Spandidos Publications Logo
  • About
    • About Spandidos
    • Aims and Scopes
    • Abstracting and Indexing
    • Editorial Policies
    • Reprints and Permissions
    • Job Opportunities
    • Terms and Conditions
    • Contact
  • Journals
    • All Journals
    • Oncology Letters
      • Oncology Letters
      • Information for Authors
      • Editorial Policies
      • Editorial Board
      • Aims and Scope
      • Abstracting and Indexing
      • Bibliographic Information
      • Archive
    • International Journal of Oncology
      • International Journal of Oncology
      • Information for Authors
      • Editorial Policies
      • Editorial Board
      • Aims and Scope
      • Abstracting and Indexing
      • Bibliographic Information
      • Archive
    • Molecular and Clinical Oncology
      • Molecular and Clinical Oncology
      • Information for Authors
      • Editorial Policies
      • Editorial Board
      • Aims and Scope
      • Abstracting and Indexing
      • Bibliographic Information
      • Archive
    • Experimental and Therapeutic Medicine
      • Experimental and Therapeutic Medicine
      • Information for Authors
      • Editorial Policies
      • Editorial Board
      • Aims and Scope
      • Abstracting and Indexing
      • Bibliographic Information
      • Archive
    • International Journal of Molecular Medicine
      • International Journal of Molecular Medicine
      • Information for Authors
      • Editorial Policies
      • Editorial Board
      • Aims and Scope
      • Abstracting and Indexing
      • Bibliographic Information
      • Archive
    • Biomedical Reports
      • Biomedical Reports
      • Information for Authors
      • Editorial Policies
      • Editorial Board
      • Aims and Scope
      • Abstracting and Indexing
      • Bibliographic Information
      • Archive
    • Oncology Reports
      • Oncology Reports
      • Information for Authors
      • Editorial Policies
      • Editorial Board
      • Aims and Scope
      • Abstracting and Indexing
      • Bibliographic Information
      • Archive
    • Molecular Medicine Reports
      • Molecular Medicine Reports
      • Information for Authors
      • Editorial Policies
      • Editorial Board
      • Aims and Scope
      • Abstracting and Indexing
      • Bibliographic Information
      • Archive
    • World Academy of Sciences Journal
      • World Academy of Sciences Journal
      • Information for Authors
      • Editorial Policies
      • Editorial Board
      • Aims and Scope
      • Abstracting and Indexing
      • Bibliographic Information
      • Archive
    • International Journal of Functional Nutrition
      • International Journal of Functional Nutrition
      • Information for Authors
      • Editorial Policies
      • Editorial Board
      • Aims and Scope
      • Abstracting and Indexing
      • Bibliographic Information
      • Archive
    • International Journal of Epigenetics
      • International Journal of Epigenetics
      • Information for Authors
      • Editorial Policies
      • Editorial Board
      • Aims and Scope
      • Abstracting and Indexing
      • Bibliographic Information
      • Archive
    • Medicine International
      • Medicine International
      • Information for Authors
      • Editorial Policies
      • Editorial Board
      • Aims and Scope
      • Abstracting and Indexing
      • Bibliographic Information
      • Archive
  • Articles
  • Information
    • Information for Authors
    • Information for Reviewers
    • Information for Librarians
    • Information for Advertisers
    • Conferences
  • Language Editing
Spandidos Publications Logo
  • About
    • About Spandidos
    • Aims and Scopes
    • Abstracting and Indexing
    • Editorial Policies
    • Reprints and Permissions
    • Job Opportunities
    • Terms and Conditions
    • Contact
  • Journals
    • All Journals
    • Biomedical Reports
      • Information for Authors
      • Editorial Policies
      • Editorial Board
      • Aims and Scope
      • Abstracting and Indexing
      • Bibliographic Information
      • Archive
    • Experimental and Therapeutic Medicine
      • Information for Authors
      • Editorial Policies
      • Editorial Board
      • Aims and Scope
      • Abstracting and Indexing
      • Bibliographic Information
      • Archive
    • International Journal of Epigenetics
      • Information for Authors
      • Editorial Policies
      • Editorial Board
      • Aims and Scope
      • Abstracting and Indexing
      • Bibliographic Information
      • Archive
    • International Journal of Functional Nutrition
      • Information for Authors
      • Editorial Policies
      • Editorial Board
      • Aims and Scope
      • Abstracting and Indexing
      • Bibliographic Information
      • Archive
    • International Journal of Molecular Medicine
      • Information for Authors
      • Editorial Policies
      • Editorial Board
      • Aims and Scope
      • Abstracting and Indexing
      • Bibliographic Information
      • Archive
    • International Journal of Oncology
      • Information for Authors
      • Editorial Policies
      • Editorial Board
      • Aims and Scope
      • Abstracting and Indexing
      • Bibliographic Information
      • Archive
    • Medicine International
      • Information for Authors
      • Editorial Policies
      • Editorial Board
      • Aims and Scope
      • Abstracting and Indexing
      • Bibliographic Information
      • Archive
    • Molecular and Clinical Oncology
      • Information for Authors
      • Editorial Policies
      • Editorial Board
      • Aims and Scope
      • Abstracting and Indexing
      • Bibliographic Information
      • Archive
    • Molecular Medicine Reports
      • Information for Authors
      • Editorial Policies
      • Editorial Board
      • Aims and Scope
      • Abstracting and Indexing
      • Bibliographic Information
      • Archive
    • Oncology Letters
      • Information for Authors
      • Editorial Policies
      • Editorial Board
      • Aims and Scope
      • Abstracting and Indexing
      • Bibliographic Information
      • Archive
    • Oncology Reports
      • Information for Authors
      • Editorial Policies
      • Editorial Board
      • Aims and Scope
      • Abstracting and Indexing
      • Bibliographic Information
      • Archive
    • World Academy of Sciences Journal
      • Information for Authors
      • Editorial Policies
      • Editorial Board
      • Aims and Scope
      • Abstracting and Indexing
      • Bibliographic Information
      • Archive
  • Articles
  • Information
    • For Authors
    • For Reviewers
    • For Librarians
    • For Advertisers
    • Conferences
  • Language Editing
Login Register Submit
  • This site uses cookies
  • You can change your cookie settings at any time by following the instructions in our Cookie Policy. To find out more, you may read our Privacy Policy.

    I agree
Search articles by DOI, keyword, author or affiliation
Search
Advanced Search
presentation
Oncology Letters
Join Editorial Board Propose a Special Issue
Print ISSN: 1792-1074 Online ISSN: 1792-1082
Journal Cover
January-February 2010 Volume 1 Issue 1

Full Size Image

Sign up for eToc alerts
Recommend to Library

Journals

International Journal of Molecular Medicine

International Journal of Molecular Medicine

International Journal of Molecular Medicine is an international journal devoted to molecular mechanisms of human disease.

International Journal of Oncology

International Journal of Oncology

International Journal of Oncology is an international journal devoted to oncology research and cancer treatment.

Molecular Medicine Reports

Molecular Medicine Reports

Covers molecular medicine topics such as pharmacology, pathology, genetics, neuroscience, infectious diseases, molecular cardiology, and molecular surgery.

Oncology Reports

Oncology Reports

Oncology Reports is an international journal devoted to fundamental and applied research in Oncology.

Experimental and Therapeutic Medicine

Experimental and Therapeutic Medicine

Experimental and Therapeutic Medicine is an international journal devoted to laboratory and clinical medicine.

Oncology Letters

Oncology Letters

Oncology Letters is an international journal devoted to Experimental and Clinical Oncology.

Biomedical Reports

Biomedical Reports

Explores a wide range of biological and medical fields, including pharmacology, genetics, microbiology, neuroscience, and molecular cardiology.

Molecular and Clinical Oncology

Molecular and Clinical Oncology

International journal addressing all aspects of oncology research, from tumorigenesis and oncogenes to chemotherapy and metastasis.

World Academy of Sciences Journal

World Academy of Sciences Journal

Multidisciplinary open-access journal spanning biochemistry, genetics, neuroscience, environmental health, and synthetic biology.

International Journal of Functional Nutrition

International Journal of Functional Nutrition

Open-access journal combining biochemistry, pharmacology, immunology, and genetics to advance health through functional nutrition.

International Journal of Epigenetics

International Journal of Epigenetics

Publishes open-access research on using epigenetics to advance understanding and treatment of human disease.

Medicine International

Medicine International

An International Open Access Journal Devoted to General Medicine.

Journal Cover
January-February 2010 Volume 1 Issue 1

Full Size Image

Sign up for eToc alerts
Recommend to Library

  • Article
  • Citations
    • Cite This Article
    • Download Citation
    • Create Citation Alert
    • Remove Citation Alert
    • Cited By
  • Similar Articles
    • Related Articles (in Spandidos Publications)
    • Similar Articles (Google Scholar)
    • Similar Articles (PubMed)
  • Download PDF
  • Download XML
  • View XML
Article

Treatment results including more than third-line chemotherapy for patients with advanced non-small cell lung cancer

  • Authors:
    • Seh J. Park
    • In K. Choi
    • Hee Y. Seo
    • Hwa J. Sung
    • Kyong H. Park
    • Sang C. Oh
    • Jae H. Seo
    • Sang W. Shin
    • Yeul H. Kim
    • Jun S. Kim
  • View Affiliations / Copyright

    Affiliations: Department of Internal Medicine, Division of Hematology/Oncology, College of Medicine, Korea University, Seoul, Korea
  • Pages: 51-55
    |
    Published online on: January 1, 2010
       https://doi.org/10.3892/ol_00000009
  • Expand metrics +
Metrics: Total Views: 0 (Spandidos Publications: | PMC Statistics: )
Metrics: Total PDF Downloads: 0 (Spandidos Publications: | PMC Statistics: )
Cited By (CrossRef): 0 citations Loading Articles...

This article is mentioned in:



Abstract

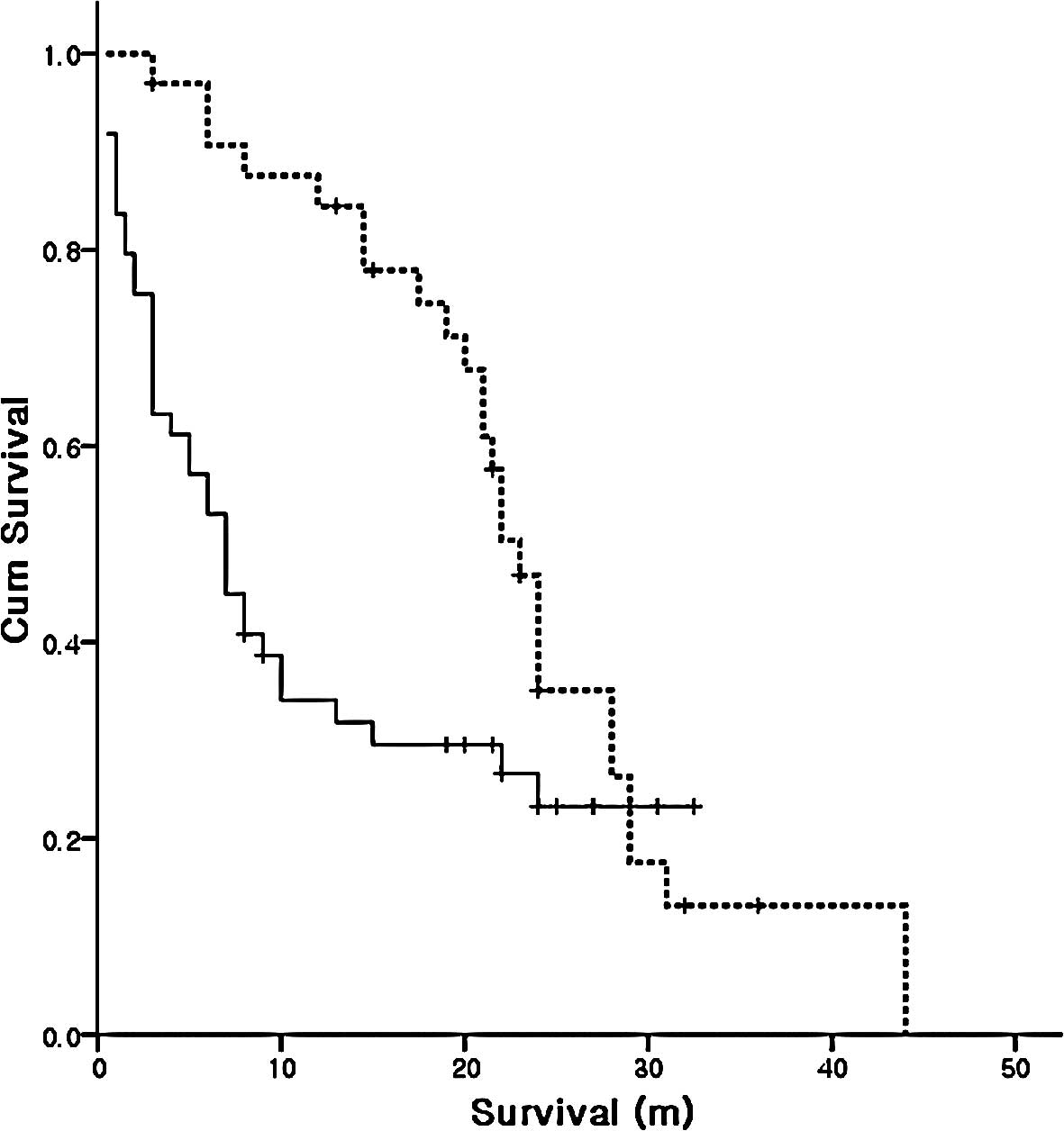
Recently, third-line chemotherapy for advanced non-small cell lung cancer (NSCLC) was accepted as a reasonable therapeutic option in patients with a favorable performance status. In practice, however, palliative chemotherapy has been performed for patients with a favorable performance status, even after third-line chemotherapy. Although multiple cycles of palliative chemotherapy were performed for these patients, there are little data of observation for courses of treatment from first-line to the last chemotherapy. We reviewed the courses of treatment for 82 patients with advanced NSCLC that had been admitted for platinum-based chemotherapy as a first-line treatment. Additional cycles of palliative chemotherapy were provided as monotherapy, based on the attending physician's decision considering patient performance status and toxicity after disease progression for previous chemotherapy. The median number of chemotherapy lines and cycles were 2 and 7, respectively, from first-line to the last chemotherapy. The median overall survival was 24 months in the response group of first-line chemotherapy, compared to 15 months for the entire study group. In the response group, the median number of chemotherapy cycles was 15 and patients received a median of 3 lines of chemotherapy. A total of 33 patients were candidate third-line chemotherapy or more. The median survival was 23 months for patients treated with more than third-line chemotherapy, compared to 7 months for patients treated with less than second-line chemotherapy. We conclude that long-standing chemotherapy is not beneficial to all NSCLC patients. However, patients with a favorable response to first-line chemotherapy tend to receive a higher number and more cycles of chemotherapy than the non-response group. Furthermore, multi-line chemotherapy appears to increase survival in the response group. Further studies will be needed to confirm these results.
View Figures

Figure 1

Figure 2

Figure 3

View References

1 

Non-small Cell Lung Cancer Collaborative Group. Chemotherapy in non-small cell lung cancer: a meta-analysis using updated data on individual patients from 52 randomised clinical trials. BMJ. 311:899–909. 1995. View Article : Google Scholar : PubMed/NCBI

2 

Shepherd FA, Dancey J, Ramlau R, et al: Prospective randomized trial of docetaxel versus best supportive care in patients with non-small-cell lung cancer previously treated with platinum-based chemotherapy. J Clin Oncol. 18:2095–2103. 2000.

3 

Cappuzzo F, Gregorc V, Rossi E, et al: Gefitinib in pretreated non-small cell lung cancer (NSCLC): analysis of efficacy and correlation with HER2 and epidermal growth factor receptor expression in locally advanced or metastatic NSCLC. J Clin Oncol. 21:2658–2663. 2003. View Article : Google Scholar : PubMed/NCBI

4 

Shepherd FA, Rodrigues Pereira J, Ciuleanu T, et al: Erlotinib in previously treated non-small cell lung cancer. N Engl J Med. 353:123–132. 2005. View Article : Google Scholar : PubMed/NCBI

5 

Bunn PA Jr and Kelly K: New chemotherapeutic agents prolong survival and improve quality of life in non-small cell lung cancer: a review of the literature and future directions. Clin Cancer Res. 4:1087–1100. 1998.PubMed/NCBI

6 

Ohe Y, Ohashi Y, Kubota K, et al: Randomized phase III study of cisplatin plus irinotecan versus carboplatin plus paclitaxel, cisplatin plus gemcitabine, and cisplatin plus vinorelbine for advanced non-small cell lung cancer: Four-Arm Cooperative Study in Japan. Ann Oncol. 18:317–323. 2007. View Article : Google Scholar : PubMed/NCBI

7 

Therasse P, Arbuck SG, Eisenhauer EA, et al: New guidelines to evaluate the response to treatment in solid tumors. European Organization for Research and Treatment of Cancer, National Cancer Institute of the United States, National Cancer Institute of Canada. J Natl Cancer Inst. 92:205–216. 2000. View Article : Google Scholar

8 

Hanna N, Shepherd FA, Fossella FV, et al: Randomized phase III trial of pemetrexed versus docetaxel in patients with non-small cell lung cancer previously treated with chemotherapy. J Clin Oncol. 22:1589–1597. 2004. View Article : Google Scholar : PubMed/NCBI

9 

Murillo JR Jr and Koeller J: Chemotherapy given near the end of life by community oncologists for advanced non-small cell lung cancer. Oncologist. 11:1095–1099. 2006. View Article : Google Scholar : PubMed/NCBI

10 

Belani CP, Barstis J, La Rocca RV, et al: Meta-analysis of weekly paclitaxel as maintenance therapy for advanced non-small cell lung cancer patients following initial chemotherapy. Lung Cancer. 49:332005. View Article : Google Scholar

11 

Belani CP, Barstis J, Perry MC, et al: Multicenter, randomized trial for stage IIIB or IV non-small cell lung cancer using weekly paclitaxel and carboplatin followed by maintenance weekly paclitaxel or observation. J Clin Oncol. 21:2933–2939. 2003. View Article : Google Scholar : PubMed/NCBI

12 

Ramalingam S and Belani C: Systemic chemotherapy for advanced non-small cell lung cancer: recent advances and future directions. Oncologist. 13:5–13. 2008. View Article : Google Scholar : PubMed/NCBI

13 

Brodowicz T, Krzakowski M, Zwitter M, et al: Cisplatin and gemcitabine first-line chemotherapy followed by maintenance gemcitabine or best supportive care in advanced non-small cell lung cancer: a phase III trial. Lung Cancer. 52:155–163. 2006. View Article : Google Scholar : PubMed/NCBI

14 

Fidias P, Dahkil SR, Lyss AP, et al: Updated report of a phase III study of induction therapy with gemcitabine + carboplatin (GC) followed by either delayed vs. immediate second-line therapy with docetaxel (D) in advanced non-small cell lung cancer. J Clin Oncol. 24:70322006.

15 

Grossi F, Aita M, Follador A, et al: Sequential, alternating and maintenance/consolidation chemotherapy in advanced non-small cell lung cancer: a review of the literature. Oncologist. 12:451–464. 2007. View Article : Google Scholar : PubMed/NCBI

16 

Paesmans M, Sculier JP, Libert P, et al: Response to chemotherapy has predictive value for further survival of patients with advanced non-small cell lung cancer: 10 years experience of the European Lung Cancer Working Party. Eur J Cancer. 33:2326–2332. 1997.PubMed/NCBI

17 

Goldberg RM, Sargent DJ, Morton RF, et al: A randomized controlled trial of fluorouracil plus leucovorin, irinotecan and oxaliplatin combinations in patients with previously untreated metastatic colorectal cancer. J Clin Oncol. 22:23–30. 2004. View Article : Google Scholar

18 

Grothey A and Sargent D: Overall survival of patients with advanced colorectal cancer correlates with availability of fluorouracil, irinotecan and oxaliplatin regardless of whether doublet or single-agent therapy is used first line. J Clin Oncol. 23:9441–9442. 2005. View Article : Google Scholar

19 

Grothey A, Sargent D, Goldberg RM and Schmoll HJ: Survival of patients with advanced colorectal cancer improves with the availability of fluorouracil-leucovorin, irinotecan and oxaliplatin in the course of treatment. J Clin Oncol. 22:1209–1214. 2004. View Article : Google Scholar : PubMed/NCBI

20 

Tournigand C, Andre T, Achille E, et al: FOLFIRI followed by FOLFOX6 or the reverse sequence in advanced colorectal cancer: a randomized GERCOR study. J Clin Oncol. 22:229–237. 2004. View Article : Google Scholar : PubMed/NCBI

21 

Scagliotti GV, Parikh P, Von Pawel J, et al: Phase III study comparing cisplatin plus gemcitabine with cisplatin plus pemetrexed in chemotherapy-naive patients with advanced-stage non-small cell lung cancer. J Clin Oncol. 26:3543–3551. 2008. View Article : Google Scholar : PubMed/NCBI

22 

Einhorn LH: First-line chemotherapy for non-small cell lung cancer: is there a superior regimen based on histology? J Clin Oncol. 26:3485–3486. 2008. View Article : Google Scholar : PubMed/NCBI

23 

Yano T, Miura N, Takenaka T, et al: Never-smoking non-small cell lung cancer as a separate entity: clinicopathologic features and survival. Cancer. 113:1012–1018. 2008. View Article : Google Scholar : PubMed/NCBI

24 

Zhou W, Heist RS, Liu G, et al: Smoking cessation before diagnosis and survival in early stage non-small cell lung cancer patients. Lung Cancer. 53:375–380. 2006. View Article : Google Scholar : PubMed/NCBI

Related Articles

  • Abstract
  • View
  • Download
  • Twitter
Copy and paste a formatted citation
Spandidos Publications style
Park SJ, Choi IK, Seo HY, Sung HJ, Park KH, Oh SC, Seo JH, Shin SW, Kim YH, Kim JS, Kim JS, et al: Treatment results including more than third-line chemotherapy for patients with advanced non-small cell lung cancer . Oncol Lett 1: 51-55, 2010.
APA
Park, S.J., Choi, I.K., Seo, H.Y., Sung, H.J., Park, K.H., Oh, S.C. ... Kim, J.S. (2010). Treatment results including more than third-line chemotherapy for patients with advanced non-small cell lung cancer . Oncology Letters, 1, 51-55. https://doi.org/10.3892/ol_00000009
MLA
Park, S. J., Choi, I. K., Seo, H. Y., Sung, H. J., Park, K. H., Oh, S. C., Seo, J. H., Shin, S. W., Kim, Y. H., Kim, J. S."Treatment results including more than third-line chemotherapy for patients with advanced non-small cell lung cancer ". Oncology Letters 1.1 (2010): 51-55.
Chicago
Park, S. J., Choi, I. K., Seo, H. Y., Sung, H. J., Park, K. H., Oh, S. C., Seo, J. H., Shin, S. W., Kim, Y. H., Kim, J. S."Treatment results including more than third-line chemotherapy for patients with advanced non-small cell lung cancer ". Oncology Letters 1, no. 1 (2010): 51-55. https://doi.org/10.3892/ol_00000009
Copy and paste a formatted citation
x
Spandidos Publications style
Park SJ, Choi IK, Seo HY, Sung HJ, Park KH, Oh SC, Seo JH, Shin SW, Kim YH, Kim JS, Kim JS, et al: Treatment results including more than third-line chemotherapy for patients with advanced non-small cell lung cancer . Oncol Lett 1: 51-55, 2010.
APA
Park, S.J., Choi, I.K., Seo, H.Y., Sung, H.J., Park, K.H., Oh, S.C. ... Kim, J.S. (2010). Treatment results including more than third-line chemotherapy for patients with advanced non-small cell lung cancer . Oncology Letters, 1, 51-55. https://doi.org/10.3892/ol_00000009
MLA
Park, S. J., Choi, I. K., Seo, H. Y., Sung, H. J., Park, K. H., Oh, S. C., Seo, J. H., Shin, S. W., Kim, Y. H., Kim, J. S."Treatment results including more than third-line chemotherapy for patients with advanced non-small cell lung cancer ". Oncology Letters 1.1 (2010): 51-55.
Chicago
Park, S. J., Choi, I. K., Seo, H. Y., Sung, H. J., Park, K. H., Oh, S. C., Seo, J. H., Shin, S. W., Kim, Y. H., Kim, J. S."Treatment results including more than third-line chemotherapy for patients with advanced non-small cell lung cancer ". Oncology Letters 1, no. 1 (2010): 51-55. https://doi.org/10.3892/ol_00000009
Follow us
  • Twitter
  • LinkedIn
  • Facebook
About
  • Spandidos Publications
  • Careers
  • Cookie Policy
  • Privacy Policy
How can we help?
  • Help
  • Live Chat
  • Contact
  • Email to our Support Team