Spandidos Publications Logo
  • About
    • About Spandidos
    • Aims and Scopes
    • Abstracting and Indexing
    • Editorial Policies
    • Reprints and Permissions
    • Job Opportunities
    • Terms and Conditions
    • Contact
  • Journals
    • All Journals
    • Oncology Letters
      • Oncology Letters
      • Information for Authors
      • Editorial Policies
      • Editorial Board
      • Aims and Scope
      • Abstracting and Indexing
      • Bibliographic Information
      • Archive
    • International Journal of Oncology
      • International Journal of Oncology
      • Information for Authors
      • Editorial Policies
      • Editorial Board
      • Aims and Scope
      • Abstracting and Indexing
      • Bibliographic Information
      • Archive
    • Molecular and Clinical Oncology
      • Molecular and Clinical Oncology
      • Information for Authors
      • Editorial Policies
      • Editorial Board
      • Aims and Scope
      • Abstracting and Indexing
      • Bibliographic Information
      • Archive
    • Experimental and Therapeutic Medicine
      • Experimental and Therapeutic Medicine
      • Information for Authors
      • Editorial Policies
      • Editorial Board
      • Aims and Scope
      • Abstracting and Indexing
      • Bibliographic Information
      • Archive
    • International Journal of Molecular Medicine
      • International Journal of Molecular Medicine
      • Information for Authors
      • Editorial Policies
      • Editorial Board
      • Aims and Scope
      • Abstracting and Indexing
      • Bibliographic Information
      • Archive
    • Biomedical Reports
      • Biomedical Reports
      • Information for Authors
      • Editorial Policies
      • Editorial Board
      • Aims and Scope
      • Abstracting and Indexing
      • Bibliographic Information
      • Archive
    • Oncology Reports
      • Oncology Reports
      • Information for Authors
      • Editorial Policies
      • Editorial Board
      • Aims and Scope
      • Abstracting and Indexing
      • Bibliographic Information
      • Archive
    • Molecular Medicine Reports
      • Molecular Medicine Reports
      • Information for Authors
      • Editorial Policies
      • Editorial Board
      • Aims and Scope
      • Abstracting and Indexing
      • Bibliographic Information
      • Archive
    • World Academy of Sciences Journal
      • World Academy of Sciences Journal
      • Information for Authors
      • Editorial Policies
      • Editorial Board
      • Aims and Scope
      • Abstracting and Indexing
      • Bibliographic Information
      • Archive
    • International Journal of Functional Nutrition
      • International Journal of Functional Nutrition
      • Information for Authors
      • Editorial Policies
      • Editorial Board
      • Aims and Scope
      • Abstracting and Indexing
      • Bibliographic Information
      • Archive
    • International Journal of Epigenetics
      • International Journal of Epigenetics
      • Information for Authors
      • Editorial Policies
      • Editorial Board
      • Aims and Scope
      • Abstracting and Indexing
      • Bibliographic Information
      • Archive
    • Medicine International
      • Medicine International
      • Information for Authors
      • Editorial Policies
      • Editorial Board
      • Aims and Scope
      • Abstracting and Indexing
      • Bibliographic Information
      • Archive
  • Articles
  • Information
    • Information for Authors
    • Information for Reviewers
    • Information for Librarians
    • Information for Advertisers
    • Conferences
  • Language Editing
Spandidos Publications Logo
  • About
    • About Spandidos
    • Aims and Scopes
    • Abstracting and Indexing
    • Editorial Policies
    • Reprints and Permissions
    • Job Opportunities
    • Terms and Conditions
    • Contact
  • Journals
    • All Journals
    • Biomedical Reports
      • Information for Authors
      • Editorial Policies
      • Editorial Board
      • Aims and Scope
      • Abstracting and Indexing
      • Bibliographic Information
      • Archive
    • Experimental and Therapeutic Medicine
      • Information for Authors
      • Editorial Policies
      • Editorial Board
      • Aims and Scope
      • Abstracting and Indexing
      • Bibliographic Information
      • Archive
    • International Journal of Epigenetics
      • Information for Authors
      • Editorial Policies
      • Editorial Board
      • Aims and Scope
      • Abstracting and Indexing
      • Bibliographic Information
      • Archive
    • International Journal of Functional Nutrition
      • Information for Authors
      • Editorial Policies
      • Editorial Board
      • Aims and Scope
      • Abstracting and Indexing
      • Bibliographic Information
      • Archive
    • International Journal of Molecular Medicine
      • Information for Authors
      • Editorial Policies
      • Editorial Board
      • Aims and Scope
      • Abstracting and Indexing
      • Bibliographic Information
      • Archive
    • International Journal of Oncology
      • Information for Authors
      • Editorial Policies
      • Editorial Board
      • Aims and Scope
      • Abstracting and Indexing
      • Bibliographic Information
      • Archive
    • Medicine International
      • Information for Authors
      • Editorial Policies
      • Editorial Board
      • Aims and Scope
      • Abstracting and Indexing
      • Bibliographic Information
      • Archive
    • Molecular and Clinical Oncology
      • Information for Authors
      • Editorial Policies
      • Editorial Board
      • Aims and Scope
      • Abstracting and Indexing
      • Bibliographic Information
      • Archive
    • Molecular Medicine Reports
      • Information for Authors
      • Editorial Policies
      • Editorial Board
      • Aims and Scope
      • Abstracting and Indexing
      • Bibliographic Information
      • Archive
    • Oncology Letters
      • Information for Authors
      • Editorial Policies
      • Editorial Board
      • Aims and Scope
      • Abstracting and Indexing
      • Bibliographic Information
      • Archive
    • Oncology Reports
      • Information for Authors
      • Editorial Policies
      • Editorial Board
      • Aims and Scope
      • Abstracting and Indexing
      • Bibliographic Information
      • Archive
    • World Academy of Sciences Journal
      • Information for Authors
      • Editorial Policies
      • Editorial Board
      • Aims and Scope
      • Abstracting and Indexing
      • Bibliographic Information
      • Archive
  • Articles
  • Information
    • For Authors
    • For Reviewers
    • For Librarians
    • For Advertisers
    • Conferences
  • Language Editing
Login Register Submit
  • This site uses cookies
  • You can change your cookie settings at any time by following the instructions in our Cookie Policy. To find out more, you may read our Privacy Policy.

    I agree
Search articles by DOI, keyword, author or affiliation
Search
Advanced Search
presentation
Oncology Reports
Join Editorial Board Propose a Special Issue
Print ISSN: 1021-335X Online ISSN: 1791-2431
Journal Cover
November-2016 Volume 36 Issue 5

Full Size Image

Sign up for eToc alerts
Recommend to Library

Journals

International Journal of Molecular Medicine

International Journal of Molecular Medicine

International Journal of Molecular Medicine is an international journal devoted to molecular mechanisms of human disease.

International Journal of Oncology

International Journal of Oncology

International Journal of Oncology is an international journal devoted to oncology research and cancer treatment.

Molecular Medicine Reports

Molecular Medicine Reports

Covers molecular medicine topics such as pharmacology, pathology, genetics, neuroscience, infectious diseases, molecular cardiology, and molecular surgery.

Oncology Reports

Oncology Reports

Oncology Reports is an international journal devoted to fundamental and applied research in Oncology.

Experimental and Therapeutic Medicine

Experimental and Therapeutic Medicine

Experimental and Therapeutic Medicine is an international journal devoted to laboratory and clinical medicine.

Oncology Letters

Oncology Letters

Oncology Letters is an international journal devoted to Experimental and Clinical Oncology.

Biomedical Reports

Biomedical Reports

Explores a wide range of biological and medical fields, including pharmacology, genetics, microbiology, neuroscience, and molecular cardiology.

Molecular and Clinical Oncology

Molecular and Clinical Oncology

International journal addressing all aspects of oncology research, from tumorigenesis and oncogenes to chemotherapy and metastasis.

World Academy of Sciences Journal

World Academy of Sciences Journal

Multidisciplinary open-access journal spanning biochemistry, genetics, neuroscience, environmental health, and synthetic biology.

International Journal of Functional Nutrition

International Journal of Functional Nutrition

Open-access journal combining biochemistry, pharmacology, immunology, and genetics to advance health through functional nutrition.

International Journal of Epigenetics

International Journal of Epigenetics

Publishes open-access research on using epigenetics to advance understanding and treatment of human disease.

Medicine International

Medicine International

An International Open Access Journal Devoted to General Medicine.

Journal Cover
November-2016 Volume 36 Issue 5

Full Size Image

Sign up for eToc alerts
Recommend to Library

  • Article
  • Citations
    • Cite This Article
    • Download Citation
    • Create Citation Alert
    • Remove Citation Alert
    • Cited By
  • Similar Articles
    • Related Articles (in Spandidos Publications)
    • Similar Articles (Google Scholar)
    • Similar Articles (PubMed)
  • Download PDF
  • Download XML
  • View XML
Article

MicroRNA-127-3p acts as a tumor suppressor in epithelial ovarian cancer by regulating the BAG5 gene

  • Authors:
    • Linlin Bi
    • Qian Yang
    • Jiani Yuan
    • Qing Miao
    • Linrui Duan
    • Feng Li
    • Siwang Wang
  • View Affiliations / Copyright

    Affiliations: Department of Natural Medicine, School of Pharmacy, The Fourth Military Medical University, Xi'an, Shaanxi 710032, P.R. China, Department of Pharmacy, PLA 401 Hospital, Qingdao, Shandong 266071, P.R. China, Department of Traditional Chinese Medicine, Xijing Hospital of The Fourth Military Medical University, Xi'an, Shaanxi 710032, P.R. China
  • Pages: 2563-2570
    |
    Published online on: August 29, 2016
       https://doi.org/10.3892/or.2016.5055
  • Expand metrics +
Metrics: Total Views: 0 (Spandidos Publications: | PMC Statistics: )
Metrics: Total PDF Downloads: 0 (Spandidos Publications: | PMC Statistics: )
Cited By (CrossRef): 0 citations Loading Articles...

This article is mentioned in:



Abstract

In the present study, the tumor-suppressive role of microRNA-127-3p (miR-127-3p) in epithelial ovarian cancer (EOC) was elucidated. Expression of miR-127-3p was examined by quantitative RT-PCR (qRT-PCR) in 9 EOC cell lines and clinical samples from 13 EOC patients. EOC cell lines, OVCAR-3 and Caov-3, were transduced with a lentivirus to overexpress endogenous miR-127-3p. The tumor-suppressive effects of miR-127-3p on EOC proliferation, bufalin sensitivity, invasion and in vivo growth were investigated through proliferation, bufalin sensitivity wound-closure and in vivo tumorigenicity assays, respectively. In addition, luciferase reporter assay and qRT-PCR were conducted to verify whether the Bcl-2-associated athanogene 5 (BAG5) gene was the downstream target of miR-127-3p in EOC. BAG5 was subsequently upregulated in the OVCAR-3 and Caov-3 cells to examine its functional correlation with miR‑127-3p regulation in EOC. The results revealed that in both EOC cell lines and EOC tumor tissues, miR-127-3p was downregulated. Lentiviral-mediated miR-127-3p overexpression exerted tumor-suppressive effects in OVCAR-3 and Caov-3 cells by reducing in vitro proliferation and invasion, increasing bufalin sensitivity, and inhibiting in vivo tumor growth. miR‑127-3p directly regulated the BAG5 gene in EOC. Subsequent BAG5 upregulation ameliorated the tumor-suppressive effects of miR-127-3p overexpression in EOC. In conclusion, miR-127-3p functions as a tumor suppressor in EOC, and its influence on EOC is directly through regulation of BAG5.

Introduction

Epithelial ovarian cancer (EOC) is one of the most malignant gynecological cancers worldwide (1,2). In the United States alone, there were more than 20,000 estimated new cases, and more than 14,000 deaths due to EOC (3). Both genetic and epigenetic factors may contribute significantly to the origin of EOC (2). Despite numerous efforts, the exact mechanisms of EOC pathogenesis are fundamentally unknown, and methods for early diagnosis and novel therapies are largely lacking. Thus, it is critical to explore the molecular mechanisms underlying EOC carcinogenesis, development and metastasis to seek novel therapeutic targets for patients with EOC.

MicroRNAs (miRNAs) are a group of small-length (18–22 nucleotides long) non-coding RNAs that bind the complementary sites of the 3′-untranslated region (3′-UTR) of target genes to induce gene inhibition and protein degradation (4,5). miRNAs have been shown to play critical roles in human cancer, acting as either oncogenes or tumor suppressors (6,7). In human EOC, both upregulated and downregulated miRNAs have been discovered (8), suggesting that the regulation of miRNAs in EOC may be complex, as well as their associated signaling pathways. MicroRNA-127-3p (miR-127-3p), also referred to as miR-127, was often found to be downregulated in human tumors and acts as a tumor suppressor in breast and gastric cancer (9,10). miR-127-3p was also found to be downregulated in clinical samples from EOC patients (11,12). Yet, the functional mechanisms of miR-127-3p have never been elucidated in EOC.

In the present study, we evaluated the expression pattern of miR-127-3p in both EOC cell lines and EOC tumor samples. Then, we hypothesized that miR-127-3p may act as a tumor suppressor in EOC as in other human cancers, and tested this hypothesis by endogenously overexpressing miR-127-3p in EOC cell lines, OVCAR-3 and Caov-3, through lentiviral transduction. The functional effects of miR-127-3p overexpression on EOC proliferation, drug (bufalin) sensitivity, invasion and in vivo tumorigenicity were then carefully evaluated. Furthermore, we hypothesized that the Bcl-2-associated athanogene 5 (BAG5) gene is the downstream target of miR-127-3p in EOC. We then tested this hypothesis through dual-luciferase reporter assay and qRT-PCR. Subsequently, BAG5 was upregulated in OVCAR-3 and Caov-3 cells, and its interaction with miR-127-3p overexpression on regulating EOC was further investigated.

Materials and methods

Statement of ethics

All experimental protocols were approved by the ethics committees at the participating hospitals. All procedures were conducted in accordance to the principles of the Declaration of Helsinki, and Local and National Medical Practice Laws. Consent forms were signed by all participating patients.

Cell lines and patients

In this study, five EOC cell lines, SKOV-3, OVCAR-3, Caov-3, ES-2, PA-1 and a non-tumorigenic human-derived ovarian cell line, HS-832, were obtained from the American Type Culture Collection (ATCC; Manassas, VA, USA). Four EOC cell lines, MCAS, OVCA432, OVCA429 and PEO4 were obtained from the Cell Bank of the Type Culture Collection of the Chinese Academy of Sciences (Shanghai, China). All cells were maintained in RPMI-1640 medium supplemented with 10% fetal bovine serum (FBS) (both from Thermo Fisher Scientific, USA) in a tissue culture chamber supplied with 95% CO2 and 5% CO2 at 37°C. The clinical samples of paired EOC tumors (tumor) and their adjacent normal ovarian epithelial tissues (normal) were surgically obtained from 13 patients between June 2012 to December 2015. Clinical samples were snap-frozen in liquid nitrogen and stored in an −80°C bio-freezer (Forma Scientific, USA) until processed.

RNA isolation and quantitative RT-PCR

Total RNA was isolated from the EOC cell lines or EOC patient clinical samples using an RNeasy Mini kit (Qiagen, USA) according to the manufacturer's protocol. Using 100 ng RNA from each sample, cDNA was reversely synthesized with a TaqMan Reverse Transcription kit (Applied Biosystems, USA). Quantitative RT-PCR (qRT-PCR) was conducted on an ABI Prism 7900 Sequence detection system (Applied Biosystems). For BAG5 gene detection, a SYBR Green PCR Master Mix kit (Applied Biosystems) was conducted with the following reaction conditions, 95°C for 15 min; 38 cycles of 95°C for 30 sec, 58°C for 40 sec, and 70°C for 30 sec. 18S was used as a loading control. For miR-127-3p detection, a TaqMan miRNA assay (Applied Biosystems) was conducted with the following reaction conditions, 95°C for 15 min; and 38 cycles of 95°C for 30 sec and 62°C for 40 sec. U6 snRNA was used as a loading control. All reactions were conducted in biological triplicates. Relative gene expression levels were measured as fold changes using the 2−∆∆Ct method.

miR-127-3p overexpression

A lentiviral vector expressing miR-127-3p mimics (L-miR127-Mimic), and a control lentivirus (L-C) were obtained from RiboBio Biotech (China). To overexpress hsa-miR-127-3p in EOC cell lines, 5×105 OVCAR-3 or Caov-3 cells were transduced with L-miR127-Mimic, along with a multiplicity of infection of 10 and 5 µg/ml Polybrene for 4 h. The control EOC cells were transduced with L-C. After 3 washes (5 min each time), the EOC cells were replenished with fresh culture medium and maintained for 48 h. After that, floating cells were aspirated. Healthy cells were suspended, re-seeded and readied for the next experiments.

Cancer proliferation assay

Five hundred OVCAR-3 or Caov-3 cells were seeded in a 96-well plate. The growth of EOC cells was measured by a CellTiter 96® Aqueous One cell proliferation assay (Promega, Madison, WI, USA) according the manufacturer's protocol. Briefly, proliferation solution (20 µl) was added into the cell culture for 1 h at 0, 1, 2, 3 and 4 days. The absorbance was measured at 490 nm.

Bufalin sensitivity assay

OVCAR-3 or Caov-3 cells were incubated with bufalin at various concentrations (0, 0.1, 0.5, 1, 10 and 100 ng/ml) for 48 h. The sensitivity of the EOC cells to bufalin was estimated by relative cell viability, which was measured by proliferation assay and then normalizing the absorbance values to the ones under control conditions (no bufalin treatment).

Invasion assay

In vitro invasive capability was measured by a wound closure assay. Briefly, 5×103 OVCAR-3 or Caov-3 cells were seeded in 96-well plates. Once confluent, the cells were incubated with 10 µg/ml mitomycin (Sigma-Aldrich, USA) for 2 h to stop proliferation. Then, a 96-pin wound-maker (Essen Biosciences, UK) was used to create defined wound areas. Phase-contrast images were captured immediately (0 h) and 24 h after wound creation. The invasive capability was determined by measuring the reduction on the wound area between 0 and 24 h using ImageJ software (NIH, Bethesda, MA, USA).

Tumorigenicity assay

OVCAR-3 cells transduced with L-miR127-Mimic or L-C were subcutaneously injected into both flanks of four adult athymic nude mice (1×106/injection in 8-week old mice). Tumor volume (mm3) was monitored weekly for 5 weeks, using the formula L × W2/2, in which L and W are the longest and shortest diameters respectively of the tumor. After 5 weeks, the mice were sacrificed. Tumors from both flanks were extracted from 4 mice (M1–M4) for visual examination.

Luciferase reporter assay

Wild-type and mutant 3′-UTRs of the human BAG5 gene were cloned into the psiCHECK2 luciferase vector (Promega). HEK293T cells were seeded in 6-well plates and co-transfected with BAG5-WildType, BAG5-Mutant or Renilla luciferase vectors, and L-C or L-miR-Mimic lentiviruses. Forty-eight hours after co-transfection, a dual-luciferase reporter assay (Promega) was conducted according to the manufacturer's protocol. Relative luciferase activities (against Renilla activity) were normalized to the activity with L-C transfection.

BAG5 upregulation assay

The whole sequence of the human BAG5 gene was cloned into a eukaryotic expression vector pcDNA3.1 (Life Technologies, USA) to generate a BAG5 overexpressing vector (pcDNA/BAG5). An empty pcDNA3.1 vector (pcDNA/+) was used as the control. OVCAR-3 and Caov-3 cells were then transfected with pcDNA/BAG5 or pcDNA/+ using Lipofectamine 2000 reagent (Thermo Fisher Scientific). Forty-eight hours after transfection, qRT-PCR was conducted to verify upregulation efficiency.

Statistical analysis

All assays were repeated at least three times. Results are presented as means ± standard errors. Statistic analyses were conducted using the Student's t-test on Windows-based SPSS software (SPSS 11.0; SPSS, Inc., USA). Statistical differences were significant at P<0.05.

Results

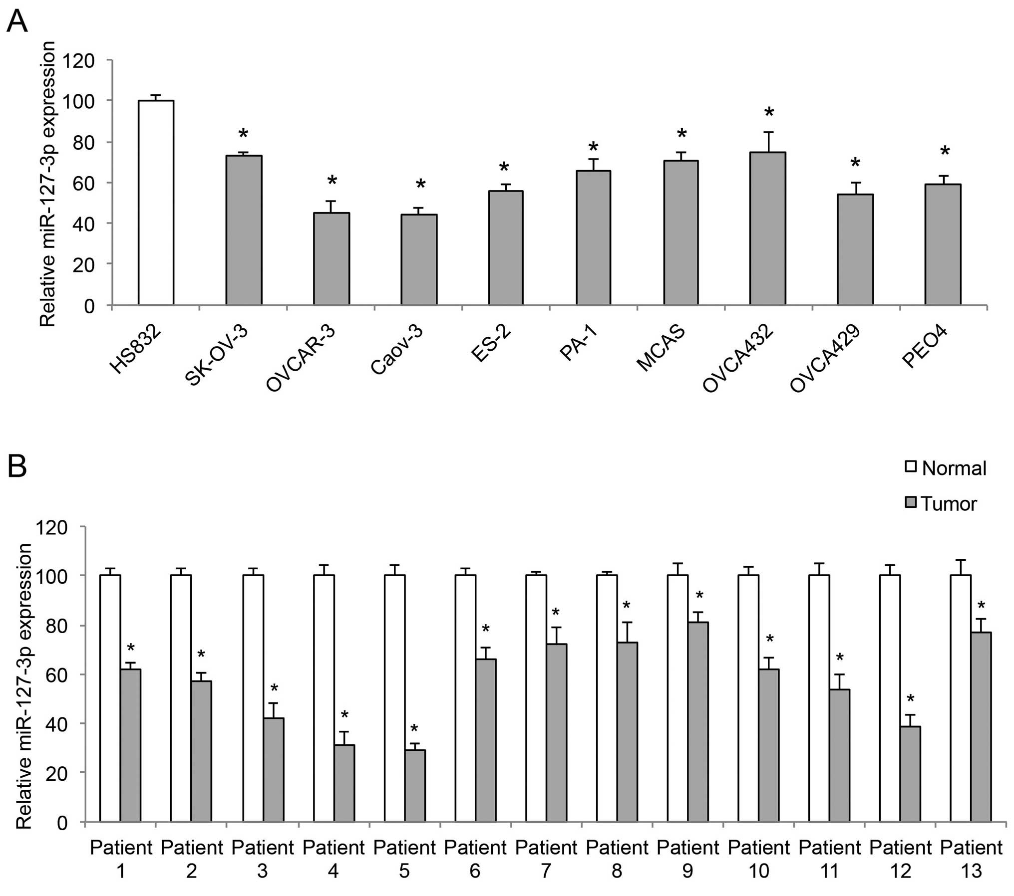
miR-127-3p is downregulated in EOC cell lines and EOC tumors

The expression of miR-127-3p was compared among nine EOC cell lines, SK-OV-3, OVCAR-3, Caov-3, ES-2, PA-1, MCAS, OVCA432, OVCA429, PEO4 and a non-tumorigenic human-derived ovarian cell line, HS-832 by qRT-PCR. It showed that miR-127-3p was markedly downregulated in all examined EOC cell lines, when compared with its level in the HS-832 cells (Fig. 1A, P<0.05). The expression of miR-127-3p was also compared, by qRT-PCR, between paired EOC tumors (T) and adjacent normal ovarian epithelial tissues (normal) in 13 patients with EOC. The result demonstrated that miR-127-3p was downregulated in the EOC tumors compared to the level in the normal ovarian tissues (Fig. 1B, P<0.05).

Figure 1

miR-127-3p is downregulated in EOC. (A) Quantitative RT-PCR (qRT-PCR) was conducted to compare the gene levels of miR-127-3p among 9 EOC cell lines, SK-OV-3, OVCAR-3, Caov-3, ES-2, PA-1, MCAS, OVCA432, OVCA429, PEO4, and a non-tumorigenic human-derived ovarian cell line, HS-832 (*P<0.05). (B) qRT-PCR was conducted to compare paired clinical samples, EOC tumors (tumor) vs. adjacent normal ovarian tissues (normal), from 13 EOC patients (*P<0.05).

miR-127-3p overexpression inhibits cancer growth and increases bufalin sensitivity in EOC

Two of the EOC cell lines, OVCAR-3 and Caov-3, were transduced with L-miR127-Mimic to overexpress endogenous miR-127-3p. The control EOC cells were transduced with an empty control lentivirus, L-C. After transduction, qRT-PCR was conducted to compare miR-127-3p expression between the EOC cells transduced with L-miR127-mimic or L-C. Transduction of L-miR127-Mimic, as compared to L-C, markedly upregulated endogenous miR-127-3p in both the OVCAR-3 and Caov-3 cells (Fig. 2A, P<0.05).

Figure 2

miR-127-3p overexpression reduces proliferation and increases bufalin sensitivity in EOC. (A) OVCAR-3 and Caov-3 cells were transduced with a miR-127-3p-mimics lentivirus (L-miR127-Mimic), or a control lentivirus (L-C). qRT-PCR was conducted to compare endogenous miR-127-3p expression between EOC cells transduced with L-miR127-Mimic and EOC cells transduced with L-C (*P<0.05). (B) After lentiviral transduction, a proliferation assay was conducted to compare cancer cell growth between EOC cells transduced with L-miR127-Mimic and EOC cells transduced with L-C (*P<0.05). (C) After lentiviral transduction, OVCAR-3 and Caov-3 cells were treated with bufalin (0, 0.1, 0.5, 1, 5 and 10 ng/ml) for 48 h. Cell viability was compared between cells transduced with L-miR127-Mimic and cells transduced with L-C (*P<0.05).

We then compared cancer cell growth in the lentiviral-transduced EOC cells. The proliferation assay showed that miR-127-3p overexpression significantly inhibited cancer growth in the OVCAR-3 cells 2 days after the onset of the proliferation assay, and in Caov-3 cells 24 h after the onset of the proliferation assay (Fig. 2B, P<0.05). We also assessed the effect of miR-127-3p on EOC bufalin sensitivity. miR-127-3p overexpression significantly increased bufalin sensitivity by reducing cell viability in both the OVCAR-3 and Caov-3 cells (Fig. 2C, P<0.05).

miR-127-3p overexpression reduces cancer cell invasive capability in EOC

In the lentiviral-transduced OVCAR-3 and Caov-3 cells, a wound-closure assay was conducted to assess the effect of miR-127-3p overexpression on EOC invasion. Images are shown for the EOC cells immediately after wound creation (0 h), and 24 h later. A reduced degree of wound closure was observed in the OVCAR-3 and Caov-3 cells transduced with L-miR127-Mimic, than that in the cells transduced with L-C (Fig. 3, left). Subsequent quantification confirmed that miR-127-3p overexpression markedly reduced the invasive capabilities in both the OVCAR-3 and Caov-3 cells (Fig. 3, right, P<0.05).

Figure 3

miR-127-3p overexpression reduces cancer invasion in EOC. After lentiviral transduction, OVCAR-3 (A) and Caov-3 cells (B) were seeded in 96-well plates and a wound-closure assay was performed. Phase-contrast images were captured at 0 and 24 h after wound creation (left). The invasive capability was determined by measuring the reduction in wound area between 0 and 24 h in EOC cells (right, *P<0.05).

miR-127-3p overexpression inhibits in vivo tumorigenicity of EOC

We then investigated whether miR-127-3p overexpression had an effect on the in vivo growth of EOC. L-miR127-Mimic-transduced OVCAR-3 cells (1×106) were subcutaneously injected into the left flanks of 8-week-old athymic nude mice (n=4). L-C-transduced OVCAR-3 cells (1×106) were subcutaneously injected into the right flanks of the nude mice. The in vivo growth curves were monitored weekly, for 5 consecutive weeks, by measuring tumor volume (mm3). The result showed that miR-127-3p overexpression markedly inhibited in vivo EOC tumor growth (Fig. 4A, P<0.05). At the end of the tumorigenicity assay, tumors were extracted from both flanks of the mice, and compared. L-miR-127-Mimic-transduced EOC tumors were significantly smaller than the L-C-transduced tumors in all 4 mice (Fig. 4B).

Figure 4

miR-127-3p overexpression reduces EOC growth in vivo. (A) Lentiviral-transduced OVCAR-3 cells were subcutaneously injected into both flanks of four athymic null mice (1×106 cells per flank per mouse). For five consecutive weeks, tumor volumes (mm3) were measured weekly using the formula, L × W2/2, in which L and W stand for the longest and shortest diameters of the tumor. Tumor volume was compared between tumors transduced with L-miR127-Mimic and tumors transduced with L-C (*P<0.05). (B) At the end of the tumorigenicity assay, tumors were extracted from 4 mice (M1–M4) and compared.

BAG5 is directly associated with miR-127-3p overexpression in EOC

Since we demonstrated that miR-127-3p overexpression has a tumor-suppressive effect on EOC, we then explored the molecular target of miR-127-3p. Through web-search on miRNA targets, including miRDB (www.mirdb.org) and TargetScan Human (www.targetscan.org), we found that the BAG5 gene is a candidate downstream target gene of miR-127-3p (Fig. 5A). We then used a dual-luciferase reporter assay to verify this hypothesis. HEK293T cells were co-transfected with BAG5-Wild-type, BAG5-Mutant or Renilla luciferase vectors, and L-C or L-miR127-Mimic lentiviruses. Forty-eight hours after co-transfection, quantification demonstrated that the relative luciferase activities between L-C and L-miR127-Mimic transfections significantly differed in cells transfected with BAG5-WildType luciferase reporter, but in cells transfected with BAG5-Mutant luciferase reporter (Fig. 5B, P<0.05; P>0.05), thus confirming that BAG5 is the target gene of miR-127-3p. In addition, we examined the mRNA levels of BAG5 in miR-127-3p overexpressed OVCAR-3 and Caov-3 cells. The result of qRT-PCR demonstrated that miR-127-3p overexpression significantly downregulated endogenous BAG5 in the EOC cells (Fig. 5C, P<0.05).

Figure 5

BAG5 is targeted by miR-127-3p in EOC. (A) The complimentary association of hsa-miR-127-3p and 3′-UTR of the human BAG5 gene (wild-type) is shown. A mutant BAG5 3′-UTR, with mutated hsa-miR-127-3p binding sequence, is also shown. (B) HEK293T cells were co-transfected with BAG5-Wild-type, BAG5-Mutant or Renilla luciferase vectors, and L-C or L-miR127-Mimic lentiviruses for 48 h. Relative luciferase activities were measured by a dual-luciferase reporter assay and normalized to the values with L-C transfection (*P<0.05, ∆P>0.05). (C) Expression of the BAG5 gene was compared by qRT-PCR in the OVCAR-3 and Caov-3 cells between those transduced with L-miR127-Mimic and those transduced with L-C (*P<0.05).

BAG5 upregulation induces opposite effects opposite to those of miR-127-3p overexpression in EOC

In order to elucidate the function of the BAG5 gene in miR-127-3p-mediated EOC regulation, we transfected L-miR127-Mimic-transduced OVCAR-3 and Caov-3 cells with a BAG5-overexpressing vector pcDNA/BAG5, or a control vector pcDNA/+. Forty-eight hours after transfection, qRT-PCR demonstrated that endogenous BAG5 mRNAs were significantly upregulated in the EOC cells transfected with pcDNA/BAG5 than the expression level in the EOC cells transfected with pcDNA/+ (Fig. 6A, P<0.05).

Figure 6

BAG5 upregulation reverses the effects of miR-127-3p overexpression on proliferation and bufalin sensitivity in EOC. (A) In the L-miR127-Mimic-transduced OVCAR-3 and Caov-3 cells, second transfection of the BAG5-overexpressing vector (pcDNA/BAG5) or an empty vector (pcDNA/+) was performed for 48 h. qRT-PCR was conducted to compare endogenous BAG5 mRNA expression (*P<0.05). (B) After second-transfection of the miR-127-3p-overexpressing EOC cells, a proliferation assay was conducted to compare cancer cell growth between the cells transfected with pcDNA/BAG5 and cells transfected with pcDNA/+ (*P<0.05). (C) A bufalin sensitivity assay was conducted to compare the cell viability between miR-127-3p-overexpressing EOC cells which were transfected with pcDNA/BAG5 and those which were transfected with pcDNA/+ (*P<0.05).

We then examined the effect of BAG5 upregulation on cancer growth, bufalin sensitivity and invasive capabilities in those double-transfected EOC cells. The proliferation assay showed that BAG5 upregulation revitalized cancer growth in the miR-127-3p-overexpressing EOC cells (Fig. 6B, P<0.05). The bufalin sensitivity assay demonstrated that BAG5 upregulation ameliorated bufalin sensitivity in the miR-127-3p-overexpressing EOC cells (Fig. 6C, P<0.05). Furthermore, wound-closure assay showed that BAG5 upregulation also significantly restored invasive capability in the miR-127-3p-overexpressing EOC cells (Fig. 7, P<0.05). Thus, our experiments using the double-transfected EOC cells clearly demonstrated that BAG5 upregulation induced effects opposite those of miR-127-3p overexpression on EOC growth, bufalin sensitivity and invasion.

Figure 7

BAG5 upregulation reverses the effects of miR-127-3p overexpression on cancer invasion in EOC. miR-127-3p-overexpressing OVCAR-3 and Caov-3 cells were transfected with either pcDNA/BAG5 or pcDNA/+. OVCAR-3 (A) and Caov-3 cells (B) were re-plated in 96-well plates and their invasive capabilities were examined by a wound-closure assay. Phase-contrast images were captured at 0 and 24 h after wound creation (left). The invasive capability was determined by measuring the reduction in wound area between 0 and 24 h in the EOC cells (right, *P<0.05).

Discussion

MicroRNAs have been shown to play important roles in EOC regulation, acting as either oncogenes or tumor suppressors (8,12). MicroRNA-127-3p has been identified as a tumor suppressor in other human cancers (9,10,13), and has been shown to be downregulated in EOC tumors (11,12). Yet, the exact functional roles of miR-127-3p in EOC are elusive. In our study, we first used quantitative method, qRT-PCR, to assess the expression pattern of miR-127-3p. We verified that miR-127-3p was downregulated in EOC cell lines in vitro, as well as in in vivo clinical samples of EOC tumors.

Since all evidence points to a downregulated expression pattern of miR-127-3p in EOC, we took further step to explore the functional mechanism of miR-127-3p. We thus created two EOC cell lines, OVCAR-3 and Caov-3, with stable miR-127-3p overexpression. Subsequent functional experiments demonstrated that miR-127-3p acted as a tumor suppressor in EOC, as overexpression of miR-127-3p inhibited EOC proliferation, drug (bufalin) sensitivity, invasion and in vivo tumor development. Therefore, collectively (9,10,13), it may well demonstrate that miR-127-3p predominantly acts as a tumor suppressor across various cancer types.

Through investigations on breast and bladder cancer, it was found that the major molecular target of tumor-suppressive miR-127-3p was a zinc-finger repressor gene BCL6 (9,14). However, the results of our study revealed that the BAG5 gene, a novel candidate, was likely the target gene of miR-127-3p in ovarian cancer. Our dual-luciferase reporter assay demonstrated that has-miR-127-3p did bind to the complimentary sites on the human BAG5 gene. Our qRT-PCR analysis also showed that the BAG5 gene was directly downregulated by miR-127-3p overexpression in the EOC cell lines, OVCAR-3 and Caov-3. Moreover, our functional experiments provided unambiguous evidence showing that upregulation of the BAG5 gene inversely regulated the tumor-suppressive effects of miR-127-3p overexpression in EOC. Notably, BAG5 belongs to the gene family of BCL2, which was reported to be involved in chromosomal translocations of the BCL6 gene (15,16). Therefore, future investigations focusing on trans-locational evidence of BCL2/BCL6 in patients with EOC may help to identify whether BAG5 and BCL6 are interactively involved in the microRNA regulation in EOC.

In conclusion, we discovered novel regulatory mechanism of miR-27-3p acting as a tumor suppressor in EOC. Moreover, we discovered a novel molecular target, BAG5 gene, to be the downstream target of miR-127-3p in regulating EOC development. Our results further the knowledge of epigenetic regulations in EOC, as well as help to development new targets for early diagnosis and optimal therapies for patients with EOC.

References

1 

Jazaeri AA: Molecular profiles of hereditary epithelial ovarian cancers and their implications for the biology of this disease. Mol Oncol. 3:151–156. 2009. View Article : Google Scholar : PubMed/NCBI

2 

Al Bakir M and Gabra H: The molecular genetics of hereditary and sporadic ovarian cancer: Implications for the future. Br Med Bull. 112:57–69. 2014. View Article : Google Scholar : PubMed/NCBI

3 

Siegel RL, Miller KD and Jemal A: Cancer statistics, 2015. CA Cancer J Clin. 65:5–29. 2015. View Article : Google Scholar : PubMed/NCBI

4 

Alvarez-Garcia I and Miska EA: MicroRNA functions in animal development and human disease. Development. 132:4653–4662. 2005. View Article : Google Scholar : PubMed/NCBI

5 

Zhang B, Wang Q and Pan X: MicroRNAs and their regulatory roles in animals and plants. J Cell Physiol. 210:279–289. 2007. View Article : Google Scholar

6 

Pichler M and Calin GA: MicroRNAs in cancer: From developmental genes in worms to their clinical application in patients. Br J Cancer. 113:569–573. 2015. View Article : Google Scholar : PubMed/NCBI

7 

Sassen S, Miska EA and Caldas C: MicroRNA: Implications for cancer. Virchows Arch. 452:1–10. 2008. View Article : Google Scholar

8 

Iorio MV, Visone R, Di Leva G, Donati V, Petrocca F, Casalini P, Taccioli C, Volinia S, Liu CG, Alder H, et al: MicroRNA signatures in human ovarian cancer. Cancer Res. 67:8699–8707. 2007. View Article : Google Scholar : PubMed/NCBI

9 

Chen J, Wang M, Guo M, Xie Y and Cong YS: miR-127 regulates cell proliferation and senescence by targeting BCL6. PLoS One. 8:e802662013. View Article : Google Scholar : PubMed/NCBI

10 

Guo LH, Li H, Wang F, Yu J and He JS: The tumor suppressor roles of miR-433 and miR-127 in gastric cancer. Int J Mol Sci. 14:14171–14184. 2013. View Article : Google Scholar : PubMed/NCBI

11 

Resnick KE, Alder H, Hagan JP, Richardson DL, Croce CM and Cohn DE: The detection of differentially expressed microRNAs from the serum of ovarian cancer patients using a novel real-time PCR platform. Gynecol Oncol. 112:55–59. 2009. View Article : Google Scholar

12 

Zhang L, Volinia S, Bonome T, Calin GA, Greshock J, Yang N, Liu CG, Giannakakis A, Alexiou P, Hasegawa K, et al: Genomic and epigenetic alterations deregulate microRNA expression in human epithelial ovarian cancer. Proc Natl Acad Sci USA. 105:7004–7009. 2008. View Article : Google Scholar : PubMed/NCBI

13 

Calin GA and Croce CM: MicroRNA signatures in human cancers. Nat Rev Cancer. 6:857–866. 2006. View Article : Google Scholar : PubMed/NCBI

14 

Saito Y, Liang G, Egger G, Friedman JM, Chuang JC, Coetzee GA and Jones PA: Specific activation of microRNA-127 with downregulation of the proto-oncogene BCL6 by chromatin-modifying drugs in human cancer cells. Cancer Cell. 9:435–443. 2006. View Article : Google Scholar : PubMed/NCBI

15 

Horn H, Ziepert M, Becher C, Barth TF, Bernd HW, Feller AC, Klapper W, Hummel M, Stein H, Hansmann ML, et al German High-Grade Non-Hodgkin Lymphoma Study Group: MYC status in concert with BCL2 and BCL6 expression predicts outcome in diffuse large B-cell lymphoma. Blood. 121:2253–2263. 2013. View Article : Google Scholar : PubMed/NCBI

16 

Kramer MH, Hermans J, Wijburg E, Philippo K, Geelen E, van Krieken JH, de Jong D, Maartense E, Schuuring E and Kluin PM: Clinical relevance of BCL2, BCL6, and MYC rearrangements in diffuse large B-cell lymphoma. Blood. 92:3152–3162. 1998.PubMed/NCBI

Related Articles

  • Abstract
  • View
  • Download
  • Twitter
Copy and paste a formatted citation
Spandidos Publications style
Bi L, Yang Q, Yuan J, Miao Q, Duan L, Li F and Wang S: MicroRNA-127-3p acts as a tumor suppressor in epithelial ovarian cancer by regulating the BAG5 gene. Oncol Rep 36: 2563-2570, 2016.
APA
Bi, L., Yang, Q., Yuan, J., Miao, Q., Duan, L., Li, F., & Wang, S. (2016). MicroRNA-127-3p acts as a tumor suppressor in epithelial ovarian cancer by regulating the BAG5 gene. Oncology Reports, 36, 2563-2570. https://doi.org/10.3892/or.2016.5055
MLA
Bi, L., Yang, Q., Yuan, J., Miao, Q., Duan, L., Li, F., Wang, S."MicroRNA-127-3p acts as a tumor suppressor in epithelial ovarian cancer by regulating the BAG5 gene". Oncology Reports 36.5 (2016): 2563-2570.
Chicago
Bi, L., Yang, Q., Yuan, J., Miao, Q., Duan, L., Li, F., Wang, S."MicroRNA-127-3p acts as a tumor suppressor in epithelial ovarian cancer by regulating the BAG5 gene". Oncology Reports 36, no. 5 (2016): 2563-2570. https://doi.org/10.3892/or.2016.5055
Copy and paste a formatted citation
x
Spandidos Publications style
Bi L, Yang Q, Yuan J, Miao Q, Duan L, Li F and Wang S: MicroRNA-127-3p acts as a tumor suppressor in epithelial ovarian cancer by regulating the BAG5 gene. Oncol Rep 36: 2563-2570, 2016.
APA
Bi, L., Yang, Q., Yuan, J., Miao, Q., Duan, L., Li, F., & Wang, S. (2016). MicroRNA-127-3p acts as a tumor suppressor in epithelial ovarian cancer by regulating the BAG5 gene. Oncology Reports, 36, 2563-2570. https://doi.org/10.3892/or.2016.5055
MLA
Bi, L., Yang, Q., Yuan, J., Miao, Q., Duan, L., Li, F., Wang, S."MicroRNA-127-3p acts as a tumor suppressor in epithelial ovarian cancer by regulating the BAG5 gene". Oncology Reports 36.5 (2016): 2563-2570.
Chicago
Bi, L., Yang, Q., Yuan, J., Miao, Q., Duan, L., Li, F., Wang, S."MicroRNA-127-3p acts as a tumor suppressor in epithelial ovarian cancer by regulating the BAG5 gene". Oncology Reports 36, no. 5 (2016): 2563-2570. https://doi.org/10.3892/or.2016.5055
Follow us
  • Twitter
  • LinkedIn
  • Facebook
About
  • Spandidos Publications
  • Careers
  • Cookie Policy
  • Privacy Policy
How can we help?
  • Help
  • Live Chat
  • Contact
  • Email to our Support Team