Spandidos Publications Logo
  • About
    • About Spandidos
    • Aims and Scopes
    • Abstracting and Indexing
    • Editorial Policies
    • Reprints and Permissions
    • Job Opportunities
    • Terms and Conditions
    • Contact
  • Journals
    • All Journals
    • Oncology Letters
      • Oncology Letters
      • Information for Authors
      • Editorial Policies
      • Editorial Board
      • Aims and Scope
      • Abstracting and Indexing
      • Bibliographic Information
      • Archive
    • International Journal of Oncology
      • International Journal of Oncology
      • Information for Authors
      • Editorial Policies
      • Editorial Board
      • Aims and Scope
      • Abstracting and Indexing
      • Bibliographic Information
      • Archive
    • Molecular and Clinical Oncology
      • Molecular and Clinical Oncology
      • Information for Authors
      • Editorial Policies
      • Editorial Board
      • Aims and Scope
      • Abstracting and Indexing
      • Bibliographic Information
      • Archive
    • Experimental and Therapeutic Medicine
      • Experimental and Therapeutic Medicine
      • Information for Authors
      • Editorial Policies
      • Editorial Board
      • Aims and Scope
      • Abstracting and Indexing
      • Bibliographic Information
      • Archive
    • International Journal of Molecular Medicine
      • International Journal of Molecular Medicine
      • Information for Authors
      • Editorial Policies
      • Editorial Board
      • Aims and Scope
      • Abstracting and Indexing
      • Bibliographic Information
      • Archive
    • Biomedical Reports
      • Biomedical Reports
      • Information for Authors
      • Editorial Policies
      • Editorial Board
      • Aims and Scope
      • Abstracting and Indexing
      • Bibliographic Information
      • Archive
    • Oncology Reports
      • Oncology Reports
      • Information for Authors
      • Editorial Policies
      • Editorial Board
      • Aims and Scope
      • Abstracting and Indexing
      • Bibliographic Information
      • Archive
    • Molecular Medicine Reports
      • Molecular Medicine Reports
      • Information for Authors
      • Editorial Policies
      • Editorial Board
      • Aims and Scope
      • Abstracting and Indexing
      • Bibliographic Information
      • Archive
    • World Academy of Sciences Journal
      • World Academy of Sciences Journal
      • Information for Authors
      • Editorial Policies
      • Editorial Board
      • Aims and Scope
      • Abstracting and Indexing
      • Bibliographic Information
      • Archive
    • International Journal of Functional Nutrition
      • International Journal of Functional Nutrition
      • Information for Authors
      • Editorial Policies
      • Editorial Board
      • Aims and Scope
      • Abstracting and Indexing
      • Bibliographic Information
      • Archive
    • International Journal of Epigenetics
      • International Journal of Epigenetics
      • Information for Authors
      • Editorial Policies
      • Editorial Board
      • Aims and Scope
      • Abstracting and Indexing
      • Bibliographic Information
      • Archive
    • Medicine International
      • Medicine International
      • Information for Authors
      • Editorial Policies
      • Editorial Board
      • Aims and Scope
      • Abstracting and Indexing
      • Bibliographic Information
      • Archive
  • Articles
  • Information
    • Information for Authors
    • Information for Reviewers
    • Information for Librarians
    • Information for Advertisers
    • Conferences
  • Language Editing
Spandidos Publications Logo
  • About
    • About Spandidos
    • Aims and Scopes
    • Abstracting and Indexing
    • Editorial Policies
    • Reprints and Permissions
    • Job Opportunities
    • Terms and Conditions
    • Contact
  • Journals
    • All Journals
    • Biomedical Reports
      • Information for Authors
      • Editorial Policies
      • Editorial Board
      • Aims and Scope
      • Abstracting and Indexing
      • Bibliographic Information
      • Archive
    • Experimental and Therapeutic Medicine
      • Information for Authors
      • Editorial Policies
      • Editorial Board
      • Aims and Scope
      • Abstracting and Indexing
      • Bibliographic Information
      • Archive
    • International Journal of Epigenetics
      • Information for Authors
      • Editorial Policies
      • Editorial Board
      • Aims and Scope
      • Abstracting and Indexing
      • Bibliographic Information
      • Archive
    • International Journal of Functional Nutrition
      • Information for Authors
      • Editorial Policies
      • Editorial Board
      • Aims and Scope
      • Abstracting and Indexing
      • Bibliographic Information
      • Archive
    • International Journal of Molecular Medicine
      • Information for Authors
      • Editorial Policies
      • Editorial Board
      • Aims and Scope
      • Abstracting and Indexing
      • Bibliographic Information
      • Archive
    • International Journal of Oncology
      • Information for Authors
      • Editorial Policies
      • Editorial Board
      • Aims and Scope
      • Abstracting and Indexing
      • Bibliographic Information
      • Archive
    • Medicine International
      • Information for Authors
      • Editorial Policies
      • Editorial Board
      • Aims and Scope
      • Abstracting and Indexing
      • Bibliographic Information
      • Archive
    • Molecular and Clinical Oncology
      • Information for Authors
      • Editorial Policies
      • Editorial Board
      • Aims and Scope
      • Abstracting and Indexing
      • Bibliographic Information
      • Archive
    • Molecular Medicine Reports
      • Information for Authors
      • Editorial Policies
      • Editorial Board
      • Aims and Scope
      • Abstracting and Indexing
      • Bibliographic Information
      • Archive
    • Oncology Letters
      • Information for Authors
      • Editorial Policies
      • Editorial Board
      • Aims and Scope
      • Abstracting and Indexing
      • Bibliographic Information
      • Archive
    • Oncology Reports
      • Information for Authors
      • Editorial Policies
      • Editorial Board
      • Aims and Scope
      • Abstracting and Indexing
      • Bibliographic Information
      • Archive
    • World Academy of Sciences Journal
      • Information for Authors
      • Editorial Policies
      • Editorial Board
      • Aims and Scope
      • Abstracting and Indexing
      • Bibliographic Information
      • Archive
  • Articles
  • Information
    • For Authors
    • For Reviewers
    • For Librarians
    • For Advertisers
    • Conferences
  • Language Editing
Login Register Submit
  • This site uses cookies
  • You can change your cookie settings at any time by following the instructions in our Cookie Policy. To find out more, you may read our Privacy Policy.

    I agree
Search articles by DOI, keyword, author or affiliation
Search
Advanced Search
presentation
Oncology Letters
Join Editorial Board Propose a Special Issue
Print ISSN: 1792-1074 Online ISSN: 1792-1082
Journal Cover
September-2025 Volume 30 Issue 3

Full Size Image

Sign up for eToc alerts
Recommend to Library

Journals

International Journal of Molecular Medicine

International Journal of Molecular Medicine

International Journal of Molecular Medicine is an international journal devoted to molecular mechanisms of human disease.

International Journal of Oncology

International Journal of Oncology

International Journal of Oncology is an international journal devoted to oncology research and cancer treatment.

Molecular Medicine Reports

Molecular Medicine Reports

Covers molecular medicine topics such as pharmacology, pathology, genetics, neuroscience, infectious diseases, molecular cardiology, and molecular surgery.

Oncology Reports

Oncology Reports

Oncology Reports is an international journal devoted to fundamental and applied research in Oncology.

Experimental and Therapeutic Medicine

Experimental and Therapeutic Medicine

Experimental and Therapeutic Medicine is an international journal devoted to laboratory and clinical medicine.

Oncology Letters

Oncology Letters

Oncology Letters is an international journal devoted to Experimental and Clinical Oncology.

Biomedical Reports

Biomedical Reports

Explores a wide range of biological and medical fields, including pharmacology, genetics, microbiology, neuroscience, and molecular cardiology.

Molecular and Clinical Oncology

Molecular and Clinical Oncology

International journal addressing all aspects of oncology research, from tumorigenesis and oncogenes to chemotherapy and metastasis.

World Academy of Sciences Journal

World Academy of Sciences Journal

Multidisciplinary open-access journal spanning biochemistry, genetics, neuroscience, environmental health, and synthetic biology.

International Journal of Functional Nutrition

International Journal of Functional Nutrition

Open-access journal combining biochemistry, pharmacology, immunology, and genetics to advance health through functional nutrition.

International Journal of Epigenetics

International Journal of Epigenetics

Publishes open-access research on using epigenetics to advance understanding and treatment of human disease.

Medicine International

Medicine International

An International Open Access Journal Devoted to General Medicine.

Journal Cover
September-2025 Volume 30 Issue 3

Full Size Image

Sign up for eToc alerts
Recommend to Library

  • Article
  • Citations
    • Cite This Article
    • Download Citation
    • Create Citation Alert
    • Remove Citation Alert
    • Cited By
  • Similar Articles
    • Related Articles (in Spandidos Publications)
    • Similar Articles (Google Scholar)
    • Similar Articles (PubMed)
  • Download PDF
  • Download XML
  • View XML
Article Open Access

Prognostic predictive value of the preoperative systemic immunoinflammatory index combined with the neutrophil‑to‑lymphocyte ratio in patients with primary liver cancer undergoing transarterial chemoembolization

  • Authors:
    • Maoyuan Zhang
    • Kunlong Yang
    • Jiyun Zhang
    • Tingting Mo
    • Yijing Chen
    • Chuwen Zhong
    • Sihao Chen
    • Jingtong Zhang
    • Min Ye
    • Ting Zhou
    • Chunmei Chen
    • Qiao Chen
  • View Affiliations / Copyright

    Affiliations: Department of Gastroenterology, The Third Clinical Affiliated Hospital of Guangxi University of Chinese Medicine, Liuzhou, Guangxi Zhuang Autonomous Region 545000, P.R. China, Department of Gastroenterology, Liuzhou Hospital of Traditional Chinese Medicine, Liuzhou, Guangxi Zhuang Autonomous Region 545000, P.R. China
    Copyright: © Zhang et al. This is an open access article distributed under the terms of Creative Commons Attribution License.
  • Article Number: 414
    |
    Published online on: June 27, 2025
       https://doi.org/10.3892/ol.2025.15160
  • Expand metrics +
Metrics: Total Views: 0 (Spandidos Publications: | PMC Statistics: )
Metrics: Total PDF Downloads: 0 (Spandidos Publications: | PMC Statistics: )
Cited By (CrossRef): 0 citations Loading Articles...

This article is mentioned in:



Abstract

Primary liver cancer (PLC) is a common type of malignant tumor, characterized by high morbidity and mortality worldwide, a poor prognosis, and a lack of reliable and effective prognostic predictors. The systemic immunoinflammatory index (SII) and the neutrophil‑to‑lymphocyte ratio (NLR) are key indicators of immunoinflammation in the body, and their combined clinical utility has not been fully explored in patients with PLC undergoing transarterial chemoembolization. In the present study, the association between the preoperative SII combined with the NLR and the prognosis of patients with PLC undergoing percutaneous hepatic artery chemoembolization was investigated. Of the 311 patients diagnosed with PLC in Liuzhou Hospital of Traditional Chinese Medicine (Liuzhou, China) between March 2017 and October 2019, 122 were included in the study. The clinical data were collected, and the patients were categorized into a low SII group (SII <381.79; 45 patients) and a high SII group (SII ≥381.79; 77 patients), and a low NLR group (NLR <2.83; 55 patients) and a high NLR group (NLR ≥2.83; 67 patients) based on the optimal preoperative SII and NLR cutoff values. The predictive efficacy of SII and NLR on the prognosis of patients with PLC was analyzed using the area under the curve (AUC) of the receiver operating characteristic (ROC) curve. The association between SII, NLR and clinicopathological parameters was analyzed using a χ2 test, and overall survival (OS) was analyzed using Kaplan‑Meier (K‑M) survival analysis. Cox regression analysis was used to analyze the independent risk factors affecting prognosis and to investigate the ability of SII combined with NLR to predict PLC prognosis. The ROC curves showed that the optimal cut‑off values for preoperative SII and preoperative NLR were 381.79 and 2.83, respectively. ROC curve analysis showed that both SII [AUC, 0.843; sensitivity, 92.5%; specificity, 65.3%; 95% confidence interval (CI), 0.766‑0.919] and NLR (AUC, 0.836; sensitivity, 82.1%; specificity, 60.3%; 95% confidence interval, 0.761‑0.911) both had good predictive efficacy in patients with PLC. The results of the ROC curve analysis for predicting postoperative death in patients with PLC showed that the AUC of SII combined with NLR (0.846) was higher than that of SII alone (0.843) (P<0.01) and NLR alone (0.836) (P<0.01). Additionally, the AUC of SII (0.843) was higher than that of NLR (0.836) (P<0.01). SII [hazard ratio (HR), 0.655; 95% CI, 0.485‑0.885; P=0.006] and NLR (HR, 0.655; 95% CI, 0.485‑0.885; P=0.006) were independent risk factors for PLC. Based on K‑M survival curve analysis, patients with SII ≥381.79 and NLR ≥2.83 exhibited the shortest OS (P<0.01). These findings indicated that higher preoperative SII and NLR values suggest a poor prognosis for patients with PLC, and that the predictive value of the combination of the two factors is greater than that of each of them alone.

Introduction

Primary liver cancer (PLC) is the third leading cause of cancer mortality, and has one of the worst 5-year survival rates worldwide. Epidemiological data estimate 905,700 cases and 830,200 associated deaths globally each year (1,2); therefore, PLC poses a serious threat to human life and health. According to the Guidelines for the Diagnosis and Treatment of Primary Liver Cancer (2024 Edition) (3), common treatments for PLC include percutaneous hepatic artery chemoembolization, hepatic resection, radiofrequency ablation, radiation therapy and liver transplantation, with hepatic resection serving as the primary treatment for PLC. However, most patients have progressed to the middle and late stages by the time of consultation, missing the best time for surgery. Transarterial chemoembolization (TACE), which causes minimal trauma and is characterized by strong targeting, is the preferred option for patients who cannot undergo surgical resection. Embolization can block the blood supply of liver tumors, and the local injection of antitumor drugs, which can control tumor growth, prompt their necrosis and shrinkage in order to improve patient prognosis (4). Clinical indicators of prognosis include α-fetoprotein, tumor stage, vascular tumor thrombosis and tumor size (5), but their predictive value is limited, and they do not meet clinical needs. In recent years, the systemic immunoinflammatory index (SII) and the neutrophil-to-lymphocyte ratio (NLR) have become the hotspots of clinical research and the most promising new prognostic indicators for various types of cancer, such as bladder (6), colorectal (7), lung (8) and prostate (9) cancer. Existing studies have confirmed that preoperative SII and NLR, respectively, are strong predictors of prognosis in patients with PLC (10–13). Therefore, changes in preoperative SII and NLR can predict the prognosis of patients with PLC. However, separate prognostic indicators have limitations, and the lack of efficient and powerful indicators that can predict PLC prognosis poses a clinical challenge. Therefore, in order to fill in the gaps in this area of research and guide clinical practice, the present study explored the value of preoperative SII combined with NLR in assessing the prognosis of patients with PLC through retrospective analysis.

Materials and methods

Approval

The present study received approval from the Medical Ethics Committee of Liuzhou Hospital of Traditional Chinese Medicine (Liuzhou, China), and all procedures involving human participants adhered to the principles outlined in the Declaration of Helsinki.

Patient selection

The clinical data of 311 patients diagnosed with PLC at Liuzhou Hospital of Traditional Chinese Medicine between March 2017 and October 2019 were retrospectively analyzed. A total of 122 patients with PLC met the inclusion criteria and had complete follow-up data. All patient data were derived from the electronic medical records of Liuzhou Traditional Chinese Medicine Hospital. Relevant records, encompassing clinical data of patients diagnosed with PLC between March 2017 and October 2019, were systematically accessed and extracted in November 2024.

The inclusion criteria were as follows: i) According to the relevant criteria in the Diagnostic Criteria for Primary Liver Cancer (14), the diagnosis was confirmed clinically, and the tumor was confirmed to be unresectable PLC by imaging; ii) the tumor diameter was ≤10 cm, and the number of tumors was ≤3; iii) there was no extra-hepatic metastasis; iv) the patients underwent percutaneous hepatic arterial chemoembolization and did not succumb during the perioperative period; v) the data on preoperative SII, NLR and clinicopathological features were complete; vi) the patient could be followed up normally for at least 3 months after the surgery with no omission of clinical data.

The exclusion criteria were as follows: i) Previous liver surgery; ii) a combination of malignant tumors other than PLC; iii) a combination of other acute or chronic diseases or immune system disorders; iv) long-term use of anti-inflammatory medications; v) an estimated survival time of <6 months; and vi) patients with incomplete or lost follow-up information.

Clinical data and calculations

The collected data included sex, age, smoking history, drinking history, platelet (PLT), neutrophil (NEUT), lymphocyte (LYM), albumin (ALB), total bilirubin (TBIL) and aspartate transaminase (AST) levels, SII, NLR, prognostic nutritional index (PNI), platelet-to-lymphocyte ratio (PLR), AST to platelet ratio index (APRI) and overall survival (OS). The formulae used were as follows: SII=N × P/L; and NLR=N/L. Where P, N and L were the absolute values of PLT count, absolute NEUT count and absolute LYM count, respectively, in the routine blood count (the first routine blood count during hospitalization).

Postoperative follow-up and survival records

All patients were followed up by outpatient follow-up, telephone follow-up or readmission, and survival was calculated at the time of the last follow-up visit [5 years (1,825 days) after surgery]. The median, longest and shortest follow-up periods were 466, 1,825 and 30 days, respectively. The follow-up period ended on October 18, 2024.

Statistical analysis

Statistical software SPSS 29.0 (IBM Corp.) was used for data processing and analysis. Measurements are expressed as the mean ± standard deviation, and comparisons between the two groups were made using the χ2 test. The area under the curve (AUC) of the receiver operating characteristic (ROC) curve was used to determine the optimal cut-off values for SII and NLR. Kaplan-Meier (K-M) survival curves were used to analyze the effect of SII and NLR on the survival time of patients with PLC. Univariate Cox proportional risk regression analysis was first performed to assess the prognostic significance of 15 clinical variables (including sex, drinking history, PLT, NEUT, LYM, AST, PLR, SII and NLR), followed by variance inflation factor (VIF) analysis to exclude variables with severe multicollinearity (VIF ≥10). The remaining variables (sex, drinking history, AST, SII and NLR) were then entered into the multivariate Cox regression model to evaluate their independent predictive value for patient prognosis. ROC curves were used in conjunction with these models to analyze the predictive efficacy of SII and NLR. P<0.05 was considered to indicate a statistically significant difference.

Results

Patient characteristics

A total of 103 men and 19 women with a mean age of 54.99 years (age range, 20–90 years) were included in the study. Among them, 60 patients were <55 years old and 62 patients were ≥55 years old. There were 70 patients with a history of smoking, 62 patients with a history of alcohol consumption, 52 patients without a history of smoking and 60 patients without a history of alcohol consumption. The baseline characteristics of the patients with PLC are listed in Table I.

Table I.

Clinical characteristics of patients with primary liver cancer.

Table I.

Clinical characteristics of patients with primary liver cancer.

Clinical characteristicValue
Sex, n (%)
  Female103 (84.4)
  Male19 (15.6)
Age, years54.990±12.169
Smoking history, n (%)
  Yes70 (57.4)
  No52 (42.6)
Drinking history, n (%)
  Yes62 (50.8)
  No60 (49.2)
PLT, n ×109/l178.787±93.745
NEUT, n ×109/l4.465±2.472
LYM, n ×109/l1.347±0.549
ALB, g/l34.903±6.465
TBIL, µmol/l24.129±13.165
AST, U/l78.934±82.128
SII 752.534±831.391
NLR4.084±4.356
PNI41.638±7.337
PLR 148.140±109.037
APRI0.687±1.645

[i] Data are presented as mean ± standard deviation unless indicated. PLT, platelet; NEUT, neutrophil; LYM, lymphocyte; ALB, albumin; TBIL, total bilirubin; AST, aspartate transaminase; SII, systemic immunoinflammatory index; NLR, neutrophil-to-lymphocyte ratio; PNI, prognostic nutritional index; PLR, platelet-to-lymphocyte ratio; APRI, AST to platelet ratio index.

ROC curve analysis of the SII and the NLR

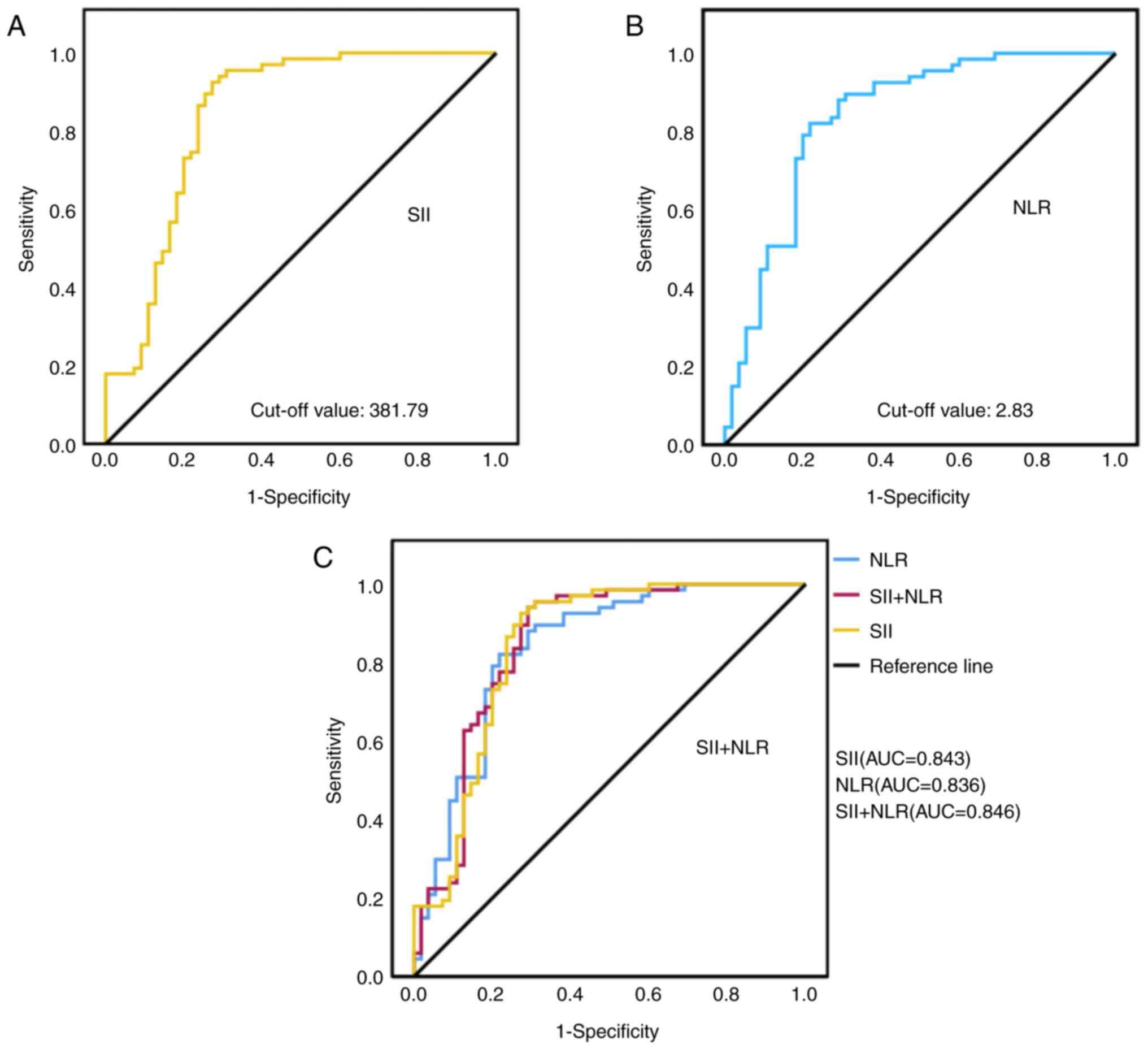
The optimal cutoff values of 381.79 and 2.83 for SII and NLR, respectively, were derived from the ROC curves, and the patients were categorized into a high (SII ≥381.79; 77 cases) and a low SII subgroup (SI <381.79; 45 cases), and a high (NLR ≥2.83; 67 cases) and a low NLR subgroup (NLR <2.83; 55 cases), based on these. The sensitivity, specificity and AUC of SII, NLR and SII + NLR were evaluated using ROC curves, and the results showed that all of the aforementioned indices had a good prognostic predictive efficacy (Table II; Fig. 1).

ROC curves of SII, NLR and SII + NLR.
(A-C) ROC analysis, cut-off values and AUCs of (A) the SII, (B) the
NLR and (C) SII + NLR. SII, systemic immunoinflammatory index; NLR,
neutrophil-to-lymphocyte ratio; AUC, area under the curve; ROC,
receiver operating characteristic.

Figure 1.

ROC curves of SII, NLR and SII + NLR. (A-C) ROC analysis, cut-off values and AUCs of (A) the SII, (B) the NLR and (C) SII + NLR. SII, systemic immunoinflammatory index; NLR, neutrophil-to-lymphocyte ratio; AUC, area under the curve; ROC, receiver operating characteristic.

Table II.

Effect of preoperative SII, NLR and SII + NLR on the prognosis of patients with primary liver cancer.

Table II.

Effect of preoperative SII, NLR and SII + NLR on the prognosis of patients with primary liver cancer.

IndicatorsAUCSEP-valueCut-off valueSensitivity, %Specificity, %Youden index95% CI
SII0.8430.039<0.001381.7992.565.30.6530.766–0.919
NLR0.8360.038<0.0012.8382.160.30.6430.761–0.911
SII + NLR0.8460.039<0.0010.3994.064.90.6490.770–0.922

[i] SII, systemic immunoinflammatory index; NLR, neutrophil-to-lymphocyte ratio; CI, confidence interval; AUC, area under the curve; SE, standard error.

Comparison of clinical data

Differences in clinical profiles between the high and low SII and NLR groups were compared. The results revealed significant differences (P<0.05) in sex, drinking history, PLT, NEUT, AST, PLR and APRI in the SII group, but no significant differences in other clinical variables. Significant differences (P<0.05) in sex, drinking history, PLT, NEUT, LYM, AST, PLR and PNI were observed in the NLR group, but there were no significant differences in other clinical variables (Table III).

Table III.

Comparison of clinical data for SII [≥381.79 (n=77) vs. <381.79 (n=45)] or NLR [≥2.83 (n=67) vs. <2.83 (n=55)].

Table III.

Comparison of clinical data for SII [≥381.79 (n=77) vs. <381.79 (n=45)] or NLR [≥2.83 (n=67) vs. <2.83 (n=55)].

Clinical parameterSII ≥381.79, n (%)SII <381.79, n (%)χ2P-valueNLR ≥2.83, n (%)NLR <2.83, n (%)χ2P-value
Sex, n (%) 9.6140.002a 7.4360.006a
  Female6 (7.8)13 (28.9) 5 (7.5)14 (25.5)
  Male71 (92.2)32 (71.1) 62 (92.5)41 (74.5)
Age, years 1.7250.189 0.5560.456
  ≥5535 (45.5)26 (57.8) 32 (47.8)30 (54.5)
  <5542 (54.5)19 (42.2) 35 (52.2)25 (45.5)
Smoking history, n (%) 0.0010.975 0.0270.871
  Yes43 (55.8)25 (55.6) 38 (56.7)32 (58.2)
  No34 (44.2)20 (44.4) 29 (43.3)23 (41.8)
Drinking history, n (%) 23.330 <0.001a 22.217 <0.001a
  Yes52 (67.5)10 (22.2) 47 (70.1)15 (27.3)
  No25 (32.5)35 (77.8) 20 (29.9)40 (72.7)
PLT, n ×109/l 5.0240.025a 4.8470.028a
  ≥178.7955 (71.4)5 (11.1) 39 (58.2)21 (38.2)
  <178.7922 (28.6)40 (88.9) 28 (41.8)34 (61.8)
NEUT, n ×109/l 44.133 <0.001a 38.455 <0.001a
  ≥4.4751 (66.2)2 (4.4) 46 (68.7)7 (12.7)
  <4.4726 (33.8)43 (95.6) 21 (31.3)48 (87.3)
LYM, n ×109/l 0.0170.897 12.685 <0.001a
  ≥1.3535 (45.5)21 (46.7) 21 (31.3)30 (63.6)
  <1.3542 (54.5)24 (53.3) 46 (68.7)25 (36.4)
ALB, g/l 0.0120.914 0.6500.420
  ≥34.9035 (45.5)20 (44.4) 28 (41.8)27 (49.1)
  <34.9042 (54.5)25 (55.6) 39 (58.2)28 (50.9)
TBIL, µmol/l 0.3530.552 0.3250.569
  ≥24.1330 (39.0)20 (44.4) 29 (43.3)21 (38.2)
  <24.1347 (61.0)25 (55.6) 38 (56.7)34 (61.8)
AST, U/l 8.8300.003a 4.7430.029a
  ≥78.9332 (41.6)7 (15.6) 27 (40.3)12 (21.8)
  <78.9345 (58.4)38 (84.4) 40 (59.7)43 (78.2)
PNI 0.2560.613 11.51 <0.001a
  ≥41.6434 (44.2)22 (48.9) 22 (32.8)35 (63.6)
  <41.6443 (55.8)23 (51.1) 45 (67.2)20 (36.4)
PLR 44.289 <0.001a 27.350 <0.001a
  ≥148.1449 (63.6)1 (2.2) 41 (61.2)8 (14.5)
  <148.1428 (36.4)44 (97.8) 26 (38.8)47 (85.5)
APRI 5.7540.016a 0.1830.668
  ≥0.68714 (18.2)17 (37.8) 16 (23.9)15 (27.3)
  <0.68763 (81.8)28 (62.2) 51 (76.1)40 (72.7)

a P<0.05. PLT, platelet; NEUT, neutrophil; LYM, lymphocyte; ALB, albumin; TBIL, total bilirubin; AST, aspartate transaminase; PNI, prognostic nutritional index; PLR, platelet-to-lymphocyte ratio; APRI, AST to platelet ratio index; SII, systemic immunoinflammatory index; NLR, neutrophil-to-lymphocyte ratio.

Prognostic value of the SII and NLR ratio

K-M survival curve analysis showed that patients in the high SII subgroup had significantly shorter survival times than those in the low SII subgroup (P<0.01; Fig. 2A). The survival time of patients in the high NLR subgroup was significantly shorter than that of patients in the low NLR subgroup (P<0.01; Fig. 2B). Patients in the combined high SII and high NLR subgroup exhibited the lowest OS time (P<0.01; Fig. 2C).

Kaplan-Meier survival curves for SII,
NLR and SII + NLR. (A-C) Kaplan-Meier survival curves for (A) low
vs. high preoperative SII groups, (B) low vs. high preoperative NLR
groups, and (C) combined SII and NLR risk stratification. SII,
systemic immunoinflammatory index; NLR, neutrophil-to-lymphocyte
ratio; OS, overall survival; cum, cumulative.

Figure 2.

Kaplan-Meier survival curves for SII, NLR and SII + NLR. (A-C) Kaplan-Meier survival curves for (A) low vs. high preoperative SII groups, (B) low vs. high preoperative NLR groups, and (C) combined SII and NLR risk stratification. SII, systemic immunoinflammatory index; NLR, neutrophil-to-lymphocyte ratio; OS, overall survival; cum, cumulative.

Univariate and multivariate analyses of prognostic factors

In the present study, 15 variables were selected for one-way Cox regression analysis. The results showed that sex, drinking history, PLT, NEUT, LYM, AST, PLR, SII and NLR had a significant effect on the OS of patients with PLC (P<0.05; Table IV). However, other clinical variables had no significant effect on OS. After excluding the variables that had no effect on OS in the univariate analysis, VIF analysis was performed to validate multicollinearity, using a threshold of 10 (VIF >10 indicating severe multicollinearity). Following exclusion of highly correlated variables with VIF ≥10 (PLT=13.08, NEUT=17.37, LYM=12.76 and PLR=18.28), the remaining variables (sex=1.056, drinking history=1.088, AST=1.093, SII=5.336 and NLR=5.281) all had VIF <10, confirming low multicollinearity risk. Multivariate Cox regression analysis of these variables revealed that drinking history, AST, SII, and NLR were independent risk factors for OS (Table IV).

Table IV.

Univariate and multivariate Cox regression analysis of overall survival.

Table IV.

Univariate and multivariate Cox regression analysis of overall survival.

VariableUnivariate analysis, HR (95% CI)P-valueMultivariate analysis, HR (95% CI)P-value
Sex0.339 (0.136–0.843)0.020a0.496 (0.197–1.250)0.137
Age0.984 (0.963–1.005)0.125
Smoking history1.054 (0.649–1.713)0.831
Drinking history3.745 (2.191–6.402) <0.001a3.341 (1.899–5.877) <0.001a
PLT1.004 (1.002–1.006) <0.001a
NEUT1.503 (1.354–1.668) <0.001a
LYM0.602 (0.3810.952)0.030a
ALB0.987 (0.949–1.026)0.507
TBIL1.001 (0.984–1.018)0.908
AST1.004 (1.002–1.006) <0.001a1.004 (1.002–1.007) <0.001a
PNI0.976 (0.943–1.010)0.157
PLR1.002 (1.001–1.003) <0.001a
APRI0.872 (0.627–1.213)0.416
SII1.000 (1.000–1.000) <0.001a1.001 (1.001–1.002) <0.001a
NLR1.046 (1.019–1.074) <0.001a0.873 (0.789–0.996)0.008a

a P<0.05. PLT, platelet; NEUT, neutrophil; LYM, lymphocyte; ALB, albumin; TBIL, total bilirubin; AST, aspartate transaminase; PNI, prognostic nutritional index; PLR, platelet-to-lymphocyte ratio; APRI, AST to platelet ratio index; SII, systemic immunoinflammatory index; NLR, neutrophil-to-lymphocyte ratio; HR, hazard ratio; CI, confidence interval.

Discussion

Inflammation plays an important role in tumor pathogenesis, progression and therapy, and can inhibit apoptosis, and promote angiogenesis and tumor cell metastasis by influencing the body's immune response. In the inflammatory microenvironment, a variety of cells play different roles. NEUTs release IL-6 and TNF-α, among others, which promote tumor angiogenesis, migration and invasion (15,16). LYMs, particularly cytotoxic T lymphocytes and natural killer cells, play a key role in the body's antitumor immune surveillance and killing mechanisms, and the alteration of their number and function affects tumor progression (17). The NLR can sensitively reflect the development of inflammation and the tendency of the body's immune response. He et al (18) found that a high NLR is also an unfavorable prognostic factor for patients with PLC. Guo et al (19) also confirmed this result. The aforementioned studies suggested that NLR is not only a common inflammatory marker, but also an effective prognostic indicator for malignant tumors. Meanwhile, the PLT count of patients with cancer also has a large impact on their prognosis. PLTs can interact with tumor cells to form PLT-tumor cell aggregates, which protect tumor cells from the body's immune system and contribute to intravascular adherence, migration and distant metastasis of tumor cells (20,21). SII is a systemic inflammatory marker used as an indicator to assess the inflammatory and immune status of an organism. The incorporation of PLT count into SII reflects the role of PLTs in inflammation. Li et al (22) demonstrated the value of preoperative SII in the prognostic assessment of PLC. Xin et al (23) pointed out that the OS time of the low SII group was significantly better than that of the high SII group. Based on the aforementioned information, both high SII and high NLR were considered risk factors for tumorigenesis and were combined in the present study.

To the best of our knowledge, the present study was the first to investigate the prognostic significance of SII combined with NLR in patients with PLC. The findings showed that both preoperative SII and NLR were significantly associated with patient prognosis, and that SII (HR, 1.001; 95% CI, 1.001–1.002; P<0.01) and NLR (HR, 0.873; 95% CI, 0.789–0.0996; P=0.008) were independent risk factors for PLC. Based on K-M survival curve analysis, patients with SII ≥381.79 combined with NLR ≥2.83 had the shortest OS time (P<0.01). A literature review revealed that the NLR cut-off value determined in the present study (cut off, 2.83) is very close to that reported by Öcal et al (24) (NLR, 2.77) and Wang et al (25) (NLR, 2.92). Öcal et al (24) confirmed that NLR (cut-off, 2.77) is a prognostic marker for patients with hepatocellular carcinoma (HCC) treated with sorafenib or radioembolization, while Wang et al (25) reported that high NLR (cut-off, 2.92) is associated with a poor prognosis in patients with resectable HCC. Meanwhile, the SII cut-off value identified in the present study (cut off, 381.79) is also highly similar to that found by Guo et al (19) and Xin et al (23). Guo et al (19) retrospectively studied the predictive value of preoperative SII for early recurrence after hepatic resection in patients with HBV-related HCC, discovering that high SII (SII ≥353.64) was associated with early postoperative recurrence in these patients. Xin et al (23) further verified that SII (cut off, 324.55) is an independent prognostic factor affecting the survival outcomes of patients with early-stage HCC. This fits with several previous studies emphasizing the importance of inflammatory indicators in tumor prognosis (26–29).

The present study established a combined preoperative SII and NLR assessment model with enhanced predictive efficacy. Previous investigations (4,22) predominantly focused on individual inflammatory indices (for example, SII or NLR) for tumor prognosis evaluation. Although such parameters demonstrate prognostic utility in colorectal cancer (7), HCC (11) and other malignancies, their limitations remain substantial. Single indices can only reflect isolated aspects of tumor immune-inflammatory microenvironments: NLR emphasizes NEUT-LYM equilibrium to indicate local inflammatory intensity (19), whereas SII incorporates PLT counts to reflect coagulation-inflammation interactions potentially influencing tumor metastasis (13). However, tumor progression involves multifaceted regulatory mechanisms that cannot be captured by unimodal indices monitoring dynamic immune-inflammatory network alterations. The present findings demonstrate that combined preoperative SII and NLR assessment effectively mitigates the inherent limitations of individual indices. Notably, the combined index achieved an AUC of 0.846 (P<0.01) compared with 0.843 and 0.836 for individual SII and NLR, respectively. Furthermore, Kaplan-Meier analysis enabled precise identification of high-risk cohorts (patients with SII ≥381.79 and NLR ≥2.83 showed the shortest OS times; P<0.01). Compared with the restricted prognostic discrimination of single indices in intermediate-risk patients, the combined model leverages integrated ‘inflammation-immunity-coagulation’ pathway information to significantly enhance predictive accuracy and risk stratification capacity. This comprehensive approach better reflects tumor microenvironment characteristics, providing clinicians with a more robust tool for preoperative evaluation, personalized treatment planning and prognostic prediction in patients with PLC.

Certain clinical studies have shown that there is also a close link between preoperative PNI and APRI, and tumor prognosis. Therefore, in the present study, data on preoperative PNI and APRI were also analyzed, but the results showed that PNI (HR, 0.976; 95% CI, 0.943–1.010; P=0.157; AUC=0.438) and APRI (HR, 0.872; 95% CI, 0.627–1.213; P=0.416; AUC=0.481) were not significantly associated with the prognosis of patients with PLC who were treated with transarterial chemoembolization. Furthermore, the male incidence in this study was significantly higher than the female incidence, which is consistent with findings from the studies by Wang et al (30), Karageorgos et al (31) and Liu et al (32). Wang et al (30) reported a 5:1 male-to-female ratio in Chinese patients with HCC, while Karageorgos et al (31) observed a 1.7:1 ratio in Greek patients with cirrhosis and HCC, and Liu et al (32) recorded a 3:1 ratio in American patients with HCC. This phenomenon can be attributed to potential mechanisms such as increased susceptibility to HBV infection in males (33), prolonged alcohol consumption (34) and activation of androgen-driven pathways that facilitate tumor proliferation (35). The geographical origin of the sample and patient population characteristics may also impact the results. Table III shows a significant association between sex and SII/NLR (males accounted for 92.2% in the high SII group and 92.5% in the high NLR group; P<0.01), reflecting a tendency for male patients to have higher SII and NLR values, which may explain the statistical significance of the sex variable in Table III.

The present study was not without its limitations. First, it was a retrospective study with a relatively limited sample source, which may have led to a degree of selection bias. Future prospective studies with multicenter and large samples are needed to further verify the reliability and stability of the present findings. Secondly, there are still a number of other potential influencing factors not included in the model of this study, which may intertwine with the immune-inflammatory response in the process of tumorigenesis and development, and jointly affect the prognosis of patients. Therefore, these factors should be included as comprehensively as possible in subsequent studies to construct a more complete prognostic model to improve the accuracy and comprehensiveness of the prognostic assessment of patients with PLC treated with TACE.

In conclusion, the present study found that sex, drinking history, PLT, NEUT, LYM, AST, PLR, SII and NLR influenced the prognosis of patients with PLC. Among these factors, drinking history, AST, SII and NLR were found to be independent risk factors affecting OS in patients with PLC. In addition, these findings showed that the combination of SII and NLR was more accurate than the use of SII or NLR alone.

Acknowledgements

Not applicable.

Funding

Funding: No funding was received.

Availability of data and materials

The data generated in the present study may be requested from the corresponding author.

Authors' contributions

MZ and QC contributed to the conception and design of the study. MZ wrote the original draft. KY, TM, YC, CZ and JiyZ collected and analyzed the data. JinZ, SC, MY, TZ and CC followed up the survival of patients, analysed the survival outcomes and optimised the linguistic expression of the article. MZ and QC confirm the authenticity of all the raw data. All authors helped conduct the study, and have read and approved the final manuscript.

Ethics approval and consent to participate

This study was performed in accordance with the Declaration of Helsinki Declaration of Helsinki and was approved by the Medical Ethics Committee of Liuzhou Hospital of Traditional Chinese Medicine (Liuzhou, China; initial review approval no. 2023JUL-KY-059-01; follow-up review approval no. 2023JUL-KY-059-02). Given the observational non-interference nature of this study, the Ethics Committee waived the requirement for informed consent.

Patient consent for publication

Not applicable.

Competing interests

The authors declare that they have no competing interests.

References

1 

Adra S, Alabrach Y, Hashem A, Mahmoud A, Khalouf A, El-Khapery A, Abdelhay A, Mansour M, Aldaher B, Barqawi H and Abu-Gharbieh E: Trends of primary liver cancer incidence and mortality in the United States: A population-based study over the last four decades. PLoS One. 19:e03094652024. View Article : Google Scholar : PubMed/NCBI

2 

Khan A and Dhir M: An update on the global trends in the burden of primary liver cancers. J Surg Oncol. 128:972–979. 2023. View Article : Google Scholar : PubMed/NCBI

3 

Klionsky DJ, Abdel-Aziz AK, Abdelfatah S, Abdellatif M, Abdoli A, Abel S, Abeliovich H, Abildgaard MH, Abudu YP, Acevedo-Arozena A, et al: Guidelines for the use and interpretation of assays for monitoring autophagy (4th edition)1. Autophagy. 17:1–382. 2021. View Article : Google Scholar : PubMed/NCBI

4 

Minici R, Venturini M, Guzzardi G, Fontana F, Coppola A, Piacentino F, Torre F, Spinetta M, Maglio P, Guerriero P, et al: Prognostic role of lymphocyte-to-monocyte ratio (LMR) in patients with intermediate-stage hepatocellular carcinoma (HCC) undergoing chemoembolizations (DEM-TACE or cTACE) of the liver: Exploring the link between tumor microenvironment and interventional radiology. Diseases. 12:1372024. View Article : Google Scholar : PubMed/NCBI

5 

Qiao W, Xiong Y, Li K, Jin R and Zhang Y: Incorporating inflammatory markers and clinical indicators into a predictive model of single small hepatocellular carcinoma recurrence after primary locoregional treatments. J Hepatocell Carcinoma. 11:1113–1125. 2024. View Article : Google Scholar : PubMed/NCBI

6 

Salari A, Ghahari M, Bitaraf M, Fard ES, Haddad M, Momeni SA, Inanloo SH, Ghahari P, Mohamoud MM, Mohamadzadeh M, et al: Prognostic value of NLR, PLR, SII, and dNLR in urothelial bladder cancer following radical cystectomy. Clin Genitourin Cancer. 22:1021442024. View Article : Google Scholar : PubMed/NCBI

7 

Yang M, Lin SQ, Liu XY, Tang M, Hu CL, Wang ZW, Zhang Q, Zhang X, Song MM, Ruan GT, et al: Association between C-reactive protein-albumin-lymphocyte (CALLY) index and overall survival in patients with colorectal cancer: From the investigation on nutrition status and clinical outcome of common cancers study. Front Immunol. 14:11314962023. View Article : Google Scholar : PubMed/NCBI

8 

Huai Q, Luo C, Song P, Bie F, Bai G, Li Y, Liu Y, Chen X, Zhou B, Sun X, et al: Peripheral blood inflammatory biomarkers dynamics reflect treatment response and predict prognosis in non-small cell lung cancer patients with neoadjuvant immunotherapy. Cancer Sci. 114:4484–4498. 2023. View Article : Google Scholar : PubMed/NCBI

9 

Wang L, Li X, Liu M, Zhou H and Shao J: Association between monocyte-to-lymphocyte ratio and prostate cancer in the U.S. population: A population-based study. Front Cell Dev Biol. 12:13727312024. View Article : Google Scholar : PubMed/NCBI

10 

Feng X, Feng GY, Tao J, Ao YP, Wu XH, Qi SG, Shi ZR and Gao LY: Relationships among serological indicators and in vitro high-throughput drug sensitivity screening results in patients with hepatocellular carcinoma. Comb Chem High Throughput Screen. 26:2024.(Online ahead of print). PubMed/NCBI

11 

Pinto TAM, Saito HPA, Nourani CL, Ataide EC, Boin IFSF, Lourenco GJ and Lima CSP: Clinicopathological aspects and inflammation-immune markers in alcohol and/or hepatitis C virus-induced hepatocellular carcinoma patients treated with sorafenib. Gastroenterology Res. 17:23–31. 2024. View Article : Google Scholar : PubMed/NCBI

12 

Young S, Cam I, Gencturk M, Rubin N, D'souza D, Flanagan S, Golzarian J and Sanghvi T: Inflammatory scores: Comparison and utility in HCC patients undergoing transarterial chemoembolization in a North American cohort. J Hepatocell Carcinoma. 8:1513–1524. 2021. View Article : Google Scholar : PubMed/NCBI

13 

Chen J, Huang W, Xu X, Fan S, Zhang Q, Li X, Zeng Z and He J: Prognostic implications of systemic immune-inflammation index in patients with bone metastases from hepatocellular carcinoma treated with radiotherapy. Front Oncol. 13:10764282023. View Article : Google Scholar : PubMed/NCBI

14 

European Association for the Study of the Liver, . EASL Clinical Practice Guidelines: Management of hepatocellular carcinoma. J Hepatol. 70:8172019. View Article : Google Scholar : PubMed/NCBI

15 

Dharmapuri S, Özbek U, Jethra H, Jun T, Marron TU, Saeed A, Huang YH, Muzaffar M, Pinter M, Balcar L, et al: Baseline neutrophil-lymphocyte ratio and platelet-lymphocyte ratio appear predictive of immune treatment related toxicity in hepatocellular carcinoma. World J Gastrointest Oncol. 15:1900–1912. 2023. View Article : Google Scholar : PubMed/NCBI

16 

Garley M, Nowak K and Jabłońska E: Neutrophil microRNAs. Biol Rev Camb Philos Soc. 99:864–877. 2024. View Article : Google Scholar : PubMed/NCBI

17 

Tian W, Wei W, Qin G, Bao X, Tong X, Zhou M, Xue Y, Zhang Y and Shao Q: Lymphocyte homing and recirculation with tumor tertiary lymphoid structure formation: Predictions for successful cancer immunotherapy. Front Immunol. 15:14035782024. View Article : Google Scholar : PubMed/NCBI

18 

He C, Zhang Y, Cai Z and Lin X: The prognostic and predictive value of the combination of the neutrophil-to-lymphocyte ratio and the platelet-to-lymphocyte ratio in patients with hepatocellular carcinoma who receive transarterial chemoembolization therapy. Cancer Manag Res. 11:1391–1400. 2019. View Article : Google Scholar : PubMed/NCBI

19 

Guo W, Li Y, Li L, Mu J, Wang B, Niu Z, Ning Y and Liu L: Predictive value of preoperative inflammatory indexes for postoperative early recurrence of hepatitis B-related hepatocellular carcinoma. Front Oncol. 13:11421682023. View Article : Google Scholar : PubMed/NCBI

20 

Chen Y, Zhou J, Liu Z, Wu T, Li S, Zhang Y, Yin X, Yang G and Zhang G: Tumor cell-induced platelet aggregation accelerates hematogenous metastasis of malignant melanoma by triggering macrophage recruitment. J Exp Clin Cancer Res. 42:2772023. View Article : Google Scholar : PubMed/NCBI

21 

Strasenburg W, Jóźwicki J, Durślewicz J, Kuffel B, Kulczyk MP, Kowalewski A, Grzanka D, Drewa T and Adamowicz J: Tumor cell-induced platelet aggregation as an emerging therapeutic target for cancer therapy. Front Oncol. 12:9097672022. View Article : Google Scholar : PubMed/NCBI

22 

Li J, Shi HY and Zhou M: Correlation between preoperative systemic immune inflammation index, nutritional risk index, and prognosis of radical resection of liver cancer. World J Gastrointest Surg. 15:2445–2455. 2023. View Article : Google Scholar : PubMed/NCBI

23 

Xin Y, Yang Y, Liu N, Chen Y, Wang Y, Zhang X, Li X and Zhou X: Prognostic significance of systemic immune-inflammation index-based nomogram for early stage hepatocellular carcinoma after radiofrequency ablation. J Gastrointest Oncol. 12:735–750. 2021. View Article : Google Scholar : PubMed/NCBI

24 

Öcal O, Kimm MA, Hoang TPT, Pech M, Öcal E, Khaled NB, Sangro B and Ricke J: Predictive value of platelet-to-lymphocyte and neutrophil-to-lymphocyte ratio in HCC treated with sorafenib and radioembolization. JHEP Rep. 6:1009952023. View Article : Google Scholar : PubMed/NCBI

25 

Wang D, Bai N, Hu X, OuYang XW, Yao L, Tao Y and Wang Z: Preoperative inflammatory markers of NLR and PLR as indicators of poor prognosis in resectable HCC. PeerJ. 7:e71322019. View Article : Google Scholar : PubMed/NCBI

26 

Wu M, Yang S, Feng X, Li C, Liu X, Zhang Z, Xiao Y, Liu C and Dong J: Combining preoperative and postoperative inflammatory indicators can better predict the recurrence of hepatocellular carcinoma after partial hepatectomy. J Inflamm Res. 14:3231–3245. 2021. View Article : Google Scholar : PubMed/NCBI

27 

Giraud J, Chalopin D, Ramel E, Boyer T, Zouine A, Derieppe MA, Larmonier N, Adotevi O, Bail BL, Blanc JF, et al: THBS1+ myeloid cells expand in SLD hepatocellular carcinoma and contribute to immunosuppression and unfavorable prognosis through TREM1. Cell Rep. 43:1137732024. View Article : Google Scholar : PubMed/NCBI

28 

Pei J, Gao Y and Wu A: An inflammation-related subtype classification for analyzing tumor microenvironment and clinical prognosis in colorectal cancer. Front Immunol. 15:13697262024. View Article : Google Scholar : PubMed/NCBI

29 

Yu JE, Yeo IJ, Han SB, Yun J, Kim B, Yong YJ, Lim YS, Kim TH, Son DJ and Hong J: Significance of chitinase-3-like protein 1 in the pathogenesis of inflammatory diseases and cancer. Exp Mol Med. 56:1–18. 2024. View Article : Google Scholar : PubMed/NCBI

30 

Wang D, Hu X, Xiao L, Long G, Yao L, Wang Z and Zhou L: Prognostic nutritional index and systemic immune-inflammation index predict the prognosis of patients with HCC. J Gastrointest Surg. 25:421–427. 2021. View Article : Google Scholar : PubMed/NCBI

31 

Karageorgos SA, Stratakou S, Koulentaki M, Voumvouraki A, Mantaka A, Samonakis D, Notas G and Kouroumalis EA: Long-term change in incidence and risk factors of cirrhosis and hepatocellular carcinoma in crete, Greece: A 25-year study. Ann Gastroenterol. 30:357–363. 2017.PubMed/NCBI

32 

Liu P, Xie SH, Hu S, Cheng X, Gao T, Zhang C and Song Z: Age-specific sex difference in the incidence of hepatocellular carcinoma in the United States. Oncotarget. 8:68131–68137. 2017. View Article : Google Scholar : PubMed/NCBI

33 

Konyn P, Ahmed A and Kim D: Current epidemiology in hepatocellular carcinoma. Expert Rev Gastroenterol Hepatol. 15:1295–1307. 2021. View Article : Google Scholar : PubMed/NCBI

34 

Lampimukhi M, Qassim T, Venu R, Pakhala N, Mylavarapu S, Perera T, Sathar BS and Nair A: A review of incidence and related risk factors in the development of hepatocellular carcinoma. Cureus. 15:e494292023.PubMed/NCBI

35 

Nevola R, Tortorella G, Rosato V, Rinaldi L, Imbriani S, Perillo P, Mastrocinque D, La Montagna M, Russo A, Di Lorenzo G, et al: Gender differences in the pathogenesis and risk factors of hepatocellular carcinoma. Biology (Basel). 12:9842023.PubMed/NCBI

Related Articles

  • Abstract
  • View
  • Download
  • Twitter
Copy and paste a formatted citation
Spandidos Publications style
Zhang M, Yang K, Zhang J, Mo T, Chen Y, Zhong C, Chen S, Zhang J, Ye M, Zhou T, Zhou T, et al: Prognostic predictive value of the preoperative systemic immunoinflammatory index combined with the neutrophil‑to‑lymphocyte ratio in patients with primary liver cancer undergoing transarterial chemoembolization. Oncol Lett 30: 414, 2025.
APA
Zhang, M., Yang, K., Zhang, J., Mo, T., Chen, Y., Zhong, C. ... Chen, Q. (2025). Prognostic predictive value of the preoperative systemic immunoinflammatory index combined with the neutrophil‑to‑lymphocyte ratio in patients with primary liver cancer undergoing transarterial chemoembolization. Oncology Letters, 30, 414. https://doi.org/10.3892/ol.2025.15160
MLA
Zhang, M., Yang, K., Zhang, J., Mo, T., Chen, Y., Zhong, C., Chen, S., Zhang, J., Ye, M., Zhou, T., Chen, C., Chen, Q."Prognostic predictive value of the preoperative systemic immunoinflammatory index combined with the neutrophil‑to‑lymphocyte ratio in patients with primary liver cancer undergoing transarterial chemoembolization". Oncology Letters 30.3 (2025): 414.
Chicago
Zhang, M., Yang, K., Zhang, J., Mo, T., Chen, Y., Zhong, C., Chen, S., Zhang, J., Ye, M., Zhou, T., Chen, C., Chen, Q."Prognostic predictive value of the preoperative systemic immunoinflammatory index combined with the neutrophil‑to‑lymphocyte ratio in patients with primary liver cancer undergoing transarterial chemoembolization". Oncology Letters 30, no. 3 (2025): 414. https://doi.org/10.3892/ol.2025.15160
Copy and paste a formatted citation
x
Spandidos Publications style
Zhang M, Yang K, Zhang J, Mo T, Chen Y, Zhong C, Chen S, Zhang J, Ye M, Zhou T, Zhou T, et al: Prognostic predictive value of the preoperative systemic immunoinflammatory index combined with the neutrophil‑to‑lymphocyte ratio in patients with primary liver cancer undergoing transarterial chemoembolization. Oncol Lett 30: 414, 2025.
APA
Zhang, M., Yang, K., Zhang, J., Mo, T., Chen, Y., Zhong, C. ... Chen, Q. (2025). Prognostic predictive value of the preoperative systemic immunoinflammatory index combined with the neutrophil‑to‑lymphocyte ratio in patients with primary liver cancer undergoing transarterial chemoembolization. Oncology Letters, 30, 414. https://doi.org/10.3892/ol.2025.15160
MLA
Zhang, M., Yang, K., Zhang, J., Mo, T., Chen, Y., Zhong, C., Chen, S., Zhang, J., Ye, M., Zhou, T., Chen, C., Chen, Q."Prognostic predictive value of the preoperative systemic immunoinflammatory index combined with the neutrophil‑to‑lymphocyte ratio in patients with primary liver cancer undergoing transarterial chemoembolization". Oncology Letters 30.3 (2025): 414.
Chicago
Zhang, M., Yang, K., Zhang, J., Mo, T., Chen, Y., Zhong, C., Chen, S., Zhang, J., Ye, M., Zhou, T., Chen, C., Chen, Q."Prognostic predictive value of the preoperative systemic immunoinflammatory index combined with the neutrophil‑to‑lymphocyte ratio in patients with primary liver cancer undergoing transarterial chemoembolization". Oncology Letters 30, no. 3 (2025): 414. https://doi.org/10.3892/ol.2025.15160
Follow us
  • Twitter
  • LinkedIn
  • Facebook
About
  • Spandidos Publications
  • Careers
  • Cookie Policy
  • Privacy Policy
How can we help?
  • Help
  • Live Chat
  • Contact
  • Email to our Support Team