Spandidos Publications Logo
  • About
    • About Spandidos
    • Aims and Scopes
    • Abstracting and Indexing
    • Editorial Policies
    • Reprints and Permissions
    • Job Opportunities
    • Terms and Conditions
    • Contact
  • Journals
    • All Journals
    • Oncology Letters
      • Oncology Letters
      • Information for Authors
      • Editorial Policies
      • Editorial Board
      • Aims and Scope
      • Abstracting and Indexing
      • Bibliographic Information
      • Archive
    • International Journal of Oncology
      • International Journal of Oncology
      • Information for Authors
      • Editorial Policies
      • Editorial Board
      • Aims and Scope
      • Abstracting and Indexing
      • Bibliographic Information
      • Archive
    • Molecular and Clinical Oncology
      • Molecular and Clinical Oncology
      • Information for Authors
      • Editorial Policies
      • Editorial Board
      • Aims and Scope
      • Abstracting and Indexing
      • Bibliographic Information
      • Archive
    • Experimental and Therapeutic Medicine
      • Experimental and Therapeutic Medicine
      • Information for Authors
      • Editorial Policies
      • Editorial Board
      • Aims and Scope
      • Abstracting and Indexing
      • Bibliographic Information
      • Archive
    • International Journal of Molecular Medicine
      • International Journal of Molecular Medicine
      • Information for Authors
      • Editorial Policies
      • Editorial Board
      • Aims and Scope
      • Abstracting and Indexing
      • Bibliographic Information
      • Archive
    • Biomedical Reports
      • Biomedical Reports
      • Information for Authors
      • Editorial Policies
      • Editorial Board
      • Aims and Scope
      • Abstracting and Indexing
      • Bibliographic Information
      • Archive
    • Oncology Reports
      • Oncology Reports
      • Information for Authors
      • Editorial Policies
      • Editorial Board
      • Aims and Scope
      • Abstracting and Indexing
      • Bibliographic Information
      • Archive
    • Molecular Medicine Reports
      • Molecular Medicine Reports
      • Information for Authors
      • Editorial Policies
      • Editorial Board
      • Aims and Scope
      • Abstracting and Indexing
      • Bibliographic Information
      • Archive
    • World Academy of Sciences Journal
      • World Academy of Sciences Journal
      • Information for Authors
      • Editorial Policies
      • Editorial Board
      • Aims and Scope
      • Abstracting and Indexing
      • Bibliographic Information
      • Archive
    • International Journal of Functional Nutrition
      • International Journal of Functional Nutrition
      • Information for Authors
      • Editorial Policies
      • Editorial Board
      • Aims and Scope
      • Abstracting and Indexing
      • Bibliographic Information
      • Archive
    • International Journal of Epigenetics
      • International Journal of Epigenetics
      • Information for Authors
      • Editorial Policies
      • Editorial Board
      • Aims and Scope
      • Abstracting and Indexing
      • Bibliographic Information
      • Archive
    • Medicine International
      • Medicine International
      • Information for Authors
      • Editorial Policies
      • Editorial Board
      • Aims and Scope
      • Abstracting and Indexing
      • Bibliographic Information
      • Archive
  • Articles
  • Information
    • Information for Authors
    • Information for Reviewers
    • Information for Librarians
    • Information for Advertisers
    • Conferences
  • Language Editing
Spandidos Publications Logo
  • About
    • About Spandidos
    • Aims and Scopes
    • Abstracting and Indexing
    • Editorial Policies
    • Reprints and Permissions
    • Job Opportunities
    • Terms and Conditions
    • Contact
  • Journals
    • All Journals
    • Biomedical Reports
      • Information for Authors
      • Editorial Policies
      • Editorial Board
      • Aims and Scope
      • Abstracting and Indexing
      • Bibliographic Information
      • Archive
    • Experimental and Therapeutic Medicine
      • Information for Authors
      • Editorial Policies
      • Editorial Board
      • Aims and Scope
      • Abstracting and Indexing
      • Bibliographic Information
      • Archive
    • International Journal of Epigenetics
      • Information for Authors
      • Editorial Policies
      • Editorial Board
      • Aims and Scope
      • Abstracting and Indexing
      • Bibliographic Information
      • Archive
    • International Journal of Functional Nutrition
      • Information for Authors
      • Editorial Policies
      • Editorial Board
      • Aims and Scope
      • Abstracting and Indexing
      • Bibliographic Information
      • Archive
    • International Journal of Molecular Medicine
      • Information for Authors
      • Editorial Policies
      • Editorial Board
      • Aims and Scope
      • Abstracting and Indexing
      • Bibliographic Information
      • Archive
    • International Journal of Oncology
      • Information for Authors
      • Editorial Policies
      • Editorial Board
      • Aims and Scope
      • Abstracting and Indexing
      • Bibliographic Information
      • Archive
    • Medicine International
      • Information for Authors
      • Editorial Policies
      • Editorial Board
      • Aims and Scope
      • Abstracting and Indexing
      • Bibliographic Information
      • Archive
    • Molecular and Clinical Oncology
      • Information for Authors
      • Editorial Policies
      • Editorial Board
      • Aims and Scope
      • Abstracting and Indexing
      • Bibliographic Information
      • Archive
    • Molecular Medicine Reports
      • Information for Authors
      • Editorial Policies
      • Editorial Board
      • Aims and Scope
      • Abstracting and Indexing
      • Bibliographic Information
      • Archive
    • Oncology Letters
      • Information for Authors
      • Editorial Policies
      • Editorial Board
      • Aims and Scope
      • Abstracting and Indexing
      • Bibliographic Information
      • Archive
    • Oncology Reports
      • Information for Authors
      • Editorial Policies
      • Editorial Board
      • Aims and Scope
      • Abstracting and Indexing
      • Bibliographic Information
      • Archive
    • World Academy of Sciences Journal
      • Information for Authors
      • Editorial Policies
      • Editorial Board
      • Aims and Scope
      • Abstracting and Indexing
      • Bibliographic Information
      • Archive
  • Articles
  • Information
    • For Authors
    • For Reviewers
    • For Librarians
    • For Advertisers
    • Conferences
  • Language Editing
Login Register Submit
  • This site uses cookies
  • You can change your cookie settings at any time by following the instructions in our Cookie Policy. To find out more, you may read our Privacy Policy.

    I agree
Search articles by DOI, keyword, author or affiliation
Search
Advanced Search
presentation
Oncology Letters
Join Editorial Board Propose a Special Issue
Print ISSN: 1792-1074 Online ISSN: 1792-1082
Journal Cover
May-2024 Volume 27 Issue 5

Full Size Image

Sign up for eToc alerts
Recommend to Library

Journals

International Journal of Molecular Medicine

International Journal of Molecular Medicine

International Journal of Molecular Medicine is an international journal devoted to molecular mechanisms of human disease.

International Journal of Oncology

International Journal of Oncology

International Journal of Oncology is an international journal devoted to oncology research and cancer treatment.

Molecular Medicine Reports

Molecular Medicine Reports

Covers molecular medicine topics such as pharmacology, pathology, genetics, neuroscience, infectious diseases, molecular cardiology, and molecular surgery.

Oncology Reports

Oncology Reports

Oncology Reports is an international journal devoted to fundamental and applied research in Oncology.

Experimental and Therapeutic Medicine

Experimental and Therapeutic Medicine

Experimental and Therapeutic Medicine is an international journal devoted to laboratory and clinical medicine.

Oncology Letters

Oncology Letters

Oncology Letters is an international journal devoted to Experimental and Clinical Oncology.

Biomedical Reports

Biomedical Reports

Explores a wide range of biological and medical fields, including pharmacology, genetics, microbiology, neuroscience, and molecular cardiology.

Molecular and Clinical Oncology

Molecular and Clinical Oncology

International journal addressing all aspects of oncology research, from tumorigenesis and oncogenes to chemotherapy and metastasis.

World Academy of Sciences Journal

World Academy of Sciences Journal

Multidisciplinary open-access journal spanning biochemistry, genetics, neuroscience, environmental health, and synthetic biology.

International Journal of Functional Nutrition

International Journal of Functional Nutrition

Open-access journal combining biochemistry, pharmacology, immunology, and genetics to advance health through functional nutrition.

International Journal of Epigenetics

International Journal of Epigenetics

Publishes open-access research on using epigenetics to advance understanding and treatment of human disease.

Medicine International

Medicine International

An International Open Access Journal Devoted to General Medicine.

Journal Cover
May-2024 Volume 27 Issue 5

Full Size Image

Sign up for eToc alerts
Recommend to Library

  • Article
  • Citations
    • Cite This Article
    • Download Citation
    • Create Citation Alert
    • Remove Citation Alert
    • Cited By
  • Similar Articles
    • Related Articles (in Spandidos Publications)
    • Similar Articles (Google Scholar)
    • Similar Articles (PubMed)
  • Download PDF
  • Download XML
  • View XML

  • Supplementary Files
    • Supplementary_Data.pdf
Article Open Access

Association between different regional lymph node metastases of papillary thyroid carcinoma in adolescents and young adults

  • Authors:
    • Lili Wang
    • Yahua Zheng
    • Yingpeng Ye
    • Zhekang Jiang
    • Jinling Lu
    • Gaoxiang Chen
  • View Affiliations / Copyright

    Affiliations: Department of Nursing, Ningbo Medical Center Lihuili Hospital, Ningbo, Zhejiang 315040, P.R. China, Department of Hepatopancreatobiliary Surgery, Ningbo Medical Center Lihuili Hospital, Ningbo, Zhejiang 315040, P.R. China, Department of Thyroid and Breast Surgery, Ningbo Medical Center Lihuili Hospital, Ningbo, Zhejiang 315040, P.R. China
    Copyright: © Wang et al. This is an open access article distributed under the terms of Creative Commons Attribution License [CC BY_NC 4.0].
  • Article Number: 204
    |
    Published online on: March 11, 2024
       https://doi.org/10.3892/ol.2024.14337
  • Expand metrics +
Metrics: Total Views: 0 (Spandidos Publications: | PMC Statistics: )
Metrics: Total PDF Downloads: 0 (Spandidos Publications: | PMC Statistics: )
Cited By (CrossRef): 0 citations Loading Articles...

This article is mentioned in:



Abstract

Adolescents and young adults (AYA) describe the demographic aged between 15‑39 years diagnosed with cancer. This group is particularly at risk of papillary thyroid carcinoma (PTC) with a greater severity compared with other ages. Through comparative design, the present study aimed to quantify central lymph node metastasis (CLNM) risk in AYAs. A total of 463 AYA patients with PTC and 489 patients >39 years old with PTC from Ningbo Medical Center Lihuili Hospital (Ningbo, China) were enrolled. Details such as demographic data, serum indices and fine‑needle aspiration from the Electronic Medical Records System were extracted and analyzed. AYA patients had significantly higher rates of ipsilateral Hashimoto thyroiditis, thyroid capsular invasion (TCI), CLNM, larger tumors and more positive central lymph nodes (CLN). Independent risk factors of CLNM in AYA patients were as follows: Male sex, presence of TCI, multifocality, bilateral disease and maximum tumor diameter (MTD) ≥1.0 cm. Independent risk factors of lateral lymph node metastasis in AYAs with CLNM were as follows: MTD ≥1.0 cm, maximum diameter of positive CLN ≥1.0 cm, and presence of ipsilateral nodular goiter. Furthermore, AYA patients with PTC displayed significantly greater aggression in primary tumor invasion and neck lymph node metastasis. Based on these findings, a treatment stratification chart was created to guide the PTC treatment approach for AYAs. The present study is registered at the Chinese Clinical Trials Registry (trial registration no. ChiCTR2200064921) in November 2022.

Introduction

Adolescents and young adults (AYAs) describes patients with cancer aged 15–39 years, according to the National Cancer Institute (1) and >1.2 million AYA patients with cancer are newly diagnosed each year globally (2). An increasing body of evidence has reported that the molecular biology of tumors in AYAs is unique compared with that in other ages (3,4). In the case of papillary thyroid carcinoma (PTC), more advanced tumor stages as well as different treatment resistance behaviors are observed when compared with several other cancers such as melanoma, breast cancer and colorectal cancer (5).

Thyroid cancer has one of the highest incidences within endocrine malignancies at 10.1 per 100,000 women and 3.1 per 100,000 men globally (6), with ~80% of thyroid cancers classified as PTC (7). Thus, PTC is one of the primary drivers behind the increase in overall incidence of cancer in AYA, making PTC a valuable topic for study (8). To date, a consensus has not been reached on whether prophylactic central neck dissection should be performed (9), and investigations into this topic may fuel optimal PTC treatment decisions that may greatly benefit AYA patients.

In light of studies that have reported notably different clinical and molecular features in the AYA group of patients with PTC (10,11), the present study compared the clinicopathological characteristics between AYA and older adult patients with PTC. Furthermore, considering that no existing literature has measured neck involvement risk quantitatively for AYA patients with PTC, to the best of our knowledge, the present research predicted and stratified the risk of central lymph node metastasis (CLNM) and lateral lymph node metastasis (LLNM) for AYA patients to guide individual management strategies of neck regions.

Materials and methods

Patient recruitment

Medical records of 989 patients with confirmed PTC treated surgically at Ningbo Medical Center Lihuili Hospital (Ningbo, China) between 2019 and 2022 were retrospectively analyzed. The inclusion criteria were as follows: i) Aged >15 years; ii) diagnosis of PTC; iii) biopsy performed; iv) surgical treatment received as the only treatment; and v) no distant metastasis. Exclusion criteria were as follows: i) PTC not histologically proven. Several were poorly differentiated thyroid cancer or anaplastic thyroid cancer (n=24); ii) missing clinical or pathological data (n=9); and iii) other head or neck cancers present (n=4). Post-exclusion, 952 patients with diagnosed PTC who underwent thyroidectomy were analyzed.

Surgical procedure, CLNM and LLNM, and follow-up

From the Electronic Medical Records System, demographic data, serum indices and fine-needle aspiration (FNA) details were collected for analysis. All patients underwent either a total thyroidectomy or thyroid lobectomy with blood drawn and tested prior to procedure. Furthermore, all patients underwent comprehensive whole-body imaging to rule out distant metastasis pre-operation. Central lymph node dissection (CLND) was standard for both treatment and prevention, with positive results confirmed by ≥2 expert pathologists. Lateral lymph node dissection was reserved for patients with suspected lateral neck involvement either preoperatively via ultrasonography or FNA or based on surgical judgment. If post-surgery ultrasonography or FNA within 6 months revealed LLNM in patients who only had CLND, they were retroactively classified as having had lateral neck involvement during their initial surgery. Postoperative pathology was consistently reported using standardized methods within 7 working days following surgery, and for follow-up, each patient underwent a neck ultrasound at 6 months post-surgery, along with other necessary imaging assessments to evaluate postoperative neck conditions. All observed metastatic lymph nodes were ipsilateral.

Statistical analysis

Pearson's χ2 and the independent t-test were used for the analysis of categorical and continuous variables, respectively. Logistic uni- and multivariate regression analyses were conducted to screen out independent risk factors of CLNM and LLNM in AYA, which were further used to create a nomogram. All aforementioned statistical analyses were performed using SPSS (version 24.0; IBM Corp.). P<0.05 was considered to indicate a statistically significant difference. The performance of these models was assessed using the concordance index (C-index), receiver operating characteristic (ROC) curve and calibration curve. These assessments were performed using R software (version 3.5.1; R Core Team).

Results

Basic demographics and clinicopathological features of patients with PTC within different age groups

Of the 952 patients with PTC, 463 (48.6%) aged 15–39 years were in the AYA group, whilst 489 (51.4%) aged >39 years were in the older adult group. Basic clinical data for both groups is presented in Table I. Significant differences between groups were observed in primary tumor and cervical areas. Compared with the older adult group, the AYA group had significantly larger tumor sizes (0.98±0.80 cm vs. 0.8±0.63 cm; P<0.001), and significantly higher rates of ipsilateral Hashimoto thyroiditis (23.1% vs. 18.0%; P=0.028) and thyroid capsular invasion (TCI; 43.0% vs. 33.1%; P=0.001). However, ipsilateral nodular goiter (iNG) was significantly less prevalent in the AYA group compared with the older adult group (24.6% vs. 33.2%, P=0.006). Furthermore, AYA patients had significantly higher rates of both CLNM (61.8% vs. 35.0%; P<0.001) and LLNM (28.3% vs. 18.7%; P=0.009), with significantly larger positive central lymph node (CLN) sizes and counts (P=0.034 and P<0.001, respectively), in comparison with the older adult group.

Table I.

Clinicopathological characteristics of patients with papillary thyroid carcinoma within different groups.

Table I.

Clinicopathological characteristics of patients with papillary thyroid carcinoma within different groups.

A, All PTC patients that underwent thyroidectomy (n=952)

AYA and old adult groupsPatients within AYA group


CharacteristicAll patients (n=952)AYA group (n=463)Older adult group (n=489)P-value15–29 years (n=156)30–39 years (n=307)P-value
Sex 0.045 0.081
  Male338 (35.5)177 (38.2)161 (32.9) 51 (32.7)126 (41.0)
  Female614 (64.5)286 (61.8)328 (67.1) 105 (67.3)181 (59.0)
Maximum tumor diameter, cm0.92±0.660.98±0.800.80±0.63<0.0011.09±0.960.92±0.690.025
PTC with Hashimoto thyroiditis 0.028 0.357
  No757 (79.5)356 (76.9)401 (82.0) 116 (74.4)240 (78.2)
  Yes195 (20.5)107 (23.1)88 (18.0) 40 (25.6)67 (21.8)
PTC with nodular goiter 0.006 0.582
  No676 (71.0)349 (75.4)327 (66.8) 120 (76.9)229 (74.6)
  Yes276 (29.0)114 (24.6)162 (33.2) 36 (23.1)78 (25.4)
Thyroid capsular invasion 0.001 0.075
  Absent591 (62.1)264 (57.0)327 (66.9) 80 (51.3)184 (59.9)
  Present361 (37.9)199 (43.0)162 (33.1) 76 (48.7)123 (40.1)
Bilateral disease 0.474 0.249
  Absent773 (81.2)372 (80.3)401 (82.0) 130 (83.3)242 (78.8)
  Present179 (18.8)91 (19.7)88 (18.0) 26 (16.7)65 (21.2)
Multifocality 0.849 0.414
  Absent657 (69.0)318 (68.7)339 (69.3) 111 (71.2)207 (67.4)
  Present295 (31.0)145 (31.3)150 (30.7) 45 (28.8)100 (32.6)
Tumor location 0.543 0.399
  Upper portion270 (28.4)121 (26.1)149 (30.5) 37 (23.7)84 (27.4)
  Middle/Lower portion682 (71.6)342 (73.9)340 (69.5) 119 (76.3)223 (72.6)
CLNM <0.001 0.179
  No495 (52.0)177 (38.2)318 (65.0) 53 (34.0)124 (40.4)
  Yes457 (48.0)286 (61.8)171 (35.0) 103 (66.0)183 (59.6)

B, Positive CLNM only (n=457)

AYA and old adult groupsPatients within AYA group


CharacteristicAll patients (n=952)AYA group (n=463)Older adult group (n=489)P-value15–29 years (n=156)30–39 years (n=307)P-value

Number of positive <0.001 0.394
CLN
  1-2226 (49.5)121 (42.3)105 (61.4) 39 (37.9)82 (44.8)
  3-4118 (25.8)74 (25.9)44 (25.7) 31 (30.1)43 (23.5)
  ≥5113 (24.7)91 (31.8)22 (12.9) 33 (32.0)58 (31.7)
Maximum diameter of positive CLN 0.034 0.573
  <1.0 cm349 (76.4)211 (73.8)138 (80.7) 78 (75.7)133 (72.7)
  ≥1.0 cm108 (23.6)75 (26.2)33 (19.3) 25 (24.3)50 (27.3)
LLNM 0.009 0.386
  No344 (75.3)205 (71.7)139 (81.3) 77 (74.8)128 (69.9)
  Yes113 (24.7)81 (28.3)32 (18.7) 26 (25.2)55 (30.1)

[i] Data are presented as n (%) or mean ± standard deviation. PTC, papillary thyroid carcinoma; AYA, adolescents and young adults; CLNM, central lymph node metastasis; CLN, central lymph node; LLNM, lateral lymph node metastasis.

AYA patients were further split into two subgroups: 15–29 years (younger AYA group) and 30–39 years (older AYA group). Only tumor size differed significantly between the groups, with a greater maximum tumor diameter (MTD) observed in the younger subgroup compared with that in the older subgroup (1.09±0.96 cm vs. 0.92±0.69 cm; P=0.025), as shown in Table I.

Different clinicopathological features between patients with or without CLNM or LLNM in the AYA group

Out of the 463 AYA patients, 286 (61.8%) had central neck involvement and 81 (17.5%) had lateral neck involvement. When comparing AYA patients based on central involvement, 43.4% of those with CLNM were male, significantly higher than those without CLNM (P=0.004, Table II). Those with CLNM also had significantly larger tumors (1.13±0.86 cm vs. 0.73±0.61 cm; P<0.001) and significantly exhibited factors like TCI (P<0.001), bilateral disease (P<0.001), multifocality (P<0.001) and iNG (P=0.033) more frequently, compared with AYA patients without CLNM.

Table II.

Clinicopathological characteristics of adolescents and young adult patients.

Table II.

Clinicopathological characteristics of adolescents and young adult patients.

AYA patients (n=463)AYA patients with CLNM (n=286)


CharacteristicNo-CLNM (n=177)CLNM (n=286)P-valueNo-LLNM (n=205)LLNM (n=81)P-value
Sex 0.004 0.304
  Male53 (29.9)124 (43.4) 85 (41.5)39 (48.1)
  Female124 (70.1)162 (56.6) 120 (58.5)42 (51.9)
Thyroid capsular invasion <0.001 0.010
  Absent149 (84.2)115 (40.2) 92 (44.9)23 (28.4)
  Present28 (15.8)171 (59.8) 113 (55.1)58 (71.6)
Bilateral disease <0.001 0.090
  Absent158 (89.3)214 (74.8) 159 (77.6)55 (67.9)
  Present19 (10.7)72 (25.2) 46 (22.4)26 (32.1)
Maximum tumor diameter0.73±0.611.13±0.86<0.0010.96±0.611.56±1.18<0.001
Multifocality <0.001 0.013
  Absent151 (85.3)167 (58.4) 129 (62.9)38 (46.9)
  Present26 (14.7)119 (41.6) 76 (37.1)43 (53.1)
Tumor location 0.704 0.012
  Upper portion48 (27.1)73 (25.5) 161 (78.5)52 (64.2)
  Middle/Lower portion129 (72.9)213 (74.5) 44 (21.5)29 (35.8)
PTC with nodular goiter 0.033 <0.001
  No143 (80.8)206 (72.0) 163 (79.5)43 (53.1)
  Yes34 (19.2)80 (28.0) 42 (20.5)38 (46.9)
PTC with Hashimoto thyroiditis 0.353 0.257
  No132 (74.6)224 (78.3) 157 (76.6)67 (82.7)
  Yes45 (25.4)62 (21.7) 48 (23.4)14 (17.3)
Number of positive CLN - <0.001
  1-2-121 (42.3) 99 (48.3)22 (27.2)
  3-4-74 (25.9) 60 (29.3)14 (17.3)
  ≥5-91 (31.8) 46 (22.4)45 (55.6)
Maximum diameter of positive - <0.001
CLN
  <1.0 cm-211 (73.8) 188 (91.7)23 (28.4)
  ≥1.0 cm-75 (26.2) 17 (8.3)58 (71.6)

[i] Data are presented as n (%) or mean ± standard deviation. AYA, adolescents and young adults; CLNM, central lymph node metastasis; LLNM, lateral lymph node metastasis; PTC, papillary thyroid carcinoma; CLN, central lymph node.

Among the 286 AYA patients with positive CLNM, differences were analyzed based on LLNM presence. Those with positive LLNM had a significantly higher occurrence of TCI, multifocality and iNG (P=0.010, P=0.013 and P<0.001, respectively), and displayed significantly larger tumors than those with negative LLNM (1.56±1.18 cm vs. 0.96±0.61 cm; P<0.001). Furthermore, AYA patients with LLNM had significantly greater counts and larger positive CLN sizes than those without LLNM (both P<0.001; Table II).

Construction of risk prediction model of CLNM for patients within AYA group

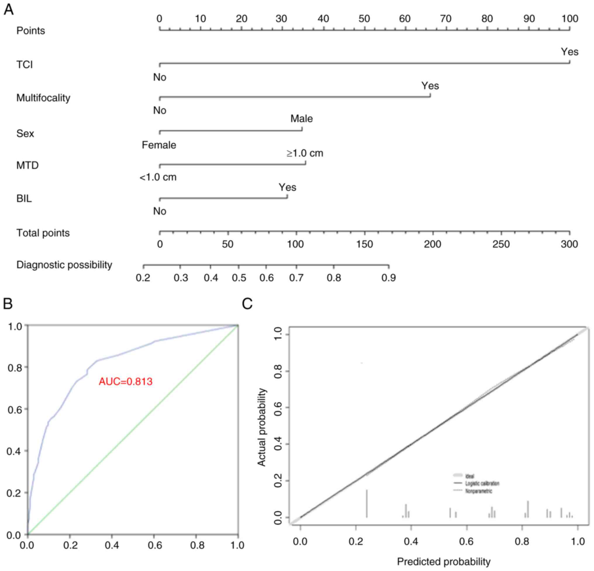
Univariate and multivariate analyses were performed to identify independent risk factors for CLNM. Factors with P<0.05 underwent further multivariate analysis. A total of five factors were demonstrated to be independent risk factors for CLNM in the AYA patients: Male sex, TCI presence, multifocality, bilateral disease and MTD ≥1.0 cm (Table III). These factors contributed to the CLNM prediction model (Fig. 1A). The accuracy of the model was verified with 1,000 bootstrap resamples, yielding a C-index of 0.813 (95% CI, 0.774–0.853) and 0.804 after bootstrapping. The ROC curve and calibration plot are presented in Fig. 1B and C, indicating consistent actual and predicted CLNM probabilities.

Figure 1.

CLNM prediction model for AYA patients. (A) Nomogram illustrating CLNM risk for AYA patients. (B) Receiver operating characteristics curve and AUC representing the accuracy of the nomogram in predicting CLNM risk for this group. (C) Calibration curve for the prediction of the nomogram. CLNM, central lymph node metastasis; AYA, adolescents and young adults; AUC, area under the curve; TCI, thyroid capsular invasion; MTD, maximum tumor diameter; BIL, bilateral disease.

Table III.

Univariate and multivariate analyses of cervical lymph node metastasis and lateral lymph node metastasis for AYA patients.

Table III.

Univariate and multivariate analyses of cervical lymph node metastasis and lateral lymph node metastasis for AYA patients.

A, Analyzing all AYA patients to screen independent factors for CLNM

Univariate analysisMultivariate analysis


Factor selectedHazard ratio (95% CI)P-valueHazard ratio (95% CI)P-value
Sex (Male vs. female)1.791 (1.203–2.665)0.0041.856 (1.144–3.010)0.012
Thyroid capsular invasion (yes vs. no)7.913 (4.956–12.633)<0.0017.262 (4.389–12.016)<0.001
Bilateral disease (Yes vs. no)2.798 (1.621–4.829)<0.0011.885 (1.002–3.546)0.049
Maximum tumor diameter (≥1.0 cm vs. <1.0 cm)2.728 (1.759–4.232)<0.0011.956 (1.169–3.274)0.011
Tumor location (Upper vs. middle/lower)0.921 (0.602–1.409)0.704
Multifocality (Yes vs. no)4.138 (2.566–6.675)<0.0013.662 (2.110–6.356)<0.001
PTC with nodular goiter (Yes vs. no)1.633 (1.037–2.573)0.0341.137 (0.658–1.966)0.646
PTC with Hashimoto thyroiditis (Yes vs. no)0.812 (0.523–1.261)0.353

B, Analyzing AYA patients with positive CLNM to screen out independent factors for LLNM

Univariate analysisMultivariate analysis


Factor selectedHazard ratio (95% CI)P-valueHazard ratio (95% CI)P-value

Sex (Male vs. female)1.311 (0.782–2.198)0.305
Thyroid capsular invasion (Yes vs. no)2.053 (1.178–3.580)0.0112.129 (0.948–4.784)0.067
Bilateral disease (Yes vs. no)1.634 (0.924–2.890)0.092
Maximum tumor diameter (≥ 1.0 vs. <1.0 cm)3.225 (1.892–5.496)<0.0012.740 (1.276–5.885)0.010
Tumor location (Upper vs. middle/lower)2.041 (1.162–3.585)0.0131.417 (0.632–3.181)0.398
Multifocality (Yes vs. no)1.921 (1.142–3.232)0.0141.809 (0.852–3.843)0.123
PTC with nodular goiter (Yes vs. no)3.430 (1.973–5.960)<0.0012.851 (1.306–6.225)0.009
PTC with Hashimoto thyroiditis (Yes vs. no)0.683 (0.353–1.323)0.259
Maximum diameter of positive CLN (≥1.0 vs. <1.0 cm)27.887 (13.952–55.743)<0.00127.131 (12.372–59.496)<0.001
Number of positive CLN (≥3 vs. <3)2.505 (1.429–4.389)0.0011.618 (0.746–3.510)0.223

[i] PTC, papillary thyroid carcinoma; AYAs, adolescents and young adults; CLNM, central lymph node metastasis; CLN, central lymph nodes; LLNM, lateral lymph node metastasis.

Using the developed nomogram, each AYA patient received a CLNM risk score by summing the scores of the five factors. Patients were divided into two risk subgroups based on their scores, demonstrating significantly different central neck involvement rates (P<0.001; Table IV): i) Low CLNM risk [total score (TS) <50): CLNM rate of 25.9% (42/162) and ii) high CLNM risk (TS ≥50): CLNM rate of 81.1% (244/301).

Table IV.

Risk stratification of CLNM for adolescents and young adult patients.

Table IV.

Risk stratification of CLNM for adolescents and young adult patients.

CLNMLow risk (TS <50; n=162)High risk (TS ≥50; n=301)P-value
Negative120 (74.1)57 (18.9)<0.001
Positive42 (25.9)244 (81.1)

[i] CLNM, central lymph node metastasis; TS, total score.

Construction of risk prediction model of LLNM for AYA patients with positive CLNM

Multivariate analysis identified MTD ≥1.0 cm, maximum diameter of positive CLN ≥1.0 cm and iNG presence as independent LLNM risk factors for AYA patients with CLNM (Table III). A prediction model for LLNM was established using these three factors (Fig. 2A). The C-index values were 0.895 (95% CI, 0.854–0.936) and 0.886 post-bootstrapping. The accuracy of the model is shown in the ROC curve and calibration plot (Fig. 2B and C).

Figure 2.

LLNM prediction model for AYA patients with positive CLNM. (A) Nomogram showcasing LLNM risk in AYA patients with positive CLNM. (B) Receiver operating characteristics curve and AUC demonstrates the accuracy of the nomogram in predicting LLNM risk for this group. (C) Calibration curve demonstrating the prediction of the nomogram, comparing actual likelihood to predicted likelihood. LLNM, lateral lymph node metastasis; CLNM, central lymph node metastasis; AUC, area under the curve; MDCLN, maximum diameter of positive central lymph nodes; iNG, ipsilateral nodular goiter; MTD, maximum tumor diameter.

Based on the LLNM prediction model, AYA patients with CLNM were categorized into three subgroups with varying LLNM rates (P<0.001, Table V): i) Low LLNM risk (TS=0): LLNM rate of 1.9% (2/106); ii) moderate LLNM risk (0<TS<100): LLNM rate of 20.0% (21/105); and iii) high LLNM risk (TS≥100): LLNM rate of 77.3% (58/75).

Table V.

Risk stratification of LLNM for adolescents and young adult patients with positive central LNM.

Table V.

Risk stratification of LLNM for adolescents and young adult patients with positive central LNM.

LLNMLow risk (TS=0; n=106)Moderate risk (0< TS <100; n=105)High risk (TS ≥100; n=75)P-value
Negative104 (98.1)84 (80.0)17 (22.7)<0.001
Positive2 (1.9)21 (20.0)58 (77.3)

[i] LLNM, lateral lymph node metastasis; TS, total score.

Cervical involvement risk assessment flow chart for AYA patients

The nomograms assessing CLNM and LLNM risk for AYA patients were combined into a comprehensive cervical risk evaluation chart (Fig. 3). In brief, for high-risk patients, options such as prophylactic CLND or more intensive postoperative monitoring may be considered. In the case of intermediate-risk patients, the choice between closer follow-up and prophylactic CLND should be made after thorough discussion with the patient, taking their preferences into account. For low-risk patients, a conservative ‘wait and see’ approach is advocated, negating the need for interventions like prophylactic cervical cleansing. In cases where no lymph node metastasis is detected through preoperative imaging, postoperative pathology (including lymph node specimens from prophylactic CLND) or in the 6-month postoperative follow-up imaging, the absence of lymph node metastasis is inferred at the initial diagnosis. These patients without lymph node metastasis would fall under low LLNM risk (total score=0) and would thus follow the recommendation for low-risk patients.

Figure 3.

Flow chart depicting the risk of CLNM for AYA patients with papillary thyroid carcinoma, covering both CLNM and LLNM. AYA, adolescents and young adults; CLNM, central lymph node metastasis; LLNM, lateral lymph node metastasis.

Other blood indexes

There were four thyroid-related hormone levels between AYA females and males that demonstrated significant variations. Triiodothyronine (T3) (1.58±0.22 nmol/l vs. 1.71±0.19 nmol/l; P<0.001), Thyroxine (T4) (96.42±16.89 nmol/l vs. 100.74±16.34 nmol/l; P=0.020), free T3 (FT3) (4.27±0.48 pmol/l vs. 4.55±0.44 pmol/l; P<0.001) and Thyroglobulin Antibody (TgAb) (106.23±227.03 kU/L vs. 49.85±186.09 kU/L; P=0.008) (Table SI).

Discussion

The present study demonstrated that PTC tumors in patients aged 15–39 years (AYAs) were more aggressive, with AYA primary tumor sites differing significantly from older patients: They had larger tumors, more frequent TCI, ipsilateral Hashimoto thyroiditis and iNG. This suggests a faster and more complex disease progression in AYAs. Moreover, lymph node involvement in both central and lateral regions was higher in AYAs. They also had more extensive CLNM, indicating greater local tumor invasiveness. Within the AYA group, primary tumor and lymph node conditions were consistent across ages 15–29 and 30–39 years.

Use of more aggressive treatments such as prophylactic CLND for PTC is debated (12). An active surveillance approach instead of traditional surgery has been gaining traction lately for certain PTC types, but comprehensive factors to be considered for different approaches remain unclear. Age, a vital factor to consider in PTC clinical staging as per the 8th edition of the American Joint Committee on Cancer Tumor-Node-Metastasis staging (13), may serve as a viable starting point. Although select few research, such as those by Vriens et al (11) and Miccoli et al (14), reported AYAs to have lower staging and improved prognoses, more studies reported advanced PTC with neck involvement in this demographic (15), which align with the findings of the current study. Managing the cervical lymph node region is thus crucial for AYAs, and this should be based on investigations into lymph node metastasis risk to account for the larger tumor size and more frequent multifocality seen in AYA patients with PTC (10,14).

For AYA patients, of the five key risk factors for CLNM, four (MTD ≥1.0 cm, presence of TCI, multifocality and bilateral disease) are seen as indicators of advanced tumor progression and are often linked with CLNM in patients with PTC, as reported in several studies (9,16,17). Male AYAs are at high risk for central neck metastasis, a factor not previously associated with patients with PTC (18), hence more studies are needed to support this finding. At this stage, we hypothesize that such a discrepancy between the sexes may relate to differing thyroid hormone levels. The analysis of blood indexes in AYA males and females in the present study (Table SI) demonstrated significant variations in T3, T4, FT3 and TgAb levels, hinting at new research avenues on CLNM risk.

The present study also identified high-risk factors for LLNM in AYA patients with positive CLNM. A total of three main factors were recognized, including two related to primary tumors (MTD ≥1.0 cm and presence of iNG) and one associated with central neck regions (maximum diameter of positive CLN ≥1.0 cm). Based on these risks, two prediction models were developed for assessing CLNM and LLNM risks in AYA patients. Based on the distribution of the total score described in the newly-created nomogram for predicting CLNM risk, AYA patients were split into two groups. The overall CLNM rate was 61.8% (286/463). The low-risk group had a CLNM rate of 25.9% (42/162) and the rate of the high-risk group was 81.1% (244/301). Furthermore, AYA patients with positive CLNM were categorized into three groups with LLNM rates of 1.9, 20.0 and 77.3%. This classification is supported by previous studies (19,20), demonstrating its effectiveness in screening patients with extremely low LLNM risk (only 2/106 patients in this subgroup showed positive lateral neck involvement).

Two prediction models were merged to form a CLNM risk assessment for AYA patients. For AYA patients without clinical signs of CLNM, preventive central neck dissection should be considered for those at high CLNM risk; however, for patients with low CLNM risk, the decision should be based on the surgeon's assessment and patient preference. If no surgery is performed, closer monitoring is advised. For AYA patients with detected positive CLNM, no preventive measures are necessary for those at low LLNM risk; however, patients with high LLNM risk may require close observation and possibly preventive lateral neck dissection.

The present study has certain limitations. Firstly, the patient sample was obtained from one center with a limited case count. For stronger evidence, a larger, multicenter sample is required. The research was also retrospective, so the predictive model needs validation in a prospective trial. Furthermore, only lymph node metastasis for subgroup endpoints was assessed. Future research should have a broader postoperative follow-up to understand the long-term outcomes for these subgroups. Genetic testing was also not performed and therefore, the role of several mutations, such as Braf-V600E and TERT were not assessed in the current study. Moreover, due to the short median follow-up time, it was not possible to provide significant disease-free survival and overall survival rates for patients with PTC.

In conclusion, patients with PTC aged 15–39 years were more at risk for larger tumor sizes, ipsilateral Hashimoto thyroiditis, thyroid capsular invasion, CLNM, LLNM and larger CLN sizes and counts. Therefore, a stratification chart was developed for AYA patients with PTC to quantify the risk of both CLNM and LLNM, assisting with the clinical decisions for these patients.

Supplementary Material

Supporting Data

Acknowledgements

Not applicable.

Funding

The present research was supported by the Science and Technology Program for Public Wellbeing of Ningbo (grant. no. 2022S051).

Availability of data and materials

The data generated in the present study may be requested from the corresponding author.

Authors' contributions

LW and GC conceived and designed the study and analyzed and interpreted data. YY conceived and designed the study. LW and YY wrote the manuscript. JL, ZJ and YZ collected, analyzed and interpreted data. LW and GC confirm the authenticity of all the raw data. All authors have read and approved the final manuscript.

Ethics approval and consent to participate

The authors take responsibility for the accuracy and integrity of the present work, addressing any related concerns. The study adhered to the Declaration of Helsinki and was approved by the ethics committee of Ningbo Medical Center Lihuili Hospital (Ningbo, China; approval no. KY2022SL341-01). Informed consent for the present retrospective review was waived by the same committee. The present study is registered at the Chinese Clinical Trials Registry (trial registration no. ChiCTR2200064921).

Patient consent for publication

Not applicable.

Competing interests

The authors declare that they have no competing interests.

References

1 

Adolescent and Young Adult Oncology Progress Review Group, . Closing the gap: Research and care imperatives for adolescents and young adults with cancer. National Institutes of Health; Bethesda, MD: 2006

2 

Janssen SHM, van der Graaf WTA, van der Meer DJ, Manten-Horst E and Husson O: Adolescent and Young Adult (AYA) Cancer Survivorship Practices: An Overview. Cancers (Basel). 13:48472021. View Article : Google Scholar : PubMed/NCBI

3 

Bleyer A, Barr R, Hayes-Lattin B, Thomas D, Ellis C and Anderson B: The distinctive biology of cancer in adolescents and young adults. Nat Rev Cancer. 4:288–298. 2008. View Article : Google Scholar : PubMed/NCBI

4 

Tricoli JV, Boardman LA, Patidar R, Sindiri S, Jang JS, Walsh WD, McGregor PM III, Camalier CE, Mehaffey MG, Furman WL, et al: A mutational comparison of adult and adolescent and young adult (AYA) colon cancer. Cancer. 124:1070–1082. 2018. View Article : Google Scholar : PubMed/NCBI

5 

Tricoli JV, Blair DG, Anders CK, Bleyer WA, Boardman LA, Khan J, Kummar S, Hayes-Lattin B, Hunger SP, Merchant M, et al: Biologic and clinical characteristics of adolescent and young adult cancers: Acute lymphoblastic leukemia, colorectal cancer, breast cancer, melanoma, and sarcoma. Cancer. 122:1017–1028. 2016. View Article : Google Scholar : PubMed/NCBI

6 

Pizzato M, Li M, Vignat J, Laversanne M, Singh D, La Vecchia C and Vaccarella S: The epidemiological landscape of thyroid cancer worldwide: GLOBOCAN estimates for incidence and mortality rates in 2020. The Lancet Diabetes and Endocrinology. 4:264–272. 2022. View Article : Google Scholar : PubMed/NCBI

7 

Rosenbaum MA and McHenry CR: Contemporary management of papillary carcinoma of the thyroid gland. Expert review of anticancer therapy. 9:317–329. 2014. View Article : Google Scholar : PubMed/NCBI

8 

Miller KD, Fidler-Benaoudia M, Keegan TH, Hipp HS, Jemal A and Siegel RL: Cancer statistics for adolescents and young adults, 2020. CA Cancer J Clin. 70:443–459. 2020. View Article : Google Scholar : PubMed/NCBI

9 

Yang Z, Heng Y, Lin J, Lu C, Yu D, Tao L and Cai W: Nomogram for predicting central lymph node metastasis in papillary thyroid cancer: A retrospective cohort study of two clinical centers. Cancer Res Treat. 52:1010–1018. 2020.PubMed/NCBI

10 

Hod N, Hagag P, Baumer M, Sandbank J and Horne T: Differentiated thyroid carcinoma in children and young adults: Evaluation of response to treatment. Clin Nucl Med. 30:387–390. 2005. View Article : Google Scholar : PubMed/NCBI

11 

Vriens MR, Moses W, Weng J, Peng M, Griffin A, Bleyer A, Pollock BH, Indelicato DJ, Hwang J and Kebebew E: Clinical and molecular features of papillary thyroid cancer in adolescents and young adults. Cancer. 117:259–267. 2011. View Article : Google Scholar : PubMed/NCBI

12 

Dedhia PH, Saucke MC, Long KL, Doherty GM and Pitt SC: Physician perspectives of overdiagnosis and overtreatment of low-risk papillary thyroid cancer in the US. JAMA Netw Open. 5:e2287222022. View Article : Google Scholar : PubMed/NCBI

13 

Amin MB, Greene FL, Edge SB, Compton CC, Gershenwald JE, Brookland RK, Meyer L, Gress DM, Byrd DR and Winchester DP: The eighth edition AJCC cancer staging manual: Continuing to build a bridge from a population-based to a more ‘personalized’ approach to cancer staging. CA Cancer J Clin. 67:93–99. 2017. View Article : Google Scholar : PubMed/NCBI

14 

Miccoli P, Minuto MN, Ugolini C, Panicucci E, Massi M, Berti P and Basolo F: Papillary thyroid cancer: Pathological parameters as prognostic factors in different classes of age. Otolaryngology-Head and Neck Surgery. 138:200–203. 2008. View Article : Google Scholar : PubMed/NCBI

15 

Lim H, Devesa SS, Sosa JA, Check D and Kitahara CM: Trends in thyroid cancer incidence and mortality in the United States, 1974–2013. JAMA. 317:1338–1348. 2017. View Article : Google Scholar : PubMed/NCBI

16 

Mulla M and Schulte KM: Central cervical lymph node metastases in papillary thyroid cancer: A systematic review of imaging-guided and prophylactic removal of the central compartment. Clin Endocrinol (Oxf). 76:131–136. 2012. View Article : Google Scholar : PubMed/NCBI

17 

Feng JW, Yang XH, Wu BQ, Sun DL, Jiang Y and Qu Z: Predictive factors for central lymph node and lateral cervical lymph node metastases in papillary thyroid carcinoma. Clin Transl Oncol. 21:1482–1491. 2019. View Article : Google Scholar : PubMed/NCBI

18 

Wang Y, Nie F, Wang G, Liu T, Dong T and Sun Y: Value of combining clinical factors, conventional ultrasound, and contrast-enhanced ultrasound features in preoperative prediction of central lymph node metastases of different sized papillary thyroid carcinomas. Cancer Manag Res. 13:3403–3415. 2021. View Article : Google Scholar : PubMed/NCBI

19 

Heng Y, Yang Z, Zhou L, Lin J, Cai W and Tao L: Risk stratification for lateral involvement in papillary thyroid carcinoma patients with central lymph node metastasis. Endocrine. 68:320–328. 2020. View Article : Google Scholar : PubMed/NCBI

20 

Zhao W, Chen S, Hou X, Liao Q, Chen G and Zhao Y: Predictive factors of lateral lymph node metastasis in papillary thyroid microcarcinoma. Pathol Oncol Res. 25:1245–1251. 2019. View Article : Google Scholar : PubMed/NCBI

Related Articles

  • Abstract
  • View
  • Download
  • Twitter
Copy and paste a formatted citation
Spandidos Publications style
Wang L, Zheng Y, Ye Y, Jiang Z, Lu J and Chen G: Association between different regional lymph node metastases of papillary thyroid carcinoma in adolescents and young adults. Oncol Lett 27: 204, 2024.
APA
Wang, L., Zheng, Y., Ye, Y., Jiang, Z., Lu, J., & Chen, G. (2024). Association between different regional lymph node metastases of papillary thyroid carcinoma in adolescents and young adults. Oncology Letters, 27, 204. https://doi.org/10.3892/ol.2024.14337
MLA
Wang, L., Zheng, Y., Ye, Y., Jiang, Z., Lu, J., Chen, G."Association between different regional lymph node metastases of papillary thyroid carcinoma in adolescents and young adults". Oncology Letters 27.5 (2024): 204.
Chicago
Wang, L., Zheng, Y., Ye, Y., Jiang, Z., Lu, J., Chen, G."Association between different regional lymph node metastases of papillary thyroid carcinoma in adolescents and young adults". Oncology Letters 27, no. 5 (2024): 204. https://doi.org/10.3892/ol.2024.14337
Copy and paste a formatted citation
x
Spandidos Publications style
Wang L, Zheng Y, Ye Y, Jiang Z, Lu J and Chen G: Association between different regional lymph node metastases of papillary thyroid carcinoma in adolescents and young adults. Oncol Lett 27: 204, 2024.
APA
Wang, L., Zheng, Y., Ye, Y., Jiang, Z., Lu, J., & Chen, G. (2024). Association between different regional lymph node metastases of papillary thyroid carcinoma in adolescents and young adults. Oncology Letters, 27, 204. https://doi.org/10.3892/ol.2024.14337
MLA
Wang, L., Zheng, Y., Ye, Y., Jiang, Z., Lu, J., Chen, G."Association between different regional lymph node metastases of papillary thyroid carcinoma in adolescents and young adults". Oncology Letters 27.5 (2024): 204.
Chicago
Wang, L., Zheng, Y., Ye, Y., Jiang, Z., Lu, J., Chen, G."Association between different regional lymph node metastases of papillary thyroid carcinoma in adolescents and young adults". Oncology Letters 27, no. 5 (2024): 204. https://doi.org/10.3892/ol.2024.14337
Follow us
  • Twitter
  • LinkedIn
  • Facebook
About
  • Spandidos Publications
  • Careers
  • Cookie Policy
  • Privacy Policy
How can we help?
  • Help
  • Live Chat
  • Contact
  • Email to our Support Team