Spandidos Publications Logo
  • About
    • About Spandidos
    • Aims and Scopes
    • Abstracting and Indexing
    • Editorial Policies
    • Reprints and Permissions
    • Job Opportunities
    • Terms and Conditions
    • Contact
  • Journals
    • All Journals
    • Oncology Letters
      • Oncology Letters
      • Information for Authors
      • Editorial Policies
      • Editorial Board
      • Aims and Scope
      • Abstracting and Indexing
      • Bibliographic Information
      • Archive
    • International Journal of Oncology
      • International Journal of Oncology
      • Information for Authors
      • Editorial Policies
      • Editorial Board
      • Aims and Scope
      • Abstracting and Indexing
      • Bibliographic Information
      • Archive
    • Molecular and Clinical Oncology
      • Molecular and Clinical Oncology
      • Information for Authors
      • Editorial Policies
      • Editorial Board
      • Aims and Scope
      • Abstracting and Indexing
      • Bibliographic Information
      • Archive
    • Experimental and Therapeutic Medicine
      • Experimental and Therapeutic Medicine
      • Information for Authors
      • Editorial Policies
      • Editorial Board
      • Aims and Scope
      • Abstracting and Indexing
      • Bibliographic Information
      • Archive
    • International Journal of Molecular Medicine
      • International Journal of Molecular Medicine
      • Information for Authors
      • Editorial Policies
      • Editorial Board
      • Aims and Scope
      • Abstracting and Indexing
      • Bibliographic Information
      • Archive
    • Biomedical Reports
      • Biomedical Reports
      • Information for Authors
      • Editorial Policies
      • Editorial Board
      • Aims and Scope
      • Abstracting and Indexing
      • Bibliographic Information
      • Archive
    • Oncology Reports
      • Oncology Reports
      • Information for Authors
      • Editorial Policies
      • Editorial Board
      • Aims and Scope
      • Abstracting and Indexing
      • Bibliographic Information
      • Archive
    • Molecular Medicine Reports
      • Molecular Medicine Reports
      • Information for Authors
      • Editorial Policies
      • Editorial Board
      • Aims and Scope
      • Abstracting and Indexing
      • Bibliographic Information
      • Archive
    • World Academy of Sciences Journal
      • World Academy of Sciences Journal
      • Information for Authors
      • Editorial Policies
      • Editorial Board
      • Aims and Scope
      • Abstracting and Indexing
      • Bibliographic Information
      • Archive
    • International Journal of Functional Nutrition
      • International Journal of Functional Nutrition
      • Information for Authors
      • Editorial Policies
      • Editorial Board
      • Aims and Scope
      • Abstracting and Indexing
      • Bibliographic Information
      • Archive
    • International Journal of Epigenetics
      • International Journal of Epigenetics
      • Information for Authors
      • Editorial Policies
      • Editorial Board
      • Aims and Scope
      • Abstracting and Indexing
      • Bibliographic Information
      • Archive
    • Medicine International
      • Medicine International
      • Information for Authors
      • Editorial Policies
      • Editorial Board
      • Aims and Scope
      • Abstracting and Indexing
      • Bibliographic Information
      • Archive
  • Articles
  • Information
    • Information for Authors
    • Information for Reviewers
    • Information for Librarians
    • Information for Advertisers
    • Conferences
  • Language Editing
Spandidos Publications Logo
  • About
    • About Spandidos
    • Aims and Scopes
    • Abstracting and Indexing
    • Editorial Policies
    • Reprints and Permissions
    • Job Opportunities
    • Terms and Conditions
    • Contact
  • Journals
    • All Journals
    • Biomedical Reports
      • Information for Authors
      • Editorial Policies
      • Editorial Board
      • Aims and Scope
      • Abstracting and Indexing
      • Bibliographic Information
      • Archive
    • Experimental and Therapeutic Medicine
      • Information for Authors
      • Editorial Policies
      • Editorial Board
      • Aims and Scope
      • Abstracting and Indexing
      • Bibliographic Information
      • Archive
    • International Journal of Epigenetics
      • Information for Authors
      • Editorial Policies
      • Editorial Board
      • Aims and Scope
      • Abstracting and Indexing
      • Bibliographic Information
      • Archive
    • International Journal of Functional Nutrition
      • Information for Authors
      • Editorial Policies
      • Editorial Board
      • Aims and Scope
      • Abstracting and Indexing
      • Bibliographic Information
      • Archive
    • International Journal of Molecular Medicine
      • Information for Authors
      • Editorial Policies
      • Editorial Board
      • Aims and Scope
      • Abstracting and Indexing
      • Bibliographic Information
      • Archive
    • International Journal of Oncology
      • Information for Authors
      • Editorial Policies
      • Editorial Board
      • Aims and Scope
      • Abstracting and Indexing
      • Bibliographic Information
      • Archive
    • Medicine International
      • Information for Authors
      • Editorial Policies
      • Editorial Board
      • Aims and Scope
      • Abstracting and Indexing
      • Bibliographic Information
      • Archive
    • Molecular and Clinical Oncology
      • Information for Authors
      • Editorial Policies
      • Editorial Board
      • Aims and Scope
      • Abstracting and Indexing
      • Bibliographic Information
      • Archive
    • Molecular Medicine Reports
      • Information for Authors
      • Editorial Policies
      • Editorial Board
      • Aims and Scope
      • Abstracting and Indexing
      • Bibliographic Information
      • Archive
    • Oncology Letters
      • Information for Authors
      • Editorial Policies
      • Editorial Board
      • Aims and Scope
      • Abstracting and Indexing
      • Bibliographic Information
      • Archive
    • Oncology Reports
      • Information for Authors
      • Editorial Policies
      • Editorial Board
      • Aims and Scope
      • Abstracting and Indexing
      • Bibliographic Information
      • Archive
    • World Academy of Sciences Journal
      • Information for Authors
      • Editorial Policies
      • Editorial Board
      • Aims and Scope
      • Abstracting and Indexing
      • Bibliographic Information
      • Archive
  • Articles
  • Information
    • For Authors
    • For Reviewers
    • For Librarians
    • For Advertisers
    • Conferences
  • Language Editing
Login Register Submit
  • This site uses cookies
  • You can change your cookie settings at any time by following the instructions in our Cookie Policy. To find out more, you may read our Privacy Policy.

    I agree
Search articles by DOI, keyword, author or affiliation
Search
Advanced Search
presentation
Oncology Letters
Join Editorial Board Propose a Special Issue
Print ISSN: 1792-1074 Online ISSN: 1792-1082
Journal Cover
August-2024 Volume 28 Issue 2

Full Size Image

Sign up for eToc alerts
Recommend to Library

Journals

International Journal of Molecular Medicine

International Journal of Molecular Medicine

International Journal of Molecular Medicine is an international journal devoted to molecular mechanisms of human disease.

International Journal of Oncology

International Journal of Oncology

International Journal of Oncology is an international journal devoted to oncology research and cancer treatment.

Molecular Medicine Reports

Molecular Medicine Reports

Covers molecular medicine topics such as pharmacology, pathology, genetics, neuroscience, infectious diseases, molecular cardiology, and molecular surgery.

Oncology Reports

Oncology Reports

Oncology Reports is an international journal devoted to fundamental and applied research in Oncology.

Experimental and Therapeutic Medicine

Experimental and Therapeutic Medicine

Experimental and Therapeutic Medicine is an international journal devoted to laboratory and clinical medicine.

Oncology Letters

Oncology Letters

Oncology Letters is an international journal devoted to Experimental and Clinical Oncology.

Biomedical Reports

Biomedical Reports

Explores a wide range of biological and medical fields, including pharmacology, genetics, microbiology, neuroscience, and molecular cardiology.

Molecular and Clinical Oncology

Molecular and Clinical Oncology

International journal addressing all aspects of oncology research, from tumorigenesis and oncogenes to chemotherapy and metastasis.

World Academy of Sciences Journal

World Academy of Sciences Journal

Multidisciplinary open-access journal spanning biochemistry, genetics, neuroscience, environmental health, and synthetic biology.

International Journal of Functional Nutrition

International Journal of Functional Nutrition

Open-access journal combining biochemistry, pharmacology, immunology, and genetics to advance health through functional nutrition.

International Journal of Epigenetics

International Journal of Epigenetics

Publishes open-access research on using epigenetics to advance understanding and treatment of human disease.

Medicine International

Medicine International

An International Open Access Journal Devoted to General Medicine.

Journal Cover
August-2024 Volume 28 Issue 2

Full Size Image

Sign up for eToc alerts
Recommend to Library

  • Article
  • Citations
    • Cite This Article
    • Download Citation
    • Create Citation Alert
    • Remove Citation Alert
    • Cited By
  • Similar Articles
    • Related Articles (in Spandidos Publications)
    • Similar Articles (Google Scholar)
    • Similar Articles (PubMed)
  • Download PDF
  • Download XML
  • View XML
Article Open Access

A nomogram model for predicting the risk of axillary lymph node metastasis in patients with early breast cancer and cN0 status

  • Authors:
    • Ziran Zhang
    • Qin Jiang
    • Jie Wang
    • Xinxia Yang
  • View Affiliations / Copyright

    Affiliations: Department of Breast Diseases, Jiaxing Maternity and Child Health Care Hospital, Affiliated Women and Children's Hospital of Jiaxing University, Jiaxing, Zhejiang 314000, P.R. China, Department of Breast Diseases, Jiaxing Maternity and Child Health Care Hospital, Affiliated Women and Children's Hospital of Jiaxing University, Jiaxing, Zhejiang 314000, P.R. China
    Copyright: © Zhang et al. This is an open access article distributed under the terms of Creative Commons Attribution License.
  • Article Number: 345
    |
    Published online on: May 30, 2024
       https://doi.org/10.3892/ol.2024.14478
  • Expand metrics +
Metrics: Total Views: 0 (Spandidos Publications: | PMC Statistics: )
Metrics: Total PDF Downloads: 0 (Spandidos Publications: | PMC Statistics: )
Cited By (CrossRef): 0 citations Loading Articles...

This article is mentioned in:



Abstract

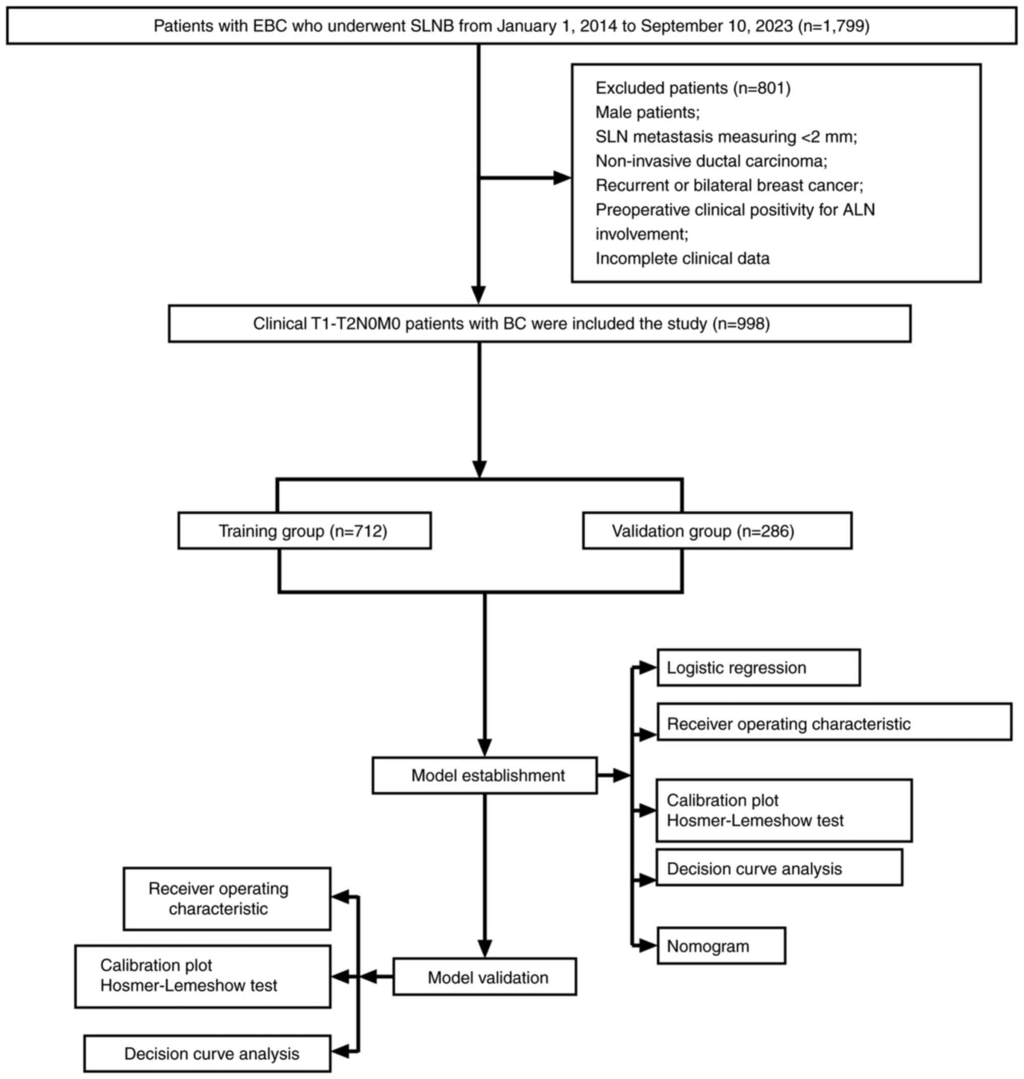
Axillary staging is commonly performed via sentinel lymph node biopsy for patients with early breast cancer (EBC) presenting with clinically negative axillary lymph nodes (cN0). The present study aimed to investigate the association between axillary lymph node metastasis (ALNM), clinicopathological characteristics of tumors and results from axillary ultrasound (US) scanning. Moreover, a nomogram model was developed to predict the risk for ALNM based on relevant factors. Data from 998 patients who met the inclusion criteria were retrospectively reviewed. These patients were then randomly divided into a training and validation group in a 7:3 ratio. In the training group, receiver operating characteristic curve analysis was used to identify the cutoff values for continuous measurement data. R software was used to identify independent ALNM risk variables in the training group using univariate and multivariate logistic regression analysis. The selected independent risk factors were incorporated into a nomogram. The model differentiation was assessed using the area under the curve (AUC), while calibration was evaluated through calibration charts and the Hosmer‑Lemeshow test. To assess clinical applicability, a decision curve analysis (DCA) was conducted. Internal verification was performed via 1000 rounds of bootstrap resampling. Among the 998 patients with EBC, 228 (22.84%) developed ALNM. Multivariate logistic analysis identified lymphovascular invasion, axillary US findings, maximum diameter and molecular subtype as independent risk factors for ALNM. The Akaike Information Criterion served as the basis for both nomogram development and model selection. Robust differentiation was shown by the AUC values of 0.855 (95% CI, 0.817‑0.892) and 0.793 (95% CI, 0.725‑0.857) for the training and validation groups, respectively. The Hosmer‑Lemeshow test yielded P‑values of 0.869 and 0.847 for the training and validation groups, respectively, and the calibration chart aligned closely with the ideal curve, affirming excellent calibration. DCA showed that the net benefit from the nomogram significantly outweighed both the ‘no intervention’ and the ‘full intervention’ approaches, falling within the threshold probability interval of 12‑97% for the training group and 17‑82% for the validation group. This underscores the robust clinical utility of the model. A nomogram model was successfully constructed and validated to predict the risk of ALNM in patients with EBC and cN0 status. The model demonstrated favorable differentiation, calibration and clinical applicability, offering valuable guidance for assessing axillary lymph node status in this population.
View Figures

Figure 1

Figure 2

Figure 3

Figure 4

Figure 5

Figure 6

View References

1 

Sung H, Ferlay J, Siegel RL, Laversanne M, Soerjomataram I, Jemal A and Bray F: Global cancer statistics 2020: GLOBOCAN estimates of incidence and mortality worldwide for 36 cancers in 185 countries. CA Cancer J Clin. 71:209–249. 2021. View Article : Google Scholar : PubMed/NCBI

2 

Torre LA, Siegel RL, Ward EM and Jemal A: Global cancer incidence and mortality rates and trends-an update. Cancer Epidemiol Biomarkers Prev. 25:16–27. 2016. View Article : Google Scholar : PubMed/NCBI

3 

Malter W, Hellmich M, Badian M, Kirn V, Mallmann P and Kraemer S: Factors predictive of sentinel lymph node involvement in primary breast cancer. Anticancer Res. 38:3657–3662. 2018. View Article : Google Scholar : PubMed/NCBI

4 

Krag DN, Anderson SJ, Julian TB, Brown AM, Harlow SP, Costantino JP, Ashikaga T, Weaver DL, Mamounas EP, Jalovec LM, et al: Sentinel-lymph-node resection compared with conventional axillary-lymph-node dissection in clinically node-negative patients with breast cancer: Overall survival findings from the NSABP B-32 randomised phase 3 trial. Lancet Oncol. 11:927–933. 2010. View Article : Google Scholar : PubMed/NCBI

5 

Reimer T, Engel J, Schmidt M, Offersen BV, Smidt ML and Gentilini OD: Is axillary sentinel lymph node biopsy required in patients who undergo primary breast surgery? Breast Care (Basel). 13:324–330. 2018. View Article : Google Scholar : PubMed/NCBI

6 

Langer I, Guller U, Berclaz G, Koechli OR, Schaer G, Fehr MK, Hess T, Oertli D, Bronz L, Schnarwyler B, et al: Morbidity of sentinel lymph node biopsy (SLN) alone versus SLN and completion axillary lymph node dissection after breast cancer surgery: A prospective Swiss multicenter study on 659 patients. Ann Surg. 245:452–461. 2007. View Article : Google Scholar : PubMed/NCBI

7 

McLaughlin S: A longitudinal comparison of arm morbidity in stage I–II breast cancer patients treated with sentinel lymph node biopsy, sentinel lymph node biopsy followed by completion lymph node dissection, or axillary lymph node dissection. Breast Diseases. 22:68–70. 2011.

8 

Liu D, Lan Y, Zhang L, Wu T, Cui H, Li Z, Sun P, Tian P, Tian J and Li X: Nomograms for predicting axillary lymph node status reconciled with preoperative breast ultrasound images. Front Oncol. 11:5676482021. View Article : Google Scholar : PubMed/NCBI

9 

Gentilini OD, Botteri E, Sangalli C, Galimberti V, Porpiglia M, Agresti R, Luini A, Viale G, Cassano E, Peradze N, et al: Sentinel lymph node biopsy vs no axillary surgery in patients with small breast cancer and negative results on ultrasonography of axillary lymph nodes: The SOUND randomized clinical trial. JAMA Oncol. 9:1557–1564. 2023. View Article : Google Scholar : PubMed/NCBI

10 

Jung JG, Ahn SH, Lee S, Kim EK, Ryu JM, Park S, Lim W, Jung YS, Chung IY, Jeong J, et al: No axillary surgical treatment for lymph node-negative patients after ultra-sonography [NAUTILUS]: Protocol of a prospective randomized clinical trial. BMC Cancer. 22:1892022. View Article : Google Scholar : PubMed/NCBI

11 

Cools-Lartigue J and Meterissian S: Accuracy of axillary ultrasound in the diagnosis of nodal metastasis in invasive breast cancer: A review. World J Surg. 36:46–54. 2012. View Article : Google Scholar : PubMed/NCBI

12 

Ibrahim-Zada I, Grant CS, Glazebrook KN and Boughey JC: Preoperative axillary ultrasound in breast cancer: Safely avoiding frozen section of sentinel lymph nodes in breast-conserving surgery. J Am Coll Surg. 217:7–15; discussion 15–16. 2013. View Article : Google Scholar : PubMed/NCBI

13 

Zhang H, Sui X, Zhou S, Hu L and Huang X: Correlation of conventional ultrasound characteristics of breast tumors with axillary lymph node metastasis and Ki-67 expression in patients with breast cancer. J Ultrasound Med. 38:1833–1840. 2019. View Article : Google Scholar : PubMed/NCBI

14 

Marino MA, Avendano D, Zapata P, Riedl CC and Pinker K: Lymph node imaging in patients with primary breast cancer: Concurrent diagnostic tools. Oncologist. 25:e231–e242. 2020. View Article : Google Scholar : PubMed/NCBI

15 

Diepstraten SC, Sever AR, Buckens CF, Veldhuis WB, van Dalen T, van den Bosch MA, Mali WP and Verkooijen HM: Value of preoperative ultrasound-guided axillary lymph node biopsy for preventing completion axillary lymph node dissection in breast cancer: A systematic review and meta-analysis. Ann Surg Oncol. 21:51–59. 2014. View Article : Google Scholar : PubMed/NCBI

16 

Koehler KE and Ohlinger R: Sensitivity and specificity of preoperative ultrasonography for diagnosing nodal metastases in patients with breast cancer. Ultraschall Med. 32:393–399. 2011. View Article : Google Scholar : PubMed/NCBI

17 

Vohra LM, Gulzar R and Saleem O: Intra operative frozen examination of sentinel lymph node in breast cancer. J Ayub Med Coll Abbottabad. 27:40–44. 2015.PubMed/NCBI

18 

Andersson Y, Bergkvist L, Frisell J and de Boniface J: Long-term breast cancer survival in relation to the metastatic tumor burden in axillary lymph nodes. Breast Cancer Res Treat. 171:359–369. 2018. View Article : Google Scholar : PubMed/NCBI

19 

Feu J, Tresserra F, Fábregas R, Navarro B, Grases PJ, Suris JC, Fernández-Cíd A and Alegret X: Metastatic breast carcinoma in axillary lymph nodes: In vitro US detection. Radiology. 205:831–835. 1997. View Article : Google Scholar : PubMed/NCBI

20 

Yang WT, Chang J and Metreweli C: Patients with breast cancer: differences in color Doppler flow and gray-scale US features of benign and malignant axillary lymph nodes. Radiology. 215:568–573. 2000. View Article : Google Scholar : PubMed/NCBI

21 

Bedi DG, Krishnamurthy R, Krishnamurthy S, Edeiken BS, Le-Petross H, Fornage BD, Bassett RL Jr and Hunt KK: Cortical morphologic features of axillary lymph nodes as a predictor of metastasis in breast cancer: In vitro sonographic study. AJR Am J Roentgenol. 191:646–652. 2008. View Article : Google Scholar : PubMed/NCBI

22 

Elmore LC, Appleton CM, Zhou G and Margenthaler JA: Axillary ultrasound in patients with clinically node-negative breast cancer: which features are predictive of disease? J Surg Res. 184:234–240. 2013. View Article : Google Scholar : PubMed/NCBI

23 

Liu Q, Xing P, Dong H, Zhao T and Jin F: Preoperative assessment of axillary lymph node status in breast cancer patients by ultrasonography combined with mammography: A STROBE compliant article. Medicine (Baltimore). 97:e114412018. View Article : Google Scholar : PubMed/NCBI

24 

Allison KH, Hammond MEH, Dowsett M, McKernin SE, Carey LA, Fitzgibbons PL, Hayes DF, Lakhani SR, Chavez-MacGregor M, Perlmutter J, et al: Estrogen and progesterone receptor testing in breast cancer: American society of clinical oncology/College of American pathologists guideline update. Arch Pathol Lab Med. 144:545–563. 2020. View Article : Google Scholar : PubMed/NCBI

25 

Wolff AC, Hammond ME, Hicks DG, Dowsett M, McShane LM, Allison KH, Allred DC, Bartlett JM, Bilous M, Fitzgibbons P, et al: Recommendations for human epidermal growth factor receptor 2 testing in breast cancer: American society of clinical oncology/College of American Pathologists clinical practice guideline update. J Clin Oncol. 31:3997–4013. 2013. View Article : Google Scholar : PubMed/NCBI

26 

Wolff AC, Hammond MEH, Allison KH, Harvey BE, McShane LM and Dowsett M: HER2 testing in breast cancer: American society of clinical oncology/College of American pathologists clinical practice guideline focused update summary. J Oncol Pract. 14:437–441. 2018. View Article : Google Scholar : PubMed/NCBI

27 

Goldhirsch A, Winer EP, Coates AS, Gelber RD, Piccart-Gebhart M, Thürlimann B and Senn HJ; Panel members, : Personalizing the treatment of women with early breast cancer: Highlights of the St Gallen International expert consensus on the primary therapy of early breast cancer 2013. Ann Oncol. 24:2206–2223. 2013. View Article : Google Scholar : PubMed/NCBI

28 

Kerr KF, Brown MD, Zhu K and Janes H: Assessing the clinical impact of risk prediction models with decision curves: Guidance for correct interpretation and appropriate use. J Clin Oncol. 34:2534–2540. 2016. View Article : Google Scholar : PubMed/NCBI

29 

Schisterman EF, Perkins NJ, Liu A and Bondell H: Optimal cut-point and its corresponding Youden Index to discriminate individuals using pooled blood samples. Epidemiology. 16:73–81. 2005. View Article : Google Scholar : PubMed/NCBI

30 

Lan A, Chen J, Li C, Jin Y, Wu Y, Dai Y, Jiang L, Li H, Peng Y and Liu S: Development and assessment of a novel core biopsy-based prediction model for pathological complete response to neoadjuvant chemotherapy in women with breast cancer. Int J Environ Res Public Health. 20:16172023. View Article : Google Scholar : PubMed/NCBI

31 

Franken R, den Hartog AW, de Waard V, Engele L, Radonic T, Lutter R, Timmermans J, Scholte AJ, van den Berg MP, Zwinderman AH, et al: Circulating transforming growth factor-beta as a prognostic biomarker in Marfan syndrome. Int J Cardiol. 168:2441–2446. 2013. View Article : Google Scholar : PubMed/NCBI

32 

Canavese G, Bruzzi P, Catturich A, Tomei D, Carli F, Garrone E, Spinaci S, Lacopo F, Tinterri C and Dozin B: Sentinel lymph node biopsy versus axillary dissection in node-negative early-stage breast cancer: 15-year follow-up update of a randomized clinical trial. Ann Surg Oncol. 23:2494–2500. 2016. View Article : Google Scholar : PubMed/NCBI

33 

Uematsu T, Sano M and Homma K: In vitro high-resolution helical CT of small axillary lymph nodes in patients with breast cancer: Correlation of CT and histology. AJR Am J Roentgenol. 176:1069–1074. 2001. View Article : Google Scholar : PubMed/NCBI

34 

García Vicente AM, Soriano Castrejón Á, León Martín A, Relea Calatayud F, Muñoz Sánchez Mdel M, Cruz Mora MA, Jiménez Londoño GA and Espinosa Aunión R: Early and delayed prediction of axillary lymph node neoadjuvant response by (18)F-FDG PET/CT in patients with locally advanced breast cancer. Eur J Nucl Med Mol Imaging. 41:1309–1318. 2014. View Article : Google Scholar : PubMed/NCBI

35 

Memarsadeghi M, Riedl CC, Kaneider A, Galid A, Rudas M, Matzek W and Helbich TH: Axillary lymph node metastases in patients with breast carcinomas: Assessment with nonenhanced versus uspio-enhanced MR imaging. Radiology. 241:367–377. 2006. View Article : Google Scholar : PubMed/NCBI

36 

Fong W, Tan L, Tan C, Wang H, Liu F, Tian H, Shen S, Gu R, Hu Y, Jiang X, et al: Predicting the risk of axillary lymph node metastasis in early breast cancer patients based on ultrasonographic-clinicopathologic features and the use of nomograms: A prospective single-center observational study. Eur Radiol. 32:8200–8212. 2022. View Article : Google Scholar : PubMed/NCBI

37 

Wang Q, Li B, Liu Z, Shang H, Jing H, Shao H, Chen K, Liang X and Cheng W: Prediction model of axillary lymph node status using automated breast ultrasound (ABUS) and ki-67 status in early-stage breast cancer. BMC Cancer. 22:9292022. View Article : Google Scholar : PubMed/NCBI

38 

Xiong J, Zuo W, Wu Y, Wang X, Li W, Wang Q, Zhou H, Xie M and Qin X: Ultrasonography and clinicopathological features of breast cancer in predicting axillary lymph node metastases. BMC Cancer. 22:11552022. View Article : Google Scholar : PubMed/NCBI

39 

Fujii T, Yajima R, Hirakata T, Miyamoto T, Fujisawa T, Tsutsumi S, Ynagita Y, Iijima M and Kuwano H: Impact of the prognostic value of vascular invasion, but not lymphatic invasion, of the primary tumor in patients with breast cancer. Anticancer Res. 34:1255–1259. 2014.PubMed/NCBI

40 

Karahallı Ö, Acar T, Atahan MK, Acar N, Hacıyanlı M and Kamer KE: Clinical and pathological factors affecting the sentinel lymph node metastasis in patients with breast cancer. Indian J Surg. 79:418–422. 2017. View Article : Google Scholar : PubMed/NCBI

41 

Yu FH, Wang JX, Ye XH, Deng J, Hang J and Yang B: Ultrasound-based radiomics nomogram: A potential biomarker to predict axillary lymph node metastasis in early-stage invasive breast cancer. Eur J Radiol. 119:1086582019. View Article : Google Scholar : PubMed/NCBI

42 

Ding J, Jiang L and Wu W: Predictive value of clinicopathological characteristics for sentinel lymph node metastasis in early breast cancer. Med Sci Monit. 23:4102–4108. 2017. View Article : Google Scholar : PubMed/NCBI

43 

Orsaria P, Caredda E, Genova F, Materazzo M, Capuano I, Vanni G, Granai AV, DE Majo A, Portarena I, Sileri P, et al: Additional nodal disease prediction in breast cancer with sentinel lymph node metastasis based on clinicopathological features. Anticancer Res. 38:2109–2117. 2018.PubMed/NCBI

44 

Houvenaeghel G, Lambaudie E, Classe JM, Mazouni C, Giard S, Cohen M, Faure C, Charitansky H, Rouzier R, Daraï E, et al: Lymph node positivity in different early breast carcinoma phenotypes: A predictive model. BMC Cancer. 19:452019. View Article : Google Scholar : PubMed/NCBI

45 

Lu X, Lu X, Wang ZC, Iglehart JD, Zhang X and Richardson AL: Predicting features of breast cancer with gene expression patterns. Breast Cancer Res Treat. 108:191–201. 2008. View Article : Google Scholar : PubMed/NCBI

46 

Gangi A, Mirocha J, Leong T and Giuliano AE: Triple-negative breast cancer is not associated with increased likelihood of nodal metastases. Ann Surg Oncol. 21:4098–4103. 2014. View Article : Google Scholar : PubMed/NCBI

47 

Mattes MD, Bhatia JK, Metzger D, Ashamalla H and Katsoulakis E: Breast cancer subtype as a predictor of lymph node metastasis according to the SEER Registry. J Breast Cancer. 18:143–148. 2015. View Article : Google Scholar : PubMed/NCBI

48 

Zhou W, He Z, Xue J, Wang M, Zha X, Ling L, Chen L, Wang S and Liu X: Molecular subtype classification is a determinant of non-sentinel lymph node metastasis in breast cancer patients with positive sentinel lymph nodes. PLoS One. 7:e358812012. View Article : Google Scholar : PubMed/NCBI

49 

Holm-Rasmussen EV, Jensen MB, Balslev E, Kroman N and Tvedskov TF: Reduced risk of axillary lymphatic spread in triple-negative breast cancer. Breast Cancer Res Treat. 149:229–236. 2015. View Article : Google Scholar : PubMed/NCBI

50 

Abdel-Razeq H, Iweir S, Abdel-Razeq R, Rahman FA, Almasri H, Bater R, Taqash A and Abdelkhaleq H: Differences in clinicopathological characteristics, treatment, and survival outcomes between older and younger breast cancer patients. Sci Rep. 11:143402021. View Article : Google Scholar : PubMed/NCBI

51 

Andea AA, Bouwman D, Wallis T and Visscher DW: Correlation of tumor volume and surface area with lymph node status in patients with multifocal/multicentric breast carcinoma. Cancer. 100:20–27. 2004. View Article : Google Scholar : PubMed/NCBI

52 

Wu JL, Tseng HS, Yang LH, Wu HK, Kuo SJ, Chen ST and Chen DR: Prediction of axillary lymph node metastases in breast cancer patients based on pathologic information of the primary tumor. Med Sci Monit. 20:577–581. 2014. View Article : Google Scholar : PubMed/NCBI

53 

Li J, Ma W, Jiang X, Cui C, Wang H, Chen J, Nie R, Wu Y and Li L: Development and validation of nomograms predictive of axillary nodal status to guide surgical decision-making in early-stage breast cancer. J Cancer. 10:1263–1274. 2019. View Article : Google Scholar : PubMed/NCBI

54 

Qiu SQ, Zeng HC, Zhang F, Chen C, Huang WH, Pleijhuis RG, Wu JD, van Dam GM and Zhang GJ: A nomogram to predict the probability of axillary lymph node metastasis in early breast cancer patients with positive axillary ultrasound. Sci Rep. 6:211962016. View Article : Google Scholar : PubMed/NCBI

55 

Xie X, Tan W, Chen B, Huang X, Peng C, Yan S, Yang L, Song C, Wang J, Zheng W, et al: Preoperative prediction nomogram based on primary tumor miRNAs signature and clinical-related features for axillary lymph node metastasis in early-stage invasive breast cancer. Int J Cancer. 142:1901–1910. 2018. View Article : Google Scholar : PubMed/NCBI

Related Articles

  • Abstract
  • View
  • Download
  • Twitter
Copy and paste a formatted citation
Spandidos Publications style
Zhang Z, Jiang Q, Wang J and Yang X: A nomogram model for predicting the risk of axillary lymph node metastasis in patients with early breast cancer and cN0 status. Oncol Lett 28: 345, 2024.
APA
Zhang, Z., Jiang, Q., Wang, J., & Yang, X. (2024). A nomogram model for predicting the risk of axillary lymph node metastasis in patients with early breast cancer and cN0 status. Oncology Letters, 28, 345. https://doi.org/10.3892/ol.2024.14478
MLA
Zhang, Z., Jiang, Q., Wang, J., Yang, X."A nomogram model for predicting the risk of axillary lymph node metastasis in patients with early breast cancer and cN0 status". Oncology Letters 28.2 (2024): 345.
Chicago
Zhang, Z., Jiang, Q., Wang, J., Yang, X."A nomogram model for predicting the risk of axillary lymph node metastasis in patients with early breast cancer and cN0 status". Oncology Letters 28, no. 2 (2024): 345. https://doi.org/10.3892/ol.2024.14478
Copy and paste a formatted citation
x
Spandidos Publications style
Zhang Z, Jiang Q, Wang J and Yang X: A nomogram model for predicting the risk of axillary lymph node metastasis in patients with early breast cancer and cN0 status. Oncol Lett 28: 345, 2024.
APA
Zhang, Z., Jiang, Q., Wang, J., & Yang, X. (2024). A nomogram model for predicting the risk of axillary lymph node metastasis in patients with early breast cancer and cN0 status. Oncology Letters, 28, 345. https://doi.org/10.3892/ol.2024.14478
MLA
Zhang, Z., Jiang, Q., Wang, J., Yang, X."A nomogram model for predicting the risk of axillary lymph node metastasis in patients with early breast cancer and cN0 status". Oncology Letters 28.2 (2024): 345.
Chicago
Zhang, Z., Jiang, Q., Wang, J., Yang, X."A nomogram model for predicting the risk of axillary lymph node metastasis in patients with early breast cancer and cN0 status". Oncology Letters 28, no. 2 (2024): 345. https://doi.org/10.3892/ol.2024.14478
Follow us
  • Twitter
  • LinkedIn
  • Facebook
About
  • Spandidos Publications
  • Careers
  • Cookie Policy
  • Privacy Policy
How can we help?
  • Help
  • Live Chat
  • Contact
  • Email to our Support Team