Spandidos Publications Logo
  • About
    • About Spandidos
    • Aims and Scopes
    • Abstracting and Indexing
    • Editorial Policies
    • Reprints and Permissions
    • Job Opportunities
    • Terms and Conditions
    • Contact
  • Journals
    • All Journals
    • Oncology Letters
      • Oncology Letters
      • Information for Authors
      • Editorial Policies
      • Editorial Board
      • Aims and Scope
      • Abstracting and Indexing
      • Bibliographic Information
      • Archive
    • International Journal of Oncology
      • International Journal of Oncology
      • Information for Authors
      • Editorial Policies
      • Editorial Board
      • Aims and Scope
      • Abstracting and Indexing
      • Bibliographic Information
      • Archive
    • Molecular and Clinical Oncology
      • Molecular and Clinical Oncology
      • Information for Authors
      • Editorial Policies
      • Editorial Board
      • Aims and Scope
      • Abstracting and Indexing
      • Bibliographic Information
      • Archive
    • Experimental and Therapeutic Medicine
      • Experimental and Therapeutic Medicine
      • Information for Authors
      • Editorial Policies
      • Editorial Board
      • Aims and Scope
      • Abstracting and Indexing
      • Bibliographic Information
      • Archive
    • International Journal of Molecular Medicine
      • International Journal of Molecular Medicine
      • Information for Authors
      • Editorial Policies
      • Editorial Board
      • Aims and Scope
      • Abstracting and Indexing
      • Bibliographic Information
      • Archive
    • Biomedical Reports
      • Biomedical Reports
      • Information for Authors
      • Editorial Policies
      • Editorial Board
      • Aims and Scope
      • Abstracting and Indexing
      • Bibliographic Information
      • Archive
    • Oncology Reports
      • Oncology Reports
      • Information for Authors
      • Editorial Policies
      • Editorial Board
      • Aims and Scope
      • Abstracting and Indexing
      • Bibliographic Information
      • Archive
    • Molecular Medicine Reports
      • Molecular Medicine Reports
      • Information for Authors
      • Editorial Policies
      • Editorial Board
      • Aims and Scope
      • Abstracting and Indexing
      • Bibliographic Information
      • Archive
    • World Academy of Sciences Journal
      • World Academy of Sciences Journal
      • Information for Authors
      • Editorial Policies
      • Editorial Board
      • Aims and Scope
      • Abstracting and Indexing
      • Bibliographic Information
      • Archive
    • International Journal of Functional Nutrition
      • International Journal of Functional Nutrition
      • Information for Authors
      • Editorial Policies
      • Editorial Board
      • Aims and Scope
      • Abstracting and Indexing
      • Bibliographic Information
      • Archive
    • International Journal of Epigenetics
      • International Journal of Epigenetics
      • Information for Authors
      • Editorial Policies
      • Editorial Board
      • Aims and Scope
      • Abstracting and Indexing
      • Bibliographic Information
      • Archive
    • Medicine International
      • Medicine International
      • Information for Authors
      • Editorial Policies
      • Editorial Board
      • Aims and Scope
      • Abstracting and Indexing
      • Bibliographic Information
      • Archive
  • Articles
  • Information
    • Information for Authors
    • Information for Reviewers
    • Information for Librarians
    • Information for Advertisers
    • Conferences
  • Language Editing
Spandidos Publications Logo
  • About
    • About Spandidos
    • Aims and Scopes
    • Abstracting and Indexing
    • Editorial Policies
    • Reprints and Permissions
    • Job Opportunities
    • Terms and Conditions
    • Contact
  • Journals
    • All Journals
    • Biomedical Reports
      • Information for Authors
      • Editorial Policies
      • Editorial Board
      • Aims and Scope
      • Abstracting and Indexing
      • Bibliographic Information
      • Archive
    • Experimental and Therapeutic Medicine
      • Information for Authors
      • Editorial Policies
      • Editorial Board
      • Aims and Scope
      • Abstracting and Indexing
      • Bibliographic Information
      • Archive
    • International Journal of Epigenetics
      • Information for Authors
      • Editorial Policies
      • Editorial Board
      • Aims and Scope
      • Abstracting and Indexing
      • Bibliographic Information
      • Archive
    • International Journal of Functional Nutrition
      • Information for Authors
      • Editorial Policies
      • Editorial Board
      • Aims and Scope
      • Abstracting and Indexing
      • Bibliographic Information
      • Archive
    • International Journal of Molecular Medicine
      • Information for Authors
      • Editorial Policies
      • Editorial Board
      • Aims and Scope
      • Abstracting and Indexing
      • Bibliographic Information
      • Archive
    • International Journal of Oncology
      • Information for Authors
      • Editorial Policies
      • Editorial Board
      • Aims and Scope
      • Abstracting and Indexing
      • Bibliographic Information
      • Archive
    • Medicine International
      • Information for Authors
      • Editorial Policies
      • Editorial Board
      • Aims and Scope
      • Abstracting and Indexing
      • Bibliographic Information
      • Archive
    • Molecular and Clinical Oncology
      • Information for Authors
      • Editorial Policies
      • Editorial Board
      • Aims and Scope
      • Abstracting and Indexing
      • Bibliographic Information
      • Archive
    • Molecular Medicine Reports
      • Information for Authors
      • Editorial Policies
      • Editorial Board
      • Aims and Scope
      • Abstracting and Indexing
      • Bibliographic Information
      • Archive
    • Oncology Letters
      • Information for Authors
      • Editorial Policies
      • Editorial Board
      • Aims and Scope
      • Abstracting and Indexing
      • Bibliographic Information
      • Archive
    • Oncology Reports
      • Information for Authors
      • Editorial Policies
      • Editorial Board
      • Aims and Scope
      • Abstracting and Indexing
      • Bibliographic Information
      • Archive
    • World Academy of Sciences Journal
      • Information for Authors
      • Editorial Policies
      • Editorial Board
      • Aims and Scope
      • Abstracting and Indexing
      • Bibliographic Information
      • Archive
  • Articles
  • Information
    • For Authors
    • For Reviewers
    • For Librarians
    • For Advertisers
    • Conferences
  • Language Editing
Login Register Submit
  • This site uses cookies
  • You can change your cookie settings at any time by following the instructions in our Cookie Policy. To find out more, you may read our Privacy Policy.

    I agree
Search articles by DOI, keyword, author or affiliation
Search
Advanced Search
presentation
Oncology Reports
Join Editorial Board Propose a Special Issue
Print ISSN: 1021-335X Online ISSN: 1791-2431
Journal Cover
March-2018 Volume 39 Issue 3

Full Size Image

Sign up for eToc alerts
Recommend to Library

Journals

International Journal of Molecular Medicine

International Journal of Molecular Medicine

International Journal of Molecular Medicine is an international journal devoted to molecular mechanisms of human disease.

International Journal of Oncology

International Journal of Oncology

International Journal of Oncology is an international journal devoted to oncology research and cancer treatment.

Molecular Medicine Reports

Molecular Medicine Reports

Covers molecular medicine topics such as pharmacology, pathology, genetics, neuroscience, infectious diseases, molecular cardiology, and molecular surgery.

Oncology Reports

Oncology Reports

Oncology Reports is an international journal devoted to fundamental and applied research in Oncology.

Experimental and Therapeutic Medicine

Experimental and Therapeutic Medicine

Experimental and Therapeutic Medicine is an international journal devoted to laboratory and clinical medicine.

Oncology Letters

Oncology Letters

Oncology Letters is an international journal devoted to Experimental and Clinical Oncology.

Biomedical Reports

Biomedical Reports

Explores a wide range of biological and medical fields, including pharmacology, genetics, microbiology, neuroscience, and molecular cardiology.

Molecular and Clinical Oncology

Molecular and Clinical Oncology

International journal addressing all aspects of oncology research, from tumorigenesis and oncogenes to chemotherapy and metastasis.

World Academy of Sciences Journal

World Academy of Sciences Journal

Multidisciplinary open-access journal spanning biochemistry, genetics, neuroscience, environmental health, and synthetic biology.

International Journal of Functional Nutrition

International Journal of Functional Nutrition

Open-access journal combining biochemistry, pharmacology, immunology, and genetics to advance health through functional nutrition.

International Journal of Epigenetics

International Journal of Epigenetics

Publishes open-access research on using epigenetics to advance understanding and treatment of human disease.

Medicine International

Medicine International

An International Open Access Journal Devoted to General Medicine.

Journal Cover
March-2018 Volume 39 Issue 3

Full Size Image

Sign up for eToc alerts
Recommend to Library

  • Article
  • Citations
    • Cite This Article
    • Download Citation
    • Create Citation Alert
    • Remove Citation Alert
    • Cited By
  • Similar Articles
    • Related Articles (in Spandidos Publications)
    • Similar Articles (Google Scholar)
    • Similar Articles (PubMed)
  • Download PDF
  • Download XML
  • View XML
Article

Serum and glucocorticoid-regulated kinase 1 (SGK1) is a predictor of poor prognosis in non-small cell lung cancer, and its dynamic pattern following treatment with SGK1 inhibitor and γ-ray irradiation was elucidated

  • Authors:
    • Zhiyuan Tang
    • Qin Shen
    • Hao Xie
    • Zhu Zhou
    • Guanglin Shi
    • Caixin Zhang
    • Anaz Mohammed
    • Yi Wu
    • Songshi Ni
    • Xiaoyu Zhou
  • View Affiliations / Copyright

    Affiliations: Department of Respiratory Medicine, The Affiliated Hospital of Nantong University, Nantong, Jiangsu 226001, P.R. China, Key Laboratory of Drug Metabolism and Pharmacokinetics, State Key Laboratory of Natural Medicines, China Pharmaceutical University, Nanjing, Jiangsu, 210009, P.R. China, Thomas J. Long School of Pharmacy and Health Sciences, University of the Pacific, Stockton, CA 95211, USA
  • Pages: 1505-1515
    |
    Published online on: January 3, 2018
       https://doi.org/10.3892/or.2018.6181
  • Expand metrics +
Metrics: Total Views: 0 (Spandidos Publications: | PMC Statistics: )
Metrics: Total PDF Downloads: 0 (Spandidos Publications: | PMC Statistics: )
Cited By (CrossRef): 0 citations Loading Articles...

This article is mentioned in:



Abstract

The tumor suppressor gene p53 and its dynamic patterns have caused widespread attention in the field of cancer research. Serum and glucocorticoid-regulated kinase 1 (SGK1) with features of serine/threonine kinase activity, which also contributes to the structural and functional similarities with the AKT family of kinases, is a key enzyme in the regulation of immune responses in tumor cells, and SGK1 was noted to be expressed in close relation to p53 protein levels, and there exists a negative feedback pathway between intracellular SGK1 and p53. Noteworthy, SGK1 was detected to play a role in the development of resistance to cancer chemotherapy. In this study, we demonstrated that high SGK1 expression had strong prognostic value for reduced overall survival in NSCLC patients. Detection of SGK1 collectively was helpful to predict the prognosis of NSCLC. We also identified the expression level of SGK1 and the p53 pathway including downstream apoptotic proteins under the stimulation of γ-radiation and SGK1 inhibitor GSK650394, which presented a series of dynamic fluctuations. Our results suggest that SGK1 dynamics could play an important role in cell signaling, which is capable of directly influencing NSCLC cellular fate decisions.

Introduction

Lung cancer is the leading cause of cancer-related death with an increasingly higher mortality and incidence among younger individuals worldwide and it has become one of the most serious threats to the quality of human life (1,2). In recent decades, the treatment of lung cancer has made great progress yet the prognosis remains poor with a 5-year survival rate less than 15%, and a median survival time of 16 to 18 months in China (3,4). Considering the status quo, it is necessary to pursue research on non-small cell lung cancer (NSCLC), its pathogenesis and progression, so that we can provide a more effective and reliable approach for disease prevention, treatment and improvement of patient prognosis.

Anticancer drugs play crucial roles in many different processes, such as inducing tumor cell apoptosis, cytotoxicity, proliferation, and inhibition of the invasion and metastasis of tumor cells. Inhibition of tumor cells itself mainly occurs through two mechanisms: promotion of apoptosis and cell cycle arrest. We found that serum and glucocorticoid-regulated kinase 1 (SGK1) after activation through substrate phosphorylation not only regulates cell proliferation and differentiation, but also promotes cell survival and inhibition of apoptosis. SGK1 is upregulated in most types of tumor tissues but it has also been observed to be downregulated in several other tumor tissues such prostate cancer (5), ovarian cancer (6), liver cancer (7), and adrenal tumors (8). It has been reported that in NSCLC tissue, SGK1 mRNA levels were upregulated and related to various clinical prognosis parameters (9,10), although the SGK1 protein expression was not significantly increased. In most tumor tissues, apart from paracancer tissues, SGK1 protein levels show a trend of inconsistency, which still remains ambiguous.

SGK1 is expressed in many different tissues of mammals and it belongs to the AGC protein kinase family which includes PKB/Akt and protein kinase C (PKC). Unlike constitutive expression of PKB/AKT, expression of SGK1 is more likely to be induced by external stimuli. SGK1 can be activated by serum and glucocorticoid; it can be also attained by regulation of other hormones or cytokines, such as mineralocorticoid hormones, insulin, vasopressin and growth factors (11–14). In the human body a vast number of signaling molecules are involved in the regulation of the transcription level of SGK1, including PKC, mitogen-activated protein kinase 1 (MAPK1) and phosphatidylinositol 3-kinase (PI3K) (15,16). Therefore, SGK1 is involved in various pathophysiological processes, including regulation of ion channels, cell survival, cell proliferation and migration, and is an important member in various intracellular signalling pathways, including the PI3K, p38MAPK (ie, MEKKs-MKK6, MKK3-p38MAPK) and JNK pathways. SGK1 participates in the regulation through downstream substrates of multiple pathways and through pathways within them, and it is the intersection of a variety of functions in vivo phosphorylation cascades. Recently, multiple downstream substrates of SGK1 such as GSK-3, FOXO3a, p21WAF-1, CREB and so on have been reported, and most of these substrates are apoptosis regulatory factors or nuclear transcription factors (17,18).

The signal transfer dynamics mode is another mechanism of transmitting signals within the cells by key signalling molecules. p53 gene is a tumor suppressor gene (TSG) containing 393 amino acids, which is capable of binding to specific DNA sequences and activating transcription. p53 gene includes two types: the wild-type and the mutated type; the former can inhibit tumor formation through the regulation of cell growth and by inducing apoptosis in mutated or senescent cells, while the latter losses the competency for inhibition of cell proliferation, DNA repair and induction of apoptosis, so that excessive cell proliferation, apoptosis reduction, abnormal transformation and accumulation occurs.

Additionally, it has been reported that double-stranded DNA damage occurs after cells are exposed to γ-ray stimulation and then ‘tumor suppressor’ p53 protein levels present a series of similar ringing digital pulse dynamic fluctuation, while a comparable dynamical result in response to the UV irradiation exposure leads to single-strand DNA damage, and the p53 expression presents a single pulse fluctuations. The dynamic performance of p53 protein, such as fluctuation numbers and amplitude, are the key influencing factors of cellular fate decisions (cell cycle arrest, senescence and apoptosis), and they are directly linked to DNA damage modes (single-strand/double-strand breaks) and the degree of their damage (19,20).

After cells are exposed to outside pressure, DNA damage occurs and p53 is activated in vivo and extracellular-regulated kinase (ERK) is phosphorylated. High expression of SGK1 induced by ERK1/2 can facilitate their transportation from the nucleus to the cytoplasm by promoting the phosphorylation of FOXO3a and thereby blocking the transcription of downstream target genes, further inducing cell cycle arrest and apoptosis (21–23). p53 can activate transcription of SGK1 while SGK1 enables the phosphorylation of MDM2, which can bind p53 inhibitor, thereby inhibiting the degradation of p53 protein, and finally activating the MDM2-dependent ubiquitination of p53 protein degradation. The p53 protein expression levels decreases and then causes cell proliferation, survival and differentiation process. Thus, there exists a negative feedback pathway between SGK1 and p53 in vivo, and the SGK1 expression is closely related to p53 protein levels. We examined the expression of intracellular SGK1 protein exposed to the γ-ray stimulation to find out whether similar dynamics exist with p53 fluctuation phenomenon and to observe its relationship with apoptosis.

It was reported that a method for altering p53 dynamics exposed to γ-irradiation by switching p53 natural pulses into a sustained p53 signal is held at the peak pulse amplitude. Sustained p53 signaling appears to accelerate the expression of senescence genes, while pulsed p53 delays gene expression and thereby protects cells from prematurely committing to an irreversible fate. It was also reported that even for similar cumulative p53, sustained p53 signaling led to higher expression of its target genes than pulsed p53, suggesting that it is the dynamics of p53 rather than its accumulated levels that control gene expression.

In a recent research study it was demonstrated that mRNA expression of SGK1 is significantly high in squamous cell carcinomas of the lungs and was found to be correlated with several clinical parameters. SGK1 was elevated in high-grade tumors and in tumors with large size and advanced stage, but the protein expression was of no significance. Therefore in the present study we conducted a different approach to explore the dynamic fluctuation of SGK1 in NSCLC (10), we carried out our study exclusively in Chinese patients.

In our previous work we examined the dynamic changes of non-small cell lung cancer A549 cells under stimulation at different time points, and found that SGK1 protein expression presents a series of dynamic pulses of reverse fluctuations after the double-strand DNA in cells was damaged following stimulation by γ-rays, and explored the influence of Wogonin with SGK1 expression in human NSCLC cells (24). We chose to use GSK650394 as an SGK1 inhibitor (25) as it was reported in some studies to stimulate the cells and successfully found that it is possible to exert a dynamic fluctuation behavior of SGK1 protein expression similar to that of γ-ray irradiation.

Since in vitro, the drug concentration remains unchanged for a certain time period after achieving the concentration platform, it can only alter the absorption rate of cells but not the elimination rate and it is known that experimentally it is not able to simulate the process of drugs in vivo. Therefore administered medium was designed to be removed at different time points during this experiment and bovine serum albumin (BSA) was added to serum-free medium (40 g/l) to simulate the serum albumin level in cancer patients, which made the cell culture medium more close to the patient's metabolism environment (26). Meanwhile, BSA promotes drug efflux metabolism, resulting in the elimination process of intracellular drugs.

We designed this experiment in such a way to explore SGK1 dynamics in cells treated differentially and to explore downstream apoptotic gene expression under the influence of SGK1 dynamics.

Materials and methods

Patients and tissue samples

Formalin-fixed, paraffin-embedded NSCLC samples (n=224) and matched adjacent tumor specimens (n=103) from 224 patients who underwent surgery were collected from the Clinical Biobank of The Affiliated Hospital of Nantong University, Jiangsu, China from 2004 to 2009. At the time of surgery, patient age ranged from 35 to 83 years, with a median of 62.9 years. No patient received chemotherapy or radiotherapy before surgery.

Clinical data were obtained by reviewing medical records in the archives room at the hospital. The data included patient sex, age, smoking status, tumor size, tumor differentiation, histological type, tumor status (T), lymph node metastasis (N), distant metastasis (M), and TNM stage. Follow-up data were obtained through telephone investigation. The last follow-up was on May 30, 2013. Cancer stage was classified according to the guidelines of the 7th edition of TNM staging in lung cancer (27). Informed consent was obtained from all patients before surgery, and the study protocol was approved by the Research Ethics Committee of The Affiliated Hospital of Nantong University.

Tissue microarray (TMA) construction and immunohistochemistry

TMA construction and immunohistochemistry of the NSCLC and matched adjacent tumor tissues were prepared and used for TMAs. The TMAs were assembled using a tissue arraying instrument (Quick-Ray, UT06; UNITMA, Seoul, Korea). Core tissue samples (2-mm in diameter) were taken from individual paraffin-embedded sections and deposited in recipient paraffin blocks. TMA specimens were cut into 4-µm sections and were kept on super frost-charged glass microscope slides before immunohistochemical processing. Immunohistochemical analysis was performed as previously described. The slides were incubated with the primary antibodies against SGK1 (ab32374, 1:200; Abcam, Cambridge, MA, USA) at 4°C overnight. Horseradish-peroxidase-conjugated rabbit IgG (Abcam) was applied as the secondary antibody for SGK1. The binding of the primary antibody was detected using diaminobenzidine solution. Slides in which the primary antibody was omitted were used as the negative control group, while a breast cancer sample known to be SGK1-positive was included as a positive control. For the semi-quantification of positive strength, the intensity (0, 1, 2, 3) and proportion of positive cells (0–100%) were both recorded. Thus, the score range was from 0 (no cell was stained) to 300 (all were strongly stained). We then used X-tile software (Rimm Laboratory at Yale University, New Haven, CT, USA; http://www.tissuearray.org/rimmlab) to determine a reasonable cut-off point to separate SGK1 protein expression into low and high expression.

Cell culture

Human lung carcinoma A549 cell line was obtained from the American Type Culture Collection (ATCC, Rockville, MD, USA). A549 were grown in RPMI-1640 (Gibco, Grand Island, NY, USA) medium. All the cells were cultured in the respective medium supplemented with 10% fetal bovine serum, 100 µg/ml penicillin, and 100 µg/ml streptomycin at 37°C in a humidified atmosphere with 5% CO2.

Western blot analysis

The cell samples used for LC-MS/MS assays were also prepared in parallel for western blot analysis. Equal amount of cell cytosolic protein (50 µg) was loaded and separated by SDS-PAGE. After electrophoresis, proteins were transferred to a PVDF membrane (Pall Corp., Port Washington, NY, USA). Blots were blocked with 5% skim milk in TBST buffer and incubated overnight at 4°C with specific primary antibody. After washing with TBST, the membrane was incubated with HRP-conjugated secondary antibody (KeyGen, Nanjing, China) for 1 h. The signal was visualized by an enhanced chemiluminescence (ECL) system (Millipore, Billerica, MA, USA). The protein expression levels were normalized with GAPDH to correct any experimental handing errors.

Gene expression analysis

RNA was isolated from human cells using RNeasy Mini kit (74106, Qiagen, Valencia, CA, USA). Human blood was collected in PaxGene Tubes (762165, Qiagen) and RNA was isolated using the PAXGene Blood RNA kit (Qiagen, 762174). RNA was reverse-transcribed with SuperScript III (18080044, Invitrogen, Carlsbad, CA, USA) before quantitative real-time PCR (qRT-PCR). Microarray was performed using Human GenomeU219 Array on the Affymetrix GeneAtlas platform. Partek software (Ariadne) was used for quality control and to identify signaling pathways.

ELISA analysis

We used ELISA analysis to detect the expression of IFN-γ, IL-7 and IL-9 in NSCLC A549 cells. The cell suspension was diluted with PBS (pH 7.2) and the cell concentration reached ~106/ml. The tissue protein extraction reagent was added to disrupt the cells and centrifuged at 3000 rpm for 20 min. The concentrations of the cytokines from the supernatant were measured using ELISA kits following the manufacturer's instructions.

Statistical analysis

The survival curves were calculated using the Kaplan-Meier method and the log-rank test was used for survival analysis. Factors shown related to prognosis with the univariate Cox regression model were evaluated with the multivariate Cox regression model. Differences were regarded as statistically significant at P<0.05. All statistical analyses were performed using SPSS version 20.0 statistical software (SPSS Inc., Chicago, IL, USA).

Results

Relative SGK1 mRNA expression in NSCLC tissues

We determined SGK1 mRNA expression level in 30 pairs of fresh frozen NSCLC tumorous and adjacent non-tumorous tissues. Relative SGK1 mRNA expression level was normalized to the expression of housekeeping gene GAPDH. We were able to observe relatively high expression of SGK1 mRNA in cancerous tissues compared to that noted in the adjacent non-cancerous tissues (P<0.001) (Fig. 1), which suggests higher SGK1 expression is related to the cancerous change of NSCLC.

Figure 1.

The relative expression levels of SGK1 in individual 30 pairs of NSCLC tissues.

Analysis of SGK1 expression in NSCLC patients by TMA-IHC

Two hundred and twenty-four cases of NSCLC were collected and prepared, in which 103 cases of non-cancerous adjacent tumor tissue samples were obtained. All samples belonged to patients with a well-documented clinical history. Finally, we analyzed prognostic factors in NSCLC patients using both univariate and multivariate analyses.

Our results suggest that high SGK1 expression in NSCLC patients predicts a reduced survival time. Likewise analyzing the survival curve it was revealed that the percentage of surviving NSCLC patients with positive SGK1 expression, after surgical intervention was significantly lower than that of NSCLC patients with negative SGK1 expression, which suggests the key role of SGK1 in predicting poor prognosis. The log-rank test revealed positive SGK1 expression is associated with poor prognosis in NSCLC patients (Fig. 2).

Figure 2.

SGK1 expression in NSCLC, and its correlation with patient prognosis. (A and B) Strong positive expression of SGK1 in lung adenocarcinoma: (A) ×40 magnification, (B) ×400 magnification. (C and D) Negative expression of SGK1 in non-cancerous lung tissue: (C) ×40 magnification, (D) ×400 magnification. The red arrow in B indicates SGK1-positive cells in the cytoplasm of cancer cells, while the green arrow indicates negative SGK1 expression in alveolar epithelial cells. (E) The 5-year survival rate curve of NSCLC patients with SGK1-positive and negative-tumors following surgery. Data are presented as means ± SD; n=5-8/group.

Correlation between SGK1 expression and the clinicopathological characteristics of the NSCLC patients

Next, we correlated SGK1 protein expression with the following clinical characteristics of the NSCLC patients, which included sex, age at diagnosis, tumor size, histopathological grade, lymph node metastasis, smoking history and TNM stage. High SGK1 protein expression was significantly associated with differentiation (Pearson's χ2=5.279, P=0.022) and histological type (Pearson's χ2=4.127, P=0.042) (Table I). The statistical analysis showed that high expression of SGK1 was not correlated with lung cancer lymph node metastasis and advanced TNM staging.

Table I.

Correlation of SGK1 expression in tumor tissues with clinicopathological characteristics of the NSCLC patients.

Table I.

Correlation of SGK1 expression in tumor tissues with clinicopathological characteristics of the NSCLC patients.

SGK1 expression

GroupsNHigh (%)Pearson's χ2P-value
Total224121 (54.02)
Age (years) 0.2010.654
  <60  73  41 (56.16)
  ≥60151  80 (52.98)
Sex 0.5590.455
  Male171  90 (52.63)
  Female  53  31 (58.49)
Smoking history 0.0580.81
  Yes  47  24 (51.06)
  No  92  45 (48.91)
  Unknown  85  52 (61.18)
Differentiation 5.2790.022a
  Low grade  60  40 (66.67)
  Middle and high grade164  81 (49.39)
Histological type 4.1270.042a
  Squamous cell carcinoma  66  41 (62.12)
  Adenocarcinoma104  48 (46.15)
  Others  54  32
T 0.5940.743
  Tis+T1  74  39 (52.70)
  T2126  72 (57.14)
  T3+T4  20  10 (50.00)
  Unknown     4  0
N 2.9820.225
  N0122  60 (49.18)
  N1  58  33 (56.90)
  N2  44  28 (63.64)
TNM stage 1.8000.406
  0–I  90  45 (50.00)
  II  76  43 (56.58)
  III–IV  54  32 (59.26)
  Unknown     4  0

a P<0.05. TNM stage contains N stage. T, tumor status; N, lymph node metastasis.

Findings from the univariate and multivariate analyses of prognostic variables for the 5-year survival rate of NSCLC patients are shown in Table II. Univariate Cox regression analyses for all variables suggested that the high expression of SGK1 [hazard ratio (HR) 1.926; 95% confidence interval (CI) 1.452–2.903; P<0.001] was a significant negative prognostic factor for 5-year survival in patients with NSCLC. Kaplan-Meier survival curves further confirmed that SGK1 expression was significantly associated with the survival of NSCLC patients, which was gradually reduced with increasing SGK1 expression (log-rank test, P<0.001, Fig. 2C). The survival curve corresponding to SGK1 expression showed a good discrimination without much overlap, indicating the success of the score standard for assessing SGK1 staining, and the reliability of SGK1 as a prognostic factor.

Table II.

Univariate and multivariate analyses of the prognostic variables for the 5-year survival rate of NSCLC patients.

Table II.

Univariate and multivariate analyses of the prognostic variables for the 5-year survival rate of NSCLC patients.

Univariate analysisMultivariate analysis


VariablesHRP-value95% CIHRP-value95% CI
SGK1 expression1.926 <0.001a1.452–2.9031.726 <0.001a1.396–2.865
  High vs. low
Smoke0.8460.8210.576–1.463
  Yes vs. no
Age (years)0.8470.7960.501–1.243
  <60 vs. ≥60
Sex0.8140.7660.532–1.315
  Male vs. female
Differentiation1.1170.2150.729–1.587
  Low grade vs. middle and high grade
Histological type0.8210.4110.693–1.016
  Sq vs. Ad vs. others
T1.1030.1370.845–1.507
  Tis+T1 vs. T2 vs. T3+T4
N1.270 <0.001a1.053–1.559
  N0 vs. N1 vs. N2
TNM stage1.369 <0.001a0.957–1.6551.281 <0.001a1.075–1.742
  0–I vs. II vs. III–IV

a P<0.05. TNM stage contains N stage; therefore, it was not included in the multivariate analysis. HR, hazard ratio; CI, confidence interval; Sq, squamous cell carcinoma; Ad, adenocarcinoma; T, tumor status; N, lymph node metastasis.

Finally, multivariate Cox regression analysis of the same set of NSCLC patients further demonstrated that high expression of SGK1 (HR, 1.726; 95% CI 1.396–2.865; P<0.001) is an independent prognostic factor for the 5-year survival of patients with NSCLC (Table II).

SGK1 dynamics following γ-ray irradiation and treatment of GSK650394 at each time point

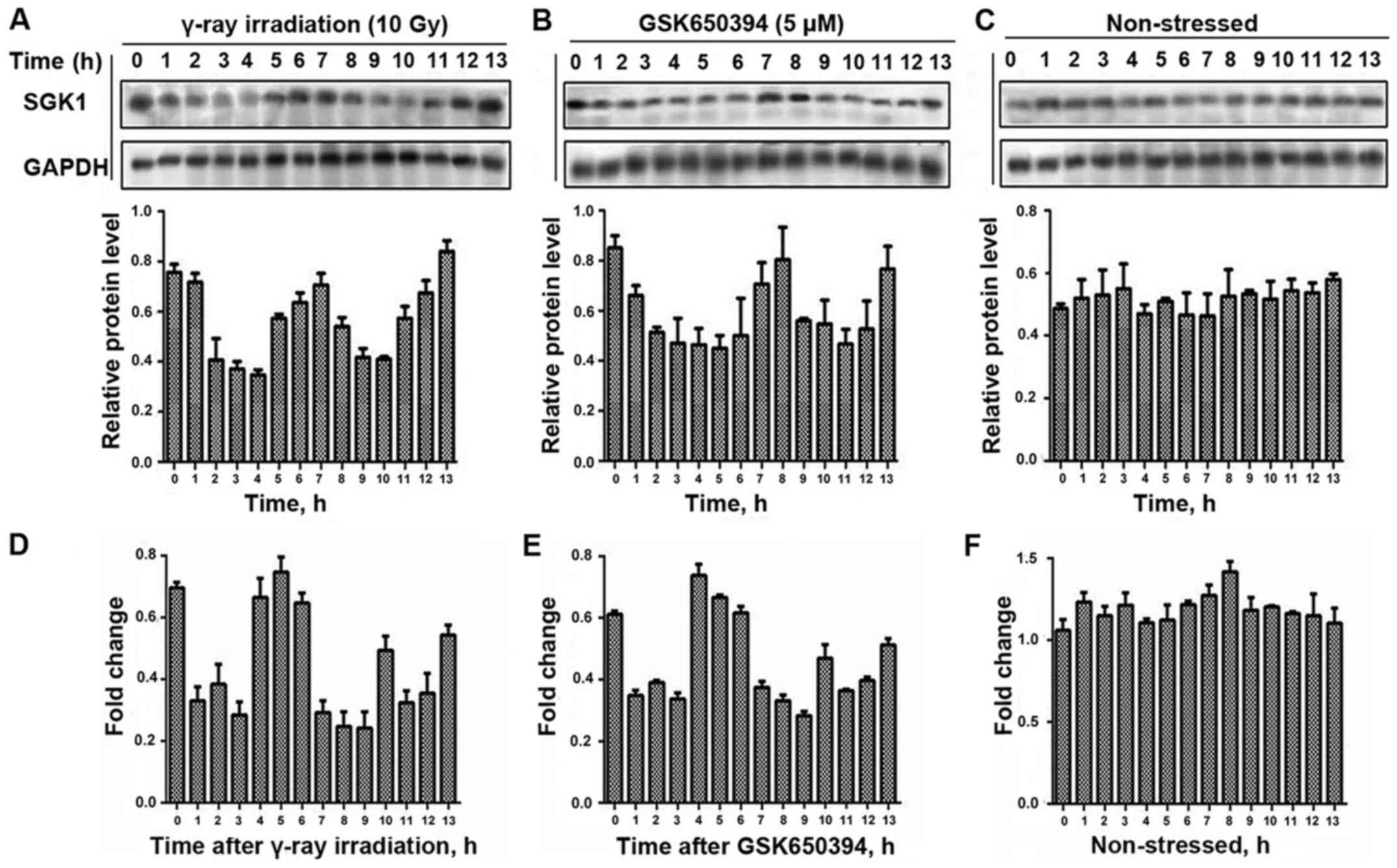
We aimed to observe the regulation of SGK1 produced in tumor cells. For this we adopted the simulation of radiation treatment with γ-radiation (10 Gy), and examined the protein expression changes after irradiation in A549 cells. At the same time we adopted a specific inhibitor of SGK1 (GSK650394) to stimulate the cells and collected the cell samples hourly. Finally we obtained the fluctuation expression curve of SGK1 protein with western blot method.

Following the exposure of A549 cells to γ-ray irradiation and treatment with GSK650394, we measured their protein level hourly and we did the same to non-stressed cells (Fig. 3). We were able to detect the highest amplitude of fluctuation for the cells exposed to γ-radiation at 13 h and the highest amplitude of fluctuation for the cells after treatment with GSK650394 was at 8 h while no such noticeable fluctuations occurred in the non-stressed cells.

Figure 3.

SGK1 dynamics following γ-ray irradiation and treatment of GSK650394. (A) SGK1 protein expression level of samples detected hourly after γ-ray (10 Gy) irradiation. (B) After withdrawal of GSK650394 from A549 cells at the dose of 5 µM for 2 h, we collected the cell sample every hour from the time that the drug was removed to detect expression of SGK1. (C) SGK1 expression of the control group, with no drug treatment (non-stressed); (D-F) Graphical representation of SGK1 mRNA expression level. Data are presented as means ± SD; n=5-8/group.

We were also able to detect mRNA dynamic fluctuation for A549 cells exposed to γ-ray irradiation as well as for cells after treatment with GSK650394, and did the same with the non-stressed cells. Moreover, we detected the highest amplitude of mRNA expression for the cells exposed to γ-radiation at 5 h and the highest amplitude of fluctuation for the cells after treatment with GSK650394 at 4 h and no such noticeable fluctuations occurred in the non-stressed cells (Fig. 3). Thus, we were able to prove the possibilities of dynamical fluctuations in the cells through applying stress in two different aspects.

Apoptosis-related protein expression dynamics following stimulating of SGK1 inhibitor and γ-ray irradiation

Next we performed western blot analysis to observe the dynamic fluctuation of SGK1/p53 protein level with its downstream apoptotic proteins following stimulation with SGK1 inhibitor GSK650394 and γ-ray irradiation. We chose p53, BAX, APAF1 along with β-actin. As shown in Fig. 4, by inducing stress, we observed the relative protein expression levels every hour. The expression of p53, BAX and APAF1 showed almost a similar trend of fluctuation with their protein expression levels. The fluctuation trend was in such a way that at 0 h there was minimum amplitude followed by elevated amplitude at (1, 2 and 3 h) flowed by depressed amplitude at 4, 5 and 6 h again followed by elevated amplitude at 7, 8 and 9 h which continued with a depressed amplitude until 13 h, which was the pre-determined time limit for our experiment. It also revealed that the expression level of the p53 pathway including its downstream apoptotic proteins following stimulation with SGK1 inhibitor GSK650394 and γ-ray irradiation could also present a dynamic process of fluctuation. This confirms a new method to control cell fate decisions.

Figure 4.

Apoptosis-related protein expression following stimulation with the SGK1 inhibitor and γ-ray irradiation. (A) Western blot analysis of apoptosis-related proteins (p53, BAX, APAF1) and their graphical representation respectively following stimulation with SGK1 inhibitor GSK650394. (B) Western blot analysis of apoptosis-related proteins and their graphical representation respectively following the stimulation with γ-ray irradiation. Data are presented as means ± SD; n=5-8/group.

Accumulation of IFN-γ, IL-7 and IL-9 following stimulation with an SGK1 inhibitor and γ-ray irradiation

We were able to detect an ascending trend of fluctuation with least amplitude of fluctuation at 0 h and highest amplitude at 13 h for both after treatment with SGK1 inhibitor GSK650394 and after γ-ray irradiation. The results revealed that SGK1 inhibitor inhibited the expression of SGK1 activity and was capable of inducing the expression of IFN-γ and the concentration accumulated, which could enhance the cellular immune response and the capability to promote tumor cell apoptosis. Similar results were obtained for IL-7 and IL-9 (Fig. 5).

Figure 5.

Expression of IFN-γ, IL-7 and IL-9. (A) IFN-γ expression after treatment with SGK1 inhibitor GSK650394. (B) IFN-γ expression after γ-ray irradiation. (C) IL-7 expression after treatment with SGK1 inhibitor GSK650394, (D) IL-7 expression after γ-ray irradiation. (E) IL-9 expression after treatment with SGK1 inhibitor GSK650394, (F) IL-9 expression after γ-ray irradiation. Data are presented as means ± SD; n=5-8/group.

Discussion

SGK1 was originally identified in a differential screen for glucocorticoid-responsive genes in a mammary tumor cell line. It is known to undergo both transcriptional and posttranslational regulation dynamically in response to a variety of stimulations such as glucocorticoids, hormones, cell volume and growth factors (28). Under non-pathological conditions, the expression of SGK1 was detected to be low in several tissues and in fact not required for basic functions. On the other hand, SGK1 is rapidly upregulated under specific stress and pathological conditions (29). The expression of SGK1 is strongly related to cellular stress. For this reason, the highest expression was found in high-grade tumors, as these are usually characterized by higher rates of energy metabolism, which expose them to relative hypo-oxygenation and paradoxically to higher oxidative stress due to the Warburg effect (30–32).

In response to DNA breakage caused by γ-irradiation, the levels of p53 exhibit a series of pulses with fixed amplitude and frequency (33). Mice were able to produce p53 dynamics after their body was exposed wholly to γ-ray irradiation (34). In this case, the kinetics-exhibited phenotype of cells can be distinguished, and such cells are likely able to become a target for small-molecular drugs. SGK1 dynamics can reveal a potential unrecognized regulation mode. Considering this, small-molecular drugs can be used for the treatment together with intracellular signaling dynamics, regulation of dynamic modes to change the fate of cells, which can provide hope for future research. We concede that our knowledge of the role of SGK1 with its specific small-molecule inhibitors in tumors is at an early stage, and further studies are urgently required to indicate the most appropriate use for the prognostic or predictive evaluation of NSCLC patients.

In the present study we explored the role of SGK1, the most studied and represented member of the SGK family of serine/threonine kinases. By analyzing various studies related to SGK1 and through our own study we confirmed the role of SGK1 in NSCLC. We observed that high SGK1 mRNA expression appeared to be a worse prognostic indicator, nevertheless the SGK1 protein expression was not significant, more specifically with the TNM stage. Compared with protein expression, SGK1 mRNA expression was more pronounced for the process of transcription to translation as well as post-translational modification is very complex, and the expression of protein at the translation level often lags the expression of mRNA at the transcriptional level, so there is always a difference between the two. Moreover, we were able to detect remarkable dynamic fluctuation for SGK1 using γ-ray irradiation and SGK1 inhibitor, which revealed great possibility in the treatment of NSCLC. Hence this dynamic fluctuation can be used to regulate the dose of anticancer drugs and to control the cell fate. With the proper use of this dynamic fluctuation, there are great possibilities to provide better treatment for patients in the future. Therefore, there is urgent need of further studies to explain more about how this fluctuation should be used to approach lung cancer treatment.

The mechanism of action of kinetic signals can provide a new way for the cells to adjust to the response of external stimuli in a controlled manner, and this research could bring new approaches to change cell fate and to achieve new drugs for treatment. The advantage of this treatment in disturbing the signal dynamics for therapeutic purposes is that, it is non-invasive and can precisely control the instantaneous signal transmission especially when it is necessary to distinguish dynamics between normal cells and tumor cells (35). In a recent study, it was revealed that SGK1 is essential for limiting and regulating cell survival, proliferation and differentiation through phosphorylation of MDM2, which controls p53 ubiquitylation and proteosomal degradation (36). As mentioned above, several studies have confirmed that there exists a negative feedback pathway between SGK1 and p53, and SGK1 expression is closely related to the p53 protein level (20–24). Our study detected changes in apoptosis-related indices including p53, and we believe that these cells underwent a different cell fate which was associated with p53.

The detection of ideal predictive tumor biomarkers is a complicated process, and currently the best choice for the identification of such biomarkers appears to be a compromise between the results obtained from high-throughput technologies and hypothesis-driven analyses (37,38). We conducted this explorative study to identify the role of SGK1 dynamics in NSCLC cells, and we successfully demonstrated a great regulating possibility of the apoptosis of tumor cells.

Current research is focused on the immunotherapy of cancer, and IFN-γ has become a focus of study in research of the immune therapy of tumors (39). IFN-γ functions via its potent antitumor activity through cell growth inhibition, induction of cell apoptosis, killing of tumor cells through activation of the immune system and enhancing antitumor immunity of the microenvironment (40). Researchers at Johns Hopkins Kimmel Cancer Center found that SGK1-knockout melanoma mice produced a significant increase in interferon IFN-γ expression, than mice with SGK1 normal expression, and at the same time the enhance in the immune response resulted in half the chance of lung cancer than the normal group (41). IL-7 treatment exerted an anticancer function accompanying the increased level of IFN-γ (42), and an intriguing interaction between IFN-γ/IFN-γR and IL-7/IL-7R pathways effectively reversed immune suppression and eliminated tumors (43). Lu et al stated that IL-9 promoted Tc9 cell migration into the tumor site to exert vital function (44) and neutralization of IL-9 in mice promoted tumor growth (45). Consequently, we realized that the SGK1 enzyme is a key for the regulation of the immune response in vivo and it is possible to apply SGK1 competitive inhibitor GSK650394 in animal experiments, which may be able to partially mimic the effect of the absence of the enzyme SGK1. This may induce the increased expression of immune-related indicators to enhance the cellular immune response and promote tumor cell apoptosis.

Acknowledgements

We thank the staff of the Clinical Biobank of The Affiliated Hospital of Nantong University. This work was supported by grants from the National Natural Science Foundation of China (81503143), Chinese Postdoctoral Science Foundation (no. 2015M581846); Six Talent Peaks Project in Jiangsu Province (2015-WSN-062); Science and Technology Plan of Nantong (MS22015113).

References

1 

Hamra GB, Laden F, Cohen AJ, Raaschou-Nielsen O, Brauer M and Loomis D: Lung cancer and exposure to nitrogen dioxide and traffic: A systematic review and meta-analysis. Environ Health Perspect. 123:1107–1112. 2015. View Article : Google Scholar : PubMed/NCBI

2 

Neal JW and Wakelee HA: Elusive target of angiogenesis in small-cell lung cancer. J Clin Oncol. 35:1269–1271. 2017. View Article : Google Scholar : PubMed/NCBI

3 

Shu W, Yang H, Zhang L, Lu MM and Morrisey EE: Characterization of a new subfamily of winged-helix/forkhead (Fox) genes that are expressed in the lung and act as transcriptional repressors. J Biol Chem. 276:27488–27497. 2001. View Article : Google Scholar : PubMed/NCBI

4 

Hu H, Wang B, Borde M, Nardone J, Maika S, Allred L, Tucker PW and Rao A: Foxp1 is an essential transcriptional regulator of B cell development. Nat Immunol. 7:819–826. 2006. View Article : Google Scholar : PubMed/NCBI

5 

Rauhala HE, Porkka KP, Tolonen TT, Martikainen PM, Tammela TL and Visakorpi T: Dual-specificity phosphatase 1 and serum/glucocorticoid-regulated kinase are downregulated in prostate cancer. Int J Cancer. 117:738–745. 2005. View Article : Google Scholar : PubMed/NCBI

6 

Chu S, Rushdi S, Zumpe ET, Mamers P, Healy DL, Jobling T, Burger HG and Fuller PJ: FSH-regulated gene expression profiles in ovarian tumours and normal ovaries. Mol Hum Reprod. 8:426–433. 2002. View Article : Google Scholar : PubMed/NCBI

7 

Nasir O, Wang K, Föller M, Gu S, Bhandaru M, Ackermann TF, Boini KM, Mack A, Klingel K, Amato R, et al: Relative resistance of SGK1 knockout mice against chemical carcinogenesis. IUBMB Life. 61:768–776. 2009. View Article : Google Scholar : PubMed/NCBI

8 

Ronchi CL, Sbiera S, Leich E, Tissier F, Steinhauer S, Deutschbein T, Fassnacht M and Allolio B: Low SGK1 expression in human adrenocortical tumors is associated with ACTH-independent glucocorticoid secretion and poor prognosis. J Clin Endocrinol Metab. 97:E2251–E2260. 2012. View Article : Google Scholar : PubMed/NCBI

9 

Xiaobo Y, Qiang L, Xiong Q, Zheng R, Jianhua Z, Zhifeng L, Yijiang S and Zheng J: Serum and glucocorticoid kinase 1 promoted the growth and migration of non-small cell lung cancer cells. Gene. 576:339–346. 2016. View Article : Google Scholar : PubMed/NCBI

10 

Abbruzzese C, Mattarocci S, Pizzuti L, Mileo AM, Visca P, Antoniani B, Alessandrini G, Facciolo F, Amato R, D'Antona L, et al: Determination of SGK1 mRNA in non-small cell lung cancer samples underlines high expression in squamous cell carcinomas. J Exp Clin Cancer Res. 31:42012. View Article : Google Scholar : PubMed/NCBI

11 

Sun JY, Li C, Shen ZX, Zhang WC, Ai TJ, Du LJ, Zhang YY, Yao GF, Liu Y, Sun S, et al: Mineralocorticoid receptor deficiency in macrophages inhibits neointimal hyperplasia and suppresses macrophage inflammation through SGK1-AP1/NF-κB pathways. Arterioscler Thromb Vasc Biol. 36:874–885. 2016. View Article : Google Scholar : PubMed/NCBI

12 

Mansley MK, Watt GB, Francis SL, Walker DJ, Land SC, Bailey MA and Wilson SM: Dexamethasone and insulin activate serum and glucocorticoid-inducible kinase 1 (SGK1) via different molecular mechanisms in cortical collecting duct cells. Physiol Rep. 4:42016. View Article : Google Scholar

13 

Arteaga MF and Canessa CM: Functional specificity of Sgk1 and Akt1 on ENaC activity. Am J Physiol Renal Physiol. 289:F90–F96. 2005. View Article : Google Scholar : PubMed/NCBI

14 

Zhu T, Zhang W and Wang DX: Insulin up-regulates epithelial sodium channel in LPS-induced acute lung injury model in rats by SGK1 activation. Injury. 43:1277–1283. 2012. View Article : Google Scholar : PubMed/NCBI

15 

Lang F, Böhmer C, Palmada M, Seebohm G, Strutz-Seebohm N and Vallon V: (Patho)physiological significance of the serum- and glucocorticoid-inducible kinase isoforms. Physiol Rev. 86:1151–1178. 2006. View Article : Google Scholar : PubMed/NCBI

16 

Lang F, Görlach A and Vallon V: Targeting SGK1 in diabetes. Expert Opin Ther Targets. 13:1303–1311. 2009. View Article : Google Scholar : PubMed/NCBI

17 

Simon P, Schneck M, Hochstetter T, Koutsouki E, Mittelbronn M, Merseburger A, Weigert C, Niess A and Lang F: Differential regulation of serum- and glucocorticoid-inducible kinase 1 (SGK1) splice variants based on alternative initiation of transcription. Cell Physiol Biochem. 20:715–728. 2007. View Article : Google Scholar : PubMed/NCBI

18 

Bai JA, Xu GF, Yan LJ, Zeng WW, Ji QQ, Wu JD and Tang QY: SGK1 inhibits cellular apoptosis and promotes proliferation via the MEK/ERK/p53 pathway in colitis. World J Gastroenterol. 21:6180–6193. 2015. View Article : Google Scholar : PubMed/NCBI

19 

Purvis JE and Lahav G: Encoding and decoding cellular information through signaling dynamics. Cell. 152:945–956. 2013. View Article : Google Scholar : PubMed/NCBI

20 

Purvis JE, Karhohs KW, Mock C, Batchelor E, Loewer A and Lahav G: p53 dynamics control cell fate. Science. 336:1440–1444. 2012. View Article : Google Scholar : PubMed/NCBI

21 

Brunet A, Park J, Tran H, Hu LS, Hemmings BA and Greenberg ME: Protein kinase SGK mediates survival signals by phosphorylating the forkhead transcription factor FKHRL1 (FOXO3a). Mol Cell Biol. 21:952–965. 2001. View Article : Google Scholar : PubMed/NCBI

22 

You H, Jang Y, You-Ten AI, Okada H, Liepa J, Wakeham A, Zaugg K and Mak TW: p53-dependent inhibition of FKHRL1 in response to DNA damage through protein kinase SGK1. Proc Natl Acad Sci USA. 101:pp. 14057–14062. 2004; View Article : Google Scholar : PubMed/NCBI

23 

Feng Z, Liu L, Zhang C, Zheng T, Wang J, Lin M, Zhao Y, Wang X, Levine AJ and Hu W: Chronic restraint stress attenuates p53 function and promotes tumorigenesis. Proc Natl Acad Sci USA. 109:pp. 7013–7018. 2012; View Article : Google Scholar : PubMed/NCBI

24 

Shi G, Wang Q, Zhou X, Li J, Liu H, Gu J, Wang H, Wu Y, Ding L, Ni S, et al: Response of human non-small-cell lung cancer cells to the influence of Wogonin with SGK1 dynamics. Acta Biochim Biophys Sin (Shanghai). 49:302–310. 2017. View Article : Google Scholar : PubMed/NCBI

25 

Sherk AB, Frigo DE, Schnackenberg CG, Bray JD, Laping NJ, Trizna W, Hammond M, Patterson JR, Thompson SK, Kazmin D, et al: Development of a small-molecule serum- and glucocorticoid-regulated kinase-1 antagonist and its evaluation as a prostate cancer therapeutic. Cancer Res. 68:7475–7483. 2008. View Article : Google Scholar : PubMed/NCBI

26 

Sung J, Bochicchio GV, Joshi M, Bochicchio K, Costas A, Tracy K and Scalea TM: Admission serum albumin is predicitve of outcome in critically ill trauma patients. Am Surg. 70:1099–1102. 2004.PubMed/NCBI

27 

Webster MK, Goya L, Ge Y, Maiyar AC and Firestone GL: Characterization of sgk, a novel member of the serine/threonine protein kinase gene family which is transcriptionally induced by glucocorticoids and serum. Mol Cell Biol. 13:2031–2040. 1993. View Article : Google Scholar : PubMed/NCBI

28 

Lang F and Görlach A: Heterocyclic indazole derivatives as SGK1 inhibitors, WO2008138448. Expert Opin Ther Pat. 20:129–135. 2010. View Article : Google Scholar : PubMed/NCBI

29 

Nakashima RA, Paggi MG and Pedersen PL: Contributions of glycolysis and oxidative phosphorylation to adenosine 5′-triphosphate production in AS-30D hepatoma cells. Cancer Res. 44:5702–5706. 1984.PubMed/NCBI

30 

Wallace DC: Mitochondria and cancer: Warburg addressed. Cold Spring Harb Symp Quant Biol. 70:363–374. 2005. View Article : Google Scholar : PubMed/NCBI

31 

Pedersen PL: Warburg, me and Hexokinase 2: Multiple discoveries of key molecular events underlying one of cancers' most common phenotypes, the Warburg Effect, i.e., elevated glycolysis in the presence of oxygen. J Bioenerg Biomembr. 39:211–222. 2007. View Article : Google Scholar : PubMed/NCBI

32 

Lahav G, Rosenfeld N, Sigal A, Geva-Zatorsky N, Levine AJ, Elowitz MB and Alon U: Dynamics of the p53-Mdm2 feedback loop in individual cells. Nat Genet. 36:147–150. 2004. View Article : Google Scholar : PubMed/NCBI

33 

Hamstra DA, Bhojani MS, Griffin LB, Laxman B, Ross BD and Rehemtulla A: Real-time evaluation of p53 oscillatory behavior in vivo using bioluminescent imaging. Cancer Res. 66:7482–7489. 2006. View Article : Google Scholar : PubMed/NCBI

34 

Francisco DC, Peddi P, Hair JM, Flood BA, Cecil AM, Kalogerinis PT, Sigounas G and Georgakilas AG: Induction and processing of complex DNA damage in human breast cancer cells MCF-7 and nonmalignant MCF-10A cells. Free Radic Biol Med. 44:558–569. 2008. View Article : Google Scholar : PubMed/NCBI

35 

Amato R, D'Antona L, Porciatti G, Agosti V, Menniti M, Rinaldo C, Costa N, Bellacchio E, Mattarocci S, Fuiano G, et al: Sgk1 activates MDM2-dependent p53 degradation and affects cell proliferation, survival, and differentiation. J Mol Med (Berl). 87:1221–1239. 2009. View Article : Google Scholar : PubMed/NCBI

36 

Bianchi F, Nicassio F and Di Fiore PP: Unbiased vs. biased approaches to the identification of cancer signatures: The case of lung cancer. Cell Cycle. 7:729–734. 2008. View Article : Google Scholar : PubMed/NCBI

37 

Guan P, Huang D, He M and Zhou B: Lung cancer gene expression database analysis incorporating prior knowledge with support vector machine-based classification method. J Exp Clin Cancer Res. 28:1032009. View Article : Google Scholar : PubMed/NCBI

38 

Heikamp EB, Patel CH, Collins S, Waickman A, Oh MH, Sun IH, Illei P, Sharma A, Naray-Fejes-Toth A, Fejes-Toth G, et al: The AGC kinase SGK1 regulates TH1 and TH2 differentiation downstream of the mTORC2 complex. Nat Immunol. 15:457–464. 2014. View Article : Google Scholar : PubMed/NCBI

39 

Rearden R, Sah A, Doff B, Kobayashi T, McKee SJ, Leggatt GR and Mattarollo SR: Control of B-cell lymphoma by therapeutic vaccination and acquisition of immune resistance is independent of direct tumour IFN-gamma signalling. Immunol Cell Biol. 94:554–562. 2016. View Article : Google Scholar : PubMed/NCBI

40 

Lugade AA, Sorensen EW, Gerber SA, Moran JP, Frelinger JG and Lord EM: Radiation-induced IFN-gamma production within the tumor microenvironment influences antitumor immunity. J Immunol. 180:3132–3139. 2008. View Article : Google Scholar : PubMed/NCBI

41 

Goldstraw P: The 7th edition of TNM in lung cancer: What now? J Thorac Oncol. 4:671–673. 2009. View Article : Google Scholar : PubMed/NCBI

42 

Yuan CH, Yang XQ, Zhu CL, Liu SP, Wang BC and Wang FB: Interleukin-7 enhances the in vivo anti-tumor activity of tumor-reactive CD8+ T cells with induction of IFN-gamma in a murine breast cancer model. Asian Pac J Cancer Prev. 15:265–271. 2014. View Article : Google Scholar : PubMed/NCBI

43 

Shi LZ, Fu T, Guan B, Chen J, Blando JM, Allison JP, Xiong L, Subudhi SK, Gao J and Sharma P: Interdependent IL-7 and IFN-γ signalling in T-cell controls tumour eradication by combined α-CTLA-4+α-PD-1 therapy. Nat Commun. 7:123352016. View Article : Google Scholar : PubMed/NCBI

44 

Lu Y, Hong B, Li H, Zheng Y, Zhang M, Wang S, Qian J and Yi Q: Tumor-specific IL-9-producing CD8+ Tc9 cells are superior effector than type-I cytotoxic Tc1 cells for adoptive immunotherapy of cancers. Proc Natl Acad Sci USA. 111:pp. 2265–2270. 2014; View Article : Google Scholar : PubMed/NCBI

45 

Lu Y, Hong S, Li H, Park J, Hong B, Wang L, Zheng Y, Liu Z, Xu J, He J, et al: Th9 cells promote antitumor immune responses in vivo. J Clin Invest. 122:4160–4171. 2012. View Article : Google Scholar : PubMed/NCBI

Related Articles

  • Abstract
  • View
  • Download
  • Twitter
Copy and paste a formatted citation
Spandidos Publications style
Tang Z, Shen Q, Xie H, Zhou Z, Shi G, Zhang C, Mohammed A, Wu Y, Ni S, Zhou X, Zhou X, et al: Serum and glucocorticoid-regulated kinase 1 (SGK1) is a predictor of poor prognosis in non-small cell lung cancer, and its dynamic pattern following treatment with SGK1 inhibitor and γ-ray irradiation was elucidated. Oncol Rep 39: 1505-1515, 2018.
APA
Tang, Z., Shen, Q., Xie, H., Zhou, Z., Shi, G., Zhang, C. ... Zhou, X. (2018). Serum and glucocorticoid-regulated kinase 1 (SGK1) is a predictor of poor prognosis in non-small cell lung cancer, and its dynamic pattern following treatment with SGK1 inhibitor and γ-ray irradiation was elucidated. Oncology Reports, 39, 1505-1515. https://doi.org/10.3892/or.2018.6181
MLA
Tang, Z., Shen, Q., Xie, H., Zhou, Z., Shi, G., Zhang, C., Mohammed, A., Wu, Y., Ni, S., Zhou, X."Serum and glucocorticoid-regulated kinase 1 (SGK1) is a predictor of poor prognosis in non-small cell lung cancer, and its dynamic pattern following treatment with SGK1 inhibitor and γ-ray irradiation was elucidated". Oncology Reports 39.3 (2018): 1505-1515.
Chicago
Tang, Z., Shen, Q., Xie, H., Zhou, Z., Shi, G., Zhang, C., Mohammed, A., Wu, Y., Ni, S., Zhou, X."Serum and glucocorticoid-regulated kinase 1 (SGK1) is a predictor of poor prognosis in non-small cell lung cancer, and its dynamic pattern following treatment with SGK1 inhibitor and γ-ray irradiation was elucidated". Oncology Reports 39, no. 3 (2018): 1505-1515. https://doi.org/10.3892/or.2018.6181
Copy and paste a formatted citation
x
Spandidos Publications style
Tang Z, Shen Q, Xie H, Zhou Z, Shi G, Zhang C, Mohammed A, Wu Y, Ni S, Zhou X, Zhou X, et al: Serum and glucocorticoid-regulated kinase 1 (SGK1) is a predictor of poor prognosis in non-small cell lung cancer, and its dynamic pattern following treatment with SGK1 inhibitor and γ-ray irradiation was elucidated. Oncol Rep 39: 1505-1515, 2018.
APA
Tang, Z., Shen, Q., Xie, H., Zhou, Z., Shi, G., Zhang, C. ... Zhou, X. (2018). Serum and glucocorticoid-regulated kinase 1 (SGK1) is a predictor of poor prognosis in non-small cell lung cancer, and its dynamic pattern following treatment with SGK1 inhibitor and γ-ray irradiation was elucidated. Oncology Reports, 39, 1505-1515. https://doi.org/10.3892/or.2018.6181
MLA
Tang, Z., Shen, Q., Xie, H., Zhou, Z., Shi, G., Zhang, C., Mohammed, A., Wu, Y., Ni, S., Zhou, X."Serum and glucocorticoid-regulated kinase 1 (SGK1) is a predictor of poor prognosis in non-small cell lung cancer, and its dynamic pattern following treatment with SGK1 inhibitor and γ-ray irradiation was elucidated". Oncology Reports 39.3 (2018): 1505-1515.
Chicago
Tang, Z., Shen, Q., Xie, H., Zhou, Z., Shi, G., Zhang, C., Mohammed, A., Wu, Y., Ni, S., Zhou, X."Serum and glucocorticoid-regulated kinase 1 (SGK1) is a predictor of poor prognosis in non-small cell lung cancer, and its dynamic pattern following treatment with SGK1 inhibitor and γ-ray irradiation was elucidated". Oncology Reports 39, no. 3 (2018): 1505-1515. https://doi.org/10.3892/or.2018.6181
Follow us
  • Twitter
  • LinkedIn
  • Facebook
About
  • Spandidos Publications
  • Careers
  • Cookie Policy
  • Privacy Policy
How can we help?
  • Help
  • Live Chat
  • Contact
  • Email to our Support Team