother. 16:1245–1253. 2015. View Article : Google Scholar : PubMed/NCBI

10 

Currow DC and Abernethy AP: Anamorelin hydrochloride in the treatment of cancer anorexia-cachexia syndrome. Future Oncol. 10:789–802. 2014. View Article : Google Scholar : PubMed/NCBI

11 

Pietra C, Takeda Y, Tazawa-Ogata N, Minami M, Yuanfeng X, Duus EM and Northrup R: Anamorelin HCl (ONO-7643), a novel ghrelin receptor agonist, for the treatment of cancer anorexia-cachexia syndrome: Preclinical profile. J Cachexia Sarcopenia Muscle. 5:329–337. 2014. View Article : Google Scholar : PubMed/NCBI

12 

Delporte C: Structure and physiological actions of ghrelin. Scientifica. 2013:5189092013. View Article : Google Scholar : PubMed/NCBI

13 

Kojima M, Hosoda H, Date Y, Nakazato M, Matsuo H and Kangawa K: Ghrelin is a growth-hormone-releasing acylated peptide from stomach. Nature. 402:656–660. 1999. View Article : Google Scholar : PubMed/NCBI

14 

Neary NM, Small CJ, Wren AM, Lee JL, Druce MR, Palmieri C, Frost GS, Ghatei MA, Coombes RC and Bloom SR: Ghrelin increases energy intake in cancer patients with impaired appetite: Acute, randomized, placebo-controlled trial. J Clin Endocrinol Metab. 89:2832–2836. 2004. View Article : Google Scholar : PubMed/NCBI

15 

Wren AM, Seal LJ, Cohen MA, Brynes AE, Frost GS, Murphy KG, Dhillo WS, Ghatei MA and Bloom SR: Ghrelin enhances appetite and increases food intake in humans. J Clin Endocrinol Metab. 86:59922001. View Article : Google Scholar : PubMed/NCBI

16 

Garcia JM, Friend J and Allen S: Therapeutic potential of anamorelin, a novel, oral ghrelin mimetic, in patients with cancer-related cachexia: A multicenter, randomized, double-blind, crossover, pilot study. Support Care Cancer. 21:129–137. 2013. View Article : Google Scholar : PubMed/NCBI

17 

Garcia JM and Polvino WJ: Effect on body weight and safety of RC-1291, a novel, orally available ghrelin mimetic and growth hormone secretagogue: Results of a phase I, randomized, placebo-controlled, multiple-dose study in healthy volunteers. Oncologist. 12:594–600. 2007. View Article : Google Scholar : PubMed/NCBI

18 

Garcia JM and Polvino WJ: Pharmacodynamic hormonal effects of anamorelin, a novel oral ghrelin mimetic and growth hormone secretagogue in healthy volunteers. Growth Horm IGF Res. 19:267–273. 2009. View Article : Google Scholar : PubMed/NCBI

19 

Temel JS, Abernethy AP, Currow DC, Friend J, Duus EM, Yan Y and Fearon KC: Anamorelin in patients with non-small-cell lung cancer and cachexia (ROMANA 1 and ROMANA 2): Results from two randomised, double-blind, phase 3 trials. Lancet Oncol. 17:519–531. 2016. View Article : Google Scholar : PubMed/NCBI

20 

Currow D, Temel JS, Abernethy A, Milanowski J, Friend J and Fearon KC: ROMANA 3: A phase 3 safety extension study of anamorelin in advanced non-small-cell lung cancer (NSCLC) patients with cachexia. Ann Oncol. 28:1949–1956. 2017. View Article : Google Scholar : PubMed/NCBI

21 

Takayama K, Katakami N, Yokoyama T, Atagi S, Yoshimori K, Kagamu H, Saito H, Takiguchi Y, Aoe K, Koyama A, et al: Anamorelin (ONO-7643) in Japanese patients with non-small cell lung cancer and cachexia: Results of a randomized phase 2 trial. Support Care Cancer. 24:3495–3505. 2016. View Article : Google Scholar : PubMed/NCBI

22 

Katakami N, Uchino J, Yokoyama T, Naito T, Kondo M, Yamada K, Kitajima H, Yoshimori K, Sato K, Saito H, et al: Anamorelin (ONO-7643) for the treatment of patients with non-small cell lung cancer and cachexia: Results from a randomized, double-blind, placebo-controlled, multicenter study of Japanese patients (ONO-7643-04). Cancer. 124:606–616. 2018. View Article : Google Scholar : PubMed/NCBI

23 

Hamauchi S, Furuse J, Takano T, Munemoto Y, Furuya K, Baba H, Takeuchi M, Choda Y, Higashiguchi T, Naito T, et al: A multicenter, open-label, single-arm study of anamorelin (ONO-7643) in advanced gastrointestinal cancer patients with cancer cachexia. Cancer. 125:4294–4302. 2019. View Article : Google Scholar : PubMed/NCBI

24 

Wakabayashi H, Arai H and Inui A: The regulatory approval of anamorelin for treatment of cachexia in patients with non-small cell lung cancer, gastric cancer, pancreatic cancer, and colorectal cancer in Japan: Facts and numbers. J Cachexia Sarcopenia Muscle. 12:14–16. 2021. View Article : Google Scholar : PubMed/NCBI

25 

Goldstraw P, Chansky K, Crowley J, Porta RR, Asamura H, Eberhardt WEE, Nicholson AG, Groome P, Mitchell A, Bolejack V, et al: The IASLC lung cancer staging project: Proposals for revision of the TNM stage groupings in the forthcoming (eighth) edition of the TNM classification for lung cancer. J Thorac Oncol. 11:39–51. 2016. View Article : Google Scholar : PubMed/NCBI

26 

Oken MM, Creech RH, Tormey DC, Horton J, Davis TE, McFadden ET and Carbone PP: Toxicity and response criteria of the eastern cooperative oncology group. Am J Clin Oncol. 5:649–655. 1982. View Article : Google Scholar : PubMed/NCBI

27 

Freites-Martinez A, Santana N, Arias-Santiago S and Viera A: [Using the common terminology criteria for adverse events (CTCAE-version 5.0) to evaluate the severity of adverse events of anticancer therapies]. Actas Dermosifiliogr (Engl Ed). 112:90–92. 2021.(In English, Spanish). View Article : Google Scholar : PubMed/NCBI

28 

Takayama K, Takiguchi T, Komura N and Naito T: Efficacy and safety of anamorelin in patients with cancer cachexia: Post-hoc subgroup analyses of a placebo-controlled study. Cancer Med. 12:2918–2928. 2023. View Article : Google Scholar : PubMed/NCBI

29 

da Rocha IMG, Marcadenti A, de Medeiros GOC, Bezerra RA, Rego JFM, Gonzalez MC and Fayh APT: Affiliations expand is cachexia associated with chemotherapy toxicities in gastrointestinal cancer patients? A prospective study. J Cachexia Sarcopenia Muscle. 10:445–454. 2019. View Article : Google Scholar : PubMed/NCBI

30 

Fujii H, Makiyama A, Iihara H, Okumura N, Yamamoto S, Imai T, Arakawa S, Kobayashi R, Tanaka Y, Yoshida K and Suzuki A: Cancer cachexia reduces the efficacy of nivolumab treatment in patients with advanced gastric cancer. Anticancer Res. 40:7067–7075. 2020. View Article : Google Scholar : PubMed/NCBI

31 

Morimoto K, Uchino J, Yokoi T, Kijima T, Goto Y, Nakao A, Hibino M, Takeda T, Yamaguchi H, Takumi C, et al: Affiliations expand impact of cancer cachexia on the therapeutic outcome of combined chemoimmunotherapy in patients with non-small cell lung cancer: A retrospective study. Oncoimmunology. 10:19504112021. View Article : Google Scholar : PubMed/NCBI

32 

Stene GB, Helbostad JL, Amundsen T, Sørhaug S, Hjelde H, Kaasa S and Grønberg BH: Changes in skeletal muscle mass during palliative chemotherapy in patients with advanced lung cancer. Acta Oncol. 54:340–348. 2015. View Article : Google Scholar : PubMed/NCBI

33 

Antoun S, Birdsell L, Sawyer MB, Venner P, Escudier B and Baracos VE: Association of skeletal muscle wasting with treatment with sorafenib in patients with advanced renal cell carcinoma: Results from a placebo-controlled study. J Clin Oncol. 28:1054–1060. 2010. View Article : Google Scholar : PubMed/NCBI

34 

Vanhoutte G, van de Wiel M, Wouters K, Sels M, Bartolomeeussen L, De Keersmaecker S, Verschueren C, De Vroey V, De Wilde A, Smits E, et al: Cachexia in cancer: What is in the definition? BMJ Open Gastroenterol. 3:e0000972016. View Article : Google Scholar : PubMed/NCBI

35 

Solheim TS, Laird BJA, Balstad TR, Stene GB, Bye A, Johns N, Pettersen CH, Fallon M, Fayers P, Fearon K and Kaasa S: A randomized phase II feasibility trial of a multimodal intervention for the management of cachexia in lung and pancreatic cancer. J Cachexia Sarcopenia Muscle. 8:778–788. 2017. View Article : Google Scholar : PubMed/NCBI

36 

Naito T, Mitsunaga S, Miura S, Tatematsu N, Inano T, Mouri T, Tsuji T, Higashiguchi T, Inui A, Okayama T, et al: Feasibility of early multimodal interventions for elderly patients with advanced pancreatic and non-small-cell lung cancer. J Cachexia Sarcopenia Muscle. 10:73–83. 2019. View Article : Google Scholar : PubMed/NCBI

37 

Miura S, Naito T, Mitsunaga S, Omae K, Mori K, Inano T, Yamaguchi T, Tatematsu N, Okayama T, Morikawa A, et al: A randomized phase II study of nutritional and exercise treatment for elderly patients with advanced non-small cell lung or pancreatic cancer: The NEXTAC-TWO study protocol. BMC Cancer. 19:5282019. View Article : Google Scholar : PubMed/NCBI

Related Articles

  • Abstract
  • View
  • Download
  • Twitter
Copy and paste a formatted citation
Spandidos Publications style
Ishioka Y, Tanaka H, Makiguchi T, Fujishima S, Nunomura Y, Sakamoto H, Shiratori T, Taima K and Tasaka S: Predictors of efficacy of anamorelin in patients with non‑small cell lung cancer and cachexia: A retrospective study Retraction in /10.3892/ol.2024.14360. Oncol Lett 27: 22, 2024.
APA
Ishioka, Y., Tanaka, H., Makiguchi, T., Fujishima, S., Nunomura, Y., Sakamoto, H. ... Tasaka, S. (2024). Predictors of efficacy of anamorelin in patients with non‑small cell lung cancer and cachexia: A retrospective study Retraction in /10.3892/ol.2024.14360. Oncology Letters, 27, 22. https://doi.org/10.3892/ol.2023.14154
MLA
Ishioka, Y., Tanaka, H., Makiguchi, T., Fujishima, S., Nunomura, Y., Sakamoto, H., Shiratori, T., Taima, K., Tasaka, S."Predictors of efficacy of anamorelin in patients with non‑small cell lung cancer and cachexia: A retrospective study Retraction in /10.3892/ol.2024.14360". Oncology Letters 27.1 (2024): 22.
Chicago
Ishioka, Y., Tanaka, H., Makiguchi, T., Fujishima, S., Nunomura, Y., Sakamoto, H., Shiratori, T., Taima, K., Tasaka, S."Predictors of efficacy of anamorelin in patients with non‑small cell lung cancer and cachexia: A retrospective study Retraction in /10.3892/ol.2024.14360". Oncology Letters 27, no. 1 (2024): 22. https://doi.org/10.3892/ol.2023.14154
Copy and paste a formatted citation
x
Spandidos Publications style
Ishioka Y, Tanaka H, Makiguchi T, Fujishima S, Nunomura Y, Sakamoto H, Shiratori T, Taima K and Tasaka S: Predictors of efficacy of anamorelin in patients with non‑small cell lung cancer and cachexia: A retrospective study Retraction in /10.3892/ol.2024.14360. Oncol Lett 27: 22, 2024.
APA
Ishioka, Y., Tanaka, H., Makiguchi, T., Fujishima, S., Nunomura, Y., Sakamoto, H. ... Tasaka, S. (2024). Predictors of efficacy of anamorelin in patients with non‑small cell lung cancer and cachexia: A retrospective study Retraction in /10.3892/ol.2024.14360. Oncology Letters, 27, 22. https://doi.org/10.3892/ol.2023.14154
MLA
Ishioka, Y., Tanaka, H., Makiguchi, T., Fujishima, S., Nunomura, Y., Sakamoto, H., Shiratori, T., Taima, K., Tasaka, S."Predictors of efficacy of anamorelin in patients with non‑small cell lung cancer and cachexia: A retrospective study Retraction in /10.3892/ol.2024.14360". Oncology Letters 27.1 (2024): 22.
Chicago
Ishioka, Y., Tanaka, H., Makiguchi, T., Fujishima, S., Nunomura, Y., Sakamoto, H., Shiratori, T., Taima, K., Tasaka, S."Predictors of efficacy of anamorelin in patients with non‑small cell lung cancer and cachexia: A retrospective study Retraction in /10.3892/ol.2024.14360". Oncology Letters 27, no. 1 (2024): 22. https://doi.org/10.3892/ol.2023.14154
Follow us
  • Twitter
  • LinkedIn
  • Facebook
About
  • Spandidos Publications
  • Careers
  • Cookie Policy
  • Privacy Policy
How can we help?
  • Help
  • Live Chat
  • Contact
  • Email to our Support Team