Spandidos Publications Logo
  • About
    • About Spandidos
    • Aims and Scopes
    • Abstracting and Indexing
    • Editorial Policies
    • Reprints and Permissions
    • Job Opportunities
    • Terms and Conditions
    • Contact
  • Journals
    • All Journals
    • Oncology Letters
      • Oncology Letters
      • Information for Authors
      • Editorial Policies
      • Editorial Board
      • Aims and Scope
      • Abstracting and Indexing
      • Bibliographic Information
      • Archive
    • International Journal of Oncology
      • International Journal of Oncology
      • Information for Authors
      • Editorial Policies
      • Editorial Board
      • Aims and Scope
      • Abstracting and Indexing
      • Bibliographic Information
      • Archive
    • Molecular and Clinical Oncology
      • Molecular and Clinical Oncology
      • Information for Authors
      • Editorial Policies
      • Editorial Board
      • Aims and Scope
      • Abstracting and Indexing
      • Bibliographic Information
      • Archive
    • Experimental and Therapeutic Medicine
      • Experimental and Therapeutic Medicine
      • Information for Authors
      • Editorial Policies
      • Editorial Board
      • Aims and Scope
      • Abstracting and Indexing
      • Bibliographic Information
      • Archive
    • International Journal of Molecular Medicine
      • International Journal of Molecular Medicine
      • Information for Authors
      • Editorial Policies
      • Editorial Board
      • Aims and Scope
      • Abstracting and Indexing
      • Bibliographic Information
      • Archive
    • Biomedical Reports
      • Biomedical Reports
      • Information for Authors
      • Editorial Policies
      • Editorial Board
      • Aims and Scope
      • Abstracting and Indexing
      • Bibliographic Information
      • Archive
    • Oncology Reports
      • Oncology Reports
      • Information for Authors
      • Editorial Policies
      • Editorial Board
      • Aims and Scope
      • Abstracting and Indexing
      • Bibliographic Information
      • Archive
    • Molecular Medicine Reports
      • Molecular Medicine Reports
      • Information for Authors
      • Editorial Policies
      • Editorial Board
      • Aims and Scope
      • Abstracting and Indexing
      • Bibliographic Information
      • Archive
    • World Academy of Sciences Journal
      • World Academy of Sciences Journal
      • Information for Authors
      • Editorial Policies
      • Editorial Board
      • Aims and Scope
      • Abstracting and Indexing
      • Bibliographic Information
      • Archive
    • International Journal of Functional Nutrition
      • International Journal of Functional Nutrition
      • Information for Authors
      • Editorial Policies
      • Editorial Board
      • Aims and Scope
      • Abstracting and Indexing
      • Bibliographic Information
      • Archive
    • International Journal of Epigenetics
      • International Journal of Epigenetics
      • Information for Authors
      • Editorial Policies
      • Editorial Board
      • Aims and Scope
      • Abstracting and Indexing
      • Bibliographic Information
      • Archive
    • Medicine International
      • Medicine International
      • Information for Authors
      • Editorial Policies
      • Editorial Board
      • Aims and Scope
      • Abstracting and Indexing
      • Bibliographic Information
      • Archive
  • Articles
  • Information
    • Information for Authors
    • Information for Reviewers
    • Information for Librarians
    • Information for Advertisers
    • Conferences
  • Language Editing
Spandidos Publications Logo
  • About
    • About Spandidos
    • Aims and Scopes
    • Abstracting and Indexing
    • Editorial Policies
    • Reprints and Permissions
    • Job Opportunities
    • Terms and Conditions
    • Contact
  • Journals
    • All Journals
    • Biomedical Reports
      • Information for Authors
      • Editorial Policies
      • Editorial Board
      • Aims and Scope
      • Abstracting and Indexing
      • Bibliographic Information
      • Archive
    • Experimental and Therapeutic Medicine
      • Information for Authors
      • Editorial Policies
      • Editorial Board
      • Aims and Scope
      • Abstracting and Indexing
      • Bibliographic Information
      • Archive
    • International Journal of Epigenetics
      • Information for Authors
      • Editorial Policies
      • Editorial Board
      • Aims and Scope
      • Abstracting and Indexing
      • Bibliographic Information
      • Archive
    • International Journal of Functional Nutrition
      • Information for Authors
      • Editorial Policies
      • Editorial Board
      • Aims and Scope
      • Abstracting and Indexing
      • Bibliographic Information
      • Archive
    • International Journal of Molecular Medicine
      • Information for Authors
      • Editorial Policies
      • Editorial Board
      • Aims and Scope
      • Abstracting and Indexing
      • Bibliographic Information
      • Archive
    • International Journal of Oncology
      • Information for Authors
      • Editorial Policies
      • Editorial Board
      • Aims and Scope
      • Abstracting and Indexing
      • Bibliographic Information
      • Archive
    • Medicine International
      • Information for Authors
      • Editorial Policies
      • Editorial Board
      • Aims and Scope
      • Abstracting and Indexing
      • Bibliographic Information
      • Archive
    • Molecular and Clinical Oncology
      • Information for Authors
      • Editorial Policies
      • Editorial Board
      • Aims and Scope
      • Abstracting and Indexing
      • Bibliographic Information
      • Archive
    • Molecular Medicine Reports
      • Information for Authors
      • Editorial Policies
      • Editorial Board
      • Aims and Scope
      • Abstracting and Indexing
      • Bibliographic Information
      • Archive
    • Oncology Letters
      • Information for Authors
      • Editorial Policies
      • Editorial Board
      • Aims and Scope
      • Abstracting and Indexing
      • Bibliographic Information
      • Archive
    • Oncology Reports
      • Information for Authors
      • Editorial Policies
      • Editorial Board
      • Aims and Scope
      • Abstracting and Indexing
      • Bibliographic Information
      • Archive
    • World Academy of Sciences Journal
      • Information for Authors
      • Editorial Policies
      • Editorial Board
      • Aims and Scope
      • Abstracting and Indexing
      • Bibliographic Information
      • Archive
  • Articles
  • Information
    • For Authors
    • For Reviewers
    • For Librarians
    • For Advertisers
    • Conferences
  • Language Editing
Login Register Submit
  • This site uses cookies
  • You can change your cookie settings at any time by following the instructions in our Cookie Policy. To find out more, you may read our Privacy Policy.

    I agree
Search articles by DOI, keyword, author or affiliation
Search
Advanced Search
presentation
Oncology Reports
Join Editorial Board Propose a Special Issue
Print ISSN: 1021-335X Online ISSN: 1791-2431
Journal Cover
January-2019 Volume 41 Issue 1

Full Size Image

Sign up for eToc alerts
Recommend to Library

Journals

International Journal of Molecular Medicine

International Journal of Molecular Medicine

International Journal of Molecular Medicine is an international journal devoted to molecular mechanisms of human disease.

International Journal of Oncology

International Journal of Oncology

International Journal of Oncology is an international journal devoted to oncology research and cancer treatment.

Molecular Medicine Reports

Molecular Medicine Reports

Covers molecular medicine topics such as pharmacology, pathology, genetics, neuroscience, infectious diseases, molecular cardiology, and molecular surgery.

Oncology Reports

Oncology Reports

Oncology Reports is an international journal devoted to fundamental and applied research in Oncology.

Experimental and Therapeutic Medicine

Experimental and Therapeutic Medicine

Experimental and Therapeutic Medicine is an international journal devoted to laboratory and clinical medicine.

Oncology Letters

Oncology Letters

Oncology Letters is an international journal devoted to Experimental and Clinical Oncology.

Biomedical Reports

Biomedical Reports

Explores a wide range of biological and medical fields, including pharmacology, genetics, microbiology, neuroscience, and molecular cardiology.

Molecular and Clinical Oncology

Molecular and Clinical Oncology

International journal addressing all aspects of oncology research, from tumorigenesis and oncogenes to chemotherapy and metastasis.

World Academy of Sciences Journal

World Academy of Sciences Journal

Multidisciplinary open-access journal spanning biochemistry, genetics, neuroscience, environmental health, and synthetic biology.

International Journal of Functional Nutrition

International Journal of Functional Nutrition

Open-access journal combining biochemistry, pharmacology, immunology, and genetics to advance health through functional nutrition.

International Journal of Epigenetics

International Journal of Epigenetics

Publishes open-access research on using epigenetics to advance understanding and treatment of human disease.

Medicine International

Medicine International

An International Open Access Journal Devoted to General Medicine.

Journal Cover
January-2019 Volume 41 Issue 1

Full Size Image

Sign up for eToc alerts
Recommend to Library

  • Article
  • Citations
    • Cite This Article
    • Download Citation
    • Create Citation Alert
    • Remove Citation Alert
    • Cited By
  • Similar Articles
    • Related Articles (in Spandidos Publications)
    • Similar Articles (Google Scholar)
    • Similar Articles (PubMed)
  • Download PDF
  • Download XML
  • View XML
Article

Two prostate cancer‑associated polymorphisms in the 3'UTR of IGF1R influences prostate cancer susceptibility by affecting miRNA binding

Corrigendum in: /10.3892/or.2020.7646
  • Authors:
    • Huimin Wang
    • Wentao Huang
    • Xiaoxiang Yu
    • Weidong Li
    • Yuanjie Huang
    • Zengnan Mo
    • Yong Gao
    • Qingniao Zhou
    • Yanling Hu
  • View Affiliations / Copyright

    Affiliations: Life Sciences Institute, Guangxi Medical University, Nanning, Guangxi 530021, P.R. China, Pharmaceutical College, Guangxi Medical University, Nanning, Guangxi 530021, P.R. China, Department of Urology, The 303rd Hospital of Chinese People's Liberation Army, Nanning, Guangxi 530021, P.R. China, Center for Genomic and Personalized Medicine, Guangxi Medical University, Nanning, Guangxi 530021, P.R. China, Guangxi Colleges and Universities Key Laboratory of Biological Molecular Medicine Research, Guangxi Medical University, Nanning, Guangxi 530021, P.R. China
  • Pages: 512-524
    |
    Published online on: October 22, 2018
       https://doi.org/10.3892/or.2018.6810
  • Expand metrics +
Metrics: Total Views: 0 (Spandidos Publications: | PMC Statistics: )
Metrics: Total PDF Downloads: 0 (Spandidos Publications: | PMC Statistics: )
Cited By (CrossRef): 0 citations Loading Articles...

This article is mentioned in:



Abstract

Prostate cancer (PCa) is a common malignant cancer in men worldwide. Numerous genetic variations have been associated with PCa, but their biological function remains unclear. Single nucleotide polymorphisms (SNPs) inside 3' untranslated region (UTR) affect gene expression, with one essential mechanism being regulation by micro (mi)RNAs. Based on data from genome‑wide association study of the Consortium for Chinese Consortium for Prostate Cancer Genetics, rs1815009 and rs2684788 inside 3'UTR of insulin‑like growth factor 1 receptor (IGF1R) presented significant genotype distribution between PCa and control samples. In the current study, targeting miRNAs were predicted using TargetScan and miRanda. The prediction was confirmed using a thermodynamic model for miRNA‑target interaction and luciferase reporter assays for miRNA binding inside IGF1R 3'UTR. Furthermore, data from public databases and miRNA overexpression further supported miRNAs function. The results suggested that miR‑133a and miR‑133b may bind near rs1815009, and miR‑455 near rs2684788, within IGF1R 3'UTR. Compared with normal tissues, miR‑133a, miR‑133b and miR‑455 exhibited significantly lower expression in PCa tissues in the public datasets analyzed. The results of the present study revealed an association between rs1815009, rs2684788 and PCa risk, which involves altered miRNA regulation and contributes to cancer susceptibility.

Introduction

Prostate cancer (PCa) is the second most frequently diagnosed cancer in men worldwide (1), and remains a leading cause of cancer-associated mortality (2). The incidence rates for PCa increased between 2000 and 2011, with an estimated 60,300 new cases in China in 2015 (3). Genetic variations affect the initiation and progression of PCa, and men with a family history of PCa have a two-fold increased risk of developing PCa, usually with an earlier age of onset (4). Genome-wide association studies (GWAS) have identified 100 risk variants for PCa, which may explain ~33% of the familial risk of the disease (5). However, the biological function of numerous genetic variations remains to be discovered.

Accumulating evidence suggests gene expression may be altered by single nucleotide polymorphisms (SNPs) in the 3′ untranslated region (UTR), and one essential mechanism involves regulation by microRNAs (miRNAs) (6,7). miRNAs are small non-coding RNAs, composed of 18–24 nucleotides, that are involved in the regulation of essential biological processes, including cell proliferation, differentiation and apoptosis (8,9). miRNAs modulate the expression of protein-coding genes by binding to the full or part of their complementary sequence in the 3′ or 5′UTR of the coding sequence (10,11). Polymorphisms in miRNA binding sites affect the binding efficacy of miRNAs and consequently alter the expression of target genes (6,7,9,12,13).

Insulin-like growth factor 1 receptor (IGF1R) is a transmembrane tyrosine kinase receptor, characterized by a heterodimer of α- and β-chains, and is activated by its ligands insulin-like growth factor 1 (IGF1) and insulin-like growth factor 2 (IGF2) (14). Activation of IGF1R is associated with improved growth, proliferation, angiogenesis and survival (15). Numerous studies have demonstrated that IGF1R serves an important role in the risk and progression of PCa (16,17). In our previous study (18), an association analysis for the reverse tyrosine kinase-extracellular signal-regulated kinase pathway was performed based on the GWAS data from the Consortium for Chinese Prostate Cancer Genetics (ChinaPCa), which identified two SNPs (rs1815009 and rs2684788) in the 3′UTR of IGF1R presented significant genotype distribution between PCa and control samples.

Based on the important regulatory function of miRNAs at the transcriptional level, two miRNA binding prediction tools [TargetScan (19) and miRanda (20)] were used to predict the binding of miRNAs in the IGF1R 3′UTR. The predicted results revealed that miR-133a and miR-133b may bind near rs1815009, and miR-455 near rs2684788, within the IGF1R 3′UTR. In addition, a thermodynamic model was applied to analyze the binding affinity of miR-133a and miR-133b for rs1815009, and miR-455 for rs2684788 under different variants, which demonstrated that the binding of these miRNAs would be affected. A dual-luciferase reporter assay was performed on 293 cells to verify the binding affinity predicted by the thermodynamic model. Finally, whether IGF1R expression was affected by these miRNAs was investigated through overexpression of miR-133a, miR-133b or mir-455 in PC3 and LNCaP cells.

Materials and methods

Thermodynamic model for the miRNA-target interaction

The sequence of the 3′UTR of IGF1R was retrieved from the University of California Santa Cruz database (http://genome.ucsc.edu/) in the human genome assembly GRCh37/hg19. The targets for miRNA binding in the IGF1R 3′UTR containing two polymorphisms, rs1815009 or rs2684788, were predicted using the TargetScan7.1 (http://www.targetscan.org) (19) and miRanda databases (http://www.microrna.org) (20). Mature human sequences were downloaded from the National Center for Biotechnology Information (https://www.ncbi.nlm.nih.gov/). A parameter-free thermodynamic model was used (21,22) to investigate the binding affinity of miR-133a and miR-133b for the C or T allele of rs1815009, and miR-455 for the C or T allele ofrs2684788. In this model, ETarget represented the energy of the dissociated mRNA target region with no miRNAs interacting with it, EIntermediate indicated the energy required to make the target region accessible for microRNA binding, and EComplex is the energy of the microRNA-target complex, the binding of which was consistent with the constraints imposed by the seed region (6,7,23). RNAfold software (Vienna RNA Package; http://rna.tbi.univie.ac.at/cgi-bin/RNAWebSuite/RNAfold.cgi) was used to compute all ensemble free energies with the partition function algorithm for folding and the default settings. The RNAfold was modified to calculate the EIntermediate and EComplex in order to construct the connectivity matrix of the intermediate or complex product secondary structures, and the corresponding structure-associated energies were calculated. The target sequence size contained the relevant miRNA target seed region, the relevant IGF1R SNP site and the nucleotides surrounding the SNP site. The site length provided for the RNAfold was 42 nt for rs1815009 and 60 nt for rs2684788. The value of the selected target size for rs1815009 and rs2684788 was chosen to reduce the time complexity of the aforementioned computations, particularly as the results were not altered when the length of the target was extended (Fig. 1). The ΔEa is the difference between ETarget and EIntermediate, and ΔEb is the difference between ETarget and EComplex (6,7).

Figure 1.

Energies of IGF1R 3′UTR secondary structures of different sequence lengths. MFE for the secondary structure of the IGF1R 3′UTR sequence surrounding the binding regions of (A) miR-133a or miR-133b and (B) miR-455, located 20 nt from the relevant seed region of the 3′-end of the IGF1R 3′UTR. To avoid a sequence length-dependent effect, the free energies (y-axis) were calculated as a function of length ranging between 37 and 42 nt extending from the 5′-end of the miR-133a or miR-133b binding sites in an upstream direction toward the 3′UTR of IGF1R, and as a function of length ranging between 50 and 60 nt extending from the 5′-end of the miR-455 binding site in an upstream direction. The results demonstrated that the free energies were relatively insensitive to inclusion of additional regions outside of the miRNA binding sites. Diff, energy difference between C allele and T allele structures; IGF1R, insulin-like growth factor 1 receptor; 3′UTR, 3′ untranslated region; seq, sequence; MFE, minimum free energy; miR, microRNA.

Literature search

A thorough literature search was performed using PubMed on miRNA expression profiling studies for PCa with the following key words: Prostate and (cancer OR tumor OR tumor) and (mirna OR microrna OR mir-). Additionally, miRNA expression profiles for PCa were retrieved by searching the Gene Expression Omnibus (GEO) (http://www.ncbi.nlm.nih.gov/geo/) (24). Profiles whose data published between June 14, 2007 and April 28, 2015 were selected. The inclusion criteria were as follows: i) Experimental samples consisting of prostate tumor and non-tumor tissues, for which the complete raw or normalized microarray data was available; ii) data included genome-wide miRNA expression; iii) Homo sapiens as the studied organism; iv) samples that had not been subjected to adjuvant therapy; and v) the number of PCa and normal controls was >15. For the present study, the non-tumor tissues included adjacent tissues of PCa or tissues from independent healthy donors, but excluded benign prostatic hyperplasia. The data extracted from each GEO dataset was as follows: Tumor sample type, country, platform, experimental materials and number of samples (Table I). The list of miRNAs with statistically significant expression in PCa was extracted from the publications. All statistical analyses were performed using GEO2R.

Table I.

Brief overview of the GEO datasets.

Table I.

Brief overview of the GEO datasets.

Series IDTumor sample typeCountryPlatformExperimental materialsNumber of samples
GSE36803PrimaryNorth AmericanAffymetrix GeneChip arrayTissue (Homo sapiens)21 pairs
GSE8126PrimaryNorth AmericanOSU-CCC hsa-miRNA-chip version 3Tissue (Homo sapiens)60 T+16N
TCGAPrimaryNorth AmericanIllumina HiSeq 2000 miRNASeqTissue (Homo sapiens)498T+52N

[i] T, tumor sample; N, non-tumor sample; TCGA, The Cancer Genome Atlas; GEO, Gene expression omnibus.

Processing of data obtained from the cancer genome atlas

The normalized miRNA-HiSeq expression values and PCa clinical information was downloaded from the Cancer Genome Atlas (TCGA) (http://cancergenome.nih.gov/). The reads/million miRNA mapped (RPM) normalized values for miRNA expression were further log2-transformed. The fold change in miRNA expression between tumors and normal tissues was calculated using the median-centered RPM values. The information for TCGA dataset is presented in Table I. The difference in expression between PCa and normal tissue was analyzed using an independent sample t-test.

Plasmid construction and luciferase reporter assay

Truncated UTR sequences containing the SNP region were amplified by polymerase chain reaction (PCR) from genomic DNA, then ScaI cloned into the 3′UTR of the pmirGLO-control vector (Promega Corporation, Madison, WI, USA) following the manufacturer's protocol. The 3′UTR reporter vector for IGF1R, containing the C allele of rs1815009 and seed region of miR-133a or miR-133b, was named pmirGLO-rs1815009-IGF1R-[C]. Plasmids carrying the 3′UTR with the T allele were designated as pmirGLO-rs1815009-IGF1R-[T]. Likewise, two 3′UTR constructs for rs2684788 containing the C or T alleles were designated as pmirGLO-rs2684788-IGF1R-[C] and pmirGLO-rs2684788-IGF1R-[T]. Each plasmid was co-transfected with the miRNA precursor (pre-133a, pre-133b, pre-455 or scrambled negative control; Shanghai GenePharma Co., Ltd., Shanghai, China) in 293 cells cultured in 24-well plates. The following sequences were used: Pre-133a, AATTCACAATGCTTTGCTAGAGCTGGTAAAATGGAACCAAATCGCCTCTTCAATGGATTTGGTCCCCTTCAACCAGCTGTAGCTATGCATTGAACCGG; pre-133b, AATTCCCTCAGAAGAAAGATGCCCCCTGCTCTGGCTGGTCAAACGGAACCAAGTCCGTCTTCCTGAGAGGTTTGGTCCCCTTCAACCAGCTACAGCAGGGCTGGCAATGCCCAGTCCTTGGAGAACCGG; pre-455, AATTCTCCCTGGCGTGAGGGTATGTGCCTTTGGACTACATCGTGGAAGCCAGCACCATGCAGTCCATGGGCATATACACTTGCCTCAAGGCCTATGTCATCACCGG; and scrambled negative control, AAATGTACTGCGCGTGGAGAC. Following transfection with Lipofectamine 2000 reagent (Invitrogen; Thermo Fisher Scientific, Inc., Waltham, MA, USA), 1.5×106 cells/ml cells were cultured for 24 h, then lysed in passive lysis buffer, according to the Dual-Luciferase® Reporter Assay system kit (Promega Corporation), and luciferase activity was measured with a Tecan M1000 microplate reader (Tecan Group, Ltd., Mannedorf, Switzerland). A dual-luciferase system was utilized in this assay, containing two luciferase enzymes, one containing the luc2 reporter gene that reports miRNA activity, and another containing the hRluc-neo reporter gene used as a control reporter for normalization of gene expression. Normalization of the empty pmirGLO vector was performed using the Renilla/firefly luciferase ratios. Each luciferase assay was performed in triplicate and the mean value was calculated.

Cell culture and transfection

The human PCa cell line PC3 was obtained from the American Type Culture Collection (Manassas, VA, USA), and the human PCa cell line LNCaP and the 293 cell line were purchased from the Type Culture Collection of the Chinese Academy of Sciences (Shanghai, China). The PC3 cells were maintained in Dulbecco's modified Eagle's medium (DMEM)/F12 (HyClone; GE Healthcare Life Sciences, Logan, UT, USA) supplemented with 10% (v/v) fetal bovine serum (FBS; Gibco; Thermo Fisher Scientific, Inc.). LNCaP cells were cultured in RPMI-1640 (Gibco; Thermo Fisher Scientific, Inc.) with 10% (v/v) FBS, and 293 was cultured in DMEM supplemented with 10% (v/v) FBS, 1% (v/v) penicillin and streptomycin. All cultures were cultured in an incubator set to 37°C with 5% CO2. Then, 0.5 µg knockdown synthetic oligonucleotides (pre-133a, pre-133b, pre-455, pre-455 inhibitor and pre-control) were transfected when cells reached 80–90% confluence, using Lipofectamine 3000 reagent (Invitrogen; Thermo Fisher Scientific, Inc.), according to the manufacturer's protocol.

DNA sequencing

PC3 and LNCaP cells at the log growth phase were collected for DNA isolation. Genomic DNA was extracted using MiniBEST Universal Genomic DNA Extraction kit (Takara Bio, Inc., Otsu, Japan), following the manufacturer's protocol. The SNP-containing region was amplified with Premix Taq (Takara Bio, Inc.). Sequencing of the PCR product was performed using the BigDye Terminator Reaction Chemistry v3.1 sequencing kit (Thermo Fisher Scientific, Inc.) according to the manufacturer's protocol, and sequence analyses were performed with DNASTAR 7.0 (DNASTAR, Madison, WI, USA).

RNA extraction and reverse transcription-quantitative polymerase chain reaction (RT-qPCR)

After 48 h of transfection, the PC3 and LNCaP cells were harvested for RNA isolation. Total RNA was extracted using the mirVana™ miRNA Isolation kit (Ambion; Thermo Fisher Scientific, Inc.), following the manufacturer's protocol. Total RNA from PC3 and LNCaP cells was used to synthesize cDNA using the PrimeScript™ RT Master Mix (Takara Bio, Inc.). The PCR reaction conditions were as follows: 37°C for 15 min and 85°C for 5 sec. RT-qPCR was performed in triplicate using PowerUp™ SYBR®-Green Master mix with a 7500 Real-Time PCR System (both form Applied Biosystems; Thermo Fisher Scientific, Inc.). The RT-qPCR reaction conditions were as follows: 50°C for 5 min; 95°C for 2 min; and 40 cycles of 95°C for 15 sec and 60°C for 1 min. The primers used are listed in Table II. The relative mRNA expression in the control and experimental groups of PC3 and LNCaP was determined using the 2−ΔΔCq method (25), and normalized to GAPDH or β-actin mRNA expression levels.

Table II.

Primer sequences used in the present study.

Table II.

Primer sequences used in the present study.

GenesPrimers (5′-3′)
IGF1R
  F ATGCTGACCTCTGTTACCTCT
  R GGCTTATTCCCCACAATGTAGTT
β-actin
  F AACTCCATCATGAAGTGTGA
  R ACTCCTGCTTGCTGATCCAC
GAPDH
  F ATCTCTGCCCCCTCTGCTGA
  R GATGACCTTGCCCACAGCCT
MMP2
  F AACTACGATGATGACCGCAAG
  R GACAGACGGAAGTTCTTGGTG
CDH1
  F ACTCGTAACGACGTTGCACCA
  R GGTCAGTATCAGCCGCTTTCAG
VEGFA
  F CCTTGCTGCTCTACCTCCAC
  R GAAGATGTCCACCAGGGTCTC
BCL2
  F TCGCCCTGTGGATGACTGA
  R CAGAGACAGCCAGGAGAAATCA
SNP
  F ACCCATCTCTCCCAGGACC
  R CTGGCAGAAGGAGGTTGCAT
SNP2
  F CAGGCAGCACCATCTCTGTG
  R CCAATGTGCACCGAGCATCT

[i] F, forward; R, reverse; IGF1R, insulin-like growth factor 1 receptor; MMP2, matrix metalloproteinase-2; CDH1, E-cadherin; VEGFA, vascular endothelial growth factor A; BCL2, B-cell lymphoma-2; SNP and SNP2, single nucleotide polymorphisms in the IGF1R3′ untranslated region.

Western blot analysis

Post-transfected cells (PC3 and LNCaP) were collected for protein isolation following 48 h of incubation. Total protein was extracted with radioimmunoprecipitation assay buffer (Beyotime Institute of Biotechnology, Beijing, China) with Halt Protease Inhibitor Cocktail (100X; Thermo fisher Scientific, Inc.) and quantified with the bicinchoninic acid assay, and 50 µg of protein/lane was separated on a 12% SDS-PAGE gel and transferred to a 0.2-µm polyvinylidene fluoride membrane (EMD Millipore, Billerica, MA, USA). Blots were blocked with 5% milk, TBS and 0.1% Tween-20 at room temperature for 2 h. Blots were incubated with the primary anti-mouse IGF-IR antibody (cat. no., 3G5C1; 1:2,000; Novus Biologicals, Ltd., Cambridge, UK) or tubulin (cat. no., 66240-1-lg; 1:2,000; ProteinTech Group, Inc., Chicago, IL, USA) at 4°C for 12 h. Subsequently, blots were incubated with the horseradish peroxidase-conjugated Affinipure Goat Anti-Mouse IgG (H+L) second antibody (cat. no., SA00001-1; 1:10,000; ProteinTech Group, Inc.) at room temperature for 2 h. BeyoECL Plus (Beyotime Institute of Biotechnology) was used as the visualization reagent. The intensity of the protein bands was quantified using Odyssey 2.1 software (LI-COR Biosciences, Lincoln, NE, USA).

Cell migration and invasion assay

Transfected LNCaP cells (pre-455, pre-455 inhibitor and pre-control) growing in the log phase were harvested for use in the migration and invasion assays. A total of 4×105 cells in serum-free RPMI-1640 (200 µl) were seeded into the upper chamber of 8-µM pore Transwell plates (Costar; Corning Incorporated; Corning, NY, USA), coated with or without Matrigel (BD Biosciences, San Jose, CA, USA). RPMI-1640 (600 µl) filled with 10% (v/v) FBS was added to the lower chamber. The cells were allowed to migrate towards RPMI-1640 containing 10% (v/v) FBS for 48 or 72 h at 37°C. Cells on the top surface of the insert were removed by scraping, and the migrated and invasive cells were fixed for 10 min using 100% methanol and stained for 20 min with 1% crystal violet (both at room temperature). Subsequently, cells were imaged at ×20 magnification using an inverted phase contrast microscope (TS100-F; Nikon Corporation, Tokyo, Japan), removed the crystal violet dye retained on the filters using 33% acetic acid (600 µl) and then transferred the solution containing crystal violet to 96-well plates (150 µl/well). Values for migration and invasion were obtained by measuring absorbance of the solution at 570 nm using an ELISA reader (BioTek ELx-800; BioTek Instruments, Inc., Winooski, VT, USA) (26), and presented as the mean of at least three independent experiments.

Statistical data analysis

The figures were generated with GraphPad Prism 5.0 (GraphPad Software, Inc., La Jolla, CA, USA). Data are presented as the mean ± standard error the mean and were compared using a Student's t-test (two-tailed). P<0.05 was considered to indicate a statistically significant difference.

Results

rs1815009 (C/T) overlaps the predicted binding sites of miR-133a and miR-133b, and rs2684788 (C/T) overlaps miR-455 in the IGF1R 3′UTR

The alleles of rs1815009 and rs2684788 in the IGF1R 3′UTR in the present study were primarily based on GWAS data from ChinaPCa. In our previous study, rs1815009 and rs2684788 were identified to be significantly associated with PCa using the same dataset (18). Among the PCa cases, rs1815009 was identified to be a common variant, with a frequency of ~52.12% for C the allele and 47.88% for the T allele, and healthy individuals exhibited a common variant with a frequency of ~48.57% for the C allele and 51.43% for the T allele. In addition, among the PCa cases, rs2684788 was demonstrated to have a frequency of ~52.23% for the C allele and 47.77% for the T the allele, and the healthy population exhibited a common variant with a frequency of ~47.43% for the C allele and 52.57% for the T allele. The 3′UTR was demonstrated to be an important region for miRNA binding to genes. To clarify the function of these two polymorphisms on miRNA binding, the target miRNA sequence was predicted using TargetScan and miRanda. By combining the results obtained from TargetScan (19) and miRanda (20), miR-133a, miR-133b and miR-455 were predicted to bind to the IGF1R 3′UTR (Fig. 2A). Furthermore, rs1815009 was located near the binding seed regions of miR-133a and miR-133b, and rs2684788 was located near the binding seed region of miR-455 (Fig. 2B).

Figure 2.

Schematic depiction of miR-133a, miR-133b and miR-455 binding regions within the IGF1R 3′UTR. (A) Schematic representation of the IGF1R 3′UTR according to NCBI reference sequence NM_000875.4 Numbering starts from the first nucleotide of the 3′UTR, SNPs rs1815009 and rs2684788 are present in positions 4000 and 3766, respectively. The seed sequences of miR-133a and miR-133b are located in position 4007–4013, and the seed region of miR-455 is located in the position 3782–3788. (B) Schematic depiction of the constructs used for the luciferase reporter assay. The sequences below demonstrated the nucleotides that are mutated to generate the SNPs (a) rs1815009 and (b) rs2684788 of the C allele (pmirGLO-rs1815009-IGF1R-[C] and pmirGLO-rs2684788-IGF1R-[C]) and T allele (pmirGLO-rs1815009-IGF1R-[T] and pmirGLO-rs2684788-IGF1R-[T]), within the 3′UTR. IGF1R, insulin-like growth factor 1 receptor; 3′UTR, 3′ untranslated region; seq, sequence; miR, microRNA; SNP, single nucleotide polymorphism.

Minimum free energy (MFE) of miR-133a, miR-133b and miR-455 binding to the IGF1R 3′UTR differs between allelic variants of SNP rs1815009 (C/T) and rs2684788 (C/T)

In order to analyze the binding affinity of miR-133a, miR-133b and miR-455 to the IGF1R 3′UTR of different variants (rs1815009 and rs2684788), a parameter-free thermodynamic model was generated (21). The free energy of secondary structure-based molecules was calculated for each stage of the binding process: ETarget represents the energy of the dissociated mRNA target region; EIntermediate is the energy required to make the target region accessible for miRNA binding; and EComplex is the energy of the miRNA-target complex (6,7,23). The activation energy (ΔEa) was calculated as the difference between EIntermediate and ETarget, whereas the binding energy (ΔEb) was equivalent to the interaction score, which is the difference between EComplex and ETarget (6,7,23). Compared with the C allele, the T allele of rs1815009 exhibited a higher Etarget and lower ΔEa, indicating that the binding affinity of miR-133a for the T allele was stronger compared with that of the C allele. The same phenomenon was observed for miR-133b. A higher Etarget and lower ΔEa was identified for the rs2684788-IGF1R C allele, suggesting that this allele was more accessible for miR-455 binding. Furthermore, the ΔEb of miR-133a or miR-133b to the rs1815009-IGF1R C allele was increased compared with that of the T allele, suggesting that miR-133a and miR-133b exhibited a higher binding affinity for the C allele. Regarding the other SNP, the ΔEb of the rs2684788-IGF1R C allele was reduced compared with that for the T allele, suggesting that miR-455 exhibited a higher binding affinity for the T allele (Fig. 3).

Figure 3.

Thermodynamic model of miR-133a, miR-133b and miR-455 binding to the IGF1R 3′ untranslated region, and the influence of single nucleotide polymorphisms. The secondary structure-based energies for different miRNA-target binding processes, where the ΔEa is the energy difference between the transition state and the original target, and the ΔEb is the energy difference between the complex and target. Schematic for the binding energy diagram of (A) rs1815009 to miR-133a, (B) rs1815009 to miR-133b, and (C) rs2684788 to miR-455. ΔEa, activation energy; ΔEb, binding energy; IGF1R, insulin-like growth factor 1 receptor; seq, sequence; miR, microRNA.

Expression analysis of miR-133a, miR-133b and miR-455 in GEO and TCGA

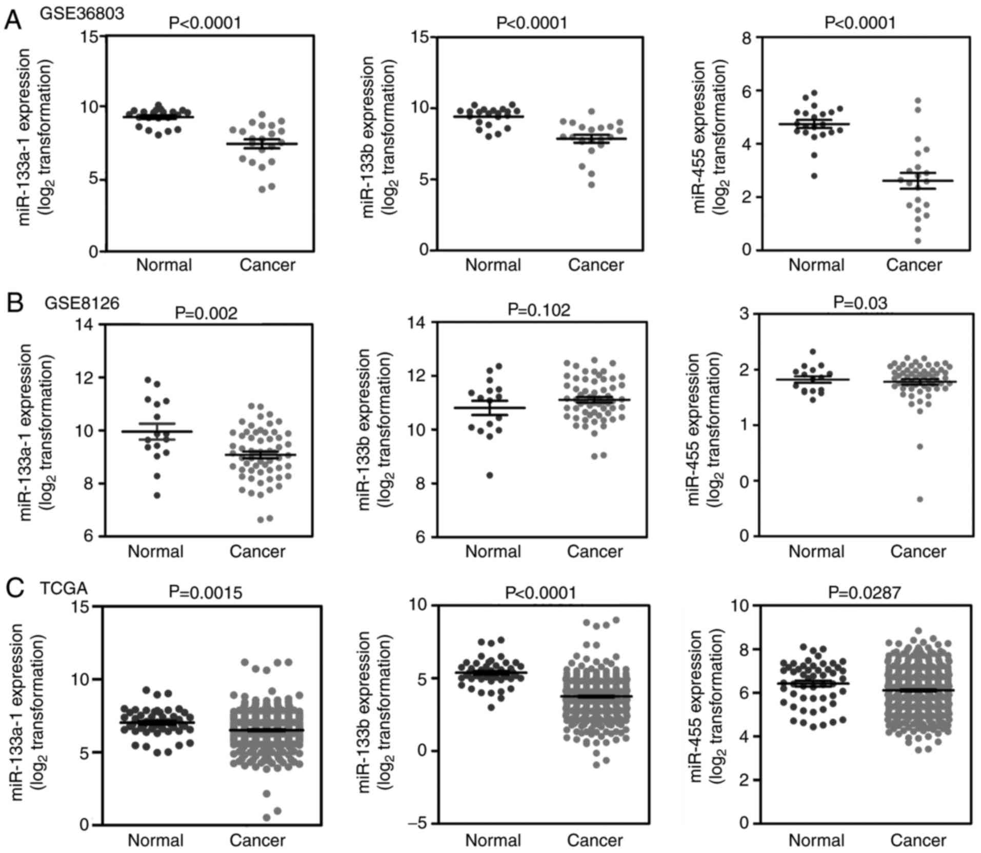
According to the inclusion criteria, four datasets [GSE36803 (27), GSE8126 (28), GSE23022 (29) and TCGA datasets] were selected to evaluate the miRNA expression in PCa. However, the GSE23022 dataset is primarily derived from moderately differentiated PCa samples, unlike the other three datasets which are from primary PCa samples, therefore, this dataset was removed. In total, 579 carcinoma samples and 89 normal samples were included in the present study. With the exception of miR-133b in the GSE8126 dataset, the expression levels of all three miRNAs (miR-133a, miR-133b and miR-455) in PCa tissues were significantly lower compared with that of normal tissues in the three datasets (Fig. 4). This result indicated that miR-133a, miR-133b and miR-455 are likely to be dysregulated in PCa.

Figure 4.

GEO and TCGA data for three miRNAs involved in prostate cancer. (A) Expression of three miRNAs in primary solid tumors (n=21) and normal solid tissue (n=21). (B) Expression of three miRNAs in primary and metastatic tumors (n=70) and normal solid tissue (n=16). (C) The expression of three miRNAs in primary solid prostate tumor (n=498) and normal solid tissue (n=52). Expression values were calculated using log2-transformed reads/million miRNA mapped values. Data for (A) and (B) was obtained from GEO, and data for (C) was from TCGA. GEO, the Gene Expression Omnibus; TCGA, the Cancer Genome Atlas; miRNA/miR, microRNA.

Effect of PCa susceptibility polymorphisms rs1815009 and rs2684788 on miRNA binding

An in vitro luciferase reporter assay was performed to verify whether the two SNPs, rs1815009 and rs2684788, are able to affect miRNA binding. For each SNP, pmirGLO constructs were generated carrying the C or T allele for rs1815009 and rs2684788. These plasmids were designated as pmirGLO-rs1815009-IGF1R-[C] and pmirGLO-rs1815009-IGF1R-[T] for rs1815009, and pmirGLO-rs2684788-IGF1R-[C] and pmirGLO-rs2684788-IGF1R-[C] for rs2684788 (Fig. 2). Each of the pmirGLO constructs was analyzed for luciferase activity levels in 293 cells that overexpressed the predicted interacting miRNAs or the scrambled negative control. When miR-133a or the scrambled negative control was co-transfected with pmirGLO-rs1815009-IGF1R constructs, the luciferase activity for the C allele was significantly increased compared with the T allele (Fig. 5A), suggesting a stabilizing rather than inhibitory role, resulting in stronger binding of miR-133a to the rs1815009-IGF1R C allele. Conversely, according to the parameter-free thermodynamic model, it was predicted that the rs1815009-IGF1R C allele may exhibit a higher binding affinity and decreased miR-133b binding energy compared with the T allele, which was in agreement with the results of the luciferase assay. These results suggest a significantly higher suppressive effect of miR-133b when interacting with the construct containing the C allele (Fig. 5B). Furthermore, the luciferase assay demonstrated a statistically significant suppressive effect of miR-455 on the construct carrying the T allele (Fig. 5C), indicating that miR-455 had a primary binding efficacy for the rs2684788-IGF1R C allele. Overall, the results of the in vitro luciferase reporter assays were consistent with the MFE prediction.

Figure 5.

Effect of miRNAs that target the IGF1R 3′ untranslated region containing SNP rs1815009 (variants C and T) and rs2684688 (variants C and T). Results from the luciferase assays for (A) miR-133a, (B) miR-133b and (C) miR-455 in 293 cells. The luciferase activity for the pGL3-SNP constructs of rs1815009 or rs2684788 co-transfected with the predicted interacting miRNAs or the scrambled negative control (=1). Values represent the average ± standard error of the mean of three independent experiments performed with three replicates. Statistical significance was calculated using a Student's t-test. IGF1R, insulin-like growth factor 1 receptor; SNP, single nucleotide polymorphism; miRNA/miR, microRNA.

Overexpression of miRNAs affect the IGF1R mRNA and protein expression levels

To determine the effect of rs1815009 and rs2684788 on the mRNA and protein expression levels of endogenous IGF1R in vitro, PCa cell lines (PC3 and LNCaP) were transfected with miRNA precursors of the interacting miRNAs. RT-qPCR analysis demonstrated that, with the exception of overexpression of miR-133a in PC3 cells, forced expression of the interacting miRNAs significantly suppressed IGF1R expression at the transcriptional level in PCa cells (PC3 and LNCaP) compared with the miR-control (Fig. 6). In addition, western blot analysis demonstrated that miR-133b markedly downregulated the expression of the IGF1R protein in LNCaP cells containing the rs2684788-IGF1R C allele (Fig. 6D, right). A similar suppressive effect was observed in PC3 cells that overexpressed miR-455 (Fig. 6E, right). Taken together, these results suggest that miR-133b directly regulates IGF1R gene expression at the mRNA and protein levels in LNCaP cells, whereas miR-133a regulates IGF1R gene expression at the mRNA level in LNCaP cells, but not in PC3 cells. Therefore, the rs2684788 SNP exhibited a functional effect on the miR-455 binding efficacy in PC3 cells.

Figure 6.

Effect of miR-133a, miR-133b or miR-455 overexpression on IGF1R at the mRNA and protein levels. Results for the RT-qPCR and western blot analyses for miR-133a in (A) PC3 and (B) LNCaP cells; for miR-133b in (C) PC3 and (D) LNCaP cells; and miR-4 55 in (E) PC3 and (F) LNCaP cells. RT-qPCR analysis of IGF1R is represented as relative expression in the cells transfected with pre-133a, pre-133b, pre-455 or a scrambled negative control, and the data were analyzed using β-actin as an endogenous control for normalization. The western blots demonstrated the IGF1R protein in the cells transfected with pre-133a, pre-133b, pre-455 or a scrambled negative control. The numbers represent the relative band intensities, measured by densitometry analysis and normalized using tubulin as an endogenous control. Statistical significance was calculated using a Student's t-test. ***P<0.001. IGF1R, insulin-like growth factor 1 receptor; miR, microRNA; RT-qPCR, reverse transcription-quantitative polymerase chain reaction; ctrl, control.

Overexpression of miRNAs affect genes associated with invasion, migration and apoptosis at the mRNA levels

In order to analyze the effect of miR-133a, miR-133b and miR-455 on the expression of genes associated with the biological activity of tumors, including cell invasion, migration and apoptosis, miRNA precursors (pre-133a, pre-133b, pre-455 or scrambled negative control) were transfected into PC3 and LNCaP cell lines. Expression levels were determined 48 h after transfection. Matrix metalloproteinase 2 (MMP-2) in transfected LNCaP cells was demonstrated to be significantly suppressed by miR-133a, miR-133b and miR-455, and was suppressed by miR-455 in PC3 cells compared with the miR-control. E-cadherin (CDH1) was significantly upregulated in LNCaP cells that overexpressed miR-133a, and in PC3 cells that overexpressed miR-455, but exhibited mild downregulation in LNCaP cells that overexpressed miR-455 compared with the miR-control. Forced expression of miR-133b and miR-455 in LNCaP cells resulted in mild suppression of vascular endothelial growth factor A (VEGFA), but the overexpression of miR-133a in LNCaP cells led to a more significant downregulation at the transcriptional level. B-cell lymphoma-2 (BCL-2) was significant upregulated in LNCaP cells with forced expression of miR-133a, but a suppressive effect was observed in post-transfected LNCaP cells that overexpressed miR-133b compared with the miR-control. These results are presented in Fig. 7.

Figure 7.

Effect of miR-133a, miR-133b or miR-455 overexpression on the transcription of genes associated with the biological function of tumors. Results from reverse transcription-quantitative polymerase chain reaction analysis of MMP2, CDH1, VEGFA, BCL-2 in PC3 cells transfected with (A) pre-133a, (C) pre-133b and (E) pre-455, and in LNCaP cells transfected with (B) pre-133a, (D) pre-133b and (F) pre-455, using GAPDH as an endogenous control for normalization. Statistical significance was calculated using a Student's t-test. *P<0.05, **P<0.01 and ***P<0.001. MMP2, matrix metalloproteinase-2; CDH1, E-cadherin; VEGFA, vascular endothelial growth factor A; BCL2, B-cell lymphoma-2; GAPDH, glyceraldehyde-phosphate dehydrogenase; miR, micro-RNA; ctrl, control.

miR-455 enhances cell migration and invasion in LNCaP cells

To analyze the effect of miR-455 on prostate cells migration and invasion, post-transfected LNCaP cells were harvested to a Transwell assay was performed. After 48 h incubation, the migration rate was significantly increased in LNCaP cells with miR-455 overexpression, and significantly suppressed in cells that were treated with miR-455 inhibitor compared with the miR-control (Fig. 8A). Similarly, after 72 h incubation, the invasion rate in LNCaP cells with miR-455 overexpression was significantly increased, and significantly decreased in LNCaP cells treated with miR-455 inhibitor compared with the miR-control (Fig. 8B).

Figure 8.

miR-455 enhances the migratory and invasive abilities of LNCaP cells. Values of cell migration and invasion were calculated according to the OD570 values of LNCaP cells on the lower surface extracted using acetic acid. (A) After 48 h-incubation, post-transfected LNCaP cells migrated to the bottom surface of the Transwell membrane for the migration assay. (B) After 72 h-incubation, post-transfected LNCaP cells migrated to the bottom surface of the Transwell membrane pre-coated with Matrigel for the invasion assay. Cells were imaged at ×20 magnification. Statistical significance was calculated using a Student's t-test. *P<0.05 and **P<0.01. miR, microRNA; ctrl, control.

Discussion

Polymorphisms in miRNA target binding sites affect the binding efficacy of miRNAs. Consequently, the miRNA binding affinity for the target may be affected, which may potentially alter the expression of the target gene, thereby contributing to the susceptibility for developing certain diseases. Indeed, genetic polymorphisms that alter miRNA binding have been associated with disease risk in multiple studies (6,7,9,12,13). From an association analysis based on the GWAS data of ChinaPCa, we previously identified two SNPs (rs1815009 and 2684788) in the IGF1R 3′UTR with significant genotype distribution between PCa and control samples (18). IGF1R serves an important role in the risk and progression of PCa (16,17). In the present study, bioinformatics analysis was used, which revealed that rs1815009 is located near the binding seed regions of miR-133a and miR-133b, and rs2684788 is located near the binding seed region of miR-455. In addition, the binding affinity of these three miRNAs was altered by different alleles, as predicted using a parameter-free thermodynamic model (21). The expression of miR-133a, miR-133b and miR-455 from three miRNA profiling datasets in GEO and TCGA demonstrated a significant difference between PCa and normal tissues. The in vitro luciferase reporter assays further confirmed the binding affinity of these three miRNAs, which was altered by different alleles. In PC3 cells, overexpression of the three miRNAs resulted in suppression of VEGFA, with the overexpression of miR-133a leading to the most significant level of downregulation at the transcriptional level in LNCaP cells.

There are two copies of miR-133a, miR-133a-1 and miR-133a-2, located on chromosomes 18q11.2 and 20q13.33, respectively (28). miR-133 has been demonstrated as a potent suppressor of non-muscle expression of genes involved in cell fate determination during mouse and human embryonic stem cell differentiation (30). miR-133a inhibits cell proliferation, migration and invasion in PCa cells by targeting the epidermal growth factor receptor (31). In the present study, miR-133a in PCa tissues demonstrated lower expression in a large number of samples from GEO and TCGA, and this result was consistent with a previous report (32). Gong et al (33) reported that miR-133a was downregulated in gastric cancer, and functions as a tumor suppressor in vitro and in vivo, partly by repressing IGF1R. Guo et al (34) reported that miR-133a overexpression repressed IGF1R 3′UTR reporter activity, and reduced the mRNA and protein levels of endogenous IGF1R in ovarian cancer. Other studies have also suggested that IGF1R is a potential target of miR-133a (35). In the present research, miR-133a was predicted to bind to the IGF1R ' UTR. It was demonstrated that the overexpression of miR-133a downregulated the mRNA expression of IGF1R in LNCaP cells in the current study. The MFE indicated that the C allele for rs1815009 had greater accessibility for miR-133a binding compared with the T allele, which was consistent with the results of luciferase reporter assays. In addition, a population-based study on the ChinaPCa revealed that the C allele for rs1815009 was a common variant with a higher frequency among the cases with PCa, and a lower frequency among the healthy individuals. This suggests that the rs1815009 C allele is a crucial risk factor for PCa, via differential regulation of IGF1R with miR-133a.

miR-133b, located on chromosome 6p12.2 (36), is generally considered to be a muscle-specific molecule that enhances myoblast differentiation (37). Although miR-133a and miR-133b are located on different chromosomes in the human genome, they have common target genes, including IGF1R, and are merely distinguished by a single nucleotide at the 3′ end. Previous studies have demonstrated that miR-133b serves a crucial role in malignant tumors and non-muscle related diseases (38–40), including PCa (40). miR-133b expression was revealed to be significantly lower in colorectal carcinoma tissues compared with healthy colon tissues and adjacent non-tumor tissues, modulating cell apoptosis and invasion in colorectal carcinoma (41). In the present study, the expression of miR-133b in PCa tissue was lower compared with that of normal controls in large samples obtained from GEO and TCGA. miR-133b may serve an important role as a tumor suppressor gene in osteosarcoma and overexpression of miR-133b has been reported to decrease the expression of IGF1R (42). miR-133b was predicted to bind to the IGF1R 3′UTR in the current study. Furthermore, miR-133b was observed to bind more tightly to the C allele of rs1815009 within the IGF1R 3′UTR using a thermodynamic model. Subsequently, the miR-133b target region within the IGF1R 3′UTR and the binding affinity were validated, in which miR-133b exhibited greater suppression of the C allele compared with the T allele, as measured using a dual-luciferase reporter assay. In addition, the population-based study by ChinaPCa revealed the C allele for rs1815009 was a common variant with a higher frequency among the cases with PCa, and exhibited at a lower frequency among the healthy population. Together with the results of IGF1R expression at the mRNA and protein levels, these results suggest that the C allele differentially regulates IGF1R with miR-133b. Therefore, the C allele for rs1815009 is a key risk factor for PCa through binding with miR-133a or miR-133b.

miR-455-5p is located on chromosome 6, and accumulating evidence suggests that miR-455 serves essential roles in human cancer. Sand et al (43) identified 16 significantly upregulated miRNAs, including miR-455-5p, in basal cell carcinoma. Lv et al (41) demonstrated that miR-455-5p was significantly upregulated in thymic epithelial tumor tissues. However, miR-455 was reported to be significantly downregulated in a colon cancer sample, and overexpression of miR-455 significantly inhibited the proliferation and invasion of SW480 cells, but had no evident effect on apoptosis (44). Pantaleo et al (45) identified seven miRNAs, including miR-455-5p that may alter IGF1R expression by targeting the IGF1R 3′UTR in gastrointestinal stromal tumor. The results for IGF1R expression at the protein level suggested a significant suppressive effect in PC3 cells containing the IGF1R-rs2684788 T allele, but not in LNCaP cells carrying the IGF1R-rs2684788 C allele. In addition, the population-based study of China PCa revealed that the T allele for rs2684788 was a common variant with a higher frequency among the cases with PCa, but exhibited at a lower frequency among the healthy population. Along with the results for IGF1R expression at the gene and protein levels, suggesting that the T allele of rs2684788 is a key risk factor for PCa through altered regulation of IGF1R by miR-455, as observed for prostate carcinoma.

MMP-2, one of the key enzymes involved in extracellular matrix (ECM) degradation, serves an essential role in the invasion and metastasis of various cancer types (46,47), and is significantly associated with the malignancy and metastasis of PCa (47). CDH1 gene, encoding the E-cadherin protein, is associated with infiltrative tumor growth patterns and lymph node metastasis in colorectal cancer (48). Abnormal CDH1 expression has been associated with numerous human diseases, including PCa (49). VEGFA, a key angiogenic factor, induces endothelial cell proliferation, differentiation and migration, thus making VEGFA an important molecule in angiogenesis (50). The oncogene BCL-2, a repressor of apoptosis, has been reported to be upregulated in numerous cancer types (51). Elevated expression of BCL-2 is highly protective against apoptosis in vitro, resulting in resistance to androgen depletion in vivo (52). In the present study, the expression levels of MMP-2 and VEGFA were downregulated in LNCaP cells that overexpressed miR-133a, miR-133b or miR-455. Furthermore, miR-133a and miR-133b have been identified to be associated with the migration and invasion of androgen-insensitive human PCa cells (31). In the present study, miR-455 was also demonstrated to serve a role in the migration and invasion of LNCaP cells that are androgen-sensitive. Notably, MMP2 expression was regulated by mir-133b and mir-455. The expression level and activity of MMP2/9 have been revealed to be regulated by ERK1/2 in 293 and monocytic cells (53). In addition, aberrant miR-455-5p expression is partially regulated by activated ERK signaling in non-small cell lung cancer (54). It is possible that ERK1/2 regulates MMP2 by miR-455 in LNCaP cells. Future studies should focus on identifying drugs, which are able to target this process.

In conclusion, two miRNA binding prediction tools were used to predict the miRNAs that bind to the IGF1R 3′UTR, and revealed that rs1815009 (C/T) overlaps miR-133a and miR-133b, and rs2684788 (C/T) overlaps the predicted miR-455 binding site in the IGF1R 3′UTR. Predictions from a thermodynamic model for miRNA-target interaction and the results from the luciferase reporter assay were integrated to demonstrate that miR-133a and miR-133b may bind near rs1815009, and miR-455 near rs2684788, in the IGF1R 3′UTR. In addition, public data analysis revealed that miR-133a, miR-133b and miR-455 demonstrated significantly lower expression in PCa tissue in the majority of public datasets. Furthermore, overexpression of miR-455 significantly increased the migration and invasion rates in LNCaP cells. The results of the present study revealed that the association between rs1815009, rs2684788 and PCa risk involves altered miRNA regulation. It may be suggested that miR-133a, miR-133b and miR-455 are useful diagnostic markers for PCa. However, future in vivo studies are required to confirm the results of the current study.

Acknowledgements

Not applicable.

Funding

The present study was supported by grants from the National Natural Science Foundation of China (grant nos. 81272853, 81472414, 81370857, 81360378 and 81460388), the Guangxi Scientific Research and Technology Development Project (grant nos. 2013BC26299 and 1355005-3-17) and the Guangxi Natural Science Foundation (grant nos. 2015GXNSFBB139008, 2014GXNSFBA118201 and 2013GXNSFFA019002), and the Youth Science Foundation of Guangxi Medical University (grant nos. GXMUYSF201201 and GXMUYSF201603).

Availability of data and materials

All data generated or analyzed during this study are included in this published article.

Authors' contributions

HW, WH, YaH and QZ designed the study; HW, WH, XY and YuH performed the experiments; HW, ZM, YaH, WL and YG analyzed the data; and HW, XY, YaH and ZM wrote the manuscript. All authors reviewed and approved the final manuscript.

Ethics approval and consent to participate

Not applicable.

Patient consent for publication

Not applicable.

Competing interests

The authors declare that they have no competing interests.

References

1 

Torre LA, Bray F, Siegel RL, Ferlay J, Lortet-Tieulent J and Jemal A: Global cancer statistics, 2012. CA Cancer J Clin. 65:87–108. 2015. View Article : Google Scholar : PubMed/NCBI

2 

Siegel RL, Miller KD and Jemal A: Cancer statistics, 2016. CA Cancer J Clin. 66:7–30. 2016. View Article : Google Scholar : PubMed/NCBI

3 

Chen W, Zheng R, Baade PD, Zhang S, Zeng H, Bray F, Jemal A, Yu XQ and He J: Cancer statistics in China, 2015. CA Cancer J Clin. 66:115–132. 2016. View Article : Google Scholar : PubMed/NCBI

4 

Bratt O: What should a urologist know about hereditary predisposition to prostate cancer? BJU Int. 99:743–748. 2007. View Article : Google Scholar : PubMed/NCBI

5 

Stegeman S, Amankwah E, Klein K, O'Mara TA, Kim D, Lin HY, Permuth-Wey J, Sellers TA, Srinivasan S, Eeles R, et al: A large-scale analysis of genetic variants within putative miRNA binding sites in prostate cancer. Cancer Discov. 5:368–379. 2015. View Article : Google Scholar : PubMed/NCBI

6 

Zhang L, Liu Y, Song F, Zheng H, Hu L, Lu H, Liu P, Hao X, Zhang W and Chen K: Functional SNP in the microRNA-367 binding site in the 3′UTR of the calcium channel ryanodine receptor gene 3 (RYR3) affects breast cancer risk and calcification. Proc Natl Acad Sci USA. 108:13653–13658. 2011. View Article : Google Scholar : PubMed/NCBI

7 

Minguzzi S, Selcuklu SD, Spillane C and Parle-McDermott A: An NTD-associated polymorphism in the 3′UTR of MTHFD1L can affect disease risk by altering miRNA binding. Hum Mutat. 35:96–104. 2014. View Article : Google Scholar : PubMed/NCBI

8 

Cheng CJ, Bahal R, Babar IA, Pincus Z, Barrera F, Liu C, Svoronos A, Braddock DT, Glazer PM, Engelman DM, et al: MicroRNA silencing for cancer therapy targeted to the tumour microenvironment. Nature. 518:107–110. 2015. View Article : Google Scholar : PubMed/NCBI

9 

Nicoloso MS, Sun H, Spizzo R, Kim H, Wickramasinghe P, Shimizu M, Wojcik SE, Ferdin J, Kunej T, Xiao L, et al: Single-nucleotide polymorphisms inside microRNA target sites influence tumor susceptibility. Cancer Res. 70:2789–2798. 2010. View Article : Google Scholar : PubMed/NCBI

10 

Chandradoss SD, Schirle NT, Szczepaniak M, MacRae IJ and Joo C: Dynamic search process underlies MicroRNA targeting. Cell. 162:96–107. 2015. View Article : Google Scholar : PubMed/NCBI

11 

Zhang L, Zhang S, Yao J, Lowery FJ, Zhang Q, Huang WC, Li P, Li M, Wang X, Zhang C, et al: Microenvironment-induced PTEN loss by exosomal microRNA primes brain metastasis outgrowth. Nature. 527:100–104. 2015. View Article : Google Scholar : PubMed/NCBI

12 

Kuosmanen SM, Viitala S, Laitinen T, Peräkylä M, Pölönen P, Kansanen E, Leinonen H, Raju S, Wienecke-Baldacchino A, Närvänen A, et al: The effects of sequence variation on genome-wide NRF2 binding-new target genes and regulatory SNPs. Nucleic Acids Res. 44:1760–1775. 2016. View Article : Google Scholar : PubMed/NCBI

13 

Niu T, Liu N, Zhao M, Xie G, Zhang L, Li J, Pei YF, Shen H, Fu X, He H, et al: Identification of a novel FGFRL1 MicroRNA target site polymorphism for bone mineral density in meta-analyses of genome-wide association studies. Hum Mol Genet. 24:4710–4727. 2015. View Article : Google Scholar : PubMed/NCBI

14 

Ullrich A, Gray A, Tam AW, Yang-Feng T, Tsubokawa M, Collins C, Henzel W, Le Bon T, Kathuria S, Chen E, et al: Insulin-like growth factor I receptor primary structure: Comparison with insulin receptor suggests structural determinants that define functional specificity. EMBO J. 5:2503–2512. 1986. View Article : Google Scholar : PubMed/NCBI

15 

Ofer P, Heidegger I, Eder IE, Schöpf B, Neuwirt H, Geley S, Klocker H and Massoner P: Both IGF1R and INSR knockdown exert antitumorigenic effects in prostate cancer in vitro and in vivo. Mol Endocrinol. 29:1694–1707. 2015. View Article : Google Scholar : PubMed/NCBI

16 

Wang X, Huang Y, Christie A, Bowden M, Lee GS, Kantoff PW and Sweeney CJ: Cabozantinib inhibits abiraterone's upregulation of IGFIR phosphorylation and enhances its anti-prostate cancer activity. Clin Cancer Res. 21:5578–5587. 2015. View Article : Google Scholar : PubMed/NCBI

17 

Madan RA and Dahut WL: Prostate cancer: Charting a course in metastatic castration-sensitive prostate cancer. Nat Rev Urol. 12:368–369. 2015. View Article : Google Scholar : PubMed/NCBI

18 

Chen Y, Xin X, Li J, Xu J, Yu X, Li T, Mo Z and Hu Y: RTK/ERK pathway under natural selection associated with prostate cancer. PLoS One. 8:e782542013. View Article : Google Scholar : PubMed/NCBI

19 

Agarwal V, Bell GW, Nam JW and Bartel DP: Predicting effective microRNA target sites in mammalian mRNAs. Elife. 4:2015.doi: 10.7554/eLife.05005. View Article : Google Scholar

20 

Betel D, Koppal A, Agius P, Sander C and Leslie C: Comprehensive modeling of microRNA targets predicts functional non-conserved and non-canonical sites. Genome Biol. 11:R902010. View Article : Google Scholar : PubMed/NCBI

21 

Mathews DH, Disney MD, Childs JL, Schroeder SJ, Zuker M and Turner DH: Incorporating chemical modification constraints into a dynamic programming algorithm for prediction of RNA secondary structure. Proc Natl Acad Sci USA. 101:7287–7292. 2004. View Article : Google Scholar : PubMed/NCBI

22 

Turner DH and Mathews DH: NN DB The nearest neighbor parameter database for predicting stability of nucleic acid secondary structure. Nucleic Acids Res. 38:D280–D282. 2010. View Article : Google Scholar : PubMed/NCBI

23 

Kertesz M, Iovino N, Unnerstall U, Gaul U and Segal E: The role of site accessibility in microRNA target recognition. Nat Genet. 39:1278–1284. 2007. View Article : Google Scholar : PubMed/NCBI

24 

Barrett T, Troup DB, Wilhite SE, Ledoux P, Rudnev D, Evangelista C, Kim IF, Soboleva A, Tomashevsky M, Marshall KA, et al: NCBI GEO: Archive for high-throughput functional genomic data. Nucleic Acids Res. 37:D885–D890. 2009. View Article : Google Scholar : PubMed/NCBI

25 

Livak KJ and Schmittgen TD: Analysis of relative gene expression data using real-time quantitative PCR and the 2−ΔΔCT method. Methods. 25:402–408. 2001. View Article : Google Scholar : PubMed/NCBI

26 

Lin HH, Liao CJ, Lee YC, Hu KH, Meng HW and Chu ST: Lipocalin-2-induced cytokine production enhances endometrial carcinoma cell survival and migration. Int J Biol Sci. 7:74–86. 2011. View Article : Google Scholar : PubMed/NCBI

27 

Lin PC, Chiu YL, Banerjee S, Park K, Mosquera JM, Giannopoulou E, Alves P, Tewari AK, Gerstein MB, Beltran H, et al: Epigenetic repression of miR-31 disrupts androgen receptor homeostasis and contributes to prostate cancer progression. Cancer Res. 73:1232–1244. 2013. View Article : Google Scholar : PubMed/NCBI

28 

Ambs S, Prueitt RL, Yi M, Hudson RS, Howe TM, Petrocca F, Wallace TA, Liu CG, Volinia S, Calin GA, et al: Genomic profiling of microRNA and messenger RNA reveals deregulated microRNA expression in prostate cancer. Cancer Res. 68:6162–6170. 2008. View Article : Google Scholar : PubMed/NCBI

29 

Wach S, Nolte E, Szczyrba J, Stöhr R, Hartmann A, Ørntoft T, Dyrskjøt L, Eltze E, Wieland W, Keck B, et al: MicroRNA profiles of prostate carcinoma detected by multiplatform microRNA screening. Int J Cancer. 130:611–621. 2012. View Article : Google Scholar : PubMed/NCBI

30 

Ivey KN, Muth A, Arnold J, King FW, Yeh RF, Fish JE, Hsiao EC, Schwartz RJ, Conklin BR, Bernstein HS, et al: MicroRNA regulation of cell lineages in mouse and human embryonic stem cells. Cell Stem Cell. 2:219–229. 2008. View Article : Google Scholar : PubMed/NCBI

31 

Tao J, Wu D, Xu B, Qian W, Li P, Lu Q, Yin C and Zhang W: microRNA-133 inhibits cell proliferation, migration and invasion in prostate cancer cells by targeting the epidermal growth factor receptor. Oncol Rep. 27:1967–1975. 2012.PubMed/NCBI

32 

Kojima S, Chiyomaru T, Kawakami K, Yoshino H, Enokida H, Nohata N, Fuse M, Ichikawa T, Naya Y, Nakagawa M, et al: Tumour suppressors miR-1 and miR-133a target the oncogenic function of purine nucleoside phosphorylase (PNP) in prostate cancer. Br J Cancer. 106:405–413. 2012. View Article : Google Scholar : PubMed/NCBI

33 

Gong Y, Ren J, Liu K and Tang LM: Tumor suppressor role of miR-133a in gastric cancer by repressing IGF1R. World J Gastroenterol. 21:2949–2958. 2015. View Article : Google Scholar : PubMed/NCBI

34 

Guo J, Xia B, Meng F and Lou G: miR-133a suppresses ovarian cancer cell proliferation by directly targeting insulin-like growth factor 1 receptor. Tumour Biol. 35:1557–1564. 2014. View Article : Google Scholar : PubMed/NCBI

35 

Zhang W, Liu K, Liu S, Ji B, Wang Y and Liu Y: MicroRNA-133a functions as a tumor suppressor by targeting IGF-1R in hepatocellular carcinoma. Tumour Biol. 36:9779–9788. 2015. View Article : Google Scholar : PubMed/NCBI

36 

Mitchelson KR and Qin WY: Roles of the canonical myomiRs miR-1, −133 and −206 in cell development and disease. World J Biol Chem. 6:162–208. 2015. View Article : Google Scholar : PubMed/NCBI

37 

Rao PK, Kumar RM, Farkhondeh M, Baskerville S and Lodish HF: Myogenic factors that regulate expression of muscle-specific microRNAs. Proc Natl Acad Sci USA. 103:8721–8726. 2006. View Article : Google Scholar : PubMed/NCBI

38 

Liu L, Shao X, Gao W, Zhang Z, Liu P, Wang R, Huang P, Yin Y and Shu Y: MicroRNA-133b inhibits the growth of non-small-cell lung cancer by targeting the epidermal growth factor receptor. FEBS J. 279:3800–3812. 2012. View Article : Google Scholar : PubMed/NCBI

39 

Duan FT, Qian F, Fang K, Lin KY, Wang WT and Chen YQ: miR-133b, a muscle-specific microRNA, is a novel prognostic marker that participates in the progression of human colorectal cancer via regulation of CXCR4 expression. Mol Cancer. 12:1642013. View Article : Google Scholar : PubMed/NCBI

40 

Karatas OF, Guzel E, Suer I, Ekici ID, Caskurlu T, Creighton CJ, Ittmann M and Ozen M: miR-1 and miR-133b are differentially expressed in patients with recurrent prostate cancer. PLoS One. 9:e986752014. View Article : Google Scholar : PubMed/NCBI

41 

Lv LV, Zhou J, Lin C, Hu G, Yi LU, DU J, Gao K and Li X: DNA methylation is involved in the aberrant expression of miR-133b in colorectal cancer cells. Oncol Lett. 10:907–912. 2015. View Article : Google Scholar : PubMed/NCBI

42 

Zhao H, Li M, Li L, Yang X, Lan G and Zhang Y: MiR-133b is down-regulated in human osteosarcoma and inhibits osteosarcoma cells proliferation, migration and invasion, and promotes apoptosis. PLoS One. 8:e835712013. View Article : Google Scholar : PubMed/NCBI

43 

Sand M, Skrygan M, Sand D, Georgas D, Hahn SA, Gambichler T, Altmeyer P and Bechara FG: Expression of microRNAs in basal cell carcinoma. Br J Dermatol. 167:847–855. 2012. View Article : Google Scholar : PubMed/NCBI

44 

Hu J, Xu Y and Cai S: Specific microRNAs as novel biomarkers for combination chemotherapy resistance detection of colon adenocarcinoma. Eur J Med Res. 20:952015. View Article : Google Scholar : PubMed/NCBI

45 

Pantaleo MA, Ravegnini G, Astolfi A, Simeon V, Nannini M, Saponara M, Urbini M, Gatto L, Indio V, Sammarini G, et al: Integrating miRNA and gene expression profiling analysis revealed regulatory networks in gastrointestinal stromal tumors. Epigenomics. 8:1347–1366. 2016. View Article : Google Scholar : PubMed/NCBI

46 

Dufour A, Sampson NS, Zucker S and Cao J: Role of the hemopexin domain of matrix metalloproteinases in cell migration. J Cell Physiol. 217:643–651. 2008. View Article : Google Scholar : PubMed/NCBI

47 

Kuniyasu H, Ukai R, Johnston D, Troncoso P, Fidler IJ and Pettaway CA: The relative mRNA expression levels of matrix metalloproteinase to E-cadherin in prostate biopsy specimens distinguishes organ-confined from advanced prostate cancer at radical prostatectomy. Clin Cancer Res. 9:2185–2194. 2003.PubMed/NCBI

48 

Kim SA, Inamura K, Yamauchi M, Nishihara R, Mima K, Sukawa Y, Li T, Yasunari M, Morikawa T, Fitzgerald KC, et al: Loss of CDH1 (E-cadherin) expression is associated with infiltrative tumour growth and lymph node metastasis. Br J Cancer. 114:199–206. 2016. View Article : Google Scholar : PubMed/NCBI

49 

Bonilla C, Mason T, Long L, Ahaghotu C, Chen W, Zhao A, Coulibaly A, Bennett F, Aiken W, Tullock T, et al: E-cadherin polymorphisms and haplotypes influence risk for prostate cancer. Prostate. 66:546–556. 2006. View Article : Google Scholar : PubMed/NCBI

50 

Ferrara N, Gerber HP and LeCouter J: The biology of VEGF and its receptors. Nat Med. 9:669–676. 2003. View Article : Google Scholar : PubMed/NCBI

51 

Yip KW and Reed JC: Bcl-2 family proteins and cancer. Oncogene. 27:6398–6406. 2008. View Article : Google Scholar : PubMed/NCBI

52 

Raffo AJ, Perlman H, Chen MW, Day ML, Streitman JS and Buttyan R: Overexpression of bcl-2 protects prostate cancer cells from apoptosis in vitro and confers resistance to androgen depletion in vivo. Cancer Res. 55:44338–4445. 1995.

53 

Huang WC, Chan SH, Jang TH, Chang JW, Ko YC, Yen TC, Chiang SL, Chiang WF, Shieh TY, Liao CT, et al: miRNA-491-5p and GIT1 serve as modulators and biomarkers for oral squamous cell carcinoma invasion and metastasis. Cancer Res. 74:751–764. 2014. View Article : Google Scholar : PubMed/NCBI

54 

Wang J, Wang Y, Sun D, Bu J, Ren F, Liu B, Zhang S, Xu Z, Pang S and Xu S: miR-455-5p promotes cell growth and invasion by targeting SOCO3 in non-small cell lung cancer. Oncotarget. 8:114956–114965. 2017.PubMed/NCBI

Related Articles

  • Abstract
  • View
  • Download
  • Twitter
Copy and paste a formatted citation
Spandidos Publications style
Wang H, Huang W, Yu X, Li W, Huang Y, Mo Z, Gao Y, Zhou Q and Hu Y: Two prostate cancer‑associated polymorphisms in the 3'UTR of IGF1R influences prostate cancer susceptibility by affecting miRNA binding Corrigendum in /10.3892/or.2020.7646. Oncol Rep 41: 512-524, 2019.
APA
Wang, H., Huang, W., Yu, X., Li, W., Huang, Y., Mo, Z. ... Hu, Y. (2019). Two prostate cancer‑associated polymorphisms in the 3'UTR of IGF1R influences prostate cancer susceptibility by affecting miRNA binding Corrigendum in /10.3892/or.2020.7646. Oncology Reports, 41, 512-524. https://doi.org/10.3892/or.2018.6810
MLA
Wang, H., Huang, W., Yu, X., Li, W., Huang, Y., Mo, Z., Gao, Y., Zhou, Q., Hu, Y."Two prostate cancer‑associated polymorphisms in the 3'UTR of IGF1R influences prostate cancer susceptibility by affecting miRNA binding Corrigendum in /10.3892/or.2020.7646". Oncology Reports 41.1 (2019): 512-524.
Chicago
Wang, H., Huang, W., Yu, X., Li, W., Huang, Y., Mo, Z., Gao, Y., Zhou, Q., Hu, Y."Two prostate cancer‑associated polymorphisms in the 3'UTR of IGF1R influences prostate cancer susceptibility by affecting miRNA binding Corrigendum in /10.3892/or.2020.7646". Oncology Reports 41, no. 1 (2019): 512-524. https://doi.org/10.3892/or.2018.6810
Copy and paste a formatted citation
x
Spandidos Publications style
Wang H, Huang W, Yu X, Li W, Huang Y, Mo Z, Gao Y, Zhou Q and Hu Y: Two prostate cancer‑associated polymorphisms in the 3'UTR of IGF1R influences prostate cancer susceptibility by affecting miRNA binding Corrigendum in /10.3892/or.2020.7646. Oncol Rep 41: 512-524, 2019.
APA
Wang, H., Huang, W., Yu, X., Li, W., Huang, Y., Mo, Z. ... Hu, Y. (2019). Two prostate cancer‑associated polymorphisms in the 3'UTR of IGF1R influences prostate cancer susceptibility by affecting miRNA binding Corrigendum in /10.3892/or.2020.7646. Oncology Reports, 41, 512-524. https://doi.org/10.3892/or.2018.6810
MLA
Wang, H., Huang, W., Yu, X., Li, W., Huang, Y., Mo, Z., Gao, Y., Zhou, Q., Hu, Y."Two prostate cancer‑associated polymorphisms in the 3'UTR of IGF1R influences prostate cancer susceptibility by affecting miRNA binding Corrigendum in /10.3892/or.2020.7646". Oncology Reports 41.1 (2019): 512-524.
Chicago
Wang, H., Huang, W., Yu, X., Li, W., Huang, Y., Mo, Z., Gao, Y., Zhou, Q., Hu, Y."Two prostate cancer‑associated polymorphisms in the 3'UTR of IGF1R influences prostate cancer susceptibility by affecting miRNA binding Corrigendum in /10.3892/or.2020.7646". Oncology Reports 41, no. 1 (2019): 512-524. https://doi.org/10.3892/or.2018.6810
Follow us
  • Twitter
  • LinkedIn
  • Facebook
About
  • Spandidos Publications
  • Careers
  • Cookie Policy
  • Privacy Policy
How can we help?
  • Help
  • Live Chat
  • Contact
  • Email to our Support Team