International Journal of Molecular Medicine is an international journal devoted to molecular mechanisms of human disease.
International Journal of Oncology is an international journal devoted to oncology research and cancer treatment.
Covers molecular medicine topics such as pharmacology, pathology, genetics, neuroscience, infectious diseases, molecular cardiology, and molecular surgery.
Oncology Reports is an international journal devoted to fundamental and applied research in Oncology.
Experimental and Therapeutic Medicine is an international journal devoted to laboratory and clinical medicine.
Oncology Letters is an international journal devoted to Experimental and Clinical Oncology.
Explores a wide range of biological and medical fields, including pharmacology, genetics, microbiology, neuroscience, and molecular cardiology.
International journal addressing all aspects of oncology research, from tumorigenesis and oncogenes to chemotherapy and metastasis.
Multidisciplinary open-access journal spanning biochemistry, genetics, neuroscience, environmental health, and synthetic biology.
Open-access journal combining biochemistry, pharmacology, immunology, and genetics to advance health through functional nutrition.
Publishes open-access research on using epigenetics to advance understanding and treatment of human disease.
An International Open Access Journal Devoted to General Medicine.
Breast cancer (BC) is the most commonly diagnosed cancer worldwide, with an estimated 2.3 million new cases (11.7%) and has ranked the fifth leading cause (6.9%) of cancer death (1). Axillary lymph node (ALN) status is a key prognostic factor for patients with early-stage invasive BC and influences the clinical therapeutic schedule. The guidelines of the American Society of Clinical Oncology and the Z0011 trial have demonstrated that patients with early-stage BC with <2 sentinel lymph node (SLN) metastases can be spared ALN dissection (ALND) (2,3). SLN biopsy is still the current standard approach for the assessment of ALN status. However, it has been criticized for its low efficiency and invasive complications, including upper arm numbness, lymphedema, nerve damage and hematoma (4,5). Therefore, developing an accurate and non-invasive method to predict ALN status before surgery remains a challenge.
Ultrasound (US) has potential clinical benefits for performing breast examinations due to low cost, convenience and lack of radiation. Axillary US examination is a simple and convenient diagnostic method to detect ALNM but its value is limited due to its low sensitivity (26.4–69.5%), especially for patients with a minor ALN metastatic burden (6). US-guided fine needle aspiration is an invasive procedure and its high accuracy is influenced by the inadequate sample collection (7).
‘Radiomics’ has attracted increased attention in (8–10). Several studies (8–10) have predicted the likelihood of ALNM based on US radiomics. However, certain radiomics analyses are limited by single-modal grayscale US images, and the values of the area under the receiver operator characteristic (ROC) curve (AUC) were found to be relatively low (0.71–0.73) (8,9). A recent study reported construction of a shear wave elastography (SWE) US-based radiomics nomogram that yielded a moderate predictive ability, with a C-index of 0.817 (10). However, the most significant SWE radiomics features only reflected the intratumoral heterogeneity of the tumor. This does not embody the value of SWE sufficiently as SWE is known for its ability to show both intrinsic and peritumoral characteristics of the tumor via qualitative and quantitative stiffness parameters (11–13). Huang et al (14) designed a multimodal US (MMUS)-based auto-weighting framework for breast cancer classification. However, the MMUS analysis only involved B-mode, Doppler, strain elastography (SE) and SWE US and there was lack of valuable contrast-enhanced (CEUS) data and may be not entirely comprehensive. In addition, MMUS analysis was only used to classify BC, not to predict ALNM, and therefore was insufficient to guide clinical strategy. Other researchers have proposed deep learning radiomics models and reported favorable predictive efficacy (15,16). However, the ‘black box’ pattern and specialized algorithms of deep learning are hard to reproduce (14–16). Moreover, radiomics features, such as texture or wavelet, are both obscure and complex for clinicians to understand. Finally, the extraction procedures are not easy to apply in clinical practice (14,16). The aim of the present study was to establish and assess a comprehensive, concise and easy-to-use predictive tool using the combined conventional US, SE, SWE and CEUS features for preoperative ALNM risk estimation in early-stage IBC.
The present study was a retrospective sub-analysis of data acquired from a prospective study (17). It was conducted in accordance with the Declaration of Helsinki and approved by the Ethics Committee of Ruijin Hospital, School of Medicine, Shanghai Jiao Tong University (Shanghai, China). Written informed consent was obtained from patients. From August 2021 to March 2022, 2,003 patients with breast lesions in the Comprehensive Breast Health Center at Ruijin Hospital underwent preoperative conventional US, SE, SWE and/or CEUS examination. Conventional US + elastography was the first-line breast US examination protocol for all patients. For patients with a suspected breast tumor, CEUS examination was performed for more accurate differential diagnosis, to assess the extent of the tumor or to select necessary tumor regions for biopsy. A total of 456 patients was enrolled. The inclusion criteria were as follows: i) Diagnosis of primary early-stage IBC (stage I–II); ii) performance of breast surgery and SLN biopsy or ALND and iii) presence of preoperative multimodal US images of breast tumors and conventional US images of ALN. The exclusion criteria were as follows: i) Lack of CEUS or SE or SWE US images; ii) preoperative anticancer (neoadjuvant therapy or chemotherapy) or intervention therapy (biopsy or ablation) prior to US examination; iii) diagnosis of bilateral, multicentric or multifocal IBC; iv) presence of diffusive lesions and v) insufficient US image quality or incomplete clinicopathological data.
A total of 342 patients (all female; mean age, 51.15±11.62 years; range, 32–88 years) passed the quality control for final analysis and were randomly divided (7:3) into a training (n=240) and validation cohort (n=102), according to the Transparent Reporting of a multivariable prediction model for Individual Prognosis or Diagnosis reporting guideline (18). Fig. 1 shows the recruitment of patients and the study design.
Data were obtained from the medical records. The clinical data included patient age, symptoms, family history of BC, history of hormone therapy and clinical tumor stage. Pathological data included histological type, tumor grade, estrogen receptor (ER), progesterone receptor (PR), human epidermal growth factor receptor 2 (HER2) status, tumor proliferation rate (Ki67 levels) and ALN status (positive or negative). All pathological macrometastases, micrometastases or isolated tumor cells of ALNs were defined as node-positive. A cut-off value for Ki67+ was established at 20% (19). Molecular subtypes were classified as luminal A or B, HER2+ and triple-negative BC, according to the expression of ER, PR and HER2 (20).
All preoperative breast and axillary US examinations were performed by two experienced radiologists (JJY and YZ) with >15 combined years of experience in breast US and 8 combined years of experience in performing SE, SWE and CEUS of breast lesions, using a 3–11 MHz linear probe (Resona 8, Shenzhen Mindray Bio-Medical Electronics Co., Ltd.). The conventional US variables, such as tumor shape, margin, orientation, echogenicity, posterior acoustic pattern, calcification and vascularity status, were assessed according to the Breast Imaging Reporting and Data System (BI-RADS) (21). The maximum size of the breast tumor, measured by US, and the US BI-RADS category were also assessed. The lymph node was depicted as positive if it had ≥1 of the following suspicious US characteristics: Circular shape, cortical thickening, calcification or cystic change, no fatty hilum or no hilar blood flow (22,23). SE features were classified as soft or hard as described previously (24). The stiff rim sign in SWE was reported as absent or present according to Zhou et al (25). The maximum (Emax), mean (Emean) and minimum (Emin) elastic modulus and elastic modulus standard deviation (ESD), calculated automatically by the US system, were recorded. CEUS examinations were performed according to the American Institute of Ultrasound in Medicine practice guidelines for performing breast CEUS (26). Contrast agent SonoVue® (Bracco S.p.A.) was reconstituted by addition of 5 ml sterile normal saline and 25 mg lyophilized powder. Following hand agitation, 2.4 ml contrast agent was injected through a 21-G catheter via a peripheral vein in a bolus fashion, followed by a flush of 5 ml saline solution. The entire CEUS process for each patient was recorded immediately following injection of the contrast agent and lasted for 180 sec. US images and video clips were stored on the hard disk for subsequent analysis. The qualitative features assessed included degree of enhancement (hypo/isoenhancement or hyperenhancement), perfusion defect (absent or present) and radial vessel at the tumor margin (absent or present). Quantitative parameters, including arrival time (AT; the time point when the microbubble arrived at the lesion), time to peak (TTP; time point when the contrast intensity reached its peak), peak intensity (PI; maximum intensity of the time-intensity curve), ascending slope (AS; slope from the beginning of focal perfusion to the peak point on the curve), descending slope (DS; curve descent slope) and area under the time-intensity curve (AUTIC; total volume of blood in the region of interest) were also recorded.
In a subset of 60 randomly selected breast lesions and 30 ALNs, interobserver variability in conventional US, SE, SWE and CEUS of breast lesions and conventional US of ALNs were assessed separately by two radiologists (JJY and YZ). At 1 month after the first evaluation, one observer (JJY) reviewed all images of the same 60 lesions and 30 ALNs for the calculation of intra-observer variability.
Statistical analyses were performed using SPSS (version 25.0; IBM Corp.) and R software (version 4.1.3; The R Foundation). Continuous variables were compared using independent t-test. Categorical variables were compared using the χ2 or Fisher's exact test. The Cohen κ statistic was used to assess interobserver agreement. All clinicopathological factors and conventional US features potentially associated with ALNM (P<0.05 in univariate analysis) were used to construct a clinicopathological model and a conventional US model. A nomogram was formulated based on multimodal US variables by the results of multivariate logistic analysis. Calibration was assessed using the calibration curve with 1,000 bootstrap samples to decrease overfit bias. The predictive performances were compared with AUC. Additionally, net reclassification improvement (NRI) was applied to evaluate incremental value, and decision curve analysis (DCA) to investigate the clinical usefulness of the nomogram. The ‘rms’ package was used for nomogram and calibration curve construction, the ‘rmda’ package for DCA and the ‘nricens’ package was used for NRI calculation. All packages were performed from R software (version 4.1.3; The R Foundation). P<0.05 was considered to indicate a statistically significant difference.
A total of 342 patients were finally included in the present study and were randomly divided into the training (n=240) and validation (n=102) cohorts (Fig. 1). There were no significant differences in ALN positivity between cohorts [training cohort, 35.4% (85/240); validation cohort, 37.3% (38/102)]. The clinicopathological and US variables were not significantly different between cohorts, demonstrating no selection bias in the random allocation process.
Table I presents the distribution of clinicopathological characteristics in relation to ALN status. The results revealed that older age, clinical T2 stage compared with T1 stage, and high histological grade compared with low or intermediate grade were significantly more likely to be associated with ALNM in both cohorts. The other clinicopathological factors, such as symptoms, family history of BC, history of hormone therapy, ER, PR and HER2 status, Ki67 levels and molecular subtypes showed no significant differences between the ALN-positive and -negative groups. Univariate analysis of conventional US features revealed that tumors with a larger maximum size, heterogeneous echogenicity in comparison with homogeneous echogenicity, tumor with calcification in comparison with no calcification, high vascularity in comparison with absent or low vascularity and BI-RADS category 5 in comparison with BI-RADS category 3–4C were risk factors significantly associated with ALNM. However, tumor shape, margin, orientation and posterior acoustic pattern showed no significant predictive value for ALNM. In the training cohort, US-depicted suspicious ALN positive were 65 patients, the pathological results of ALNM were 85 patients, thus the diagnostic sensitivity was 76.47% (65/85). US-depicted suspicious ALN negative were 102 patients, the pathological results of ALN negative were 155 patients, thus the diagnostic specificity was 65.80% (102/155). In the validation cohort, US-depicted suspicious ALN positive were 30 patients, the pathological results of ALNM were 38 patients, the diagnostic sensitivity was 78.95% (30/38). US-depicted suspicious ALN negative were 41 patients, the pathological results of ALN negative were 64 patients, the diagnostic specificity was 64.06% (41/64) (Table II).
Table I.Univariate analysis of clinical and pathological characteristics associated with axillary lymph node status. |
Table II.Univariate analysis of conventional ultrasound features associated with axillary lymph node status. |
Additionally, the presence of stiff rim sign, perfusion defect and radial vessel in comparison with absent were also risk factors significantly associated with ALNM. However, the other MMUS variables, including SE features, Emax, Emean, Emin, ESD, AT, TTP, PI, AS, DS and AUTIC, demonstrated no significant association with ALNM (Table III).
Table III.Univariate analysis of SE, SWE and contrast-enhanced ultrasound features associated with axillary lymph node status. |
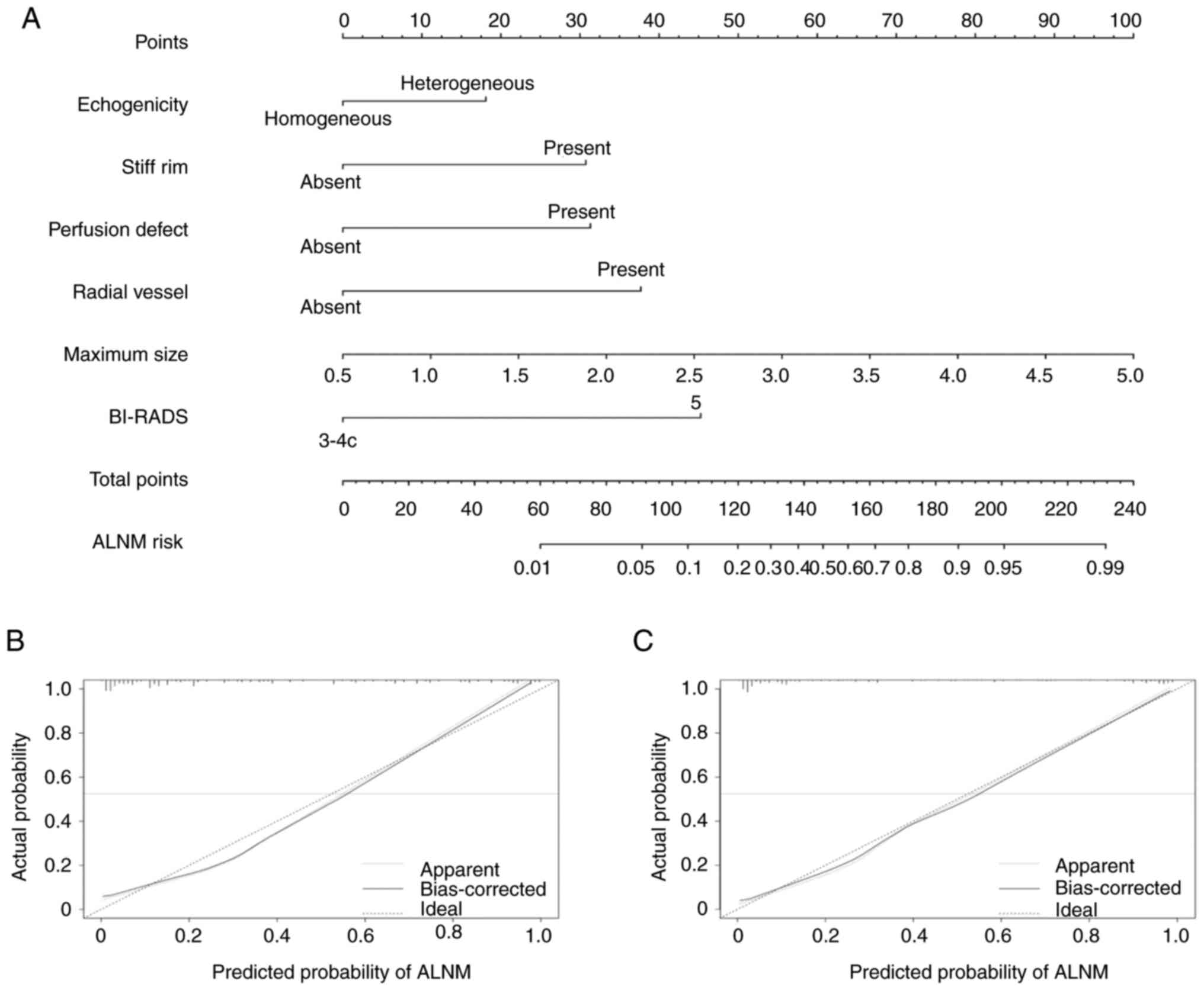
The variables significantly associated with ALNM in univariate analysis were further evaluated by multivariate logistic analysis. The maximum tumor size [odds ratio (OR), 4.312; 95% CI, 2.933–7.364], heterogeneous echogenicity (OR, 2.473; 95% CI, 1.065–6.518), stiff rim sign (OR, 6.140; 95% CI, 3.202–15.893), perfusion defect (OR, 3.632; 95% CI, 0.772–8.644), radial vessel (OR, 7.577; 95% CI, 3.750–20.605) and US BI-RADS category 5 (OR, 8.178; 95% CI, 3.930–22.307) were independent risk factors significantly associated with ALNM (Table IV).
Table IV.Multivariate logistic regression analysis of risk factors for predicting axillary lymph node metastasis in the training cohort. |
The interobserver agreement was substantial for breast tumor features of conventional US, SE, SWE and CEUS, with κ values of 0.840, 0.796, 0.827 and 0.801, respectively. For ALN status, κ value was 0.865. The intra-observer agreement was favorable, with κ values of 0.890 and 0.915 for breast tumor US features and ALN status, respectively.
MMUS nomogram was constructed based on the six independent risk factors determined by multivariate logistic analysis. Probability of ALNM was obtained by summing corresponding points from these predictive variables (Fig. 2A). The calibration curve with 1,000 bootstrap samples demonstrated a high level of consistency between MMUS nomogram predictions and actual ALNM probabilities in both the training and validation cohorts (Fig. 2B and C). Moreover, MMUS nomogram showed a favorable prediction efficacy, with AUCs of 0.927 and 0.922 in the training and validation cohorts, respectively.
A clinicopathological model and conventional US model were constructed to compare the predictive effect of ALNM. The clinicopathological model was built with age, clinical tumor (T) stage and histological grade, while the conventional US model was built with maximum tumor size, echogenicity, calcification, vascularity and US BI-RADS category. ROCs of the two models and the MMUS nomogram in both cohorts are shown in Fig. 3. MMUS nomogram demonstrated an improved predictive performance (AUC, 0.927; 95% CI, 0.891, 0.973) compared with that of the clinicopathological model (AUC, 0.681; 95% CI, 0.594, 0.740), US-depicted ALN status (AUC, 0.710; 95% CI, 0.643, 0.780) and conventional US model (AUC, 0.867; 95% CI, 0.837, 0.904) in the training cohort. In the validation cohort, AUCs were 0.922 (95% CI, 0.880, 0.962), 0.670 (95% CI, 0.588, 0.723), 0.716 (95% CI, 0.693, 0.796) and 0.894 (95% CI, 0.851, 0.924), respectively. The NRI index, which determined performance improvement as introduced by multimodal US features in the conventional US model, was 0.296 (95% CI, 0.084, 0.385) in the training cohort and 0.288 (95% CI, 0.069, 0.361) in the validation cohort. DCA demonstrated that the MMUS nomogram achieved an improved benefit and clinical utility in predicting ALNM for patients with early-stage IBC when high-risk threshold probability was 0.0–1.0 (Fig. 4).
SLN biopsy is known to have multiple complications owing to its invasive process and false-negative rates of 7.8–27.3% (27,28). Therefore, there have been efforts to establish a non-invasive mathematical model to replace SLN biopsy in determining preoperative ALN status. Previous studies have reported that conventional US, SE, SWE US or CEUS methods serve an important role in prediction of tumor growth or metastasis (13,29–31). However, to the best of our knowledge, the present study is the first to construct a MMUS nomogram based on a set of comprehensive multimodal US features of primary breast tumor to predict ALNM. The MMUS nomogram achieved the most favorable performance compared with the clinicopathological model, US-depicted ALN status and conventional US model (AUC of 0.922 vs. 0.670, 0.716 and 0.894 in the validation cohort). Furthermore, MMUS nomogram was a useful predictive model for calibration and DCA.
It is known that clinical and pathological characteristics serve an important role in prognosis prediction (32,33). A study by The Memorial Sloan-Kettering Cancer Center (MSKCC) developed a clinicopathological model (MSKCC nomogram) to predict SLN metastasis; however, AUC of the MSKCC nomogram was relatively low at 0.754 (32). Previous studies have reported that age, ER, PR and HER2 status have no effect in predicting ALNM in patients with early-stage BC (33–35). The present study demonstrated that older age, clinical T2 stage and high tumor grade were more likely to predict ALNM in the univariate analysis, but they were not independent risk factors associated with ALNM in the multivariate analysis. The clinicopathological model based on these three variables displayed low predictive probability with AUCs of 0.681 and 0.670 in the training and validation cohorts, respectively. These results indicated that the clinicopathological factors may not provide sufficient value in predicting ALN status, which is consistent with previous studies (33–36).
Conventional US features of breast tumor showed that larger tumor size, heterogeneous echogenicity, calcification, high vascularity and BI-RADS category 5 were potential risk factors associated with ALNM in the univariate analysis. These variables formed the conventional US predictive model, whereas calcification and high vascularity were not significantly associated with ALNM in the multivariate analysis and were excluded from the final MMUS nomogram model. Larger tumor size, heterogeneous echogenicity and US BI-RADS category 5, as independent risk factors associated with ALNM, indicated that rapidly proliferating tumor cells with a larger tumor size tend to propagate within the regional lymph nodes (37,38). Heterogeneous echogenicity may be the result of genomic heterogeneity, which is a potential biomarker to predict metastasis (39). The more malignant US features the lesion has, the higher the BI-RADS category is, and the worse the prognosis may be (40,41).
US elastography enables differentiation of tissues to be made on the basis of their stiffness. The stiff rim sign in SWE, which represents increased stiffness at the lesion margin, is regarded as a sign of malignancy (12,25). It has been explained as either a desmoplastic reaction or infiltration of cancer cells into the peritumoral stroma (25,41). The results of the present study demonstrated that stiff rim sign was an independent prognostic factor associated with ALNM, consistent with previous studies (41,42). CEUS is a promising technology that can reflect the micro-circulation perfusion of breast lesions (30,31). In the present study, perfusion defect and radial vessel at the tumor margin were the best predictive factors associated with ALNM. When the SWE and CEUS features were combined with the conventional US variables to form the MMUS nomogram, the incremental value was demonstrated, with AUC improved from 0.894 to 0.922 and with NRI improved 0.288 in comparison with the conventional US model in the validation cohort. The results indicated that aggressive breast tumors require a higher level of angiogenesis to maintain growth and infiltration, peritumoral vessels can lead to local ALN or distant metastasis and intrinsic necrosis may be due to the relatively insufficient nutrition supply, which is manifested as a perfusion defect (31,37,38,43).
The present study demonstrated that the SE features and SWE (Emean, Emax, Emin and ESD) and CEUS quantitative parameters (AT, TTP, PI, AS, DS and AUTIC) had no significant predictive value for ALNM. These results were different from the results obtained by Zhang et al (41) who reported that Emax and Emean of primary tumors are higher in ALNM cases, and Wan et al (30) who reported that ALNM is associated with higher PI and larger AUTIC values. These discrepancies may be due to inclusion criteria or different US equipment and settings. Different US instruments have different sensitivities for detection of SWE and CEUS quantitative parameters (25,31,41,43), which may account for the inconsistent results. Further studies with larger and multicenter data are required to assess possible associations.
Certain limitations in the present study have to be addressed. The present study is limited by a lack of multicenter external validation patients. Although the nomogram achieved favorable predictive ability, selection bias was inevitable due to the retrospective nature of the study. Moreover, to analyze the association between tumor features and ALN status, patients with bilateral, multicentric or multifocal tumors were excluded and only one US equipment was used, which may also have caused selection bias. The present study did not distinguish the number of metastatic ALNs. Another study by our team in collaboration with external institutions was initiated to predict the burden of ALNM (44). Although the variability study was favorable in terms of features and parameters evaluated from the same images at different times, full analysis of variability, such as the acquirement of multiple images at different times and from different operators, is needed. Internal mammary lymph nodes were not evaluated. For patients with internal mammary lymph node metastasis, radiotherapy is necessary following surgery and the final pathological node status is difficult to determine (45). In addition, US is the most frequently used imaging modality in determining lymph node metastasis in daily clinical practice (29–31). Nomograms are a simple, intuitive and easy to understand risk scoring tool represented by graphs (32). MMUS nomogram in the present study achieved favorable diagnostic performance and may facilitate clinicians in appropriate preoperative decision-making. Previous researchers have reported that standard breast magnetic resonance imaging (MRI) is comparable with dedicated axillary US for evaluation of axillary nodal status in patients with BC (46,47). However, the comparison of MMUS nomogram with enhanced MRI in determining lymph node metastasis was not performed in the present study and further studies are required to address this issue in the future. However, despite the aforementioned limitations, the present study had adequate sample size and a well-characterized cohort of patients with early-stage IBC with a large series of combined multimodal US features of each breast tumor and the nomogram represented an easy-to-use predictive tool with favorable diagnostic performance. Moreover, application of the MMUS nomogram in everyday clinical practice may be simpler compared with other types of radiomics and deep learning analyses.
In conclusion, the present study demonstrated that the MMUS nomogram was superior to US-depicted ALN status and clinicopathological and conventional US model for the prediction of ALNM. As a non-invasive, convenient, comprehensive and reliable predictive tool, the MMUS nomogram may facilitate appropriate preoperative decision-making for patients with early-stage IBC.
Not applicable.
Funding: No funding was received.
The data generated in the present study may be requested from the corresponding author.
JJY, WZ and WWZ were responsible for study conception and design. WZ contributed to manuscript preparation and editing. JJY and YZ performed ultrasonographic data analysis and interpretation. XSC collected and interpreted clinicopathological data. JQZ contributed to the statistical analysis. WZ and WWZ confirm the authenticity of all the raw data. All authors have read and approved the final manuscript.
The present study was approved by and conducted in accordance with the Declaration of Helsinki and approved by the Ethics Committee of Ruijin Hospital, School of Medicine, Shanghai Jiao Tong University (Shanghai, China; approval no. 2020-309; July 15, 2020). Written informed consent were obtained from patients to participate in the study.
Not applicable.
The authors declare that they have no competing interests.
|
ALNM |
axillary lymph node metastasis |
|
AUC |
area under the curve |
|
BI-RADS |
Breast Imaging and Reporting Data System |
|
CEUS |
contrast-enhanced ultrasound |
|
DCA |
decision curve analysis |
|
ER |
estrogen receptor |
|
HER2 |
human epidermal growth factor receptor 2 |
|
IBC |
invasive breast cancer |
|
MM |
multimodal |
|
NRI |
net reclassification improvement |
|
PR |
progesterone receptor |
|
ROC |
receiver operating characteristic |
|
SE |
strain elastography |
|
SLN |
sentinel lymph node |
|
SWE |
shear wave elastography |
|
Sung H, Ferlay J, Siegel RL, Laversanne M, Soerjomataram I, Jemal A and Bray F: Global cancer statistics 2020: GLOBOCAN estimates of incidence and mortality worldwide for 36 cancers in 185 countries. CA Cancer J Clin. 71:209–249. 2021. View Article : Google Scholar : PubMed/NCBI | |
|
Giuliano AE, Ballman KV, McCall L, Beitsch PD, Brennan MB, Kelemen PR, Ollila DW, Hansen NM, Whitworth PW, Blumencranz PW, et al: Effect of axillary dissection vs. no axillary dissection on 10-year overall survival among women with invasive breast cancer and sentinel node metastasis: The ACOSOG Z0011 (alliance) randomized clinical trial. JAMA. 318:918–926. 2017. View Article : Google Scholar : PubMed/NCBI | |
|
Lyman GH, Somerfield MR, Bosserman LD, Perkins CL, Weaver DL and Giuliano AE: Sentinel lymph node biopsy for patients with early-stage breast cancer: American society of clinical oncology clinical practice guideline update. J Clin Oncol. 35:561–564. 2017. View Article : Google Scholar : PubMed/NCBI | |
|
Wilke LG, McCall LM, Posther KE, Whitworth PW, Reintgen DS, Leitch AM, Gabram SG, Lucci A, Cox CE, Hunt KK, et al: Surgical complications associated with sentinel lymph node biopsy: Results from a prospective international cooperative group trial. Ann Surg Oncol. 13:491–500. 2006. View Article : Google Scholar : PubMed/NCBI | |
|
Manca G, Rubello D, Tardelli E, Giammarile F, Mazzarri S, Boni G, Chondrogiannis S, Marzola MC, Chiacchio S, Ghilli M, et al: Sentinel lymph node biopsy in breast cancer: Indications, contraindications, and controversies. Clin Nucl Med. 41:126–133. 2016. View Article : Google Scholar : PubMed/NCBI | |
|
Zhang YN, Wang CJ, Xu Y, Zhu QL, Zhou YD, Zhang J, Mao F, Jiang YX and Sun Q: Sensitivity, specificity and accuracy of ultrasound in diagnosis of breast cancer metastasis to the axillary lymph nodes in Chinese patients. Ultrasound Med Biol. 41:1835–1841. 2015. View Article : Google Scholar : PubMed/NCBI | |
|
Hotton J, Salleron J, Henrot P, Buhler J, Leufflen L, Rauch P and Marchal F: Pre-operative axillary ultrasound with fine-needle aspiration cytology performance and predictive factors of false negatives in axillary lymph node involvement in early breast cancer. Breast Cancer Res Treat. 183:639–647. 2020. View Article : Google Scholar : PubMed/NCBI | |
|
Yu FH, Wang JX, Ye XH, Deng J, Hang J and Yang B: Ultrasound-based radiomics nomogram: A potential biomarker to predict axillary lymph node metastasis in early-stage invasive breast cancer. Eur J Radiol. 119:1086582019. View Article : Google Scholar : PubMed/NCBI | |
|
Qiu X, Jiang Y, Zhao Q, Yan C, Huang M and Jiang T: Could ultrasound-based radiomics noninvasively predict axillary lymph node metastasis in breast cancer? J Ultrasound Med. 39:1897–1905. 2020. View Article : Google Scholar : PubMed/NCBI | |
|
Jiang M, Li CL, Luo XM, Chuan ZR, Chen RX, Tang SC, Lv WZ, Cui XW and Dietrich CF: Radiomics model based on shear-wave elastography in the assessment of axillary lymph node status in early-stage breast cancer. Eur Radiol. 32:2313–2325. 2022. View Article : Google Scholar : PubMed/NCBI | |
|
Lee S, Jung Y and Bae Y: Clinical application of a color map pattern on shear-wave elastography for invasive breast cancer. Surg Oncol. 25:44–48. 2016. View Article : Google Scholar : PubMed/NCBI | |
|
Tozaki M and Fukuma E: Pattern classification of ShearWave™ elastography images for differential diagnosis between benign and malignant solid breast masses. Acta Radiol. 52:1069–1075. 2011. View Article : Google Scholar : PubMed/NCBI | |
|
Evans A, Whelehan P, Thomson K, McLean D, Brauer K, Purdie C, Baker L, Jordan L, Rauchhaus P and Thompson A: Invasive breast cancer: Relationship between shear-wave elastographic findings and histologic prognostic factors. Radiology. 263:673–677. 2012. View Article : Google Scholar : PubMed/NCBI | |
|
Huang R, Lin Z, Dou H, Wang J, Miao J, Zhou G, Jia X, Xu W, Mei Z, Dong Y, et al: AW3M: An auto-weighting and recovery framework for breast cancer diagnosis using multi-modal ultrasound. Med Image Anal. 72:1021372021. View Article : Google Scholar : PubMed/NCBI | |
|
Zheng X, Yao Z, Huang Y, Yu Y, Wang Y, Liu Y, Mao R, Li F, Xiao Y, Wang Y, et al: Deep learning radiomics can predict axillary lymph node status in early-stage breast cancer. J Nat Commun. 11:12362020. View Article : Google Scholar : PubMed/NCBI | |
|
Guo X, Liu Z, Sun C, Zhang L, Wang Y, Li Z, Shi J, Wu T, Cui H, Zhang J, et al: Deep learning radiomics of ultrasonography: Identifying the risk of axillary non-sentinel lymph node involvement in primary breast cancer. EBioMedicine. 60:1030182020. View Article : Google Scholar : PubMed/NCBI | |
|
Liu D, Wu J, Lin C, Ding S, Lu S, Fang Y, Huang J, Hong J, Gao W, Zhu S, et al: The comparative safety of epirubicin and cyclophosphamide versus docetaxel and cyclophosphamide in lymph node-negative, HR-positive, HER2-negative breast cancer (ELEGANT): A randomized trial. Cancers (Basel). 14:32212022. View Article : Google Scholar : PubMed/NCBI | |
|
Collins GS, Reitsma JB, Altman DG and Moons KG: Transparent reporting of a multivariable prediction model for individual prognosis or diagnosis (TRIPOD): The TRIPOD statement. Br J Surg. 102:148–158. 2015. View Article : Google Scholar : PubMed/NCBI | |
|
Penault-Llorca F, André F, Sagan C, Lacroix-Triki M, Denoux Y, Verriele V, Jacquemier J, Baranzelli MC, Bibeau F, Antoine M, et al: Ki67 expression and docetaxel efficacy in patients with estrogen receptor-positive breast cancer. J Clin Oncol. 27:2809–2815. 2009. View Article : Google Scholar : PubMed/NCBI | |
|
Coates AS, Winer EP, Goldhirsch A, Gelber RD, Gnant M, Piccart-Gebhart M, Thürlimann B and Senn HJ; Panel Members, : Tailoring therapies-improving the management of early breast cancer: St Gallen international expert consensus on the primary therapy of early breast cancer 2015. Ann Oncol. 26:1533–1546. 2015. View Article : Google Scholar : PubMed/NCBI | |
|
Mercado CL: BI-RADS update. Radiol Clin North Am. 52:481–487. 2014. View Article : Google Scholar : PubMed/NCBI | |
|
Bedi DG, Krishnamurthy R, Krishnamurthy S, Edeiken BS, Le-Petross H, Fornage BD, Bassett RL Jr and Hunt KK: Cortical morphologic features of axillary lymph nodes as a predictor of metastasis in breast cancer: In vitro sonographic study. AJR Am J Roentgenol. 191:646–652. 2008. View Article : Google Scholar : PubMed/NCBI | |
|
Koelliker SL, Chung MA, Mainiero MB, Steinhoff MM and Cady B: Axillary lymph nodes: US-guided fine-needle aspiration for initial staging of breast cancer-correlation with primary tumor size. Radiology. 246:81–89. 2008. View Article : Google Scholar : PubMed/NCBI | |
|
Itoh A, Ueno E, Tohno E, Kamma H, Takahashi H, Shiina T, Yamakawa M and Matsumura T: Breast disease: Clinical application of US elastography for diagnosis. Radiology. 239:341–350. 2006. View Article : Google Scholar : PubMed/NCBI | |
|
Zhou J, Zhan W, Chang C, Zhang X, Jia Y, Dong Y, Zhou C, Sun J and Grant EG: Breast lesions: Evaluation with shear wave elastography, with special emphasis on the ‘stiff rim’ sign. Radiology. 272:63–72. 2014. View Article : Google Scholar : PubMed/NCBI | |
|
Sidhu PS, Cantisani V, Dietrich CF, Gilja OH, Saftoiu A, Bartels E, Bertolotto M, Calliada F, Clevert DA, Cosgrove D, et al: The EFSUMB guidelines and recommendations for the clinical practice of contrast-enhanced ultrasound (CEUS) in non-hepatic applications: Update 2017 (long version). Ultraschall Med. 39:e2–e44. 2018. View Article : Google Scholar : PubMed/NCBI | |
|
Li H, Jun Z, Zhi-Cheng G and Xiang Q: Factors that affect the false negative rate of sentinel lymph node mapping with methylene blue dye alone in breast cancer. J Int Med Res. 47:4841–4853. 2019. View Article : Google Scholar : PubMed/NCBI | |
|
Pesek S, Ashikaga T, Krag LE and Krag D: The false-negative rate of sentinel node biopsy in patients with breast cancer: A meta-analysis. World J Surg. 36:2239–2251. 2012. View Article : Google Scholar : PubMed/NCBI | |
|
Fang J, Zhao W, Li Q, Zhang B, Pu C and Wang H: Correlation analysis of conventional ultrasound characteristics and strain elastography with ki-67 status in breast cancer. Ultrasound Med Biol. 46:2972–2978. 2020. View Article : Google Scholar : PubMed/NCBI | |
|
Wan CF, Du J, Fang H, Li FH, Zhu JS and Liu Q: Enhancement patterns and parameters of breast cancers at contrast-enhanced US: Correlation with prognostic factors. Radiology. 262:450–459. 2012. View Article : Google Scholar : PubMed/NCBI | |
|
Zhu AQ, Li XL, An LW, Guo LH, Fu HJ, Sun LP and Xu HX: Predicting axillary lymph node metastasis in patients with breast invasive ductal carcinoma with negative axillary ultrasound results using conventional ultrasound and contrast-enhanced ultrasound. J Ultrasound Med. 39:2059–2070. 2020. View Article : Google Scholar : PubMed/NCBI | |
|
Bevilacqua JL, Kattan MW, Fey JV, Cody HS III, Borgen PI and Van Zee KJ: Doctor, what are my chances of having a positive sentinel node? A validated nomogram for risk estimation. J Clin Oncol. 25:3670–3679. 2007. View Article : Google Scholar : PubMed/NCBI | |
|
Yoshihara E, Smeets A, Laenen A, Reynders A, Soens J, Van Ongeval C, Moerman P, Paridaens R, Wildiers H, Neven P and Christiaens MR: Predictors of axillary lymph node metastases in early breast cancer and their applicability in clinical practice. Breast. 22:357–361. 2013. View Article : Google Scholar : PubMed/NCBI | |
|
Xiong J, Zuo W, Wu Y, Wang X, Li W, Wang Q, Zhou H, Xie M and Qin X: Ultrasonography and clinicopathological features of breast cancer in predicting axillary lymph node metastases. BMC Cancer. 22:11552022. View Article : Google Scholar : PubMed/NCBI | |
|
Yu Y, Tan Y, Xie C, Hu Q, Ouyang J, Chen Y, Gu Y, Li A, Lu N, He Z, et al: Development and validation of a preoperative magnetic resonance imaging radiomics-based signature to predict axillary lymph node metastasis and disease-free survival in patients with early-stage breast cancer. JAMA Netw Open. 3:e20280862020. View Article : Google Scholar : PubMed/NCBI | |
|
Dong Y, Feng Q, Yang W, Lu Z, Deng C, Zhang L, Lian Z, Liu J, Luo X, Pei S, et al: Preoperative prediction of sentinel lymph node metastasis in breast cancer based on radiomics of T2-weighted fat-suppression and diffusion-weighted MRI. Eur Radiol. 28:582–591. 2018. View Article : Google Scholar : PubMed/NCBI | |
|
Fujii T, Yajima R, Tatsuki H, Suto T, Morita H, Tsutsumi S and Kuwano H: Significance of lymphatic invasion combined with size of primary tumor for predicting sentinel lymph node metastasis in patients with breast cancer. Anticancer Res. 35:3581–3584. 2015.PubMed/NCBI | |
|
Auvinen P, Tammi R, Parkkinen J, Tammi M, Agren U, Johansson R, Hirvikoski P, Eskelinen M and Kosma VM: Hyaluronan in peritumoral stroma and malignant cells associates with breast cancer spreading and predicts survival. Am J Pathol. 156:529–536. 2000. View Article : Google Scholar : PubMed/NCBI | |
|
Bae MS, Shin SU, Song SE, Ryu HS, Han W and Moon WK: Association between US features of primary tumor and axillary lymph node metastasis in patients with clinical T1-T2N0 breast cancer. Acta Radiol. 59:402–408. 2018. View Article : Google Scholar : PubMed/NCBI | |
|
Sheng DL, Shen XG, Shi ZT, Chang C and Li JW: Survival outcome assessment for triple-negative breast cancer: A nomogram analysis based on integrated clinicopathological, sonographic, and mammographic characteristics. Eur Radiol. 32:6575–6587. 2022. View Article : Google Scholar : PubMed/NCBI | |
|
Zhang H, Dong Y, Jia X, Zhang J, Li Z, Chuan Z, Xu Y, Hu B, Huang Y, Chang C, et al: Comprehensive risk system based on shear wave elastography and BI-RADS categories in assessing axillary lymph node metastasis of invasive breast cancer-A multi-center study. Front Oncol. 12:8309102022. View Article : Google Scholar : PubMed/NCBI | |
|
Evans A, Rauchhaus P, Whelehan P, Thomson K, Purdie CA, Jordan LB, Michie CO, Thompson A and Vinnicombe S: Does shear wave ultrasound independently predict axillary lymph node metastasis in women with invasive breast cancer? Breast Cancer Res Treat. 143:153–157. 2014. View Article : Google Scholar : PubMed/NCBI | |
|
Matsubayashi R, Matsuo Y, Edakuni G, Satoh T, Tokunaga O and Kudo S: Breast masses with peripheral rim enhancement on dynamic contrast-enhanced MR images: Correlation of MR findings with histologic features and expression of growth factors. Radiology. 217:841–848. 2000. View Article : Google Scholar : PubMed/NCBI | |
|
Yao J, Zhou W, Xu S, Jia X, Zhou J, Chen X and Zhan W: Machine learning-based breast tumor ultrasound radiomics for pre-operative prediction of axillary sentinel lymph node metastasis burden in early-stage invasive breast cancer. Ultrasound Med Biol. 50:229–236. 2024. View Article : Google Scholar : PubMed/NCBI | |
|
Yang K, Kim H, Choi DH, Park W, Noh JM and Cho WK: Optimal radiotherapy for patients with internal mammary lymph node metastasis from breast cancer. Radiat Oncol. 15:162020. View Article : Google Scholar : PubMed/NCBI | |
|
van Nijnatten TJA, Ploumen EH, Schipper RJ, Goorts B, Andriessen EH, Vanwetswinkel S, Schavemaker M, Nelemans P, de Vries B, Beets-Tan RGH, et al: Routine use of standard breast MRI compared to axillary ultrasound for differentiating between no, limited and advanced axillary nodal disease in newly diagnosed breast cancer patients. Eur J Radiol. 85:2288–2294. 2016. View Article : Google Scholar : PubMed/NCBI | |
|
Samiei S, van Nijnatten TJA, van Beek HC, Polak MPJ, Maaskant-Braat AJG, Heuts EM, van Kuijk SMJ, Schipper RJ, Lobbes MBI and Smidt ML: Diagnostic performance of axillary ultrasound and standard breast MRI for differentiation between limited and advanced axillary nodal disease in clinically node-positive breast cancer patients. Sci Rep. 9:174762019. View Article : Google Scholar : PubMed/NCBI |