Spandidos Publications Logo
  • About
    • About Spandidos
    • Aims and Scopes
    • Abstracting and Indexing
    • Editorial Policies
    • Reprints and Permissions
    • Job Opportunities
    • Terms and Conditions
    • Contact
  • Journals
    • All Journals
    • Oncology Letters
      • Oncology Letters
      • Information for Authors
      • Editorial Policies
      • Editorial Board
      • Aims and Scope
      • Abstracting and Indexing
      • Bibliographic Information
      • Archive
    • International Journal of Oncology
      • International Journal of Oncology
      • Information for Authors
      • Editorial Policies
      • Editorial Board
      • Aims and Scope
      • Abstracting and Indexing
      • Bibliographic Information
      • Archive
    • Molecular and Clinical Oncology
      • Molecular and Clinical Oncology
      • Information for Authors
      • Editorial Policies
      • Editorial Board
      • Aims and Scope
      • Abstracting and Indexing
      • Bibliographic Information
      • Archive
    • Experimental and Therapeutic Medicine
      • Experimental and Therapeutic Medicine
      • Information for Authors
      • Editorial Policies
      • Editorial Board
      • Aims and Scope
      • Abstracting and Indexing
      • Bibliographic Information
      • Archive
    • International Journal of Molecular Medicine
      • International Journal of Molecular Medicine
      • Information for Authors
      • Editorial Policies
      • Editorial Board
      • Aims and Scope
      • Abstracting and Indexing
      • Bibliographic Information
      • Archive
    • Biomedical Reports
      • Biomedical Reports
      • Information for Authors
      • Editorial Policies
      • Editorial Board
      • Aims and Scope
      • Abstracting and Indexing
      • Bibliographic Information
      • Archive
    • Oncology Reports
      • Oncology Reports
      • Information for Authors
      • Editorial Policies
      • Editorial Board
      • Aims and Scope
      • Abstracting and Indexing
      • Bibliographic Information
      • Archive
    • Molecular Medicine Reports
      • Molecular Medicine Reports
      • Information for Authors
      • Editorial Policies
      • Editorial Board
      • Aims and Scope
      • Abstracting and Indexing
      • Bibliographic Information
      • Archive
    • World Academy of Sciences Journal
      • World Academy of Sciences Journal
      • Information for Authors
      • Editorial Policies
      • Editorial Board
      • Aims and Scope
      • Abstracting and Indexing
      • Bibliographic Information
      • Archive
    • International Journal of Functional Nutrition
      • International Journal of Functional Nutrition
      • Information for Authors
      • Editorial Policies
      • Editorial Board
      • Aims and Scope
      • Abstracting and Indexing
      • Bibliographic Information
      • Archive
    • International Journal of Epigenetics
      • International Journal of Epigenetics
      • Information for Authors
      • Editorial Policies
      • Editorial Board
      • Aims and Scope
      • Abstracting and Indexing
      • Bibliographic Information
      • Archive
    • Medicine International
      • Medicine International
      • Information for Authors
      • Editorial Policies
      • Editorial Board
      • Aims and Scope
      • Abstracting and Indexing
      • Bibliographic Information
      • Archive
  • Articles
  • Information
    • Information for Authors
    • Information for Reviewers
    • Information for Librarians
    • Information for Advertisers
    • Conferences
  • Language Editing
Spandidos Publications Logo
  • About
    • About Spandidos
    • Aims and Scopes
    • Abstracting and Indexing
    • Editorial Policies
    • Reprints and Permissions
    • Job Opportunities
    • Terms and Conditions
    • Contact
  • Journals
    • All Journals
    • Biomedical Reports
      • Information for Authors
      • Editorial Policies
      • Editorial Board
      • Aims and Scope
      • Abstracting and Indexing
      • Bibliographic Information
      • Archive
    • Experimental and Therapeutic Medicine
      • Information for Authors
      • Editorial Policies
      • Editorial Board
      • Aims and Scope
      • Abstracting and Indexing
      • Bibliographic Information
      • Archive
    • International Journal of Epigenetics
      • Information for Authors
      • Editorial Policies
      • Editorial Board
      • Aims and Scope
      • Abstracting and Indexing
      • Bibliographic Information
      • Archive
    • International Journal of Functional Nutrition
      • Information for Authors
      • Editorial Policies
      • Editorial Board
      • Aims and Scope
      • Abstracting and Indexing
      • Bibliographic Information
      • Archive
    • International Journal of Molecular Medicine
      • Information for Authors
      • Editorial Policies
      • Editorial Board
      • Aims and Scope
      • Abstracting and Indexing
      • Bibliographic Information
      • Archive
    • International Journal of Oncology
      • Information for Authors
      • Editorial Policies
      • Editorial Board
      • Aims and Scope
      • Abstracting and Indexing
      • Bibliographic Information
      • Archive
    • Medicine International
      • Information for Authors
      • Editorial Policies
      • Editorial Board
      • Aims and Scope
      • Abstracting and Indexing
      • Bibliographic Information
      • Archive
    • Molecular and Clinical Oncology
      • Information for Authors
      • Editorial Policies
      • Editorial Board
      • Aims and Scope
      • Abstracting and Indexing
      • Bibliographic Information
      • Archive
    • Molecular Medicine Reports
      • Information for Authors
      • Editorial Policies
      • Editorial Board
      • Aims and Scope
      • Abstracting and Indexing
      • Bibliographic Information
      • Archive
    • Oncology Letters
      • Information for Authors
      • Editorial Policies
      • Editorial Board
      • Aims and Scope
      • Abstracting and Indexing
      • Bibliographic Information
      • Archive
    • Oncology Reports
      • Information for Authors
      • Editorial Policies
      • Editorial Board
      • Aims and Scope
      • Abstracting and Indexing
      • Bibliographic Information
      • Archive
    • World Academy of Sciences Journal
      • Information for Authors
      • Editorial Policies
      • Editorial Board
      • Aims and Scope
      • Abstracting and Indexing
      • Bibliographic Information
      • Archive
  • Articles
  • Information
    • For Authors
    • For Reviewers
    • For Librarians
    • For Advertisers
    • Conferences
  • Language Editing
Login Register Submit
  • This site uses cookies
  • You can change your cookie settings at any time by following the instructions in our Cookie Policy. To find out more, you may read our Privacy Policy.

    I agree
Search articles by DOI, keyword, author or affiliation
Search
Advanced Search
presentation
Oncology Reports
Join Editorial Board Propose a Special Issue
Print ISSN: 1021-335X Online ISSN: 1791-2431
Journal Cover
May-2023 Volume 49 Issue 5

Full Size Image

Sign up for eToc alerts
Recommend to Library

Journals

International Journal of Molecular Medicine

International Journal of Molecular Medicine

International Journal of Molecular Medicine is an international journal devoted to molecular mechanisms of human disease.

International Journal of Oncology

International Journal of Oncology

International Journal of Oncology is an international journal devoted to oncology research and cancer treatment.

Molecular Medicine Reports

Molecular Medicine Reports

Covers molecular medicine topics such as pharmacology, pathology, genetics, neuroscience, infectious diseases, molecular cardiology, and molecular surgery.

Oncology Reports

Oncology Reports

Oncology Reports is an international journal devoted to fundamental and applied research in Oncology.

Experimental and Therapeutic Medicine

Experimental and Therapeutic Medicine

Experimental and Therapeutic Medicine is an international journal devoted to laboratory and clinical medicine.

Oncology Letters

Oncology Letters

Oncology Letters is an international journal devoted to Experimental and Clinical Oncology.

Biomedical Reports

Biomedical Reports

Explores a wide range of biological and medical fields, including pharmacology, genetics, microbiology, neuroscience, and molecular cardiology.

Molecular and Clinical Oncology

Molecular and Clinical Oncology

International journal addressing all aspects of oncology research, from tumorigenesis and oncogenes to chemotherapy and metastasis.

World Academy of Sciences Journal

World Academy of Sciences Journal

Multidisciplinary open-access journal spanning biochemistry, genetics, neuroscience, environmental health, and synthetic biology.

International Journal of Functional Nutrition

International Journal of Functional Nutrition

Open-access journal combining biochemistry, pharmacology, immunology, and genetics to advance health through functional nutrition.

International Journal of Epigenetics

International Journal of Epigenetics

Publishes open-access research on using epigenetics to advance understanding and treatment of human disease.

Medicine International

Medicine International

An International Open Access Journal Devoted to General Medicine.

Journal Cover
May-2023 Volume 49 Issue 5

Full Size Image

Sign up for eToc alerts
Recommend to Library

  • Article
  • Citations
    • Cite This Article
    • Download Citation
    • Create Citation Alert
    • Remove Citation Alert
    • Cited By
  • Similar Articles
    • Related Articles (in Spandidos Publications)
    • Similar Articles (Google Scholar)
    • Similar Articles (PubMed)
  • Download PDF
  • Download XML
  • View XML

  • Supplementary Files
    • Supplementary_Data1.pdf
    • Supplementary_Data2.pdf
Article Open Access

The impact of cellular senescence and senescence‑associated secretory phenotype in cancer‑associated fibroblasts on the malignancy of pancreatic cancer

  • Authors:
    • Masaya Higashiguchi
    • Hirotomo Murakami
    • Hirofumi Akita
    • Shogo Kobayashi
    • Shokichi Takahama
    • Yoshifumi Iwagami
    • Daisaku Yamada
    • Yoshito Tomimaru
    • Takehiro Noda
    • Kunihito Gotoh
    • Yuichiro Doki
    • Takuya Yamamoto
    • Hidetoshi Eguchi
  • View Affiliations / Copyright

    Affiliations: Department of Gastroenterological Surgery, Graduate School of Medicine, Osaka University, Osaka 565‑0871, Japan, Laboratory of Immunosenescence, Center for Vaccine and Adjuvant Research, National Institutes of Biomedical Innovation, Health and Nutrition, Osaka 567‑0085, Japan
    Copyright: © Higashiguchi et al. This is an open access article distributed under the terms of Creative Commons Attribution License.
  • Article Number: 98
    |
    Published online on: March 27, 2023
       https://doi.org/10.3892/or.2023.8535
  • Expand metrics +
Metrics: Total Views: 0 (Spandidos Publications: | PMC Statistics: )
Metrics: Total PDF Downloads: 0 (Spandidos Publications: | PMC Statistics: )
Cited By (CrossRef): 0 citations Loading Articles...

This article is mentioned in:



Abstract

Cancer‑associated fibroblasts (CAFs) are implicated in the strong malignancy of pancreatic cancer (PC). Various CAF subtypes have different functions, and their heterogeneity likely influence the malignancy of PC. Meanwhile, it is known that senescent cells can create a tumor‑promoting microenvironment by inducing a senescence‑associated secretory phenotype (SASP). In the present study, the effects of individual differences in CAFs on PC malignancy were investigated with a focus on cellular senescence. First, primary cultures of CAFs from 8 PC patients were generated and co‑cultured with PC cell lines. This co‑culture assay showed that differences in CAFs induce differences in PC cell proliferation. It was further investigated which clinical factors affected the malignant potential of CAF and it was found that the difference of malignant potential of each CAF was marginally related to the age of original patients. Next, to verify the senescence of CAFs really affected the malignant potential of CAF, PCR array analysis of each CAF sample was performed and it was revealed that expression of genes about cellular senescence and SASP such as tumor protein p53, nuclear factor kappa B subunit 1, and IL6, are related to the malignant potential of CAFs impacting on PC proliferation. Finally, to elucidate the effect of p53‑mediated cellular senescence of CAFs on malignant potential of PC, it was examined whether CAFs with the treatment of p53 inhibitor affected PC cell proliferation in co‑culture assays. The treatment of CAFs with p53 inhibitor significantly suppressed PC cell proliferation. In addition, a comparison of the concentration of IL‑6, a SASP cytokine, in the co‑culture supernatant showed a significant decrease in the sample after p53 inhibitor treatment. In conclusion, the present results suggested that proliferation potential of PC may be related to p53‑mediated cellular senescence and SASP of CAFs.

Introduction

Pancreatic cancer (PC) still has a poor prognosis. Even with the latest multimodality treatment, the 5-year relative survival rate is only 11%, which is substantially worse than for other gastrointestinal cancers (1). This is partly because PC tends to metastasize to lymph nodes or distant sites at an early stage due to its high capacity for invasion and migration. Therefore, to improve the prognosis, it is important to examine the cause of PC's high malignant potential.

Previous studies demonstrated that the tumor stromal components, which are abundant in PC, are involved in the malignant potential (2,3). In particular, fibroblasts are the main component of the stromal tissue-referred to as ‘cancer-associated fibroblasts (CAFs)’-and are reportedly involved in tumor proliferation, invasion, and drug resistance through interactions with cancer cells via chemokines, cytokines and growth factors (4–6). Furthermore, previous studies reported that CAFs can be classified into subpopulations based on various functional characteristics, and their heterogeneity may be related to cancer malignancy (7,8). The heterogeneity of CAFs in PC was also reported to be closely related to its malignant potential (9,10), however, it remains unclear how CAFs affect PC malignancy.

In general, malignancy risk increases with aging (11,12), and numerous studies have focused on the relationship between cellular senescence and malignant tumors (12,13). Cellular senescence is the irreversible growth arrest of normal cells with proliferative potential-caused by telomere shortening, oncogene activation, and unrepairable DNA damage with carcinogenic risk, which can be induced by oxidative stress (14,15). This phenomenon was originally considered a mechanism to protect bodies from the carcinogenic stress that accumulates with aging (16,17). Furthermore, previous studies indicated that senescent cells could foster a tumor-promoting microenvironment by increasing the expressions of inflammation-related genes, such as inflammatory cytokines and chemokines, and, i.e., the senescence-associated secretory phenotype (SASP) (18–20).

Although several studies described the role of SASP in various type of cancers such as liver, colorectal and prostate cancer (21–23), it is not well understood how SASP derived from CAFs may affect the malignancy of PC. In the present study, the differences in malignant potential of CAFs derived from several primary PC tumors were investigated and it was clarified how the senescence of CAFs affected PC cells by examining the significance of SASP in CAFs.

Materials and methods

Primary culture of CAFs

Tissue samples of human PC were collected with the approval (approval no. 18138-4) of the Human Ethics Review Committee of the Graduate School of Medicine of Osaka University (Osaka, Japan) and the National Institutes of Biomedical Innovation, Health and Nutrition (approval no. 201-01; Osaka, Japan). Written informed consent for sample use was obtained from all patients before surgery. All tissue samples were collected at Osaka University Hospital (Suita, Japan) from June 2019 to March 2020. Human pancreatic stellate cells, the reported origin cells of CAFs, were cultured from the tissue samples as previously described (24,25). Briefly, the cancerous portion was cut from the tissue samples, and chopped into small pieces. These tissue pieces were washed with phosphate-buffered saline (PBS) containing 5% penicillin-streptomycin (Sigma-Aldrich; Merck KGaA), and then three pieces were sown in each well of a six-well plate (Corning, Inc.). The samples were cultured in Dulbecco's modified Eagle's medium (DMEM) containing 20% fetal bovine serum (FBS) for 2 days at 37°C, and thereafter in DMEM containing 10% FBS. Gradual proliferation of only spindle-shaped cells was observed as previously reported (Fig. S1), which was considered to be CAFs based on their cell morphology. This outgrowth method, which was previously reported by Bachem et al (24), was already well-established method for the CAF primary culture. It was indicated in the aforementioned study that α-smooth muscle actin (α-SMA), vimentin (VIM), and desmin were expressed in all primary cultured cells and immunocytochemistry of primary cultured cells was also performed in previous studies and it has been already confirmed that primary culture cells were true CAFs and there was no contamination of cancer cells (24,25). On the 14th day of culture, these CAFs were cryopreserved for use in further experiments. In the present study, primary CAFs were used without immortalization. This is because, to immortalize primary cultured cells, viral vector or gene induction such as telomerase reverse transcriptase (TERT) had to be used, but it is considered that such immortalized cells were very different from originally primary cultured cells. Therefore, primary cultured cells were established with great care and cell damage was minimized by using a programmed freezer when storing cells and accutase when passaging CAFs. In addition, all assays were performed using primary culture CAFs within three passages. This is due to the fact that culture time and passages could cause changes in cell morphology and gene expression in CAFs.

Primary culture of CAFs was performed using tissue samples collected from 8 PC patients. The clinical information for these 8 patients before the initiation of treatment are presented in Table SI. The median age was 67 years (range 53–77 years), 3 were male, and the median tumor diameter was 25.1 mm (range 9.5-34.3 mm). Of the 8 patients, 6 underwent preoperative chemotherapy (details presented in Table SII). The mean age of the male and female groups was 65.6 and 65.7 years, respectively, with no significant difference (P=0.993). The tumor diameters measured by contrast-enhanced CT before and after chemotherapy, and the calculated tumor size ratio (TSR) for each case: TSR=(Tumor size after neoadjuvant chemotherapy)/(Tumor size before neoadjuvant chemotherapy) are also included in Table SII. The macroscopic and microscopic pathology findings for each case are demonstrated in Fig. S2. The following procedure was used for H&E staining: First, tissues were fixed with neutral formalin 10% at room temperature for 2 days, embedded in paraffin, and manually sectioned with a microtome to obtain 3-µm thick paraffin sections. The sections were dewaxed with xylene and stained with hematoxylin for 6 min and eosin for 2 min and 30 sec at room temperature. Tissue-Tek®Eosin and Tissue-Tek® Mayer hematoxylin for Prisma (both from Sakura Finetek USA, Inc.) were used as staining solutions, and staining was performed on a Tissue-Tek®DRS TM 2000 (Sakura Finetek USA, Inc.).

Co-culture assay

The co-culture assay was performed in a non-contact manner, using a Transwell with 0.4-µm pores (Corning, Inc.). First, CAFs (1.0×104 per well) were plated on the top layer and incubated overnight in DMEM containing 10% FBS. Once the CAFs had settled in the Transwell, PSN-1 cells (a human PC cell line, p53 mutant) were plated at 1.0×105 per well on the lower layer of a 24-well culture plate (Corning, Inc.). PSN-1 cells were obtained from the American Type Culture Collection. After an additional 48 h of co-culture in DMEM containing 0.5% FBS, the Transwell was removed and PSN-1 cell proliferation was evaluated.

Proliferation assay

PSN-1 cell proliferation was evaluated by fluorescence staining using Hoechst 33342 (Thermo Fisher Scientific, Inc.). Briefly, after removing the Transwell and the culture medium, diluted Hoechst 33342 was added and allowed to react for 10 min. Then the PSN-1 cells were washed three times with PBS, and the fluorescence intensity was measured using the EnSpire Multimode Plate Reader (PerkinElmer, Inc.). An assay was performed to compare the effects of CAFs from 8 different patients on the proliferation of PSN-1 cells. The fluorescence intensity ratio (FIR) was calculated based on the fluorescence intensity of the canonical CAFs (#1) showing the lowest fluorescence intensity: FIR (#X)=Fluorescence intensity (#X)/Fluorescence intensity (#1).

Reverse transcription-quantitative (RT-q) PCR array

RT-qPCR arrays were performed using two kits: QIAGEN RT2 Profiler™ PCR Array ‘Human Cellular Senescence’ (GeneGlobe ID-PAHS-050Z) and ‘Human Cancer Inflammation and Immunity Crosstalk’ (GeneGlobe ID-PAHS-181Z) following the supplier's instructions (http://www.sabiosciences.com). After CAFs were settled on the plate, they were incubated at 37°C for 1 day under serum-free conditions, and then incubated at 37°C for 12 h with or without serum stimulation (2% human AB serum), respectively, before mRNA extraction was performed. RNA was extracted from CAFs of 1.0×104 cells under both serum unstimulated and serum stimulated conditions using the RNeasy Micro kit (Qiagen GmbH), following the supplier's protocol. At the same time, gene expression of actin alpha 2 (ACTA2: alias α-SMA) and fibroblast activation protein (FAP) were also examined for CAFs. The following primers were used for gene expression analysis of human ACTA2 and FAP: ACTA2 forward, 5′-GTGTTGCCCCTGAAGAGCAT-3′ and reverse, 5′-GCTGGGACATTGAAAGTCTCA-3′; FAP forward, 5′-TCTAAGGAAAGAAAGGTGCCAA-3′ and reverse, 5′-GATCAGTGCGTCCATCATGAAG-3′. Expression level was calculated using the 2−ΔΔCq method based on the expression level of GAPDH, the housekeeping gene. Additionally, the results were analyzed by the 2−ΔΔCq method, using the sample without serum stimulation as a reference (26). Gene expression levels were evaluated as the ratio of expression with serum stimulation to expression without serum stimulation: RNA level (fold change)=(Expression level with serum stimulation)/(Expression level without serum stimulation).

Pathway enrichment analysis

Pathway enrichment analysis was performed using two databases: Kyoto Encyclopedia of Genes and Genomes (KEGG: http://www.genome.ad.jp/kegg) and Reactome (https://reactome.org/). Enriched pathways were identified according to the cut-off value of a false discovery rate (FDR) <0.05.

Inhibition of p53 expression in CAFs

First, CAFs were plated and incubated overnight in DMEM containing 10% FBS. Once the CAFs had settled in the plate, the medium was changed and CAFs were cultured in DMEM containing 10% FBS for 5 days with the p53 inhibitor pifithrin-alpha (PFT-alpha) (Sigma-Aldrich; Merck KGaA), or with the same amount of DMSO as a control. A PFT-alpha concentration of 10 µM was used based on previous a previous study (27). After 5 days of incubation, the cells were thoroughly washed and seeded in the top layer of Transwell, and then co-cultured with PSN-1 cells for 2 days, as in the aforementioned co-culture assay, to assess proliferation of the PSN-1 cells. Notably, viability of CAFs at the start of co-culture was measured using Guava® Muse cell analyzer (Luminex) as described in the instructions to confirm that no problems with CAF viability had occurred after 5 days of incubation. This assay was conducted using CAFs from three patients, #2, #7 and #8. The experiments of #2, #7, and #8 were performed simultaneously on the same plate. Data for a control, a sample without CAF is shared.

IL-6 quantification by ELISA

The IL-6 concentration was analyzed in the co-culture supernatant using an enzyme-linked immunosorbent assay (ELISA) kit (cat. no 3460-1A-6; Mabtech, Inc.), following the manufacturer's instructions. Co-culture supernatants were collected at the end of the 2-day co-culture in the aforementioned experiment. When performing the analysis, the co-culture supernatant was diluted 10-fold. This assay was also conducted using CAFs from three patients, #2, #7 and #8.

Statistical analysis

Numerical data are presented as mean ± standard deviation. Statistical analysis between two groups was performed using a two-tailed Student's t-test (unpaired t-test). Statistical analysis among three groups or more was performed using Dunnett's t-test, with the test level α=0.05. Correlation analysis was performed using Pearson's correlation coefficient. P<0.05 was considered to indicate a statistically significant difference. JMP software (JMP® Pro 16.2.0, SAS Institute, Inc.) was used as the software for these analyses.

Results

Differences in CAFs induce differences in PC cell proliferation

To examine whether differences in CAFs affected PC cell proliferation, 8 CAF samples were primarily cultured and co-cultured with PSN-1 cells. The PSN-1 showed different proliferation ability when cultured with each CAFs from different patients (Fig. 1). In particular, the mean fluorescence intensity of #8 was significantly higher than that of #1. The fluorescence intensity rate (FIR) of #8 was ~1.4 (P<0.001), indicating that differences in CAFs could affect the proliferation ability of PC cells.

Figure 1.

Differences in CAFs induce differences in PC cell proliferation. (A) Graphical representation of the fluorescence intensity of PC cells co-cultured with each CAF sample. Values represent the mean ± SD from three independent experiments. (B) Tabular representation of the same data. Fluorescence Intensity Ratio (#X)=Fluorescence Intensity (#X)/Fluorescence Intensity (#1). *P<0.005 and **P<0.001. CAF, cancer-associated fibroblasts; PC, pancreatic cancer.

The clinical impact of CAF's malignant potential

It was examined how the results of co-culture assays were associated with the original clinical data of patients. The correlation between FIR in co-culture assays and five clinical data is demonstrated in Fig. 2. Unfortunately, tumor size, serum CA19-9 level, and SUV max before the initiation of treatment were not significantly associated with the FIR (Fig. 2A) and this may be partially because sample size (only 8 patients) was too small and these factors depended on the time of diagnosis. There was also no significant association between sex and co-culture assays results. Fluorescence intensity (mean ± SD) in the co-culture experiment was 5,139.4±682.6 for females and 5,063.4±536.8 for males (P=0.779).

Figure 2.

Correlation between FIR in co-culture assays and clinical data before treatment. Graph shows the FIR on the horizontal axis, and clinical data on the vertical axis. (A) Data regarding tumor size, serum CA19-9 level, and SUV max of fluorodeoxyglucose-positron emission tomography. (B) Data regarding tumor size ratio. (C) Data regarding age of patients. The square of the correlation coefficient and the P-value are shown. *N=6 (excluding the two Lewis antigen-negative patients). #N=6 (only for patients who received preoperative chemotherapy). Each symbol legend appears at the right below. FIR, fluorescence intensity ratio; CA19-9, carbohydrate antigen.

Thus, next we examined the correlation between TSR and FIR in six patients who received preoperative treatment to clarify the clinical impact of CAFs on the effect of preoperative treatment. As revealed in Fig. 2B, the FIR was significantly correlated with the TSR (R2=0.821, P=0.013), indicating that the efficacy of chemotherapy may be determined by the malignant potential of CAFs. Notably, further examination of the relationship between FIR and the patients' original clinical data revealed that patient's age was marginally related to the FIR (P=0.051), as shown in Fig. 2C, raising the suspicion that it was possible that the senescence of CAFs may be related to its malignant potential to grow cancer cells.

Gene expression profiling related to cellular senescence and SASP in CAFs

To elucidate the senescence of CAFs really affected the malignant potential of CAFs, a PCR array was performed among the 8 CAFs by using the ‘Human Cellular Senescence’ PCR array kit (GeneGlobe ID-PAHS-050Z QUIAGEN) and ‘Human Cancer Inflammation and Immunity Crosstalk’ PCR array kit (GeneGlobe ID-PAHS-181Z QUIAGEN). First, the expression of the CAF markers, ACTA-2 and FAP, was examined simultaneously with the analysis using these kits. Fortunately, the genes analyzed in these kits included genes known to be marker of CAF, VIM. Therefore, the expression of these genes in 8 primary CAFs was investigated and it was found that the expression of these 3 genes was positive in all CAFs (Fig. S3). By contrast, the expression of TERT, which is expressed in 85–90% of cancer tissues and is also known to be expressed in PC (28,29), was extremely low, suggesting that the cells in primary culture in the present study were CAFs without cancer cells. The gene expression of CAFs in relation to cancer cell growth was subsequently examined by investigating the relationship between the data of each gene expression analyzed by RT-qPCR and the results of the co-culture assay. Unfortunately, each gene expression with and without serum stimulation did not significantly correlate with the results of the co-culture assay. Then, the fold-change of RNA level of each gene was calculated using the 2−ΔΔCq method and the relationship between fold-change of RNA level and co-culture assay data was analyzed (Table SIII and Fig. 3). The top 30 genes that exhibited a significant correlation between the fold-change of RNA level and FIR are presented in Fig. 3A. Table SIII shows the results for all 162 genes. The plot of absolute value of the correlation coefficient versus the P-value for each gene showed that 38 genes were significantly correlated with the FIR (Fig. 3B). These 38 genes included cellular senescence pathway-associated genes [such as tumor protein p53 (TP53), cyclin-dependent kinase inhibitor 1A (CDKN1A)/p21 and cyclin-dependent kinase inhibitor 2A (CDKN2A)/p16] and cytokines and chemokines known as SASP factors (such as IL1B, IL6, and CXCL12). Next, to clarify which pathway was related to the malignant potential of CAFs, pathway analysis for the top 30 genes was performed by using the KEGG and Reactome databases. The cellular senescence pathway was significantly enriched in both the KEGG and Reactome databases (Fig. 3C). Furthermore, Reactome pathway enrichment analysis revealed that the ‘SASP’ pathway showed the 6th strongest relationship with malignancy-related genes in CAFs.

Figure 3.

Expression of cellular senescence- and senescence-associated secretory phenotype-related genes in CAFs is related to PC cell proliferation. (A) Top 30 genes expressed by CAFs, for which the RNA level (fold-change) strongly correlates with the FIR in co-culture assays. (B) Graphical representation of the correlation between the RNA level (fold-change) of each gene and FIR. The P-value is shown on the vertical axis, and the absolute value of the correlation coefficient on the horizontal axis. Red plot: positive correlation; Blue plot: negative correlation. (C) Pathway analysis for the top 30 genes using the KEGG and Reactome databases. Text on the left indicates the enriched pathway. The ball size indicates the number of the genes enriched, and the color indicates the level of enrichment. CAF, cancer-associated fibroblasts; PC, pancreatic cancer; FIR, fluorescence intensity ratio; KEGG, Kyoto Encyclopedia of Genes and Genomes.

Expression of cellular senescence- and SASP-related genes in CAFs correlates with clinical data related to PC malignant potential

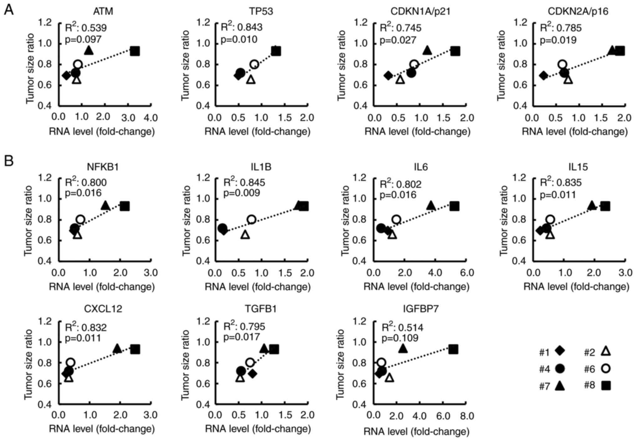
As revealed in Fig. 4, for the 8 CAF samples, the relationship between FIR and the RNA levels of genes (selected from the top 30 genes) was analyzed. Ataxia telangiectasia mutated (ATM), TP53, CDKN1A/p21, and CDKN2A/p16 were related to the p53/p21 pathway or p16/RB pathway, both of which are known as cellular senescence pathways (30–32) (Fig. 4A). SASP-related genes, such as nuclear factor kappa B subunit 1 (NFKB1), IL6, and CXCL12 are revealed in Fig. 4B. NFKB1, which is reportedly essential for SASP induction (33,34), showed a strong correlation with FIR (R2=0.703, P=0.009). Additionally, the expression of these genes without and with serum stimulation, respectively, is shown in Fig. S4. Notably, most of these genes were significantly related to the TSR (Fig. 5A and B) and to the serum CA19-9 level at the time of surgery which is related to postoperative prognosis (Fig. S5). These findings indicated that these genes may be associated with the malignant potential of CAFs.

Figure 4.

Correlation between FIR in co-culture assays and RNA level of cellular senescence- and SASP-related genes. (A) Data regarding four genes associated with the p53/p21 and p16/RB pathways. (B) Data regarding seven genes associated with SASP. Graph shows FIR on the horizontal axis, and RNA level (fold-change) of each gene on the vertical axis. The square of the correlation coefficient and the P-value are shown. Each symbol legend appears at the right below. FIR, fluorescence intensity ratio; SASP, senescence-associated secretory phenotype.

Figure 5.

Correlation between TSR and RNA level of cellular senescence- and SASP-related genes. (A) Data regarding four genes associated with the p53/p21 and p16/RB pathways. (B) Data regarding seven genes associated with SASP. Graph shows RNA level (fold-change) of each gene on the horizontal axis, and TSR on the vertical axis. The square of the correlation coefficient and the P-value are shown. Data were obtained for the six patients who received preoperative chemotherapy. Each the symbol legend appears at the right below. TSR, tumor size ratio; SASP, senescence-associated secretory phenotype.

Suppression of p53 expression in CAFs inhibits PC cell proliferation in co-culture assays

Based on the present results, focus was next addressed on the p53-mediated cellular senescence of CAFs. It was examined how CAFs treatment with the p53 inhibitor PFT-alpha altered the PC cell proliferation in co-culture assays. After 5 days of exposure to PFT-alpha, each CAF samples retained its spindle-like shape (Fig. S6) and exhibited no decrease of viability (all >90%). Upon co-culture of PSN-1 cells with DMSO-treated CAFs, a significant increase of fluorescence intensity compared with PSN-1 cells cultured alone was observed. This indicated that DMSO-treated CAFs also enhanced PSN-1 proliferation similar to untreated native CAFs. By contrast, PSN-1 co-cultured with PFT-alpha-treated CAFs showed significantly reduced fluorescence intensity compared with PSN-1 with DMSO-treated CAFs (Fig. 6A). This trend was observed in all 3 different CAFs. To further examine why the p53 inhibitor affected proliferative potential, the IL-6 concentration in the co-culture supernatant was measured. As revealed in Fig. 6B, IL-6 level significantly increased in PSN-1 cells with DMSO-treated CAFs compared with PSN-1 alone. By contrast, IL-6 level in PSN-1 co-cultured with PFT-alpha-treated CAFs was significantly reduced almost to the level of PSN-1 alone, indicating that PFT-alpha could suppress IL-6 secretion from CAFs by inhibiting p53-mediated cellular senescence, resulting in inhibition of PSN-1 proliferation.

Figure 6.

Treatment of CAFs with PFT-alpha reduces PC cell proliferation and the IL-6 concentration in the co-culture supernatant. (A) Fluorescence intensity of PC cell lines when co-cultured with DMSO-treated CAFs or PFT-alpha-treated CAFs. (B) IL-6 concentration (pg/ml) in the co-culture supernatant following co-culture with DMSO-treated CAFs or PFT-alpha-treated CAFs. The graphs show data for 3 cases, #2, #7 and #8, respectively. *P<0.05 and **P<0.01. CAF, cancer-associated fibroblast; PFT-alpha, pifithrin-alpha; PC, pancreatic cancer.

Discussion

In recent years, a deeper understanding of the interactions between stromal and cancer cells in the senescent microenvironment has been achieved. Yang et al (35) reported elevated activity of β-galactosidase in stromal fibroblasts, which resulted in senescent fibroblasts with high p53 expression and promoting tumor proliferation and migration potential in colorectal cancer. Yang et al (36) indicated the RAS-activated Gro-1 strongly induces senescence of stromal fibroblasts and those senescent fibroblasts enhance the cancer cell proliferation in ovarian cancer. In addition to the senescence of fibroblasts, SASP such as IL-6 and TNF-α induced by senescent CAFs was also reported to promote cancer cell proliferation and invasion potential in prostate and breast cancer (37,38). Nevertheless, the significance of cellular senescence of stromal cells in tumor microenvironment remains unclear due to the apparent complexity of the relationship between senescent stroma and cancer cells. Notably, these interactions seem to differ depending on the type of cancer, malignant potential of cancer cell itself and disease stage. Thus, well designed research is considered to be necessary to elucidate this topic.

In the present study, primary CAFs were examined and it was found that differences in the expression of cellular senescence and SASP-related genes in CAFs affected the PC cell proliferation. The advantage of the present study was that not primary PC cells but established cancer cell lines were used to examine the malignant potential of CAFs. Although the gene expression of CAFs may be influenced by cancer cells, the present study was able to assess the true malignancy of each CAF by conducting experiments using primary cultures of CAFs without cancer cells and unified cancer cell lines. In the current results, the same cancer cell grew differently by co-culture with different primary CAFs, indicating directly that different primary CAFs had different malignant potential. In addition, the malignant potential of each CAFs was significantly related to original age of the patient, thus it was considered that the malignant potential could be relevant to the senescence of CAFs and SASP. Actually, Toste et al (39) reported that gemcitabine-treated CAFs showed upregulated SASP cytokines, which exacerbated PC proliferation, metastasis and resistance to treatment. The present study also indicated that increased expression of cellular senescence and SASP-related genes in CAFs was correlated with tumor cell proliferation and the tumor size ratio (i.e., chemotherapy resistance). If the effects of CAF reported in the present study are similarly observed in experiments using other PC cell lines, it would be more certain that cellular senescence and SASP in CAFs increase the malignant potential of PC. It was actually examined whether the same effect could be obtained by co-culturing CAFs with other PC cell lines such as MiaPaCa-2, Panc1, TYPK1 and SUIT2. However, in the limited opportunity to use primary CAFs, it was not possible to obtain the similar results as satisfactorily as the results with PSN-1. This is possibly due to the fact that different cell types have somewhat different rates of proliferation and cell sizes; under the experimental conditions of the present study, significant differences in the effects of each CAF as observed with PSN-1 were not observed with the other cell lines.

Notably, what was important for the cancer cell proliferation was not the expression levels of senescence and SASP-related genes in the presence or absence of serum stimulation, but the increase of the expression ratio of the genes with versus without serum stimulation. Serum stimulation is known to promote cell division and cause telomere shortening and replicative senescence (40,41). Although two types of fibroblast senescence, replicative senescence and stress-induced premature senescence, are known, they are considered to be different phenomena, as reported by Dierick et al (42). Therefore, in the present study, senescence was not induced by stress factors such as irradiation or H2O2, but experiments were conducted by inducing senescence via cell culture in serum-containing medium. Therefore, the senescence changes were not stress-related but development-related under serum stimulation. In fact, based on RT-qPCR analysis, the gene expression of p53/p21-related and p16/Rb-related cellular senescence pathways including ATM, p53, p21, and p16/Rb were altered by serum stimulation, suggesting that cellular senescence is induced by serum stimulation. Therefore, it may be suggested that CAFs with higher rates of increased expression of these genes due to replicative senescence more aggressively promote SASP, which in turn promotes cancer proliferation. Meanwhile, 6 of the 8 patients in the present study had received preoperative chemotherapy containing gemcitabine. As aforementioned, since gemcitabine is reported to induce cellular senescence in CAFs (38), it was desirable to study only the sample without preoperative treatment to exclude this effect. However, neoadjuvant chemotherapy has been increasingly performed in PC, even when resectable PC, and samples without preoperative treatment were not readily available. The use of EUS-FNA samples collected prior to neoadjuvant therapy was also considered, but the volume of samples was markedly smaller than that from resected specimens, and it was considered difficult to culture sufficient quantities of fibroblasts for the experiment. If more samples without neoadjuvant chemotherapy are collected, the analysis would reflect in vivo phenomena in an improved way.

Based on our co-culture assays and PCR array results, a validation experiment focusing on TP53 was further conducted, among 11 senescence- and SASP-related genes that are considered to be related to cancer cell proliferation. Focus was addressed on TP53 because p53, the nuclear protein encoded by TP53 and one of the best-known tumor suppressor genes, plays a vital role in the induction of both cellular senescence and SASP. Additionally, the specific inhibitor of p53, PFT-alpha, reportedly alters post-translational modification patterns and differentially inhibits p53 target genes (43), such that it was relatively easy to optimize the experimental conditions (27). The results of the present study indicated that treatment of CAFs with 10 µM PFT-α attenuated the ability of CAFs to promote PC cell proliferation and this may be related to cellular senescence via the p53/p21 pathway in CAFs. Notably, in the present experiment, the supernatant medium containing PFT-alpha was completely washed out before initiating co-culturing; therefore, there was no direct effect of PFT-alpha on the cancer cells. Moreover, it was verified that PFT-alpha up to at least 10 µM did not affect the proliferation ability of cancer cells. Nevertheless, it remains unclear whether inhibition of the p53/p21 pathway by PFT-alpha directly affects secretion of the SASP factor. Further investigations are needed to address this point. Additionally, it is also understandable that numerous other SASP besides IL-6 secreted from senescent CAFs were related to cell proliferation potential of cancer cells and it has to be examined which cytokine was dominant in future research. Meanwhile, it is understandable that cellular senescence was induced not only by p53 but by other significant molecules, such as p16, thus experiments were also conducted using RRD-251, an inhibitor of the RB gene in the senescence pathway, although this result was not included because the data are very preliminary. Similar to the experiment with PFT-α, the proliferation potential of cancer cells was reduced by co-culture with RRD-251 treated CAFs, in which the senescence of CAFs was recovered by the inhibition of RB. Unfortunately, due to a lack of sample stock, these experiments were performed in only two other CAFs, but it is considered by the authors that it does provide some support for the importance of the p53/p21 cellular senescence pathway in CAFs.

The present study revealed that cellular senescence of CAFs and expression of SASP-related genes are involved in the malignant potential of PC by analyzing CAFs alone, but other parameters in addition to the age of patients may also influence the malignant potential of CAFs, such as the characteristics of the original cancer, and this requires further investigation. It is also very important to examine whether this cellular senescence of CAF is a change unique to CAFs or it also occurs in normal fibroblasts. The authors are also interested in the differences between normal fibroblasts and CAFs and primary culture of normal fibroblasts from normal pancreatic tissue in resected specimens has been attempted. However, normal fibroblasts were difficult to culture and the quality of the cells was unfortunately inadequate for the assay. The results may indicate that CAFs may have been affected in some way by the original cancer cells, thus in the next study it will be attempted to perform further assays to determine the differences between the original fibroblasts and CAFs. It is also considered that future study is needed to examine the effects of the cancer microenvironment on CAFs in terms of induction of cellular senescence.

In summary, the present data provided the first evidence, to the best of our knowledge, that p53-mediated cellular senescence and SASP of CAFs affect the malignant potential of PC cells. Thus, controlling cellular senescence and SASP in CAFs may be a new strategy for PC treatment.

Supplementary Material

Supporting Data
Supporting Data

Acknowledgements

The authors would like to thank Eiko Moriishi and Mami Ikeda (Laboratory of Immunosenescence, Center for Vaccine and Adjuvant Research, National Institutes of Biomedical Innovation, Health and Nutrition, Osaka) for sample preservation and data analyses.

Funding

The present study was supported by the following grants: AMED (grant nos. 21fk0410040h0001 and 21fk0210057h0003) and JSPS KAKENHI (grant nos. 20H03728, 19K09171 and 19K18114). The funding sources had no role in data collection, analysis, or interpretation; or in the decision to submit the article for publication.

Availability of data and materials

The datasets generated and/or analyzed during the current study are available from the corresponding author on reasonable request.

Authors' contributions

MH and HM designed the present study. ST helped to analyze data. HA, SK, ST, YI, DY, YT, TN, KG, YD, TY and HE helped to design the study. SK and TY confirm the authenticity of all the raw data. All authors read and approved the final manuscript.

Ethics approval and consent to participate

Tissue samples of human PC were collected with the approval (approval no. 18138-4) of the Human Ethics Review Committee of the Graduate School of Medicine of Osaka University (Osaka, Japan) and the National Institutes of Biomedical Innovation, Health and Nutrition, (approval no. 201-01; Osaka, Japan). Written informed consent for sample use was obtained from all patients before surgery.

Patient consent for publication

Not applicable.

Competing interests

The authors declare that they have no competing interests.

Glossary

Abbreviations

Abbreviations:

ACTA2

actin alpha 2

α-SMA

α-smooth muscle actin

ATM

ataxia telangiectasia mutated

CAF

cancer-associated fibroblasts

CDKN1A

cyclin-dependent kinase inhibitor 1A

CDKN2A

cyclin-dependent kinase inhibitor 2A

DMEM

Dulbecco's modified Eagle's medium

FAP

fibroblast activation protein

FBS

fetal bovine serum

FIR

fluorescence intensity ratio

GADPH

glyceraldehyde-3-phosphate dehydrogenase

KEGG

Kyoto encyclopedia of genes and genomes

NFKB1

nuclear factor kappa B subunit 1

PC

pancreatic cancer

PFT

pifithrin

SASP

senescence-associated secretory phenotype

TERT

telomerase reverse transcriptase

TP53

tumor protein p53

TSR

tumor size ratio

VIM

vimentin

References

1 

Siegel RL, Miller KD, Fuchs HE and Jemal A: Cancer statistics, 2022. CA Cancer J Clin. 72:7–33. 2022. View Article : Google Scholar : PubMed/NCBI

2 

Hwang RF, Moore T, Arumugam T, Ramachandran V, Amos KD, Rivera A, Ji B, Evans DB and Logsdon CD: Cancer-associated stromal fibroblasts promote pancreatic tumor progression. Cancer Res. 68:918–926. 2008. View Article : Google Scholar : PubMed/NCBI

3 

Orozco CA, Martinez-Bosch N, Guerrero PE, Vinaixa J, Dalotto-Moreno T, Iglesias M, Moreno M, Djurec M, Poirier F, Gabius HJ, et al: Targeting galectin-1 inhibits pancreatic cancer progression by modulating tumor-stroma crosstalk. Proc Natl Acad Sci USA. 115:E3769–E3778. 2018. View Article : Google Scholar : PubMed/NCBI

4 

Guan J, Zhang H, Wen Z, Gu Y, Cheng Y, Sun Y, Zhang T, Jia C, Lu Z and Chen J: Retinoic acid inhibits pancreatic cancer cell migration and EMT through the downregulation of IL-6 in cancer associated fibroblast cells. Cancer Lett. 345:132–139. 2014. View Article : Google Scholar : PubMed/NCBI

5 

Ireland L, Santos A, Ahmed MS, Rainer C, Nielsen SR, Quaranta V, Weyer-Czernilofsky U, Engle DD, Perez-Mancera PA, Coupland SE, et al: Chemoresistance in pancreatic cancer is driven by stroma-derived insulin-like growth factors. Cancer Res. 76:6851–6863. 2016. View Article : Google Scholar : PubMed/NCBI

6 

Wei L, Ye H, Li G, Lu Y, Zhou Q, Zheng S, Lin Q, Liu Y, Li Z and Chen R: Cancer-associated fibroblasts promote progression and gemcitabine resistance via the SDF-1/SATB-1 pathway in pancreatic cancer. Cell Death Dis. 9:10652018. View Article : Google Scholar : PubMed/NCBI

7 

Su S, Chen J, Yao H, Liu J, Yu S, Lao L, Wang M, Luo M, Xing Y, Chen F, et al: CD10 + GPR77 + cancer-associated fibroblasts promote cancer formation and chemoresistance by sustaining cancer stemness. Cell. 172:841–856. e162018. View Article : Google Scholar : PubMed/NCBI

8 

Pelon F, Bourachot B, Kieffer Y, Magagna I, Mermet-Meillon F, Bonnet I, Costa A, Givel AM, Attieh Y, Barbazan J, et al: Cancer-associated fibroblast heterogeneity in axillary lymph nodes drives metastases in breast cancer through complementary mechanisms. Nat Commun. 11:4042020. View Article : Google Scholar : PubMed/NCBI

9 

Elyada E, Bolisetty M, Laise P, Flynn WF, Courtois ET, Burkhart RA, Teinor JA, Belleau P, Biffi G, Lucito MS, et al: Cross-species single-cell analysis of pancreatic ductal adenocarcinoma reveals antigen-presenting cancer-associated fibroblasts. Cancer Discov. 9:1102–1123. 2019. View Article : Google Scholar : PubMed/NCBI

10 

Biffi G, Oni TE, Spielman B, Hao Y, Elyada E, Park Y, Preall J and Tuveson DA: IL1-induced JAK/STAT signaling is antagonized by TGFβ to shape CAF heterogeneity in pancreatic ductal adenocarcinoma. Cancer Discov. 9:282–301. 2019. View Article : Google Scholar : PubMed/NCBI

11 

Pilleron S, Sarfati D, Janssen-Heijnen M, Vignat J, Ferlay J, Bray F and Soerjomataram I: Global cancer incidence in older adults, 2012 and 2035: A population-based study. Int J Cancer. 144:49–58. 2019. View Article : Google Scholar : PubMed/NCBI

12 

Balducci L and Ershler WB: Cancer and ageing: A nexus at several levels. Nat Rev Cancer. 5:655–662. 2005. View Article : Google Scholar : PubMed/NCBI

13 

Lee S and Schmitt CA: The dynamic nature of senescence in cancer. Nat Cell Biol. 21:94–101. 2019. View Article : Google Scholar : PubMed/NCBI

14 

Childs BG, Gluscevic M, Baker DJ, Laberge RM, Marquess D, Dananberg J and van Deursen JM: Senescent cells: An emerging target for diseases of ageing. Nat Rev Drug Discov. 16:718–735. 2017. View Article : Google Scholar : PubMed/NCBI

15 

Micco RD, Krizhanovsky V, Baker D and di Fagagna F: Cellular senescence in ageing: From mechanisms to therapeutic opportunities. Nat Rev Mol Cell Biol. 22:75–95. 2021. View Article : Google Scholar : PubMed/NCBI

16 

Ovadya Y and Krizhanovsky V: Strategies targeting cellular senescence. J Clin Invest. 128:1247–1254. 2018. View Article : Google Scholar : PubMed/NCBI

17 

Sun Y, Coppé JP and Lam EWF: Cellular senescence: The sought or the unwanted? Trends Mol Med. 24:871–885. 2018. View Article : Google Scholar : PubMed/NCBI

18 

Kuilman T, Michaloglou C, Vredeveld LCW, Douma S, van Doorn R, Desmet CJ, Aarden LA, Mooi WJ and Peeper DS: Oncogene-induced senescence relayed by an interleukin-dependent inflammatory network. Cell. 133:1019–1031. 2008. View Article : Google Scholar : PubMed/NCBI

19 

Acosta JC, O'Loghlen A, Banito A, Guijarro MV, Augert A, Raguz S, Fumagalli M, Costa MD, Brown C, Popov N, et al: Chemokine signaling via the CXCR2 receptor reinforces senescence. Cell. 133:1006–1018. 2008. View Article : Google Scholar : PubMed/NCBI

20 

Coppé JP, Patil CK, Rodier F, Sun Y, Muñoz DP, Goldstein J, Nelson PS, Desprez PY and Campisi J: Senescence-associated secretory phenotypes reveal cell-nonautonomous functions of oncogenic RAS and the p53 tumor suppressor. PLoS Biol. 6:e3012008. View Article : Google Scholar : PubMed/NCBI

21 

Yoshimoto S, Loo TM, Atarashi K, Kanda H, Sato S, Oyadomari S, Iwakura Y, Oshima K, Morita H, Hattori M, et al: Obesity-induced gut microbial metabolite promotes liver cancer through senescence secretome. Nature. 499:97–101. 2013. View Article : Google Scholar : PubMed/NCBI

22 

Guo Y, Ayers JL, Carter KT, Wang T, Maden SK, Edmond D, Newcomb P, Li C, Ulrich C, Yu M, et al: Senescence-associated tissue microenvironment promotes colon cancer formation through the secretory factor GDF15. Aging Cell. 18:e130132019. View Article : Google Scholar : PubMed/NCBI

23 

Toso A, Revandkar A, Mitri DD, Guccini I, Proietti M, Sarti M, Pinton S, Zhang J, Kalathur M, Civenni G, et al: Enhancing chemotherapy efficacy in Pten-deficient prostate tumors by activating the senescence-associated antitumor immunity. Cell Rep. 9:75–89. 2014. View Article : Google Scholar : PubMed/NCBI

24 

Bachem MG, Schünemann M, Ramadani M, Siech M, Beger H, Buck A, Zhou S, Schmid-Kotsas A and Adler G: Pancreatic carcinoma cells induce fibrosis by stimulating proliferation and matrix synthesis of stellate cells. Gastroenterology. 128:907–921. 2005. View Article : Google Scholar : PubMed/NCBI

25 

Mukai Y, Yamada D, Eguchi H, Iwagami Y, Asaoka T, Noda T, Kawamoto K, Gotoh K, Kobayashi S, Takeda Y, et al: Vitamin D supplementation is a promising therapy for pancreatic ductal adenocarcinoma in conjunction with current chemoradiation therapy. Ann Surg Oncol. 25:1868–1879. 2018. View Article : Google Scholar : PubMed/NCBI

26 

Livak KJ and Schmittgen TD: Analysis of relative gene expression data using real-time quantitative PCR and the 2(−Delta Delta C(T)) method. Methods. 25:402–408. 2001. View Article : Google Scholar : PubMed/NCBI

27 

Crochemore C, Fernández-Molina C, Montagne B, Salles A and Ricchetti M: CSB promoter downregulation via histone H3 hypoacetylation is an early determinant of replicative senescence. Nat Commun. 10:55762019. View Article : Google Scholar : PubMed/NCBI

28 

Vasef MA, Ross JS and Cohen MB: Telomerase activity in human solid tumors. Diagnostic utility and clinical applications. Am J Clin Pathol. 112:S68–S75. 1999.PubMed/NCBI

29 

Uehara H, Nakaizumi A, Tatsuta M, Baba M, Takenaka A, Uedo N, Sakai N, Yano H, Iishi H, Ohigashi H, et al: Diagnosis of pancreatic cancer by detecting telomerase activity in pancreatic juice: Comparison with K-ras mutations. Am J Gastroenterol. 94:2513–2518. 1999. View Article : Google Scholar : PubMed/NCBI

30 

Sharpless NE and Sherr CJ: Forging a signature of in vivo senescence. Nat Rev Cancer. 15:397–408. 2015. View Article : Google Scholar : PubMed/NCBI

31 

Hara E, Smith R, Parry D, Tahara H, Stone S and Peters G: Regulation of p16CDKN2 expression and its implications for cell immortalization and senescence. Mol Cell Biol. 16:859–867. 1996. View Article : Google Scholar : PubMed/NCBI

32 

Alcorta DA, Xiong Y, Phelps D, Hannon G, Beach D and Barrett JC: Involvement of the cyclin-dependent kinase inhibitor p16 (INK4a) in replicative senescence of normal human fibroblasts. Proc Natl Acad Sci USA. 93:13742–13747. 1996. View Article : Google Scholar : PubMed/NCBI

33 

Kang C, Xu Q, Martin TD, Li MZ, Demaria M, Aron L, Lu T, Yankner BA, Campisi J and Elledge SJ: The DNA damage response induces inflammation and senescence by inhibiting autophagy of GATA4. Science. 349:aaa56122015. View Article : Google Scholar : PubMed/NCBI

34 

Strzeszewska A, Alster O, Mosieniak G, Ciolko A and Sikora E: Insight into the role of PIKK family members and NF-кB in DNAdamage-induced senescence and senescence-associated secretory phenotype of colon cancer cells. Cell Death Dis. 9:442018. View Article : Google Scholar : PubMed/NCBI

35 

Yang M, Jiang Z, Yao G, Wang Z, Sun J, Qin H and Zhao H: GALC Triggers tumorigenicity of colorectal cancer via senescent fibroblasts. Front Oncol. 10:3802020. View Article : Google Scholar : PubMed/NCBI

36 

Yang G, Rosen DG, Zhang Z, Bast RC Jr, Mills GB, Colacino JA, Mercado-Uribe I and Liu J: The chemokine growth-regulated oncogene 1 (Gro-1) links RAS signaling to the senescence of stromal fibroblasts and ovarian tumorigenesis. Proc Natl Acad Sci USA. 103:16472–16477. 2006. View Article : Google Scholar : PubMed/NCBI

37 

Taddei ML, Cavallini L, Comito G, Giannoni E, Folini M, Marini A, Gandellini P, Morandi A, Pintus G, Raspollini MR, et al: Senescent stroma promotes prostate cancer progression: The role of miR-210. Mol Oncol. 8:1729–1746. 2014. View Article : Google Scholar : PubMed/NCBI

38 

Toste PA, Nguyen AH, Kadera BE, Duong M, Wu N, Gawlas I, Tran LM, Bikhchandani M, Li L, Patel SG, et al: Chemotherapy-induced inflammatory gene signature and pro-tumorigenic phenotype in pancreatic CAFs via stress-associated MAPK. Mol Cancer Res. 14:437–447. 2016. View Article : Google Scholar : PubMed/NCBI

39 

Coppé JP, Desprez PY, Krtolica A and Campisi J: The senescence-associated secretory phenotype: The dark side of tumor suppression. Annu Rev Pathol. 5:99–118. 2010. View Article : Google Scholar : PubMed/NCBI

40 

Harley CB, Futcher AB and Greider CW: Telomeres shorten during ageing of human fibroblasts. Nature. 345:458–460. 1990. View Article : Google Scholar : PubMed/NCBI

41 

Hernandez-Segura A, Brandenburg S and Demaria M: Induction and validation of cellular senescence in primary human cells. J Vis Exp. 20:577822018.PubMed/NCBI

42 

Dierick JF, Eliaers F, Remacle J, Raes M, Fey SJ, Larsen PM and Toussaint O: Stress-induced premature senescence and replicative senescence are different phenotypes, proteomic evidence. Biochem Pharmacol. 64:1011–1017. 2002. View Article : Google Scholar : PubMed/NCBI

43 

Zhu J, Singh M, Selivanova G and Peuget S: Pifithrin-α alters p53 post-translational modifications pattern and differentially inhibits p53 target genes. Sci Rep. 10:10492020. View Article : Google Scholar : PubMed/NCBI

Related Articles

  • Abstract
  • View
  • Download
  • Twitter
Copy and paste a formatted citation
Spandidos Publications style
Higashiguchi M, Murakami H, Akita H, Kobayashi S, Takahama S, Iwagami Y, Yamada D, Tomimaru Y, Noda T, Gotoh K, Gotoh K, et al: The impact of cellular senescence and senescence‑associated secretory phenotype in cancer‑associated fibroblasts on the malignancy of pancreatic cancer. Oncol Rep 49: 98, 2023.
APA
Higashiguchi, M., Murakami, H., Akita, H., Kobayashi, S., Takahama, S., Iwagami, Y. ... Eguchi, H. (2023). The impact of cellular senescence and senescence‑associated secretory phenotype in cancer‑associated fibroblasts on the malignancy of pancreatic cancer. Oncology Reports, 49, 98. https://doi.org/10.3892/or.2023.8535
MLA
Higashiguchi, M., Murakami, H., Akita, H., Kobayashi, S., Takahama, S., Iwagami, Y., Yamada, D., Tomimaru, Y., Noda, T., Gotoh, K., Doki, Y., Yamamoto, T., Eguchi, H."The impact of cellular senescence and senescence‑associated secretory phenotype in cancer‑associated fibroblasts on the malignancy of pancreatic cancer". Oncology Reports 49.5 (2023): 98.
Chicago
Higashiguchi, M., Murakami, H., Akita, H., Kobayashi, S., Takahama, S., Iwagami, Y., Yamada, D., Tomimaru, Y., Noda, T., Gotoh, K., Doki, Y., Yamamoto, T., Eguchi, H."The impact of cellular senescence and senescence‑associated secretory phenotype in cancer‑associated fibroblasts on the malignancy of pancreatic cancer". Oncology Reports 49, no. 5 (2023): 98. https://doi.org/10.3892/or.2023.8535
Copy and paste a formatted citation
x
Spandidos Publications style
Higashiguchi M, Murakami H, Akita H, Kobayashi S, Takahama S, Iwagami Y, Yamada D, Tomimaru Y, Noda T, Gotoh K, Gotoh K, et al: The impact of cellular senescence and senescence‑associated secretory phenotype in cancer‑associated fibroblasts on the malignancy of pancreatic cancer. Oncol Rep 49: 98, 2023.
APA
Higashiguchi, M., Murakami, H., Akita, H., Kobayashi, S., Takahama, S., Iwagami, Y. ... Eguchi, H. (2023). The impact of cellular senescence and senescence‑associated secretory phenotype in cancer‑associated fibroblasts on the malignancy of pancreatic cancer. Oncology Reports, 49, 98. https://doi.org/10.3892/or.2023.8535
MLA
Higashiguchi, M., Murakami, H., Akita, H., Kobayashi, S., Takahama, S., Iwagami, Y., Yamada, D., Tomimaru, Y., Noda, T., Gotoh, K., Doki, Y., Yamamoto, T., Eguchi, H."The impact of cellular senescence and senescence‑associated secretory phenotype in cancer‑associated fibroblasts on the malignancy of pancreatic cancer". Oncology Reports 49.5 (2023): 98.
Chicago
Higashiguchi, M., Murakami, H., Akita, H., Kobayashi, S., Takahama, S., Iwagami, Y., Yamada, D., Tomimaru, Y., Noda, T., Gotoh, K., Doki, Y., Yamamoto, T., Eguchi, H."The impact of cellular senescence and senescence‑associated secretory phenotype in cancer‑associated fibroblasts on the malignancy of pancreatic cancer". Oncology Reports 49, no. 5 (2023): 98. https://doi.org/10.3892/or.2023.8535
Follow us
  • Twitter
  • LinkedIn
  • Facebook
About
  • Spandidos Publications
  • Careers
  • Cookie Policy
  • Privacy Policy
How can we help?
  • Help
  • Live Chat
  • Contact
  • Email to our Support Team