Spandidos Publications Logo
  • About
    • About Spandidos
    • Aims and Scopes
    • Abstracting and Indexing
    • Editorial Policies
    • Reprints and Permissions
    • Job Opportunities
    • Terms and Conditions
    • Contact
  • Journals
    • All Journals
    • Oncology Letters
      • Oncology Letters
      • Information for Authors
      • Editorial Policies
      • Editorial Board
      • Aims and Scope
      • Abstracting and Indexing
      • Bibliographic Information
      • Archive
    • International Journal of Oncology
      • International Journal of Oncology
      • Information for Authors
      • Editorial Policies
      • Editorial Board
      • Aims and Scope
      • Abstracting and Indexing
      • Bibliographic Information
      • Archive
    • Molecular and Clinical Oncology
      • Molecular and Clinical Oncology
      • Information for Authors
      • Editorial Policies
      • Editorial Board
      • Aims and Scope
      • Abstracting and Indexing
      • Bibliographic Information
      • Archive
    • Experimental and Therapeutic Medicine
      • Experimental and Therapeutic Medicine
      • Information for Authors
      • Editorial Policies
      • Editorial Board
      • Aims and Scope
      • Abstracting and Indexing
      • Bibliographic Information
      • Archive
    • International Journal of Molecular Medicine
      • International Journal of Molecular Medicine
      • Information for Authors
      • Editorial Policies
      • Editorial Board
      • Aims and Scope
      • Abstracting and Indexing
      • Bibliographic Information
      • Archive
    • Biomedical Reports
      • Biomedical Reports
      • Information for Authors
      • Editorial Policies
      • Editorial Board
      • Aims and Scope
      • Abstracting and Indexing
      • Bibliographic Information
      • Archive
    • Oncology Reports
      • Oncology Reports
      • Information for Authors
      • Editorial Policies
      • Editorial Board
      • Aims and Scope
      • Abstracting and Indexing
      • Bibliographic Information
      • Archive
    • Molecular Medicine Reports
      • Molecular Medicine Reports
      • Information for Authors
      • Editorial Policies
      • Editorial Board
      • Aims and Scope
      • Abstracting and Indexing
      • Bibliographic Information
      • Archive
    • World Academy of Sciences Journal
      • World Academy of Sciences Journal
      • Information for Authors
      • Editorial Policies
      • Editorial Board
      • Aims and Scope
      • Abstracting and Indexing
      • Bibliographic Information
      • Archive
    • International Journal of Functional Nutrition
      • International Journal of Functional Nutrition
      • Information for Authors
      • Editorial Policies
      • Editorial Board
      • Aims and Scope
      • Abstracting and Indexing
      • Bibliographic Information
      • Archive
    • International Journal of Epigenetics
      • International Journal of Epigenetics
      • Information for Authors
      • Editorial Policies
      • Editorial Board
      • Aims and Scope
      • Abstracting and Indexing
      • Bibliographic Information
      • Archive
    • Medicine International
      • Medicine International
      • Information for Authors
      • Editorial Policies
      • Editorial Board
      • Aims and Scope
      • Abstracting and Indexing
      • Bibliographic Information
      • Archive
  • Articles
  • Information
    • Information for Authors
    • Information for Reviewers
    • Information for Librarians
    • Information for Advertisers
    • Conferences
  • Language Editing
Spandidos Publications Logo
  • About
    • About Spandidos
    • Aims and Scopes
    • Abstracting and Indexing
    • Editorial Policies
    • Reprints and Permissions
    • Job Opportunities
    • Terms and Conditions
    • Contact
  • Journals
    • All Journals
    • Biomedical Reports
      • Information for Authors
      • Editorial Policies
      • Editorial Board
      • Aims and Scope
      • Abstracting and Indexing
      • Bibliographic Information
      • Archive
    • Experimental and Therapeutic Medicine
      • Information for Authors
      • Editorial Policies
      • Editorial Board
      • Aims and Scope
      • Abstracting and Indexing
      • Bibliographic Information
      • Archive
    • International Journal of Epigenetics
      • Information for Authors
      • Editorial Policies
      • Editorial Board
      • Aims and Scope
      • Abstracting and Indexing
      • Bibliographic Information
      • Archive
    • International Journal of Functional Nutrition
      • Information for Authors
      • Editorial Policies
      • Editorial Board
      • Aims and Scope
      • Abstracting and Indexing
      • Bibliographic Information
      • Archive
    • International Journal of Molecular Medicine
      • Information for Authors
      • Editorial Policies
      • Editorial Board
      • Aims and Scope
      • Abstracting and Indexing
      • Bibliographic Information
      • Archive
    • International Journal of Oncology
      • Information for Authors
      • Editorial Policies
      • Editorial Board
      • Aims and Scope
      • Abstracting and Indexing
      • Bibliographic Information
      • Archive
    • Medicine International
      • Information for Authors
      • Editorial Policies
      • Editorial Board
      • Aims and Scope
      • Abstracting and Indexing
      • Bibliographic Information
      • Archive
    • Molecular and Clinical Oncology
      • Information for Authors
      • Editorial Policies
      • Editorial Board
      • Aims and Scope
      • Abstracting and Indexing
      • Bibliographic Information
      • Archive
    • Molecular Medicine Reports
      • Information for Authors
      • Editorial Policies
      • Editorial Board
      • Aims and Scope
      • Abstracting and Indexing
      • Bibliographic Information
      • Archive
    • Oncology Letters
      • Information for Authors
      • Editorial Policies
      • Editorial Board
      • Aims and Scope
      • Abstracting and Indexing
      • Bibliographic Information
      • Archive
    • Oncology Reports
      • Information for Authors
      • Editorial Policies
      • Editorial Board
      • Aims and Scope
      • Abstracting and Indexing
      • Bibliographic Information
      • Archive
    • World Academy of Sciences Journal
      • Information for Authors
      • Editorial Policies
      • Editorial Board
      • Aims and Scope
      • Abstracting and Indexing
      • Bibliographic Information
      • Archive
  • Articles
  • Information
    • For Authors
    • For Reviewers
    • For Librarians
    • For Advertisers
    • Conferences
  • Language Editing
Login Register Submit
  • This site uses cookies
  • You can change your cookie settings at any time by following the instructions in our Cookie Policy. To find out more, you may read our Privacy Policy.

    I agree
Search articles by DOI, keyword, author or affiliation
Search
Advanced Search
presentation
Oncology Letters
Join Editorial Board Propose a Special Issue
Print ISSN: 1792-1074 Online ISSN: 1792-1082
Journal Cover
April-2025 Volume 29 Issue 4

Full Size Image

Sign up for eToc alerts
Recommend to Library

Journals

International Journal of Molecular Medicine

International Journal of Molecular Medicine

International Journal of Molecular Medicine is an international journal devoted to molecular mechanisms of human disease.

International Journal of Oncology

International Journal of Oncology

International Journal of Oncology is an international journal devoted to oncology research and cancer treatment.

Molecular Medicine Reports

Molecular Medicine Reports

Covers molecular medicine topics such as pharmacology, pathology, genetics, neuroscience, infectious diseases, molecular cardiology, and molecular surgery.

Oncology Reports

Oncology Reports

Oncology Reports is an international journal devoted to fundamental and applied research in Oncology.

Experimental and Therapeutic Medicine

Experimental and Therapeutic Medicine

Experimental and Therapeutic Medicine is an international journal devoted to laboratory and clinical medicine.

Oncology Letters

Oncology Letters

Oncology Letters is an international journal devoted to Experimental and Clinical Oncology.

Biomedical Reports

Biomedical Reports

Explores a wide range of biological and medical fields, including pharmacology, genetics, microbiology, neuroscience, and molecular cardiology.

Molecular and Clinical Oncology

Molecular and Clinical Oncology

International journal addressing all aspects of oncology research, from tumorigenesis and oncogenes to chemotherapy and metastasis.

World Academy of Sciences Journal

World Academy of Sciences Journal

Multidisciplinary open-access journal spanning biochemistry, genetics, neuroscience, environmental health, and synthetic biology.

International Journal of Functional Nutrition

International Journal of Functional Nutrition

Open-access journal combining biochemistry, pharmacology, immunology, and genetics to advance health through functional nutrition.

International Journal of Epigenetics

International Journal of Epigenetics

Publishes open-access research on using epigenetics to advance understanding and treatment of human disease.

Medicine International

Medicine International

An International Open Access Journal Devoted to General Medicine.

Journal Cover
April-2025 Volume 29 Issue 4

Full Size Image

Sign up for eToc alerts
Recommend to Library

  • Article
  • Citations
    • Cite This Article
    • Download Citation
    • Create Citation Alert
    • Remove Citation Alert
    • Cited By
  • Similar Articles
    • Related Articles (in Spandidos Publications)
    • Similar Articles (Google Scholar)
    • Similar Articles (PubMed)
  • Download PDF
  • Download XML
  • View XML

  • Supplementary Files
    • Supplementary_Data.pdf
Article Open Access

Tumor‑stroma ratio as a clinical prognostic factor in colorectal carcinoma: A meta‑analysis of 7,934 patients

  • Authors:
    • An Shang
    • Pengcheng Yu
    • Liping Li
    • Ge He
    • Junyi Xu
  • View Affiliations / Copyright

    Affiliations: Department of General Surgery, The Fourth Hospital of Guangxi Medical University, Liuzhou, Guangxi 545007, P.R. China, Department of Pneumology, The Fourth Hospital of Guangxi Medical University, Liuzhou, Guangxi 545007, P.R. China
    Copyright: © Shang et al. This is an open access article distributed under the terms of Creative Commons Attribution License.
  • Article Number: 190
    |
    Published online on: February 19, 2025
       https://doi.org/10.3892/ol.2025.14936
  • Expand metrics +
Metrics: Total Views: 0 (Spandidos Publications: | PMC Statistics: )
Metrics: Total PDF Downloads: 0 (Spandidos Publications: | PMC Statistics: )
Cited By (CrossRef): 0 citations Loading Articles...

This article is mentioned in:



Abstract

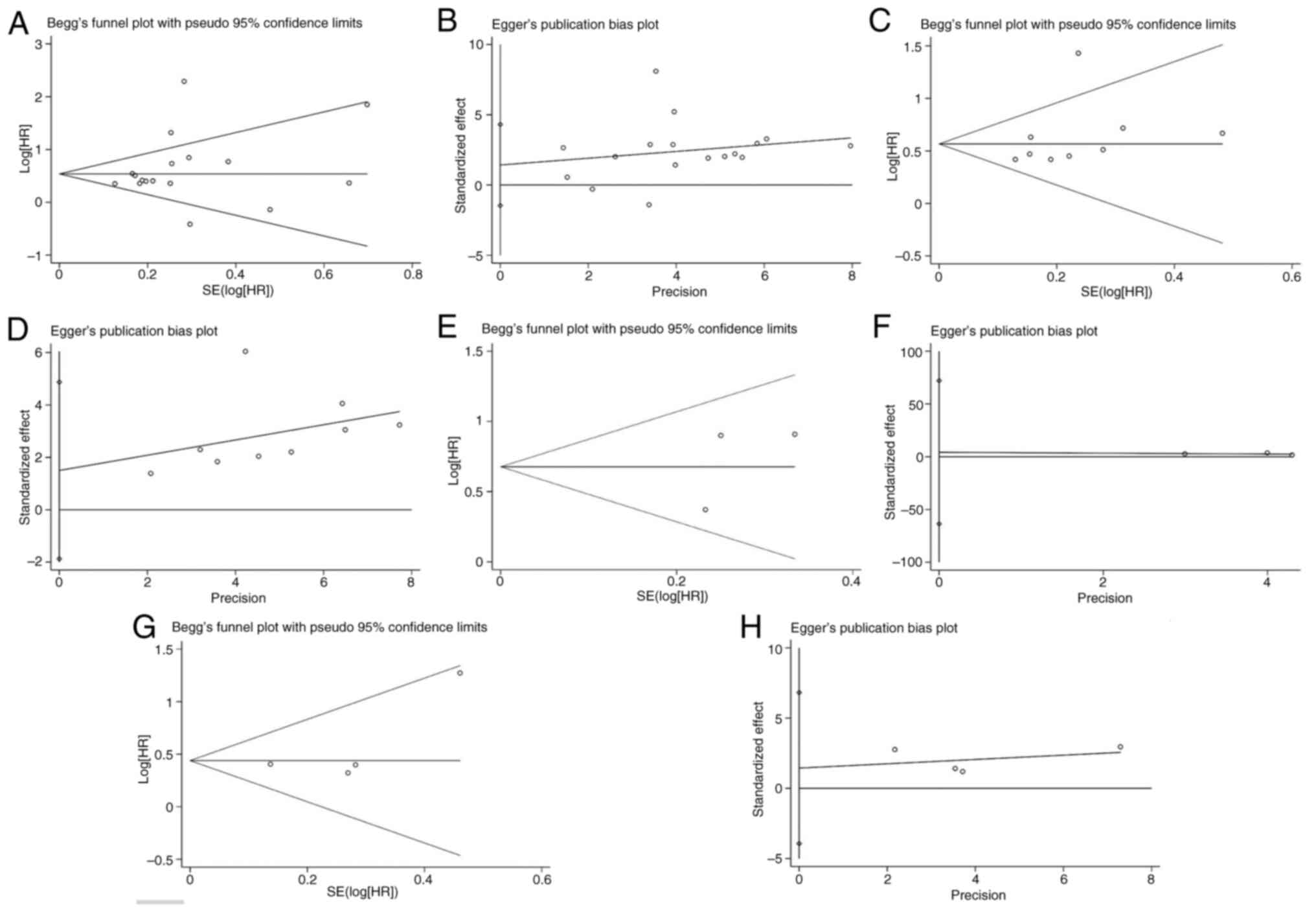
The tumor‑stroma ratio (TSR) has been regarded as an important factor associated with tumor metastasis, based on the ‘seed and soil’ theory, which may have guiding significance for the selection of chemotherapy regimens. Therefore, a high TSR may be a new risk factor for tumor recurrence in patients with stage II colorectal cancer (CRC). The present study aimed to evaluate the prognostic value of TSR in CRC, especially for the computer‑calculated TSR. A comprehensive literature retrieval was performed using the PubMed, Web of Science, Embase and Cochrane Library databases to identify relevant studies published up to December 13, 2023. Pooled hazard ratios (HRs) with 95% confidence intervals (CIs) were calculated to estimate the prognostic value of the TSR in CRC. A total of 21 studies published between 2007 and 2023 were included in the present meta‑analysis. The combined analysis demonstrated that a high TSR was significantly associated with worse overall survival (OS; HR=1.84; 95% CI, 1.44‑2.34; P<0.001), disease‑free survival (DFS; HR=1.85; 95% CI, 1.27‑2.68; P<0.001), cancer‑specific survival (CSS; H=1.97; 95% CI, 1.46‑2.65; P<0.001) and recurrence free survival (RFS; HR=1.55; 95% CI, 1.25‑1.92; P<0.001) in patients with CRC. Moreover, an elevated computer‑calculated TSR was also associated with poor OS (HR=1.89; 95% CI, 1.48‑2.40; P<0.001) and DFS (HR=1.85; 95% CI, 1.27‑2.68; P<0.001). However, a high TSR was not associated with poor OS in patients with stage I CRC (HR=1.01; 95% CI, 0.48‑2.14; P=0.97). In conclusion, the results of the present meta‑analysis indicate that a high TSR is associated with poor OS, DFS, CSS and RFS in patients with CRC, especially for those with stage II‑III. In addition, TSR calculated by computer using whole‑slide images may also be an effective prognostic marker for OS and DFS in patients with CRC.
View Figures

Figure 1

Figure 2

Figure 3

Figure 4

View References

1 

Jiao S, Li C, Hao Q, Miao H, Zhang L, Li L and Zhou Z: VGLL4 targets a TCF4-TEAD4 complex to coregulate Wnt and Hippo signalling in colorectal cancer. Nat Commun. 8:140582017. View Article : Google Scholar : PubMed/NCBI

2 

Araghi M, Soerjomataram I, Jenkins M, Brierley J, Morris E, Bray F and Arnold M: Global trends in colorectal cancer mortality: Projections to the year 2035. Int J Cancer. 144:2992–3000. 2019. View Article : Google Scholar : PubMed/NCBI

3 

Yang K, Gao K, Hu G, Wen Y, Lin C and Li X: CTGF enhances resistance to 5-FU-mediating cell apoptosis through FAK/MEK/ERK signal pathway in colorectal cancer. Onco Targets Ther. 9:7285–7295. 2016. View Article : Google Scholar : PubMed/NCBI

4 

Crawford N, Salvucci M, Hellwig CT, Lincoln FA, Mooney RE, O'Connor CL, Prehn JH, Longley DB and Rehm M: Simulating and predicting cellular and in vivo responses of colon cancer to combined treatment with chemotherapy and IAP antagonist Birinapant/TL32711. Cell Death Differ. 25:1952–1466. 2018. View Article : Google Scholar : PubMed/NCBI

5 

Benson AB, Venook AP, Al-Hawary MM, Arain MA, Chen YJ, Ciombor KK, Cohen S, Cooper HS, Deming D, Farkas L, et al: Colon Cancer, Version 2.2021, NCCN clinical practice guidelines in oncology. J Natl Compr Canc Netw. 19:329–359. 2021. View Article : Google Scholar : PubMed/NCBI

6 

Langley RR and Fidler IJ: The seed and soil hypothesis revisited-the role of tumor-stroma interactions in metastasis to different organs. Int J Cancer. 128:2527–2535. 2011. View Article : Google Scholar : PubMed/NCBI

7 

Pietras K and Ostman A: Hallmarks of cancer: Interactions with the tumor stroma. Exp Cell Res. 316:1324–1331. 2010. View Article : Google Scholar : PubMed/NCBI

8 

Quail DF and Joyce JA: Microenvironmental regulation of tumor progression and metastasis. Nat Med. 19:1423–1437. 2013. View Article : Google Scholar : PubMed/NCBI

9 

Dang H, van Pelt GW, Haasnoot KJC, Backes Y, Elias SG, Seerden TCJ, Schwartz MP, Spanier BWM, de Vos Tot Nederveen Cappel WH, van Bergeijk JD, et al: Tumour-stroma ratio has poor prognostic value in non-pedunculated T1 colorectal cancer: A multi-centre case-cohort study. United European Gastroenterol J. 9:20506406209753242020.PubMed/NCBI

10 

Zhao Z, Zhang X, Li Z, Gao Y, Guan X, Jiang Z, Liu Z, Yang M, Chen H, Ma X, et al: Automated assessment of DNA ploidy, chromatin organization, and stroma fraction to predict prognosis and adjuvant therapy response in patients with stage II colorectal carcinoma. Am J Cancer Res. 11:6119–6132. 2021.PubMed/NCBI

11 

Zhang R, Song W, Wang K and Zou S: Tumor-stroma ratio (TSR) as a potential novel predictor of prognosis in digestive system cancers: A meta-analysis. Clin Chim Acta. 472:64–68. 2017. View Article : Google Scholar : PubMed/NCBI

12 

Geessink OGF, Baidoshvili A, Klaase JM, Ehteshami Bejnordi B, Litjens GJS, van Pelt GW, Mesker WE, Nagtegaal ID, Ciompi F and van der Laak JAWM: Computer aided quantification of intratumoral stroma yields an independent prognosticator in rectal cancer. Cell Oncol (Dordr). 42:331–341. 2019. View Article : Google Scholar : PubMed/NCBI

13 

Moher D, Shamseer L, Clarke M, Ghersi D, Liberati A, Petticrew M, Shekelle P and Stewart LA; PRISMA-P Group, : Preferred reporting items for systematic review and meta-analysis protocols (PRISMA-P) 2015 statement. Syst Rev. 4:12015. View Article : Google Scholar : PubMed/NCBI

14 

Parmar MK, Torri V and Stewart L: Extracting summary statistics to perform meta-analyses of the published literature for survival endpoints. Stat Med. 17:2815–2834. 1998. View Article : Google Scholar : PubMed/NCBI

15 

Jayaraj R, Kumarasamy C, Sabarimurugan S and Baxi S: Diagnostic and prognostic value of microRNAs for cancers-strategies and approaches to improve the clinical utility. J Cancer. 10:1252–1253. 2019. View Article : Google Scholar : PubMed/NCBI

16 

DerSimonian R and Laird N: Meta-analysis in clinical trials. Control Clin Trials. 7:177–188. 1986. View Article : Google Scholar : PubMed/NCBI

17 

Aboelnasr LS, El-Rebey HS, Mohamed A and Abdou AG: The prognostic impact of tumor border configuration, tumor budding and tumor stroma ratio in colorectal carcinoma. Turk Patoloji Derg. 39:83–93. 2023.PubMed/NCBI

18 

Fan S, Cui X and Zheng L: Prognostic value of desmoplastic stromal reaction, tumor budding and tumor-stroma ratio in stage II colorectal cancer. J Gastrointest Oncol. 13:2903–2921. 2022. View Article : Google Scholar : PubMed/NCBI

19 

Fu M, Chen D, Luo F, Li M, Wang Y, Chen J, Li A and Liu S: Association of the tumour stroma percentage in the preoperative biopsies with lymph node metastasis in colorectal cancer. Br J Cancer. 122:388–396. 2020. View Article : Google Scholar : PubMed/NCBI

20 

Huijbers A, Tollenaar RA, v Pelt GW, Zeestraten EC, Dutton S, McConkey CC, Domingo E, Smit VT, Midgley R, Warren BF, et al: The proportion of tumor-stroma as a strong prognosticator for stage II and III colon cancer patients: Validation in the VICTOR trial. Ann Oncol. 24:179–185. 2013. View Article : Google Scholar : PubMed/NCBI

21 

Huijbers A, van Pelt GW, Kerr RS, Johnstone EC, Tollenaar RAEM, Kerr DJ and Mesker WE: The value of additional bevacizumab in patients with high-risk stroma-high colon cancer. A study within the QUASAR2 trial, an open-label randomized phase 3 trial. J Surg Oncol. 117:1043–1048. 2018. View Article : Google Scholar : PubMed/NCBI

22 

Hynes SO, Coleman HG, Kelly PJ, Irwin S, O'Neill RF, Gray RT, McGready C, Dunne PD, McQuaid S, James JA, et al: Back to the future: Routine morphological assessment of the tumour microenvironment is prognostic in stage II/III colon cancer in a large population-based study. Histopathology. 71:12–26. 2017. View Article : Google Scholar : PubMed/NCBI

23 

Li T, Yu Z, Yang Y, Fu Z, Chen Z, Li Q, Zhang K, Luo Z, Qiu Z and Huang C: Rapid multi-dynamic algorithm for gray image analysis of the stroma percentage on colorectal cancer. J Cancer. 12:4561–4573. 2021. View Article : Google Scholar : PubMed/NCBI

24 

Li Y, Liao L, Kong L, Jiang W, Tang J, Han K, Hou Z, Zhang C, Zhou C, Zhang L, et al: DNA ploidy and stroma predicted the risk of recurrence in low-risk stage III colorectal cancer. Clin Transl Oncol. 25:218–225. 2023. View Article : Google Scholar : PubMed/NCBI

25 

Mesker WE, Junggeburt JM, Szuhai K, de Heer P, Morreau H, Tanke HJ and Tollenaar RA: The carcinoma-stromal ratio of colon carcinoma is an independent factor for survival compared to lymph node status and tumor stage. Cell Oncol. 29:387–398. 2007.PubMed/NCBI

26 

Miller S, Bauer S, Schrempf M, Schenkirsch G, Probst A, Märkl B and Martin B: Semiautomatic analysis of tumor proportion in colon cancer: Lessons from a validation study. Pathol Res Pract. 227:1536342021. View Article : Google Scholar : PubMed/NCBI

27 

Park JH, McMillan DC, Edwards J, Horgan PG and Roxburgh CS: Comparison of the prognostic value of measures of the tumor inflammatory cell infiltrate and tumor-associated stroma in patients with primary operable colorectal cancer. Oncoimmunology. 5:e10988012016. View Article : Google Scholar : PubMed/NCBI

28 

Sandberg TP, Sweere I, van Pelt GW, Putter H, Vermeulen L, Kuppen PJ, Tollenaar RAEM and Mesker WE: Prognostic value of low CDX2 expression in colorectal cancers with a high stromal content-a short report. Cell Oncol (Dordr). 42:397–403. 2019. View Article : Google Scholar : PubMed/NCBI

29 

Smit MA, van Pelt GW, Terpstra V, Putter H, Tollenaar RAEM, Mesker WE and van Krieken JHJM: Tumour-stroma ratio outperforms tumour budding as biomarker in colon cancer: A cohort study. Int J Colorectal Dis. 36:2729–2737. 2021. View Article : Google Scholar : PubMed/NCBI

30 

Vogelaar FJ, van Pelt GW, van Leeuwen AM, Willems JM, Tollenaar RA, Liefers GJ and Mesker WE: Are disseminated tumor cells in bone marrow and tumor-stroma ratio clinically applicable for patients undergoing surgical resection of primary colorectal cancer? The Leiden MRD study. Cell Oncol (Dordr). 39:537–544. 2016. View Article : Google Scholar : PubMed/NCBI

31 

Zengin M: Tumour budding and tumour stroma ratio are reliable predictors for death and recurrence in elderly stage I colon cancer patients. Pathol Res Pract. 215:1526352019. View Article : Google Scholar : PubMed/NCBI

32 

Zhang Y, Liu Y, Qiu X and Yan B: Concurrent comparison of the prognostic values of tumor budding, tumor stroma ratio, tumor infiltrating pattern and Lymphocyte-to-Monocyte ratio in colorectal cancer patients. Technol Cancer Res Treat. 20:153303382110458262021. View Article : Google Scholar : PubMed/NCBI

33 

Zhao K, Li Z, Yao S, Wang Y, Wu X, Xu Z, Wu L, Huang Y, Liang C and Liu Z: Artificial intelligence quantified tumour-stroma ratio is an independent predictor for overall survival in resectable colorectal cancer. EBioMedicine. 61:1030542020. View Article : Google Scholar : PubMed/NCBI

34 

Zunder SM, van Pelt GW, Gelderblom HJ, Mancao C, Putter H, Tollenaar RA and Mesker WE: Predictive potential of tumour-stroma ratio on benefit from adjuvant bevacizumab in high-risk stage II and stage III colon cancer. Br J Cancer. 119:164–169. 2018. View Article : Google Scholar : PubMed/NCBI

35 

van Pelt GW, Kjær-Frifeldt S, van Krieken JHJM, Al Dieri R, Morreau H, Tollenaar RAEM, Sørensen FB and Mesker WE: Scoring the tumor-stroma ratio in colon cancer: Procedure and recommendations. Virchows Arch. 473:405–412. 2018. View Article : Google Scholar : PubMed/NCBI

36 

Ehteshami Bejnordi B, Veta M, Johannes van Diest P, van Ginneken B, Karssemeijer N, Litjens G, van der Laak JAWM; the CAMELYON16 Consortium, ; Hermsen M, Manson QF, et al: diagnostic assessment of deep learning algorithms for detection of lymph node metastases in women with breast cancer. JAMA. 318:2199–2210. 2017. View Article : Google Scholar : PubMed/NCBI

37 

Wang M, Zhao J, Zhang L, Wei F, Lian Y, Wu Y, Gong Z, Zhang S, Zhou J, Cao K, et al: Role of tumor microenvironment in tumorigenesis. J Cancer. 8:761–773. 2017. View Article : Google Scholar : PubMed/NCBI

38 

Elinav E, Nowarski R, Thaiss CA, Hu B, Jin C and Flavell RA: Inflammation-induced cancer: Crosstalk between tumours, immune cells and microorganisms. Nat Rev Cancer. 13:759–771. 2013. View Article : Google Scholar : PubMed/NCBI

39 

Arneth B: Tumor Microenvironment. Medicina (Kaunas). 56:152019. View Article : Google Scholar : PubMed/NCBI

40 

Almangush A, Alabi RO, Troiano G, Coletta RD, Salo T, Pirinen M, Mäkitie AA and Leivo I: Clinical significance of tumor-stroma ratio in head and neck cancer: A systematic review and meta-analysis. BMC Cancer. 21:4802021. View Article : Google Scholar : PubMed/NCBI

41 

Jiang P, Chen Y and Liu B: Prognostic efficacy of tumor-stroma ratio in women with breast cancer: A Meta-analysis of cohort studies. Front Oncol. 11:7314092021. View Article : Google Scholar : PubMed/NCBI

42 

Zhang X, Ma H, Zhang L and Li F: Predictive role of Tumor-stroma ratio for survival of patients with Non-small cell lung cancer: A Meta-analysis. Pathol Oncol Res. 27:16100212021. View Article : Google Scholar : PubMed/NCBI

43 

Zhu Y, Jin Z, Qian Y, Shen Y and Wang Z: Prognostic value of tumor-stroma ratio in rectal cancer: A systematic review and Meta-analysis. Front Oncol. 11:6855702021. View Article : Google Scholar : PubMed/NCBI

44 

Gao J, Shen Z, Deng Z and Mei L: Impact of Tumor-stroma ratio on the prognosis of colorectal cancer: A systematic review. Front Oncol. 11:7380802021. View Article : Google Scholar : PubMed/NCBI

45 

Sullivan L, Pacheco RR, Kmeid M, Chen A and Lee H: Tumor stroma ratio and its significance in locally advanced colorectal cancer. Curr Oncol. 29:3232–3241. 2022. View Article : Google Scholar : PubMed/NCBI

Related Articles

  • Abstract
  • View
  • Download
  • Twitter
Copy and paste a formatted citation
Spandidos Publications style
Shang A, Yu P, Li L, He G and Xu J: Tumor‑stroma ratio as a clinical prognostic factor in colorectal carcinoma: A meta‑analysis of 7,934 patients. Oncol Lett 29: 190, 2025.
APA
Shang, A., Yu, P., Li, L., He, G., & Xu, J. (2025). Tumor‑stroma ratio as a clinical prognostic factor in colorectal carcinoma: A meta‑analysis of 7,934 patients. Oncology Letters, 29, 190. https://doi.org/10.3892/ol.2025.14936
MLA
Shang, A., Yu, P., Li, L., He, G., Xu, J."Tumor‑stroma ratio as a clinical prognostic factor in colorectal carcinoma: A meta‑analysis of 7,934 patients". Oncology Letters 29.4 (2025): 190.
Chicago
Shang, A., Yu, P., Li, L., He, G., Xu, J."Tumor‑stroma ratio as a clinical prognostic factor in colorectal carcinoma: A meta‑analysis of 7,934 patients". Oncology Letters 29, no. 4 (2025): 190. https://doi.org/10.3892/ol.2025.14936
Copy and paste a formatted citation
x
Spandidos Publications style
Shang A, Yu P, Li L, He G and Xu J: Tumor‑stroma ratio as a clinical prognostic factor in colorectal carcinoma: A meta‑analysis of 7,934 patients. Oncol Lett 29: 190, 2025.
APA
Shang, A., Yu, P., Li, L., He, G., & Xu, J. (2025). Tumor‑stroma ratio as a clinical prognostic factor in colorectal carcinoma: A meta‑analysis of 7,934 patients. Oncology Letters, 29, 190. https://doi.org/10.3892/ol.2025.14936
MLA
Shang, A., Yu, P., Li, L., He, G., Xu, J."Tumor‑stroma ratio as a clinical prognostic factor in colorectal carcinoma: A meta‑analysis of 7,934 patients". Oncology Letters 29.4 (2025): 190.
Chicago
Shang, A., Yu, P., Li, L., He, G., Xu, J."Tumor‑stroma ratio as a clinical prognostic factor in colorectal carcinoma: A meta‑analysis of 7,934 patients". Oncology Letters 29, no. 4 (2025): 190. https://doi.org/10.3892/ol.2025.14936
Follow us
  • Twitter
  • LinkedIn
  • Facebook
About
  • Spandidos Publications
  • Careers
  • Cookie Policy
  • Privacy Policy
How can we help?
  • Help
  • Live Chat
  • Contact
  • Email to our Support Team