Spandidos Publications Logo
  • About
    • About Spandidos
    • Aims and Scopes
    • Abstracting and Indexing
    • Editorial Policies
    • Reprints and Permissions
    • Job Opportunities
    • Terms and Conditions
    • Contact
  • Journals
    • All Journals
    • Oncology Letters
      • Oncology Letters
      • Information for Authors
      • Editorial Policies
      • Editorial Board
      • Aims and Scope
      • Abstracting and Indexing
      • Bibliographic Information
      • Archive
    • International Journal of Oncology
      • International Journal of Oncology
      • Information for Authors
      • Editorial Policies
      • Editorial Board
      • Aims and Scope
      • Abstracting and Indexing
      • Bibliographic Information
      • Archive
    • Molecular and Clinical Oncology
      • Molecular and Clinical Oncology
      • Information for Authors
      • Editorial Policies
      • Editorial Board
      • Aims and Scope
      • Abstracting and Indexing
      • Bibliographic Information
      • Archive
    • Experimental and Therapeutic Medicine
      • Experimental and Therapeutic Medicine
      • Information for Authors
      • Editorial Policies
      • Editorial Board
      • Aims and Scope
      • Abstracting and Indexing
      • Bibliographic Information
      • Archive
    • International Journal of Molecular Medicine
      • International Journal of Molecular Medicine
      • Information for Authors
      • Editorial Policies
      • Editorial Board
      • Aims and Scope
      • Abstracting and Indexing
      • Bibliographic Information
      • Archive
    • Biomedical Reports
      • Biomedical Reports
      • Information for Authors
      • Editorial Policies
      • Editorial Board
      • Aims and Scope
      • Abstracting and Indexing
      • Bibliographic Information
      • Archive
    • Oncology Reports
      • Oncology Reports
      • Information for Authors
      • Editorial Policies
      • Editorial Board
      • Aims and Scope
      • Abstracting and Indexing
      • Bibliographic Information
      • Archive
    • Molecular Medicine Reports
      • Molecular Medicine Reports
      • Information for Authors
      • Editorial Policies
      • Editorial Board
      • Aims and Scope
      • Abstracting and Indexing
      • Bibliographic Information
      • Archive
    • World Academy of Sciences Journal
      • World Academy of Sciences Journal
      • Information for Authors
      • Editorial Policies
      • Editorial Board
      • Aims and Scope
      • Abstracting and Indexing
      • Bibliographic Information
      • Archive
    • International Journal of Functional Nutrition
      • International Journal of Functional Nutrition
      • Information for Authors
      • Editorial Policies
      • Editorial Board
      • Aims and Scope
      • Abstracting and Indexing
      • Bibliographic Information
      • Archive
    • International Journal of Epigenetics
      • International Journal of Epigenetics
      • Information for Authors
      • Editorial Policies
      • Editorial Board
      • Aims and Scope
      • Abstracting and Indexing
      • Bibliographic Information
      • Archive
    • Medicine International
      • Medicine International
      • Information for Authors
      • Editorial Policies
      • Editorial Board
      • Aims and Scope
      • Abstracting and Indexing
      • Bibliographic Information
      • Archive
  • Articles
  • Information
    • Information for Authors
    • Information for Reviewers
    • Information for Librarians
    • Information for Advertisers
    • Conferences
  • Language Editing
Spandidos Publications Logo
  • About
    • About Spandidos
    • Aims and Scopes
    • Abstracting and Indexing
    • Editorial Policies
    • Reprints and Permissions
    • Job Opportunities
    • Terms and Conditions
    • Contact
  • Journals
    • All Journals
    • Biomedical Reports
      • Information for Authors
      • Editorial Policies
      • Editorial Board
      • Aims and Scope
      • Abstracting and Indexing
      • Bibliographic Information
      • Archive
    • Experimental and Therapeutic Medicine
      • Information for Authors
      • Editorial Policies
      • Editorial Board
      • Aims and Scope
      • Abstracting and Indexing
      • Bibliographic Information
      • Archive
    • International Journal of Epigenetics
      • Information for Authors
      • Editorial Policies
      • Editorial Board
      • Aims and Scope
      • Abstracting and Indexing
      • Bibliographic Information
      • Archive
    • International Journal of Functional Nutrition
      • Information for Authors
      • Editorial Policies
      • Editorial Board
      • Aims and Scope
      • Abstracting and Indexing
      • Bibliographic Information
      • Archive
    • International Journal of Molecular Medicine
      • Information for Authors
      • Editorial Policies
      • Editorial Board
      • Aims and Scope
      • Abstracting and Indexing
      • Bibliographic Information
      • Archive
    • International Journal of Oncology
      • Information for Authors
      • Editorial Policies
      • Editorial Board
      • Aims and Scope
      • Abstracting and Indexing
      • Bibliographic Information
      • Archive
    • Medicine International
      • Information for Authors
      • Editorial Policies
      • Editorial Board
      • Aims and Scope
      • Abstracting and Indexing
      • Bibliographic Information
      • Archive
    • Molecular and Clinical Oncology
      • Information for Authors
      • Editorial Policies
      • Editorial Board
      • Aims and Scope
      • Abstracting and Indexing
      • Bibliographic Information
      • Archive
    • Molecular Medicine Reports
      • Information for Authors
      • Editorial Policies
      • Editorial Board
      • Aims and Scope
      • Abstracting and Indexing
      • Bibliographic Information
      • Archive
    • Oncology Letters
      • Information for Authors
      • Editorial Policies
      • Editorial Board
      • Aims and Scope
      • Abstracting and Indexing
      • Bibliographic Information
      • Archive
    • Oncology Reports
      • Information for Authors
      • Editorial Policies
      • Editorial Board
      • Aims and Scope
      • Abstracting and Indexing
      • Bibliographic Information
      • Archive
    • World Academy of Sciences Journal
      • Information for Authors
      • Editorial Policies
      • Editorial Board
      • Aims and Scope
      • Abstracting and Indexing
      • Bibliographic Information
      • Archive
  • Articles
  • Information
    • For Authors
    • For Reviewers
    • For Librarians
    • For Advertisers
    • Conferences
  • Language Editing
Login Register Submit
  • This site uses cookies
  • You can change your cookie settings at any time by following the instructions in our Cookie Policy. To find out more, you may read our Privacy Policy.

    I agree
Search articles by DOI, keyword, author or affiliation
Search
Advanced Search
presentation
Oncology Letters
Join Editorial Board Propose a Special Issue
Print ISSN: 1792-1074 Online ISSN: 1792-1082
Journal Cover
May-2026 Volume 31 Issue 5

Full Size Image

Sign up for eToc alerts
Recommend to Library

Journals

International Journal of Molecular Medicine

International Journal of Molecular Medicine

International Journal of Molecular Medicine is an international journal devoted to molecular mechanisms of human disease.

International Journal of Oncology

International Journal of Oncology

International Journal of Oncology is an international journal devoted to oncology research and cancer treatment.

Molecular Medicine Reports

Molecular Medicine Reports

Covers molecular medicine topics such as pharmacology, pathology, genetics, neuroscience, infectious diseases, molecular cardiology, and molecular surgery.

Oncology Reports

Oncology Reports

Oncology Reports is an international journal devoted to fundamental and applied research in Oncology.

Experimental and Therapeutic Medicine

Experimental and Therapeutic Medicine

Experimental and Therapeutic Medicine is an international journal devoted to laboratory and clinical medicine.

Oncology Letters

Oncology Letters

Oncology Letters is an international journal devoted to Experimental and Clinical Oncology.

Biomedical Reports

Biomedical Reports

Explores a wide range of biological and medical fields, including pharmacology, genetics, microbiology, neuroscience, and molecular cardiology.

Molecular and Clinical Oncology

Molecular and Clinical Oncology

International journal addressing all aspects of oncology research, from tumorigenesis and oncogenes to chemotherapy and metastasis.

World Academy of Sciences Journal

World Academy of Sciences Journal

Multidisciplinary open-access journal spanning biochemistry, genetics, neuroscience, environmental health, and synthetic biology.

International Journal of Functional Nutrition

International Journal of Functional Nutrition

Open-access journal combining biochemistry, pharmacology, immunology, and genetics to advance health through functional nutrition.

International Journal of Epigenetics

International Journal of Epigenetics

Publishes open-access research on using epigenetics to advance understanding and treatment of human disease.

Medicine International

Medicine International

An International Open Access Journal Devoted to General Medicine.

Journal Cover
May-2026 Volume 31 Issue 5

Full Size Image

Sign up for eToc alerts
Recommend to Library

  • Article
  • Citations
    • Cite This Article
    • Download Citation
    • Create Citation Alert
    • Remove Citation Alert
    • Cited By
  • Similar Articles
    • Related Articles (in Spandidos Publications)
    • Similar Articles (Google Scholar)
    • Similar Articles (PubMed)
  • Download PDF
  • Download XML
  • View XML
Article Open Access

SETD4 as a marker of disease burden and treatment response in childhood acute lymphoblastic leukemia

  • Authors:
    • Luis Augusto Muniz Telles
    • Mariana Braccialli De Loyola
    • Luis Henrique Toshihiro Sakamoto
    • Doralina Do Amaral Ramos Rabello
    • Andrea Barretto Motoyama
    • Fabio Pittella‑Silva
  • View Affiliations / Copyright

    Affiliations: Laboratory of Molecular Pathology of Cancer, Faculty of Health Sciences, University of Brasília, Brasília 70.910‑900, DF, Brazil
    Copyright: © Telles et al. This is an open access article distributed under the terms of Creative Commons Attribution License.
  • Article Number: 190
    |
    Published online on: March 24, 2026
       https://doi.org/10.3892/ol.2026.15545
  • Expand metrics +
Metrics: Total Views: 0 (Spandidos Publications: | PMC Statistics: )
Metrics: Total PDF Downloads: 0 (Spandidos Publications: | PMC Statistics: )
Cited By (CrossRef): 0 citations Loading Articles...

This article is mentioned in:


Abstract

Acute lymphoblastic leukemia (ALL) is the most common childhood malignancy worldwide. Despite a good rate of treatment success, the poor prognosis underscores the urgent need for new prognostic markers and effective therapeutic strategies. The SET family of lysine methyltransferases (KMTs) has been implicated in several cancers. While the KMT SMYD2 has been identified as a prognostic marker in ALL, SETD4 remains poorly characterized. The present study analyzed the expression patterns of SETD4 in 83 pediatric ALL patients at diagnosis and during treatment using reverse transcription‑quantitative PCR. Kaplan‑Meier analysis was employed to evaluate survival outcomes between the high and basal SETD4 expression groups. It was found that SETD4 expression is markedly upregulated in bone marrow (BM) samples derived from ALL patients compared with non‑neoplastic BM (median fold‑change of 5.14 P=0.0095) and SETD4 expression is correlated with leukemic burden. Importantly, the levels of SETD4 decreased in chemotherapy‑responsive patients. The present study further investigated whether SETD4 levels are associated with those of SMYD2. Notably, a positive correlation between both genes was observed at diagnosis (Spearman ρ=0.759, P<0.0001), with a substantial correlation persisting throughout treatment (Spearman ρ=0.925; P<0.01). Furthermore, patients classified in the high‑risk category exhibited elevated SETD4 expression, with those displaying high SETD4 transcription exhibiting the poorest survival outcomes. The findings revealed the involvement of SETD4 in leukemogenesis and highlighted its potential as a promising prognostic marker.

Introduction

Acute lymphoblastic leukemia (ALL) is the most common childhood malignancy, with an incidence of ~2-4 cases per 100,000 children under 15 years of age. Notably, the peak incidence occurs between 3 and 5 years of age (1). Despite favorable treatment outcomes, relapsed disease remains the leading cause of mortality in pediatric ALL patients. Consequently, ongoing research has focused on identifying improved prognostic markers and treatment enhancements for ALL management (1). ALL comprises two primary subtypes: B-cell ALL and T-cell ALL. B-ALL is markedly more prevalent, constituting ~85% of all cases (2). Cytogenetic aberrations are common findings in ALL, especially among pediatric patients and have long been recognized for their substantial impact on clinical outcomes (3,4). However, recent advances in sequencing and genomic analysis technologies have revealed novel alterations at the submicroscopic scale. These subtle changes play crucial roles in determining disease aggressiveness and resistance to chemotherapy. Collectively, these scientific breakthroughs enable the identification of new ALL subtypes and enhance the precision of patient prognosis, thereby facilitating more effective risk-adapted treatment strategies and supportive care (2).

Lysine methyltransferases (KMTs) are proteins that add methyl marks to lysine residues in both histones and non-histone proteins. These marks contribute to a wide range of epigenetic modifications, including the establishment and propagation of various gene expression patterns. Dysregulation of KMT activity can cause widespread epigenetic changes that contribute to cancer development and progression (5). Among these enzymes, SET and MYND domain-containing protein 2 (SMYD2) is known to play significant roles in cancer (6,7). In acute lymphoblastic leukemia (ALL), aberrant SMYD2 expression has been associated with poor prognosis, associated with unfavorable clinical features such as advanced age and increased blast counts following chemotherapy (8,9).

While the role of SMYD2 in ALL has been previously documented, the contribution of other KMTs to leukemogenesis remains less well defined. The lysine methyltransferase SET domain-containing protein 4 (SETD4), has been implicated in the regulation of various cellular processes, including cell proliferation, cell cycle regulation, and maintenance of cancer stem cell (CSC) quiescence (10–14). Although SETD4 has been studied in the context of breast cancer, non-small cell lung cancer (NSCLC), and radiation-induced lymphomagenesis, its potential involvement and clinical significance in ALL have not yet been investigated.

The present study analyzed the expression pattern of SETD4 among pediatric ALL patients and non-neoplastic bone marrow samples and investigated the correlation between SETD4 transcription changes and the leukemic burden in ALL patients during chemotherapy and its association with SMYD2 transcription.

Materials and methods

Patient sample collection

The present study was approved by the Ethical Committee of the Federal District Foundation for Teaching and Research in Health Sciences (approval no. CEP/FECPS 555/11), with written informed consent from patients and/or guardians. Bone marrow aspirates from 83 pediatric ALL patients (40 female and 43 male; mean age at diagnosis, 7.63 years; recruited between June 2008 and October 2011) were collected at José Alencar Children's Hospital of Brasilia, Federal District, Brazil, during initial disease presentation as part of routine diagnosis and genetic analysis of leukemia. B-ALL patients were treated according to the Brazilian Cooperative Group for Treatment of Childhood Acute Lymphocytic Leukemia protocol (15) and T-ALL patients were treated according to the ALL-Berlin-Frankfurt-Münster (BFM-95) protocol (8). Bone marrow samples from 15 patients were obtained on the 15th and 29th days of induction chemotherapy. Additionally, bone marrow samples from eight children with idiopathic thrombocytopenic purpura were used as non-neoplastic controls. Blast percentages were confirmed in Wright-Giemsa-stained smears, with all leukemic samples containing >40% blasts.

Clinical data collection

Clinical characteristics, including sex, age and white blood cell (WBC) count in peripheral blood at ALL diagnosis, immunophenotyping of bone marrow blasts, cytogenetic alterations and bone marrow status at the 15th and 29th days of chemotherapy, were obtained from medical records and described previously (9). High-risk patients included those who were <2 years old or >9 years old, and/or had peripheral blood WBC counts exceeding 50,000/mm3, and/or showed infiltration in the central nervous system at the time of diagnosis and/or unfavorable cytogenetic findings.

RNA isolation, cDNA synthesis and reverse transcription—quantitative (RT-q) PCR

Bone marrow mononuclear cells were isolated by Ficoll density centrifugation at 400 × g for 30 min. Total RNA was extracted from each sample containing 5–10×106 cells using TRIzol Reagent (Invitrogen; Thermo Fisher Scientific, Inc.) according to the manufacturer's protocol. Single-stranded complementary DNA was generated from total RNA with reverse transcriptase and random primers, using the High-Capacity cDNA Reverse Transcription Kit (Thermo Fisher Scientific, Inc.) according to the manufacturer's protocol. RT-qPCR was performed on a StepOnePlus Real-Time PCR System (Applied Biosystems; Thermo Fisher Scientific, Inc.) using Taq-Man Gene Expression Assays according to the manufacturer's instructions (Hs00213731_m1; cat. no. 4331182 for SETD4; Hs00220210_m1, cat. no. 4331182 for SMYD2; and Hs99999903_m1, cat. no. 4331182 for ACTB; Thermo Fisher Scientific, Inc.). RT-qPCR assays were carried out in a final volume of 10 µl in 96-well plates. RT-qPCR was performed in technical triplicate under the following conditions: 95°C for 2 min, followed by 40 cycles at 95°C for 15 sec and 60°C for 40 sec. Quantitation cycle (Cq) values were obtained from this experiment and the 2−ΔΔCq method was applied to these values using ACTB as a reference gene for input normalization and scaling all samples by the mean Cq values of non-neoplastic samples (16). The 3rd quartile of non-neoplastic samples relative quantification was used as a threshold to classify a sample as having high or basal SETD4 mRNA expression.

Exploratory analysis of online data repositories

Microarray expression data for SETD4 were downloaded from the BloodSpot 3.0 database (https://www.fobinf.com/) as log2-scaled intensity values for two Affymetrix probe sets, 219482_at and 213989_x_at (17) (Affymetrix; Thermo Fisher Scientific, Inc.). The dataset comprised non-neoplastic bone-marrow samples and ALL specimens stratified by cell lineage (B-ALL and T-ALL, n=47 and n=7) and by cytogenetic subtype [t(12;21) and t(1;19)]. Data normality was assessed prior to hypothesis testing: groups with normally distributed values were compared using one-way ANOVA, whereas non-normally distributed data were analyzed with the non-parametric Kruskal-Wallis test, with post hoc Tukey's multiple comparisons test.

Statistical analysis and survival curves

Descriptive statistics were used to summarize the data. P<0.05 was considered to indicate a statistically significant difference. The Mann-Whitney U test was used to compare SETD4 expression between ALL and non-neoplastic bone marrow samples and between high-risk and low-risk groups; only samples with complete clinical information were included in risk stratification analyses.

Heatmaps were generated using z-scores calculated from ΔCt values processed in RStudio. Correlations between SETD4 and SMYD2 mRNA expression levels in 83 ALL samples were assessed using Spearman's correlation analysis.

Survival curves were estimated using the Kaplan-Meier method, and patients alive at the last follow-up were censored. The median follow-up time was 16.6 months (range: 0.3–45.2 months) for overall survival (OS) and 16.5 months (range: 0.1–45.2 months) for event-free survival (EFS). OS and EFS were both analyzed. Survival outcomes were compared using the log-rank test. Hazard ratios and 95% confidence intervals were calculated using univariate Cox proportional hazards regression.

Results

SETD4 transcription is upregulated in ALL patients

To verify whether SETD4 was differentially expressed in ALL, RT-qPCR was performed on extracts from bone marrow (BM) aspirates of ALL patients and of non-malignant BM samples and evaluated the relative expression using the housekeeping gene ACTB for normalization. The expression of SETD4 was significantly greater in malignant samples, with a median fold-change of 5.14 (95% CI=0.4539–23.74; P=0.0095; Mann-Whitney U test, Fig. 1A).

SETD4 mRNA expression in leukemic and
non-neoplastic BM samples. (A) RT-qPCR of SETD4 expression in
leukemic (n=83) and non-neoplastic (n=8) BM samples, normalized to
ACTB (log scale). Group differences were assessed using the
Mann-Whitney U test. (B) SETD4 mRNA expression in non-malignant and
ALL BM samples from the BloodSpot dataset, showing increased
expression in ALL, confirmed by two independent probes. BM, bone
marrow; RT-qPCR, reverse transcription-quantitative PCR; ALL, acute
lymphoblastic leukemia.

Figure 1.

SETD4 mRNA expression in leukemic and non-neoplastic BM samples. (A) RT-qPCR of SETD4 expression in leukemic (n=83) and non-neoplastic (n=8) BM samples, normalized to ACTB (log scale). Group differences were assessed using the Mann-Whitney U test. (B) SETD4 mRNA expression in non-malignant and ALL BM samples from the BloodSpot dataset, showing increased expression in ALL, confirmed by two independent probes. BM, bone marrow; RT-qPCR, reverse transcription-quantitative PCR; ALL, acute lymphoblastic leukemia.

Similarly, two distinct microarray datasets with 318 and 317 ALL patients (Affymetrix Probes 219482_at and 23989_X_at, respectively) available in the BloodSpot database indicated that SETD4 was highly expressed (P<0.0001) in the ALL samples compared with the non-leukemic samples (Fig. 1B). Further analysis of the mRNA levels using these same probes showed that SETD4 expression was higher in LLA-B compared with LLA-T and also higher in ALL t(12;21) in comparison to ALL t(1;19) (Fig. 2A and B). Subtype analyses were not performed in the cohort due to an insufficient and unbalanced number of samples in each subgroup.

SETD4 mRNA expression in healthy and
ALL BM samples from the BloodSpot dataset. (A) SETD4 expression in
non-malignant, B-ALL, and T-ALL samples assessed using probes
219482_at and 213989_x_at. The analyses both showed higher SETD4
expression in B-ALL compared with non-malignant BM and T-ALL
(P<0.0001). (B) Analysis of ALL molecular subtypes using the
same probes revealed increased SETD4 expression in t(12;21)
compared with t(1;19). *P<0.05; ***P<0.001; ****P<0.0001.
ALL, acute lymphoblastic leukemia; BM, bone marrow; B-ALL, B-cell
ALL; T-ALL, T-cell ALL.

Figure 2.

SETD4 mRNA expression in healthy and ALL BM samples from the BloodSpot dataset. (A) SETD4 expression in non-malignant, B-ALL, and T-ALL samples assessed using probes 219482_at and 213989_x_at. The analyses both showed higher SETD4 expression in B-ALL compared with non-malignant BM and T-ALL (P<0.0001). (B) Analysis of ALL molecular subtypes using the same probes revealed increased SETD4 expression in t(12;21) compared with t(1;19). *P<0.05; ***P<0.001; ****P<0.0001. ALL, acute lymphoblastic leukemia; BM, bone marrow; B-ALL, B-cell ALL; T-ALL, T-cell ALL.

SETD4 transcription correlates with a decrease in leukemic burden and SMYD2 transcription during chemotherapy

To investigate whether SETD4 is predominantly transcribed in leukemic cells compared with normal cells, RT- qPCR we conducted on samples from 15 patients on days 15 and 29 of chemotherapy and it was assessed whether SETD4 expression decrease concomitantly with the reduction in leukemic burden. At the time of diagnosis, 13 patients exhibited high SETD4 expression. Among these, 11 patients demonstrated reduced SETD4 levels by day 15. Notably, the two patients with basal SETD4 expression at diagnosis did not exhibit lower levels at this time point. However, except for patient 96 (from the basal expression group), all patients showed decreased SETD4 levels by day 29 (Fig. 3A).

Correlation between BM leukemic
burden and SETD4 mRNA expression during therapy. (A) Log-scaled
SETD4 RT-qPCR in 15 patients on days 15 and 29 of chemotherapy.
Asterisks indicate patients without reduced SETD4 expression on day
15. (B) Percentage of leukemic BM cells at diagnosis and at days 15
and 29 of chemotherapy. BM, bone marrow; RT-qPCR, reverse
transcription-quantitative PCR.

Figure 3.

Correlation between BM leukemic burden and SETD4 mRNA expression during therapy. (A) Log-scaled SETD4 RT-qPCR in 15 patients on days 15 and 29 of chemotherapy. Asterisks indicate patients without reduced SETD4 expression on day 15. (B) Percentage of leukemic BM cells at diagnosis and at days 15 and 29 of chemotherapy. BM, bone marrow; RT-qPCR, reverse transcription-quantitative PCR.

Additionally, the present study evaluated the leukemic burden in the bone marrow of these 15 patients at three time points: diagnosis, day 15 and 29 after initiating treatment (Fig. 3B). As expected, all patients experienced a decline in leukemic cells by days 15 and 29 post-diagnosis, with five patients achieving complete clearance of leukemic blasts by day 29.

We previously reported that SMYD2 transcription levels are upregulated in ALL patients and is a poor prognostic factor (9). The present study investigated whether SETD4 and SMYD2 share any biological relationship in this context. First, it compared the transcription levels of SETD4 and SMYD2 among all patients at diagnosis (Fig. 4A). Next, the transcription levels of SETD4 and SMYD2 were examined on days 15 and 29 of chemotherapy. Surprisingly, a positive and strong correlation was detected between both genes at diagnosis (Spearman ρ=0.759; P<0,0001) and on either day of treatment (Spearman ρ=0.925; P<0.01) (Fig. 4B).

Correlation between SETD4 and SMYD2
expression profiles. (A) Samples from 83 patients, revealing a
substantial correlation between both genes (Spearman ρ=0.759;
P<0,0001). (B) Samples from 15 patients on days 15 and 29 of
treatment and (Spearman ρ=0.925; P<0.01). Axes represent
log-scaled relative quantitation values for each gene. Points
illustrate the relationship between these values.

Figure 4.

Correlation between SETD4 and SMYD2 expression profiles. (A) Samples from 83 patients, revealing a substantial correlation between both genes (Spearman ρ=0.759; P<0,0001). (B) Samples from 15 patients on days 15 and 29 of treatment and (Spearman ρ=0.925; P<0.01). Axes represent log-scaled relative quantitation values for each gene. Points illustrate the relationship between these values.

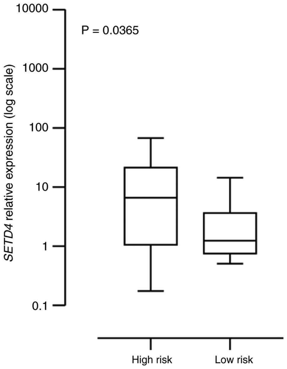
SETD4 transcription levels may be a marker for risk stratification

To investigate the relationship between SETD4 expression levels and the risk stratification of ALL patients, samples from high-risk and low-risk groups were compared. Importantly, high-risk patients presented increased relative SETD4 mRNA expression (Fig. 5).

SETD4 mRNA expression in BM samples
from the high-risk and low-risk groups. Boxplot illustrating
log-scaled RT-qPCR SETD4 relative quantitation values normalized to
ACTB. Out of 83 patients, 47 presented complete clinical data and
were categorized as high-risk (n=38) or low risk (n=9). The
Mann-Whitney U test was used to assess group differences. BM, bone
marrow; RT-qPCR, reverse transcription-quantitative PCR;

Figure 5.

SETD4 mRNA expression in BM samples from the high-risk and low-risk groups. Boxplot illustrating log-scaled RT-qPCR SETD4 relative quantitation values normalized to ACTB. Out of 83 patients, 47 presented complete clinical data and were categorized as high-risk (n=38) or low risk (n=9). The Mann-Whitney U test was used to assess group differences. BM, bone marrow; RT-qPCR, reverse transcription-quantitative PCR;

SETD4 overexpression is associated with a lower overall survival in pediatric ALL patients and a worse outcome

Since SETD4 is upregulated in most ALL patients, particularly those classified as high-risk, their survival was analyzed to determine whether this methyltransferase could markedly impact survival outcomes. It was observed that high expression levels of SETD4 were associated with decreased OS and EFS in this subset of patients.

Kaplan-Meier analysis revealed that the 3-year OS probability for the group of patients with high SETD4 expression was 27.8%, whereas it was 76.7% for the basal expression group (P<0.05). Additionally, the 3-year EFS probability for the basal SETD4 expression group was 82.78%, which was markedly higher than that of the group with high SETD4 expression (Fig. 6).

Overall survival and event-free
survival of ALL patients according to SETD4 expression levels. (A)
High SETD4 expression is associated with poor OS in childhood ALL
patients (P=0.034) with an HR of 2.47 (95% CI: 1.069–5.713). The
3-year OS probability for patients with high SETD4 expression was
27.8 (B) High SETD4 expression is also associated with poor EFS in
childhood ALL patients (P=0.041), with an HR of 2.34 (95% CI:
1.013–5.399). The EFS probability was 82.78% for the basal group.
ALL, acute lymphoblastic leukemia; OS, overall survival; EFS,
event-free survival; HR, hazard ratio; CI, confidence interval.

Figure 6.

Overall survival and event-free survival of ALL patients according to SETD4 expression levels. (A) High SETD4 expression is associated with poor OS in childhood ALL patients (P=0.034) with an HR of 2.47 (95% CI: 1.069–5.713). The 3-year OS probability for patients with high SETD4 expression was 27.8 (B) High SETD4 expression is also associated with poor EFS in childhood ALL patients (P=0.041), with an HR of 2.34 (95% CI: 1.013–5.399). The EFS probability was 82.78% for the basal group. ALL, acute lymphoblastic leukemia; OS, overall survival; EFS, event-free survival; HR, hazard ratio; CI, confidence interval.

Discussion

Several KMTs have been identified as key players in leukemogenesis. In mixed lineage leukemia (MLL), the uncontrolled activities of the KMTs DOT1-like histone lysine methyltransferase and ASH1-like histone methyltransferase are crucial for abnormal cell proliferation (18). Concurrently, rearrangements in MLL, which is also a methyltransferase, are considered unfavorable prognostic factors (19–21). Another KMT, Wolf-Hirschhorn syndrome candidate 1 (WHSC1) (also known as MMSET or NSD2), is aberrantly highly expressed due to the t(4;14) chromosomal translocation in a myeloma subtype with a poor prognosis (22). Furthermore, the WHSCH1 p.E1099K mutation is markedly prevalent among patients who experience relapsed ALL, suggesting its importance in clonal evolution and the development of drug resistance (23). Additionally, SETD8 has been shown to regulate the interaction of p53 with Numb through methylation of the phosphotyrosine-binding domain of the latter (24). Also, the association between the rs16917496 polymorphism of the SETD8 gene and the risk of ALL was significant (25). On the other hand, SETD1A has been implicated in regulating p53 and its target genes expression by binding to the Trp53 promoter and inducing specific miRNAs associated with it (26–28). Moreover, it has been linked to the process of progenitor B-cell maturation in mice (29).

The first study highlighting the oncogenic significance of SETD4 was published by Faria et al in 2013 (10). These findings highlight the role of SETD4 in breast cancer. SETD4 was found in both the nucleus and cytosol in the breast cancer cell lines MDA-MB-231, MGSO-3, and MACL-1. Its upregulation was linked to an ER-negative and triple-negative phenotype. Knockdown of SETD4 decreased cell proliferation in MDA-MB-231 cells by affecting the G1/S cell cycle transition, markedly reducing cyclin D1 levels.

Another study revealed that SETD4 controls breast CSC quiescence (qCSC) through heterochromatin formation via trimethylation of H3K20, leading to chemoradiotherapy resistance and tumor relapse in mice. Moreover, the authors identified SETD4 qCSCs in several cancer types, such as gastric, lung, liver, ovarian and cervical cancers (11). In addition, SETD4 upregulation has recently been identified in advanced-stage NSCLC tissues compared with early-stage tissues, particularly in the chemoresistant group. Furthermore, SETD4 overexpression facilitated PTEN-mediated inhibition of the PI3K-mTOR pathway in activated qLCSCs, indicating that SETD4 plays a role in conferring chemoresistance, tumor progression, and poor prognosis in NSCLC by regulating the behavior of CSCs (13). Notably, another study revealed that the knockdown of SETD4 in hepatocellular carcinoma cells resistant to sorafenib restored their sensitivity to the drug, leading to a decrease in cell viability. A reduction in SETD4 expression combined with sorafenib treatment, downregulated AKT phosphorylation, thereby inducing the death of HCC cells (30). However, the involvement of SETD4 in leukemia has not been previously explored.

Despite the limited cohort size, SETD4 mRNA levels were consistently higher in diagnostic bone-marrow (BM) samples from ALL patients than in non-neoplastic BM controls, a finding validated across public datasets and by independent methods (RT-qPCR and microarray). Additionally, further investigation in public databases revealed that SETD4 expression was markedly higher in B-ALL compared with T-ALL, as well as in ALL t(12;21) compared with ALL t(1;19).

SETD4 is located on chromosome 21, a region extensively implicated in leukemogenesis. Alterations involving chromosome 21, including trisomy 21 and intrachromosomal amplification of chromosome 21 (iAMP21), are well-established factors predisposing to leukemogenesis and markers of high-risk disease in pediatric ALL (31). Given the relevance of chromosome 21-encoded genes to leukemic transformation, several genes mapped to this region, such as RUNX1, ERG, ETS2, and HMGN1, have been extensively studied and shown to play important clinical and prognostic roles in ALL (32–35). In this genomic context, the enrichment of SETD4 expression in B-ALL, particularly in the t(12;21) subtype observed in public datasets, raises the possibility that SETD4 may be integrated into transcriptional networks driven by B-cell-specific oncogenic programs.

Notably, SETD4 expression levels showed a marked decrease on treatment days 15 and 29, time points that may reflect early treatment response and leukemic blast clearance in pediatric ALL. This dynamic reduction is consistent with the association of SETD4 expression with leukemic burden states at diagnosis. However, the interpretation of these treatment-related dynamics is limited by the availability of paired longitudinal samples, as only 15 patients could be followed during therapy.

As with SETD4, SMYD2 trimethylates histone H3 lysine 4 (H3K4me3) and accelerates the G1/S transition (36–38). Our previous study showed that SMYD2 is over-expressed in ALL, negatively associates with OS and EFS, and decreases during chemotherapy (9). SMYD2 is therefore considered a therapeutic target in hematological malignancies and a regulator of cancer-stem-cell quiescence; its depletion in acute myeloid leukemia reduces chemosensitivity (39). In the current cohort, SETD4 and SMYD2 transcript levels were strongly and positively correlated both at diagnosis and during therapy, suggesting shared upstream regulators or convergent epigenetic programs. Future functional studies are warranted to dissect this relationship and to test whether the combined inhibition of SETD4 and SMYD2 offers therapeutic benefit in ALL.

Additionally, the present study observed that patients in the high-risk group exhibited elevated SETD4 mRNA expression. Moreover, individuals with high SETD4 levels showed markedly worse overall survival and event-free survival compared with those with low expression. Although it remains unclear whether this upregulation represents a driver or passenger event in leukemogenesis, it is plausible that SETD4 contributes to the progression of ALL. This hypothesis is supported by the broader oncogenic potential of SET domain-containing lysine methyltransferases, which regulate chromatin dynamics, transcriptional repression, and cellular differentiation, processes often disrupted in hematological malignancies (40). Given the putative role of SETD4 in maintaining stemness and quiescence in hematopoietic progenitors, its dysregulation may provide a survival advantage to leukemic stem-like cells, thereby promoting disease progression and therapeutic resistance.

Despite the likely oncogenic effect of SETD4 on ALL leukemogenesis, its role in cancer development is ambiguous and appears to be context dependent. SETD4 is mostly downregulated in prostate cancer cells and tissue samples. A decrease in the expression of SETD4 is associated with inferior clinicopathological characteristics, such as pathological grade, clinical stage and Gleason score (11). Moreover, SETD4 overexpression inhibited prostate cancer cell proliferation (11). By contrast, the expression of SMYD2 was elevated in prostate cancer tissues compared with that in benign prostate tissues, and an increase in SMYD2 expression was linked to a greater risk of biochemical recurrence following radical prostatectomy. Additionally, reducing SMYD2 levels suppressed the proliferation of prostate cancer cells in vivo and in vitro (41).

Importantly, despite the limited sample size, the data of the present study supports a clinical association between SETD4 expression and leukemic burden, treatment response, and survival. One limitation of the present study was the restricted availability of paired longitudinal samples during therapy, which constrained further evaluation of SETD4 expression dynamics over the course of treatment. Future studies with larger longitudinal cohorts will be important to clarify the temporal role of SETD4 in ALL.

In addition, although SETD4 and SMYD2 transcript levels were strongly and positively correlated, the potential interaction between these methyltransferases was not explored in the present study. Further investigations addressing this relationship may help elucidate whether SETD4 and SMYD2 act within shared epigenetic programs and whether their combined targeting could be therapeutically relevant in ALL.

Acknowledgements

Not applicable.

Funding

The present study was supported by National Council for Scientific and Technological Development (CNPq), Brazil (Funder ID: 501100003593; grant no. 405618/2025-5) and Fundação de Apoio à Pesquisa do Distrito Federal (FAPDF; grant no. 00193-00002146/2023-38).

Availability of data and materials

The data generated in the present study may be requested from the corresponding author.

Authors' contributions

FP-S, ABM and LHTS were responsible for conceptualization. LHTS, DARR and FP-S were responsible for methodology. LHTS managed specimen collection and collected the data. LAMT performed experiments and contributed to data analysis. MBL contributed to the experiments presented in the present study. FP-S, LAMT and MBL wrote and finalized the manuscript. All authors have read and approved the final manuscript. FP-S, LHTS, LAMT and MBL confirm the authenticity of all the raw data.

Ethics approval and consent to participate

The present study protocol was approved by the Ethical Committee of the Federal District Foundation for Teaching and Research in Health Sciences, Brazil, with written informed consent from patients and/or guardians, under approval no. CEP/FEPECS 555/11. The study followed the Declaration of Helsinki.

Patient consent for publication

Not applicable.

Competing interests

The authors declare that they have no competing interests.

References

1 

Inaba H and Mullighan CG: Pediatric acute lymphoblastic leukemia. Haematologica. 105:2524–2539. 2020. View Article : Google Scholar : PubMed/NCBI

2 

Tran TH and Hunger SP: The genomic landscape of pediatric acute lymphoblastic leukemia and precision medicine opportunities. Semin Cancer Biol. 84:144–152. 2022. View Article : Google Scholar : PubMed/NCBI

3 

Carroll AJ, Crist WM, Parmley RT, Roper M and Finley MD: Pre-B cell leukemia associated with chromosome translocation 1;19. Blood. 63:721–724. 1984. View Article : Google Scholar : PubMed/NCBI

4 

Van den Berghe H, David G, Orshoven ABV, Louwagie A, Verwilghen R, Daele MCV, Eggermont E and Eeckels R: A new chromosome anomaly in acute lymphoblastic leukemia (ALL). Hum Genet. 46:173–180. 1979. View Article : Google Scholar : PubMed/NCBI

5 

Husmann D and Gozani O: Histone lysine methyltransferases in biology and disease. Nat Struct Mol Biol. 26:880–889. 2019. View Article : Google Scholar : PubMed/NCBI

6 

Huang J, Perez-Burgos L, Placek BJ, Sengupta R, Richter M, Dorsey JA, Kubicek S, Opravil S, Jenuwein T and Berger SL: Repression of p53 activity by Smyd2-mediated methylation. Nature. 444:629–632. 2006. View Article : Google Scholar : PubMed/NCBI

7 

Li LX, Zhou JX, Calvet JP, Godwin AK, Jensen RA and Li X: Lysine methyltransferase SMYD2 promotes triple negative breast cancer progression. Cell Death Dis. 9:1–17. 2018.PubMed/NCBI

8 

Möricke A, Reiter A, Zimmermann M, Gadner H, Stanulla M, Dördelmann M, Löning L, Beier R, Ludwig WD, Ratei R, et al: Risk-adjusted therapy of acute lymphoblastic leukemia can decrease treatment burden and improve survival: Treatment results of 2169 unselected pediatric and adolescent patients enrolled in the trial ALL-BFM 95. Blood. 111:4477–4489. 2008. View Article : Google Scholar : PubMed/NCBI

9 

Sakamoto LHT, Andrade RV, Felipe MSS, Motoyama AB and Silva FP: SMYD2 is highly expressed in pediatric acute lymphoblastic leukemia and constitutes a bad prognostic factor. Leuk Res. 38:496–502. 2014. View Article : Google Scholar : PubMed/NCBI

10 

Faria JAQA, Corrêa NCR, de Andrade C, de Angelis Campos AC, dos Santos Samuel de Almeida R, Rodrigues TS, de Goes AM, Gomes DA and Silva FP: SET domain-containing protein 4 (SETD4) is a newly identified cytosolic and nuclear lysine methyltransferase involved in breast cancer cell proliferation. J Cancer Sci Ther. 5:58–65. 2013.PubMed/NCBI

11 

Wang C, Wang T, Li KJ, Hu LH, Li Y, Yu YZ, Xie T, Zhu S, Fu DJ, Wang Y, et al: SETD4 inhibits prostate cancer development by promoting H3K27me3-mediated NUPR1 transcriptional repression and cell cycle arrest. Cancer Lett. 579:2164642023. View Article : Google Scholar : PubMed/NCBI

12 

Dai L, Ye S, Li HW, Chen DF, Wang HL, Jia SN, Lin C, Yang JS, Yang F, Nagasawa H and Yang WJ: SETD4 regulates cell quiescence and catalyzes the trimethylation of H4K20 during diapause formation in Artemia. Mol Cell Biol. 37:e00453–e00416. 2017. View Article : Google Scholar : PubMed/NCBI

13 

Wang Y, Yu Y, Yang W, Wu L, Yang Y, Lu Q and Zhou J: SETD4 confers cancer stem cell chemoresistance in nonsmall cell lung cancer patients via the epigenetic regulation of cellular quiescence. Stem Cells Int. 2023:73678542023. View Article : Google Scholar : PubMed/NCBI

14 

Feng X, Lu H, Yue J, Schneider N, Liu J, Denzin LK, Chan CS, De S and Shen Z: Loss of Setd4 delays radiation-induced thymic lymphoma in mice. DNA Repair (Amst). 86:1027542020. View Article : Google Scholar : PubMed/NCBI

15 

Brandalise S, Odone V, Pereira W, Andrea M, Zanichelli M and Aranega V: Treatment results of three consecutive Brazilian cooperative childhood ALL protocols: GBTLI-80, GBTLI-82 and −85. ALL Brazilian Group. Leukemia. 7 (Suppl 2):S142–S145. 1993.PubMed/NCBI

16 

Livak KJ and Schmittgen TD: Analysis of relative gene expression data using real-time quantitative PCR and the 2(−Delta Delta C(T)) method. Methods. 25:402–408. 2001. View Article : Google Scholar : PubMed/NCBI

17 

Bagger FO, Sasivarevic D, Sohi SH, Laursen LG, Pundhir S, Sønderby CK, Winther O, Rapin N and Porse BT: BloodSpot: A database of gene expression profiles and transcriptional programs for healthy and malignant haematopoiesis. Nucleic Acids Res. 44:D917–D924. 2016. View Article : Google Scholar : PubMed/NCBI

18 

Grigsby SM, Friedman A, Chase J, Waas B, Ropa J, Serio J, Shen C, Muntean AG, Maillard I and Nikolovska-Coleska Z: Elucidating the importance of DOT1L recruitment in MLL-AF9 leukemia and hematopoiesis. Cancers (Basel). 13:6422021. View Article : Google Scholar : PubMed/NCBI

19 

El Chaer F, Keng M and Ballen KK: MLL-rearranged acute lymphoblastic leukemia. Curr Hematol Malig Rep. 15:83–89. 2020. View Article : Google Scholar : PubMed/NCBI

20 

Zhu L, Li Q, Wong SHK, Huang M, Klein BJ, Shen J, Ikenouye L, Onishi M, Schneidawind D, Buechele C, et al: ASH1L links histone H3 lysine 36 di-methylation to MLL leukemia. Cancer Discov. 6:770–783. 2016. View Article : Google Scholar : PubMed/NCBI

21 

Aljazi MB, Gao Y, Wu Y, Mias GI and He J: Histone H3K36me2-specific methyltransferase ASH1L promotes MLL-AF9-induced leukemogenesis. Front Oncol. 11:7540932021. View Article : Google Scholar : PubMed/NCBI

22 

Issa ME, Takhsha FS, Chirumamilla CS, Perez-Novo C, Berghe WV and Cuendet M: Epigenetic strategies to reverse drug resistance in heterogeneous multiple myeloma. Clin Epigenetics. 9:172017. View Article : Google Scholar : PubMed/NCBI

23 

Narang S, Evensen NA, Saliba J, Pierro J, Loh ML, Brown PA, Kolekar P, Mulder H, Shao Y, Easton J, et al: NSD2 E1099K drives relapse in pediatric acute lymphoblastic leukemia by disrupting 3D chromatin organization. Genome Biol. 24:642023. View Article : Google Scholar : PubMed/NCBI

24 

Dhami G, Liu H, Galka M, Voss C, Wei R, Muranko K, Kaneko T, Cregan SP, Li L and Li SS: Dynamic methylation of Numb by Set8 regulates its binding to p53 and apoptosis. Mol Cell. 50:565–576. 2013. View Article : Google Scholar : PubMed/NCBI

25 

Hashemi M, Sheybani-Nasab M, Naderi M, Roodbari F and Taheri M: Association of functional polymorphism at the miR-502-binding site in the 3′ untranslated region of the SETD8 gene with risk of childhood acute lymphoblastic leukemia, a preliminary report. Tumor Biol. 35:10375–10379. 2014. View Article : Google Scholar

26 

Tajima K, Yae T, Javaid S, Tam O, Comaills V, Morris R, Wittner BS, Liu M, Engstrom A, Takahashi F, et al: SETD1A modulates cell cycle progression through a miRNA network that regulates p53 target genes. Nat Commun. 6:82572015. View Article : Google Scholar : PubMed/NCBI

27 

Yae T, Tajima K and Maheswaran S: SETD1A induced miRNA network suppresses the p53 gene expression module. Cell Cycle. 15:487–488. 2016. View Article : Google Scholar : PubMed/NCBI

28 

Ogawa S, Fukuda A, Matsumoto Y, Hanyu Y, Sono M, Fukunaga Y, Masuda T, Araki O, Nagao M, Yoshikawa T, et al: SETDB1 inhibits p53-mediated apoptosis and is required for formation of pancreatic ductal adenocarcinomas in mice. Gastroenterology. 159:682–96.e13. 2020. View Article : Google Scholar : PubMed/NCBI

29 

Tusi BK, Deng C, Salz T, Zeumer L, Li Y, So CWE, Morel LM, Qiu Y and Huang S: Setd1a regulates progenitor B-cell-to-precursor B-cell development through histone H3 lysine 4 trimethylation and Ig heavy-chain rearrangement. FASEB J. 29:1505–1515. 2015. View Article : Google Scholar : PubMed/NCBI

30 

Li GM, Wang YG, Pan Q, Wang J, Fan JG and Sun C: RNAi screening with shRNAs against histone methylation-related genes reveals determinants of sorafenib sensitivity in hepatocellular carcinoma cells. Int J Clin Exp Pathol. 7:1085–1092. 2014.PubMed/NCBI

31 

Gao Q, Ryan SL, Iacobucci I, Ghate PS, Cranston RE, Schwab C, Elsayed AH, Shi L, Pounds S, Lei S, et al: The genomic landscape of acute lymphoblastic leukemia with intrachromosomal amplification of chromosome 21. Blood. 142:711–723. 2023. View Article : Google Scholar : PubMed/NCBI

32 

Sood R, Kamikubo Y and Liu P: Role of RUNX1 in hematological malignancies. Blood. 129:2070–2082. 2017. View Article : Google Scholar : PubMed/NCBI

33 

Zhang J, McCastlain K, Yoshihara H, Xu B, Chang Y, Churchman ML, Wu G, Li Y, Wei L, Iacobucci I, et al: Deregulation of DUX4 and ERG in acute lymphoblastic leukemia. Nat Genet. 48:1481–1489. 2016. View Article : Google Scholar : PubMed/NCBI

34 

Fu L, Fu H, Wu Q, Pang Y, Xu K, Zhou L, Qiao J, Ke X, Xu K and Shi J: High expression of ETS2 predicts poor prognosis in acute myeloid leukemia and may guide treatment decisions. J Transl Med. 15:1592017. View Article : Google Scholar : PubMed/NCBI

35 

Page EC, Heatley SL, Rehn J, Thomas PQ, Yeung DT and White DL: Gain of chromosome 21 increases the propensity for P2RY8::CRLF2 acute lymphoblastic leukemia via increased HMGN1 expression. Front Oncol. 13:11778712023. View Article : Google Scholar : PubMed/NCBI

36 

Wang Y, Jin G, Guo Y, Cao Y, Niu S, Fan X and Zhang J: SMYD2 suppresses p53 activity to promote glucose metabolism in cervical cancer. Exp Cell Res. 404:1126492021. View Article : Google Scholar : PubMed/NCBI

37 

Cho HS, Hayami S, Toyokawa G, Maejima K, Yamane Y, Suzuki T, Dohmae N, Kogure M, Kang D, Neal DE, et al: RB1 methylation by SMYD2 enhances cell cycle progression through an increase of RB1 phosphorylation. Neoplasia. 14:476–486. 2012. View Article : Google Scholar : PubMed/NCBI

38 

Wang L, Li L, Zhang H, Luo X, Dai J, Zhou S, Gu J, Zhu J, Atadja P, Lu C, et al: Structure of human SMYD2 protein reveals the basis of p53 tumor suppressor methylation. J Biol Chem. 286:38725–38737. 2011. View Article : Google Scholar : PubMed/NCBI

39 

Zipin-Roitman A, Aqaqe N, Yassin M, Biechonski S, Amar M, van Delft MF, Gan OI, McDermott SP, Buzina A, Ketela T, et al: SMYD2 lysine methyltransferase regulates leukemia cell growth and regeneration after genotoxic stress. Oncotarget. 8:16712–16727. 2017. View Article : Google Scholar : PubMed/NCBI

40 

Bennett RL, Swaroop A, Troche C and Licht JD: The role of nuclear receptor-binding SET domain family histone lysine methyltransferases in cancer. Cold Spring Harb Perspect Med. 7:a0267082017. View Article : Google Scholar : PubMed/NCBI

41 

Li J, Wan F, Zhang J, Zheng S, Yang Y, Hong Z and Dai B: Targeting SMYD2 inhibits prostate cancer cell growth by regulating c-Myc signaling. Mol Carcinog. 62:940–950. 2023. View Article : Google Scholar : PubMed/NCBI

Related Articles

  • Abstract
  • View
  • Download
  • Twitter
Copy and paste a formatted citation
Spandidos Publications style
Telles LA, De Loyola MB, Sakamoto LT, Rabello DD, Motoyama AB and Pittella‑Silva F: <em>SETD4</em> as a marker of disease burden and treatment response in childhood acute lymphoblastic leukemia. Oncol Lett 31: 190, 2026.
APA
Telles, L.A., De Loyola, M.B., Sakamoto, L.T., Rabello, D.D., Motoyama, A.B., & Pittella‑Silva, F. (2026). <em>SETD4</em> as a marker of disease burden and treatment response in childhood acute lymphoblastic leukemia. Oncology Letters, 31, 190. https://doi.org/10.3892/ol.2026.15545
MLA
Telles, L. A., De Loyola, M. B., Sakamoto, L. T., Rabello, D. D., Motoyama, A. B., Pittella‑Silva, F."<em>SETD4</em> as a marker of disease burden and treatment response in childhood acute lymphoblastic leukemia". Oncology Letters 31.5 (2026): 190.
Chicago
Telles, L. A., De Loyola, M. B., Sakamoto, L. T., Rabello, D. D., Motoyama, A. B., Pittella‑Silva, F."<em>SETD4</em> as a marker of disease burden and treatment response in childhood acute lymphoblastic leukemia". Oncology Letters 31, no. 5 (2026): 190. https://doi.org/10.3892/ol.2026.15545
Copy and paste a formatted citation
x
Spandidos Publications style
Telles LA, De Loyola MB, Sakamoto LT, Rabello DD, Motoyama AB and Pittella‑Silva F: <em>SETD4</em> as a marker of disease burden and treatment response in childhood acute lymphoblastic leukemia. Oncol Lett 31: 190, 2026.
APA
Telles, L.A., De Loyola, M.B., Sakamoto, L.T., Rabello, D.D., Motoyama, A.B., & Pittella‑Silva, F. (2026). <em>SETD4</em> as a marker of disease burden and treatment response in childhood acute lymphoblastic leukemia. Oncology Letters, 31, 190. https://doi.org/10.3892/ol.2026.15545
MLA
Telles, L. A., De Loyola, M. B., Sakamoto, L. T., Rabello, D. D., Motoyama, A. B., Pittella‑Silva, F."<em>SETD4</em> as a marker of disease burden and treatment response in childhood acute lymphoblastic leukemia". Oncology Letters 31.5 (2026): 190.
Chicago
Telles, L. A., De Loyola, M. B., Sakamoto, L. T., Rabello, D. D., Motoyama, A. B., Pittella‑Silva, F."<em>SETD4</em> as a marker of disease burden and treatment response in childhood acute lymphoblastic leukemia". Oncology Letters 31, no. 5 (2026): 190. https://doi.org/10.3892/ol.2026.15545
Follow us
  • Twitter
  • LinkedIn
  • Facebook
About
  • Spandidos Publications
  • Careers
  • Cookie Policy
  • Privacy Policy
How can we help?
  • Help
  • Live Chat
  • Contact
  • Email to our Support Team