Spandidos Publications Logo
  • About
    • About Spandidos
    • Aims and Scopes
    • Abstracting and Indexing
    • Editorial Policies
    • Reprints and Permissions
    • Job Opportunities
    • Terms and Conditions
    • Contact
  • Journals
    • All Journals
    • Oncology Letters
      • Oncology Letters
      • Information for Authors
      • Editorial Policies
      • Editorial Board
      • Aims and Scope
      • Abstracting and Indexing
      • Bibliographic Information
      • Archive
    • International Journal of Oncology
      • International Journal of Oncology
      • Information for Authors
      • Editorial Policies
      • Editorial Board
      • Aims and Scope
      • Abstracting and Indexing
      • Bibliographic Information
      • Archive
    • Molecular and Clinical Oncology
      • Molecular and Clinical Oncology
      • Information for Authors
      • Editorial Policies
      • Editorial Board
      • Aims and Scope
      • Abstracting and Indexing
      • Bibliographic Information
      • Archive
    • Experimental and Therapeutic Medicine
      • Experimental and Therapeutic Medicine
      • Information for Authors
      • Editorial Policies
      • Editorial Board
      • Aims and Scope
      • Abstracting and Indexing
      • Bibliographic Information
      • Archive
    • International Journal of Molecular Medicine
      • International Journal of Molecular Medicine
      • Information for Authors
      • Editorial Policies
      • Editorial Board
      • Aims and Scope
      • Abstracting and Indexing
      • Bibliographic Information
      • Archive
    • Biomedical Reports
      • Biomedical Reports
      • Information for Authors
      • Editorial Policies
      • Editorial Board
      • Aims and Scope
      • Abstracting and Indexing
      • Bibliographic Information
      • Archive
    • Oncology Reports
      • Oncology Reports
      • Information for Authors
      • Editorial Policies
      • Editorial Board
      • Aims and Scope
      • Abstracting and Indexing
      • Bibliographic Information
      • Archive
    • Molecular Medicine Reports
      • Molecular Medicine Reports
      • Information for Authors
      • Editorial Policies
      • Editorial Board
      • Aims and Scope
      • Abstracting and Indexing
      • Bibliographic Information
      • Archive
    • World Academy of Sciences Journal
      • World Academy of Sciences Journal
      • Information for Authors
      • Editorial Policies
      • Editorial Board
      • Aims and Scope
      • Abstracting and Indexing
      • Bibliographic Information
      • Archive
    • International Journal of Functional Nutrition
      • International Journal of Functional Nutrition
      • Information for Authors
      • Editorial Policies
      • Editorial Board
      • Aims and Scope
      • Abstracting and Indexing
      • Bibliographic Information
      • Archive
    • International Journal of Epigenetics
      • International Journal of Epigenetics
      • Information for Authors
      • Editorial Policies
      • Editorial Board
      • Aims and Scope
      • Abstracting and Indexing
      • Bibliographic Information
      • Archive
    • Medicine International
      • Medicine International
      • Information for Authors
      • Editorial Policies
      • Editorial Board
      • Aims and Scope
      • Abstracting and Indexing
      • Bibliographic Information
      • Archive
  • Articles
  • Information
    • Information for Authors
    • Information for Reviewers
    • Information for Librarians
    • Information for Advertisers
    • Conferences
  • Language Editing
Spandidos Publications Logo
  • About
    • About Spandidos
    • Aims and Scopes
    • Abstracting and Indexing
    • Editorial Policies
    • Reprints and Permissions
    • Job Opportunities
    • Terms and Conditions
    • Contact
  • Journals
    • All Journals
    • Biomedical Reports
      • Information for Authors
      • Editorial Policies
      • Editorial Board
      • Aims and Scope
      • Abstracting and Indexing
      • Bibliographic Information
      • Archive
    • Experimental and Therapeutic Medicine
      • Information for Authors
      • Editorial Policies
      • Editorial Board
      • Aims and Scope
      • Abstracting and Indexing
      • Bibliographic Information
      • Archive
    • International Journal of Epigenetics
      • Information for Authors
      • Editorial Policies
      • Editorial Board
      • Aims and Scope
      • Abstracting and Indexing
      • Bibliographic Information
      • Archive
    • International Journal of Functional Nutrition
      • Information for Authors
      • Editorial Policies
      • Editorial Board
      • Aims and Scope
      • Abstracting and Indexing
      • Bibliographic Information
      • Archive
    • International Journal of Molecular Medicine
      • Information for Authors
      • Editorial Policies
      • Editorial Board
      • Aims and Scope
      • Abstracting and Indexing
      • Bibliographic Information
      • Archive
    • International Journal of Oncology
      • Information for Authors
      • Editorial Policies
      • Editorial Board
      • Aims and Scope
      • Abstracting and Indexing
      • Bibliographic Information
      • Archive
    • Medicine International
      • Information for Authors
      • Editorial Policies
      • Editorial Board
      • Aims and Scope
      • Abstracting and Indexing
      • Bibliographic Information
      • Archive
    • Molecular and Clinical Oncology
      • Information for Authors
      • Editorial Policies
      • Editorial Board
      • Aims and Scope
      • Abstracting and Indexing
      • Bibliographic Information
      • Archive
    • Molecular Medicine Reports
      • Information for Authors
      • Editorial Policies
      • Editorial Board
      • Aims and Scope
      • Abstracting and Indexing
      • Bibliographic Information
      • Archive
    • Oncology Letters
      • Information for Authors
      • Editorial Policies
      • Editorial Board
      • Aims and Scope
      • Abstracting and Indexing
      • Bibliographic Information
      • Archive
    • Oncology Reports
      • Information for Authors
      • Editorial Policies
      • Editorial Board
      • Aims and Scope
      • Abstracting and Indexing
      • Bibliographic Information
      • Archive
    • World Academy of Sciences Journal
      • Information for Authors
      • Editorial Policies
      • Editorial Board
      • Aims and Scope
      • Abstracting and Indexing
      • Bibliographic Information
      • Archive
  • Articles
  • Information
    • For Authors
    • For Reviewers
    • For Librarians
    • For Advertisers
    • Conferences
  • Language Editing
Login Register Submit
  • This site uses cookies
  • You can change your cookie settings at any time by following the instructions in our Cookie Policy. To find out more, you may read our Privacy Policy.

    I agree
Search articles by DOI, keyword, author or affiliation
Search
Advanced Search
presentation
Oncology Reports
Join Editorial Board Propose a Special Issue
Print ISSN: 1021-335X Online ISSN: 1791-2431
Journal Cover
November-2016 Volume 36 Issue 5

Full Size Image

Sign up for eToc alerts
Recommend to Library

Journals

International Journal of Molecular Medicine

International Journal of Molecular Medicine

International Journal of Molecular Medicine is an international journal devoted to molecular mechanisms of human disease.

International Journal of Oncology

International Journal of Oncology

International Journal of Oncology is an international journal devoted to oncology research and cancer treatment.

Molecular Medicine Reports

Molecular Medicine Reports

Covers molecular medicine topics such as pharmacology, pathology, genetics, neuroscience, infectious diseases, molecular cardiology, and molecular surgery.

Oncology Reports

Oncology Reports

Oncology Reports is an international journal devoted to fundamental and applied research in Oncology.

Experimental and Therapeutic Medicine

Experimental and Therapeutic Medicine

Experimental and Therapeutic Medicine is an international journal devoted to laboratory and clinical medicine.

Oncology Letters

Oncology Letters

Oncology Letters is an international journal devoted to Experimental and Clinical Oncology.

Biomedical Reports

Biomedical Reports

Explores a wide range of biological and medical fields, including pharmacology, genetics, microbiology, neuroscience, and molecular cardiology.

Molecular and Clinical Oncology

Molecular and Clinical Oncology

International journal addressing all aspects of oncology research, from tumorigenesis and oncogenes to chemotherapy and metastasis.

World Academy of Sciences Journal

World Academy of Sciences Journal

Multidisciplinary open-access journal spanning biochemistry, genetics, neuroscience, environmental health, and synthetic biology.

International Journal of Functional Nutrition

International Journal of Functional Nutrition

Open-access journal combining biochemistry, pharmacology, immunology, and genetics to advance health through functional nutrition.

International Journal of Epigenetics

International Journal of Epigenetics

Publishes open-access research on using epigenetics to advance understanding and treatment of human disease.

Medicine International

Medicine International

An International Open Access Journal Devoted to General Medicine.

Journal Cover
November-2016 Volume 36 Issue 5

Full Size Image

Sign up for eToc alerts
Recommend to Library

  • Article
  • Citations
    • Cite This Article
    • Download Citation
    • Create Citation Alert
    • Remove Citation Alert
    • Cited By
  • Similar Articles
    • Related Articles (in Spandidos Publications)
    • Similar Articles (Google Scholar)
    • Similar Articles (PubMed)
  • Download PDF
  • Download XML
  • View XML
Article Open Access

Differential expression of CCN family members CYR611, CTGF and NOV in gastric cancer and their association with disease progression

  • Authors:
    • Jun Li
    • Xiangyu Gao
    • Ke Ji
    • Andrew J. Sanders
    • Zhongtao Zhang
    • Wen G. Jiang
    • Jiafu Ji
    • Lin Ye
  • View Affiliations / Copyright

    Affiliations: Department of General Surgery, Beijing Friendship Hospital, Capital Medical University, Beijing Key Laboratory of Cancer Invasion and Metastasis Research and National Clinical Research Center for Digestive Diseases, Xi-Cheng, Beijing 100050, P.R. China, Cardiff China Medical Research Collaborative, Division of Cancer and Genetics, Cardiff University School of Medicine, Heath Park, Cardiff CF14 4XN, UK, Key Laboratory of Carcinogenesis and Translational Research (Chinese Ministry of Education), Department of GI Surgery, Peking University Cancer Hospital and Institute, Beijing 100142, P.R. China
    Copyright: © Li et al. This is an open access article distributed under the terms of Creative Commons Attribution License.
  • Pages: 2517-2525
    |
    Published online on: September 8, 2016
       https://doi.org/10.3892/or.2016.5074
  • Expand metrics +
Metrics: Total Views: 0 (Spandidos Publications: | PMC Statistics: )
Metrics: Total PDF Downloads: 0 (Spandidos Publications: | PMC Statistics: )
Cited By (CrossRef): 0 citations Loading Articles...

This article is mentioned in:


Abstract

CCN is an acronym for cysteine-rich protein 61 (CYR61), connective tissue growth factor (CTGF) and nephroblastoma overexpressed (NOV). Aberrations of certain CCN members including CYR61, CTGF, Wnt1-inducible signalling pathway protein (WISP)-1 and -3 have been reported in gastric cancer. The present study aimed to examine the clinical relevance of NOV along with CYR61 and CTGF in gastric cancer by analysing their transcript levels. CYR61, CTGF and NOV transcript expression in 324 gastric cancer samples with paired adjacent normal gastric tissues were determined using real-time quantitative PCR and the results were statistically analysed against patient clinicopathological data using SPSS software. NOV mRNA levels in gastric cancer tissues were significantly elevated when compared with levels in their paired adjacent non-cancerous tissues. Local advanced tumours with invasive expansion (T3 and T4) expressed higher levels of NOV (p=0.013) compared with the less invasive tumours (T1 and T2). CYR61 transcript levels were also significantly increased in gastric cancers compared with levels in the adjacent non-cancerous tissues. Kaplan-Meier survival curves revealed that patients with CYR61-low transcript levels had longer overall survival (OS) (p=0.018) and disease-free survival (DFS) (p=0.015). NOV overexpression promoted the in vitro proliferation of AGS cells while the knockdown resulted in a reduced proliferation of HGC27 cells. A similar effect was observed for the invasion of these two gastric cancer cell lines. NOV expression was increased in gastric cancer which was associated with local invasion and distant metastases. Taken together, the expression of NOV and CYR61 was increased in gastric cancer. The elevated expression of CYR61 was associated with poorer survival. NOV promoted proliferation and invasion of gastric cancer cells. Further investigations may highlight their predictive and therapeutic potential in gastric cancer.

Introduction

Gastric cancer (GC) is the fourth most commonly diagnosed cancer in males and the fifth in females worldwide, with over 751,600 new cases and 723,100 deaths estimated to have occurred in 2012 (1). The highest incidence rates are found in Eastern Asia (particularly in Korea, Mongolia, Japan and China), Central and Eastern Europe, and South America, and the lowest incidences are noted in Northern America and most parts of Africa. The incidence is twice higher in males than in females (1).

The tumor microenvironment plays a pivotal role in tumourigenesis and subsequent dissemination of cancer cells by coordinating morphological transformation of cancer cells and their proliferation, survival and invasion (2,3). Recent reviews have highlighted a profound role played by a group of proteins in the tumour microenvironment which belong to the CCN family. CCN is an acronym for cysteine-rich protein 61 (CYR61), connective tissue growth factor (CTGF) and nephroblastoma overexpressed (NOV) which comprises CYR61, CTGF, NOV and another three members i.e. Wnt1-inducible signalling pathway protein (WISP)-1, -2 and -3 (4–6).

CCNs are matricellular proteins and can be secreted into the extracellular matrix. CCN3 can be detected in the culture medium, extracellular matrix (ECM) and at the cell membrane (7–9). The CCN family proteins have been preserved during evolution which can be found in vertebrates including zebra fish, chickens, mice, rats and humans. CCN proteins generally have an N-terminal secretory signal peptide and four functional domains: an insulin-like growth factor binding protein domain (IGFBP); a Von Mayebrand factor type C (VWC) domain; a thrombospondin type-1 repeat module (TSP-1) and a cysteine knot domain (CT). The two N-terminal domains are separated from the two C-domains by a linker with a variable sequence of amino acids. However, CCN5 does not have the CT domain (10).

An elevated expression of CCN1 has been demonstrated in a variety of malignancies including ovarian, prostate, breast and colorectal cancers (11–14). Similarly, an overexpression of CTGF has been noted in breast and colorectal cancer, oesophageal squamous cell carcinoma and pancreatic cancer (15–18), while increased expression of NOV has been shown in prostate and cervical cancers (19,20). In contrast to these findings, reduced expression of these three CCNs has also been observed in certain solid tumours. For example, CYR61 expression is reduced in endometrial cancer and lung cancer (21,22). A reduced expression of CYR61 has also been seen in advanced GC (23). CTGF can act as an inhibitor in lung cancer by suppressing proliferation of non-small cell lung cancer cells (24). A similar inhibitory effect on the proliferation of cancer cells has also been evident for the NOV protein in gliobastoma and malignant adrenocortical tumour cells (25,26). This suggests that the expression and function of CCNs in malignancies can be organ- or tissue-specific.

Early studies have demonstrated a profound role played by CCNs in fibrosis which has been reviewed most recently by Riser et al (6). Their involvement in fibrotic disorder stimulated research interest concerning their implication in a specific histologic type of gastric carcinoma, i.e. scirrhous carcinoma which is well known for a vast fibrous stroma, rapid and invasive growth and poor prognosis. Tanaka et al identified a novel variant of WISP1 that was highly expressed in scirrhous carcinomas. This variant lacks the von Mayebrand type C module and is named WISP1v. WISP1v can induce transformation and promote proliferation and invasion of GC cells through both autocrine and paracrine pathways (27). Tanaka et al also reported a loss of function mutation of WISP3 with a frequency of 10–20% in microsatellite unstable gastric carcinoma. This mutation resulted in a truncated variant of WISP3 that was lacking the TSP-1 and CT domains and was unable to suppress the invasiveness of GC cells (28). Although reduced expression of CYR61 was reported in advanced GC which was inversely correlated with the expression of MMP-7 (23), most studies demonstrated a positive role played by CYR61 in GC by promoting invasion, metastasis and also tumour-associated angiogenesis (29,30). CYR61 promotes GC cell invasion through hypoxia-inducing factor-1α (HIF-1α)-dependent upregulation of plasminogen activator inhibitor-1 (PAI-1) (31).

Elevated expression of CYR61 and CTGF has been observed in GC which is associated with lymph node metastasis, however the expression of NOV in GC is yet to be revealed. The present study aimed to determine the expression of these three CCNs in a cohort of GC tumours, in particular, by dissecting the role played by NOV in GC.

Materials and methods

Cell lines and culture conditions

Human GC cell lines AGS and HGC27 were purchased from the European Collection of Cell Cultures (ECACC; Salisbury, UK) and incubated at 37°C, with 5% CO2 and 95% humidity. The wild-type cells were maintained in Dulbecco's modified Eagle's medium (DMEM) supplemented with 10% fetal calf serum (PAA Laboratories Ltd., Somerset, UK), penicillin, streptomycin and amphotericin B.

Human gastric tissues

Gastric adenocarcinoma and Siewert type III gastrooesophageal junction adenocarcinoma tissues (n=245) with matched adjacent background tissues (n=158) were immediately collected after surgical resection at the Beijing Cancer Hospital with informed consent from the patients. All patients underwent surgery without any prior treatment. The tissue samples were stored at −80°C at the Tissue Bank of Peking University Oncology School with a record of the relevant clinical and histopathological data. All protocols were reviewed and approved by the Beijing Cancer Hospital Research Ethics Committee (MTA10062009).

RNA isolation, reverse transcription-polymerase chain reaction (RT-PCR) and quantitative real-time PCR (qPCR)

RNA was extracted from confluent cells in a 25 cm2 flask using total RNA isolation (TRI) reagent (Sigma-Aldrich, Dorset, UK). Fresh frozen tissues were also first homogenised in the TRI reagent. First strand of cDNA was synthesised from 1 µg RNA using a first-strand DNA synthesis kit (Bio-Rad, Hemel Hempstead, UK). Quantitative analysis of NOV mRNA expression in GC tissues was performed using Amplifluor™-based real-time PCR, in which a 6-carboxy-fluorescine-tagged Uniprimer™ (Biosearch Technologies, Inc.) was used as a probe along with a pair of specific primers with an addition of a Z-sequence (actgaacctgaccgtaca) to the 5′-end of the reverse primer. The quality of cDNA samples was verified using glyceraldehyde-3-phosphate dehydrogenase (GAPDH) as a housekeeping gene. All the primer sequences are listed in Table I.

Table I

Primers used for PCR and qPCR.

Table I

Primers used for PCR and qPCR.

PrimerForward primerReverse primer
NOV (PCR) CTCCAAGAAAAGTTGAGGTG CTGGCTTCTTGACTATTTGC
NOV (qPCR) CTGTGAACAAGAGCCAGAG ACTGAACCTGACCGTACACTTGAACTGCAGGTGGAT
GAPDH (PCR) GGCTGCTTTTAACTCTGGTA GACTGTGGTCATGAGTCCTT
GAPDH (qPCR) CTGAGTACGTCGTGGAGTC ACTGAACCTGACCGTACACAGAGATGACCCTTTTG
CYR61 (qPCR) GGGCTGGAATGCAACTTC ACTGAACCTGACCGTACACGTTTTGGTAGATTCTGGAG
CTGF (qPCR) GAGTGGGTGTGTGACGAG ACTGAACCTGACCGTACAGGCAGTTGGCTCTAATCATA

[i] NOV, nephroblastoma overexpressed; GAPDH, glyceraldehyde-3-phosphate dehydrogenase; CYR61, cysteine-rich protein 61; CTGF, connective tissue growth factor.

Quantitative analyses of transcript expression of CYR61, CTGF and NOV in human GC

Following the real-time PCR quantification of each gene transcripts, the number of samples with valid data for each individual genes were: 322 samples for NOV, 252 samples for CYR61 and 320 samples for CTGF. These cohorts were composed of 230 men (71.4%) and 92 women (28.6%) in the NOV cohort, 180 men (71.4%) and 72 women (28.6%) in the CYR61 cohort, and 228 men (71.3%) and 92 women (28.7%) in the CTGF cohort. Data are shown in Tables II–IV.

Table II

Expression of NOV in gastric cancer.

Table II

Expression of NOV in gastric cancer.

CategoryNo.Mean ± SEM (copies)P-value
Tissue
 Tumour322   8,893±1,303
 Normal183   3,262±1,058   0.0009
Gender
 Male230   9,583±1,645
 Female92   7,170±1,971   0.35
Location
 Cardia66   8,384±2,795
 Fundus21   8,679±4,797   0.86
 Corpus61   7,678±2,795   0.59
 Pylorus131   8,326±1,786   0.84
Differentiation
 Diff-H133,009
 Diff-HM6172.2±56.6
 Diff-M62   8,677±2,779   0.0033
 Diff-ML82   9,130±2,435   0.0004
 Diff-L136   8,610±1,848<0.001
T stage
 T116   2,754±2,450
 T226   4,456±2,325   0.62
 T341   9,478±5,181   0.25
 T4231   9,503±1,500   0.026
 T1+T242   3,808±1,701
 T3+T4272   9,499±1,490   0.013
N stage
 N070   8,735±2,479
 N148   9,123±3,036   0.92
 N265   5,845±3,214   0.48
 N313310,311±2,106   0.63
 N1+N2+N3246   8,899±1,538   0.96
M stage
 M0280   8,644±1,281
 M14110,813±5,350   0.7
TNM stage
 I25   1,847±1,569
 II60   9,689±2,758   0.016
 III219   9,261±1,672   0.0017
 IV9   9,756±9,560   0.44
 II+III+IV228   9,366±1,421   0.0007
Vascular invasion
 No invasion151   6,865±1,526
 Invasion156   9,257±1,803   0.63
Clinical outcome
 Disease-free119   7,464±1,832
 Metastases1512,921±6,376   0.42
 Death185   9,626±1,869   0.41

[i] NOV, nephroblastoma overexpressed; SEM, standard error of the mean; TNM, tumor-node-metastasis.

Table IV

Expression of CTGF in gastric cancer.

Table IV

Expression of CTGF in gastric cancer.

CategoryNo.Mean ± SEM (copies)P-value
Tissue
 Tumour320 224.3±27.9  
 Normal183 247.7±38.7  0.62
Gender
 Male228209.5±22.92
 Female92 261.4±79.1  0.53
Location
 Cardia65 251.4±54.2  
 Fundus21 234.6±66.3  0.85
 Corpus61 158.2±44.0  0.18
 Pylorus130 251±52.81
Differentiation
 Diff-H116.77
 Diff-HM6 142.2±61.4  
 Diff-M62 259.6±53.0  0.17
 Diff-ML81 266.6±60.9  0.17
 Diff-L135 197.6±48.1  0.49
T stage
 T116    49±12.2
 T225218.8±93.550.084
 T341 252.3±90.0  0.031
 T4230 231.6±33.6  0
 T1+T241154.1±59.08
 T3+T4271 234.8±31.5  0.23
N stage
 N070 250.7±78.5  
 N148    120±35.1  0.13
 N264 292.2±57.6  0.67
 N3132 218.7±43.3  0.72
 N1+N2+N3244 218.9±28.9  0.7
M stage
 M0278 199.4±26.6  
 M141400±1190.11
TNM stage
 I25225.8±97.01
 II59 197.2±83.2  0.82
 III218 224.5±29     0.99
 IV9407±3490.63
 II+III+IV286 224.5±29.9  0.99
Vascular invasion
 No invasion150 246.6±45.5  
 Invasion155 206.7±36.3  0.49
Clinical outcome
 Disease-free119 237.3±48.9  
 Metastases15 119.2±47.6  0.09
 Death183 227.1±36.7  0.87

[i] CTGF, connective tissue growth factor; SEM, standard error of the mean; TNM, tumor-node-metastasis.

Construction of the ribozyme transgene targeting human NOV and the establishment of corresponding stable transfectants

Anti-human NOV hammerhead ribozymes were designed using the Zuker RNA mFold program (Zuker 2003). The ribozymes and full-length coding sequence of human NOV were cloned into a pEF6/V5-His TOPO vector (Invitrogen, Paisley, UK). The verified ribozyme transgenes, NOV expression vectors and empty plasmids were transfected into AGS and HGC27 cells, respectively, using an Easyjet Plus electroporator (EquiBio, Kent, UK). After one week of selection with 5 µg/ml blasticidin, the selected cells were maintained in DMEM with 0.5 µg/ml blasticidin.

Western blot analysis

The protein concentrations in the cell lysates were determined using the DC protein assay kit (Bio-Rad) and the ELx800 spectrophotometer (Bio-Tek, Winooski, VT, USA). Proteins were probed with the anti-NOV antibody (1:2,000; Abcam, Ltd., Cambridge, UK) and anti-GAPDH antibody (1:2,000; Santa Cruz Biotechnology, Inc.) as housekeeping gene control, followed by a peroxidase-conjugated secondary antibody (1:2,000; Sigma). Protein bands were visualised using a chemiluminescence detection kit (Luminata, Millipore Ltd., Watford, UK) and photographed using Syngene imager (Syngene International Ltd., Bangalore, India).

In vitro cell growth assay

Cells (3,000) were seeded into 96-well plates in normal culture medium. The cells were incubated over a period of up to 4 days, and were then fixed with 4% formaldehyde followed by staining with 0.5% crystal violet. The crystal violet was dissolved in 10% acetic acid prior to a colorimetric detection of cell density at a wavelength of 540 nm using the ELx800 spectrophotometer.

In vitro invasion assay

The in vitro invasion assay was previously described (32). All the culture plate inserts containing 8-µm pores were pre-coated with 50 µg of Matrigel (BD Bioscience, Oxford, UK) and air-dried. Cells (30,000) were seeded to each well after a 40-min rehydration of the Matrigel. After an incubation of 72 h, cells that had migrated through the matrix to the other side of the insert were fixed and stained. The cell number was determined.

Cell-matrix adhesion assay

The cell-matrix adhesion assay was conducted as previously described (32). The 96-well culture plate was pre-coated with 5 µg of Matrigel and air-dried. Following the rehydration, 30,000 cells were seeded to each well. After an incubation of 40 min, non-adherent cells were washed-off using phosphate-buffered saline (PBS). The adherent cells were counted after a fixation and staining using crystal violet.

Wound healing assay

The assay was performed following a previously described procedure (32). In brief, the monolayer of cells was scraped with a 10 µl pipette tip. The migration of cells was photographed using a time-lapse image system (EVOS, Life Technologies Ltd., Paisley, UK).

Statistical analysis

Statistical analyses were performed using SPSS (version 11; SPSS, Inc., Chicago, IL, USA). Mann-Whitney U test and t-test were used for non-parametric and normally distributed data, respectively, including research data from the clinical cohort and cell-based experiments. Kaplan-Meier survival analysis was also performed using SPSS statistical software. Differences were considered to be statistically significant at p<0.05.

Results

Increased expression of NOV in human GC

Transcript levels of CYR61, CTGF and NOV were determined in the GC cohort using real-time PCR, respectively. The results showed that NOV expression was significantly upregulated in gastric tumours compared to normal tissue (p=0.009) (Table II). An increased expression of NOV in GC was associated with local invasion. The transcript levels of NOV were higher in the tumours with more advanced local invasion. According to the tumor-node-metastasis (TNM) staging, T4 tumours which invaded the serosa or adjacent structures expressed higher levels of NOV transcripts, p=0.0026 vs. T1. Tumours classified as T3 and T4 which invaded beyond subserosal connective tissues expressed higher levels of NOV transcripts in comparison with tumours (T1 and T2) with less local invasion (p=0.0013). According to the overall TNM staging, stage I GCs exhibited lower expression levels of NOV, p=0.016 vs. stage II, p=0.0017 vs. stage III, and p=0.0007 vs. tumours of stage II-IV. Notably, we found that high-moderately differentiated tumours exhibited significantly lower levels of NOV expression in comparison with moderately and/or poorly differentiated tumours. However, no association was observed for lymph node and distant metastases.

CYR61 is upregulated in GCs

CYR61 mRNA levels were significantly elevated in the GC tissues compared to levels in the non-cancerous tissues (p=0.0019), particularly in paired tissues (p=0.0013) (Table III). However, the expression of CYR61 transcripts appeared to be lower in more advanced tumours (stage III and IV) according to the TNM staging, although it did not reach a statistically significant level. According to clinical outcomes, tumours with distant metastases had lower expression levels of CYR61 (p=0.055) compared with that of patients who remained disease-free. No association was observed between CYR61 expression and differentiation and local invasion.

Table III

Expression of CYR61 in gastric cancer.

Table III

Expression of CYR61 in gastric cancer.

CategoryNo.Mean ± SEM (copies)P-value
Tissue
 Tumour252 2,225±668   
 Normal175 120.1±50.5  0.0019
Gender
 Male180 2,737±913   
 Female72947±4750.083
Location
 Cardia503,558±2,288
 Fundus12322±1720.86
 Corpus522,824±1,6220.59
 Pylorus102 1,717±780   0.84
Differentiation
 Diff-H14400.7
 Diff-HM51,898±1,897
 Diff-M521,890±1,4261
 Diff-ML642,537±1,7470.81
 Diff-L106 1,255±558   0.76
T stage
 T1138,723±6,131
 T2218.96±8.530.18
 T3272,821±1,8600.37
 T4185 1,756±715   0.28
 T1+T2343,341±2,402
 T3+T4212 1,892±666   0.56
N stage
 N0593,178±1,572
 N1421,050±1,0350.26
 N2501,612±1,2060.43
 N3962,108±1,1660.59
 N1+N2+N3188 1,740±712   0.41
M stage
 M0220 2,439±758   
 M132755±6630.097
TNM stage
 I215,400±3,855
 II50 1,452±923   0.33
 III169 1,928±791   0.39
 IV6450±4450.22
 II+III+IV225 1,783±628   0.36
Vascular invasion
 No invasion124 1,739±678   
 Invasion117 2,523±1193 0.57
Clinical outcome
 Disease-free982,744±1,131
 Metastases10418±3990.055
 Death142 2,026±893   0.62

[i] CYR61, cysteine-rich protein 61; SEM, standard error of the mean; TNM, tumor-node-metastasis.

Higher expression of CTGF in GC and the involvement in local invasion

Although no statistically significant differences were noted for CTGF mRNA levels in GCs compared with adjacent normal gastric tissues, a higher transcript level of CTGF in GCs was positively associated with local invasion (T4 vs. T1, p<0.001; T3 vs. T1, p=0.031; Table IV). However, there were no other significant correlations between CTGF mRNA levels and other clinical parameters.

Expression of CYR61, CTGF and NOV and survival of patients with GC

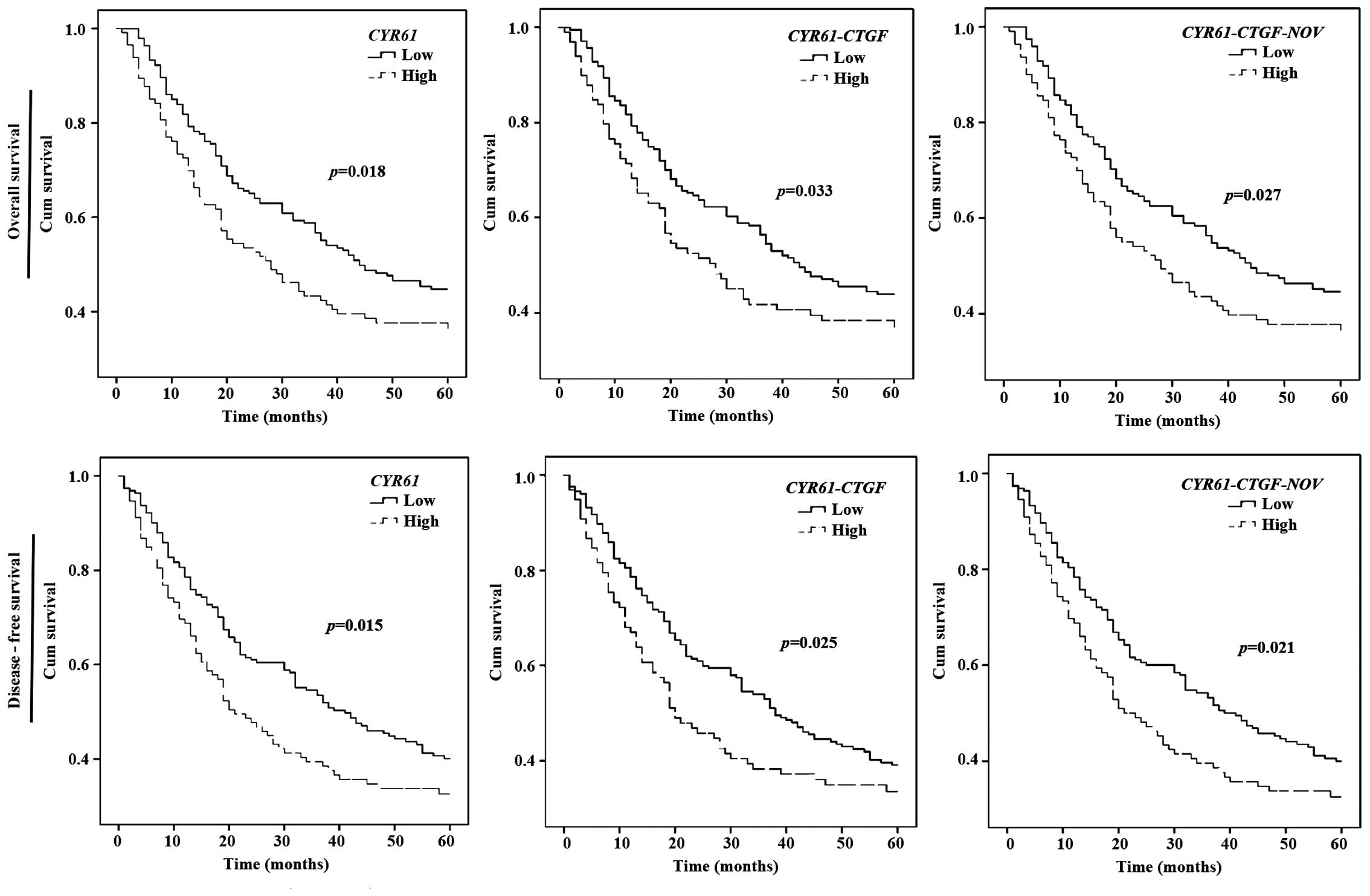
Kaplan-Meier survival curves revealed that GC patients with a low CYR61 transcript level had longer overall survival (OS) (p=0.018) and disease-free survival (DFS) (p=0.015) than those with a higher CYR61 transcript level (Fig. 1). Transcript levels of CTGF and NOV exhibited no correlation with either OS or DFS when individually analysed; however, analysis of the combination of CYR61 and CTGF showed that patients with lower transcript levels of these two genes had longer OS (p=0.033) and DFS (p=0.025). Similarly, analysis of combined CYR61, CTGF and NOV showed that patients with higher transcript levels of all three genes had a poorer OS (p=0.027) and DFS (p=0.021) compared to patients with lower expression of all these genes.

Figure 1

Association of CYR61, CTGF and NOV expression with the survival of patients. The average expression levels for CYR61, CTGF and NOV transcripts were used as thresholds. The survival of patients with higher or lower expression levels of each was analysed individually or in combination as two or three using the Kaplan-Meier survival analysis.

Knockdown and overexpression of NOV in GC cells

The expression profile of NOV in AGS and HGC27 cell lines was assessed using RT-PCR (Fig. 2A). For assessing the effect of NOV on cellular functions, overexpression of NOV was performed in the AGS cells which had an almost undetectable level of NOV as determined using PCR, while knockdown of NOV was carried out in the HGC27 cells which highly expressed NOV. The overexpression and knockdown of NOV in AGS and HGC27 transfectants were confirmed using RT-PCR (Fig. 2B) and western blotting (Fig. 2C).

Figure 2

Knockdown and overexpression of NOV in GC cell lines. (A) The expression of NOV in the AGS and HGC27 cell lines using RT-PCR. (B) Overexpression of NOV in the AGS cell line and knockdown of NOV in the HGC27 cell line were verified using RT-PCR. (C) Verification of the knockdown and overexpression was further confirmed using western blotting.

Effect of NOV knockdown and overexpression on cell growth in vitro

Overexpression of NOV increased the growth of AGS cells over the periods of 3 (p<0.01) and 4 days (p<0.001) compared with the control cells. An opposite effect was observed in the HGC27 NOV-knockdown cells over the periods of 3 (p<0.01) and 4 days (p<0.01) (Fig. 3).

Figure 3

Influence of altered NOV expression on in vitro proliferation of the GC cell lines. The proliferation of (A) AGS and (B) HGC27 cells with knockdown or overexpression of NOV was determined using an in vitro growth assay over a culture period of up to 4 days. Three independent experiments were performed. Shown are representative results from these experiments and the error bars show standard deviations; **p<0.01 and ***p<0.001.

Effect of NOV knockdown and overexpression on the invasion, adhesion and migration of GC cells

Overexpression of NOV resulted in increased invasion in the AGS cells, while NOV knockdown exhibited reduced invasiveness in the HGC27 cells (p<0.001) (Fig. 4). Knockdown and overexpression of NOV did not enhance or reduce the adhesion of the GC cells to Matrigel in comparison with the control cells. A wound healing assay was employed to determine the influence of NOV on cell migration. There was no obvious effect observed in our experiments (data not shown).

Figure 4

Effect of the altered expression of NOV on the invasiveness of GC cells.

Discussion

This is the first study to assess the role played by NOV (CCN3) in gastric cancer (GC). In the present study, we determined the expression of NOV, along with CYR61 and CTGF transcripts in a cohort of human GCs and paired adjacent normal gastric tissues. Increased expression of NOV was observed in the GC tissues compared with the expression noted in the adjacent normal gastric tissues. Increased expression was found to be associated with local invasion and poorer differentiation. Elevated expression of NOV in GC is consistent with observations in other cancers. For example, overexpression of NOV is evident in prostate cancer and cervical cancer and is involved in tumourigenesis and disease progression (19,20). Overexpression of NOV in cervical cancers was found to be associated with lymph node metastases and poorer prognosis of cervical cancer patients (20). This suggests that NOV is positively involved in tumourigenesis and disease progression by regulating morphological transformation and the invasiveness of GC cells. Our previous study showed reduced expression of NOV in breast cancer which was associated with poor prognosis and mortality of the disease (15). Differential expression patterns and roles can be played by NOV in different malignancies which can be organ- or tissue-specific.

In the present study, we also determined the transcript levels of CYR61 and CTGF in GC samples. Similarly, overexpression of CYR61 transcripts was noted in GC although no difference was observed for the expression of CTGF. No association was clearly evident for elevated expression of CYR61 and disease progression in the present cohort of GC cases. Overexpression of CYR61 has been observed in many different cancers, including prostate, breast, ovarian, endometrial and colorectal carcinomas (11,12,33–35). In contrast to the elevated expression of CYR61 in these malignancies, reduced expression has also been noted in various types of cancers, in particular GC which is associated with local invasion (23). In the present study, a trend of reduced expression of CYR61 was also noted in the more advanced GCs appearing to be in line with observations made by Maeta et al (23). A controversy may still exist for its role in GC as experimental evidence using GC cell lines indicates that CYR61 can promote invasion, metastasis and angiogenesis in GC (29–31). The present study also showed a link between higher CYR61 expression and poorer survival outcomes of patients with GC. This was also reflected in the survival analysis of the combined expression of CYR61 with CTGF, or CTGF and NOV (Fig. 1). CTGF and NOV alone or combined did not exhibit any correlation with survival (data not shown). This suggests that a more profound role is played by CYR61 in GC which is also supported by studies of this molecule in GC (30,36). In a comparison with NOV expression and corresponding association between elevated NOV expression and local invasion and poorer differentiation of GCs, the increased expression CYR61 exhibited little implication with these clinicopathological features of the disease apart from its correlation with poor prognosis. A larger cohort of GC tissue samples may help to clarify this. Better understanding of the molecular mechanisms of GC may shed light on this issue in the near future.

Although the expression of CTGF transcripts in the present cohort of GCs was not different from its expression in the paired adjacent normal gastric tissues, its expression was increased in more invasive tumours. This tends to concur with observations from other studies focusing on this molecule and its role in GC. Higher expression of CTGF in GC exhibits involvement in local lymph node metastasis and also peritoneal metastasis (37,38). Suppression of CTGF inhibits the growth and invasion of GC cells, and also their peritoneal dissemination (39). In addition to its role in invasion and metastases, CTGF also promotes angiogenesis to facilitate tumour growth (40).

In addition to the evaluation of NOV, CYR61 and CTGF transcripts in the GC samples, we further examined the impact of NOV on cellular functions in GC cell lines. The two GC cell lines examined in the present study exhibited differential expression of NOV, where NOV was highly expressed in the HGC27 cells and almost absent in the AGS cells. This allowed us to establish contrasting models, i.e. overexpression of NOV in AGS cells and knockdown of NOV expression in HGC27 cells, for examining the consequent effect on the cellular functions. NOV overexpression promoted the in vitro proliferation of AGS cells while the knockdown resulted in reduced proliferation of the HGC27 cells. A similar effect was observed in regards to the invasion of these two GC cell lines. These results indicate a positive role played by NOV in promoting proliferation and invasion of GC which is consistent with its increased expression in the GC tumour samples. Increased expression of NOV has also been observed in other malignancies, such as cervical and prostate cancer (19,20). Certainly, an inhibitory effect on cellular functions has also been noted for NOV in a variety of cancer cells. For example, NOV had an anti-proliferative effect on glioblastoma cells by interfering with S/G2 transition of the cell cycle leading to an accumulation at the S phase (25). Gap junction protein connexin 43 was also found to be involved in its inhibitory effect on the proliferation of glioma cells (41). NOV has also been reported to decrease the transcription and activation of matrix metalloproteinases and suppress the invasion of melanoma cells (42). However, our in vitro experimental data indicate that NOV promotes both proliferation and invasion of GC cells. Further investigation may shed light on the underlying molecular mechanisms for such a differential impact.

In summary, the expression of NOV and CYR61 was increased in GC. The elevated expression of CYR61 was associated with poorer survival, and NOV promoted the proliferation and invasion of GC cells.

Acknowledgments

The authors thank Cancer Research Wales for supporting the present study. Dr Li and Dr Gao are recipients of the Chinese Medical Research Scholarship of Cardiff University.

References

1 

Torre LA, Bray F, Siegel RL, Ferlay J, Lortet-Tieulent J and Jemal A: Global cancer statistics, 2012. CA Cancer J Clin. 65:87–108. 2015. View Article : Google Scholar : PubMed/NCBI

2 

Brock A, Krause S and Ingber DE: Control of cancer formation by intrinsic genetic noise and microenvironmental cues. Nat Rev Cancer. 15:499–509. 2015. View Article : Google Scholar : PubMed/NCBI

3 

Joyce JA and Pollard JW: Microenvironmental regulation of metastasis. Nat Rev Cancer. 9:239–252. 2009. View Article : Google Scholar : PubMed/NCBI

4 

Jia Q, Dong Q and Qin L: CCN: Core regulatory proteins in the microenvironment that affect the metastasis of hepatocellular carcinoma? Oncotarget. 7:1203–1214. 2016.

5 

Chang CC, Lin BR, Wu TS, Jeng YM and Kuo ML: Input of microenvironmental regulation on colorectal cancer: Role of the CCN family. World J Gastroenterol. 20:6826–6831. 2014. View Article : Google Scholar : PubMed/NCBI

6 

Riser BL, Barnes JL and Varani J: Balanced regulation of the CCN family of matricellular proteins: A novel approach to the prevention and treatment of fibrosis and cancer. J Cell Commun Signal. 9:327–339. 2015. View Article : Google Scholar : PubMed/NCBI

7 

Perbal B: CCN proteins: A centralized communication network. J Cell Commun Signal. 7:169–177. 2013. View Article : Google Scholar : PubMed/NCBI

8 

Joliot A, Triller A, Volovitch M and Prochiantz A: Are embryonic forms of NCAM homeobox receptors? C R Acad Sci III. 314(Suppl 9): S59–S63. 1992.In French.

9 

Kyurkchiev S, Yeger H, Bleau AM and Perbal B: Potential cellular conformations of the CCN3 (NOV) protein. Cell Commun Signal. 2:92004. View Article : Google Scholar

10 

Desnoyers L: Structural basis and therapeutic implication of the interaction of CCN proteins with glycoconjugates. Curr Pharm Des. 10:3913–3928. 2004. View Article : Google Scholar : PubMed/NCBI

11 

Gery S, Xie D, Yin D, Gabra H, Miller C, Wang H, Scott D, Yi WS, Popoviciu ML, Said JW, et al: Ovarian carcinomas: CCN genes are aberrantly expressed and CCN1 promotes proliferation of these cells. Clin Cancer Res. 11:7243–7254. 2005. View Article : Google Scholar : PubMed/NCBI

12 

Lv H, Fan E, Sun S, Ma X, Zhang X, Han DM and Cong YS: Cyr61 is up-regulated in prostate cancer and associated with the p53 gene status. J Cell Biochem. 106:738–744. 2009. View Article : Google Scholar : PubMed/NCBI

13 

Tsai MS, Hornby AE, Lakins J and Lupu R: Expression and function of CYR61, an angiogenic factor, in breast cancer cell lines and tumor biopsies. Cancer Res. 60:5603–5607. 2000.PubMed/NCBI

14 

Ladwa R, Pringle H, Kumar R and West K: Expression of CTGF and Cyr61 in colorectal cancer. J Clin Pathol. 64:58–64. 2011. View Article : Google Scholar

15 

Jiang WG, Watkins G, Fodstad O, Douglas-Jones A, Mokbel K and Mansel RE: Differential expression of the CCN family members Cyr61, CTGF and Nov in human breast cancer. Endocr Relat Cancer. 11:781–791. 2004. View Article : Google Scholar : PubMed/NCBI

16 

Lin BR, Chang CC, Chen RJ, Jeng YM, Liang JT, Lee PH, Chang KJ and Kuo ML: Connective tissue growth factor acts as a therapeutic agent and predictor for peritoneal carcinomatosis of colorectal cancer. Clin Cancer Res. 17:3077–3088. 2011. View Article : Google Scholar : PubMed/NCBI

17 

Deng YZ, Chen PP, Wang Y, Yin D, Koeffler HP, Li B, Tong XJ and Xie D: Connective tissue growth factor is overexpressed in esophageal squamous cell carcinoma and promotes tumorigenicity through beta-catenin-T-cell factor/Lef signaling. J Biol Chem. 282:36571–36581. 2007. View Article : Google Scholar : PubMed/NCBI

18 

Bennewith KL, Huang X, Ham CM, Graves EE, Erler JT, Kambham N, Feazell J, Yang GP, Koong A and Giaccia AJ: The role of tumor cell-derived connective tissue growth factor (CTGF/CCN2) in pancreatic tumor growth. Cancer Res. 69:775–784. 2009. View Article : Google Scholar : PubMed/NCBI

19 

Maillard M, Cadot B and Ball RY, Maillard M, Cadot B and Ball RY: Differential expression of the ccn3 (nov) proto-oncogene in human prostate cell lines and tissues. Mol Pathol. 54:275–280. 2001. View Article : Google Scholar : PubMed/NCBI

20 

Zhang T, Zhao C, Luo L, Xiang J, Sun Q, Cheng J and Chen D: The clinical and prognostic significance of CCN3 expression in patients with cervical cancer. Adv Clin Exp Med. 22:839–845. 2013.

21 

Chen PP, Li WJ, Wang Y, Zhao S, Li DY, Feng LY, Shi XL, Koeffler HP, Tong XJ and Xie D: Expression of Cyr61, CTGF, and WISP-1 correlates with clinical features of lung cancer. PLoS One. 2:e5342007. View Article : Google Scholar : PubMed/NCBI

22 

Chien W, Kumagai T, Miller CW, Desmond JC, Frank JM, Said JW and Koeffler HP: Cyr61 suppresses growth of human endometrial cancer cells. J Biol Chem. 279:53087–53096. 2004. View Article : Google Scholar : PubMed/NCBI

23 

Maeta N, Osaki M, Shomori K, Inaba A, Kidani K, Ikeguchi M and Ito H: CYR61 downregulation correlates with tumor progression by promoting MMP-7 expression in human gastric carcinoma. Oncology. 73:118–126. 2007. View Article : Google Scholar

24 

Chien W, Yin D, Gui D, Mori A, Frank JM, Said J, Kusuanco D, Marchevsky A, McKenna R and Koeffler HP: Suppression of cell proliferation and signaling transduction by connective tissue growth factor in non-small cell lung cancer cells. Mol Cancer Res. 4:591–598. 2006. View Article : Google Scholar : PubMed/NCBI

25 

Bleau AM, Planque N, Lazar N, Zambelli D, Ori A, Quan T, Fisher G, Scotlandi K and Perbal B: Antiproliferative activity of CCN3: Involvement of the C-terminal module and post-translational regulation. J Cell Biochem. 101:1475–1491. 2007. View Article : Google Scholar : PubMed/NCBI

26 

Thibout H, Martinerie C, Créminon C, Godeau F, Boudou P, Le Bouc Y and Laurent M: Characterization of human NOV in biological fluids: An enzyme immunoassay for the quantification of human NOV in sera from patients with diseases of the adrenal gland and of the nervous system. J Clin Endocrinol Metab. 88:327–336. 2003. View Article : Google Scholar : PubMed/NCBI

27 

Tanaka S and Sugimachi K, Saeki H, Kinoshita J, Ohga T, Shimada M, Maehara Y and Sugimachi K: A novel variant of WISP1 lacking a Von Mayebrand type C module overexpressed in scirrhous gastric carcinoma. Oncogene. 20:5525–5532. 2001. View Article : Google Scholar : PubMed/NCBI

28 

Tanaka S, Sugimachi K, Maehara S, Shimada M and Maehara Y: A loss of function mutation in WISP3 derived from microsatellite unstable gastric carcinoma. Gastroenterology. 125:1563–1564. 2003. View Article : Google Scholar : PubMed/NCBI

29 

Babic AM, Kireeva ML, Kolesnikova TV and Lau LF: CYR61, a product of a growth factor-inducible immediate early gene, promotes angiogenesis and tumor growth. Proc Natl Acad Sci USA. 95:6355–6360. 1998. View Article : Google Scholar : PubMed/NCBI

30 

Lin MT, Zuon CY, Chang CC, Chen ST, Chen CP, Lin BR, Wang MY, Jeng YM, Chang KJ, Lee PH, et al: Cyr61 induces gastric cancer cell motility/invasion via activation of the integrin/nuclear factor-kappaB/cyclooxygenase-2 signaling pathway. Clin Cancer Res. 11:5809–5820. 2005. View Article : Google Scholar : PubMed/NCBI

31 

Lin MT, Kuo IH, Chang CC, Chu CY, Chen HY, Lin BR, Sureshbabu M, Shih HJ and Kuo ML: Involvement of hypoxia-inducing factor-1alpha-dependent plasminogen activator inhibitor-1 up-regulation in Cyr61/CCN1-induced gastric cancer cell invasion. J Biol Chem. 283:15807–15815. 2008. View Article : Google Scholar : PubMed/NCBI

32 

Jiang WG, Hiscox S, Hallett MB, Horrobin DF, Mansel RE and Puntis MC: Regulation of the expression of E-cadherin on human cancer cells by gamma-linolenic acid (GLA). Cancer Res. 55:5043–5048. 1995.PubMed/NCBI

33 

Zuo GW, Kohls CD, He BC, Chen L, Zhang W, Shi Q, Zhang BQ, Kang Q, Luo J, Luo X, et al: The CCN proteins: Important signaling mediators in stem cell differentiation and tumorigenesis. Histol Histopathol. 25:795–806. 2010.PubMed/NCBI

34 

Watari H, Xiong Y, Hassan MK and Sakuragi N: Cyr61, a member of ccn (connective tissue growth factor/cysteine-rich 61/nephroblastoma overexpressed) family, predicts survival of patients with endometrial cancer of endometrioid subtype. Gynecol Oncol. 112:229–234. 2009. View Article : Google Scholar

35 

Monnier Y, Farmer P, Bieler G, Imaizumi N, Sengstag T, Alghisi GC, Stehle JC, Ciarloni L, Andrejevic-Blant S, Moeckli R, et al: CYR61 and alphaVbeta5 integrin cooperate to promote invasion and metastasis of tumors growing in preirradiated stroma. Cancer Res. 68:7323–7331. 2008. View Article : Google Scholar : PubMed/NCBI

36 

Wei J, Yu G, Shao G, Sun A, Chen M, Yang W and Lin Q: CYR61 (CCN1) is a metastatic biomarker of gastric cardia adenocarcinoma. Oncotarget. Apr 20–2016.Epub ahead of print. View Article : Google Scholar

37 

Liu L, Li Z, Feng G, You W and Li J: Expression of connective tissue growth factor is in agreement with the expression of VEGF, VEGF-C, -D and associated with shorter survival in gastric cancer. Pathol Int. 57:712–718. 2007. View Article : Google Scholar : PubMed/NCBI

38 

Liu LY, Han YC, Wu SH and Lv ZH: Expression of connective tissue growth factor in tumor tissues is an independent predictor of poor prognosis in patients with gastric cancer. World J Gastroenterol. 14:2110–2114. 2008. View Article : Google Scholar : PubMed/NCBI

39 

Jiang CG, Lv L, Liu FR, Wang ZN, Liu FN, Li YS, Wang CY, Zhang HY, Sun Z and Xu HM: Downregulation of connective tissue growth factor inhibits the growth and invasion of gastric cancer cells and attenuates peritoneal dissemination. Mol Cancer. 10:1222011. View Article : Google Scholar : PubMed/NCBI

40 

Inoki I, Shiomi T, Hashimoto G, Enomoto H, Nakamura H, Makino K, Ikeda E, Takata S, Kobayashi K and Okada Y: Connective tissue growth factor binds vascular endothelial growth factor (VEGF) and inhibits VEGF-induced angiogenesis. FASEB J. 16:219–221. 2002.

41 

Sin WC, Bechberger JF, Rushlow WJ and Naus CC: Dose-dependent differential upregulation of CCN1/Cyr61 and CCN3/NOV by the gap junction protein Connexin43 in glioma cells. J Cell Biochem. 103:1772–1782. 2008. View Article : Google Scholar

42 

Fukunaga-Kalabis M, Martinez G, Telson SM, Liu ZJ, Balint K, Juhasz I, Elder DE, Perbal B and Herlyn M: Downregulation of CCN3 expression as a potential mechanism for melanoma progression. Oncogene. 27:2552–2560. 2008. View Article : Google Scholar

Related Articles

  • Abstract
  • View
  • Download
  • Twitter
Copy and paste a formatted citation
Spandidos Publications style
Li J, Gao X, Ji K, Sanders AJ, Zhang Z, Jiang WG, Ji J and Ye L: Differential expression of CCN family members CYR611, CTGF and NOV in gastric cancer and their association with disease progression. Oncol Rep 36: 2517-2525, 2016.
APA
Li, J., Gao, X., Ji, K., Sanders, A.J., Zhang, Z., Jiang, W.G. ... Ye, L. (2016). Differential expression of CCN family members CYR611, CTGF and NOV in gastric cancer and their association with disease progression. Oncology Reports, 36, 2517-2525. https://doi.org/10.3892/or.2016.5074
MLA
Li, J., Gao, X., Ji, K., Sanders, A. J., Zhang, Z., Jiang, W. G., Ji, J., Ye, L."Differential expression of CCN family members CYR611, CTGF and NOV in gastric cancer and their association with disease progression". Oncology Reports 36.5 (2016): 2517-2525.
Chicago
Li, J., Gao, X., Ji, K., Sanders, A. J., Zhang, Z., Jiang, W. G., Ji, J., Ye, L."Differential expression of CCN family members CYR611, CTGF and NOV in gastric cancer and their association with disease progression". Oncology Reports 36, no. 5 (2016): 2517-2525. https://doi.org/10.3892/or.2016.5074
Copy and paste a formatted citation
x
Spandidos Publications style
Li J, Gao X, Ji K, Sanders AJ, Zhang Z, Jiang WG, Ji J and Ye L: Differential expression of CCN family members CYR611, CTGF and NOV in gastric cancer and their association with disease progression. Oncol Rep 36: 2517-2525, 2016.
APA
Li, J., Gao, X., Ji, K., Sanders, A.J., Zhang, Z., Jiang, W.G. ... Ye, L. (2016). Differential expression of CCN family members CYR611, CTGF and NOV in gastric cancer and their association with disease progression. Oncology Reports, 36, 2517-2525. https://doi.org/10.3892/or.2016.5074
MLA
Li, J., Gao, X., Ji, K., Sanders, A. J., Zhang, Z., Jiang, W. G., Ji, J., Ye, L."Differential expression of CCN family members CYR611, CTGF and NOV in gastric cancer and their association with disease progression". Oncology Reports 36.5 (2016): 2517-2525.
Chicago
Li, J., Gao, X., Ji, K., Sanders, A. J., Zhang, Z., Jiang, W. G., Ji, J., Ye, L."Differential expression of CCN family members CYR611, CTGF and NOV in gastric cancer and their association with disease progression". Oncology Reports 36, no. 5 (2016): 2517-2525. https://doi.org/10.3892/or.2016.5074
Follow us
  • Twitter
  • LinkedIn
  • Facebook
About
  • Spandidos Publications
  • Careers
  • Cookie Policy
  • Privacy Policy
How can we help?
  • Help
  • Live Chat
  • Contact
  • Email to our Support Team