Spandidos Publications Logo
  • About
    • About Spandidos
    • Aims and Scopes
    • Abstracting and Indexing
    • Editorial Policies
    • Reprints and Permissions
    • Job Opportunities
    • Terms and Conditions
    • Contact
  • Journals
    • All Journals
    • Oncology Letters
      • Oncology Letters
      • Information for Authors
      • Editorial Policies
      • Editorial Board
      • Aims and Scope
      • Abstracting and Indexing
      • Bibliographic Information
      • Archive
    • International Journal of Oncology
      • International Journal of Oncology
      • Information for Authors
      • Editorial Policies
      • Editorial Board
      • Aims and Scope
      • Abstracting and Indexing
      • Bibliographic Information
      • Archive
    • Molecular and Clinical Oncology
      • Molecular and Clinical Oncology
      • Information for Authors
      • Editorial Policies
      • Editorial Board
      • Aims and Scope
      • Abstracting and Indexing
      • Bibliographic Information
      • Archive
    • Experimental and Therapeutic Medicine
      • Experimental and Therapeutic Medicine
      • Information for Authors
      • Editorial Policies
      • Editorial Board
      • Aims and Scope
      • Abstracting and Indexing
      • Bibliographic Information
      • Archive
    • International Journal of Molecular Medicine
      • International Journal of Molecular Medicine
      • Information for Authors
      • Editorial Policies
      • Editorial Board
      • Aims and Scope
      • Abstracting and Indexing
      • Bibliographic Information
      • Archive
    • Biomedical Reports
      • Biomedical Reports
      • Information for Authors
      • Editorial Policies
      • Editorial Board
      • Aims and Scope
      • Abstracting and Indexing
      • Bibliographic Information
      • Archive
    • Oncology Reports
      • Oncology Reports
      • Information for Authors
      • Editorial Policies
      • Editorial Board
      • Aims and Scope
      • Abstracting and Indexing
      • Bibliographic Information
      • Archive
    • Molecular Medicine Reports
      • Molecular Medicine Reports
      • Information for Authors
      • Editorial Policies
      • Editorial Board
      • Aims and Scope
      • Abstracting and Indexing
      • Bibliographic Information
      • Archive
    • World Academy of Sciences Journal
      • World Academy of Sciences Journal
      • Information for Authors
      • Editorial Policies
      • Editorial Board
      • Aims and Scope
      • Abstracting and Indexing
      • Bibliographic Information
      • Archive
    • International Journal of Functional Nutrition
      • International Journal of Functional Nutrition
      • Information for Authors
      • Editorial Policies
      • Editorial Board
      • Aims and Scope
      • Abstracting and Indexing
      • Bibliographic Information
      • Archive
    • International Journal of Epigenetics
      • International Journal of Epigenetics
      • Information for Authors
      • Editorial Policies
      • Editorial Board
      • Aims and Scope
      • Abstracting and Indexing
      • Bibliographic Information
      • Archive
    • Medicine International
      • Medicine International
      • Information for Authors
      • Editorial Policies
      • Editorial Board
      • Aims and Scope
      • Abstracting and Indexing
      • Bibliographic Information
      • Archive
  • Articles
  • Information
    • Information for Authors
    • Information for Reviewers
    • Information for Librarians
    • Information for Advertisers
    • Conferences
  • Language Editing
Spandidos Publications Logo
  • About
    • About Spandidos
    • Aims and Scopes
    • Abstracting and Indexing
    • Editorial Policies
    • Reprints and Permissions
    • Job Opportunities
    • Terms and Conditions
    • Contact
  • Journals
    • All Journals
    • Biomedical Reports
      • Information for Authors
      • Editorial Policies
      • Editorial Board
      • Aims and Scope
      • Abstracting and Indexing
      • Bibliographic Information
      • Archive
    • Experimental and Therapeutic Medicine
      • Information for Authors
      • Editorial Policies
      • Editorial Board
      • Aims and Scope
      • Abstracting and Indexing
      • Bibliographic Information
      • Archive
    • International Journal of Epigenetics
      • Information for Authors
      • Editorial Policies
      • Editorial Board
      • Aims and Scope
      • Abstracting and Indexing
      • Bibliographic Information
      • Archive
    • International Journal of Functional Nutrition
      • Information for Authors
      • Editorial Policies
      • Editorial Board
      • Aims and Scope
      • Abstracting and Indexing
      • Bibliographic Information
      • Archive
    • International Journal of Molecular Medicine
      • Information for Authors
      • Editorial Policies
      • Editorial Board
      • Aims and Scope
      • Abstracting and Indexing
      • Bibliographic Information
      • Archive
    • International Journal of Oncology
      • Information for Authors
      • Editorial Policies
      • Editorial Board
      • Aims and Scope
      • Abstracting and Indexing
      • Bibliographic Information
      • Archive
    • Medicine International
      • Information for Authors
      • Editorial Policies
      • Editorial Board
      • Aims and Scope
      • Abstracting and Indexing
      • Bibliographic Information
      • Archive
    • Molecular and Clinical Oncology
      • Information for Authors
      • Editorial Policies
      • Editorial Board
      • Aims and Scope
      • Abstracting and Indexing
      • Bibliographic Information
      • Archive
    • Molecular Medicine Reports
      • Information for Authors
      • Editorial Policies
      • Editorial Board
      • Aims and Scope
      • Abstracting and Indexing
      • Bibliographic Information
      • Archive
    • Oncology Letters
      • Information for Authors
      • Editorial Policies
      • Editorial Board
      • Aims and Scope
      • Abstracting and Indexing
      • Bibliographic Information
      • Archive
    • Oncology Reports
      • Information for Authors
      • Editorial Policies
      • Editorial Board
      • Aims and Scope
      • Abstracting and Indexing
      • Bibliographic Information
      • Archive
    • World Academy of Sciences Journal
      • Information for Authors
      • Editorial Policies
      • Editorial Board
      • Aims and Scope
      • Abstracting and Indexing
      • Bibliographic Information
      • Archive
  • Articles
  • Information
    • For Authors
    • For Reviewers
    • For Librarians
    • For Advertisers
    • Conferences
  • Language Editing
Login Register Submit
  • This site uses cookies
  • You can change your cookie settings at any time by following the instructions in our Cookie Policy. To find out more, you may read our Privacy Policy.

    I agree
Search articles by DOI, keyword, author or affiliation
Search
Advanced Search
presentation
Oncology Letters
Join Editorial Board Propose a Special Issue
Print ISSN: 1792-1074 Online ISSN: 1792-1082
Journal Cover
August-2024 Volume 28 Issue 2

Full Size Image

Sign up for eToc alerts
Recommend to Library

Journals

International Journal of Molecular Medicine

International Journal of Molecular Medicine

International Journal of Molecular Medicine is an international journal devoted to molecular mechanisms of human disease.

International Journal of Oncology

International Journal of Oncology

International Journal of Oncology is an international journal devoted to oncology research and cancer treatment.

Molecular Medicine Reports

Molecular Medicine Reports

Covers molecular medicine topics such as pharmacology, pathology, genetics, neuroscience, infectious diseases, molecular cardiology, and molecular surgery.

Oncology Reports

Oncology Reports

Oncology Reports is an international journal devoted to fundamental and applied research in Oncology.

Experimental and Therapeutic Medicine

Experimental and Therapeutic Medicine

Experimental and Therapeutic Medicine is an international journal devoted to laboratory and clinical medicine.

Oncology Letters

Oncology Letters

Oncology Letters is an international journal devoted to Experimental and Clinical Oncology.

Biomedical Reports

Biomedical Reports

Explores a wide range of biological and medical fields, including pharmacology, genetics, microbiology, neuroscience, and molecular cardiology.

Molecular and Clinical Oncology

Molecular and Clinical Oncology

International journal addressing all aspects of oncology research, from tumorigenesis and oncogenes to chemotherapy and metastasis.

World Academy of Sciences Journal

World Academy of Sciences Journal

Multidisciplinary open-access journal spanning biochemistry, genetics, neuroscience, environmental health, and synthetic biology.

International Journal of Functional Nutrition

International Journal of Functional Nutrition

Open-access journal combining biochemistry, pharmacology, immunology, and genetics to advance health through functional nutrition.

International Journal of Epigenetics

International Journal of Epigenetics

Publishes open-access research on using epigenetics to advance understanding and treatment of human disease.

Medicine International

Medicine International

An International Open Access Journal Devoted to General Medicine.

Journal Cover
August-2024 Volume 28 Issue 2

Full Size Image

Sign up for eToc alerts
Recommend to Library

  • Article
  • Citations
    • Cite This Article
    • Download Citation
    • Create Citation Alert
    • Remove Citation Alert
    • Cited By
  • Similar Articles
    • Related Articles (in Spandidos Publications)
    • Similar Articles (Google Scholar)
    • Similar Articles (PubMed)
  • Download PDF
  • Download XML
  • View XML
Article Open Access

Inflammatory status predicts prognosis in patients with gastric cancer with early pyloric stenosis who underwent radical resection: A propensity score‑matching analysis

  • Authors:
    • Lijuan He
    • Jie Li
    • Xiaohong Li
    • Xin Wang
    • Qiong Yan
  • View Affiliations / Copyright

    Affiliations: Health Management Center, The Affiliated Hospital, Southwest Medical University, Luzhou, Sichuan 646000, P.R. China, Department of Cardiology, Ordos Central Hospital, Baotou Medical College, Ordos, Inner Mongolia Autonomous Region 017000, P.R. China, Department of Gastrointestinal Surgery, The Affiliated Hospital, Southwest Medical University, Luzhou, Sichuan 646000, P.R. China, Department of Gastroenterology, The Affiliated Hospital, Southwest Medical University, Luzhou, Sichuan 646000, P.R. China
    Copyright: © He et al. This is an open access article distributed under the terms of Creative Commons Attribution License.
  • Article Number: 355
    |
    Published online on: June 3, 2024
       https://doi.org/10.3892/ol.2024.14488
  • Expand metrics +
Metrics: Total Views: 0 (Spandidos Publications: | PMC Statistics: )
Metrics: Total PDF Downloads: 0 (Spandidos Publications: | PMC Statistics: )
Cited By (CrossRef): 0 citations Loading Articles...

This article is mentioned in:



Abstract

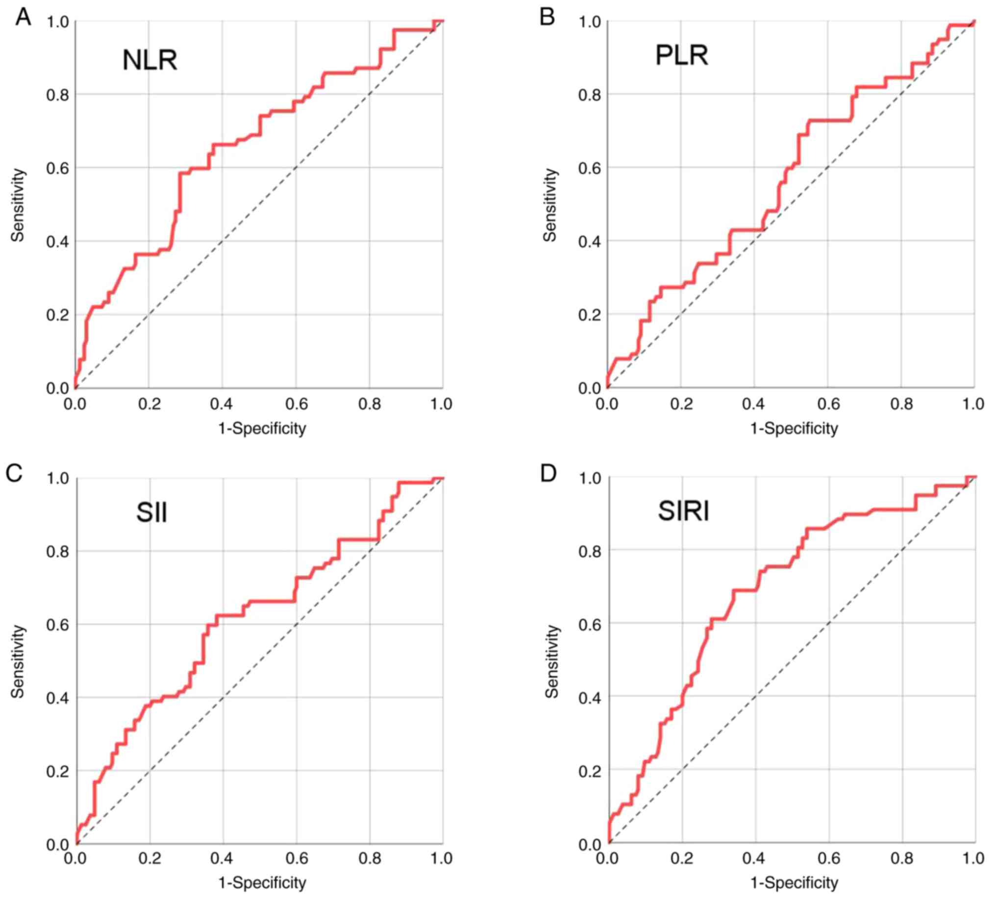
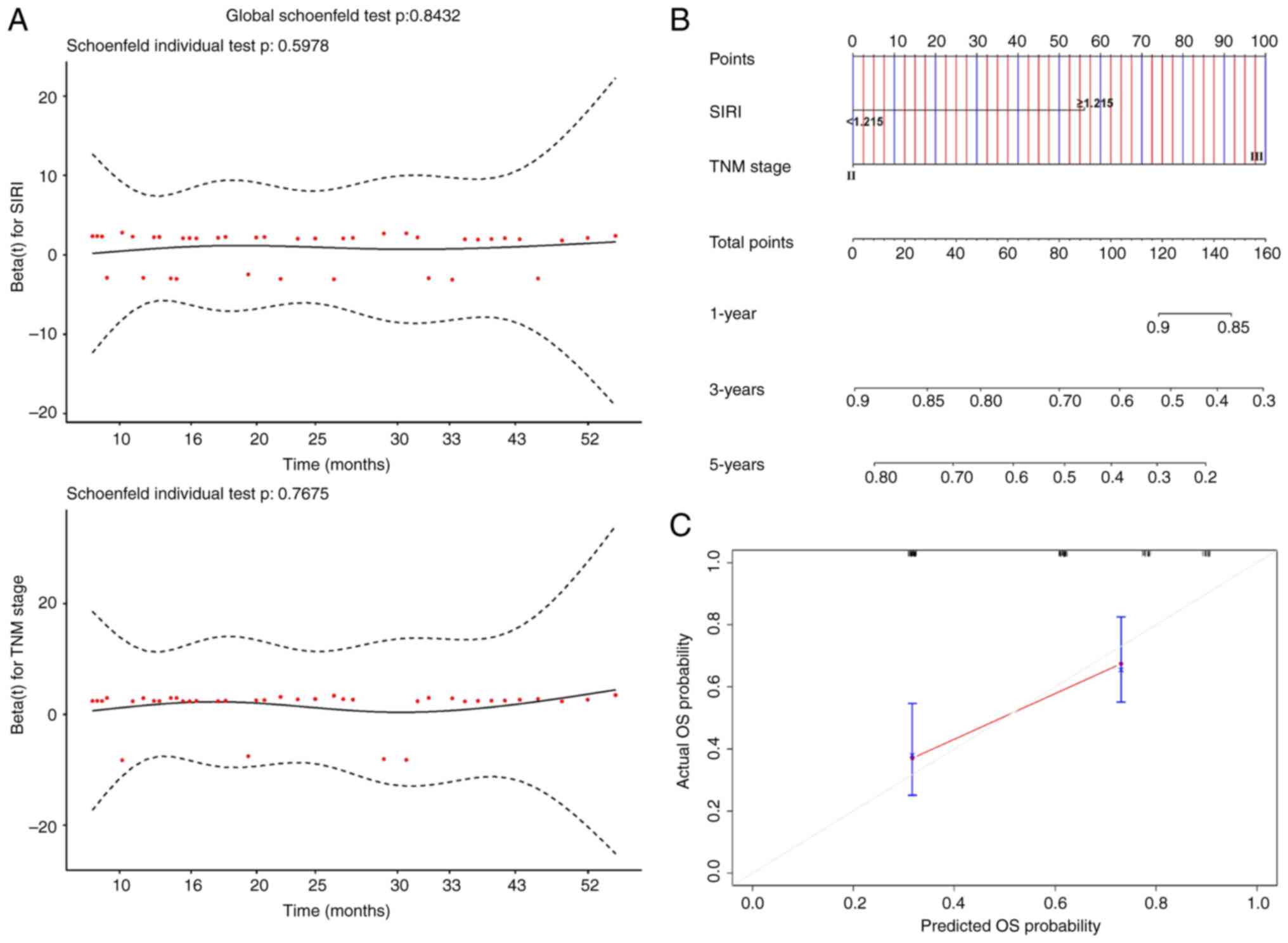
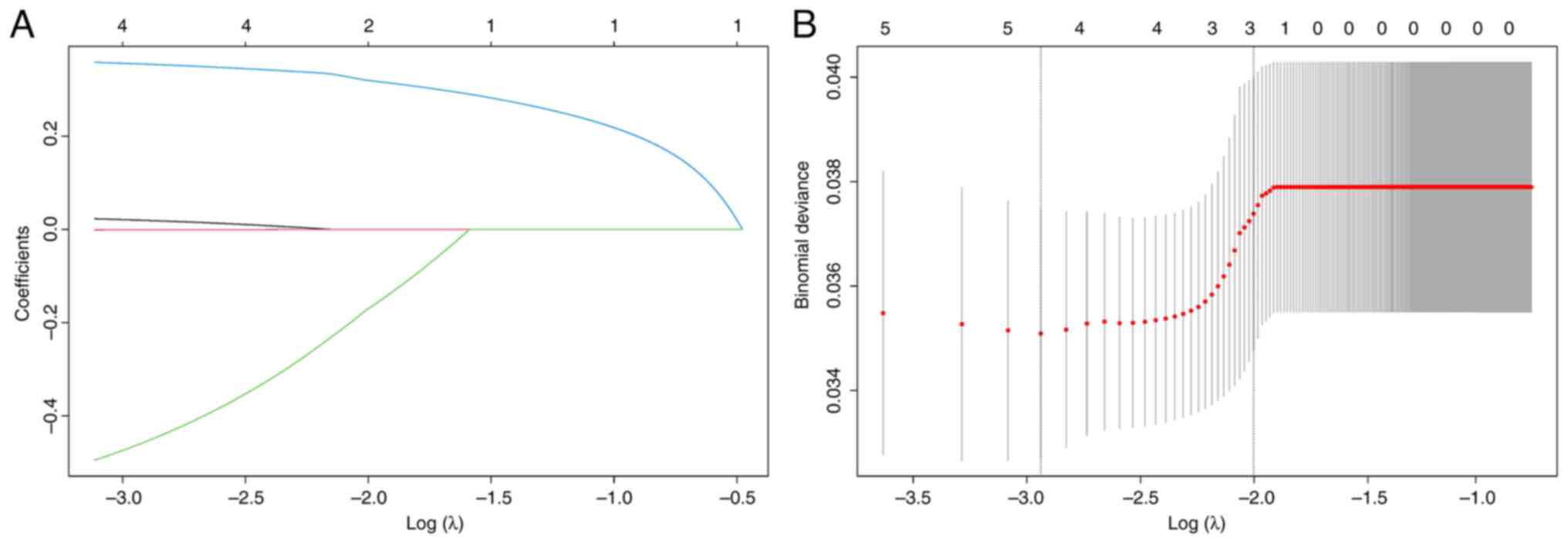
The inflammatory status of patients is closely related to their nutritional status, and the impact of inflammatory status on patients with pyloric stenosis remains unclear. The present study aimed to investigate the impact of inflammatory status on the prognosis of patients with gastric cancer with early pyloric stenosis who underwent radical resection. A retrospective analysis included 242 patients with gastric cancer who underwent radical resection at the Affiliated Hospital of Southwest Medical University between July 2016 and December 2020. All patients were diagnosed with early pyloric stenosis. Correlation analysis was used to assess variations among different factors, and survival analysis was conducted to evaluate differences in overall survival (OS). To identify independent prognostic indicators, both univariate and multivariate Cox regression analyses were performed, addressing potential multicollinearity using Lasso analysis. Propensity score matching (PSM) was employed to eliminate potential confounding factors. Additionally, a prognostic risk model and nomogram based on inflammatory indicators were developed to comprehensively explore their impact on prognosis. Initial survival analysis revealed significant associations between neutrophil‑to‑lymphocyte ratio (NLR; χ2=10.522, P<0.001), systemic immune‑inflammation index (SII; χ2=6.733, P=0.025), systemic inflammation response index (SIRI; χ2=15.490, P<0.001) and OS of the patients, while there was no significant survival difference among patients with different platelet‑to‑lymphocyte ratio (PLR; χ2=2.561, P=0.050). SIRI not only had the highest area under the curve but was also found to be an independent prognostic indicator (hazard ratio=1.851, P=0.046) in the present study. Following PSM on SIRI, a total of 174 patients were included in the subsequent analysis. Time‑receiver operating characteristic and survival curves for SIRI after PSM consistently demonstrated its robust prognostic predictive capability. Furthermore, the prognostic risk model based on SIRI and the nomogram incorporating SIRI both exhibited high prognostic value. Inflammatory status was significantly associated with the prognosis of patients with gastric cancer with early pyloric stenosis who underwent radical resection. The NLR, SII and SIRI could all predict patient outcomes. Moreover, SIRI exhibited the highest prognostic value among the inflammatory indices and has been identified as an independent prognostic factor in the present study.
View Figures

Figure 1

Figure 2

Figure 3

Figure 4

Figure 5

Figure 6

View References

1 

López MJ, Carbajal J, Alfaro AL, Saravia LG, Zanabria D, Araujo JM, Quispe L, Zevallos A, Buleje JL, Cho CE, et al: Characteristics of gastric cancer around the world. Crit Rev Oncol Hematol. 181:1038412023. View Article : Google Scholar : PubMed/NCBI

2 

Japanese Gastric Cancer Association, . Japanese gastric cancer treatment guidelines 2021 (6th edition). Gastric Cancer. 26:1–25. 2023. View Article : Google Scholar : PubMed/NCBI

3 

Guan WL, He Y and Xu RH: Gastric cancer treatment: Recent progress and future perspectives. J Hematol Oncol. 16:572023. View Article : Google Scholar : PubMed/NCBI

4 

Smyth EC, Nilsson M, Grabsch HI, van Grieken NC and Lordick F: Gastric cancer. Lancet. 396:635–648. 2020. View Article : Google Scholar : PubMed/NCBI

5 

Röcken C: Predictive biomarkers in gastric cancer. J Cancer Res Clin Oncol. 149:467–481. 2023. View Article : Google Scholar : PubMed/NCBI

6 

Tan Z: Recent advances in the surgical treatment of advanced gastric cancer: A review. Med Sci Monit. 25:3537–3541. 2019. View Article : Google Scholar : PubMed/NCBI

7 

Tanaka Y, Fujii S, Kusaka T and Kokuryu H: Gastric mucosal carcinoma with pyloric stenosis. Internal Med. 60:807–808. 2021. View Article : Google Scholar : PubMed/NCBI

8 

Iwai N, Okuda T and Kagawa K: Gastrointestinal: Natural progression of early gastric cancer causing pyloric stenosis. J Gastroenterol Hepatol. 35:92020. View Article : Google Scholar : PubMed/NCBI

9 

Shimura T, Kataoka H, Sasaki M, Yamada T, Hayashi K, Togawa S, Okumura F, Kubota E, Ohara H and Joh T: Feasibility of self-expandable metallic stent plus chemotherapy for metastatic gastric cancer with pyloric stenosis. J Gastroenterol Hepatol. 24:1358–1364. 2009. View Article : Google Scholar : PubMed/NCBI

10 

Abe S, Kondo H, Sumiyoshi T, Mizushima T, Sugawara M, Shimizu Y and Okushiba S: Treatment strategy for early gastric cancer with the risk of pyloric stenosis after endoscopic resection. Endoscopy. 41:1101–1103. 2009. View Article : Google Scholar : PubMed/NCBI

11 

Lee JU, Park MS, Yun SH, Yang MA, Han SH, Lee YJ, Jung GM, Kim JW, Cho YK and Cho JW: Risk factors and management for pyloric stenosis occurred after endoscopic submucosal dissection adjacent to pylorus. Medicine (Baltimore). 95:e56332016. View Article : Google Scholar : PubMed/NCBI

12 

Acker SN, Kulungowski AM, Hodges M, Crombleholme TM, Somme S and Partrick DA: Pyloric stenosis-postoperative care on a nonsurgical ward. J Surg Res. 199:149–152. 2015. View Article : Google Scholar : PubMed/NCBI

13 

Trindade AJ, Sejpal DV and Benias PC: Palliation of malignant pyloric stenosis using a lumen-apposing metal stent. Clin Gastroenterol Hepatol. 17:A182019. View Article : Google Scholar : PubMed/NCBI

14 

Saeed SM, Bilal S, Siddique MZ, Saqib M, Shahid S, Ghumman AN and Yusuf MA: Pyloric stent insertion in malignant gastric outlet obstruction: Moving beyond palliation. Ther Adv Gastrointest Endosc. 14:263177452110470122021.PubMed/NCBI

15 

Jomrich G, Paireder M, Kristo I, Baierl A, Ilhan-Mutlu A, Preusser M, Asari R and Schoppmann SF: High systemic immune-inflammation index is an adverse prognostic factor for patients with gastroesophageal adenocarcinoma. Ann Surg. 273:532–541. 2021. View Article : Google Scholar : PubMed/NCBI

16 

Shi H, Wang H, Pan J, Liu Z and Li Z: Comparing prognostic value of preoperative platelet indexes in patients with resectable gastric cancer. Sci Rep. 12:64802022. View Article : Google Scholar : PubMed/NCBI

17 

Liu YY, Ruan GT, Ge YZ, Li QQ, Zhang Q, Zhang X, Tang M, Song MM, Zhang XW, Li XR, et al: Systemic inflammation with sarcopenia predicts survival in patients with gastric cancer. J Cancer Res Clin. 149:1249–1259. 2023. View Article : Google Scholar : PubMed/NCBI

18 

He K, Si L, Pan X, Sun L, Wang Y, Lu J and Wang X: Preoperative systemic immune-inflammation index (SII) as a superior predictor of long-term survival outcome in patients with stage I–II gastric cancer after radical surgery. Front Oncol. 12:8296892022. View Article : Google Scholar : PubMed/NCBI

19 

Ding P, Guo H, Sun C, Yang P, Kim NH, Tian Y, Liu Y, Liu P, Li Y and Zhao Q: Combined systemic immune-inflammatory index (SII) and prognostic nutritional index (PNI) predicts chemotherapy response and prognosis in locally advanced gastric cancer patients receiving neoadjuvant chemotherapy with PD-1 antibody sintilimab and XELOX: A prospective study. BMC Gastroenterol. 22:1212022. View Article : Google Scholar : PubMed/NCBI

20 

Li P, Huang CM, Zheng CH, Russo A, Kasbekar P, Brennan MF, Coit DG and Strong VE: Comparison of gastric cancer survival after R0 resection in the US and China. J Surg Oncol. 118:975–982. 2018. View Article : Google Scholar : PubMed/NCBI

21 

Meng Q, Tan S, Jiang Y, Han J, Xi Q, Zhuang Q and Wu G: Post-discharge oral nutritional supplements with dietary advice in patients at nutritional risk after surgery for gastric cancer: A randomized clinical trial. Clin Nutr. 40:40–46. 2021. View Article : Google Scholar : PubMed/NCBI

22 

Miao X, Ding L, Hu J, Zhu H, Zhao K, Lu J, Jiang X, Xu Q and Zhu S: A web-based calculator combining geriatric nutritional risk index (GNRI) and tilburg frailty indicator (TFI) predicts postoperative complications among young elderly patients with gastric cancer. Geriatr Gerontol Int. 23:205–212. 2023. View Article : Google Scholar : PubMed/NCBI

23 

Ruan GT, Zhang Q, Zhang X, Tang M, Song MM, Zhang XW, Li XR, Zhang KP, Ge YZ, Yang M, et al: Geriatric nutrition risk index: Prognostic factor related to inflammation in elderly patients with cancer cachexia. J Cachexia Sarcopenia Muscle. 12:1969–1982. 2021. View Article : Google Scholar : PubMed/NCBI

24 

Sun H, Chen L, Huang R, Pan H, Zuo Y, Zhao R, Xue Y and Song H: Prognostic nutritional index for predicting the clinical outcomes of patients with gastric cancer who received immune checkpoint inhibitors. Front Nutr. 9:10381182022. View Article : Google Scholar : PubMed/NCBI

25 

Zhang L, Ma W, Qiu Z, Kuang T, Wang K, Hu B and Wang W: Prognostic nutritional index as a prognostic biomarker for gastrointestinal cancer patients treated with immune checkpoint inhibitors. Front Immunol. 14:12199292023. View Article : Google Scholar : PubMed/NCBI

26 

Jiao X, Wang Y, Qu X, Qu J and Wang X: Effects of preoperative pyloric stenosis on outcomes and nutritional status in 73 patients following curative gastrectomy for gastric cancer: A retrospective study from a single center. Med Sci Monit. 27:e9309742021. View Article : Google Scholar : PubMed/NCBI

27 

Li G, He L and Sun H: Nutritional risk index predicts the prognosis of gastric cancer patients with pyloric stenosis who received preoperative parenteral nutrition. Oncol Lett. 26:4012023. View Article : Google Scholar : PubMed/NCBI

28 

Hashimoto K, Nishimura S, Shinyashiki Y, Ito T and Akagi M: Characterizing inflammatory markers in highly aggressive soft tissue sarcomas. Medicine (Baltimore). 101:e306882022. View Article : Google Scholar : PubMed/NCBI

29 

Zurlo IV, Schino M, Strippoli A, Calegari MA, Cocomazzi A, Cassano A, Pozzo C, Di Salvatore M, Ricci R, Barone C, et al: Predictive value of NLR, TILs (CD4+/CD8+) and PD-L1 expression for prognosis and response to preoperative chemotherapy in gastric cancer. Cancer Immunol Immunother. 71:45–55. 2022. View Article : Google Scholar : PubMed/NCBI

30 

Wu J, Wu XD and Gao Y and Gao Y: Correlation between preoperative systemic immune-inflammatory indexes and the prognosis of gastric cancer patients. Eur Rev Med Pharmacol Sci. 27:5706–5720. 2023.PubMed/NCBI

31 

Qiu Y, Zhang Z and Chen Y: Prognostic value of pretreatment systemic immune-inflammation index in gastric cancer: A meta-analysis. Front Oncol. 11:5371402021. View Article : Google Scholar : PubMed/NCBI

32 

Venet F and Monneret G: Advances in the understanding and treatment of sepsis-induced immunosuppression. Nat Rev Nephrol. 14:121–137. 2018. View Article : Google Scholar : PubMed/NCBI

33 

Xia L, Oyang L, Lin J, Tan S, Han Y, Wu N, Yi P, Tang L, Pan Q, Rao S, et al: The cancer metabolic reprogramming and immune response. Mol Cancer. 20:282021. View Article : Google Scholar : PubMed/NCBI

34 

Chen DS and Mellman I: Elements of cancer immunity and the cancer-immune set point. Nature. 541:321–330. 2017. View Article : Google Scholar : PubMed/NCBI

35 

van Weverwijk A and de Visser KE: Mechanisms driving the immunoregulatory function of cancer cells. Nat Rev Cancer. 23:193–215. 2023. View Article : Google Scholar : PubMed/NCBI

36 

Andrejeva G and Rathmell JC: Similarities and distinctions of cancer and immune metabolism in inflammation and tumors. Cell Metab. 26:49–70. 2017. View Article : Google Scholar : PubMed/NCBI

37 

Vinay DS, Ryan EP, Pawelec G, Talib WH, Stagg J, Elkord E, Lichtor T, Decker WK, Whelan RL, Kumara HMCS, et al: Immune evasion in cancer: Mechanistic basis and therapeutic strategies. Semin Cancer Biol. 35 (Suppl 35):S185–S198. 2015. View Article : Google Scholar : PubMed/NCBI

38 

Fang T, Wang Y, Yin X, Zhai Z, Zhang Y, Yang Y, You Q, Li Z, Ma Y, Li C, et al: Diagnostic sensitivity of NLR and PLR in early diagnosis of gastric cancer. J Immunol Res. 2020:91460422020. View Article : Google Scholar : PubMed/NCBI

39 

Cupp MA, Cariolou M, Tzoulaki I, Aune D, Evangelou E and Berlanga-Taylor AJ: Neutrophil to lymphocyte ratio and cancer prognosis: An umbrella review of systematic reviews and meta-analyses of observational studies. BMC Med. 18:3602020. View Article : Google Scholar : PubMed/NCBI

40 

Hirahara T, Arigami T, Yanagita S, Matsushita D, Uchikado Y, Kita Y, Mori S, Sasaki K, Omoto I, Kurahara H, et al: Combined neutrophil-lymphocyte ratio and platelet-lymphocyte ratio predicts chemotherapy response and prognosis in patients with advanced gastric cancer. BMC Cancer. 19:6722019. View Article : Google Scholar : PubMed/NCBI

41 

Ye Z, Yu P, Cao Y, Chai T, Huang S, Cheng X and Du Y: Prediction of Peritoneal cancer index and prognosis in peritoneal metastasis of gastric cancer using NLR-PLR-DDI score: A retrospective study. Cancer Manag Res. 14:177–187. 2022. View Article : Google Scholar : PubMed/NCBI

42 

Ikegame A, Kondo A, Kitaguchi K, Sasa K and Miyoshi M: Presepsin production in monocyte/macrophage-mediated phagocytosis of neutrophil extracellular traps. Sci Rep. 12:59782022. View Article : Google Scholar : PubMed/NCBI

43 

Fendl B, Berghoff AS, Preusser M and Maier B: Macrophage and monocyte subsets as new therapeutic targets in cancer immunotherapy. ESMO Open. 8:1007762023. View Article : Google Scholar : PubMed/NCBI

44 

Que H, Fu Q, Lan T, Tian X and Wei X: Tumor-associated neutrophils and neutrophil-targeted cancer therapies. Biochim Biophys Acta Rev Cancer. 1877:1887622022. View Article : Google Scholar : PubMed/NCBI

45 

MacPherson S, Kilgour M and Lum JJ: Understanding lymphocyte metabolism for use in cancer immunotherapy. FEBS J. 285:2567–2578. 2018. View Article : Google Scholar : PubMed/NCBI

46 

Pan JH, Zhou H, Cooper L, Huang JL, Zhu SB, Zhao XX, Ding H, Pan YL and Rong L: LAYN is a prognostic biomarker and correlated with immune infiltrates in gastric and colon cancers. Front Immunol. 10:62019. View Article : Google Scholar : PubMed/NCBI

47 

Wang Q, Li S, Qiao S, Zheng Z, Duan X and Zhu X: Changes in T lymphocyte subsets in different tumors before and after radiotherapy: A meta-analysis. Front Immunol. 12:6486522021. View Article : Google Scholar : PubMed/NCBI

48 

Soldati L, Di Renzo L, Jirillo E, Ascierto PA, Marincola FM and De Lorenzo A: The influence of diet on anti-cancer immune responsiveness. J Transl Med. 16:752018. View Article : Google Scholar : PubMed/NCBI

49 

Matsunaga T, Miyata H, Sugimura K, Motoori M, Asukai K, Yanagimoto Y, Takahashi Y, Tomokuni A, Yamamoto K, Akita H, et al: Prognostic significance of sarcopenia and systemic inflammatory response in patients with esophageal cancer. Anticancer Res. 39:449–458. 2019. View Article : Google Scholar : PubMed/NCBI

50 

Liu Z, Jin K, Guo M, Long J, Liu L, Liu C, Xu J, Ni Q, Luo G and Yu X: Prognostic value of the CRP/Alb ratio, a novel inflammation-based score in pancreatic cancer. Ann Surg Oncol. 24:561–568. 2017. View Article : Google Scholar : PubMed/NCBI

51 

Liu JX, Li A, Zhou LY, Liu XF, Wei ZH, Wang XZ and Ying HQ: Significance of combined preoperative serum Alb and dNLR for diagnosis of pancreatic cancer. Future Oncol. 14:229–239. 2018. View Article : Google Scholar : PubMed/NCBI

52 

Stumpf F, Keller B, Gressies C and Schuetz P: Inflammation and nutrition: Friend or foe? Nutrients. 15:11592023. View Article : Google Scholar : PubMed/NCBI

Related Articles

  • Abstract
  • View
  • Download
  • Twitter
Copy and paste a formatted citation
Spandidos Publications style
He L, Li J, Li X, Wang X and Yan Q: Inflammatory status predicts prognosis in patients with gastric cancer with early pyloric stenosis who underwent radical resection: A propensity score‑matching analysis. Oncol Lett 28: 355, 2024.
APA
He, L., Li, J., Li, X., Wang, X., & Yan, Q. (2024). Inflammatory status predicts prognosis in patients with gastric cancer with early pyloric stenosis who underwent radical resection: A propensity score‑matching analysis. Oncology Letters, 28, 355. https://doi.org/10.3892/ol.2024.14488
MLA
He, L., Li, J., Li, X., Wang, X., Yan, Q."Inflammatory status predicts prognosis in patients with gastric cancer with early pyloric stenosis who underwent radical resection: A propensity score‑matching analysis". Oncology Letters 28.2 (2024): 355.
Chicago
He, L., Li, J., Li, X., Wang, X., Yan, Q."Inflammatory status predicts prognosis in patients with gastric cancer with early pyloric stenosis who underwent radical resection: A propensity score‑matching analysis". Oncology Letters 28, no. 2 (2024): 355. https://doi.org/10.3892/ol.2024.14488
Copy and paste a formatted citation
x
Spandidos Publications style
He L, Li J, Li X, Wang X and Yan Q: Inflammatory status predicts prognosis in patients with gastric cancer with early pyloric stenosis who underwent radical resection: A propensity score‑matching analysis. Oncol Lett 28: 355, 2024.
APA
He, L., Li, J., Li, X., Wang, X., & Yan, Q. (2024). Inflammatory status predicts prognosis in patients with gastric cancer with early pyloric stenosis who underwent radical resection: A propensity score‑matching analysis. Oncology Letters, 28, 355. https://doi.org/10.3892/ol.2024.14488
MLA
He, L., Li, J., Li, X., Wang, X., Yan, Q."Inflammatory status predicts prognosis in patients with gastric cancer with early pyloric stenosis who underwent radical resection: A propensity score‑matching analysis". Oncology Letters 28.2 (2024): 355.
Chicago
He, L., Li, J., Li, X., Wang, X., Yan, Q."Inflammatory status predicts prognosis in patients with gastric cancer with early pyloric stenosis who underwent radical resection: A propensity score‑matching analysis". Oncology Letters 28, no. 2 (2024): 355. https://doi.org/10.3892/ol.2024.14488
Follow us
  • Twitter
  • LinkedIn
  • Facebook
About
  • Spandidos Publications
  • Careers
  • Cookie Policy
  • Privacy Policy
How can we help?
  • Help
  • Live Chat
  • Contact
  • Email to our Support Team