Spandidos Publications Logo
  • About
    • About Spandidos
    • Aims and Scopes
    • Abstracting and Indexing
    • Editorial Policies
    • Reprints and Permissions
    • Job Opportunities
    • Terms and Conditions
    • Contact
  • Journals
    • All Journals
    • Oncology Letters
      • Oncology Letters
      • Information for Authors
      • Editorial Policies
      • Editorial Board
      • Aims and Scope
      • Abstracting and Indexing
      • Bibliographic Information
      • Archive
    • International Journal of Oncology
      • International Journal of Oncology
      • Information for Authors
      • Editorial Policies
      • Editorial Board
      • Aims and Scope
      • Abstracting and Indexing
      • Bibliographic Information
      • Archive
    • Molecular and Clinical Oncology
      • Molecular and Clinical Oncology
      • Information for Authors
      • Editorial Policies
      • Editorial Board
      • Aims and Scope
      • Abstracting and Indexing
      • Bibliographic Information
      • Archive
    • Experimental and Therapeutic Medicine
      • Experimental and Therapeutic Medicine
      • Information for Authors
      • Editorial Policies
      • Editorial Board
      • Aims and Scope
      • Abstracting and Indexing
      • Bibliographic Information
      • Archive
    • International Journal of Molecular Medicine
      • International Journal of Molecular Medicine
      • Information for Authors
      • Editorial Policies
      • Editorial Board
      • Aims and Scope
      • Abstracting and Indexing
      • Bibliographic Information
      • Archive
    • Biomedical Reports
      • Biomedical Reports
      • Information for Authors
      • Editorial Policies
      • Editorial Board
      • Aims and Scope
      • Abstracting and Indexing
      • Bibliographic Information
      • Archive
    • Oncology Reports
      • Oncology Reports
      • Information for Authors
      • Editorial Policies
      • Editorial Board
      • Aims and Scope
      • Abstracting and Indexing
      • Bibliographic Information
      • Archive
    • Molecular Medicine Reports
      • Molecular Medicine Reports
      • Information for Authors
      • Editorial Policies
      • Editorial Board
      • Aims and Scope
      • Abstracting and Indexing
      • Bibliographic Information
      • Archive
    • World Academy of Sciences Journal
      • World Academy of Sciences Journal
      • Information for Authors
      • Editorial Policies
      • Editorial Board
      • Aims and Scope
      • Abstracting and Indexing
      • Bibliographic Information
      • Archive
    • International Journal of Functional Nutrition
      • International Journal of Functional Nutrition
      • Information for Authors
      • Editorial Policies
      • Editorial Board
      • Aims and Scope
      • Abstracting and Indexing
      • Bibliographic Information
      • Archive
    • International Journal of Epigenetics
      • International Journal of Epigenetics
      • Information for Authors
      • Editorial Policies
      • Editorial Board
      • Aims and Scope
      • Abstracting and Indexing
      • Bibliographic Information
      • Archive
    • Medicine International
      • Medicine International
      • Information for Authors
      • Editorial Policies
      • Editorial Board
      • Aims and Scope
      • Abstracting and Indexing
      • Bibliographic Information
      • Archive
  • Articles
  • Information
    • Information for Authors
    • Information for Reviewers
    • Information for Librarians
    • Information for Advertisers
    • Conferences
  • Language Editing
Spandidos Publications Logo
  • About
    • About Spandidos
    • Aims and Scopes
    • Abstracting and Indexing
    • Editorial Policies
    • Reprints and Permissions
    • Job Opportunities
    • Terms and Conditions
    • Contact
  • Journals
    • All Journals
    • Biomedical Reports
      • Information for Authors
      • Editorial Policies
      • Editorial Board
      • Aims and Scope
      • Abstracting and Indexing
      • Bibliographic Information
      • Archive
    • Experimental and Therapeutic Medicine
      • Information for Authors
      • Editorial Policies
      • Editorial Board
      • Aims and Scope
      • Abstracting and Indexing
      • Bibliographic Information
      • Archive
    • International Journal of Epigenetics
      • Information for Authors
      • Editorial Policies
      • Editorial Board
      • Aims and Scope
      • Abstracting and Indexing
      • Bibliographic Information
      • Archive
    • International Journal of Functional Nutrition
      • Information for Authors
      • Editorial Policies
      • Editorial Board
      • Aims and Scope
      • Abstracting and Indexing
      • Bibliographic Information
      • Archive
    • International Journal of Molecular Medicine
      • Information for Authors
      • Editorial Policies
      • Editorial Board
      • Aims and Scope
      • Abstracting and Indexing
      • Bibliographic Information
      • Archive
    • International Journal of Oncology
      • Information for Authors
      • Editorial Policies
      • Editorial Board
      • Aims and Scope
      • Abstracting and Indexing
      • Bibliographic Information
      • Archive
    • Medicine International
      • Information for Authors
      • Editorial Policies
      • Editorial Board
      • Aims and Scope
      • Abstracting and Indexing
      • Bibliographic Information
      • Archive
    • Molecular and Clinical Oncology
      • Information for Authors
      • Editorial Policies
      • Editorial Board
      • Aims and Scope
      • Abstracting and Indexing
      • Bibliographic Information
      • Archive
    • Molecular Medicine Reports
      • Information for Authors
      • Editorial Policies
      • Editorial Board
      • Aims and Scope
      • Abstracting and Indexing
      • Bibliographic Information
      • Archive
    • Oncology Letters
      • Information for Authors
      • Editorial Policies
      • Editorial Board
      • Aims and Scope
      • Abstracting and Indexing
      • Bibliographic Information
      • Archive
    • Oncology Reports
      • Information for Authors
      • Editorial Policies
      • Editorial Board
      • Aims and Scope
      • Abstracting and Indexing
      • Bibliographic Information
      • Archive
    • World Academy of Sciences Journal
      • Information for Authors
      • Editorial Policies
      • Editorial Board
      • Aims and Scope
      • Abstracting and Indexing
      • Bibliographic Information
      • Archive
  • Articles
  • Information
    • For Authors
    • For Reviewers
    • For Librarians
    • For Advertisers
    • Conferences
  • Language Editing
Login Register Submit
  • This site uses cookies
  • You can change your cookie settings at any time by following the instructions in our Cookie Policy. To find out more, you may read our Privacy Policy.

    I agree
Search articles by DOI, keyword, author or affiliation
Search
Advanced Search
presentation
Oncology Letters
Join Editorial Board Propose a Special Issue
Print ISSN: 1792-1074 Online ISSN: 1792-1082
Journal Cover
April-2025 Volume 29 Issue 4

Full Size Image

Sign up for eToc alerts
Recommend to Library

Journals

International Journal of Molecular Medicine

International Journal of Molecular Medicine

International Journal of Molecular Medicine is an international journal devoted to molecular mechanisms of human disease.

International Journal of Oncology

International Journal of Oncology

International Journal of Oncology is an international journal devoted to oncology research and cancer treatment.

Molecular Medicine Reports

Molecular Medicine Reports

Covers molecular medicine topics such as pharmacology, pathology, genetics, neuroscience, infectious diseases, molecular cardiology, and molecular surgery.

Oncology Reports

Oncology Reports

Oncology Reports is an international journal devoted to fundamental and applied research in Oncology.

Experimental and Therapeutic Medicine

Experimental and Therapeutic Medicine

Experimental and Therapeutic Medicine is an international journal devoted to laboratory and clinical medicine.

Oncology Letters

Oncology Letters

Oncology Letters is an international journal devoted to Experimental and Clinical Oncology.

Biomedical Reports

Biomedical Reports

Explores a wide range of biological and medical fields, including pharmacology, genetics, microbiology, neuroscience, and molecular cardiology.

Molecular and Clinical Oncology

Molecular and Clinical Oncology

International journal addressing all aspects of oncology research, from tumorigenesis and oncogenes to chemotherapy and metastasis.

World Academy of Sciences Journal

World Academy of Sciences Journal

Multidisciplinary open-access journal spanning biochemistry, genetics, neuroscience, environmental health, and synthetic biology.

International Journal of Functional Nutrition

International Journal of Functional Nutrition

Open-access journal combining biochemistry, pharmacology, immunology, and genetics to advance health through functional nutrition.

International Journal of Epigenetics

International Journal of Epigenetics

Publishes open-access research on using epigenetics to advance understanding and treatment of human disease.

Medicine International

Medicine International

An International Open Access Journal Devoted to General Medicine.

Journal Cover
April-2025 Volume 29 Issue 4

Full Size Image

Sign up for eToc alerts
Recommend to Library

  • Article
  • Citations
    • Cite This Article
    • Download Citation
    • Create Citation Alert
    • Remove Citation Alert
    • Cited By
  • Similar Articles
    • Related Articles (in Spandidos Publications)
    • Similar Articles (Google Scholar)
    • Similar Articles (PubMed)
  • Download PDF
  • Download XML
  • View XML

  • Supplementary Files
    • Supplementary_Data.pdf
Article Open Access

Clinical characteristics and survival analysis of cancer of unknown primary

  • Authors:
    • Minting Ma
    • Bin Guo
    • Qiuli Duan
    • Pengqing Jiao
    • Junfang Bi
    • Suju Wei
    • Junyan Wang
    • Fan Zhang
    • Yu Xu
    • Panpan Zhang
    • Ming He
    • Jing Jin
  • View Affiliations / Copyright

    Affiliations: Department of Medical Oncology, The Fourth Hospital of Hebei Medical University, Shijiazhuang, Hebei 050051, P.R. China, Department of Thoracic Surgery, The Fourth Hospital of Hebei Medical University, Shijiazhuang, Hebei 050051, P.R. China, Department of Anorectum Surgical, Traditional Chinese Medicine Hospital of Shijiazhuang City, Shijiazhuang, Hebei 050051, P.R. China, Department of Immunology and Rheumatology, The Fourth Hospital of Hebei Medical University, Shijiazhuang, Hebei 050051, P.R. China, Department of Combined Traditional Chinese Medicine and West Medicine, Traditional Chinese Medicine Hospital of Shijiazhuang City, Shijiazhuang, Hebei 050051, P.R. China, Department of Medical Oncology, The Fourth Hospital of Hebei Medical University, Shijiazhuang, Hebei 050051, P.R. China, Department of Thoracic Oncology II, Peking University Cancer Hospital and Institute, Beijing, 100142, P.R. China, Institute of Cancer, The Fourth Hospital of Hebei Medical University, Shijiazhuang, Hebei 050051, P.R. China
    Copyright: © Ma et al. This is an open access article distributed under the terms of Creative Commons Attribution License.
  • Article Number: 185
    |
    Published online on: February 13, 2025
       https://doi.org/10.3892/ol.2025.14929
  • Expand metrics +
Metrics: Total Views: 0 (Spandidos Publications: | PMC Statistics: )
Metrics: Total PDF Downloads: 0 (Spandidos Publications: | PMC Statistics: )
Cited By (CrossRef): 0 citations Loading Articles...

This article is mentioned in:



Abstract

Cancer of unknown primary (CUP) is a diagnosis that the primary lesion cannot be confirmed by a series of imaging, endoscopic and pathological examinations. The present study aimed to assess the clinical characteristics and survival outcomes of patients with CUP. The present retrospective observational study included patients diagnosed with malignancies confirmed as CUP using histopathology at the Oncology Department of the Fourth Hospital of Hebei Medical University (Shijiazhuang, China) from January 2009 to January 2021. Clinical and pathological data, genetic testing results, treatment modalities and median overall survival (OS) were analyzed. A total of 107 patients were included, with a mean age of 56.59 years. The median follow‑up period was 48.8 months. Adenocarcinoma was the most common pathological type (38.3%), followed by squamous cell carcinoma (31.8%) and neuroendocrine carcinoma (16.8%). The median OS was 28.4 months, with 1‑, 2‑, 3‑ and 4‑year OS rates of 68.2, 54.1, 48.4 and 42.3%, respectively. Imaging revealed that 31 patients (29%) had visceral metastases, and these patients had a significantly shorter median OS compared with those without visceral metastases (8.9 vs. 69 months; P=0.001). Patients who received local treatment (n=31; 29%) had significantly longer survival times than those who did not (69 vs. 17.9 months; P=0.009). Of the 107 patients, 101 (94.4%) received systemic treatment. The median OS times for different treatment groups were as follows: Chemotherapy alone, 28.4 months; chemotherapy combined with immune checkpoint inhibitors, anti‑angiogenic agents or targeted therapy, not reached; no chemotherapy, 8.0 months; and untreated, 9.4 months, with significant differences observed among the groups (P=0.008). The survival outcomes of patients with CUP varied based on the presence of visceral metastasis and the treatment modalities employed. Systemic treatments, particularly those incorporating targeted therapy, appear to have the potential to improve prognosis.

Introduction

Cancer of unknown primary (CUP) represents a subset of metastatic malignancies. It is characterized by the inability to identify the primary tumor site, despite comprehensive clinical history taking, systematic physical examinations, imaging studies, endoscopic evaluations, immunohistochemistry (IHC), genetic testing and other diagnostic methods (1,2). According to previous reports, CUP accounts for 2–10% of all newly diagnosed malignancies from certain regions (3,4). With advancements in diagnostic techniques, the incidence of CUP has now decreased to 1–2% (5–7). Nonetheless, the diagnostic process for CUP remains challenging, requiring meticulous efforts to uncover any diagnostic clues and identify the primary lesion. The diagnosis of CUP is often one of exclusion, aimed at minimizing misdiagnosis and avoiding missed diagnoses of tumors with improved prognoses or curative options.

Currently, the treatment of CUP primarily relies on empirical chemotherapy, as targeted therapies tailored to specific molecular characteristics are typically not feasible. Consequently, patients with CUP generally have a poor prognosis, with reported median survival times of <12 months (8). Thus, exploring the pathogenesis of CUP and optimizing its diagnostic and therapeutic strategies are of utmost importance for improving the outcomes of patients with CUP.

Next-generation sequencing (NGS), also known as second-generation sequencing or high-throughput sequencing, is a DNA sequencing technology widely used in the diagnosis and treatment guidance of malignant tumors. NGS testing enables the identification of adverse prognostic factors such as drug resistance and toxicity during cancer treatment (9). In particular, in non-small cell lung cancer, meaningful therapeutic targets, such as EGFR mutations, anaplastic lymphoma kinase (ALK) gene fusions, ROS-1 and C-MET, have been established as the gold standard for selecting targeted therapies, forming the diagnostic cornerstone for precision treatment (10). Certain research suggests that tumors originating from different tissues exhibit distinct gene expression profiles that correspond to their tissue of origin, and analyzing these gene expression profiles may help to identify the tumor type (11). However, there is currently limited data on the genetic testing of CUP. Therefore, the present study aimed to evaluate the clinical characteristics, IHC and genetic mutation status, as well as the survival outcomes of patients with CUP.

Materials and methods

Study design and patients

The present retrospective study included patients with CUP who attended the Oncology Department of the Fourth Hospital of Hebei Medical University (Shijiazhuang, China) between January 2009 and January 2021. Ethical approval was obtained from the Ethics Committee of the Fourth Hospital of Hebei Medical University (approval no. 2024KS052). As the present study was retrospective, it was exempt from requiring informed consent from the patients. To ensure the accuracy of the study results, the correctness of the diagnosis of the included population is very important, which needs rigorous diagnostic screening, and those who did not have a clear pathological diagnosis and had not undergone adequate whole-body imaging, including chest and abdominal CT and cranial imaging examinations to locate the primary lesion, were excluded. The population included in the present study were patients diagnosed with CUP after adequate evaluation under existing examination and laboratory testing techniques according to European Society for Medical Oncology (ESMO) CUP guidelines (12). The specific inclusion criteria were as follows: i) Histopathologically confirmed malignant tumors; ii) previous thorough evaluation by oncologists following the diagnostic criteria outlined in the 2015 ESMO clinical practice guidelines; and iii) complete clinical and pathological data. The exclusion criteria were as follows: i) Age of <18 years; ii) pathological diagnosis of mesenchymal-origin malignant tumors, peritoneal malignant tumors, malignant melanomas, hematological malignancies or benign tumors; and iii) presence of comorbidities involving other malignant tumors or suspected primary tumor sites.

Data collection

The observational indicators for the present study included the clinical and pathological characteristics, treatment regimens and genetic mutation spectrum of CUP, as well as treatment outcomes. Tissues were fixed in formalin and embedded in wax blocks. Paraffin sections (4 µm thick) were deparaffinized and rehydrated, followed by treatment with 0.02 M EDTA buffer (pH 9.0) and EDTA Antigen Retrieval Solution High-Pressure Heat Retrieval (both from Gene Tech Biotechnology Co., Ltd.) for 2.5 min. IHC and H&E staining were then performed according to a previously published protocol (13).

Ki-67 protein expression reflects the proliferative capacity of tumor cells (14,15). Its expression level can be categorized into three groups: Low (<30%; Fig. S1A), medium (30–60%; Fig. S1B) and high expression (≥60%; Fig. S1C). Programmed death-ligand 1 (PD-L1) expression, including tumor proportion score (TPS) or combined positive score (CPS), was evaluated using methods such as immunohistochemistry (IHC) SP263 pharmDx (Roche Tissue Diagnostics) using the OptiView DAB IHC detection kit, strictly following the manufacturer's instructions on a benchmark XT automatic IHC (BenchMark ULTRA; Roche Tissue Diagnostics), or IHC 22C3 pharmDx (Agilent Technologies, Inc.) using the Dako Autostainer Link 48 IHC platform (Agilent Technologies, Inc.) (16). Low expression was defined as TPS or CPS <10% (Fig. S2A); medium expression as TPS or CPS (10–50%) (Fig. S2B); and high expression as TPS or CPS ≥50% (Fig. S2C).

Patient treatment efficacy and survival follow-up were assessed using the inpatient medical records system of the hospital, outpatient visit records and telephone calls. The follow-up cutoff date was in November 2023. Overall survival (OS) was defined as the time from the date of surgery to the date of death or the end of follow-up.

Statistical methods

Statistical analyses were performed using SPSS 23.0 (IBM Corp.). Categorical data are presented as percentages, and descriptive analyses were performed using frequencies and rates. Survival curves were plotted using the Kaplan-Meier method, and differences in survival time were assessed using the log-rank test. P<0.05 was considered to indicate a statistically significant difference.

Results

Demographic and clinical characteristics of patients with CUP

A total of 127 patients with CUP were initially included in the present study; however, the following were excluded: Patients without a clear pathological diagnostic basis (n=3); patients with a confirmed primary lesion post-discharge (n=3); patients with peritoneal cancer (n=4); patients with mesenchymal-origin tumors (n=4); patients with neuroendocrine tumors (n=2); patients with malignant melanoma (n=3); and patients suspected of having a hematological malignancy (n=1). Ultimately, 107 patients were eligible for analysis (Fig. 1).

Figure 1.

Patient enrollment process.

Among the 107 patients, 71 were male (66.4%). The age at onset ranged from 21–76 years, with a mean age of 56.59 years. The median follow-up period was 48.8 months. The most common sources of pathological specimens were superficial lymph nodes or superficial non-visceral tissues (n=78; 72.9%). Adenocarcinoma was the most prevalent pathological type, accounting for 41 cases (38.3%), followed by squamous cell carcinoma (n=34; 31.8%) and neuroendocrine carcinoma (n=18; 16.8%). PET-CT scans were performed in 63 cases (58.9%) to aid in identifying the primary lesion, and 31 patients (29.0%) were found to have visceral metastases based on imaging findings. Baseline characteristics of the patients in the present study are presented in Table I.

Table I.

Baseline characteristics of the patients in the present study (n=107).

Table I.

Baseline characteristics of the patients in the present study (n=107).

Characteristicn (%)
Sex
  Male71 (66.4)
  Female36 (33.6)
Age, years
  ≤4010 (9.3)
  >40 and ≤6575 (70.1)
  >6522 (20.6)
Pathological source
  Lymph nodes and superficial non-visceral organs78 (72.9)
  Visceral organs16 (15.0)
  Bone9 (8.4)
  Malignant pleural effusion4 (3.7)
Pathological type
  Adenocarcinoma41 (38.3)
  Squamous cell carcinoma34 (31.8)
  Neuroendocrine carcinoma18 (16.8)
  Other14 (13.1)
PET-CT examination
  Yes63 (58.9)
  No44 (41.1)
Visceral metastasis
  Yes31 (29.0)
  No76 (71.0)

[i] PET, positron emission tomography.

Among the 107 patients, 31 (30.0%) received local treatment, whilst 101 (94.4%) received systemic treatment. Specifically, 56 patients (52.3%) underwent chemotherapy alone, and 20 patients (18.7%) received a combination of chemotherapy and immunotherapy, whilst 14 (13.1%) underwent chemotherapy and anti-angiogenic therapy. A total of two patients received a combination of chemotherapy, anti-angiogenic drugs and immune checkpoint inhibitors as first-line treatment, whilst three patients (2.8%) received a combination of chemotherapy and targeted therapy as first-line treatment. Additionally, six patients (5.6%) did not receive any chemotherapy (Table II). Among these patients who did not undergo chemotherapy, two patients with ALK fusion identified by genetic testing received oral crizotinib, 2 patients received anti-angiogenic drugs combined with immune checkpoint inhibitors and 2 patients were treated with multi-target small molecule anti-angiogenic agents, such as regorafenib and apatinib.

Table II.

Treatment modalities of the patients in the present study (n=107).

Table II.

Treatment modalities of the patients in the present study (n=107).

Treatment modalityn (%)
Local treatment
  None76 (71.0)
  Radiotherapy9 (8.4)
  Surgery15 (14.0)
  Surgery + radiotherapy4 (3.8)
  Other local treatments3 (2.8)
Systemic treatment
  None6 (5.6)
  Chemotherapy56 (52.3)
  Chemotherapy + immunotherapy20 (18.7)
  Chemotherapy + anti-angiogenic therapy14 (13.1)
  Chemotherapy + anti-angiogenic therapy + immunotherapy2 (1.9)
  Chemotherapy + targeted therapy3 (2.8)
  No chemotherapy regimen6 (5.6)
Molecular testing

Among all the included patients, 76 (71.0%) underwent Ki-67 testing, with 10 (9.4%) demonstrating low expression, 33 (30.8%) demonstrating medium expression, and 33 (30.8%) demonstrating high expression. PD-L1 testing was performed in 21 patients (19.6%), with 11 (10.2%) showing low expression, 5 (4.7%) showing medium expression, and 5 (4.7%) showing high expression. Besides Ki-67 and PD-L1 testing, 37 patients underwent genetic testing (Table III). A total of four cases (10.8%) showed no mutations. The most frequently observed mutations were in tumor protein P53 (TP53; n=8), human epidermal growth factor receptor 2 (HER-2/ERBB2; n=7) and SWI/SNF Related BAF Chromatin Remodeling Complex (SMARCA/B; n=6). Other mutations observed in >1 patient but <15% of the patients are detailed in Table IV.

Table III.

Molecular diagnostic features of the patients in the present study (n=107).

Table III.

Molecular diagnostic features of the patients in the present study (n=107).

Molecular diagnostic featuren (%)
Genetic testing
  Yes37 (34.6)
  No70 (65.4)
Ki-67 expression, %
  ≥6033 (30.8)
  ≥30 and <6033 (30.8)
  <3010 (9.4)
  Not tested31 (29.0)
PD-L1 expression, %
  <1011 (10.2)
  ≥10 and <505 (4.7)
  ≥505 (4.7)
  Not tested86 (80.4)

[i] PD-L1, programmed cell death 1 ligand 1.

Table IV.

Spectrum of gene mutations in the present study (n=37).

Table IV.

Spectrum of gene mutations in the present study (n=37).

Gene mutationn (%)
TP538 (21.6)
HER-2/ERBB27 (18.9)
SMARCA/SMARCB6 (16.2)
RAS5 (13.5)
BRAF4 (10.8)
CDK4 (10.8)
NTRK2 (5.4)
NF3 (8.1)
MET2 (5.4)
JAK22 (5.4)
NOTCH12 (5.4)
PIK3CIB2 (5.4)
POLE2 (5.4)
PTEN2 (5.4)
RET2 (5.4)
RB12 (5.4)
TNF2 (5.4)
STK112 (5.4)
Survival analysis

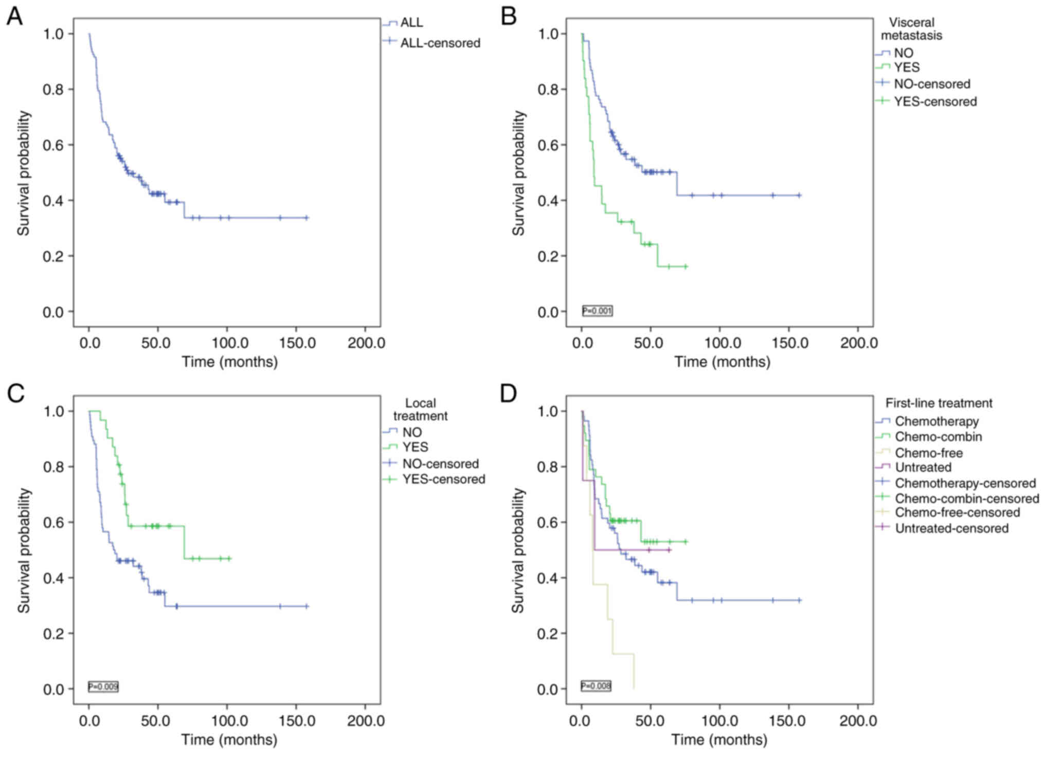
Among the 107 patients, the median OS was 28.4 months, with 1-, 2-, 3- and 4-year OS rates of 68.2, 54.1, 48.4 and 42.3%, respectively. Patients with visceral metastasis had a significantly shorter median OS compared with those without visceral metastasis (8.9 vs. 69 months; P=0.001). According to the stratified analysis of whether local therapy was applied, the median OS of patients with local treatment was 69 months, and that of patients without local treatment was 17.9 months (P=0.009). The survival time of patients given local treatment was significantly longer compared with those without local treatment. Patients were stratified into the following four groups based on first-line treatment: i) Chemotherapy alone; ii) chemotherapy combined with immune checkpoint inhibitors, anti-angiogenic drugs or targeted therapies; iii) single-agent targeted therapy or surgery without chemotherapy; and iv) untreated. The median OS times for these groups were 28.4 months, not reached, 8 months and 9.4 months, respectively, with significant differences in survival observed among the four groups (P=0.008; Fig. 2).

Figure 2.

Survival analysis. Kaplan-Meier curves demonstrating the overall survival: (A) of all the patients with CUP; (B) according to the visceral metastasis status of the patients with CUP; (C) comparing patients with CUP with and without local treatment; and (D) comparing patients with CUP based on the type of first-line treatment. CUP, cancer of unknown primary.

Discussion

The findings of the present study indicate that the survival outcomes of patients with CUP differ based on the presence of visceral metastasis and the administered treatment modalities. Systemic therapies, particularly those combining chemotherapy with immune checkpoint inhibitors, anti-angiogenic drugs or targeted therapies, show promise in improving prognosis.

Currently, advancements in imaging technologies, improved tissue acquisition methods for pathology and progress in molecular genetic testing have led to a more rigorous diagnostic approach for CUP. In the present study, PET-CT scans were performed on 58.9% and aggressive IHC and genetic testing accounting for one-third of patients to assist in diagnosing the primary lesion, but the diagnosis of the primary lesion was still not definitive. Furthermore, the present study explored the current methods for the detection of primary lesions and the reduction in the misdiagnosis rate of metastatic CUP lesions. However, despite these advancements, determining the primary site remains challenging. The following factors may contribute to this issue: i) Metastasis to distant sites may cause the primary tumor to regress or disappear, making it difficult to identify, with 20–50% of patients failing to have a primary tumor identified even upon autopsy; ii) current detection methods may be limited by inadequate sampling or by the removal of the primary tumor during the sampling process; iii) certain primary tumors may be small or slow-growing, rendering them undetectable through current imaging and detection technologies; iv) the primary tumor may have been eradicated by the immune system; and v) metastatic tumor cells may undergo phenotypic changes, causing them to appear distinct from the primary tumor (such as, poorly differentiated, undifferentiated or heterogeneous) (17). This is consistent with the findings of the present study, as nearly 60% of patients underwent PET-CT examination but still failed to have their primary tumor site identified.

Although IHC is frequently used to predict the primary site in CUP, it is not typically considered a treatment guideline due to the inherent ambiguity of pathology reports, which often employ terms such as ‘favor’ or ‘consistent with’ rather than providing a definitive diagnosis (18–20). In a cohort of 252 patients with CUP, the Cancer TYPE ID assay successfully predicted the primary site in 98% of cases (11). However, like IHC, the accuracy of these predictions is difficult to ascertain due to the lack of identified anatomical primary sites. Nevertheless, in a subset of 24 patients with CUP with primary sites identified months after diagnosis, the Molecular Cancer Classifier Assay correctly predicted the primary site in 75% of cases, provided that sufficient tissue for analysis was available (13,21). CUP often presents with widespread metastases, most commonly involving lymph nodes, lungs, bones and liver (22). In the present study, most specimens were obtained from lymph nodes, followed by visceral organs, bone tissue and pleural effusion.

Apart from the primary tumor site, the pathological type of CUP is another critical factor influencing treatment decisions. A previous study indicated that adenocarcinomas, squamous cell carcinomas, neuroendocrine carcinomas and poorly differentiated carcinomas accounted for 60, 5, 2 and 30% of all pathological types, respectively. Another study by Meijer et al (23) reported that adenocarcinoma represented ~41% of all CUP cases. In the present study, adenocarcinoma, squamous cell carcinoma and neuroendocrine carcinoma constituted 38.3, 31.8 and 16.8% of the CUP cases, respectively. Given the unknown primary site, applying limited tissue specimens to refine IHC and genetic testing at key diagnostic points is essential for guiding clinical treatment decisions (24).

Regarding genetic testing, the present study identified TP53, HER-2 and SMARCA as the most commonly mutated genes. The TP53 mutation, known for its association with cancer, is observed in carcinomas originating from several tissues, including lung, colorectal and gynecological cancers. Consequently, TP53 detection generally lacks specificity in determining the primary site (25). Other studies have also reported TP53 as the most frequently mutated gene in CUP. Bochtler et al (26) reported a TP53 mutation rate of 49.6%, whereas Gerard et al (27) reported an even higher positive rate of 87.5%. These discrepancies highlight differences in baseline characteristics between the cohort in the present study and the aforementioned populations, although the underlying cause of this variation requires further analysis. Median survival varied by histological type, with squamous cell carcinoma demonstrating the longest median survival at 25.1 months and poorly differentiated carcinoma the shortest at 3.0 months. Survival rates for each histological type were generally consistent across sex and physical status, with women showing higher survival rates than men for well-differentiated and moderately differentiated adenocarcinomas. Younger patients aged 18–64 years also tended to have longer survival compared with those aged ≥65 years (28).

The present study has several limitations. First, it is a single-center study with a small sample size of only 107 patients; thus, the findings should be validated in larger multi-center cohorts. Second, not all patients underwent genetic testing, leading to certain gene mutations being identified in only one or two patients, indicating the need for a larger sample size. Third, the data from the PD-L1 expression assay and counting criteria are inconsistent and the detection rate is low in the observed population, and there was a variation in IHC protocols used for different individuals from the cohort, so the data may be biased. Finally, the follow-up period was not long enough to capture long-term outcomes. Future research should focus on expanding the sample size, extending the follow-up duration and ensuring comprehensive genetic testing and PD-L1 for all patients to enhance the robustness of the findings.

In conclusion, the results of the present study support the use of NGS in patients with CUP. The findings also demonstrate the feasibility of integrating genomic analysis with diagnostic histopathology and IHC in a community practice setting. Future research should consider combining diagnostic algorithms with genomic analysis to better characterize unknown primary cancers.

Supplementary Material

Supporting Data

Acknowledgements

Not applicable.

Funding

The present work was supported by the National Natural Science Foundation of China (grant no. 82103497) and the Medical Science Research Project of Hebei (grant no. 20210832).

Availability of data and materials

The data of genetic testing reports generated in the present study may be found in the figshare database under accession no. 10.6084/m9.figshare.28012967 or at the following URL: https://figshare.com/s/6111ff335415093eb404. All other data generated in the present study may be requested from the corresponding author.

Authors' contributions

MM and BG performed the experiments and participated in data collection. PJ and JB drafted the manuscript. JW and QD performed the statistical analysis and contributed to the study design. SW, YX, FZ and MH participated in data acquisition, analysis or interpretation. PZ and JJ were responsible for tissue management and preparation. MM and BG confirm the authenticity of all the raw data. All authors have read and approved the final manuscript.

Ethics approval and consent to participate

The present study was approved by the Ethics Committee of the Fourth Hospital of Hebei Medical University (approval no. 2024KS052). Informed consent was not required due to the retrospective nature of the study.

Patient consent for publication

Not applicable.

Competing interests

The authors declare that they have no competing interests.

References

1 

Levi F, Te VC, Erler G, Randimbison L and La Vecchia C: Epidemiology of unknown primary tumours. Eur J Cancer. 38:1810–1812. 2002. View Article : Google Scholar : PubMed/NCBI

2 

Lee MS and Sanoff HK: Cancer of unknown primary. BMJ. 371:m40502020. View Article : Google Scholar : PubMed/NCBI

3 

Pavlidis N, Briasoulis E, Hainsworth J and Greco FA: Diagnostic and therapeutic management of cancer of an unknown primary. Eur J Cancer. 39:1990–2005. 2003. View Article : Google Scholar : PubMed/NCBI

4 

Pavlidis N and Fizazi K: Carcinoma of unknown primary (CUP). Crit Rev Oncol Hematol. 69:271–278. 2009. View Article : Google Scholar : PubMed/NCBI

5 

Brustugun OT and Helland A: Rapid reduction in the incidence of cancer of unknown primary. A population-based study. Acta Oncol. 53:134–137. 2014. View Article : Google Scholar : PubMed/NCBI

6 

Boo YK, Park D, Lim J, Lim HS and Won YJ: Descriptive epidemiology of cancer of unknown primary in South Korea, 1999–2017. Cancer Epidemiol. 74:1020002021. View Article : Google Scholar : PubMed/NCBI

7 

Rassy E and Pavlidis N: The currently declining incidence of cancer of unknown primary. Cancer Epidemiol. 61:139–141. 2019. View Article : Google Scholar : PubMed/NCBI

8 

Ren M, Cai X, Jia L, Bai Q, Zhu X, Hu X, Wang Q, Luo Z and Zhou X: Comprehensive analysis of cancer of unknown primary and recommendation of a histological and immunohistochemical diagnostic strategy from China. BMC Cancer. 23:11752023. View Article : Google Scholar : PubMed/NCBI

9 

Sunami K, Takahashi H, Tsuchihara K, Takeda M, Suzuki T, Naito Y, Sakai K, Dosaka-Akita H, Ishioka C, Kodera Y, et al: Clinical practice guidance for next-generation sequencing in cancer diagnosis and treatment (Edition 1.0). Cancer Sci. 109:2980–2985. 2018. View Article : Google Scholar : PubMed/NCBI

10 

Thai AA, Solomon BJ, Sequist LV, Gainor JF and Heist RS: Lung cancer. Lancet. 398:535–554. 2021. View Article : Google Scholar : PubMed/NCBI

11 

Erlander MG, Ma XJ, Kesty NC, Bao L, Salunga R and Schnabel CA: Performance and clinical evaluation of the 92-gene real-time PCR assay for tumor classification. J Mol Diagn. 13:493–503. 2011. View Article : Google Scholar : PubMed/NCBI

12 

Fizazi K, Greco FA, Pavlidis N and Pentheroudakis G; ESMO Guidelines Working Group, : Cancers of unknown primary site: ESMO Clinical Practice Guidelines for diagnosis, treatment and follow-up. Ann Oncol. 26 Suppl 5:vi33–vi38. 2011.

13 

Greco FA, Spigel DR, Yardley DA, Erlander MG, Ma XJ and Hainsworth JD: Molecular profiling in unknown primary cancer: Accuracy of tissue of origin prediction. Oncologist. 15:500–506. 2010. View Article : Google Scholar : PubMed/NCBI

14 

Li Z, Li F, Pan C, He Z, Pan X, Zhu Q, Wu W and Chen L: Tumor cell proliferation (Ki-67) expression and its prognostic significance in histological subtypes of lung adenocarcinoma. Lung Cancer. 154:69–75. 2021. View Article : Google Scholar : PubMed/NCBI

15 

Sun X and Kaufman PD: Ki-67: More than a proliferation marker. Chromosoma. 127:175–186. 2018. View Article : Google Scholar : PubMed/NCBI

16 

Wei B, Kang J, Kibukawa M, Arreaza G, Maguire M, Chen L, Qiu P, Lang L, Aurora-Garg D, Cristescu R and Levitan D: Evaluation of the trusight oncology 500 assay for routine clinical testing of tumor mutational burden and clinical utility for predicting response to pembrolizumab. J Mol Diagn. 24:600–608. 2022. View Article : Google Scholar : PubMed/NCBI

17 

Society of Cancer of Multiple and Unknown Primary of China Anti-Cancer Association, . China Anti-Cancer Association guideline for diagnosis and treatment of cancer of multiple and unknown primaries (2023 edition). Chin Oncol. 33:403–422. 2023.

18 

Greco FA, Lennington WJ, Spigel DR and Hainsworth JD: Molecular profiling diagnosis in unknown primary cancer: Accuracy and ability to complement standard pathology. J Natl Cancer Inst. 105:782–790. 2013. View Article : Google Scholar : PubMed/NCBI

19 

Weiss LM, Chu P, Schroeder BE, Singh V, Zhang Y, Erlander MG and Schnabel CA: Blinded comparator study of immunohistochemical analysis versus a 92-gene cancer classifier in the diagnosis of the primary site in metastatic tumors. J Mol Diagn. 15:263–269. 2013. View Article : Google Scholar : PubMed/NCBI

20 

Morawietz L, Floore A, Stork-Sloots L, Folprecht G, Buettner R, Rieger A, Dietel M and Huebner G: Comparison of histopathological and gene expression-based typing of cancer of unknown primary. Virchows Arch. 456:23–29. 2010. View Article : Google Scholar : PubMed/NCBI

21 

Meiri E, Mueller WC, Rosenwald S, Zepeniuk M, Klinke E, Edmonston TB, Werner M, Lass U, Barshack I, Feinmesser M, et al: A second-generation microRNA-based assay for diagnosing tumor tissue origin. Oncologist. 17:801–812. 2012. View Article : Google Scholar : PubMed/NCBI

22 

Rassy E and Pavlidis N: Progress in refining the clinical management of cancer of unknown primary in the molecular era. Nat Rev Clin Oncol. 17:541–554. 2020. View Article : Google Scholar : PubMed/NCBI

23 

Meijer L, Verhoeven RHA, de Hingh IHJT, van de Wouw AJ, van Laarhoven HWM, Lemmens VEPP and Loef C: Extensive diagnostic work-up for patients with carcinoma of unknown primary. Clin Exp Metastasis. 38:231–238. 2021. View Article : Google Scholar : PubMed/NCBI

24 

Beauchamp K, Moran B, O'Brien T, Brennan D, Crown J, Sheahan K and Cotter MB: Carcinoma of unknown primary (CUP): An update for histopathologists. Cancer Metastasis Rev. 42:1189–1200. 2023. View Article : Google Scholar : PubMed/NCBI

25 

Joerger AC, Stiewe T and Soussi T: TP53: The unluckiest of genes? Cell Death Differ. Oct 23–2024.(Epub ahead of print). PubMed/NCBI

26 

Bochtler T, Reiling A, Endris V, Hielscher T, Volckmar AL, Neumann O, Kirchner M, Budczies J, Heukamp LC, Leichsenring J, et al: Integrated clinicomolecular characterization identifies RAS activation and CDKN2A deletion as independent adverse prognostic factors in cancer of unknown primary. Int J Cancer. 146:3053–3064. 2020. View Article : Google Scholar : PubMed/NCBI

27 

Gerard L, Garcia J, Gauthier A, Lopez J, Durand A, Hervieu V, Lemelin A, Chardon L, Landel V, Gibert B, et al: ctDNA in neuroendocrine carcinoma of gastroenteropancreatic origin or of unknown primary: The CIRCAN-NEC pilot study. Neuroendocrinology. 111:951–964. 2021. View Article : Google Scholar : PubMed/NCBI

28 

Bytnar JA, Lin J, Moncur JT, Shriver CD and Zhu K: Cancers of unknown primary: Survival by histologic type, demographic features, and treatment in the U.S. Military Health System. Cancer Epidemiol. 82:1023162023. View Article : Google Scholar : PubMed/NCBI

Related Articles

  • Abstract
  • View
  • Download
  • Twitter
Copy and paste a formatted citation
Spandidos Publications style
Ma M, Guo B, Duan Q, Jiao P, Bi J, Wei S, Wang J, Zhang F, Xu Y, Zhang P, Zhang P, et al: Clinical characteristics and survival analysis of cancer of unknown primary. Oncol Lett 29: 185, 2025.
APA
Ma, M., Guo, B., Duan, Q., Jiao, P., Bi, J., Wei, S. ... Jin, J. (2025). Clinical characteristics and survival analysis of cancer of unknown primary. Oncology Letters, 29, 185. https://doi.org/10.3892/ol.2025.14929
MLA
Ma, M., Guo, B., Duan, Q., Jiao, P., Bi, J., Wei, S., Wang, J., Zhang, F., Xu, Y., Zhang, P., He, M., Jin, J."Clinical characteristics and survival analysis of cancer of unknown primary". Oncology Letters 29.4 (2025): 185.
Chicago
Ma, M., Guo, B., Duan, Q., Jiao, P., Bi, J., Wei, S., Wang, J., Zhang, F., Xu, Y., Zhang, P., He, M., Jin, J."Clinical characteristics and survival analysis of cancer of unknown primary". Oncology Letters 29, no. 4 (2025): 185. https://doi.org/10.3892/ol.2025.14929
Copy and paste a formatted citation
x
Spandidos Publications style
Ma M, Guo B, Duan Q, Jiao P, Bi J, Wei S, Wang J, Zhang F, Xu Y, Zhang P, Zhang P, et al: Clinical characteristics and survival analysis of cancer of unknown primary. Oncol Lett 29: 185, 2025.
APA
Ma, M., Guo, B., Duan, Q., Jiao, P., Bi, J., Wei, S. ... Jin, J. (2025). Clinical characteristics and survival analysis of cancer of unknown primary. Oncology Letters, 29, 185. https://doi.org/10.3892/ol.2025.14929
MLA
Ma, M., Guo, B., Duan, Q., Jiao, P., Bi, J., Wei, S., Wang, J., Zhang, F., Xu, Y., Zhang, P., He, M., Jin, J."Clinical characteristics and survival analysis of cancer of unknown primary". Oncology Letters 29.4 (2025): 185.
Chicago
Ma, M., Guo, B., Duan, Q., Jiao, P., Bi, J., Wei, S., Wang, J., Zhang, F., Xu, Y., Zhang, P., He, M., Jin, J."Clinical characteristics and survival analysis of cancer of unknown primary". Oncology Letters 29, no. 4 (2025): 185. https://doi.org/10.3892/ol.2025.14929
Follow us
  • Twitter
  • LinkedIn
  • Facebook
About
  • Spandidos Publications
  • Careers
  • Cookie Policy
  • Privacy Policy
How can we help?
  • Help
  • Live Chat
  • Contact
  • Email to our Support Team