Spandidos Publications Logo
  • About
    • About Spandidos
    • Aims and Scopes
    • Abstracting and Indexing
    • Editorial Policies
    • Reprints and Permissions
    • Job Opportunities
    • Terms and Conditions
    • Contact
  • Journals
    • All Journals
    • Oncology Letters
      • Oncology Letters
      • Information for Authors
      • Editorial Policies
      • Editorial Board
      • Aims and Scope
      • Abstracting and Indexing
      • Bibliographic Information
      • Archive
    • International Journal of Oncology
      • International Journal of Oncology
      • Information for Authors
      • Editorial Policies
      • Editorial Board
      • Aims and Scope
      • Abstracting and Indexing
      • Bibliographic Information
      • Archive
    • Molecular and Clinical Oncology
      • Molecular and Clinical Oncology
      • Information for Authors
      • Editorial Policies
      • Editorial Board
      • Aims and Scope
      • Abstracting and Indexing
      • Bibliographic Information
      • Archive
    • Experimental and Therapeutic Medicine
      • Experimental and Therapeutic Medicine
      • Information for Authors
      • Editorial Policies
      • Editorial Board
      • Aims and Scope
      • Abstracting and Indexing
      • Bibliographic Information
      • Archive
    • International Journal of Molecular Medicine
      • International Journal of Molecular Medicine
      • Information for Authors
      • Editorial Policies
      • Editorial Board
      • Aims and Scope
      • Abstracting and Indexing
      • Bibliographic Information
      • Archive
    • Biomedical Reports
      • Biomedical Reports
      • Information for Authors
      • Editorial Policies
      • Editorial Board
      • Aims and Scope
      • Abstracting and Indexing
      • Bibliographic Information
      • Archive
    • Oncology Reports
      • Oncology Reports
      • Information for Authors
      • Editorial Policies
      • Editorial Board
      • Aims and Scope
      • Abstracting and Indexing
      • Bibliographic Information
      • Archive
    • Molecular Medicine Reports
      • Molecular Medicine Reports
      • Information for Authors
      • Editorial Policies
      • Editorial Board
      • Aims and Scope
      • Abstracting and Indexing
      • Bibliographic Information
      • Archive
    • World Academy of Sciences Journal
      • World Academy of Sciences Journal
      • Information for Authors
      • Editorial Policies
      • Editorial Board
      • Aims and Scope
      • Abstracting and Indexing
      • Bibliographic Information
      • Archive
    • International Journal of Functional Nutrition
      • International Journal of Functional Nutrition
      • Information for Authors
      • Editorial Policies
      • Editorial Board
      • Aims and Scope
      • Abstracting and Indexing
      • Bibliographic Information
      • Archive
    • International Journal of Epigenetics
      • International Journal of Epigenetics
      • Information for Authors
      • Editorial Policies
      • Editorial Board
      • Aims and Scope
      • Abstracting and Indexing
      • Bibliographic Information
      • Archive
    • Medicine International
      • Medicine International
      • Information for Authors
      • Editorial Policies
      • Editorial Board
      • Aims and Scope
      • Abstracting and Indexing
      • Bibliographic Information
      • Archive
  • Articles
  • Information
    • Information for Authors
    • Information for Reviewers
    • Information for Librarians
    • Information for Advertisers
    • Conferences
  • Language Editing
Spandidos Publications Logo
  • About
    • About Spandidos
    • Aims and Scopes
    • Abstracting and Indexing
    • Editorial Policies
    • Reprints and Permissions
    • Job Opportunities
    • Terms and Conditions
    • Contact
  • Journals
    • All Journals
    • Biomedical Reports
      • Information for Authors
      • Editorial Policies
      • Editorial Board
      • Aims and Scope
      • Abstracting and Indexing
      • Bibliographic Information
      • Archive
    • Experimental and Therapeutic Medicine
      • Information for Authors
      • Editorial Policies
      • Editorial Board
      • Aims and Scope
      • Abstracting and Indexing
      • Bibliographic Information
      • Archive
    • International Journal of Epigenetics
      • Information for Authors
      • Editorial Policies
      • Editorial Board
      • Aims and Scope
      • Abstracting and Indexing
      • Bibliographic Information
      • Archive
    • International Journal of Functional Nutrition
      • Information for Authors
      • Editorial Policies
      • Editorial Board
      • Aims and Scope
      • Abstracting and Indexing
      • Bibliographic Information
      • Archive
    • International Journal of Molecular Medicine
      • Information for Authors
      • Editorial Policies
      • Editorial Board
      • Aims and Scope
      • Abstracting and Indexing
      • Bibliographic Information
      • Archive
    • International Journal of Oncology
      • Information for Authors
      • Editorial Policies
      • Editorial Board
      • Aims and Scope
      • Abstracting and Indexing
      • Bibliographic Information
      • Archive
    • Medicine International
      • Information for Authors
      • Editorial Policies
      • Editorial Board
      • Aims and Scope
      • Abstracting and Indexing
      • Bibliographic Information
      • Archive
    • Molecular and Clinical Oncology
      • Information for Authors
      • Editorial Policies
      • Editorial Board
      • Aims and Scope
      • Abstracting and Indexing
      • Bibliographic Information
      • Archive
    • Molecular Medicine Reports
      • Information for Authors
      • Editorial Policies
      • Editorial Board
      • Aims and Scope
      • Abstracting and Indexing
      • Bibliographic Information
      • Archive
    • Oncology Letters
      • Information for Authors
      • Editorial Policies
      • Editorial Board
      • Aims and Scope
      • Abstracting and Indexing
      • Bibliographic Information
      • Archive
    • Oncology Reports
      • Information for Authors
      • Editorial Policies
      • Editorial Board
      • Aims and Scope
      • Abstracting and Indexing
      • Bibliographic Information
      • Archive
    • World Academy of Sciences Journal
      • Information for Authors
      • Editorial Policies
      • Editorial Board
      • Aims and Scope
      • Abstracting and Indexing
      • Bibliographic Information
      • Archive
  • Articles
  • Information
    • For Authors
    • For Reviewers
    • For Librarians
    • For Advertisers
    • Conferences
  • Language Editing
Login Register Submit
  • This site uses cookies
  • You can change your cookie settings at any time by following the instructions in our Cookie Policy. To find out more, you may read our Privacy Policy.

    I agree
Search articles by DOI, keyword, author or affiliation
Search
Advanced Search
presentation
Oncology Reports
Join Editorial Board Propose a Special Issue
Print ISSN: 1021-335X Online ISSN: 1791-2431
Journal Cover
June 2013 Volume 29 Issue 6

Full Size Image

Sign up for eToc alerts
Recommend to Library

Journals

International Journal of Molecular Medicine

International Journal of Molecular Medicine

International Journal of Molecular Medicine is an international journal devoted to molecular mechanisms of human disease.

International Journal of Oncology

International Journal of Oncology

International Journal of Oncology is an international journal devoted to oncology research and cancer treatment.

Molecular Medicine Reports

Molecular Medicine Reports

Covers molecular medicine topics such as pharmacology, pathology, genetics, neuroscience, infectious diseases, molecular cardiology, and molecular surgery.

Oncology Reports

Oncology Reports

Oncology Reports is an international journal devoted to fundamental and applied research in Oncology.

Experimental and Therapeutic Medicine

Experimental and Therapeutic Medicine

Experimental and Therapeutic Medicine is an international journal devoted to laboratory and clinical medicine.

Oncology Letters

Oncology Letters

Oncology Letters is an international journal devoted to Experimental and Clinical Oncology.

Biomedical Reports

Biomedical Reports

Explores a wide range of biological and medical fields, including pharmacology, genetics, microbiology, neuroscience, and molecular cardiology.

Molecular and Clinical Oncology

Molecular and Clinical Oncology

International journal addressing all aspects of oncology research, from tumorigenesis and oncogenes to chemotherapy and metastasis.

World Academy of Sciences Journal

World Academy of Sciences Journal

Multidisciplinary open-access journal spanning biochemistry, genetics, neuroscience, environmental health, and synthetic biology.

International Journal of Functional Nutrition

International Journal of Functional Nutrition

Open-access journal combining biochemistry, pharmacology, immunology, and genetics to advance health through functional nutrition.

International Journal of Epigenetics

International Journal of Epigenetics

Publishes open-access research on using epigenetics to advance understanding and treatment of human disease.

Medicine International

Medicine International

An International Open Access Journal Devoted to General Medicine.

Journal Cover
June 2013 Volume 29 Issue 6

Full Size Image

Sign up for eToc alerts
Recommend to Library

  • Article
  • Citations
    • Cite This Article
    • Download Citation
    • Create Citation Alert
    • Remove Citation Alert
    • Cited By
  • Similar Articles
    • Related Articles (in Spandidos Publications)
    • Similar Articles (Google Scholar)
    • Similar Articles (PubMed)
  • Download PDF
  • Download XML
  • View XML
Article

Poly(ADP-ribose) polymerase-1 regulates the mechanism of irradiation-induced CNE-2 human nasopharyngeal carcinoma cell autophagy and inhibition of autophagy contributes to the radiation sensitization of CNE-2 cells

  • Authors:
    • Zhi-Rui Zhou
    • Xiao-Dong Zhu
    • Wei Zhao
    • Song Qu
    • Fang Su
    • Shi-Ting Huang
    • Jia-Ling Ma
    • Xiao-Yu Li
  • View Affiliations / Copyright

    Affiliations: Department of Radiation Oncology, Cancer Hospital of Guangxi Medical University and Cancer Institute of Guangxi Zhuang Autonomous Region, Nanning 530021, P.R. China
  • Pages: 2498-2506
    |
    Published online on: April 4, 2013
       https://doi.org/10.3892/or.2013.2382
  • Expand metrics +
Metrics: Total Views: 0 (Spandidos Publications: | PMC Statistics: )
Metrics: Total PDF Downloads: 0 (Spandidos Publications: | PMC Statistics: )
Cited By (CrossRef): 0 citations Loading Articles...

This article is mentioned in:



Abstract

The aim of the present study was to investigate the role of autophagy in response to ionizing radiation (IR) in CNE-2 human nasopharyngeal carcinoma cells and to demonstrate the function of poly(ADP-ribose) polymerase-1 (PARP-1) in the regulation of IR-induced autophagy. Microtubule-associated protein 1 light chain 3 (LC3) and poly(ADP-ribose) (PAR) were assessed using western blotting. Ultrastructural analysis was performed using transmission electron microscopy (TEM). The percentage of apoptotic cells was assessed by flow cytometry. The MTT method was used to detect cell viability of CNE-2 cells at different time points after IR. Clonogenic survival assays were used to evaluate the radiosensitivity of nasopharyngeal carcinoma cells treated with IR and IR combined with autophagy inhibitor (chloroquine phosphate), with autophagy inducer (rapamycin) or with PARP-1 inhibitor 3-amino benzamide (3AB). IR induced a massive accumulation of autophagosomes detected by TEM and intensified the conversion of cytosolic LC3-I to LC3-II. PARP-1 activation was accompanied by strong upregulation of PAR and LC3-II expression in CNE-2 cells. Compared with radiation alone, chloroquine phosphate (CDP) or 3AB combined with IR significantly decreased cell viability, as well as the autophagic ratio and LC3-II protein levels. Inhibition of autophagy increased radiation-induced apoptosis; rapamycin (RAPA) significantly decreased cell viability as well, but RAPA increased the autophagic ratio and LC3-II protein levels; induction of autophagy increased radiation-induced apoptosis. To conclude, PARP-1 regulates IR-induced autophagy, and PARP-1 inhibitor contributes to the radiation sensitization of CNE-2 cells. Blockade of autophagy with CDP enhanced the cytotoxicity of radiotherapy in CNE-2 cells. This suggests that inhibition of autophagy or PARP-1 may be used as an adjuvant therapy to treat nasopharyngeal carcinoma.

Introduction

Nasopharyngeal carcinoma (NPC), which has the highest incidence in Southeast Asia, remains one of the leading causes of cancer-related mortality in the Cantonese region of Southern China. Radiotherapy is the major treatment for NPC (1). However, radioresistance remains a serious obstacle to successful treatment in many cases (2,3). Thus, an effective way to improve radiation sensitization of nasopharyngeal carcinoma is by identifying the mechanisms involved in NPC radiation resistance. Autophagy is a catabolic process involved in cell growth, development and homeostasis, maintaining a balance between the synthesis, degradation and subsequent recycling of cellular products. The process starts with the formation of the autophagosome or autophagic vacuole. The vacuole membrane then fuses with the lysosomal compartment to deliver the contents into the organelle lumen, where they are degraded and the resulting macromolecules are recycled (4,5). Recent studies have revealed the importance of autophagy in the immune response, inflammatory response, cardiovascular disease, cancer and neurodegenerative disease (6–9). However, the major role that autophagy plays in cancer is controversial (10). Genetic knockout of autophagy-related genes enhances the development of spontaneous malignancies whereas mice deficient in autophagy-related genes exhibit sensitivity to radiotherapy, chemotherapy or immunotherapy (10–13).

Poly(ADP-ribose) polymerase-1 (PARP-1), activated by DNA strand breaks, participates in the DNA repair process physiologically (14). PARP-1 has been implicated in the G2/M cell cycle checkpoint and has been shown to play an important role in the recovery of DNA damage in in vivo studies. Specifically, PARP-1 has been demonstrated to be an important mediator of DNA base excision repair, which is important in the repair of single-stranded breaks. Moreover, PARP-1 is also known to bind the more lethal double-stranded DNA breaks (15–17). IR induces DNA strand breaks, which mediate its cytotoxic effects. Excessive activation of PARP-1 mediates ionizing radiation (IR)-induced cell death under the status of oxidative stress and DNA damage (18,19). However, it remains elusive whether and how PARP-1 activation is involved in autophagy and the exact function of PARP-1-mediated autophagy under oxidative stress and DNA damage in CNE-2 cells. Recently, a study demonstrated that IR induces autophagy through a novel autophagy signaling mechanism linking PARP-1 activation to the mammalian target of rapamycin (mTOR) pathway in prostate cancer cell (20).

Questions concerning the role that autophagy plays in response to IR in CNE-2 cells and whether it promotes cell survival or induces cell death and the methods to promote radiosensitivity by regulating autophagy are yet unanswered. Thus, it is not surprising that the bulk of research has focused on the regulation of autophagy in a variety of models (8,11,20–26). Our data illustrate the importance of IR-induced autophagy, and we demonstrated that autophagic inhibition may be used as a new method to promote radiosensitivity. PARP-1-mediated autophagy plays a cytoprotective role in IR-induced CNE-2 cell death as suppression of autophagy greatly sensitizes IR-induced cell death.

Materials and methods

Cell culture and irradiation conditions

CNE-2, a human NPC cell lines, was purchased from the Cancer Hospital of Shanghai Fudan University, and was cultured in RPMI-1640 medium (HyClone, USA) supplemented with 10% fetal calf serum (Gibco, USA), penicillin (100 U/ml), streptomycin (100 U/ml) and maintained at 37°C in a humidified incubator with 5% CO2. All irradiations were delivered using 6-MV X-rays with a linear accelerator (Elekta, Sweden) with a dose rate of 220 cGy/min; SSD, 100 cm.

Reagents

Chloroquine diphosphate (CDP), an inhibitor of autophagy, was purchased from MP Biomedicals (Santa Ana, CA, USA). Rapamycin (RAPA), an inducer of cellular autophagy, was purchased from LC Laboratories (Woburn, MA, USA). PARP-1 inhibitor, 3-amino benzamide (3AB), was purchased from Sigma-Aldrich Co. (St. Louis, MO, USA), and rabbit anti-human microtubule-associated protein 1 light chain 3 (MAP1LC3B) was purchased from Sigma. Rabbit anti-PARP-1 primary antibody was purchased from Cell Signaling Technology (Danvers, MA, USA), and the rabbit anti-PAR primary antibody was supplied by BD Biosciences (San Jose, CA, USA). The GAPDH primary antibody was purchased from Boster Co. (Wuhan, China), and the goat anti-mouse/rabbit IgG secondary antibody was purchased from the KPL Co.; Annexin V-FITC apoptosis necrosis detection kit was purchased from Nanjing Kaiji Co. (Nanjing, China).

Western blotting

CNE-2 cells were washed with ice-cold PBS twice and lysed at 4°C. The lysates were centrifuged with 12,000 rpm at 4°C for 30 min, at a centrifugal acceleration of 18,500 × g. Protein content in the supernatants was determined using the BCA Protein Assay kit (Beyotime, Nanjing, China). Equal amounts of protein (25 μg) were submitted to a 15% sodium dodecyl sulfate-polyacrylamide gel and then electrotransferred onto PVDF membranes (Merck Millipore, Billerica, MA, USA). After blocking for 2 h, the membranes were incubated with appropriate antibodies overnight: anti-LC3B (1:3,000), anti-PARP-1 (1:1,000), anti-PAR (1:1,500) and anti-GAPDH (1:800). After washing and incubating with fluorescently labeled goat anti-mouse/rabbit IgG secondary antibody (1:5,000), the fluorescence intensity was detected using the Odyssey Infrared Imaging System (LI-COR Biosciences, Lincoln, NE, USA).

Autophagosome detection

Transmission electron microscopy (TEM) (H-600 IV; Hitachi, Tokyo, Japan) was utilized for analyzing the ultrastructural images of autophagosomes and autolysosomes. CNE-2 cells were harvested by trypsinization, washed twice with PBS, and fixed with ice-cold glutaraldehyde (3% in 0.1 M cacodylate buffer, pH 7.4) for 24 h. The cells were post-fixed in OsO4 and dehydrated in a graded series of 70 to 100% acetone and then embedded in Epon 812. One micrometer thin sections were cut, double stained by uranium tetraacetate and lead citrate trihydrate, and viewed using TEM with a scanning attachment.

Flow cytometry

The samples were washed with phosphate-buffered saline (PBS) twice and centrifuged at 1,500 rpm for 5 min, at a centrifugal acceleration of 1,800 × g. The cells were suspended in 500 μl of binding buffer [Annexin V-fluorescein isothiocyanate (FITC) kit; Kaiji, Nanjing, China], containing 5 μl of Annexin V-FITC and 5 μl of PI for determination of phosphatidylserine exposure on the outer plasma membrane. After incubation for 5–15 min at room temperature in a light-protected area, the samples were quantified by flow cytometry (BD FACSCalibur, San Jose, CA, USA).

Assessment of cell viability using MTT assay

Cells were plated into 96-well plates (1×103 cells/well, 200 μl cell suspension/well) and cultured overnight to allow for cell attachment. After irradiation (0, 24, 48 and 72 h) with 6 Gy X-rays, 20 μl of MTT (5 g/l) was added into each well. The cells were then incubated at 37°C for 4 h, the supernatant was removed and 200 μl DMSO was added. When the blue crystals were dissolved, a 96-well multiscanner autoreader (Bio-Rad M550; Bio-Rad, Hercules, CA, USA) was used to measure the absorbance value at 490 nm for each well. The survival rate was calculated as follows: (OD values of the experimental samples/OD values of the control) × 100%.

Clonogenic survival assay

CNE-2 cells were enzymatically dissociated with trypsin and seeded at 200, 200, 400, 600, 1,000, 5,000 and 10,000 cells/well. The cells were then irradiated (2 ml of the cell suspension/well) at room temperature with 6 MV X-rays with an Elekta linear accelerator with a dose rate of 220 cGy/min, accordingly, with the exposure dose corresponding to 0, 1, 2, 4, 6, 8 and 10 Gy. Fourteen days later, cells were fixed with 75% ethanol and stained with Giemsa, and colonies containing >50 cells were counted. The surviving fraction was calculated as: Survival fraction (SF) = experimental group colony forming efficiency/control group colony forming efficiency; Colony formation efficiency (PE) = the number of colonies/plant cell number. Experiments were conducted in triplicate. Survival curves were fitted using the linear-quadratic model (y=exp(-(α*x+β*x2))) using GraphPad Prism 5.0 (GraphPad Software Inc., La Jolla, CA, USA).

Statistical analysis

Statistical data are presented as means ± standard deviation (SD). All data were subjected to analysis of variance (ANOVA) with significant differences among means identified by LSD multiple range tests using SPSS 16.0 (SPSS, Inc., Chicago, IL, USA). The criterion for statistical significance was taken as P<0.05. At least three independent experiments were performed.

Results

Irradiation-induced accumulation of autophagosomes

Intracellular autophagosomes were observed by TEM in CNE-2 cells after IR. CDP is widely used as an inhibitor of autophagy and RAPA is widely used as an inductor of autophagy. We, therefore, examined whether CDP or RAPA had effects on the autophagy in CNE-2 cells. As shown in Fig. 1, subcellular structure analysis revealed typical morphological features of autophagy in CNE-2 cells 24 h after treated with IR. Autophagosomes decreased in the CNE-2 cells treated with 10-Gy irradiation combined with 40 μM CDP, but increased in cells treated with 10-Gy irradiation combined with 20 nM RAPA. However, in the untreated cells or cells treated with CDP or RAPA alone for 24 h, normal nuclei surrounded by cytoplasm with normal appearing mitochondria were presented, and only occasional autophagosomes were observed.

Figure 1

Detection of autophagosomes in CNE-2 cells. (A) TEM photomicrographs showed normal nuclear and mitochondrial morphologies in untreated cells and cells treated with CDP or RAPA alone. The numbers of autophagic vacuoles were obviously increased 24 h following IR treatment. The number of autophagosomes was decreased in cells treated with IR combined with 40 μM CDP, and increased in cells treated with IR combined with 20 nM RAPA. (B) The numbers of autophagosomes per cell are shown (means ± SD). *P<0.05 vs. IR alone. IR, ionizing radiation; TEM, transmission electron microscopy; CDP, chloroquine diphosphate; RAPA, rapamycin.

LC3-II expression level in CNE-2 cells treated with CDP or RAPA combined with IR

To further determine the effect of IR on autophagy, the conversion of cytosolic LC3-I to LC3-II was examined in the CNE-2 cells. LC3-II protein level demonstrated a slight dose- and time-dependent increase induced by IR in the CNE-2 cells (Fig. 2A and B). LC3-II levels were correlated with the extent of autophagosome formation. Western blot assays showed that the levels of LC3-II were strongly elevated in the 10 Gy group and at 48 h following IR; a similar phenomenon was observed in CNE-2 cells. Significant differences in the expression level of LC3-II were found between the different experimental groups (F=231.68, P<0.01). In the RAPA group, the LC3-II level was increased, and in the CDP group the LC3-II level was also increased, indicating that RAPA-induced autophagy occurred. CDP inhibits the phenomenon of autophagy. CDP destroys the structure and function of the lysosomal to inhibit autophagy, resulting in autophagic lysosomal aggregation. LC3-II was not effectively degraded, thus the LC3 expression level was upregulated in the CDP-treated group, confirming that CDP inhibits autophagy. Compared with the untreated group, the level of LC3-II was significantly higher in the RAPA + 10 Gy group (P<0.01) and CDP group (P<0.01) (Fig. 2C).

Figure 2

Detection of LC3 levels in CNE-2 cells. (A and D) The LC3-II protein level shows a dose-dependent trend induced by irradiation in CNE-2 cells. (B and E) The LC3-II protein level shows a time-dependent trend induced by irradiation in CNE-2 cells. (C and F) At 48 h after exposure to single or combined treatments, the ratios of LC3-I and LC3-II to GAPDH levels in each experiment were determined. The values are expressed as the means ± SD. The differences in LC3-II expression levels in each group were statistically significant (F=231.68, P<0.01, 10 Gy + CDP or 10 Gy + RAPA compared with the untreated group). *P<0.01 vs. untreated group. CDP, chloroquine diphosphate; RAPA, rapamycin.

PARP-1 activation contributes to irradiation-induced cell autophagy

PARP-1 is readily activated in response to DNA damage and is well associated with cell death. As shown in Fig. 3A and B, increased formation of the PAR polymer, a direct result of PARP-1 activation, was detected as early as 10 min after IR exposure. To verify whether PARP-1 activation contributes to the cell autophagy induced by IR, cells were treated with 10 Gy X-rays in the presence or absence of 3-amino benzamide (3AB), a specific PARP-1 inhibitor. Pretreatment with 3AB significantly inhibited IR-induced PAR formation. PAR and LC3-II both showed a certain degree of dose-dependence. Changes in PAR content were noted obviously earlier than LC3-B changes, and PAR was soon degraded. This suggests that PAR may be upstream of the signaling pathways. In order to further verify if the PARP-1 signaling pathway is upstream, we used the PARP-1 chemical inhibitor 3AB, autophagy inhibitor CDP and autophagy inducer RAPA to pretreat CNE-2 cells, and 2 h after 10 Gy IR, cells were collected and the protein was extracted, and changes in the levels of LC3-I and -II and PAR were determined. (Fig. 3C and D). The results clearly suggested that PARP-1 activation contributed to IR-induced cell autophagy. TEM examination further confirmed this finding (Fig. 4).

Figure 3

Detection of PAR, PARP-1 and LC3 levels in CNE-2 cells. (A and E) The PAR protein level induced by irradiation showed a slight dose-dependent trend in CNE-2 cells. (B and F) Increased formation of poly(ADP-ribose) (PAR) polymer was detected in CNE-2 cells as early as 10 min after irradiation exposure, and the PAR protein level decreased to normal after 2 h. (C and G) Effect of 3AB on IR-induced PAR activation and cell autophagy 15 min after exposure to single or combined treatments. Cells were treated with IR with or without a 2-h pretreatment of 3AB (10 mM). Cells were collected and subjected to western blot analysis 15 min after exposure. The level of PAR was quantified and the means (fold of changes over the control group) of three independent experiments are presented. The level of PAR was significantly lower in 10 Gy + 3AB and 3AB groups compared with IR alone group (both P<0.01), however, no significant difference was observed in either 10 Gy + CDP or CDP group compared with the IR alone group (both P>0.05). (D and H) The levels of LC3-II in 10 Gy + 3AB and 3AB groups were lower compared with the IR alone group (*P<0.01). CDP, chloroquine diphosphate; RAPA, rapamycin; 3AB, 3-amino benzamide; IR, ionizing radiation.

Figure 4

Detection of autophagy in CNE-2 cells. (A) TEM photomicrographs show normal nuclear and mitochondrial morphologies in the untreated cells and cells treated with IR + 3AB, 3AB or IR alone. (B) The numbers of autophagic vacuoles was obviously increased 24 h following IR treatment. The number of autophagosomes decreased in the IR combined with 10 mM 3AB group. The numbers of autophagosomes per cell are shown (means ± SD). *P<0.05 vs. IR alone. IR, ionizing radiation; TEM, transmission electron microscopy; 3AB, 3-amino benzamide.

Autophagy or PARP-1 inhibition increases the apoptosis rate in CNE-2 cells following irradiation

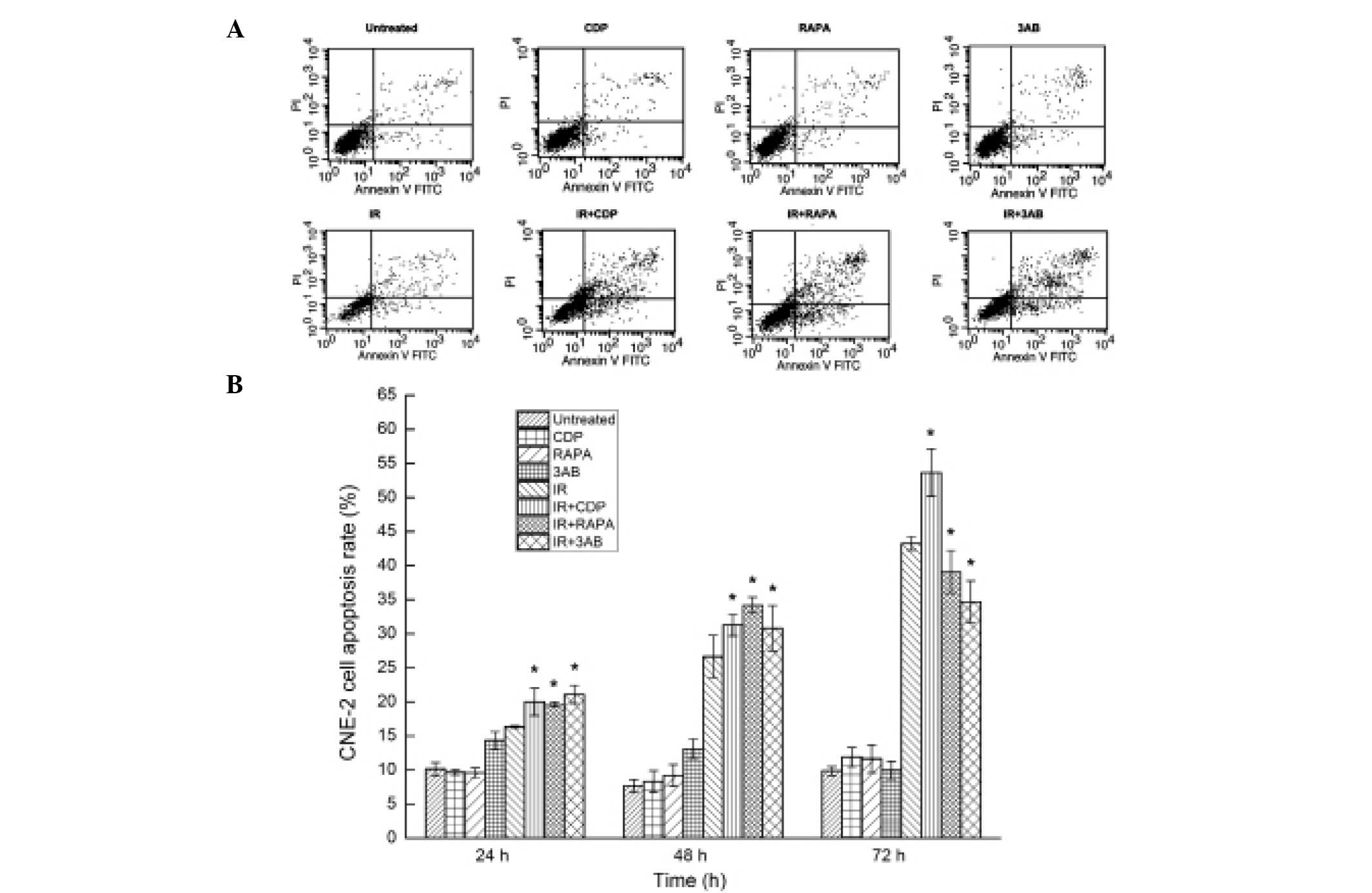
IR combined with autophagy inhibitor or inducer caused CNE-2 cell apoptosis; 48 h after IR, the apoptosis rates of CNE-2 cells in the untreated group, CDP group, RAPA group, 3AB group, IR group, IR + CDP group, IR + RAPA group and IR + 3AB group, were 7.71±0.90, 8.29±1.60, 9.20±1.59, 9.91±0.75, 26.63±3.11, 31.28±1.58, 34.19±1.15 and 30.80±3.33%, respectively. Significant differences in the apoptosis rates were observed between the groups (F=109.69, P<0.01). The apoptosis rate was significantly higher in the CDP + IR, RAPA + IR and 3AB + IR group than that in the IR alone group (P<0.01) (Fig. 5A). At 24 or 48 h after IR, a similar phenomenon was observed, but at 72 h after IR, RAPA or 3AB combined with IR promoted cell survival rather than enhanced CNE-2 cell apoptosis (Fig. 5B).

Figure 5

Analysis of CNE-2 cell apoptosis. (A) Cell apoptosis was detected by flow cytometry 48 h after IR. The apoptosis rate was evaluated by staining of cells with Annexin V/PI. In the dual parameter dot plots cells undergoing early apoptosis are shown in the lower-right quadrant (Annexin V+/PI-), and cells undergoing late apoptosis are shown in the upper right quadrant (Annexin V+/PI+). The apoptosis rate was higher in the IR + CDP, IR + RAPA and IR + 3AB groups, when compared with that in the IR alone group; the difference was statistically significant (P<0.05). (B) Cell apoptosis was detected by flow cytometry at 24, 48 and 72 h after IR, respectively. CDP combined with IR, RAPA combined with IR, and 3AB combined with IR all enhanced CNE-2 cell apoptosis at 24 and 48 h after irradiation. However, CDP combined with IR continued to enhance cell apoptosis at 72 h after IR while RAPA combined with IR and 3AB combined with IR promoted cell survival rather than enhanced cell apoptosis. *P<0.05 vs. IR alone. CDP, chloroquine diphosphate; RAPA, rapamycin; 3AB, 3-amino benzamide; IR, ionizing radiation.

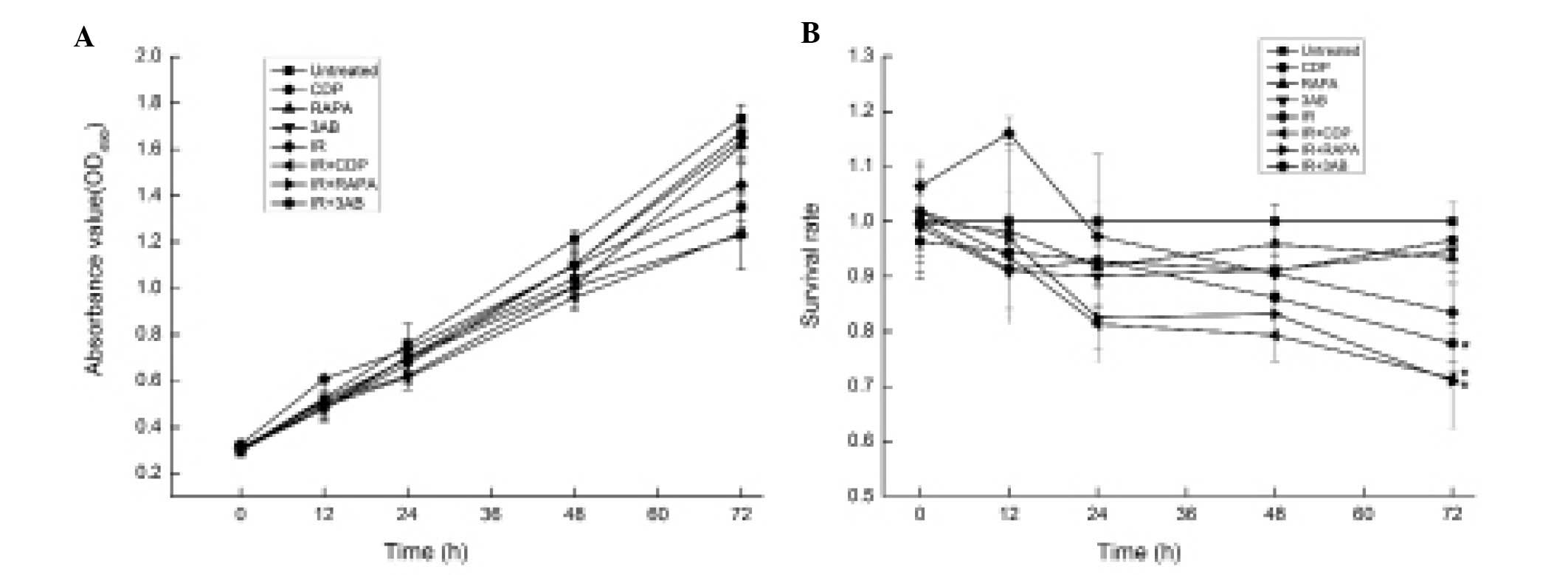
Autophagy or PARP-1 inhibitor contributes to inhibition of CNE-2 cell proliferation and survival rate after irradiation

MTT assay was used to further elucidate whether the sensitivity of CNE-2 cells to IR occurred through autophagy or PARP-1 inhibition. The absorbance value indicates the proliferation and survival of cells; the higher the absorbance value, the higher the number of surviving cells. The proliferation rate of the CDP, RAPA or 3AB combined with 6 Gy IR groups was lower than that of the IR alone group (Fig. 6A). There were significant differences in the number of surviving cells and the survival rate between the different treatment groups 72 h after IR (F=50.40, P<0.01) (Fig. 6A). The survival rates of the CDP, RAPA or 3AB combined with 6 Gy IR group were significantly lower than that of the IR alone group, at each time point (P<0.01) (Fig. 6B).

Figure 6

Effects of different treatment procedures on the viability of CNE-2 cells. (A) Cell proliferation was assessed by MTT method. (B) The survival rate was calculated as follows: (OD values of the experimental samples/OD values of the control) × 100%. Data are presented as means ± SD, n=3. *P<0.05, vs. IR alone. CDP, chloroquine diphosphate; RAPA, rapamycin; 3AB, 3-amino benzamide; IR, ionizing radiation.

Autophagy or PARP-1 inhibitor contributes to the radiation sensitization of CNE-2 cells

As expected, the effect of CDP, RAPA and 3AB on the lethality of IR was ascertained by clonogenic survival assay. GraphPad Prism 5.0 Software using the linear-quadratic model was used to calculate the radiobiology parameters and fitting dose survival curve (Table I and Fig. 7). Compared with IR alone, the IR + CDP group caused increased radiosensitivity of CNE-2 cells; RAPA or 3AB combined with IR showed a similar role and suggests that autophagy inhibition may be an approach to enhance the lethality of radiation.

Figure 7

Cell survival curves of the CNE-2 cells. Clonogenic survival assay was performed to evaluate long-term cell survival. The cell survival curves of CNE-2 cells treated with IR alone or in combination with CDP, RAPA or 3AB were assessed using the linear-quadratic formulation. CDP, chloroquine diphosphate; RAPA, rapamycin; 3AB, 3-amino benzamide; IR, ionizing radiation.

Table I

Radiobiology parameters (the linear-quadratic model).

Table I

Radiobiology parameters (the linear-quadratic model).

Groupαβα/β
IR0.496±0.0130.034±0.00514.898±2.932
IR + CDP0.770±0.017a0.029±0.01434.028±22.440
IR + RAPA0.706±0.026a0.029±0.01529.673±16.713
IR + 3AB0.785±0.033a0.057±0.02315.769±7.553
F-value97.6312.2471.333
P-value0.0000.1600.330

{ label (or @symbol) needed for fn[@id='tfn1-or-29-06-2498'] } Each value is expressed as the means ± SD.

a P<0.01, vs. IR alone.

{ label (or @symbol) needed for fn[@id='tfn3-or-29-06-2498'] } CDP, chloroquine diphosphate; RAPA, rapamycin; 3AB, 3-amino benzamide; IR, ionizing radiation.

Discussion

Apoptosis is a process of programmed cell death, autophagy is a process of programmed cell survival (27). Yet, too much or too little autophagy can damage cells. In some cases, autophagy can cause cell death. Several reports in the early literature also called autophagy ‘type II programmed cell death’, but now it is a misnomer (28,29). At present, concerning the relationship between autophagy and radiation sensitization of tumor cells, several scholars believe that inhibition of autophagy of tumor cells can improve the effect of radiotherapy (11,21,23). Chen et al(21) found that autophagy inhibitor 3-methyladenine (3-MA) combined with radiation increased the apoptosis of esophageal squamous carcinoma cells. Restraining autophagy increased the cytotoxicity of radiotherapy in esophageal carcinoma cells and arrested the cell cycle in the G2/M phase, increasing the sensitivity of radiotherapy. Ito et al(23) found that autophagy inhibitors, 3-MA and bafilomycin A1, increased the sensitivity of malignant glioma U373-MG cells. Meanwhile, radiation caused increased DNA double chain ruptures after inhibition of autophagy. Thus, autophagy inhibitors may become a type of new radiotherapy sensitization agents for malignant glioma. Several researchers also suggest that inducing autophagy improves the effect of radiotherapy on tumors (20,22). Cao et al(20) found that mTOR inhibitors, rapamycin and RAD001, inhibit mTOR function and induce autophagy, consquently improving the radiotherapy effect in breast cancer cells.

The present study demonstrated that radiation causes autophagy, and LC3-II protein levels were increased in a dose- and time-dependent manner induced by irradiation in CNE-2 cells. LC3-II is currently the only protein identified which is present in autophagic bodies and autophagy-lysosome membrane (30). Our research also detected autophagy body formation and the quantity in nasopharyngeal carcinoma cells by TEM which is the gold standard of autophagy detection, which further corroborated the test results of the western blot analysis.

Autophagy inhibitor CDP damages the structure and function of lysosomes to inhibit autophagy. It causes autophagy-lysosome to gather together and the degradation of LC3-II is reduced. RAPA is an autophagy inducer and causes Atg13 dephosphorylated and Atg1 activation by inhibiting mTOR activity to induce autophagy (24). In this study, CDP inhibited CNE-2 cell autophagy and RAPA induced CNE-2 cell autophagy caused by irradiation (31). It is important to note that CDP, by destroying the lysosome structure and function, inhibits autophagy, causes autophagy-lysosome together, and reduces LC3-II degradation. LC3-II failed to undergo effective decomposition, thus in the CDP-treated group, LC3-II expression level was increased, which confirmed that CDP inhibits autophagy; the characteristic of CDP is different from the autophagic inhibitor 3-MA (21).

Flow cytometry detected the apoptosis rate of the different groups at 24, 48 and 72 h after radiation. Our study showed that the apoptosis rate of the CDP + IR group significantly increased at the three time points compared with the IR alone group, which indicated that autophagy inhibitors can improve the sensitivity of the early response of nasopharyngeal carcinoma cells to IR. Although the autophagy inducer RAPA combined with IR significantly decreased the apoptosis rate at 72 h after radiation compared with the IR alone group, it significantly increased rather than decreased the apoptosis rate at 24 or 48 h after radiation. The results concerning the effect of RAPA were contradictory, and the reasons may be as follows: i) the characteristics of the RAPA drug itself, which was used widely as an antifungal drug; ii) physiological autophagy is a dynamic balance; a dysregulated balance may cause damage; 10 Gy IR combined with RAPA have synergy, and excessive autophagy may be also a type of cell death consequently leading to an increase in the apoptosis rate. Autophagy is a double-edged sword. Autophagy caused by IR inhibits the cell death process and plays a protective role. Thus, inhibiting autophagy can increase the radiation sensitization of CNE-2 cells. However, excessive autophagy may also cause cell death (6,7,12,13). According to the radiation biology, the surviving cells after radiation require concern. Only those cells that lose their proliferation capability and are unable to form effective clone cells are unable to cause cancer recurrence. We used a quadratic linear model to construct dose survival curves and calculate the radiation biology parameters. The results suggest that autophagy inhibitors significantly increased radiation sensitization, autophagy inducers showed a similar effect. The proliferation of the cells treated with an autophagy inhibitor combined with IR decreased.

In the present study, we identifed a novel function for PARP-1 in mediating IR-induced autophagy and such autophagy plays a pro-survival function in IR-induced cell death. Although at the 72-h time point, 3AB promoted CNE-2 cell survival rather than enhanced cell apoptosis, a clonogenic survival assay was performed to evaluate long-term cell survival. The result showed that the PARP-1 inhibitor contributed to radiation sensitization of CNE-2 cells (16). It appears that PARP-1 is able to elicit dual pathways with opposite functions in response to oxidative stress (31), as illustrated in Fig. 5B. The decision of cell life or death is dependent on the balance between apoptosis and autophagy mediated by these two distinct pathways. Oxidative DNA damage includes modifications to bases and the sugar phosphates, as well as single- or double-strand DNA breaks. Such damage leads to PARP-1 activation, suppression of ATP production and finally cell death. Furthermore, overactivation of PARP-1 produces large quantities of PAR polymers, leading to autophagy, and finally cell survival.

In summary, we demonstrated a novel function of PARP-1 in the regulation of IR-induced autophagy through the mTOR signaling pathway, and such autophagy serves as a cell survival mechanism against IR-mediated cell death. Autophagy inhibitors and PARP-1 inhibitors contributed to the radiation sensitization of CNE-2 cells. This suggests that CDP or 3AB may be used as adjuvant treatment for nasopharyngeal carcinoma. Further animal experiments and clinical tests are warranted to verify our findings.

Acknowledgements

The authors thank Zhangyu Zou from the Department of Neurology of Peking Union Medical College Hospital, Chinese Academy of Medical Sciences and Peking Union Medical College, for the valuable discussions. The study was supported by the NSFC (Natural Science Foundation of China) (81160285) and the Guangxi Natural Science Foundation (2010gxnsfa013240).

References

1 

Wei WI and Sham JST: Nasopharyngeal carcinoma. Lancet. 365:2041–2054. 2005. View Article : Google Scholar : PubMed/NCBI

2 

Feng XP, Yi H, Li MY, et al: Identification of biomarkers for predicting nasopharyngeal carcinoma response to radiotherapy by proteomics. Cancer Res. 70:3450–3462. 2010. View Article : Google Scholar : PubMed/NCBI

3 

Guo Y, Zhu XD, Qu S, et al: Identification of genes involved in radioresistance of nasopharyngeal carcinoma by integrating gene ontology and protein-protein interaction networks. Int J Oncol. 40:85–92. 2012.

4 

Mizushima N: Autophagy: process and function. Genes Dev. 21:2861–2873. 2007. View Article : Google Scholar

5 

Mizushima N, Levine B, Cuervo AM and Klionsky DJ: Autophagy fights disease through cellular self-digestion. Nature. 451:1069–1075. 2008. View Article : Google Scholar : PubMed/NCBI

6 

Degenhardt K, Mathew R, Beaudoin B, et al: Autophagy promotes tumor cell survival and restricts necrosis, inflammation, and tumorigenesis. Cancer Cell. 10:51–64. 2006. View Article : Google Scholar : PubMed/NCBI

7 

Shintani T and Klionsky DJ: Autophagy in health and disease: a double-edged sword. Science. 306:990–995. 2004. View Article : Google Scholar : PubMed/NCBI

8 

Komatsu M, Waguri S, Chiba T, et al: Loss of autophagy in the central nervous system causes neurodegeneration in mice. Nature. 441:880–884. 2006. View Article : Google Scholar : PubMed/NCBI

9 

Hara T, Nakamura K, Matsui M, et al: Suppression of basal autophagy in neural cells causes neurodegenerative disease in mice. Nature. 441:885–889. 2006. View Article : Google Scholar : PubMed/NCBI

10 

Dalby KN, Tekedereli I, Lopez-Berestein G and Ozpolat B: Targeting the prodeath and prosurvival functions of autophagy as novel therapeutic strategies in cancer. Autophagy. 6:322–329. 2010. View Article : Google Scholar : PubMed/NCBI

11 

Apel A, Herr I, Schwarz H, Rodemann HP and Mayer A: Blocked autophagy sensitizes resistant carcinoma cells to radiation therapy. Cancer Res. 68:1485–1494. 2008. View Article : Google Scholar : PubMed/NCBI

12 

Marx J: Autophagy: is it cancer’s friend or foe? Science. 312:1160–1161. 2006.

13 

Wu WK, Coffelt SB, Cho CH, et al: The autophagic paradox in cancer therapy. Oncogene. 31:939–953. 2012. View Article : Google Scholar : PubMed/NCBI

14 

Schreiber V, Dantzer F, Ame JC and de Murcia G: Poly(ADP-ribose): novel functions for an old molecule. Nat Rev Mol Cell Biol. 7:517–528. 2006. View Article : Google Scholar : PubMed/NCBI

15 

Yu SW, Wang H, Poitras MF, et al: Mediation of poly(ADP-ribose) polymerase-1-dependent cell death by apoptosis-inducing factor. Science. 297:259–263. 2002. View Article : Google Scholar : PubMed/NCBI

16 

Jagtap P and Szabo C: Poly(ADP-ribose) polymerase and the therapeutic effects of its inhibitors. Nat Rev Drug Discov. 4:421–440. 2005. View Article : Google Scholar : PubMed/NCBI

17 

Ha HC and Snyder SH: Poly(ADP-ribose) polymerase is a mediator of necrotic cell death by ATP depletion. Proc Natl Acad Sci USA. 96:13978–13982. 1999. View Article : Google Scholar : PubMed/NCBI

18 

Albert JM, Cao C, Kim KW, et al: Inhibition of poly (ADP-ribose) polymerase enhances cell death and improves tumor growth delay in irradiated lung cancer models. Clin Cancer Res. 13:3033–3042. 2007. View Article : Google Scholar

19 

Hagan MP, Yacoub A and Dent P: Radiation-induced PARP activation is enhanced through EGFR-ERK signaling. J Cell Biochem. 101:1384–1393. 2007. View Article : Google Scholar : PubMed/NCBI

20 

Cao C, Subhawong T, Albert JM, et al: Inhibition of mammalian target of rapamycin or apoptotic pathway induces autophagy and radiosensitizes PTEN null prostate cancer cells. Cancer Res. 66:10040–10047. 2006. View Article : Google Scholar : PubMed/NCBI

21 

Chen YS, Song HX, Lu Y, et al: Autophagy inhibition contributes to radiation sensitization of esophageal squamous carcinoma cells. Dis Esophagus. 24:437–443. 2011. View Article : Google Scholar : PubMed/NCBI

22 

Lomonaco SL, Finniss S, Xiang CL, et al: The induction of autophagy by gamma-radiation contributes to the radioresistance of glioma stem cells. Int J Cancer. 125:717–722. 2009. View Article : Google Scholar : PubMed/NCBI

23 

Ito H, Daido S, Kanzawa T, Kondo S and Kondo Y: Radiation-induced autophagy is associated with LC3 and its inhibition sensitizes malignant glioma cells. Int J Oncol. 26:1401–1410. 2005.PubMed/NCBI

24 

Paglin S, Lee NY, Nakar C, et al: Rapamycin-sensitive pathway regulates mitochondrial membrane potential, autophagy, and survival in irradiated MCF-7 cells. Cancer Res. 65:11061–11070. 2005. View Article : Google Scholar

25 

Rieber M and Rieber MS: Sensitization to radiation-induced DNA damage accelerates loss of bcl-2 and increases apoptosis and autophagy. Cancer Biol Ther. 7:1561–1566. 2008. View Article : Google Scholar : PubMed/NCBI

26 

Peng PL, Kuo WH, Tseng HC and Chou FP: Synergistic tumor-killing effect of radiation and berberine combined treatment in lung cancer: the contribution of autophagic cell death. Int J Radiat Oncol Biol Phys. 70:529–542. 2008. View Article : Google Scholar : PubMed/NCBI

27 

Maiuri MC, Zalckvar E, Kimchi A and Kroemer G: Self-eating and self-killing: crosstalk between autophagy and apoptosis. Nat Rev Mol Cell Biol. 8:741–752. 2007. View Article : Google Scholar : PubMed/NCBI

28 

Kroemer G and Levine B: Autophagic cell death: the story of a misnomer. Nat Rev Mol Cell Biol. 9:1004–1010. 2008. View Article : Google Scholar : PubMed/NCBI

29 

Levine B and Yuan JY: Autophagy in cell death: an innocent convict? J Clin Invest. 115:2679–2688. 2005. View Article : Google Scholar : PubMed/NCBI

30 

Galluzzi L, Aaronson SA, Abrams J, et al: Guidelines for the use and interpretation of assays for monitoring cell death in higher eukaryotes. Cell Death Differ. 16:1093–1107. 2009. View Article : Google Scholar : PubMed/NCBI

31 

Huang Q and Shen HM: To die or to live: the dual role of poly(ADP-ribose) polymerase-1 in autophagy and necrosis under oxidative stress and DNA damage. Autophagy. 5:273–276. 2009. View Article : Google Scholar

Related Articles

  • Abstract
  • View
  • Download
  • Twitter
Copy and paste a formatted citation
Spandidos Publications style
Zhou Z, Zhu X, Zhao W, Qu S, Su F, Huang S, Ma J and Li X: Poly(ADP-ribose) polymerase-1 regulates the mechanism of irradiation-induced CNE-2 human nasopharyngeal carcinoma cell autophagy and inhibition of autophagy contributes to the radiation sensitization of CNE-2 cells. Oncol Rep 29: 2498-2506, 2013.
APA
Zhou, Z., Zhu, X., Zhao, W., Qu, S., Su, F., Huang, S. ... Li, X. (2013). Poly(ADP-ribose) polymerase-1 regulates the mechanism of irradiation-induced CNE-2 human nasopharyngeal carcinoma cell autophagy and inhibition of autophagy contributes to the radiation sensitization of CNE-2 cells. Oncology Reports, 29, 2498-2506. https://doi.org/10.3892/or.2013.2382
MLA
Zhou, Z., Zhu, X., Zhao, W., Qu, S., Su, F., Huang, S., Ma, J., Li, X."Poly(ADP-ribose) polymerase-1 regulates the mechanism of irradiation-induced CNE-2 human nasopharyngeal carcinoma cell autophagy and inhibition of autophagy contributes to the radiation sensitization of CNE-2 cells". Oncology Reports 29.6 (2013): 2498-2506.
Chicago
Zhou, Z., Zhu, X., Zhao, W., Qu, S., Su, F., Huang, S., Ma, J., Li, X."Poly(ADP-ribose) polymerase-1 regulates the mechanism of irradiation-induced CNE-2 human nasopharyngeal carcinoma cell autophagy and inhibition of autophagy contributes to the radiation sensitization of CNE-2 cells". Oncology Reports 29, no. 6 (2013): 2498-2506. https://doi.org/10.3892/or.2013.2382
Copy and paste a formatted citation
x
Spandidos Publications style
Zhou Z, Zhu X, Zhao W, Qu S, Su F, Huang S, Ma J and Li X: Poly(ADP-ribose) polymerase-1 regulates the mechanism of irradiation-induced CNE-2 human nasopharyngeal carcinoma cell autophagy and inhibition of autophagy contributes to the radiation sensitization of CNE-2 cells. Oncol Rep 29: 2498-2506, 2013.
APA
Zhou, Z., Zhu, X., Zhao, W., Qu, S., Su, F., Huang, S. ... Li, X. (2013). Poly(ADP-ribose) polymerase-1 regulates the mechanism of irradiation-induced CNE-2 human nasopharyngeal carcinoma cell autophagy and inhibition of autophagy contributes to the radiation sensitization of CNE-2 cells. Oncology Reports, 29, 2498-2506. https://doi.org/10.3892/or.2013.2382
MLA
Zhou, Z., Zhu, X., Zhao, W., Qu, S., Su, F., Huang, S., Ma, J., Li, X."Poly(ADP-ribose) polymerase-1 regulates the mechanism of irradiation-induced CNE-2 human nasopharyngeal carcinoma cell autophagy and inhibition of autophagy contributes to the radiation sensitization of CNE-2 cells". Oncology Reports 29.6 (2013): 2498-2506.
Chicago
Zhou, Z., Zhu, X., Zhao, W., Qu, S., Su, F., Huang, S., Ma, J., Li, X."Poly(ADP-ribose) polymerase-1 regulates the mechanism of irradiation-induced CNE-2 human nasopharyngeal carcinoma cell autophagy and inhibition of autophagy contributes to the radiation sensitization of CNE-2 cells". Oncology Reports 29, no. 6 (2013): 2498-2506. https://doi.org/10.3892/or.2013.2382
Follow us
  • Twitter
  • LinkedIn
  • Facebook
About
  • Spandidos Publications
  • Careers
  • Cookie Policy
  • Privacy Policy
How can we help?
  • Help
  • Live Chat
  • Contact
  • Email to our Support Team