Spandidos Publications Logo
  • About
    • About Spandidos
    • Aims and Scopes
    • Abstracting and Indexing
    • Editorial Policies
    • Reprints and Permissions
    • Job Opportunities
    • Terms and Conditions
    • Contact
  • Journals
    • All Journals
    • Oncology Letters
      • Oncology Letters
      • Information for Authors
      • Editorial Policies
      • Editorial Board
      • Aims and Scope
      • Abstracting and Indexing
      • Bibliographic Information
      • Archive
    • International Journal of Oncology
      • International Journal of Oncology
      • Information for Authors
      • Editorial Policies
      • Editorial Board
      • Aims and Scope
      • Abstracting and Indexing
      • Bibliographic Information
      • Archive
    • Molecular and Clinical Oncology
      • Molecular and Clinical Oncology
      • Information for Authors
      • Editorial Policies
      • Editorial Board
      • Aims and Scope
      • Abstracting and Indexing
      • Bibliographic Information
      • Archive
    • Experimental and Therapeutic Medicine
      • Experimental and Therapeutic Medicine
      • Information for Authors
      • Editorial Policies
      • Editorial Board
      • Aims and Scope
      • Abstracting and Indexing
      • Bibliographic Information
      • Archive
    • International Journal of Molecular Medicine
      • International Journal of Molecular Medicine
      • Information for Authors
      • Editorial Policies
      • Editorial Board
      • Aims and Scope
      • Abstracting and Indexing
      • Bibliographic Information
      • Archive
    • Biomedical Reports
      • Biomedical Reports
      • Information for Authors
      • Editorial Policies
      • Editorial Board
      • Aims and Scope
      • Abstracting and Indexing
      • Bibliographic Information
      • Archive
    • Oncology Reports
      • Oncology Reports
      • Information for Authors
      • Editorial Policies
      • Editorial Board
      • Aims and Scope
      • Abstracting and Indexing
      • Bibliographic Information
      • Archive
    • Molecular Medicine Reports
      • Molecular Medicine Reports
      • Information for Authors
      • Editorial Policies
      • Editorial Board
      • Aims and Scope
      • Abstracting and Indexing
      • Bibliographic Information
      • Archive
    • World Academy of Sciences Journal
      • World Academy of Sciences Journal
      • Information for Authors
      • Editorial Policies
      • Editorial Board
      • Aims and Scope
      • Abstracting and Indexing
      • Bibliographic Information
      • Archive
    • International Journal of Functional Nutrition
      • International Journal of Functional Nutrition
      • Information for Authors
      • Editorial Policies
      • Editorial Board
      • Aims and Scope
      • Abstracting and Indexing
      • Bibliographic Information
      • Archive
    • International Journal of Epigenetics
      • International Journal of Epigenetics
      • Information for Authors
      • Editorial Policies
      • Editorial Board
      • Aims and Scope
      • Abstracting and Indexing
      • Bibliographic Information
      • Archive
    • Medicine International
      • Medicine International
      • Information for Authors
      • Editorial Policies
      • Editorial Board
      • Aims and Scope
      • Abstracting and Indexing
      • Bibliographic Information
      • Archive
  • Articles
  • Information
    • Information for Authors
    • Information for Reviewers
    • Information for Librarians
    • Information for Advertisers
    • Conferences
  • Language Editing
Spandidos Publications Logo
  • About
    • About Spandidos
    • Aims and Scopes
    • Abstracting and Indexing
    • Editorial Policies
    • Reprints and Permissions
    • Job Opportunities
    • Terms and Conditions
    • Contact
  • Journals
    • All Journals
    • Biomedical Reports
      • Information for Authors
      • Editorial Policies
      • Editorial Board
      • Aims and Scope
      • Abstracting and Indexing
      • Bibliographic Information
      • Archive
    • Experimental and Therapeutic Medicine
      • Information for Authors
      • Editorial Policies
      • Editorial Board
      • Aims and Scope
      • Abstracting and Indexing
      • Bibliographic Information
      • Archive
    • International Journal of Epigenetics
      • Information for Authors
      • Editorial Policies
      • Editorial Board
      • Aims and Scope
      • Abstracting and Indexing
      • Bibliographic Information
      • Archive
    • International Journal of Functional Nutrition
      • Information for Authors
      • Editorial Policies
      • Editorial Board
      • Aims and Scope
      • Abstracting and Indexing
      • Bibliographic Information
      • Archive
    • International Journal of Molecular Medicine
      • Information for Authors
      • Editorial Policies
      • Editorial Board
      • Aims and Scope
      • Abstracting and Indexing
      • Bibliographic Information
      • Archive
    • International Journal of Oncology
      • Information for Authors
      • Editorial Policies
      • Editorial Board
      • Aims and Scope
      • Abstracting and Indexing
      • Bibliographic Information
      • Archive
    • Medicine International
      • Information for Authors
      • Editorial Policies
      • Editorial Board
      • Aims and Scope
      • Abstracting and Indexing
      • Bibliographic Information
      • Archive
    • Molecular and Clinical Oncology
      • Information for Authors
      • Editorial Policies
      • Editorial Board
      • Aims and Scope
      • Abstracting and Indexing
      • Bibliographic Information
      • Archive
    • Molecular Medicine Reports
      • Information for Authors
      • Editorial Policies
      • Editorial Board
      • Aims and Scope
      • Abstracting and Indexing
      • Bibliographic Information
      • Archive
    • Oncology Letters
      • Information for Authors
      • Editorial Policies
      • Editorial Board
      • Aims and Scope
      • Abstracting and Indexing
      • Bibliographic Information
      • Archive
    • Oncology Reports
      • Information for Authors
      • Editorial Policies
      • Editorial Board
      • Aims and Scope
      • Abstracting and Indexing
      • Bibliographic Information
      • Archive
    • World Academy of Sciences Journal
      • Information for Authors
      • Editorial Policies
      • Editorial Board
      • Aims and Scope
      • Abstracting and Indexing
      • Bibliographic Information
      • Archive
  • Articles
  • Information
    • For Authors
    • For Reviewers
    • For Librarians
    • For Advertisers
    • Conferences
  • Language Editing
Login Register Submit
  • This site uses cookies
  • You can change your cookie settings at any time by following the instructions in our Cookie Policy. To find out more, you may read our Privacy Policy.

    I agree
Search articles by DOI, keyword, author or affiliation
Search
Advanced Search
presentation
Oncology Letters
Join Editorial Board Propose a Special Issue
Print ISSN: 1792-1074 Online ISSN: 1792-1082
Journal Cover
March-2025 Volume 29 Issue 3

Full Size Image

Sign up for eToc alerts
Recommend to Library

Journals

International Journal of Molecular Medicine

International Journal of Molecular Medicine

International Journal of Molecular Medicine is an international journal devoted to molecular mechanisms of human disease.

International Journal of Oncology

International Journal of Oncology

International Journal of Oncology is an international journal devoted to oncology research and cancer treatment.

Molecular Medicine Reports

Molecular Medicine Reports

Covers molecular medicine topics such as pharmacology, pathology, genetics, neuroscience, infectious diseases, molecular cardiology, and molecular surgery.

Oncology Reports

Oncology Reports

Oncology Reports is an international journal devoted to fundamental and applied research in Oncology.

Experimental and Therapeutic Medicine

Experimental and Therapeutic Medicine

Experimental and Therapeutic Medicine is an international journal devoted to laboratory and clinical medicine.

Oncology Letters

Oncology Letters

Oncology Letters is an international journal devoted to Experimental and Clinical Oncology.

Biomedical Reports

Biomedical Reports

Explores a wide range of biological and medical fields, including pharmacology, genetics, microbiology, neuroscience, and molecular cardiology.

Molecular and Clinical Oncology

Molecular and Clinical Oncology

International journal addressing all aspects of oncology research, from tumorigenesis and oncogenes to chemotherapy and metastasis.

World Academy of Sciences Journal

World Academy of Sciences Journal

Multidisciplinary open-access journal spanning biochemistry, genetics, neuroscience, environmental health, and synthetic biology.

International Journal of Functional Nutrition

International Journal of Functional Nutrition

Open-access journal combining biochemistry, pharmacology, immunology, and genetics to advance health through functional nutrition.

International Journal of Epigenetics

International Journal of Epigenetics

Publishes open-access research on using epigenetics to advance understanding and treatment of human disease.

Medicine International

Medicine International

An International Open Access Journal Devoted to General Medicine.

Journal Cover
March-2025 Volume 29 Issue 3

Full Size Image

Sign up for eToc alerts
Recommend to Library

  • Article
  • Citations
    • Cite This Article
    • Download Citation
    • Create Citation Alert
    • Remove Citation Alert
    • Cited By
  • Similar Articles
    • Related Articles (in Spandidos Publications)
    • Similar Articles (Google Scholar)
    • Similar Articles (PubMed)
  • Download PDF
  • Download XML
  • View XML
Article Open Access

Prognostic value of upper paratracheal lymph node resection in stage IB right‑sided lung cancer: A retrospective cohort study

  • Authors:
    • Feng Wang
    • Xiangyang Yu
    • Yi Han
    • Lanjun Zhang
    • Shuku Liu
  • View Affiliations / Copyright

    Affiliations: Department of Minimally Invasive Surgery, Beijing Chest Hospital, Capital Medical University, Beijing Tuberculosis and Thoracic Tumor Research Institute, Beijing 101149, P.R. China, Department of Thoracic Surgery, National Cancer Center/National Clinical Research Center for Cancer, Cancer Hospital and Shenzhen Hospital, Chinese Academy of Medical Sciences and Peking Union Medical College, Shenzhen, Guangdong 518116, P.R. China, State Key Laboratory of Oncology in South China, Department of Thoracic Surgery, Collaborative Innovation Center for Cancer Medicine, Sun Yat‑sen University Cancer Center, Guangzhou, Guangdong 510060, P.R. China
    Copyright: © Wang et al. This is an open access article distributed under the terms of Creative Commons Attribution License.
  • Article Number: 137
    |
    Published online on: January 10, 2025
       https://doi.org/10.3892/ol.2025.14883
  • Expand metrics +
Metrics: Total Views: 0 (Spandidos Publications: | PMC Statistics: )
Metrics: Total PDF Downloads: 0 (Spandidos Publications: | PMC Statistics: )
Cited By (CrossRef): 0 citations Loading Articles...

This article is mentioned in:



Abstract

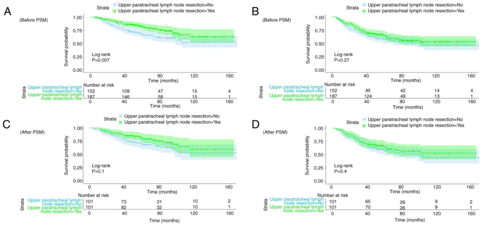
The aim of the present study was to investigate the impact of upper paratracheal lymph node resection on the prognosis of patients with stage IB non‑small cell lung cancer (NSCLC). A retrospective analysis of 339 patients with upper lobe stage IB NSCLC who underwent surgery at Sun Yat‑Sen University Cancer Center (Guangzhou, China) between 1999 and 2009 was conducted. The Cox regression model was used to investigate prognostic factors. Variables with P<0.1 in univariate analysis were incorporated into multivariate analysis. A 1‑to‑1 propensity score matching (PSM) was conducted to decrease potential bias when comparing the impact of upper paratracheal lymph node resection on survival outcomes. Following PSM, 202 cases were identified. Kaplan‑Meier analysis and log‑rank test were used to assess recurrence‑free survival (RFS) and overall survival (OS). Of the 339 patients identified, 152 did not undergo resection of upper paratracheal lymph node, while 187 did undergo the surgery. Cases were separated into two groups based on the resection of the upper paratracheal lymph node. Cox regression analysis demonstrated that a family history of malignant tumors and smoking were considered significant prognostic variables for OS. Age and family history of malignant tumors were significant independent prognostic variables for RFS. Resection of the upper paratracheal lymph node was not significantly associated with OS and RFS. Additionally, resection of the upper paratracheal lymph node was not significantly associated with OS and RFS. In conclusion, there was no statistical association between upper paratracheal lymph node resection and OS or RFS for patients with stage IB NSCLC. Therefore, upper paratracheal lymph node resection may not be necessary for patients with early stage NSCLC, and application of this knowledge could reduce unnecessary surgical trauma and decrease lymph node‑related complications.
View Figures

Figure 1

Figure 2

Figure 3

Figure 4

Figure 5

View References

1 

Siegel RL, Miller KD and Jemal A: Cancer statistics, 2018. CA Cancer J Clin. 68:7–30. 2018. View Article : Google Scholar : PubMed/NCBI

2 

Herbst RS, Heymach JV and Lippman SM: Lung cancer. N Engl J Med. 359:1367–1380. 2008. View Article : Google Scholar : PubMed/NCBI

3 

De Leyn P, Lardinois D, Van Schil P, Rami-Porta R, Passlick B, Zielinski M, Waller D, Lerut T and Weder W; ESTS: European trends in preoperative and intraoperative nodal staging: ESTS guidelines. J Thorac Oncol. 2:357–361. 2007. View Article : Google Scholar : PubMed/NCBI

4 

Howington JA, Blum MG, Chang AC, Balekian AA and Murthy SC: Treatment of stage I and II non-small cell lung cancer: Diagnosis and management of lung cancer, 3rd ed: American college of chest physicians evidence-based clinical practice guidelines. Chest. 143 (5 Suppl):e278S–e313S. 2013. View Article : Google Scholar : PubMed/NCBI

5 

Abughararah TZ, Jeong YH, Alabbood F, Chong Y, Yun JK, Lee GD, Choi S, Kim HR, Kim YH, Kim DK and Park SI: Lobe-specific lymph node dissection in stage IA non-small-cell lung cancer: A retrospective cohort study. Eur J Cardiothorac Surg. 59:783–790. 2021. View Article : Google Scholar : PubMed/NCBI

6 

Darling GE: Lymph node assessment in early stage non-small cell lung cancer lymph node dissection or sampling? Gen Thorac Cardiovasc Surg. 68:716–724. 2020. View Article : Google Scholar : PubMed/NCBI

7 

Deng HY, Zhou J, Wang RL, Jiang R, Zhu DX, Tang XJ and Zhou Q: Lobe-specific lymph node dissection for clinical early-stage (cIA) peripheral non-small cell lung cancer patients: What and how? Ann Surg Oncol. 27:472–480. 2020. View Article : Google Scholar : PubMed/NCBI

8 

Dezube AR, Mazzola E, Bravo-Iñiguez CE, De León LE, Rochefort MM, Bueno R, Wiener DC and Jaklitsch MT; Brigham Large Database Lab, : Analysis of lymph node sampling minimums in early stage non-small-cell lung cancer. Semin Thorac Cardiovasc Surg. 33:834–845. 2021. View Article : Google Scholar : PubMed/NCBI

9 

Ray MA, Smeltzer MP, Faris NR and Osarogiagbon RU: Survival after mediastinal node dissection, systematic sampling, or neither for early stage NSCLC. J Thorac Oncol. 15:1670–1681. 2020. View Article : Google Scholar : PubMed/NCBI

10 

Wang Z, Qi Z, Cheng D, Hao X, Pu Q and Liu L: Lobe-specific node dissection can be a suitable alternative to systematic lymph node dissection in highly selective early-stage non-small-cell lung cancer patients: A meta-analysis. Ann Thorac Cardiovasc Surg. 27:143–150. 2021. View Article : Google Scholar : PubMed/NCBI

11 

Zhao D, Zhang R, Yang L, Huang Z, Lin Y, Wen Y, Zhang X, Wang G, Guo G, Yu X, et al: The independent prognostic effect of lymph node dissection on patients with stage IA NSCLC with different T stages. Front Surg. 8:7980462021. View Article : Google Scholar : PubMed/NCBI

12 

Adachi H, Sakamaki K, Nishii T, Yamamoto T, Nagashima T, Ishikawa Y, Ando K, Yamanaka K, Watanabe K, Kumakiri Y, et al: Lobe-specific lymph node dissection as a standard procedure in surgery for non-small cell lung cancer: A propensity score matching study. J Thorac Oncol. 12:85–93. 2017. View Article : Google Scholar : PubMed/NCBI

13 

Darling GE, Allen MS, Decker PA, Ballman K, Malthaner RA, Inculet RI, Jones DR, McKenna RJ, Landreneau RJ, Rusch VW and Putnam JB Jr: Randomized trial of mediastinal lymph node sampling versus complete lymphadenectomy during pulmonary resection in the patient with N0 or N1 (less than hilar) non-small cell carcinoma: Results of the American college of surgery oncology group Z0030 trial. J Thorac Cardiovasc Surg. 141:662–670. 2011. View Article : Google Scholar : PubMed/NCBI

14 

Hishida T, Miyaoka E, Yokoi K, Tsuboi M, Asamura H, Kiura K, Takahashi K, Dosaka-Akita H, Kobayashi H, Date H, et al: Lobe-specific nodal dissection for clinical stage I and II NSCLC: Japanese multi-institutional retrospective study using a propensity score analysis. J Thorac Oncol. 11:1529–1537. 2016. View Article : Google Scholar : PubMed/NCBI

15 

Hughes MJ, Chowdhry MF, Woolley SM and Walker WS: In patients undergoing lung resection for non-small cell lung cancer, is lymph node dissection or sampling superior? Interact Cardiovasc Thorac Surg. 13:311–315. 2011. View Article : Google Scholar : PubMed/NCBI

16 

Okada M, Sakamoto T, Yuki T, Mimura T, Miyoshi K and Tsubota N: Selective mediastinal lymphadenectomy for clinico-surgical stage I non-small cell lung cancer. Ann Thorac Surg. 81:1028–1032. 2006. View Article : Google Scholar : PubMed/NCBI

17 

Zhang Y, Deng C, Zheng Q, Qian B, Ma J, Zhang C, Jin Y, Shen X, Zang Y, Guo Y, et al: Selective mediastinal lymph node dissection strategy for clinical T1N0 invasive lung cancer: A prospective, multicenter, clinical trial. J Thorac Oncol. 18:931–939. 2023. View Article : Google Scholar : PubMed/NCBI

18 

Jiang C, Zhang Y, Fu F, Deng P and Chen H: A shift in paradigm: Selective lymph node dissection for minimizing oversurgery in early stage lung cancer. J Thorac Oncol. 19:25–35. 2024. View Article : Google Scholar : PubMed/NCBI

19 

Detterbeck FC, Chansky K, Groome P, Bolejack V, Crowley J, Shemanski L, Kennedy C, Krasnik M, Peake M, Rami-Porta R, et al: The IASLC lung cancer staging project: Methodology and validation used in the development of proposals for revision of the stage classification of NSCLC in the forthcoming (eighth) edition of the TNM classification of lung cancer. J Thorac Oncol. 11:1433–1446. 2016. View Article : Google Scholar : PubMed/NCBI

20 

Whitson BA, Groth SS and Maddaus MA: Surgical assessment and intraoperative management of mediastinal lymph nodes in non-small cell lung cancer. Ann Thorac Surg. 84:1059–1065. 2007. View Article : Google Scholar : PubMed/NCBI

21 

Bollen EC, van Duin CJ, Theunissen PH, vt Hof-Grootenboer BE and Blijham GH: Mediastinal lymph node dissection in resected lung cancer: Morbidity and accuracy of staging. Ann Thorac Surg. 55:961–966. 1993. View Article : Google Scholar : PubMed/NCBI

22 

Shen-Tu Y, Mao F, Pan Y, Wang W, Zhang L, Zhang H, Cheng B, Guo H and Wang Z: Lymph node dissection and survival in patients with early stage nonsmall cell lung cancer: A 10-year cohort study. Medicine (Baltimore). 96:e83562017. View Article : Google Scholar : PubMed/NCBI

23 

Meng D, Zhou Z, Wang Y, Wang L, Lv W and Hu J: Lymphadenectomy for clinical early-stage non-small-cell lung cancer: A systematic review and meta-analysis. Eur J Cardiothorac Surg. 50:597–604. 2016. View Article : Google Scholar : PubMed/NCBI

24 

Asamura H, Nakayama H, Kondo H, Tsuchiya R and Naruke T: Lobe-specific extent of systematic lymph node dissection for non-small cell lung carcinomas according to a retrospective study of metastasis and prognosis. J Thorac Cardiovasc Surg. 117:1102–1111. 1999. View Article : Google Scholar : PubMed/NCBI

25 

Adachi H, Maehara T, Nakayama H and Masuda M: Mediastinal lymph node dissection in surgical treatment for early stage non-small-cell lung cancer: Lobe-specific or systematic? J Thorac Dis. 9:2728–2731. 2017. View Article : Google Scholar : PubMed/NCBI

26 

Martini N, Flehinger BJ, Zaman MB and Beattie EJ Jr: Results of resection in non-oat cell carcinoma of the lung with mediastinal lymph node metastases. Ann Surg. 198:386–397. 1983. View Article : Google Scholar : PubMed/NCBI

27 

Ichinose Y, Kato H, Koike T, Tsuchiya R, Fujisawa T, Shimizu N, Watanabe Y, Mitsudomi T, Yoshimura M and Tsuboi M; Japanese Clinical Oncology Group, : Completely resected stage IIIA non-small cell lung cancer: The significance of primary tumor location and N2 station. J Thorac Cardiovasc Surg. 122:803–808. 2001. View Article : Google Scholar : PubMed/NCBI

28 

Kotoulas CS, Foroulis CN, Kostikas K, Konstantinou M, Kalkandi P, Dimadi M, Bouros D and Lioulias A: Involvement of lymphatic metastatic spread in non-small cell lung cancer accordingly to the primary cancer location. Lung Cancer. 44:183–191. 2004. View Article : Google Scholar : PubMed/NCBI

29 

Ettinger DS, Wood DE, Aisner DL, Akerley W, Bauman JR, Bharat A, Bruno DS, Chang JY, Chirieac LR, D'Amico TA, et al: NCCN guidelines insights: Non-small cell lung cancer, version 2.2021. J Natl Compr Canc Netw. 19:254–266. 2021. View Article : Google Scholar : PubMed/NCBI

30 

Kaseda S, Hangai N, Yamamoto S and Kitano M: Lobectomy with extended lymph node dissection by video-assisted thoracic surgery for lung cancer. Surg Endosc. 11:703–706. 1997. View Article : Google Scholar : PubMed/NCBI

31 

Gajra A, Newman N, Gamble GP, Kohman LJ and Graziano SL: Effect of number of lymph nodes sampled on outcome in patients with stage I non-small-cell lung cancer. J Clin Oncol. 21:1029–1034. 2003. View Article : Google Scholar : PubMed/NCBI

32 

Lardinois D, De Leyn P, Van Schil P, Porta RR, Waller D, Passlick B, Zielinski M, Lerut T and Weder W: ESTS guidelines for intraoperative lymph node staging in non-small cell lung cancer. Eur J Cardiothorac Surg. 30:787–792. 2006. View Article : Google Scholar : PubMed/NCBI

Related Articles

  • Abstract
  • View
  • Download
  • Twitter
Copy and paste a formatted citation
Spandidos Publications style
Wang F, Yu X, Han Y, Zhang L and Liu S: Prognostic value of upper paratracheal lymph node resection in stage IB right‑sided lung cancer: A retrospective cohort study. Oncol Lett 29: 137, 2025.
APA
Wang, F., Yu, X., Han, Y., Zhang, L., & Liu, S. (2025). Prognostic value of upper paratracheal lymph node resection in stage IB right‑sided lung cancer: A retrospective cohort study. Oncology Letters, 29, 137. https://doi.org/10.3892/ol.2025.14883
MLA
Wang, F., Yu, X., Han, Y., Zhang, L., Liu, S."Prognostic value of upper paratracheal lymph node resection in stage IB right‑sided lung cancer: A retrospective cohort study". Oncology Letters 29.3 (2025): 137.
Chicago
Wang, F., Yu, X., Han, Y., Zhang, L., Liu, S."Prognostic value of upper paratracheal lymph node resection in stage IB right‑sided lung cancer: A retrospective cohort study". Oncology Letters 29, no. 3 (2025): 137. https://doi.org/10.3892/ol.2025.14883
Copy and paste a formatted citation
x
Spandidos Publications style
Wang F, Yu X, Han Y, Zhang L and Liu S: Prognostic value of upper paratracheal lymph node resection in stage IB right‑sided lung cancer: A retrospective cohort study. Oncol Lett 29: 137, 2025.
APA
Wang, F., Yu, X., Han, Y., Zhang, L., & Liu, S. (2025). Prognostic value of upper paratracheal lymph node resection in stage IB right‑sided lung cancer: A retrospective cohort study. Oncology Letters, 29, 137. https://doi.org/10.3892/ol.2025.14883
MLA
Wang, F., Yu, X., Han, Y., Zhang, L., Liu, S."Prognostic value of upper paratracheal lymph node resection in stage IB right‑sided lung cancer: A retrospective cohort study". Oncology Letters 29.3 (2025): 137.
Chicago
Wang, F., Yu, X., Han, Y., Zhang, L., Liu, S."Prognostic value of upper paratracheal lymph node resection in stage IB right‑sided lung cancer: A retrospective cohort study". Oncology Letters 29, no. 3 (2025): 137. https://doi.org/10.3892/ol.2025.14883
Follow us
  • Twitter
  • LinkedIn
  • Facebook
About
  • Spandidos Publications
  • Careers
  • Cookie Policy
  • Privacy Policy
How can we help?
  • Help
  • Live Chat
  • Contact
  • Email to our Support Team