Spandidos Publications Logo
  • About
    • About Spandidos
    • Aims and Scopes
    • Abstracting and Indexing
    • Editorial Policies
    • Reprints and Permissions
    • Job Opportunities
    • Terms and Conditions
    • Contact
  • Journals
    • All Journals
    • Oncology Letters
      • Oncology Letters
      • Information for Authors
      • Editorial Policies
      • Editorial Board
      • Aims and Scope
      • Abstracting and Indexing
      • Bibliographic Information
      • Archive
    • International Journal of Oncology
      • International Journal of Oncology
      • Information for Authors
      • Editorial Policies
      • Editorial Board
      • Aims and Scope
      • Abstracting and Indexing
      • Bibliographic Information
      • Archive
    • Molecular and Clinical Oncology
      • Molecular and Clinical Oncology
      • Information for Authors
      • Editorial Policies
      • Editorial Board
      • Aims and Scope
      • Abstracting and Indexing
      • Bibliographic Information
      • Archive
    • Experimental and Therapeutic Medicine
      • Experimental and Therapeutic Medicine
      • Information for Authors
      • Editorial Policies
      • Editorial Board
      • Aims and Scope
      • Abstracting and Indexing
      • Bibliographic Information
      • Archive
    • International Journal of Molecular Medicine
      • International Journal of Molecular Medicine
      • Information for Authors
      • Editorial Policies
      • Editorial Board
      • Aims and Scope
      • Abstracting and Indexing
      • Bibliographic Information
      • Archive
    • Biomedical Reports
      • Biomedical Reports
      • Information for Authors
      • Editorial Policies
      • Editorial Board
      • Aims and Scope
      • Abstracting and Indexing
      • Bibliographic Information
      • Archive
    • Oncology Reports
      • Oncology Reports
      • Information for Authors
      • Editorial Policies
      • Editorial Board
      • Aims and Scope
      • Abstracting and Indexing
      • Bibliographic Information
      • Archive
    • Molecular Medicine Reports
      • Molecular Medicine Reports
      • Information for Authors
      • Editorial Policies
      • Editorial Board
      • Aims and Scope
      • Abstracting and Indexing
      • Bibliographic Information
      • Archive
    • World Academy of Sciences Journal
      • World Academy of Sciences Journal
      • Information for Authors
      • Editorial Policies
      • Editorial Board
      • Aims and Scope
      • Abstracting and Indexing
      • Bibliographic Information
      • Archive
    • International Journal of Functional Nutrition
      • International Journal of Functional Nutrition
      • Information for Authors
      • Editorial Policies
      • Editorial Board
      • Aims and Scope
      • Abstracting and Indexing
      • Bibliographic Information
      • Archive
    • International Journal of Epigenetics
      • International Journal of Epigenetics
      • Information for Authors
      • Editorial Policies
      • Editorial Board
      • Aims and Scope
      • Abstracting and Indexing
      • Bibliographic Information
      • Archive
    • Medicine International
      • Medicine International
      • Information for Authors
      • Editorial Policies
      • Editorial Board
      • Aims and Scope
      • Abstracting and Indexing
      • Bibliographic Information
      • Archive
  • Articles
  • Information
    • Information for Authors
    • Information for Reviewers
    • Information for Librarians
    • Information for Advertisers
    • Conferences
  • Language Editing
Spandidos Publications Logo
  • About
    • About Spandidos
    • Aims and Scopes
    • Abstracting and Indexing
    • Editorial Policies
    • Reprints and Permissions
    • Job Opportunities
    • Terms and Conditions
    • Contact
  • Journals
    • All Journals
    • Biomedical Reports
      • Information for Authors
      • Editorial Policies
      • Editorial Board
      • Aims and Scope
      • Abstracting and Indexing
      • Bibliographic Information
      • Archive
    • Experimental and Therapeutic Medicine
      • Information for Authors
      • Editorial Policies
      • Editorial Board
      • Aims and Scope
      • Abstracting and Indexing
      • Bibliographic Information
      • Archive
    • International Journal of Epigenetics
      • Information for Authors
      • Editorial Policies
      • Editorial Board
      • Aims and Scope
      • Abstracting and Indexing
      • Bibliographic Information
      • Archive
    • International Journal of Functional Nutrition
      • Information for Authors
      • Editorial Policies
      • Editorial Board
      • Aims and Scope
      • Abstracting and Indexing
      • Bibliographic Information
      • Archive
    • International Journal of Molecular Medicine
      • Information for Authors
      • Editorial Policies
      • Editorial Board
      • Aims and Scope
      • Abstracting and Indexing
      • Bibliographic Information
      • Archive
    • International Journal of Oncology
      • Information for Authors
      • Editorial Policies
      • Editorial Board
      • Aims and Scope
      • Abstracting and Indexing
      • Bibliographic Information
      • Archive
    • Medicine International
      • Information for Authors
      • Editorial Policies
      • Editorial Board
      • Aims and Scope
      • Abstracting and Indexing
      • Bibliographic Information
      • Archive
    • Molecular and Clinical Oncology
      • Information for Authors
      • Editorial Policies
      • Editorial Board
      • Aims and Scope
      • Abstracting and Indexing
      • Bibliographic Information
      • Archive
    • Molecular Medicine Reports
      • Information for Authors
      • Editorial Policies
      • Editorial Board
      • Aims and Scope
      • Abstracting and Indexing
      • Bibliographic Information
      • Archive
    • Oncology Letters
      • Information for Authors
      • Editorial Policies
      • Editorial Board
      • Aims and Scope
      • Abstracting and Indexing
      • Bibliographic Information
      • Archive
    • Oncology Reports
      • Information for Authors
      • Editorial Policies
      • Editorial Board
      • Aims and Scope
      • Abstracting and Indexing
      • Bibliographic Information
      • Archive
    • World Academy of Sciences Journal
      • Information for Authors
      • Editorial Policies
      • Editorial Board
      • Aims and Scope
      • Abstracting and Indexing
      • Bibliographic Information
      • Archive
  • Articles
  • Information
    • For Authors
    • For Reviewers
    • For Librarians
    • For Advertisers
    • Conferences
  • Language Editing
Login Register Submit
  • This site uses cookies
  • You can change your cookie settings at any time by following the instructions in our Cookie Policy. To find out more, you may read our Privacy Policy.

    I agree
Search articles by DOI, keyword, author or affiliation
Search
Advanced Search
presentation
Oncology Letters
Join Editorial Board Propose a Special Issue
Print ISSN: 1792-1074 Online ISSN: 1792-1082
Journal Cover
May-2025 Volume 29 Issue 5

Full Size Image

Sign up for eToc alerts
Recommend to Library

Journals

International Journal of Molecular Medicine

International Journal of Molecular Medicine

International Journal of Molecular Medicine is an international journal devoted to molecular mechanisms of human disease.

International Journal of Oncology

International Journal of Oncology

International Journal of Oncology is an international journal devoted to oncology research and cancer treatment.

Molecular Medicine Reports

Molecular Medicine Reports

Covers molecular medicine topics such as pharmacology, pathology, genetics, neuroscience, infectious diseases, molecular cardiology, and molecular surgery.

Oncology Reports

Oncology Reports

Oncology Reports is an international journal devoted to fundamental and applied research in Oncology.

Experimental and Therapeutic Medicine

Experimental and Therapeutic Medicine

Experimental and Therapeutic Medicine is an international journal devoted to laboratory and clinical medicine.

Oncology Letters

Oncology Letters

Oncology Letters is an international journal devoted to Experimental and Clinical Oncology.

Biomedical Reports

Biomedical Reports

Explores a wide range of biological and medical fields, including pharmacology, genetics, microbiology, neuroscience, and molecular cardiology.

Molecular and Clinical Oncology

Molecular and Clinical Oncology

International journal addressing all aspects of oncology research, from tumorigenesis and oncogenes to chemotherapy and metastasis.

World Academy of Sciences Journal

World Academy of Sciences Journal

Multidisciplinary open-access journal spanning biochemistry, genetics, neuroscience, environmental health, and synthetic biology.

International Journal of Functional Nutrition

International Journal of Functional Nutrition

Open-access journal combining biochemistry, pharmacology, immunology, and genetics to advance health through functional nutrition.

International Journal of Epigenetics

International Journal of Epigenetics

Publishes open-access research on using epigenetics to advance understanding and treatment of human disease.

Medicine International

Medicine International

An International Open Access Journal Devoted to General Medicine.

Journal Cover
May-2025 Volume 29 Issue 5

Full Size Image

Sign up for eToc alerts
Recommend to Library

  • Article
  • Citations
    • Cite This Article
    • Download Citation
    • Create Citation Alert
    • Remove Citation Alert
    • Cited By
  • Similar Articles
    • Related Articles (in Spandidos Publications)
    • Similar Articles (Google Scholar)
    • Similar Articles (PubMed)
  • Download PDF
  • Download XML
  • View XML
Article Open Access

Development and application of an early warning model for predicting early mortality following stent placement in malignant biliary obstruction: A comparative analysis of logistic regression and artificial neural network approaches

  • Authors:
    • Yongxin Ma
    • Jiaojiao Qi
    • Xusheng Zhang
    • Kejun Liu
    • Yimin Liu
    • Xuehai Yu
    • Yang Bu
    • Bendong Chen
  • View Affiliations / Copyright

    Affiliations: Department of Hepatobiliary Surgery, General Hospital of Ningxia Medical University, Yinchuan, Ningxia 750004, P.R. China, Department of Obstetrics Function Center Inspection, General Hospital of Ningxia Medical University, Yinchuan, Ningxia 750004, P.R. China, Department of Hepatobiliary Surgery, First Clinical College of Medicine, Ningxia Medical University, Yinchuan, Ningxia 750004, P.R. China, Department of Pediatric Surgery, General Hospital of Ningxia Medical University, Yinchuan, Ningxia 750004, P.R. China
    Copyright: © Ma et al. This is an open access article distributed under the terms of Creative Commons Attribution License.
  • Article Number: 237
    |
    Published online on: March 20, 2025
       https://doi.org/10.3892/ol.2025.14983
  • Expand metrics +
Metrics: Total Views: 0 (Spandidos Publications: | PMC Statistics: )
Metrics: Total PDF Downloads: 0 (Spandidos Publications: | PMC Statistics: )
Cited By (CrossRef): 0 citations Loading Articles...

This article is mentioned in:



Abstract

Patients with malignant biliary obstruction (MBO) are often treated with endoscopic retrograde cholangiopancreatography (ERCP) combined with biliary stent placement for tumor progression. However, certain patients die within 30 days after the procedure, increasing healthcare resource consumption and patient burden. Therefore, the development of early mortality prediction models is important for optimizing treatment decisions. The present study retrospectively analyzed the clinical data of 285 patients with MBO, including demographic information, laboratory indicators and tumor‑related factors. Logistic regression and artificial neural network (ANN) models were used to construct a prediction tool, and the model performance was evaluated using area under the curve (AUC), accuracy, sensitivity and specificity. The logistic regression model, which identified the cancer antigen 19‑9 (CA19‑9) level and a history of previous ERCP surgery as independent risk factors, had an AUC of 0.727 and an accuracy of 65.0%. The ANN model, which combined five variables, namely CA19‑9, history of previous ERCP surgery, neutrophil‑lymphocyte ratio (NLR), liver metastasis and carcinoembryonic antigen, demonstrated that NLR was the most weighted predictor. Furthermore, the ANN model had an AUC of 0.813, an accuracy of 88.2% and a specificity that was markedly higher than that of the logistic regression model (95.5 vs. 83.3%). However, the ANN model was revealed to be slightly less sensitive compared with the logistic regression model (61.1 vs. 61.2%). In conclusion, compared with logistic regression, the ANN model had a greater performance level in terms of predictive power and specificity, and is suitable for capturing complex non‑linear relationships. However, its complexity and risk of overfitting need to be further optimized. The present study provides a new tool for the accurate prediction of the risk of early death after ERCP in patients with MBO, which could help improve individualized treatment strategies.

Introduction

Malignant biliary obstruction (MBO) is a spectrum of disorders in which malignant tumors cause narrowing of the bile ducts, thereby affecting bile excretion. Common causes include cholangiocarcinoma, gallbladder cancer, pancreatic cancer, bladder cancer and metastatic tumors. However, this disease usually progresses insidiously, resulting in >80% of patients being ineligible for radical surgery at the time of diagnosis (1,2). Therefore, endoscopic retrograde cholangiopancreatography (ERCP) combined with biliary stenting has become the treatment of choice for patients with MBO who cannot undergo radical surgery. This approach is favored for its minimally invasive nature, high success rate and good patient tolerability (3,4). However, a study in the United Kingdom reported an early mortality rate of 19.1% within 30 days after ERCP, with ahigher rate of 25.3% in patients with severe biliary obstruction (5,6). In patients with early mortality within 30 days postoperatively, the main purpose of ERCP stent implantation is to ensure biliary patency and drainage. In such cases, the placement of plastic stents is sufficient to guarantee the continuation of the life of the patient, and the advantages of metal stents in terms of duration of use and patency are null and void, whereas their high cost imposes a significant financial burden on the patient and the healthcare system (7). Therefore, it is urgent to predict the risk of early postoperative mortality and to select clinical protocols based on the expected survival time of patients with MBO.

Currently, most studies on early death within 30 days after ERCP in patients with MBO have focused on the analysis of risk factors associated with postoperative death (6,8), whilst modeling studies aimed at predicting early death within 30 days after ERCP in patients with MBO are scarce. This makes it difficult to effectively predict the risk of early postoperative death with preoperative data and to screen high-risk patients with preoperative information. Kalaitzakis (9) predicted the risk of early death within 30 days after ERCP in patients with biliary obstruction by analyzing demographic characteristics, mode of admission and comorbidities; however, the study included patients with benign biliary obstruction. Zhu et al (10) reported that factors such as distant metastasis, total bilirubin level, post-ERCP complications and successful drainage were associated with early death within 30 days after ERCP in patients with MBO; however, the exploration of the general condition of the patients and tumor-related factors was not comprehensive. Furthermore, most of these studies were limited to a small number of laboratory indicators, and their predictive ability still needs to be further validated and evaluated. To achieve accurate early warning of early death within 30 days after surgery, new early warning models need to be constructed and validated based on more comprehensive preoperative data, including laboratory indicators, tumor-related factors and the general health status of patients.

It is currently common practice to use traditional statistical methods, such as logistic regression, to build simple and easy-to-use predictive models. However, as patients with MBO may have multiple tumor types, which results in increased complexity of features and possible correlations among features, traditional statistical methods may not be able to effectively address this complexity (11,12). By contrast, an artificial neural network (ANN), as an advanced machine learning technique, can learn the relationship between complex features and outcomes from a large amount of heterogeneous data (13), which provides new ideas and strong support for the establishment of clinical prediction models.

Therefore, the present study aimed to assess the potential clinical predictors of death within 30 days after ERCP in patients with MBO using comprehensive clinical data and construct a visualized prediction model. Furthermore, the present study aimed to build a simple ANN model to evaluate its predictive ability and compare it with the traditional model to verify the advantages and disadvantages of the performance of both in clinical applications.

Materials and methods

Patient selection

A total of 625 patients, diagnosed with MBO through imaging and/or pathology and treated with ERCP combined with biliary stenting at the Department of Hepatobiliary Surgery in the General Hospital of Ningxia Medical University (Yinchuan, China) between January 2018 and September 2021, were included in the present study. After excluding 340 patients, a total of 285 patients were included. The specific study procedure and patient selection are outlined in Fig. 1. Prior to surgery, all patients provided written informed consent for the procedure. The study was approved by the Ethics Committee of the General Hospital of Ningxia Medical University (approval no. KYLL-2023-0450). The inclusion criteria were as follows: i) Age of >18 years; ii) sufficient evidence (imaging and pathology) to diagnose MBO; and iii) inability to perform surgical resection of the lesion due to lesion progression, metastasis and poor general condition. The exclusion criteria were as follows: i) Serious infection or organ failure before surgery; ii) Eastern Cooperative Oncology Group (ECOG) score of 4 (14); iii) received other antitumor treatment within 1 month after surgery, such as percutaneous transhepatic cholangial drainage or endoscopic ultrasound-guided biliary stenting (except symptomatic supportive treatment); iv) incomplete clinical data; v) other surgery within 30 days after surgery; and vi) other accidental death due to non-disease causes (such as from traffic accidents or suicide).

Figure 1.

Flowchart of the model test for predicting the occurrence of early death within 30 days after ERCP combined with biliary stenting. ERCP, endoscopic retrograde cholangiopancreatography; MBO, malignant biliary obstruction; ANN, artificial neural network.

Data collection

The data collected included several clinical characteristics of the patients. Demographic information, such as age, sex and body mass index, was recorded. General information, such as liver function Child-Pugh classification (15), ECOG score, history of previous ERCP, history of abdominal surgery and history of gallstones, was also documented. Laboratory markers, including white blood cell count, hemoglobin, total bilirubin, direct bilirubin, albumin and glucose levels, neutrophil-lymphocyte ratio count (NLR), cancer antigen 19-9 (CA19-9), carcinoembryonic antigen (CEA), alanine aminotransferase, aspartate aminotransferase, lactate dehydrogenase and alkaline phosphatase levels, and prothrombin time, were measured and recorded. Other indicators, such as the length and location of the obstruction, presence of biliary infection, presence of liver metastasis, presence of abdominal lymph node metastasis, presence of distant metastasis and type of stent used, were also documented. Surgical time was categorized as <30 and ≥30 min based on previous studies (16,17). In the present study, due to the limitation of the number of cases, obstruction was categorized according to the location of the obstruction, with high biliary obstruction considered as above the site of the confluence of the cystic duct and common bile duct, and low biliary obstruction considered as below it (18). Obstruction length was determined using intraoperative ERCP angiography.

The data collection process was performed retrospectively, ensuring that all relevant clinical information was recorded accurately and comprehensively. This comprehensive dataset allowed for a thorough analysis of the potential risk factors associated with early death after ERCP in patients with MBO.

ERCP method of operation

A thorough preoperative laboratory and examination was performed to rule out contraindications to ERCP. CT and MRI were performed to assess the location of the tumor, the degree of invasion and the type of bile duct stricture. The intraoperative decision to perform a sphincterotomy of Oddi was based on the difficulty of intubation. Stents were selected based on observations of the location and extent of the stricture, and the internal diameter of the bile duct. In certain patients with high MBO obstruction, pathological sampling and stenting were performed under direct vision using the Spyglass transoral choledochoscope fiberoptic direct vision system (Olympus, Corp.). Postoperatively, the patients were treated with primary care, acid and enzyme suppression, prophylactic anti-infectives and other symptomatic supportive therapy.

Study endpoints and related definitions

According to the relevant literature, early deaths are defined as those occurring within 30 days following ERCP (6,19). Therefore, the endpoint event of the present study was to determine whether early death occurred in patients with MBO after undergoing ERCP combined with biliary stent placement. Patient death was primarily due to disease progression or disease-related events, excluding accidental deaths unrelated to the underlying condition (such as traffic accidents or suicides).

Statistical analysis

Statistical analyses were performed using SPSS 26.0 software (IBM Corp.) and the R language package (4.1.3; R Package for Statistical Computing; www.r-project.org). Data are presented as median (interquartile range) or n (%). The unpaired Student's t-test or the Mann-Whitney U test were used for continuous variables, and Pearson's χ2 test or Fisher's exact test were used for categorical data. Univariate analysis was used in the training group to screen for potential risk factors associated with 30-day mortality, P<0.05 was considered to indicate a statistically significant difference.

Potential risk factors identified in a multifactorial analysis were included in the logistic regression model, which was constructed using independent risk factors, with P<0.05. The odds ratio (OR) and 95% confidence interval (CI) for the predictors were calculated, and the model was visualized using a column-line graph based on the logistic results. Furthermore, the ‘Neural Network’ module in SPSS 26.0 software was used to construct the ‘Multilayer Perceptron’ ANN model. The model had three layers: Input layer, hidden layer and output layer. The covariates were rescaled using a standardized method. The activation function of the hidden layer was the hyperbolic tangent function; the training type was batch training; the optimization algorithm chose conjugate gradient; the initial sigma was set to 0.00005; the interval offset was ±0.5; the maximum training time was set to 15 min; the minimum relative change of training error was 0.0001; the minimum relative change of the training error rate was 0.001; and the output layer used the softmax function and the error function used cross-entropy. As training progressed, the neural network model gradually increased the accuracy of its correlation weight coefficients, and when the training was complete, the ANN was constructed.

In the present study, the predictive ability of the logistic and ANN models was comprehensively assessed, validated and compared through different indicators, including area under the curve (AUC) with 95% confidence interval (CI), accuracy, sensitivity and specificity. AUC is a key indicator for assessing the discriminative ability of a model; it can be used to reflect the overall discriminative ability of a model for positive and negative samples by plotting receiver operator characteristic (ROC) curves. Moreover, the 95% CIs of AUC values demonstrate the statistical reliability of the results and can assess the stability and significance of the model performance. Accuracy is an important indicator for assessing the correct classification of the model, which can evaluate the overall performance of the dataset. Sensitivity measures the ability of the model to detect positive cases, which can be used to assess the model's ability to recognize positive cases and helps assess the model's false-negative rate, and specificity reflects the ability of the model to correctly identify the negative cases, which helps to assess the misdiagnosis rate of the model. These metrics comprehensively evaluate the performance of the model from multiple dimensions, such as overall performance, positive case detection ability and negative case exclusion ability, respectively. Therefore, these indicators of AUC with 95% CI, accuracy, sensitivity and specificity can be used to compare the predictive performance of logistic regression models and ANN models, and to clarify their respective advantages and disadvantages, to more comprehensively guide the selection in practical applications.

Results

Baseline characteristics

The 285 patients who were included in the present study were randomized into a training group (n=200) and a validation group (n=85). A total of 155 patients were male and 130 were female, with ages ranging from 35-90 years. The distribution of cancer types was as follows: Cholangiocarcinoma, n=95; gallbladder carcinoma, n=12; pancreatic carcinoma, n=58; hepatocellular carcinomas involving the first hepatic hilar, n=28; pancreatic carcinoma, n=39; and metastatic carcinoma, n=53. The incidence of early postoperative death was 20.0% (57/285). Of these cases, 39 occurred in the training group and 18 in the validation group. Analysis of the case records revealed that the causes of death were progressive malignant disease in 32 cases, cholangitis in 17 cases, acute liver failure in 5 cases, gastrointestinal hemorrhage in 1 case, cardiac arrest in 1 case and acute pulmonary edema in 1 case. No statistically significant differences were demonstrated between the modeling and validation groups for any of the assessed characteristics. The data for the characteristics of each group are presented in Table I.

Table I.

Characteristics of the patients in the training and validation groups.

Table I.

Characteristics of the patients in the training and validation groups.

VariableTraining group (n=200)Validation group (n=85) χ2/ZP-value
Sex
  Male108 (54.0)47 (55.3)0.040.841
  Female92 (46.0)38 (44.7)
Age, years72.0 (64.0–78.0)73.0 (67.5–79.0)−0.9460.344
BMI, kg/m222.0 (20.3–24.6)22.2 (21.5–23.3)−0.4460.655
Infections
  Yes51 (25.5)28 (32.9)1.6480.199
  No149 (74.5)57 (67.1)
Death
  Yes39 (19.5)18 (21.2)0.1050.746
  No161 (80.5)67 (78.8)
Ascites
  Yes24 (12.0)6 (7.1)1.5460.214
  No176 (88.0)79 (92.9)
History of ERCP
  Yes61 (30.5)27 (31.8)0.0450.833
  No139 (69.5)58 (68.2)
History of abdominal surgery
  Yes49 (24.5)14 (16.5)2.2330.135
  No151 (75.5)71 (83.5)
Liver metastasis
  Yes34 (17.0)8 (9.4)2.7340.098
  No166 (83.0)77 (90.6)
Lymph node metastases
  Yes34 (17.0)10 (11.8)1.2520.263
  No166 (83.0)75 (88.2)
Distant metastasis
  Yes12 (6.0)3 (3.5)0.3290.567
  No188 (94.0)82 (96.5)
ECOG score
  07 (3.5)4 (4.7)−0.1320.895
  145 (22.5)18 (21.2)
  2104 (52.0)43 (50.6)
  344 (22.0)20 (23.5)
Child-Pugh class
  A15 (7.5)13 (15.3)−1.1660.224
  B172 (86.0)65 (76.5)
  C13 (6.5)7 (8.2)
Type of malignancy
  Gallbladder cancer8 (4.0)4 (4.7)0.5470.990
  Cholangiocarcinoma67 (33.5)28 (32.9)
  Pancreatic cancer41 (20.5)17 (20.0)
  Liver cancer21 (10.5)7 (8.2)
  Ampullary cancer27 (13.5)12 (14.1)
  Metastatic cancer36 (18.0)17 (20.0)
Obstruction site
  High obstruction78 (39.0)38 (44.7)0.8050.370
  Low obstruction122 (61.0)47 (55.3)
Obstruction length, mm21.0 (11.2–31.8)20.0 (13.0–31.0)−0.3850.700
Stent type
  Plastic stent32 (16.0)13 (15.3)1.5870.662
  Metal stent36 (18.0)17 (20.0)
  Metal + nasobiliary drainage48 (24.0)15 (17.6)
  Nasal biliary drainage84 (42.0)40 (47.1)
CA19-9
  ≥240 U/ml103 (51.5)41 (48.2)0.2540.614
  <240 U/ml97 (48.5)44 (51.8)
CEA
  ≥5 ng/ml76 (38.0)25 (29.4)1.9230.166
  <5 ng/ml124 (62.0)60 (70.6)
WBC, ×109/l6.4 (5.0–7.7)6.5 (5.5–8.1)−1.3790.168
NLR3.9 (2.6–5.8)4.4 (2.4–6.1)−0.7900.429
HGB, g/l125.0 (111.0–135.0)124.0 (108.5–134.5)−0.5260.599
TBIL, µmol/l198.3 (93.2–296.3)189.0 (67.5–307.0)−0.5950.552
DBIL, µmol/l102.5 (27.8–181.6)103.0 (14.0–187.5)−0.1370.891
ALB, g/l33.4 (30.0–37.1)32.6 (29.3–36.9)−0.8880.374
ALT, U/l124.8 (69.8–192.3)125.0 (68.9–204)−0.0160.987
AST, U/l112.0 (58.6–205.1)109.0 (60.8–200.5)−0.1500.881
LDH, U/l485.0 (375.0–648.0)471.0 (367.0–617.0)−0.7780.436
ALP, U/l341.3 (230.2–541.0)314.0 (205.5–624.5)−0.0950.924
PT, sec12.3 (11.3–13.2)12.6 (11.4–13.7)−1.5820.114

[i] Measurement data are expressed as median (interquartile range) and count data are expressed as n (%). BMI, body mass index; ERCP, endoscopic retrograde cholangiopancreatography; ECOG, Eastern Cooperative Oncology Group; CA19-9, cancer antigen 19-9; CEA, carcinoembryonic antigen; WBC, white blood cell count; NLR, neutrophil-lymphocyte ratio count; HGB, hemoglobin; TBIL, total bilirubin; DBIL, direct bilirubin; ALB, albumin; ALT, alanine aminotransferase; AST, aspartate aminotransferase; LDH, lactate dehydrogenase; ALP, alkaline phosphatase; PT, prothrombin time.

Risk factor analysis for early death

The results of univariate analysis in the training group revealed five potential risk factors associated with the risk of 30-day post-ERCP mortality in patients with MBO. These factors included a history of previous ERCP surgery, CA19-9 levels, CEA levels, liver metastasis and NLR (Table II). CA19-9 levels ranged from 2 U/ml to 1,200 U/ml, and for the purpose of statistical analysis, the optimal cutoff value of 240 U/ml was determined based on the maximum Jordon index (20). This value was then categorized into high and low levels (Fig. 2) and transformed into a binary variable. Similarly, the range of values for CEA was also wide, and the upper limit of the normal value (4.7 ng/ml) was used as the cutoff value. To simplify the statistical analysis, a cutoff value of 5 ng/ml was used, transforming it into a dichotomous variable.

Figure 2.

Receiver operating characteristic, AUC and optimal cut-off values of CA19-9 for predicting 30-day mortality. According to the maximum Youden index, the optimal cut-off value of CA19-9 is 238.850 U/ml, which is equal to ~240 U/ml for simplified statistics (20). AUC, area under the curve; CI confidence interval; CA19-9, cancer antigen 19-9; FPR, false positive rate; TPR, true positive rate.

Table II.

Univariate analysis of 30-day mortality-related risk factors.

Table II.

Univariate analysis of 30-day mortality-related risk factors.

VariableDied within 30 days (n=39)No death within 30 days (n=161) χ2/ZP-value
Sex
  Male22 (56.4)86 (53.4)0.1130.736
  Female17 (43.6)75 (46.6)
Age, years75.0 (67.0–78.0)72.0 (64.0–78.0)−1.2730.203
BMI, kg/m221.9 (19.6–24.5)22.4 (20.6–24.7)−0.7850.433
Infections
  Yes11 (28.2)40 (24.8)0.1870.666
  No28 (71.8)121 (75.2)
Ascites
  Yes4 (10.3)20 (12.4)0.1390.709
  No35 (89.7)141 (87.6)
History of ERCP
  Yes19 (48.7)42 (26.1)7.5850.006
  No20 (51.3)119 (73.9)
History of abdominal surgery
  Yes9 (23.1)40 (24.8)0.0530.818
  No30 (76.9)121 (75.2)
Liver metastasis
  Yes11 (28.2)23 (14.3)4.3110.038
  No28 (71.8)138 (85.7)
Lymph node metastases
  Yes9 (23.1)25 (15.5)1.2680.260
  No30 (76.9)136 (84.5)
Distant metastasis
  Yes4 (10.3)8 (5.0)0.7420.389
  No35 (89.7)153 (95.0)
ECOG score
  01 (2.6)6 (3.7)−0.9230.356
  17 (17.9)38 (23.6)
  221 (53.8)83 (51.6)
  310 (25.6)34 (21.1)
Child-Pugh class
  A1 (2.6)14 (8.7)−0.6680.504
  B36 (92.3)136 (84.5)
  C2 (5.1)11 (6.8)
Type of malignancy
  Gallbladder cancer0 (0.0)8 (5.0)7.2180.205
  Cholangiocarcinoma10 (25.6)57 (35.4)
  Pancreatic cancer12 (30.8)29 (18.0)
  Liver cancer5 (12.8)16 (9.9)
  Ampullary cancer6 (15.4)21 (13.0)
  Metastatic carcer6 (15.4)30 (18.6)
Obstruction site
  High obstruction15 (38.5)63 (39.1)0.0060.939
  Low obstruction24 (61.5)98 (60.9)
Obstruction length, mm23.0 (15.0–35.0)21.0 (11.0–31.5)−1.0140.311
Stent type
  Plastic stent6 (15.4)31 (19.3)5.7360.125
  Metal stent8 (20.5)28 (14.7)
  Metal stent and nasobiliary drainage14 (35.9)32 (19.9)
  Nasal biliary drainage11 (28.2)70 (43.5)
CA19-9
  ≥240 U/ml30 (76.9)73 (45.3)12.536<0.001
  <240 U/ml9 (23.1)88 (54.7)
CEA
  ≥5 ng/ml21 (53.8)55 (34.2)5.1630.023
  <5 ng/ml18 (46.2)106 (65.8)
WBC, ×109/l7.0 (5.3–8.5)6.2 (5.0–7.6)−1.9120.056
NLR5.9 (4.2–8.9)3.5 (2.4–5.0)−4.655<0.001
HGB, g/l124.0 (111.0–140.0)125.0 (111.0–134.5)−0.2950.768
TBIL, µmol/l203.0 (72.8–267.0)194.5 (97.5–305.2)−0.5440.586
DBIL, µmol/l121.0 (74.8–163.7)86.9 (14.7–185.1)−1.5730.116
ALB, g/l32.5(28.9–35)33.6 (30.0–37.3)−1.2210.222
ALT, U/l 133.3(98.5–193.0)114.0 (67.3–192.0)−1.2380.216
AST, U/l120.2 (73.0–195.0)111.0 (54.9–206.6)−0.6830.495
LDH, U/l527.0 (346.0–690.0)471.0 (375.0–644.0)−0.7910.429
ALP, U/l401.3 (265.7–536.0)328.0 (220.1–544.9)−0.9370.349
PT, sec12.4 (11.6–13.1)12.1 (11.3–13.3)−0.5780.563

[i] Measurement data are expressed as median (interquartile range) and count data are expressed as n (%). BMI, body mass index; ERCP, endoscopic retrograde cholangiopancreatography; ECOG, Eastern Cooperative Oncology Group; CA19-9, cancer antigen 19-9; CEA, carcinoembryonic antigen; WBC, white blood cell count; NLR, neutrophil-lymphocyte ratio count; HGB, hemoglobin; TBIL, total bilirubin; DBIL, direct bilirubin;, ALB, albumin; ALT, alanine aminotransferase; AST, aspartate aminotransferase; LDH, lactate dehydrogenase; ALP, alkaline phosphatase; PT, prothrombin time.

Logistic regression model

A total of two independent risk factors, ERCP history and CA 19-9 levels, were identified through multifactorial logistic regression analysis (Table III). A logistic regression model was then constructed: Y=Logit P=−3.899 + 1.690 × CA19-9 + 1.366 × ERCP history. To visualize the model, a nomogram was created (Fig. 3).

Figure 3.

Nomogram of logistic model predicting the risk of early death within 30 days after ERCP combined with biliary stenting. The upper scale is the score of each variable, and the total score of the two variables was obtained. The corresponding lower scale is the risk of early death within 30 days. ERCP, endoscopic retrograde cholangiopancreatography; CA19-9, cancer antigen 19-9.

Table III.

Multivariate logistic regression analysis.

Table III.

Multivariate logistic regression analysis.

VariableßSEWaldP-valueExp(B)95% CI
CA19-91.6900.45713.685<0.0015.4172.213–13.259
History of ERCP1.3660.43010.0810.0013.9191.687–9.106
Liver metastasis0.7880.4792.7040.1002.2000.860–5.630
NLR0.0830.0443.5860.0581.0870.997–1.185
CEA0.7170.4093.0660.0802.0480.918–4.570
Constant−3.8990.56048.189<0.0010.020-

[i] CA19-9, cancer antigen 19-9; ERCP, endoscopic retrograde cholangiopancreatography; NLR, neutrophil-lymphocyte ratio count; CEA, carcinoembryonic antigen; SE, standard error; CI, confidence interval.

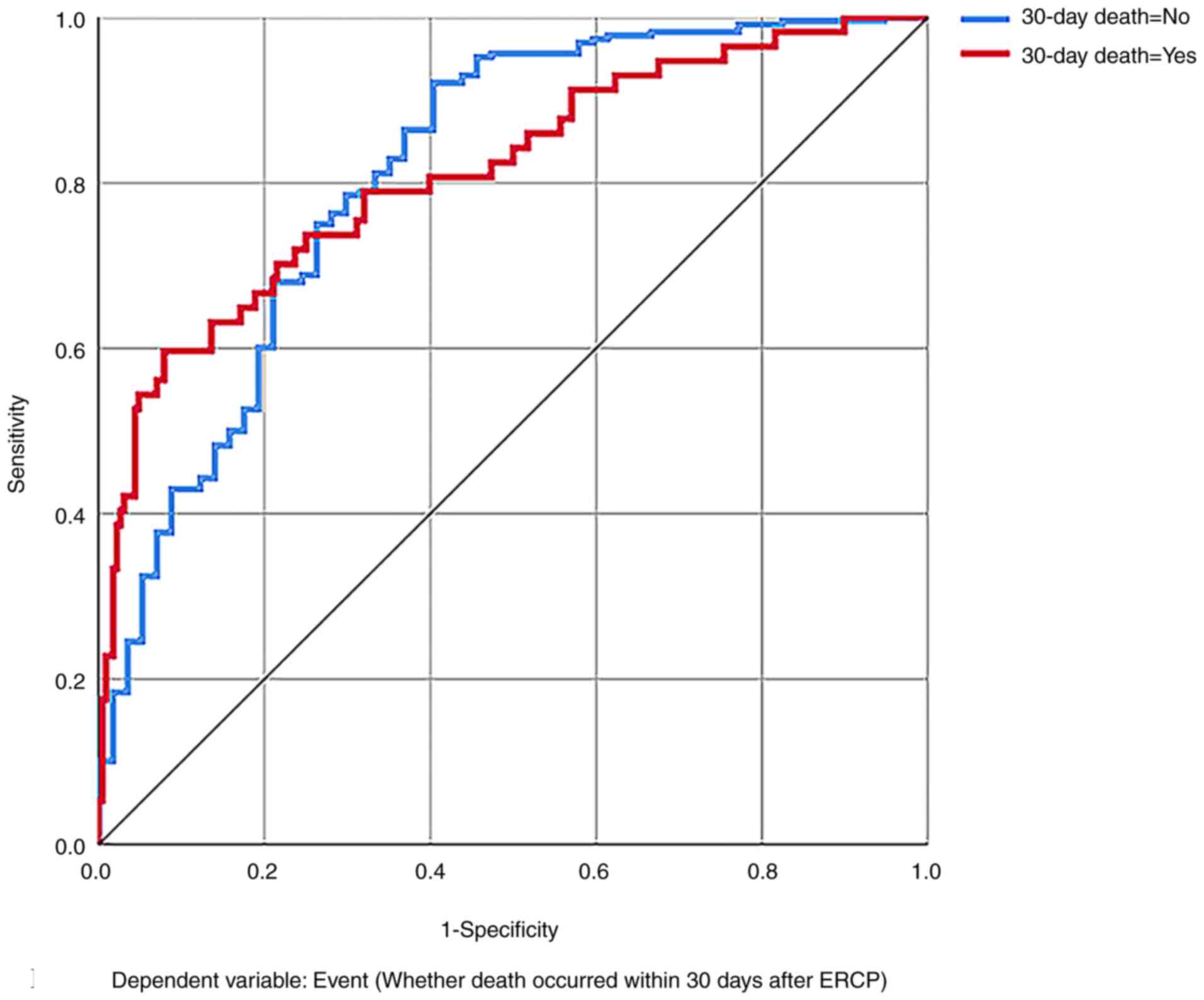
Logistic model calibration plots demonstrated no statistically significant difference between predicted and true values (Fig. 4). The Bootstrap method revealed a c-value of 0.727 for the training group and 0.761 for the validation group, and the Hosmer-Leme show test demonstrated a P-value of 0.934 for the training group and 0.915 for the validation group. Therefore, this indicated that the model had good prediction performance. Furthermore, the AUC values for each group determined using the ROC curves were 0.727 for the training group and 0.771 for the validation group (Fig. 5; Table IV).

Figure 4.

Calibration diagram of the logistic model predicting the risk of early death within 30 days after endoscopic retrograde cholangiopancreatography combined with biliary stenting. (A) Training group. (B) Verification group. The abscissa (x) represents the predicted value, the ordinate (y) represents the true value and the solid line (y=x) in the graph represents the ideal situation (the predicted value is the same as the true value).

Figure 5.

Receiver operating characteristic curves of the logistic model predicting the risk of early death within 30 days after endoscopic retrograde combined with biliary stenting in the training and validation groups. (A) Training group. (B) Validation group. AUC, area under the curve; CI confidence interval; FPR, false positive rate; TPR, true positive rate.

Table IV.

Prediction efficiency of the logistic model training and validation groups.

Table IV.

Prediction efficiency of the logistic model training and validation groups.

VariableTraining groupValidation group
Sensitivity, %54.761.2
Specificity, %76.983.3
Accuracy, %59.065.0
Area under the curve0.7270.771
ANN model

ANN models were constructed based on the five potential risk factors obtained from univariate analysis using samples from the training and validation groups. Among them, NLR was used as a covariate, and the remaining four variables were dichotomous, including CA19-9 level, CEA level, liver metastasis and history of ERCP surgery. The ANN model used in the present study was a multilayer perceptron ANN, including an input layer (five variables), an implicit layer and an output layer (dichotomous endings) (Fig. 6). Moreover, the ANN model had an AUC value of 0.813 (Fig. 7), and the degree of importance of the variables in the ANN model was expressed in terms of significance and standardized significance in descending order (Table V; Fig. 8). The prediction efficiency of the ANN model is presented in Table VI.

Figure 6.

Artificial neural network model for predicting the risk of early death occurring within 30 days after ERCP combined with biliary stenting. The first layer is the input layer, the second layer is the hidden layer, using the hyperbolic tangent function, and the third layer is the output layer, using the softmax function. The grey connection lines indicate a positive weight value, and the blue connection lines indicate a negative weight value. CA19-9, cancer antigen 19-9; ERCP, endoscopic retrograde cholangiopancreatography; LM, liver metastasis; CEA, carcinoembryonic antigen; NLR, neutrophil-to-lymphocyte ratio; H, hidden layer.

Figure 7.

Receiver operating characteristic curves of the artificial neural network model for predicting the risk of early death within 30 days after ERCP combined with biliary stenting. ERCP, endoscopic retrograde cholangiopancreatography; AUC, area under the curve.

Figure 8.

Importance of variables in the artificial neural network model for predicting the risk of early death within 30 days after ERCP combined with biliary stenting. ERCP, endoscopic retrograde cholangiopancreatography; NLR, neutrophil-to-lymphocyte ratio; CA19-9, cancer antigen 19-9; LM, liver metastasis; CEA, carcinoembryonic antigen.

Table V.

Importance of independent variables and normalization in the artificial neural network model.

Table V.

Importance of independent variables and normalization in the artificial neural network model.

VariableImportanceStandardized importance, %
CA19-90.21654.6
History of ERCP0.21554.5
Liver metastasis0.12631.9
CEA0.04712.0
NLR0.395100.0

[i] CA19-9, cancer antigen 19-9; ERCP, endoscopic retrograde cholangiopancreatography; NLR, neutrophil-lymphocyte ratio count; CEA, carcinoembryonic antigen.

Table VI.

Prediction efficiency of the artificial neural network model in the training and validation groups.

Table VI.

Prediction efficiency of the artificial neural network model in the training and validation groups.

A, Training group

Prediction

Actual measurement01Correctness, %
01511093.8
1192051.3
Overall, %85.015.085.5

B, Validation group

Prediction

Actual measurement01Correctness, %

064395.5
171161.1
Overall, %83.516.588.2

[i] Outcome event was whether the patient died within 30 days: 1, outcome event occurred; 0, outcome event did not occur.

Validation and comparison of models

The predictive performance of the logistic and ANN models was internally and externally validated in the training and validation groups, and the predictive abilities were compared (Table VII). The accuracy of the logistic model was 59.0 and 65.0% in the training and validation groups, respectively, and the accuracy of the ANN model was 85.5 and 88.2% in the training and validation groups, respectively. The latter was markedly higher than that of the logistic model, indicating that the ANN model had a stronger overall predictive ability. The sensitivity of the logistic model in the training and validation groups was 54.7 and 61.2% in the training and validation groups respectively, and the sensitivity of the ANN model was 51.3% in the training group and 61.1% in the validation group; therefore, the difference between the models was not notably different in the same group. However, the sensitivity of the ANN model was still slightly weaker, suggesting that it may have certain deficiencies in the capture of positive samples. Furthermore, the specificity of the logistic model was 76.9 and 83.3% in the training and validation groups, respectively, while the specificity of the ANN model was as high as 93.8 and 95.5% in the training and validation groups, respectively. This indicates that the ANN model has an improved predictive ability and a marked advantage in identifying negative samples.

Table VII.

Comparison of the prediction performance between the logistic and ANN models.

Table VII.

Comparison of the prediction performance between the logistic and ANN models.

A, Logistic model

GroupAccuracy, %Sensitivity, %Specificity, %
Training59.054.776.9
Validation65.061.283.3

B, ANN model

GroupAccuracy, %Sensitivity, %Specificity, %

Training85.551.393.8
Validation88.261.195.5

[i] ANN, artificial neural network.

Discussion

MBO is a group of diseases in which the bile duct is blocked or compressed by a malignant tumor, resulting in biliary stricture or obstruction of bile drainage. Currently, ERCP is the palliative treatment of choice for patients with MBO (5). ERCP treatment involves placement of biliary stents, and plastic and metal stents are common options. Studies have reported that there is no significant difference in the use of metal and plastic stents in the effectiveness of biliary drainage and risk of adverse events in patients who die within 30 days of ERCP treatment (21,22); however, plastic stents are more cost-effective, providing effective treatment and saving healthcare resources whilst reducing the economic burden on patients and society (8,23). Accurate prediction of prognosis after ERCP is of great importance for clinical decision support and appropriate treatment selection. Currently, there are few existing reports on predicting this risk in patients with MBO. Therefore, the aim of the present study was to construct a model to predict the risk of death within 30 days after ERCP combined with biliary stent placement in patients with MBO. The model utilized preoperative clinical data and employed both logistic and ANN models. The predictive ability of these two models was evaluated and compared.

In the present study, all indicators associated with the risk factors, including history of previous ERCP surgery, CA19-9 levels, CEA levels, liver metastasis and NLR, were easily available before the surgery. The logistic model was presented succinctly and intuitively through column-line graphs, whereas the ANN model appeared to be complex and inconvenient to use. In both the training and validation groups, the accuracy of the ANN model (85.5 and 88.2%, respectively) was notably higher than that of the logistic model (59.0 and 65.0%, respectively), suggesting that the ANN model had a stronger overall predictive ability. This may be attributed to the more complex structure and non-linear fitting ability of the ANN model, allowing it to capture deeper features in the data. However, it is important to note that ANN models may overfit the training data, which potentially reduces the generalization ability when dealing with new data (24). Sensitivity is an important measure of the ability of a model to recognize positive samples. The sensitivity of the logistic model in the training and validation groups was 54.7 and 61.2%, respectively, whilst the sensitivity of the ANN model was 51.3 and 61.1%, respectively. Despite the slight increase in the sensitivity of the ANN model in the validation group compared with the training group, the overall sensitivity of both models was low, especially the sensitivity of the ANN model, which was markedly lower than its specificity. This may indicate certain limitations in the performance of the ANN model in the case of an insufficient number of positive samples or a sample imbalance. This also suggests the necessity of further studies to be performed with large samples. The specificity of the ANN model reached 93.8 and 95.5% in the training and validation groups, respectively, which was notably higher than that of the logistic model (76.9 and 83.3%, respectively). This indicated that the high specificity of the ANN model provided a significant advantage in reducing misdiagnosis rates, making it more suitable compared with the logistic model for identifying patients who die within 30 days after ERCP. The AUC value of the ANN model was 0.813, which was higher than that of the logistic model (AUC, 0.727), indicating that the ANN model had an improved performance in distinguishing between positive and negative samples. The difference in the AUC values further supports the superiority of the ANN model in terms of its overall performance, especially when dealing with complex data structures.

In addition, the ability of the ANN model to assign weights to predictor variables could aid in the identification of variables among the numerous risk factors that have the greatest impact on outcome. This is important for predicting early death within 30 days after ERCP. Conversely, the logistic model could only account for the impact of changes within variables on outcome (25,26). For example, in the present study, the ANN model identified NLR as the most important factor in predicting the risk of death after ERCP in patients with MBO (with an importance of 0.395 and a standardized importance of 100.0%), but the logistic model could only account for the effect of risk factors on outcomes by considering the results of the model and the OR values for each indicator.

In summary, the ANN model in the present study generally outperformed the logistic model in terms of prediction performance. The ANN model had strong non-linear approximation ability and was suitable for solving non-linear problems (27); it could self-learn and adjust according to the degree of error deviation to select the best model. By contrast, the logistic model was more suitable for datasets with relatively simple features and strong linear correlation. Nevertheless, there are certain disadvantages of using ANN models. First, there is a risk of overfitting the model, which may lead to overconfident predictions (28). Secondly, ANN models tend to be more complex in clinical applications compared with logistic models, which are more convenient. However, Pergialiotis et al (29) reported that these issues can be addressed by large sample studies. Small datasets may not be applicable to large cohorts, but the reverse is also possible.

Based on multifactorial regression analysis, the logistic model incorporated two independent risk factors: CA19-9 and a history of ERCP surgery. ERCP combined with biliary stenting does not prevent tumor progression (30,31), and ERCP surgery disrupts the biliary mucosal defense system as well as the physiological barrier between the bile ducts and intestines, which makes it easier for bacteria to invade the biliary system and cause prolonged inflammatory irritation of the bile ducts. These factors may accelerate the progression and metastasis of malignant tumors and severely affect the prognosis (32–34). CA19-9 has been recognized as an important prognostic factor in several tumors, including gallbladder, bile duct, pancreatic and bladder cancer (35–37). The present study demonstrated that a CA19-9 level of ≥240 U/ml was an independent predictor of death within 30 days after ERCP in patients with MBO [OR (95% CI), 5.417 (2.213–13.259); P<0.001]. Other potential risk factors have also been reported as prognostic predictors for biliopancreas-related malignancies, including NLR, CEA and liver metastases (23,38,39). These potential risk factors were not selected into the logistic model after multifactorial regression analysis but were important predictive variables in the ANN model. ANN models can obtain enough information from a set of variables to construct a predictive model, as ANN algorithms can derive complex and abstract non-linear relationships from the variables (40). The NLR is regarded as an amplifier of the systemic inflammatory response (41,42). Neutrophils influence the activation and recruitment of inflammatory cells through cytokines and chemokines, which in turn affects the proliferation and metastasis of tumor cells (43,44). By contrast, lymphocytes monitor the tumor immune microenvironment and inhibit the maturation of tumor cells, and a decrease in the total number of lymphocytes in the blood often predicts a poor prognosis (41,45). Moreover, elevated CEA levels are a prognostic factor for poor survival in certain patients with advanced malignancies (46,47). The incidence of liver metastases also increases with decreasing pathological differentiation, especially in cases of malignant biliary obstruction, and it has been reported that the survival time of patients with liver metastasis in MBO is significantly shortened compared with those without liver metastasis (48,49).

There are several limitations of the present study. First, the data were all retrospective, which is less persuasive than prospective data. Second, the samples used were all from a single center, were limited in number and were not validated with data external to the model, which may limit the generalizability of the model. Therefore, caution must be exercised in applying the findings to a wider population. Third, there may be a certain degree of subjectivity in the assessment of certain predictor variables, such as abdominal pain and ECOG score. Fourth, the ANN model constructed in the present study is the simplest one and needs further optimization. Due to the ‘black box’ nature of the ANN model, its internal processes involve complex neuronal computations and parameter adjustments, making it difficult to describe the input-output mapping using simple rules. This can pose challenges in the practical interpretation and application of the model; therefore, future studies should construct a simple and easy-to-use software or tool to facilitate the use of the ANN model. To overcome these limitations, prospective, multicenter and large-sample studies would be beneficial. Such a study design could provide more robust and reliable results that would optimize the model and more accurately predict the risk of death within 30 days after ERCP in patients with MBO.

In conclusion, the present study constructed and compared the performance of logistic and ANN models in predicting the risk of death within 30 days after ERCP combined with biliary stent placement in patients with MBO. The ANN model outperformed the logistic model in terms of overall predictive ability, accuracy and specificity. The ANN model was able to efficiently capture the complex non-linear relationships in the data, highlight important predictors such as NLR, and provide more accurate early warning information for clinical decision-making. In the future, multi-center and large-sample prospective validation should be performed and simple and easy-to-use ANN model tools should be developed to further improve the generalization ability and operability of the model, which will be helpful for its wide application in clinical practice. Temporary alternative efficient and economical methods of biliary decompression should be recommended for high-risk patients who die within 30 days.

Acknowledgements

Not applicable.

Funding

The present study was supported by the ‘Optimization of degradation-controllable magnesium alloy microparticles and their synergistic TACE against hepatocellular carcinoma and its mechanism’ project (grant no. 2023SF13).

Availability of data and materials

The data generated in the present study may be requested from the corresponding author.

Authors' contributions

YM, JQ, XZ, KL, YL, XY, YB and BC contributed to the conception and design of the study. Material preparation, data collection and analysis were performed by YM, JQ and XZ. The first draft of the manuscript was written by YM. XY, KL and YL proposed amendments to the paper. YB and BC designed the study, provided guidance on manuscript writing, and contributed to its revision. YM and BC confirm the authenticity of all the raw data. All authors read and approved the final manuscript.

Ethics approval and consent to participate

The present study was approved by the Ethics Committee of the General Hospital of Ningxia Medical University (approval no. KYLL-2023-0450).

Patient consent for publication

Not applicable.

Competing interests

The authors declare that they have no competing interests.

References

1 

Termsinsuk P, Charatcharoenwitthaya P and Pausawasdi N: Development and validation of a 90-day mortality prediction model following endobiliary drainage in patients with unresectable malignant biliary obstruction. Front Oncol. 12:9223862022. View Article : Google Scholar : PubMed/NCBI

2 

Farani M, Saldi SRF, Maulahela H, Abdullah M, Syam AF and Makmum D: Survival, stent patency, and cost-effectiveness of plastic biliary stent versus metal biliary stent for palliation in malignant biliary obstruction in a developing country tertiary hospital. JGH Open. 5:959–965. 2021. View Article : Google Scholar : PubMed/NCBI

3 

Dar FS, Abbas Z, Ahmed I, Atique M, Aujla UI, Azeemuddin M, Aziz Z, Bhatti ABH, Bangash TA, Butt AS, et al: National guidelines for the diagnosis and treatment of hilar cholangiocarcinoma. World J Gastroenterol. 30:1018–1042. 2024. View Article : Google Scholar : PubMed/NCBI

4 

Drapek LC, Kerlan RK Jr and Acquisto S: Guidelines for biliary stents and drains. Chin Clin Oncol. 9:92020. View Article : Google Scholar : PubMed/NCBI

5 

Harvey PR, Baldwin S, Mytton J, Dosanjh A, Evison F, Patel P and Trudgill NJ: Higher volume providers are associated with improved outcomes following ERCP for the palliation of malignant biliary obstruction. EClinicalMedicine. 18:1002122020. View Article : Google Scholar : PubMed/NCBI

6 

On W, Saleem MA, Hegade VS, Huggett MT, Paranandi B and Everett SM: Factors predicting 30-day mortality after ERCP in patients with inoperable malignant hilar biliary obstruction: A single tertiary referral centre experience and systematic review. BMJ Open Gastroenterol. 9:e0008782022. View Article : Google Scholar : PubMed/NCBI

7 

Lam R and Muniraj T: Fully covered metal biliary stents: A review of the literature. World J Gastroenterol. 27:6357–6373. 2021. View Article : Google Scholar : PubMed/NCBI

8 

Lee TH, Moon JH and Park SH: Biliary stenting for hilar malignant biliary obstruction. Dig Endosc. 32:275–286. 2020. View Article : Google Scholar : PubMed/NCBI

9 

Kalaitzakis E: All-cause mortality after ERCP. Endoscopy. 48:987–994. 2016. View Article : Google Scholar : PubMed/NCBI

10 

Zhu Z, Hu K, Zhao F, Liu W, Zhou H, Zhu Z and Li H: Machine learning-based nomogram for 30-day mortality prediction for patients with unresectable malignant biliary obstruction after ERCP with metal stent: A retrospective observational cohort study. BMC Surg. 23:2602023. View Article : Google Scholar : PubMed/NCBI

11 

Luo Y, Tan H, Yu T, Tian J and Shi H: A novel artificial neural network prognostic model based on a cancer-associated fibroblast activation score system in hepatocellular carcinoma. Front Immunol. 13:9270412022. View Article : Google Scholar : PubMed/NCBI

12 

Rajula HSR, Verlato G, Manchia M, Antonucci N and Fanos V: Comparison of conventional statistical methods with machine learning in medicine: Diagnosis, drug development, and treatment. Medicina (Kaunas). 56:4552020. View Article : Google Scholar : PubMed/NCBI

13 

Ataei A, Deng J and Muhammad W: Liver cancer risk quantification through an artificial neural network based on personal health data. Acta Oncol. 62:495–502. 2023. View Article : Google Scholar : PubMed/NCBI

14 

Kitano R, Inoue T, Ibusuki M, Kobayashi Y, Ohashi T, Sumida Y, Nakade Y, Ito K and Yoneda M: Safety and efficacy of endoscopic retrograde cholangiopancreatography in patients with performance status 4. Dig Dis Sci. 66:1291–1296. 2021. View Article : Google Scholar : PubMed/NCBI

15 

Kumada T, Toyoda H, Tada T, Yasuda S and Tanaka J: Changes in background liver function in patients with hepatocellular carcinoma over 30 years: Comparison of child-pugh classification and albumin bilirubin grade. Liver Cancer. 9:518–528. 2020. View Article : Google Scholar : PubMed/NCBI

16 

Chan E, Neeman T and Thomson A: Follow-up to determine unplanned hospitalization and complications after endoscopic retrograde cholangiopancreatography. ANZ J Surg. 88:E142–E146. 2018. View Article : Google Scholar : PubMed/NCBI

17 

Teoh AYB, Napoleon B, Kunda R, Arcidiacono PG, Kongkam P, Larghi A, Van der Merwe S, Jacques J, Legros R, Thawee RE, et al: EUS-Guided Choledocho-duodenostomy using lumen apposing stent versus ERCP with covered metallic stents in patients with unresectable malignant distal biliary obstruction: A multicenter randomized controlled trial (DRA-MBO Trial). Gastroenterology. 165:473–482. e4722023. View Article : Google Scholar : PubMed/NCBI

18 

Fu Z, Song J, Pi Y, Sun X, Liu M, Xiao Z and Chen J: A risk prediction model for post-endoscopic retrograde cholangiopancreatography pancreatitis after stent insertion for malignant biliary obstruction: Development and validation. Dig Dis Sci. 68:1574–1584. 2023. View Article : Google Scholar : PubMed/NCBI

19 

Krill TS, Crain R, Al-Saadi Y, Stubbs S, Roark R, Chatila A, Haddad C, Kaushik C, Marcondes F, Guturu P and Parupudi S: Predictors of 30-day readmission after inpatient endoscopic retrograde cholangiopancreatography: A single-center experience. Dig Dis Sci. 65:1481–1488. 2020. View Article : Google Scholar : PubMed/NCBI

20 

Zhou HF, Lu J, Zhu HD, Guo JH, Huang M, Ji JS, Lv WF, Li YL, Xu H, Chen L, et al: Early warning models to estimate the 30-day mortality risk after stent placement for patients with malignant biliary obstruction. Cardiovasc Intervent Radiol. 42:1751–1759. 2019. View Article : Google Scholar : PubMed/NCBI

21 

Kanno Y, Koshita S, Ogawa T, Kusunose H, Masu K, Sakai T, Yonamine K, Miyamoto K, Murabayashi T, Kozakai F, et al: Inside plastic stents versus metal stents for treating unresectable malignant perihilar biliary obstructions: A retrospective comparative study. Clin Endosc. 53:735–742. 2020. View Article : Google Scholar : PubMed/NCBI

22 

Park CH, Park SW, Jung JH, Jung ES, Kim JH and Park DH: Comparative efficacy of various stents for palliation in patients with malignant extrahepatic biliary obstruction: A systematic review and network meta-analysis. J Pers Med. 11:862021. View Article : Google Scholar : PubMed/NCBI

23 

Gong M, Li Q, Xu Y and Fu Y: The evaluation of clinical status of endoscopic retrograde cholangiography for the placement of metal and plastic stents in cholangiocarcinoma therapy. Comput Math Methods Med. 2022:57414372022. View Article : Google Scholar : PubMed/NCBI

24 

Serghiou S and Rough K: Deep learning for epidemiologists: An introduction to neural networks. Am J Epidemiol. 192:1904–1916. 2023. View Article : Google Scholar : PubMed/NCBI

25 

Jiang H, Guo J, Li J, Li C, Du W, Canavese F, Baker C, Ying H and Hua J: Artificial neural network modeling to predict neonatal metabolic bone disease in the prenatal and postnatal periods. JAMA Netw Open. 6:e22518492023. View Article : Google Scholar : PubMed/NCBI

26 

Liu X, Wang X, Yu L, Hou Y, Jiang Y, Wang X, Han J and Yang Z: A novel prognostic score based on artificial intelligence in hepatocellular carcinoma: A long-term follow-up analysis. Front Oncol. 12:8178532022. View Article : Google Scholar : PubMed/NCBI

27 

Tu JV: Advantages and disadvantages of using artificial neural networks versus logistic regression for predicting medical outcomes. J Clin Epidemiol. 49:1225–1231. 1996. View Article : Google Scholar : PubMed/NCBI

28 

Cao B, Zhang KC, Wei B and Chen L: Status quo and future prospects of artificial neural network from the perspective of gastroenterologists. World J Gastroenterol. 27:2681–2709. 2021. View Article : Google Scholar : PubMed/NCBI

29 

Pergialiotis V, Pouliakis A, Parthenis C, Damaskou V, Chrelias C, Papantoniou N and Panayiotides I: The utility of artificial neural networks and classification and regression trees for the prediction of endometrial cancer in postmenopausal women. Public Health. 164:1–6. 2018. View Article : Google Scholar : PubMed/NCBI

30 

Canakis A and Sharaiha RZ: Radiofrequency ablation for pancreatobiliary disease: An updated review. Ann Gastroenterol. 36:497–503. 2023.PubMed/NCBI

31 

Nabi Z and Reddy DN: Endoscopic palliation for biliary and pancreatic malignancies: Recent advances. Clin Endosc. 52:226–234. 2019. View Article : Google Scholar : PubMed/NCBI

32 

Grein JD and Murthy RK: New developments in the prevention of gastrointestinal scope-related infections. Infect Dis Clin North Am. 32:899–913. 2018. View Article : Google Scholar : PubMed/NCBI

33 

Labib PL, Goodchild G and Pereira SP: Molecular pathogenesis of cholangiocarcinoma. BMC Cancer. 19:1852019. View Article : Google Scholar : PubMed/NCBI

34 

Özcan Ö and Arikan S: Determining the risk factors of complications due to endoscopic retrograde cholangiopancreatography. Cureus. 16:e516662024.PubMed/NCBI

35 

Agrawal S, Gupta A, Gupta S, Goyal B, Siddeek RAT, Rajput D, Chauhan U, Kishore S, Gupta M and Kant R: Role of carbohydrate antigen 19-9, carcinoembryonic antigen, and carbohydrate antigen 125 as the predictors of resectability and survival in the patients of carcinoma gall bladder. J Carcinog. 19:42020. View Article : Google Scholar : PubMed/NCBI

36 

Bekki Y, Von Ahrens D, Takahashi H, Schwartz M and Gunasekaran G: Recurrent intrahepatic cholangiocarcinoma-review. Front Oncol. 11:7768632021. View Article : Google Scholar : PubMed/NCBI

37 

Yang H, Li W, Ren L, Yang Y, Zhang Y, Ge B, Li S, Zheng X, Liu J, Zhang S, et al: Progress on diagnostic and prognostic markers of pancreatic cancer. Oncol Res. 31:83–99. 2023. View Article : Google Scholar : PubMed/NCBI

38 

Kubo S, Shinkawa H, Asaoka Y, Ioka T, Igaki H, Izumi N, Itoi T, Unno M, Ohtsuka M, Okusaka T, et al: liver cancer study group of japan clinical practice guidelines for intrahepatic cholangiocarcinoma. Liver Cancer. 11:290–314. 2022. View Article : Google Scholar : PubMed/NCBI

39 

Zhu J, Wang D, Liu C, Huang R, Gao F, Feng X, Lan T, Li H and Wu H: Development and validation of a new prognostic immune-inflammatory-nutritional score for predicting outcomes after curative resection for intrahepatic cholangiocarcinoma: A multicenter study. Front Immunol. 14:11655102023. View Article : Google Scholar : PubMed/NCBI

40 

Bai Z, Yin Y, Xu W, Cheng G and Qi X: Predictive model of in-hospital mortality in liver cirrhosis patients with hyponatremia: An artificial neural network approach. Sci Rep. 14:287192024. View Article : Google Scholar : PubMed/NCBI

41 

Li Y, Xu T and Wang X, Jia X, Ren M and Wang X: The prognostic utility of preoperative neutrophil-to-lymphocyte ratio (NLR) in patients with colorectal liver metastasis: A systematic review and meta-analysis. Cancer Cell Int. 23:392023. View Article : Google Scholar : PubMed/NCBI

42 

Saputra HM, Hidayatullah F, Kloping YP, Renaldo J, Chung E and Hakim L: Prognostic value of neutrophil-to-lymphocyte ratio (NLR) in penile cancer: A systematic review and meta-analysis. Ann Med Surg (Lond). 81:1043352022.PubMed/NCBI

43 

Buonacera A, Stancanelli B, Colaci M and Malatino L: Neutrophil to lymphocyte ratio: An emerging marker of the relationships between the immune system and diseases. Int J Mol Sci. 23:36362022. View Article : Google Scholar : PubMed/NCBI

44 

Wu L, Saxena S and Singh RK: Neutrophils in the tumor microenvironment. Adv Exp Med Biol. 1224:1–20. 2020. View Article : Google Scholar : PubMed/NCBI

45 

Mouchli M, Reddy S, Gerrard M, Boardman L and Rubio M: Usefulness of neutrophil-to-lymphocyte ratio (NLR) as a prognostic predictor after treatment of hepatocellular carcinoma. Review article. Ann Hepatol. 22:1002492021. View Article : Google Scholar : PubMed/NCBI

46 

Ney A, Garcia-Sampedro A, Goodchild G, Acedo P, Fusai G and Pereira SP: Biliary strictures and cholangiocarcinoma-untangling a diagnostic conundrum. Front Oncol. 11:6994012021. View Article : Google Scholar : PubMed/NCBI

47 

Tarighati E, Keivan H and Mahani H: A review of prognostic and predictive biomarkers in breast cancer. Clin Exp Med. 23:1–16. 2023.PubMed/NCBI

48 

Zu QQ, Zhang JX, Wang B, Ye W, Liu S and Shi HB: Percutaneous transpapillary biliary stent placement for distal malignant biliary obstruction: Outcomes and survival analysis. Turk J Gastroenterol. 30:714–721. 2019. View Article : Google Scholar : PubMed/NCBI

49 

Singh I, Chou JF, Capanu M, Park J, Yu KH, Varghese AM, Park W, Zervoudakis A, Keane F, Rolston VS, et al: Morbidity and mortality in patients with stage IV pancreatic adenocarcinoma and acute cholangitis: Outcomes and risk prognostication. Pancreatology. 24:608–615. 2024. View Article : Google Scholar : PubMed/NCBI

Related Articles

  • Abstract
  • View
  • Download
  • Twitter
Copy and paste a formatted citation
Spandidos Publications style
Ma Y, Qi J, Zhang X, Liu K, Liu Y, Yu X, Bu Y and Chen B: Development and application of an early warning model for predicting early mortality following stent placement in malignant biliary obstruction: A comparative analysis of logistic regression and artificial neural network approaches. Oncol Lett 29: 237, 2025.
APA
Ma, Y., Qi, J., Zhang, X., Liu, K., Liu, Y., Yu, X. ... Chen, B. (2025). Development and application of an early warning model for predicting early mortality following stent placement in malignant biliary obstruction: A comparative analysis of logistic regression and artificial neural network approaches. Oncology Letters, 29, 237. https://doi.org/10.3892/ol.2025.14983
MLA
Ma, Y., Qi, J., Zhang, X., Liu, K., Liu, Y., Yu, X., Bu, Y., Chen, B."Development and application of an early warning model for predicting early mortality following stent placement in malignant biliary obstruction: A comparative analysis of logistic regression and artificial neural network approaches". Oncology Letters 29.5 (2025): 237.
Chicago
Ma, Y., Qi, J., Zhang, X., Liu, K., Liu, Y., Yu, X., Bu, Y., Chen, B."Development and application of an early warning model for predicting early mortality following stent placement in malignant biliary obstruction: A comparative analysis of logistic regression and artificial neural network approaches". Oncology Letters 29, no. 5 (2025): 237. https://doi.org/10.3892/ol.2025.14983
Copy and paste a formatted citation
x
Spandidos Publications style
Ma Y, Qi J, Zhang X, Liu K, Liu Y, Yu X, Bu Y and Chen B: Development and application of an early warning model for predicting early mortality following stent placement in malignant biliary obstruction: A comparative analysis of logistic regression and artificial neural network approaches. Oncol Lett 29: 237, 2025.
APA
Ma, Y., Qi, J., Zhang, X., Liu, K., Liu, Y., Yu, X. ... Chen, B. (2025). Development and application of an early warning model for predicting early mortality following stent placement in malignant biliary obstruction: A comparative analysis of logistic regression and artificial neural network approaches. Oncology Letters, 29, 237. https://doi.org/10.3892/ol.2025.14983
MLA
Ma, Y., Qi, J., Zhang, X., Liu, K., Liu, Y., Yu, X., Bu, Y., Chen, B."Development and application of an early warning model for predicting early mortality following stent placement in malignant biliary obstruction: A comparative analysis of logistic regression and artificial neural network approaches". Oncology Letters 29.5 (2025): 237.
Chicago
Ma, Y., Qi, J., Zhang, X., Liu, K., Liu, Y., Yu, X., Bu, Y., Chen, B."Development and application of an early warning model for predicting early mortality following stent placement in malignant biliary obstruction: A comparative analysis of logistic regression and artificial neural network approaches". Oncology Letters 29, no. 5 (2025): 237. https://doi.org/10.3892/ol.2025.14983
Follow us
  • Twitter
  • LinkedIn
  • Facebook
About
  • Spandidos Publications
  • Careers
  • Cookie Policy
  • Privacy Policy
How can we help?
  • Help
  • Live Chat
  • Contact
  • Email to our Support Team