Spandidos Publications Logo
  • About
    • About Spandidos
    • Aims and Scopes
    • Abstracting and Indexing
    • Editorial Policies
    • Reprints and Permissions
    • Job Opportunities
    • Terms and Conditions
    • Contact
  • Journals
    • All Journals
    • Oncology Letters
      • Oncology Letters
      • Information for Authors
      • Editorial Policies
      • Editorial Board
      • Aims and Scope
      • Abstracting and Indexing
      • Bibliographic Information
      • Archive
    • International Journal of Oncology
      • International Journal of Oncology
      • Information for Authors
      • Editorial Policies
      • Editorial Board
      • Aims and Scope
      • Abstracting and Indexing
      • Bibliographic Information
      • Archive
    • Molecular and Clinical Oncology
      • Molecular and Clinical Oncology
      • Information for Authors
      • Editorial Policies
      • Editorial Board
      • Aims and Scope
      • Abstracting and Indexing
      • Bibliographic Information
      • Archive
    • Experimental and Therapeutic Medicine
      • Experimental and Therapeutic Medicine
      • Information for Authors
      • Editorial Policies
      • Editorial Board
      • Aims and Scope
      • Abstracting and Indexing
      • Bibliographic Information
      • Archive
    • International Journal of Molecular Medicine
      • International Journal of Molecular Medicine
      • Information for Authors
      • Editorial Policies
      • Editorial Board
      • Aims and Scope
      • Abstracting and Indexing
      • Bibliographic Information
      • Archive
    • Biomedical Reports
      • Biomedical Reports
      • Information for Authors
      • Editorial Policies
      • Editorial Board
      • Aims and Scope
      • Abstracting and Indexing
      • Bibliographic Information
      • Archive
    • Oncology Reports
      • Oncology Reports
      • Information for Authors
      • Editorial Policies
      • Editorial Board
      • Aims and Scope
      • Abstracting and Indexing
      • Bibliographic Information
      • Archive
    • Molecular Medicine Reports
      • Molecular Medicine Reports
      • Information for Authors
      • Editorial Policies
      • Editorial Board
      • Aims and Scope
      • Abstracting and Indexing
      • Bibliographic Information
      • Archive
    • World Academy of Sciences Journal
      • World Academy of Sciences Journal
      • Information for Authors
      • Editorial Policies
      • Editorial Board
      • Aims and Scope
      • Abstracting and Indexing
      • Bibliographic Information
      • Archive
    • International Journal of Functional Nutrition
      • International Journal of Functional Nutrition
      • Information for Authors
      • Editorial Policies
      • Editorial Board
      • Aims and Scope
      • Abstracting and Indexing
      • Bibliographic Information
      • Archive
    • International Journal of Epigenetics
      • International Journal of Epigenetics
      • Information for Authors
      • Editorial Policies
      • Editorial Board
      • Aims and Scope
      • Abstracting and Indexing
      • Bibliographic Information
      • Archive
    • Medicine International
      • Medicine International
      • Information for Authors
      • Editorial Policies
      • Editorial Board
      • Aims and Scope
      • Abstracting and Indexing
      • Bibliographic Information
      • Archive
  • Articles
  • Information
    • Information for Authors
    • Information for Reviewers
    • Information for Librarians
    • Information for Advertisers
    • Conferences
  • Language Editing
Spandidos Publications Logo
  • About
    • About Spandidos
    • Aims and Scopes
    • Abstracting and Indexing
    • Editorial Policies
    • Reprints and Permissions
    • Job Opportunities
    • Terms and Conditions
    • Contact
  • Journals
    • All Journals
    • Biomedical Reports
      • Information for Authors
      • Editorial Policies
      • Editorial Board
      • Aims and Scope
      • Abstracting and Indexing
      • Bibliographic Information
      • Archive
    • Experimental and Therapeutic Medicine
      • Information for Authors
      • Editorial Policies
      • Editorial Board
      • Aims and Scope
      • Abstracting and Indexing
      • Bibliographic Information
      • Archive
    • International Journal of Epigenetics
      • Information for Authors
      • Editorial Policies
      • Editorial Board
      • Aims and Scope
      • Abstracting and Indexing
      • Bibliographic Information
      • Archive
    • International Journal of Functional Nutrition
      • Information for Authors
      • Editorial Policies
      • Editorial Board
      • Aims and Scope
      • Abstracting and Indexing
      • Bibliographic Information
      • Archive
    • International Journal of Molecular Medicine
      • Information for Authors
      • Editorial Policies
      • Editorial Board
      • Aims and Scope
      • Abstracting and Indexing
      • Bibliographic Information
      • Archive
    • International Journal of Oncology
      • Information for Authors
      • Editorial Policies
      • Editorial Board
      • Aims and Scope
      • Abstracting and Indexing
      • Bibliographic Information
      • Archive
    • Medicine International
      • Information for Authors
      • Editorial Policies
      • Editorial Board
      • Aims and Scope
      • Abstracting and Indexing
      • Bibliographic Information
      • Archive
    • Molecular and Clinical Oncology
      • Information for Authors
      • Editorial Policies
      • Editorial Board
      • Aims and Scope
      • Abstracting and Indexing
      • Bibliographic Information
      • Archive
    • Molecular Medicine Reports
      • Information for Authors
      • Editorial Policies
      • Editorial Board
      • Aims and Scope
      • Abstracting and Indexing
      • Bibliographic Information
      • Archive
    • Oncology Letters
      • Information for Authors
      • Editorial Policies
      • Editorial Board
      • Aims and Scope
      • Abstracting and Indexing
      • Bibliographic Information
      • Archive
    • Oncology Reports
      • Information for Authors
      • Editorial Policies
      • Editorial Board
      • Aims and Scope
      • Abstracting and Indexing
      • Bibliographic Information
      • Archive
    • World Academy of Sciences Journal
      • Information for Authors
      • Editorial Policies
      • Editorial Board
      • Aims and Scope
      • Abstracting and Indexing
      • Bibliographic Information
      • Archive
  • Articles
  • Information
    • For Authors
    • For Reviewers
    • For Librarians
    • For Advertisers
    • Conferences
  • Language Editing
Login Register Submit
  • This site uses cookies
  • You can change your cookie settings at any time by following the instructions in our Cookie Policy. To find out more, you may read our Privacy Policy.

    I agree
Search articles by DOI, keyword, author or affiliation
Search
Advanced Search
presentation
World Academy of Sciences Journal
Join Editorial Board Propose a Special Issue
Print ISSN: 2632-2900 Online ISSN: 2632-2919
Journal Cover
November-December 2024 Volume 6 Issue 6

Full Size Image

Sign up for eToc alerts
Recommend to Library

Journals

International Journal of Molecular Medicine

International Journal of Molecular Medicine

International Journal of Molecular Medicine is an international journal devoted to molecular mechanisms of human disease.

International Journal of Oncology

International Journal of Oncology

International Journal of Oncology is an international journal devoted to oncology research and cancer treatment.

Molecular Medicine Reports

Molecular Medicine Reports

Covers molecular medicine topics such as pharmacology, pathology, genetics, neuroscience, infectious diseases, molecular cardiology, and molecular surgery.

Oncology Reports

Oncology Reports

Oncology Reports is an international journal devoted to fundamental and applied research in Oncology.

Experimental and Therapeutic Medicine

Experimental and Therapeutic Medicine

Experimental and Therapeutic Medicine is an international journal devoted to laboratory and clinical medicine.

Oncology Letters

Oncology Letters

Oncology Letters is an international journal devoted to Experimental and Clinical Oncology.

Biomedical Reports

Biomedical Reports

Explores a wide range of biological and medical fields, including pharmacology, genetics, microbiology, neuroscience, and molecular cardiology.

Molecular and Clinical Oncology

Molecular and Clinical Oncology

International journal addressing all aspects of oncology research, from tumorigenesis and oncogenes to chemotherapy and metastasis.

World Academy of Sciences Journal

World Academy of Sciences Journal

Multidisciplinary open-access journal spanning biochemistry, genetics, neuroscience, environmental health, and synthetic biology.

International Journal of Functional Nutrition

International Journal of Functional Nutrition

Open-access journal combining biochemistry, pharmacology, immunology, and genetics to advance health through functional nutrition.

International Journal of Epigenetics

International Journal of Epigenetics

Publishes open-access research on using epigenetics to advance understanding and treatment of human disease.

Medicine International

Medicine International

An International Open Access Journal Devoted to General Medicine.

Journal Cover
November-December 2024 Volume 6 Issue 6

Full Size Image

Sign up for eToc alerts
Recommend to Library

  • Article
  • Citations
    • Cite This Article
    • Download Citation
    • Create Citation Alert
    • Remove Citation Alert
    • Cited By
  • Similar Articles
    • Related Articles (in Spandidos Publications)
    • Similar Articles (Google Scholar)
    • Similar Articles (PubMed)
  • Download PDF
  • Download XML
  • View XML

  • Supplementary Files
    • Supplementary_Data1.pdf
    • Supplementary_Data2.xlsx
    • Supplementary_Data3.pdf
Article Open Access

Identification of common biomarkers affecting patient survival in cancers

  • Authors:
    • Pratik Singh
    • Mansi Patel
    • Doulat Bhowmik
    • Neha Kumari
    • Suresh Kumar Prajapati
    • Reeshu Gupta
  • View Affiliations / Copyright

    Affiliations: Parul Institute of Applied Sciences, Parul University, Vadodara, Gujarat 391760, India, Centre of Research for Development, Parul University, Vadodara, Gujarat 391760, India
    Copyright: © Singh et al. This is an open access article distributed under the terms of Creative Commons Attribution License [CC BY 4.0].
  • Article Number: 53
    |
    Published online on: July 24, 2024
       https://doi.org/10.3892/wasj.2024.268
  • Expand metrics +
Metrics: Total Views: 0 (Spandidos Publications: | PMC Statistics: )
Metrics: Total PDF Downloads: 0 (Spandidos Publications: | PMC Statistics: )
Cited By (CrossRef): 0 citations Loading Articles...

This article is mentioned in:



Abstract

The identification of genetic biomarkers that play a crucial role in cancer survival is challenging, but requires attention. The present study aimed to identify common biomarkers that affect the survival of patients with cancer. For this purpose, The Cancer Genome Atlas datasets of liver, lung, cervical and pancreatic cancers were used to identify differentially expressed genes (DEGs) that have an impact on cancer survival. The STRING database and ComplexHeatmap package were used to develop a protein‑protein interaction network and heatmaps of the DEGs, respectively. The inhibitors of DEGs were identified using CMap software. Molecular docking and molecular dynamics simulations were performed using PyRx and NAMD software. Of note, two common genes [human NDC80 kinetochore complex component (NDC80) and human disks large‑associated protein 5] in liver and lung cancers and five common genes [human minichromosome maintenance complex component (MCM)2, origin recognition complex subunit 1, cell division cycle 45, MCM3 and human DNA topoisomerase II alpha] in cervical and liver cancers were found to significantly affect overall survival. Several inhibitors of these seven common genes were identified and it was found that cytochalasin (NDC80 inhibitor) demonstrated the highest binding affinity. The results of molecular dynamics suggested that cytochalasin B can be used as a therapeutic drug in cancers with a high expression of NDC80. In addition, the present study identified unique biomarkers present in specific types of cancer and these data were validated using the c‑BioPortal database. The c‑BioPortal data analysis demonstrated that the expression of the cytochrome P450 family 2 subfamily C member 9 and acyl‑CoA dehydrogenase short chain genes, together with the American Joint Committee on Cancer Pathological Staging, can be used as prognostic markers of liver cancer recurrence (AUC value=0.71). No such data were obtained for other cancers. On the whole the present study highlights that the selection of DEGs as potential treatment targets should be based on their effects on cancer survival along with tumor stages.

Introduction

Worldwide, cancer is the primary cause of mortality and a key obstacle to extending life expectancy. According to estimates from the World Health Organization (WHO) in 2019, cancer was the first or second major cause of mortality prior to the age of 70 years in 112 of 183 countries (1). Worldwide, an estimated 19.3 million new cancer cases and almost 10.0 million cancer-related deaths occurred in 2020. The global cancer burden is expected to be 28.4 million cases by the year 2040, a 47% increase from 2020, with a larger increase in transitioning (64 to 95%) vs. transitioned (32 to 56%) countries. Some types of cancer are very common, such as lung, cervical, liver and pancreatic cancer (2). According to GLOBOCAN, lung cancer was the second most frequently diagnosed type of cancer and the leading cause of cancer-related mortality in 2020, accounting for almost one in every ten (11.4%) diagnosed cases of cancer and one in every five (18.0%) related deaths, with an anticipated 2.2 million new cancer cases and 1.8 million deaths (2). Cervical cancer is the fourth most commonly diagnosed disease and the fourth most common cause of cancer-related death among females, with 604,000 new cases and 342,000 related deaths globally (2). In 2020, primary liver cancer was the sixth most commonly diagnosed type of cancer and the third major cause of cancer-related mortality worldwide, with ~906,000 new cases and 830,000 fatalities. Pancreatic cancer is the seventh most common cause of cancer-related mortality, accounting for almost as many deaths (466,000) as diagnoses (496,000), owing to its poor prognosis (2). The pathological type and clinical stage of cancers are not the only factors used to identify the overall survival (OS) and recurrence-free survival of patients with cancer. The expression and pathways regulated by tumor genes also play a crucial role in the survival of patients with cancer (3). Identifying cancer-specific genes or biomarkers involved in cancer development and progression helps to understand cancer pathophysiology and identify therapeutic targets (4). These biomarkers can be used to predict the risk, occurrence of cancer and patient outcomes (5). Previous studies have suggested the significance of abnormally expressed genes in early diagnosis, prognosis, disease monitoring and response to therapy in liver, lung, pancreatic and cervical cancers (6-9). Therefore, research on survival-associated biomarkers may be beneficial for the treatment of these types of cancer, which may ultimately improve the OS rate of patients with cancer.

Currently, a large amount of functional genomic data have been generated owing to the development of high-throughput sequencing technology, which makes it possible to identify survival-associated cancer biomarkers by analyzing differentially expressed genes (DEGs) (10). The common issue with biomarker identification using high-throughput sequencing technologies lies in their selection and validation processes owing to the generation of large amounts of data (11). Other issues include a limited sample size, variations in sampling and experimental processes and high costs (11). To date, a number of gene expression profiling studies have been carried out in liver, lung, pancreatic and cervical cancers to identify potential biomarkers related to diagnosis, prognosis, survival, development and response to therapy (12-15). For instance, Sun et al (16) investigated the role of exosomal copine III in colorectal cancer diagnosis and prognosis. Similarly, based on DEGs, a prognostic survival model was constructed for pancreatic cancer (9). To date, these biomarkers have not been used in clinical settings. In recent years, bioinformatics has been widely used for the functional analysis of genomic and proteomic data of tumors for cancer management. Advancements in bioinformation technology, the establishment of multiple public databases, and the use of analytical methodologies have resulted in the development of sophisticated tools for analyzing and identifying DEGs (17).

The aim of the present study was to identify common biomarkers associated with the survival of patients with liver, lung, cervical and pancreatic cancers. The present study identified seven common biomarkers that affect survival in four types of cancers. These biomarkers can be further used for the therapeutic targeting of cancers.

Materials and methods

Study design

In the present study, an in silico analysis using RNA-Seq data from The Cancer Genome Atlas (TCGA) was performed (9) to identify potential biomarkers and/or therapeutic targets for four types of cancer: Lung, cervical, liver and pancreatic cancer. TCGA is a database containing a large number of molecularly characterized datasets of >20,000 tumors and matched normal samples, along with matching clinical information, such as drug exposure and survival rates (18). These genes were filtered out to identify common and unique genes for the different cancer types used in the present study. Genes that had a significant impact on the survival of patients with cancer were screened and then validated using the cBioPortal database (https://www.cbioportal.org/). The expression of genes common to at least two types of cancers was also evaluated in serum samples from patients with oral cancer. The identification of these common genes will help to identify the risk of cancer progression or therapeutic intervention in general. Cancer-associated unique biomarkers were also identified that can be used for the prognosis, diagnosis, or therapeutic management of the cancers studied in the present study.

Data resources

All available RNA-sequencing data from TCGA were retrieved using TCGAbiolinks (19). Briefly, gene count data from the available pre-processed data types were selected for four different types of cancer: i) Lung squamous cell carcinoma (TCGA-LUSC: 504 patients; age range, 41-84 years; disease stage, I, II, III and IV; normal samples, 51); ii) cervical squamous cell carcinoma and endocervical adenocarcinoma (TCGA-CESC: 307 patients; age range, 20-88 years; disease stage, I, II, III and IV; normal samples, 3); iii) liver hepatocellular carcinoma (TCGA-LIHC: 377 patients; age range, 16-90 years; disease stage, I, II and III; normal samples: 50); and iv) pancreatic adenocarcinoma (TCGA-PAAD: 185 patients; age range, 40-88 years; disease stage, I, II, III and IV; normal samples, 4).

Ethics approval

A total of 10 patients with oral cancer referred by the Parul Sevashram Hospital (Vadodara, India) were enrolled in the present study in 2023 according to the following inclusion and exclusion criteria. Inclusion criteria: Patients with biopsy proven oral cancer and who provided consent for the study were included. Exclusion criteria: i) Patients with other types of cancer; ii) patients who had undergone prior chemotherapy treatment and had known additional malignancies that progressed or required active treatment over the past 2 years; iii) patients having salivary gland disease; iv) those who did not provide consent. The blood samples (3 ml) were collected before commencing therapy and serum (~1 ml) was extracted. In addition, 5 healthy volunteers were included as the control group. All samples were collected in between February, 2023 to October, 2023. The present study was approved by the Ethics Committee of Parul University (PUIECHR/PIMSR/00/081734/5307). All methods were performed according to the relevant guidelines and regulations provided by the ethics committee of Parul University.

Differential expression analysis

To identify DEGs, the ‘DESeq2’ package was employed. To detect statistically significant genes, the package leverages the negative binomial distribution algorithm using the ‘DESeq’ function (20). Genes with counts of <100 were filtered out. Genes with an absolute log2 fold change (LFC) >1 and <1 were considered upregulated and downregulated, respectively. Genes with a false discovery rate (FDR)-adjusted P-value of <0.001 were considered statistically significant.

Interaction network construction

The protein-protein interaction (PPI) network of DEGs was constructed using the STRING database (http://string-db.org) (21). Furthermore, the list of genes was uploaded to Cytoscape software to visualize the PPI network and analyze the structural properties of the constructed network. The high confidence (value=0.7) was used to analyze the degree of connectivity in the networks in Cytoscape software (version 3.9.1). The top genes were screened based on their high degree values.

Heatmaps construction and survival analysis

The selected hub genes were used to construct a heatmap for the common genes present in various types of cancer using the ComplexHeatmap package (22). OS analysis of TCGA data was performed using the gene expression profiling interactive analysis (GEPIA) online tool (23). To date, GEPIA has >400 citations (24). GEPIA performs a survival analysis based on gene expression levels. GEPIA uses the log-rank test, often termed the Mantel-Cox test, for hypothesis evaluation. The Cox proportional hazard ratio and 95% confidence interval were also included in the survival plot. The log-rank test has optimum power under the assumption of proportional hazard rates. However, this assumption is often violated, particularly when two survival curves cross each other. In figs. 3-6, late crossing of survival curve can be seen. The authors were not able to restrict the time range in GEPIA to remove the late-stage crossover. Therefore, this may be the limitation of the present study. The cut-off criteria for log2 fold change (Log2FC) and log-rank p were set to ≥1 and <0.05, respectively.

Gene Ontology (GO) and pathway analysis

Functional enrichment analyses were performed using the WEB-based GEne SeT AnaLysis Toolkit (WebGestalt), which includes GO and Kyoto Encyclopedia of Genes and Genomes (KEGG) pathway analyses (25). This analysis was performed to determine the involvement of the DEGs in various pathways and their functions.

Reverse transcription-quantitative polymerase chain reaction (RT-qPCR)

The lung is the primary site of oral metastatic tumors, with no proven treatment (26). A recent study also supported the risk of developing lung metastasis in oral cancer (27). It has also been shown that liver cancer can metastasize to oral cancer (28-30). Therefore, the present study included patients with oral cancer to identify more effective and targeted treatments that can enhance the survival of patients with cancers that are capable of metastasizing to oral tissues. RNA extraction from the serum samples of 10 patients with oral cancer was performed using QIAzol reagent (cat. no. 79306, Qiagen Inc.), as previously described (31). Complementary DNA (cDNA) was synthesized from 500 ng RNA using a G-Biosciences cDNA synthesis kit (cat. no. 786-5020). The resulting cDNA was used for qPCR (Rotor-Gene Q, Qiagen, Inc.). qPCR was performed in triplicate with 2X SYBR-Green qPCR Master Mix from G-Biosciences (cat. no. 786-5062) under the following conditions: 95˚C for 3 min, followed by 40 cycles at 95˚C for 15 sec and 60˚C for 60 sec. The relative expression levels of the target gene mRNAs were calculated using the comparative Cq method (relative expression=2-IICq), using β-actin as an internal control (32). The primer sequences used were as follows: Human NDC80 kinetochore complex component (NDC80) forward, 5'-CCTCTCCATGCAGGAGTTAAGA-3' and reverse, GGTCTCGGGTCCTTGATTTTCT; human minichromosome maintenance complex component (MCM)3 forward, TGGCCTCCATTGATGCTACC and reverse, GGACGACTTTGGGACGAACT; human disks large-associated protein 5 (DLGAP5) forward, AAGTGGGTCGTTATAGACCTGA and reverse, TGCTCGAACATCACTCTCGTTAT; human DNA topoisomerase II alpha (TOP2A) forward, CATTGAAGACGCTTCGTTATGG and reverse, CAGAAGAGAGGGCCAGTTGTG; human β-actin forward, GGACTTCGAGCAAGAGATGG and reverse, AGCACTGTGTTGGCGTACAG.

Molecular docking

Small compounds or inhibitors were selected from the connectivity map (CMap) database (https://clue.io/about). It is an online database containing information on the relationship between small-molecule compounds and various genes (33). Briefly, the names of DEGs were uploaded into the CMap database using its query module. The connectivity score defined the correlation between DEGs and small-molecule compounds. Negative scores indicate the therapeutic potential of a drug molecule. Therefore, the maximum negative scores were selected to predict the inhibitors of specific gene types. The structure of cytochalasin B (NDC80 inhibitor) was obtained from PubChem with its compound identifier (compound identification no. 5311281). No inhibitor was found for cell division cycle 45 (CDC45), MCM and origin recognition complex subunit 1 (ORC1). Molecular docking was performed between the drug and NDC80 (Protein Data Bank ID: 2IGP) using PyRx, a virtual screening tool (34).

Molecular dynamics (MD) simulations

A simulation was performed between cytochalasin B (the drug with the highest binding affinity) and NDC80 using the NAMD3 system by applying a CHARMM force-field (35). The system build-in commands of NAMD3 were used to calculate the root mean square deviation (RMSD), root mean square fluctuation (RMSF) and radius of gyration (Rg), which were plotted using the Bio3D v2.3-0 package (http://thegrantlab.org/bio). The simulation was conducted for 50 nsec. The binding free energy (ΔG) of the drug-protein complex was calculated using the NAMD energy plugin (35).

c-BioPortal analysis

To observe the effects of the expression of common and unique genes on cancer survival, RNA-seq data were downloaded from cBioPortal (TCGA, PanCancer Atlas) (https://www.cbioportal.org/datasets) (36). Samples that held data for the following parameters were selected: RNA-seq data of cancers, American Joint Committee on Cancer (AJCC) pathological staging and survival data. AJCC staging is based on the evaluation of the T (tumor), N (nodes) and M (metastasis) components of the primary cancer and the assignment of a stage grouping. Samples were divided into high- and low-risk groups based on the cut-off value of gene expression, which was determined using the median ± 3 standard error of the mean (SEM).

Statistical analysis

Common and unique DEGs were validated using available data from the cBioPortal database (36). Gene expression values were classified as low or high based on the cut-off values. The cut-off value was obtained using the following formula: Median ± 3SEM. The anticipated rate of distant relapse was calculated using the Breslow-type estimator of the survival function (OriginLab version 2019). The receiver operating characteristic (ROC) curves and all statistical computations were performed using OriginPro version 2019. OriginPro offers advanced statistical analysis tools and apps [Origin: Data Analysis and Graphing Software (originlab.com)]. These ROC curves are based on the classification model at all classification thresholds and include two parameters: True positive rate (sensitivity) and false positive rate (1-specificity). The results of RT-qPCR were analyzed using the Students t-test (unpaired). A value of P<0.05 was considered to indicate a statistically significant difference.

Results

Identification of common biomarkers in four different solid cancers

To explore potential biomarkers of the four different tumors, mRNA sequencing (RNA-seq) analysis was performed to identify the DEGs between the tumor and normal tissues. An integrative analysis of the RNA-seq database of TCGA-LUSC (lung), TCGA-CESC (cervical), TCGA-LIHC (liver) and TCGA-PAAD (pancreatic) cancers was performed using the TCGAbiolinks package. After processing the data, a total of 16,365, 24,777, 24,893 and 25,253 genes were differentially expressed in lung, cervical, liver and pancreatic cancer, respectively, when compared to normal tissues. These DEGs were further filtered using the criteria of log fold change ≥1 and FDR <0.001. A total of 5,809 (35.49%) (upregulated, 3,156; downregulated, 2,653) genes in lung cancer, 3,043 (12.28%) (upregulated, 1,942; downregulated, 1,101) genes in cervical cancer, 6,003 (24.11%) (upregulated, 3,937; downregulated, 2,066) genes in liver cancer and 41 (0.16%) (upregulated, 32; downregulated, 9) genes in pancreatic cancer exhibited altered transcript levels when compared with normal tissues. The DEGs were then compared to identify common genes present in all four types of cancer. A total of 490 common genes (393 upregulated and 97 downregulated) were found in lung, cervical and liver cancers (Table SI). However, no genes were found to be common among the four cancer types. Common genes were used to establish a network to identify closely related genes. These networks were analyzed and 229 genes were extracted based on a high confidence score (Fig. 1). The top 70 genes were selected for further analysis based on their degree and closeness values (Table SII). Heatmap analysis revealed the upregulation of the top 70 genes in lung (Fig. 2A), cervical (Fig. 2B) and liver cancer (Fig. 2C).

Figure 1

Network analysis of the common genes present in, lung, cervical and liver cancer.

Figure 2

Heatmap analysis of top 70 common hub genes present in (A) lung, (B) cervical, and (C) liver cancer. TS, tumor sample; NS, normal sample.

Survival curves of the top 70 common genes

The survival plot demonstrated that only six genes (8.57%) in lung cancer, nine genes (12.85%) in cervical cancer, and 41 genes (58.57%) in liver cancer significantly affected the survival of patients with cancer (Table I). These results suggested that, irrespective of the significant upregulation of the remaining DEGs in the cancers examined, they play no significant role in the survival of these patients with cancer.

Table I

Common hub genes significantly affecting the survival of patients with lung, cervical and liver cancer

Table I

Common hub genes significantly affecting the survival of patients with lung, cervical and liver cancer

LungCervicalLiver
DLGAP5, NDC80, POLE2, CASC5, CHEK1, WDHD1MCM2, ORC1, CDC45, MCM3, TOP2A, PCNA, RFC4, RRM2, EXO1CDK1, CCNA2, CDC20, BUB1B, CCNB1, BUB1, KIF11, PLK1, KIF20A, DLGAP5, TOP2A, DBF4, MCM3, RAD51, MCM10, ASPM, HMMR, MCM2, MCM6, SPAG5, NDC80, ORC1, AURKA, TPX2, BIRC5, KIF4A, CLSPN, CDC45, CDC6, CDC7, MCM5, MCM4, NCAPG, FOXM1, CDCA3, TKK, CENPA, NEK2, CENPF, KIF14, CCNA2
RT-qPCR analysis of common genes present in at least two types of tumors

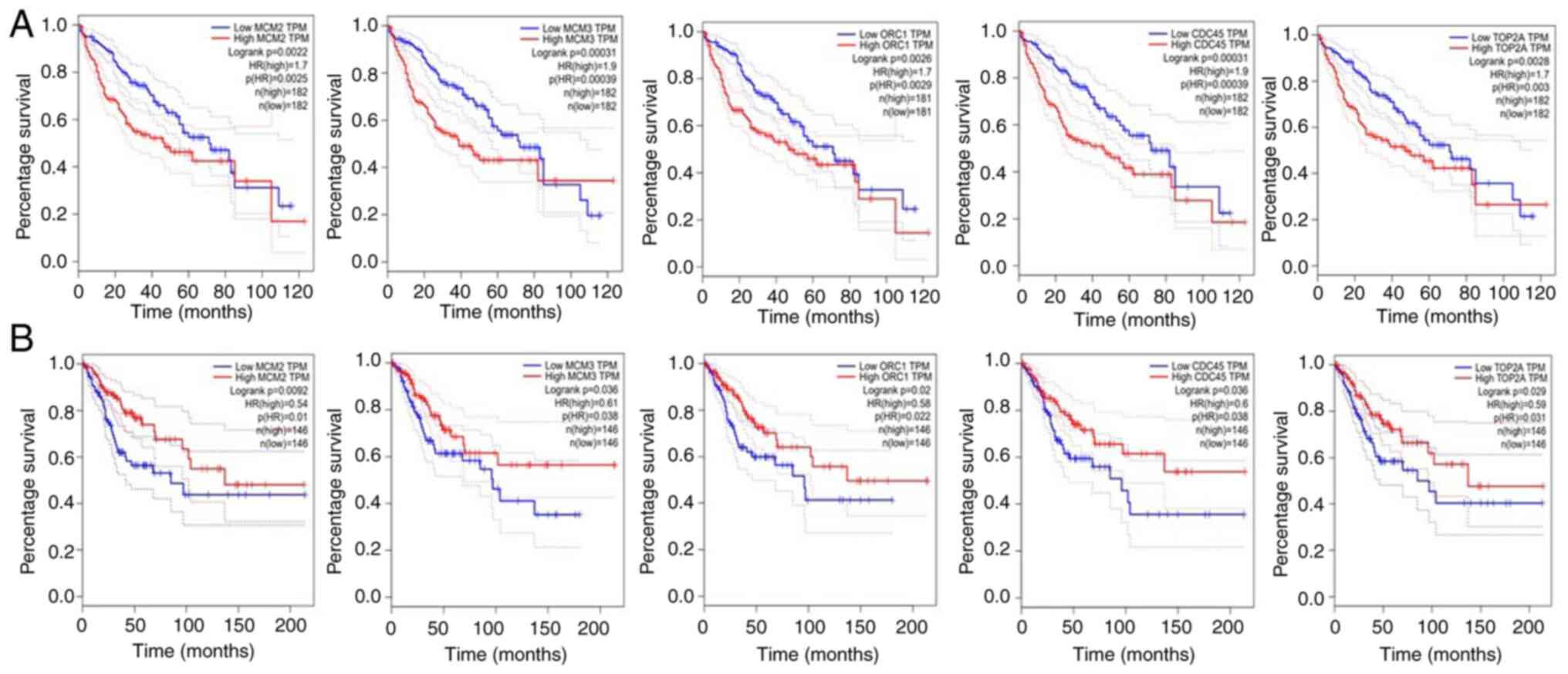
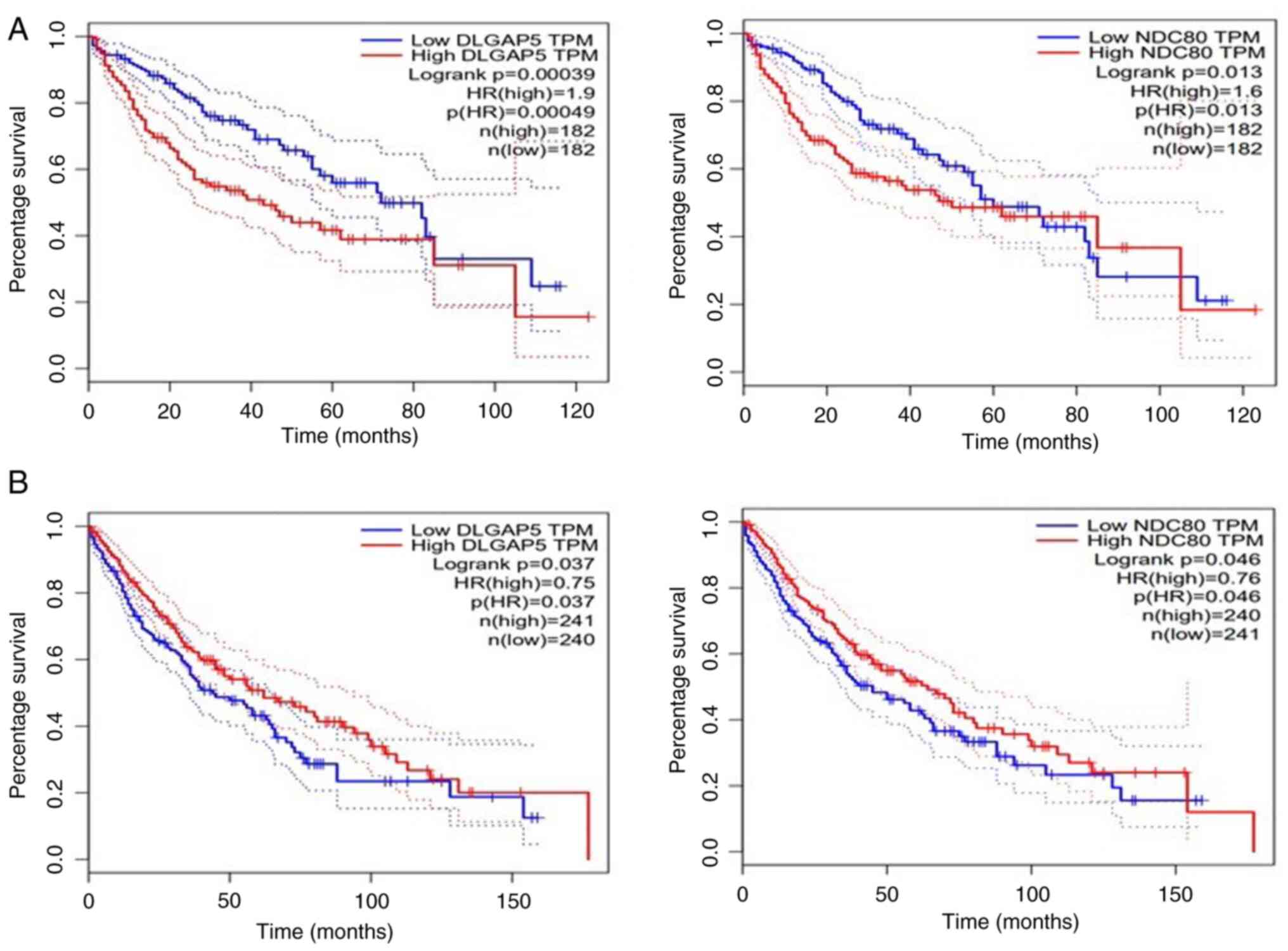
The present study then attempted to identify DEGs that were present in at least two types of tumors and had a significant impact (P<0.05) on OS. Based on these criteria, only two genes (DLGAP5 and NDC80) in lung and liver cancers, and five genes (MCM2, MCM3, ORC1, CDC45 and TOP2A) in cervical and liver cancers were identified. It was also observed that the upregulation of these genes decreased the survival of patients with liver cancer (Figs. 3A and 4A). However, the opposite results were obtained for lung (Fig. 3B) and cervical cancers (Fig. 4B). High levels of these DEGs are closely associated with longer OS in lung and cervical cancers, which may be attributed to their different intracellular locations (37). Subsequently, the significant impact of these seven genes on disease-free survival (DFS) was only observed in liver cancer (Figs. 5A and 6A). None of the genes significantly affected the DFS of lung (Fig. 5B) and cervical cancers (Fig. 6B), suggesting that these genes significantly affect the DFS of only patients with liver cancer. The log-rank test has optimum power under the assumption of proportional hazard rates. However, this assumption is often violated, particularly when two survival curves cross each other. In figs. 3-6, late crossing of survival curve can be seen. The authors were not able to restrict the time range in GEPIA to remove the late-stage crossover. Therefore, this may be the limitation of the present study. Notably, it has been proposed that when each sample size is ≥100, all the tests (Kolmogorov-Smirnov statistic, Cramér-von Mises test, Maximum of the WKM tests, and Renyi test) demonstrate powers >98% regardless of the censoring rate (38). In all the figures (Fig. 3, Fig. 4, Fig. 5 and Fig. 6), the sample size is >150 and thus it should not affect the statistical analysis.

Figure 3

Overall survival analysis of patients with a low or high expression of the DLGAP5 and NDC80 genes in (A) liver and (B) lung cancer. DLGAP5, human disks large-associated protein 5; NDC80, human NDC80 kinetochore complex component.

Figure 4

Overall survival analysis of patients with a low or high expression of the MCM2, MCM3, ORC1, CDC45 and TOP2A genes in (A) liver and (B) cervical cancer. MCM, human minichromosome maintenance complex component; ORC1, origin recognition complex subunit 1; CDC45, cell division cycle 45; TOP2A, human DNA topoisomerase II alpha.

Figure 5

DFS of patients with a low or high expression of the DLGAP5 and NDC80 genes in (A) liver, and (B) lung cancer. DFS, disease-free survival; DLGAP5, human disks large-associated protein 5; NDC80, human NDC80 kinetochore complex component.

Figure 6

DFS analysis of patients with a low or high expression of the MCM2, MCM3, ORC1, CDC45 and TOP2A genes in (A) liver, and (B) cervical cancer. DFS, disease-free survival; MCM, human minichromosome maintenance complex component; ORC1, origin recognition complex subunit 1; CDC45, cell division cycle 45; TOP2A, human DNA topoisomerase II alpha.

To increase the broad spectrum of the study, after analyzing the data on four cancers, the authors wish to evaluate the expression of common genes in other types of cancer that are relevant to the studied cancers (lung, liver, cervical and pancreatic cancer). Therefore, oral cancer samples were added to increase the broad spectrum of the study and the expression levels of all genes in serum samples from patients with oral cancer were assessed. As shown in Fig. 7A-C, in the oral cancer samples, the expression of DLGAP5 (1.53±0.22; no significant difference; Fig. 7A), MCM3 (3.56±0.42; P<0.05; Fig. 7B) and NDC80 (5.01±0.35; P<0.05; Fig. 7C) was markedly higher compared with the control (healthy donor) samples. However, the expression of TOP2A (Fig. 7D) was not markedly altered in the samples from patients with oral cancer (0.96±0.12), when compared with the healthy samples. The expression of other genes was not measurable in the serum samples of both the patients and normal samples.

Figure 7

Reverse transcription-quantitative PCR analysis of (A) DLGAP5, (B) MCM3, (C) NDC80, and (D) TOP2A genes in patients with oral cancer. NS, not significant; DLGAP5, human disks large-associated protein 5; NDC80, human NDC80 kinetochore complex component; MCM3, human minichromosome maintenance complex component 3; TOP2A, human DNA topoisomerase II alpha.

GO functional and pathway enrichment analysis

GO functional and KEGG pathway enrichment analyses were performed to identify the potential target genes. The enriched GO functions for the target genes are presented in Table SIII, including the microtubule cytoskeleton organization, mitotic cell cycle, DNA metabolic process, microtubule-based process, cell cycle, regulation of mitotic cell cycle, cell cycle process, negative regulation of cell cycle, negative regulation of mitotic cell cycle, regulation of cell cycle in the biological process category; cytoskeletal part, microtubule cytoskeleton, chromosome, chromosomal part, microtubule organizing center, nuclear chromosome, nuclear chromosome part, chromosomal region, condensed chromosome, condensed nuclear chromosome in the cellular component category; and adenosine tri-phosphate binding, microtubule binding, drug binding, tubulin binding, purine nucleotide binding, adenyl nucleotide binding, ribonucleotide binding, purine ribonucleotide binding, adenyl ribonucleotide binding, purine ribonucleoside triphosphate binding in the molecular function category. The enriched KEGG pathways for the target genes included DNA replication, progesterone-mediated oocyte maturation, cell cycle, oocyte meiosis, cellular senescence, human T-cell leukemia virus 1 infection and the p53 signaling pathway (Tables SIII and SIV).

Validation of selected common genes in the cBioPortal database

The seven common genes identified by TCGA data analysis were validated using c-BioPortal data for the specific cancer type. Patients were divided into high- and low-risk groups based on the cut-off value (median ± SEM) of gene expression and on the basis of their impact on overall survival. First, the data for two common genes (NDC80 and DLGAP5) in lung and liver cancer were validated. It was observed that out of the 133 patients with lung cancer, NDC80 was increased in only 40 patients (low-risk) (30.07%) and decreased in only 32 patients (24.06%) (high-risk). For lung cancer, the data of DLGAP5 were not available in the c-BioPortal database. Out of the 371 patients with liver cancer, a high expression of NDC80 was observed in 131 patients (high-risk) (35.30%) and a low expression was observed in 143 patients (38.54%) (low-risk). Similarly, a high expression of DLGAP5 was observed in 134 patients (high-risk) (36.11%) and a low expression was observed in 136 patients (low-risk) (36.65%). The effects of NDC80 and DLGAP5 gene expression on the survival of these patients are presented in Table II. The results suggested that only NDC80 had a significant effect on both the OS and DFS of patients with liver cancer (Table II).

Table II

Survival analysis of the common DEGs identified in lung and liver cancer from the cBioPortal database.

Table II

Survival analysis of the common DEGs identified in lung and liver cancer from the cBioPortal database.

SNGene symbolCancer typeRisk of disease (no. of patients)Survival/deceased status (no. of patients)P-value (OS)Disease free survival/recurred status (no. of patients)P-value (DFS)
1NDC80LungHigh risk (32)OS (23)0.09DFS (21)0.100348
   (CO=0.070±0.001) Deceased (9) Recurred (11) 
   Low risk (40)OS (35) DFS (33) 
    Recurred (5) Recurred (7) 
2 LiverHigh risk (131)OS (91)0.036aDFS (48) 0.002974a
   (CO=11.26±0.78) Deceased (40) Recurred (83) 
   Low risk (143)OS (115) DFS (78) 
    Deceased (28) Recurred (65) 
3DLGAP5LiverHigh risk (134)OS (89) 0.004378aDFS (49)0.675183
   (CO=9.01±0.79). Deceased (45) Recurred (40) 
   Low risk (136)OS (111) DFS (71) 
    Deceased (25) Recurred (65) 

[i] The numbers in parentheses indicate the number of patients.

[ii] aIndicates a statistically significant difference (P≤0.05). DEGs, differentially expressed genes; OS, overall survival; DFS, disease-free survival; CO, cut-off value; DLGAP5, human disks large-associated protein 5; NDC80, human NDC80 kinetochore complex component.

Subsequently, the data of five common genes (MCM2, ORC1, CDC45, MCM3 and TOP2A) identified by TCGA data analysis of cervical and liver cancer were validated using the c-BioPortal database. Of these five genes, only MCM3, CDC45 and ORC1 were found to exert significant effects on both the OS and DFS of patients with liver cancer (Table III). None of these genes significantly affected the survival rate of patients with cervical cancer.

Table III

Survival analysis of the common DEGs identified in cervical and liver cancer from cBioPortal database.

Table III

Survival analysis of the common DEGs identified in cervical and liver cancer from cBioPortal database.

SNGene symbolCancer typeExpressionDetailsP-valueDetailsP-value
1MCM2CervicalHigh risk (103)OS (88)0.48812DFS (84)0.996133
  CO=137.56±3.94 Deceased (15) Recurred (19) 
   Low risk (114)OS (101) DFS (93) 
    Deceased (13) Recurred (21) 
2 LiverHigh risk (132)OS (89) 0.015686aDFS (49)0.506711
  CO=44.62±3.54 Deceased (43) Recurred (39) 
   Low risk (133)OS (107) DFS (68) 
    Deceased (26) Recurred (65) 
3MCM3CervicalHigh risk (106)OS (94)0.953041DFS (89)0.3708
  CO=99.87±1.98 Deceased (12) Recurred (17) 
   Low risk (121)OS (107) DFS (96) 
    Deceased (14) Recurred (25) 
4 LiverHigh risk (134)OS (94) 0.033606aDFS (52) 0.011974a
  CO=68.32±3.07 Deceased (40) Recurred (82) 
   Low risk (129)OS (105) DFS (70) 
    Deceased (26) Recurred (59) 
5ORC1CervicalHigh risk (109)OS (93)0.564918DFS (85)0.211026
  CO=11.22±0.25 Deceased (16) Recurred (24) 
   Low risk (116)OS (102) DFS-98 
    Deceased (14) Recurred-18 
6 LiverHigh risk (121)OS (85) 0.01449aDFS (45) 0.018018a
  CO=5.50±0.47 Deceased (36) Recurred (76) 
   Low risk (141)OS (117) DFS (73) 
    Deceased (24) Recurred (68) 
7CDC45CervicalHigh risk (101)OS (89)0.931737DFS (79)0.272893
  CO=18.92±0.54 Deceased (12) Recurred (22) 
   Low risk (113)OS (100) DFS (95) 
    Deceased (13) Recurred (79) 
8 LiverHigh risk (137)OS (94) 0.005112aDFS (52) 0.007663a
  CO=8.11±0.64 Deceased (43) Recurred (85) 
   Low risk (141)OS (117) DFS (76) 
    Deceased (24) Recurred (65) 
9TOP2ACervicalHigh risk (104)OS (91)0.784725DFS (87)0.708667
  CO=130.7±3.68 Deceased (13) Recurred (17) 
   Low risk (115)OS (102) DFS (94) 
    Deceased (13) Recurred (21) 
10 LiverHigh (141)OS (99)0.098857DFS (54) 0.015001a
  CO=68.27±6.49 Deceased (42) Recurred (87) 
   Low (120)OS-95 DFS (64) 
    Deceased (25) Recurred (56) 

[i] The numbers in parentheses indicate the number of patients.

[ii] aIndicates a statistically significant difference (P≤0.05). DEGs, differentially expressed genes; OS, overall survival; DFS, disease-free survival; CO, cut-off value; MCM, human minichromosome maintenance complex component; ORC1, origin recognition complex subunit 1; CDC45, cell division cycle 45; TOP2A, human DNA topoisomerase II alpha.

In addition, ROC analysis was performed for these four genes (MCM3, NDC80, CDC45 and ORC1), which were found to exert a significant effect on both the OS and DFS of patients with liver cancer. The results suggested that out of these genes, only CDC45 (Fig. S1A) and ORC1 (Fig. S1B) had comparatively high area under the curve (AUC) values (0.57) compared with NDC80 (Fig. S1C) and MCM3 (AUC <0.43; Fig. S1D).

Molecular models and molecular docking of common DEGs with inhibitors

AlphaFold was used [AlphaFold Protein Structure Database (ebi.ac.uk)] to produce the tertiary structure of DEGs expressed in tumor samples through in silico projection processing of their molecular structures. Using the CMap online portal, we identified 48 inhibitors that inhibit common genes. However, the structures of 13 inhibitors were not available in the PubChem database. No inhibitors of MCM2, MCM3, CDC45 and ORC1 were found. The binding affinities of the 35 inhibitors to the remaining common genes (NDC80, DLGAP5 and TOP2A) are presented in Table SV. The inhibitor (cytochalasin B) with the highest binding affinity, was selected for MD simulations.

MD simulations

The RMSD of the backbone atoms was used to analyze the stability of the complex, as shown in Fig. 8A. The average RMSD of the complex (NDC80 and cytochalasin B) was 1.32±0.25 (8A). Furthermore, the RMSF for the NDC80-cytochalasin B complex were calculated. In the RMSF plot, residues of NDC80 and the cytochalasin B complex were found to have fewer fluctuations (average, 0.81±0.12 SEM) (Fig. 8B). Protein compactness was assessed by plotting the radius of gyration (Rg) (Fig. 8C). The Rg plot revealed the stability and compactness of the docked complex. The average value of the radius of gyration was 28.78±0.20 A˚ and it remained stable after 20 nsec, indicating the stability of the 3D protein structure during MD simulation. The results also revealed that the electrostatic (-888±90.72) and van der Waals energies (-347±16.96) of the docked complex were negative, which ultimately resulted in a negative binding energy (-122±6.25 kcal/mol). These results suggest that cytochalasin B can be used as a therapeutic drug in cancers where a high expression of NDC80 significantly affects the survival of patients.

Figure 8

Molecular dynamics simulation study of NDC80 and cytochalasin B complex. (A) Root mean square deviation, (B) root mean square fluctuations, and (C) radius of gyration for the time duration of 50 nsec. RMSD, toot mean square deviation; RMSF, root mean square fluctuations.

Identification of unique biomarkers based on DEGs in liver, lung, cervical and pancreatic cancers

TCGA data analysis demonstrated that 58.40% (3393/5809), 41.51% (1263/3042), 67.24% (4037/6003) and 21.95% (9/41) DEGs were only present in the lungs, cervical, liver and pancreatic tumors, respectively, and were absent in other tumors. Furthermore, these genes were filtered based on their impact on the survival of patients with cancer. It was observed that only three, eight and 23 genes significantly affected the survival of patients with lung, cervical and liver tumors, respectively (Table IV). The impact of these genes on the survival of patients with these cancers differed (Table SVI). These genes were then validated using c-BioPortal data of the specific cancer type. In lung cancer, none of the three genes had a significant effect on OS or DFS. In cervical cancer, out of the eight genes, the data for only six genes were available in the c-BioPortal database [Fanconi anemia complementation group M (FANCM), ubiquitin-specific peptidase 18 (USP18), colony stimulating factor 2 (CSF2), DnaJ heat shock protein family (Hsp40) member C9 (DNAJC9), fatty acid synthase (FASN) and Runt-related transcription factor 1 (RUNX1]. Notably, all patients with cervical cancer exhibited a high expression of CSF2 on the basis of cut-off value. Of the remaining five genes, only FASN was found to exert a significant impact on both the OS and DFS of patients with cervical cancer (Table V). Similarly, the expression of cytochrome P450 family 2 subfamily C member 9 (CYP2C9) and acyl-CoA dehydrogenase short chain (ACADS) in patients with liver cancer had a significant effect on both the OS and DFS.

Table IV

Unique genes significantly impacting the survival of lung, cervical and liver cancer.

Table IV

Unique genes significantly impacting the survival of lung, cervical and liver cancer.

LungCervicalLiver
ALDOC, FN1, SNPRGCSF2, SCD, DNAJC9, FANCM, USP18, FASN, RUNX1, NASPRPL38, RPS21, CYP2C9, RPL8, CYP2C8, NDUFS3, MT-CO1, MT-CYB, ABAT, ACADS, AKR1D1, AGXT2, ACAA1, SHARPIN, RPSA, RBCK1, RIPK2, RPS5, TRAF5, APOC3, ECHS1, SARDH, HSD17B8

Table V

Survival analysis of the unique DEGs identified in lung, cervical and liver cancer from the cBioPortal database.

Table V

Survival analysis of the unique DEGs identified in lung, cervical and liver cancer from the cBioPortal database.

SNCancer typeTotal no. of patientsGene symbolRisk status (no. of patients)Survival/deceased status (no. of patients)P-valueDisease free survival/recurrence status (no. of patients)P-value
1Lung133ALDOCHigh risk (37)OS-(29)0.860901DFS (27)0.839395
     Deceased (8) Recurred (10) 
    Low risk (40)OS-(32) DFS (30) 
     Deceased (8) Recurred (10) 
2  SNRPGHigh risk (43)OS (34)0.617942DFS (32)0.858053
     Deceased (9) Recurred (11) 
    Low risk (35)OS (26) DFS (32) 
     Deceased (9) Recurred (12) 
3  FN1High risk (9)OS (6)0.701063DFS (6)0.856395
     Deceased (3) Recurred (3) 
    Low risk (19)OS (14) DFS (12) 
     Deceased (5) Recurred (7) 
4Cervical304FANCMHigh risk (108)OS (98)0.003825DFS (91)0.923519
     Deceased (10) Recurred (17) 
    Low risk (111)OS (98) DFS (93) 
     Deceased (30) Recurred (18) 
5  USP18High risk (104)OS (89)0.521714DFS (82)0.414601
     Deceased (15) Recurred (22) 
    Low risk (113)OS (100) DFS (94) 
     Deceased (13) Recurred (19) 
6  DNAJC9High risk (109)OS (93)0.582174DFS (83)0.171057
     Deceased (16) Recurred (26) 
    Low risk (115)OS (101) DFS (96) 
     Deceased (14) Recurred (19) 
7  FASNHigh risk (103)OS (85) 0.016737aDFS (77) 0.007345a
     Deceased (18) Recurred (26) 
    Low risk (115)OS (107) DFS (102) 
     Deceased (8) Recurred (13) 
8  RUNX1High risk (113)OS (97)0.179014DFS (86)0.029777
     Deceased (16) Recurred (27) 
    Low risk (117)OS (107) DFS (102) 
     Deceased (10) Recurred (15) 
9Liver371RPL38High risk (127)OS (92)0.635329DFS (53)0.519766
     Deceased (35) Recurred (74) 
    Low risk (100)OS (73) DFS (46) 
     Deceased (24) Recurred (54) 
10  RPS21High risk (119)OS (84)0.226981DFS (47)0.247757
     Deceased (35) Recurred (72) 
    Low risk -(95)OS (74) DFS (45) 
     Deceased (21) Recurred (50) 
11  RPL8High risk (117)OS (90)0.989298DFS (54)0.864929
     Deceased (27) Recurred (63) 
    Low risk (100)OS (77) DFS (45) 
     Deceased (23) Recurred (55) 
12  CYP2C9High risk 116)OS (78) 0.013493aDFS (41) 0.025993a
     Deceased (38) Recurred (75) 
    Low risk (149)OS (120) DFS (73) 
     Deceased (29) Recurred (76) 
13  CYP2C8High risk (130)OS (92)0.133773DFS (51)0.104747
     Deceased (38) Recurred (79) 
    Low risk (145)OS (114) DFS (71) 
     Deceased (31) Recurred (74) 
14  NDUFS3High risk (136)OS (101)0.672898DFS (60)0.90272
     Deceased (35) Recurred (76) 
    Low risk (136)OS (104) DFS (59) 
     Deceased (32) Recurred (77) 
15  ABATHigh risk (125)OS (85)0.038715DFS (47)0.050122
     Deceased (40) Recurred (78) 
    Low risk (152)OS (120) DFS (75) 
     Deceased (32) Recurred (77) 
16  ACADSHigh risk (127)OS (85) 0.014895aDFS (49) 0.007165a
     Deceased (42) Recurred (78) 
    Low risk (136)OS (109) DFS (75) 
     Deceased (27) Recurred (61) 
17  AKR1D1High risk (95)OS (66)0.125758DFS (36)0.071368
     Deceased (29) Recurred (59) 
    Low risk (131)OS (102) DFS (65) 
     Deceased (28) Recurred (65) 
18  AGXT2High risk (131)OS (95)0.187204DFS (55)0.188999
     Deceased (36) Recurred (76) 
    Low risk (136)OS (108) DFS (68) 
     Deceased (28) Recurred (68) 
19  ACAA1High risk (139)OS (99)0.121543DFS (53)0.024599
     Deceased (40) Recurred (86) 
    Low risk-(144)OS (114) DFS (77) 
     Deceased (30) Recurred (76) 
20  SHARPINHigh risk -(132)OS (103)0.777398DFS (61)0.786172
     Deceased (28) Recurred (70) 
    Low risk -(132)OS (98) DFS (57) 
     Deceased (29) Recurred (70) 
21  RPSAHigh risk (122)OS (86)0.165274DFS (49)0.218615
     Deceased (37) Recurred (74) 
    Low risk (113)OS (88) DFS (54) 
     Deceased-(25) Recurred (59) 
22  RBCK1High risk (128)OS (94)0.801019DFS (65)0.354948
     Deceased (34) Recurred (63) 
    Low risk (131)OS (98) DFS (59) 
     Deceased (33) Recurred (72) 
23  RIPK2High risk (127)OS (91)0.265504DFS (53)0.08948
     Deceased (36) Recurred (74) 
    Low risk (130)OS (101) DFS (68) 
     Deceased (29) Recurred (62) 
24  RPS5High risk (114)OS (78)0.136647DFS (45)0.348421
     Deceased (36) Recurred (69) 
    Low risk (114)OS (88) DFS (52) 
     Deceased (26) Recurred (62) 
25  TRAF5High risk (139)OS (100)0.36903DFS (55)0.161267
     Deceased (39) Recurred (84) 
    Low risk (129)OS (99) DFS (62) 
     Deceased (30) Recurred (67) 
26  APOC3High risk (121)OS (87)0.215545DFS (49)0.07654
     Deceased (34) Recurred (72) 
    Low risk (144)OS (113) DFS (74) 
     Deceased (31) Recurred (70) 
27  ECHS1High risk (128)OS (97)0.630766DFS (54)0.20164
     Deceased (31) Recurred (74) 
    Low risk (138)OS (108) DFS (69) 
     Deceased (30) Recurred (69) 
28  SARDHHigh risk (133)OS (92)0.071347DFS (52)0.046716
     Deceased (41) Recurred (81) 
    Low risk (128)OS (111) DFS (72) 
     Deceased (30) Recurred (69) 
29  HSD17B8High risk (127)OS (91)0.436891DFS (48)0.06633
     Deceased (36) Recurred (79) 
    Low risk (107)OS (107) DFS (69) 
     Deceased (34) Recurred (72) 

[i] The numbers in parentheses indicate the number of patients.

[ii] aIndicates a statistically significant difference (P≤0.05). DEGs, differentially expressed genes; OS, overall survival; DFS, disease-free survival; CO, cut-off value.

Recurrence analysis

Recurrence analysis was performed only for FASN in cervical cancer, and for CYP2C9 and ACADS in patients with liver cancer. For the recurrence analysis, subjects with no follow-up data and recurrence status were excluded. The AUC value of FASN was 0.57, and the AUC value of CYP2C9 and ACADS was 0.56 and 0.59, respectively. Due to the low number of patients with stage II, III and IV diseases, both the patients with cervical and liver cancer were divided into two groups. Group I included all patients with stage I cancer (low risk), and group II included all other remaining patients with stage II, III or IV cancer (high risk). ROC analysis was conducted using OriginPro statistical software, and the AUC value was calculated. A total of 66 patients with cervical cancer had AJCC stage I tumors, while 52 patients were classified as either stage II, III, or stage IV. Combining the gene expression of FASN with tumor stage in cervical cancer slightly decreased the AUC value (0.56). These results suggest that tumor stage does not play a significant role in the recurrence of cervical cancer. A total of 265 patients with liver cancer had stage I tumors, while 69 patients had stage II, III, or IV tumors. Combining CYP2C9 and ACADS expression with TNM stage enhanced the AUC value to 0.71 in liver cancer, suggesting that the expression of these genes together with tumor stage can be used as prognostic markers for liver cancer recurrence (39).

Discussion

Surgery, radiotherapy and chemotherapy are the standard treatments for the types of cancer examined in the present study. However, in recent years, treatments targeting specific genes or proteins have also been used for cancer treatment, especially in cases of metastatic disease. For example, monoclonal antibodies targeting specific receptors, such as bevacizumab (avastin), are used in non-small cell lung carcinoma and cervical cancer (40), whereas nivolumab, pembrolizumab, ramucirumab, nivolumab/ipilimumab, atezolizumab/bevacizumab, and tremelimumab/durvalumab are used for hepatocellular carcinoma (41). None of the monoclonal antibodies have been approved for pancreatic cancer. However, no significant difference in the OS of patients has been found in recent years compared to previous years. For example, it was shown that the OS of avastin-treated patients with lung cancer was 18.5 months in 2014(42) and 16.3 months in 2021(43). Hence, the management of recurrence and OS remains a challenge in the field of cancer therapeutics. Therefore, it is critical to identify survival-related biomarkers that can be subsequently used to separate patients into high- or low-risk groups to enhance treatment efficacy.

The present study focused on genes affecting the OS and DFS of patients with four types of cancer. A dataset from TCGA for these types of cancer was used to identify the DEGs. Liver and pancreatic cancers had the largest and smallest number of DEGs, respectively. The present study identified the top 70 DEGs that were common in the three types of cancer, excluding pancreatic cancer. Of these 70 common genes, only a few genes in each cancer type had a significant impact on OS. For instance, only two genes (DLGAP4 and NDC80) in liver and lung cancer and five genes (MCM2, MCM3, ORC1, CDC45 and TOP2A) in liver and cervical cancer were common, which significantly affected the OS of patients with cancer. These common genes have also been reported previously. For example, DLGAP4 and NDC80 act as effective prognostic markers for liver and lung cancers, and are closely related to tumor progression and metastasis (44-48). DLGAP5 is a microtubule-associated protein that plays an oncogenic role in tumorigenesis, including lung cancer and hepatocellular carcinoma (49). For instance, it has been shown that the high expression of DLGAL5 is associated with a poor response to immunotherapy and promotes proliferation via cell cycle-related pathways in lung cancer, such as p53 and DNA replication (46). Similarly, the OS of patients with hepatocellular carcinoma exhibiting a high expression of DLGAP5 has been found to be low (45). It has also been shown that PRC1 and DLGAP5 are co-expressed in proliferative T-cells that actively participate in immune escape by liver cancer cells and thereby are independent risk factors for poor survival (50). These studies suggest that DLGAP5 plays a key role in suppressing the immune response to immunotherapy, and thus, inhibitors targeting DLGAP5 along with immunotherapy may enhance the immune response to immunotherapy. NDC80 (also known as Hec1), a fundamental component of the outer kinetochore and mitotic regulator, is of particular relevance, as it has a demonstrable link with cancer progression (47). For example, a high NDC80 expression has been found to be associated with the poor survival of patients with hepatocellular carcinoma and liver cancer cell lines (51). The silencing of NDC80 has been shown to significantly reduce hepatic cancer cell proliferation, colony formation, increased apoptosis, cell cycle arrest at the S-phase and hepatitis B virus-related hepatocellular carcinoma (47,52). Similarly, the increased expression of NDC80 has been shown to induce therapeutic radioresistance by promoting autophagy in lung cancer (48). These studies suggest the significance of NDC80 silencing or inhibition in reducing cancer proliferation and therapeutic resistance. The results of the present study also suggest that the expression of DLGAP5 and NDC80 are significantly increased in both liver and lung cancer. However, the results of GEPIA2 analysis demonstrated that the high expression of these two genes enhanced the survival of patients with lung cancer, while reducing the OS of patients with liver cancer patients. The opposite role of these genes in lung and liver cancer may be due to various factors, such as intracellular location of genes and associated mechanisms, which might affect drug sensitivity and thus, survival in these cancer patients. In the present study, it was observed that cytochalasin B was a potent NDC80 inhibitor that can be used to enhance the survival of patients with cancer, where a high expression contributes to poor survival.

The expression of MCM2, MCM3, ORC1, CDC45 and TOP2A has also been shown to be significantly increased in liver and cervical cancers (37,53-60). These genes are involved in DNA replication and cell cycle (58,60-63). It was found that all five genes were common in liver and cervical cancer, and the expression of these genes significantly affected the survival of both cancers. The results of the GEPIA2 analysis demonstrated the opposite effect on survival in patients with liver and cervical cancer. For example, the OS of patients with cervical cancer exhibiting high transcript per million of these genes was high, whereas the opposite results were observed for patients with liver cancer. Additionally, all seven common genes only affected DFS in the case of liver cancer. Several anticancer drugs, such as pembrolizumab, entrectinib and larotrectinib have been used in clinical settings to treat tumors with common molecular features (64). Furthermore, pharmacogenomics-guided therapeutic decisions help enhance the precision of cancer therapy and improve the outcomes of patients in clinical practice. However, the present study suggests that although the common genes may be used for the diagnosis or prognosis of patients with cancer, they should be used to identify the risk of cancer or for therapeutic intervention only after verifying their role in cancer survival. This is due to the reason that although the genes could be differentially expressed at the significant level, they may not significantly affect survival. Moreover, the effect of specific genes on survival may vary depending on cancer type. After validating TCGA data with the data from the c-BioPortal database, it was suggested that only two genes, CDC45 and ORC1, can be used for the prognosis of patients with liver cancer progression due to their effects on OS and DFS, and a comparatively high AUC value.

The present study also identified three, eight and 23 unique DEGs in lung, cervical and liver tumors, respectively, which had a significant effect on survival. These genes are unique and are only present in specific types of cancer. To determine whether these DEGs could be used for the survival prediction of these cancers, the data were validated using the cBioPortal database. FASN has been found to be associated with several hallmarks of cancer and to promote cell proliferation through membrane biosynthesis. A high gene expression has been observed in advanced stages of cervical cancer, and it has been shown that the use of a FASN inhibitor arrests the cell cycle and autophagy in cervical cancer (65). The present study also observed a high expression of FASN and its association with both OS and DFS. However, due to its low ROC value, this gene cannot be used for the diagnosis or prognosis of patients with cervical cancer. The results support the protein atlas data, where the expression of FASN was not considered a prognostic biomarker in cervical cancer. CYP2C9 is an enzyme that is involved in drug metabolism. Hypoxia-inducible CYP2C9 enhances drug resistance in liver cancer stem cells (66). ACADS encodes key metabolic enzymes that are associated with the metabolic reactions involved in liver cancer proliferation and metastasis and is highly likely that ACADS could be a novel therapeutic target in liver cancer (67). According to the protein atlas, both CYP2C9 and ACADS can be used as prognostic markers for liver cancer. The present study also observed that CYP2C9 and ACADS in liver cancer significantly affected the OS and DFS of patients. Previous studies have demonstrated that tumor stage and a combination of biomarker panels can better predict the prognosis of recurrence or survival (68,69). Therefore, the present study analyzed the effects of these genes together with the AJCC pathological staging on cancer recurrence. It was suggested that the expression of CYP2C9 and ACADS, together with tumor stage, may be used as prognostic markers for liver cancer recurrence due to their comparatively higher ROC values (vs. other genes). However, furthers investigation of the site identification of DEGs are required, which may lead to the discovery of specific targeted drugs and more precise targeted therapy.

In conclusion, the present study identified two common genes in liver and lung cancers, and five common genes in liver and cervical cancers. However, only two common genes, CDC45 and ORC1, can be used for the prognosis of liver cancer owing to their effects on OS, DFS and comparatively higher AUC values. Similarly, three, eight and 23 genes were unique to lung, cervical and liver tumors, respectively. However, when these data were validated using the cBioPortal dataset, it was identified that only the CYP2C9 and ACADS genes, along with tumor stage, could be used for the prognosis or diagnosis of recurrence in liver cancer when compared with lung and cervical cancer. However, the present study did not measure the expression of DEGs at translational levels in either of the cancers examined. Thus, this is a limitation of the present study. In future studies, the authors aim to investigate the expression of common genes at both the transcriptional and translational labels in all the types of cancer examined herein.

It is suggested that the identification of therapeutic targets in future studies should focus on DEGs and their impact on survival, cancer type and stage. The reason for this is that the genes can be differentially expressed at significant levels, but they may not significantly affect survival or recurrence.

Supplementary Material

AUC curve of (A) CDC45, (B) ORC1, (C) NDC80, and (D) MCM3 in samples from patients with liver cancer. AUC, area under the curve; CDC45, cell division cycle 45; ORC1, origin recognition complex subunit 1; NDC80, human NDC80 kinetochore complex component; MCM3, human minichromosome maintenance complex component 3.
AUC curve of (A) FASN alone and with tumor stages in cervical cancer (B) CYP2C9, ACADS alone and with tumor stages in liver cancer. AUC, area under the curve; CYP2C9, cytochrome P450 family 2 subfamily C member 9; ACADS, acyl-CoA dehydrogenase short chain.
Significant differentially expressed genes in lung, liver, cervical and pancreatic cancer.
Top 70 common hub genes that are expressed in lung, cervical and liver cancer.
Go function and pathway enrichment analysis of seven common genes in lung, cervical and liver cancer.
KEGG pathways analysis of seven common genes in lung, cervical, and liver cancer.
Binding affinity of inhibitors with the common genes present in at least two types of cancer.
Effects of the high expression of unique DEGs on the survival of patients with lung, cervical and liver cancer.

Acknowledgements

Not applicable.

Funding

Funding: Intramural funding was received from Parul University for the present study (grant no. CR4D/IMSL/084).

Availability of data and materials

The datasets used and/or analyzed during the current study are available from the corresponding author on reasonable request.

Authors' contributions

PS, NK and DB performed all the analyses. PS, MP and SKP performed the experimental work on the patient samples. RG was responsible for the conceptualization of the study and for the drafting of the manuscript. PS and RG confirm the authenticity of all the raw data. All the authors have read and approved the final manuscript.

Ethics approval and consent to participate

The present study was approved by the Ethics Committee of Parul University (PUIECHR/PIMSR/00/081734/5307). All methods were performed according to the relevant guidelines and regulations provided by the Ethics Committee of Parul University. Informed consent was obtained from all the participants to participate in the study.

Patient consent for publication

Not applicable.

Competing interests

The authors declare that they have no competing interests.

References

1 

World Health Organization (WHO): Global health estimates 2020: Deaths by cause, age, sex, by country and by region, 2000-2019. WHO, Geneva, 2019.

2 

Sung H, Ferlay J, Siegel RL, Laversanne M, Soerjomataram I, Jemal A and Bray F: Global cancer statistics 2020: GLOBOCAN estimates of incidence and mortality worldwide for 36 cancers in 185 countries. CA Cancer J Clin. 71:209–249. 2021.PubMed/NCBI View Article : Google Scholar

3 

Wang Z, Guo M, Ai X, Cheng J, Huang Z, Li X and Chen Y: Identification of potential diagnostic and prognostic biomarkers for colorectal cancer based on GEO and TCGA databases. Front Genet. 11(602922)2020.PubMed/NCBI View Article : Google Scholar

4 

Sathishkumar K, Chaturvedi M, Das P, Stephen S and Mathur P: Cancer incidence estimates for 2022 & projection for 2025: Result from national cancer registry programme, India. Indian J Med Res. 156:598–607. 2022.PubMed/NCBI View Article : Google Scholar

5 

Zhang PW, Chen L, Huang T, Zhang N, Kong XY and Cai YD: Classifying ten types of major cancers based on reverse phase protein array profiles. PLoS One. 10(e0123147)2015.PubMed/NCBI View Article : Google Scholar

6 

Gao S, Gang J, Yu M, Xin G and Tan H: Computational analysis for identification of early diagnostic biomarkers and prognostic biomarkers of liver cancer based on GEO and TCGA databases and studies on pathways and biological functions affecting the survival time of liver cancer. BMC Cancer. 21(791)2021.PubMed/NCBI View Article : Google Scholar

7 

Liu P, Li H, Liao C, Tang Y, Li M, Wang Z, Wu Q and Zhou Y: Identification of key genes and biological pathways in Chinese lung cancer population using bioinformatics analysis. PeerJ. 10(e12731)2022.PubMed/NCBI View Article : Google Scholar

8 

Yang HJ, Xue JM, Li J, Wan LH and Zhu YX: Identification of key genes and pathways of diagnosis and prognosis in cervical cancer by bioinformatics analysis. Mol Genet Genomic Med. 8(e1200)2020.PubMed/NCBI View Article : Google Scholar

9 

Xie LY, Huang HY, Fang T, Liang JY, Hao YL, Zhang XJ, Xie YX, Wang C, Tan YH and Zeng L: A prognostic survival model of pancreatic adenocarcinoma based on metabolism-related gene expression. Front Genet. 13(804190)2022.PubMed/NCBI View Article : Google Scholar

10 

Yin LK, Yuan HY, Liu JJ, Xu XL, Wang W, Bai XY and Wang P: Identification of survival-associated biomarkers based on three datasets by bioinformatics analysis in gastric cancer. World J Clin Cases. 11:4763–4787. 2023.PubMed/NCBI View Article : Google Scholar

11 

Patel KD, Vora HH and Patel PS: Transcriptional biomarkers in oral cancer: An integrative analysis and the cancer genome atlas validation. Asian Pac J Cancer Prev. 22:371–380. 2021.PubMed/NCBI View Article : Google Scholar

12 

Veyel D, Wenger K, Broermann A, Bretschneider T, Luippold AH, Krawczyk B, Rist W and Simon E: Biomarker discovery for chronic liver diseases by multi-omics-a preclinical case study. Sci Rep. 10(1314)2020.PubMed/NCBI View Article : Google Scholar

13 

Wang F, Su Q and Li C: Identidication of novel biomarkers in non-small cell lung cancer using machine learning. Sci Rep. 12(16693)2022.PubMed/NCBI View Article : Google Scholar

14 

O'Neill RS and Stoita A: Biomarkers in the diagnosis of pancreatic cancer: Are we closer to finding the golden ticket? World J Gastroenterol. 27:4045–4087. 2021.PubMed/NCBI View Article : Google Scholar

15 

Kori M and Arga KY: Potential biomarkers and therapeutic targets in cervical cancer: Insights from the meta-analysis of transcriptomics data within network biomedicine perspective. PLoS One. 13(e0200717)2018.PubMed/NCBI View Article : Google Scholar

16 

Sun B, Li Y, Zhou Y, Ng TK, Zhao C, Gan Q, Gu X and Xiang J: Circulating exosomal CPNE3 as a diagnostic and prognostic biomarker for colorectal cancer. J Cell Physiol. 234:1416–1425. 2019.PubMed/NCBI View Article : Google Scholar

17 

Han J, Chen M, Wang Y, Gong B, Zhuang T, Liang L and Qiao H: Identification of biomarkers based on differentially expressed genes in papillary thyroid carcinoma. Sci Rep. 8(9912)2018.PubMed/NCBI View Article : Google Scholar

18 

Neary B, Zhou J and Qiu P: Identifying gene expression patterns associated with drug-specific survival in cancer patients. Sci Rep. 11(5004)2021.PubMed/NCBI View Article : Google Scholar

19 

Colaprico A, Silva TC, Olsen C, Garofano L, Cava C, Garolini D, Sabedot TS, Malta TM, Pagnotta SM, Castiglioni I, et al: TCGAbiolinks: An R/Bioconductor package for integrative analysis of TCGA data. Nucleic Acids Res. 44(e71)2016.PubMed/NCBI View Article : Google Scholar

20 

Love MI, Huber W and Anders S: Moderated estimation of fold change and dispersion for RNA-seq data with DESeq2. Genome Biol. 15(550)2014.PubMed/NCBI View Article : Google Scholar

21 

von Mering C, Huynen M, Jaeggi D, Schmidt S, Bork P and Snel B: STRING: A database of predicted functional associations between proteins. Nucleic Acids Res. 31:258–261. 2003.PubMed/NCBI View Article : Google Scholar

22 

Gu Z, Eils R and Schlesner M: Complex heatmaps reveal patterns and correlations in multidimensional genomic data. Bioinformatics. 32:2847–2849. 2016.PubMed/NCBI View Article : Google Scholar

23 

Tang Z, Li C, Kang B, Gao G, Li C and Zhang Z: GEPIA: A web server for cancer and normal gene expression profiling and interactive analyses. Nucleic Acids Res. 45:W98–W102. 2017.PubMed/NCBI View Article : Google Scholar

24 

Tang Z, Kang B, Li C, Chen T and Zhang Z: GEPIA2: An enhanced web server for large-scale expression profiling and interactive analysis. Nucleic Acids Res. 47:W556–W560. 2019.PubMed/NCBI View Article : Google Scholar

25 

Liao Y, Wang J, Jaehnig EJ, Shi Z and Zhang B: WebGestalt 2019: Gene set analysis toolkit with revamped UIs and APIs. Nucleic Acids Res. 47:W199–W205. 2019.PubMed/NCBI View Article : Google Scholar

26 

Picot E, Jouan R, Bach E, Murcier G and Borgnat F: Oral metastasis of pulmonary adenocarcinoma: Diagnosis and treatment. J Oral Med Oral Surg. 25:9–12. 2019.

27 

Yu D, Guo R and Zhu L: The risk and prognostic factors for lung metastases in oral squamous cell carcinoma: A population-based analysis of the SEER database. J Stomatol Oral Maxillofac Surg. 125(101713)2024.PubMed/NCBI View Article : Google Scholar

28 

Hong JH, Lee K, Kim J and Ahn KM: Prognosis of hepatocellular carcinoma metastasizing to the oral cavity. Maxillofac Plast Reconstr Surg. 43(9)2021.PubMed/NCBI View Article : Google Scholar

29 

Misra SR, Shankar YU, Rastogi V and Maragathavalli G: Metastatic hepatocellular carcinoma in the maxilla and mandible, an extremely rare presentation. Contemp Clin Dent. 6:S117–S121. 2015.PubMed/NCBI View Article : Google Scholar

30 

Pires RS, Sagarra R, Corrêa ME, Pereira CM, Vargas PA and Lopes MA: Oral metastasis of a hepatocellular carcinoma. Oral Surg Oral Med Oral Pathol Oral Radiol Endod. 97:359–368. 2004.PubMed/NCBI View Article : Google Scholar

31 

Yin L, Gupta R, Vaught L, Grosche A, Okunieff P and Vidyasagar S: An amino acid-based oral rehydration solution (AA-ORS) enhanced intestinal epithelial proliferation in mice exposed to radiation. Sci Rep. 6(37220)2016.PubMed/NCBI View Article : Google Scholar

32 

Livak KJ and Schmittgen TD: Analysis of relative gene expression data using real-time quantitative PCR and the 2(-Delta Delta C(T)) method. Methods. 25:402–408. 2001.PubMed/NCBI View Article : Google Scholar

33 

Youens-Clark K, Faga B, Yap IV, Stein L and Ware D: CMap 1.01: A comparative mapping application for the internet. Bioinformatics. 25:3040–3042. 2009.PubMed/NCBI View Article : Google Scholar

34 

Dallakyan S and Olson AJ: Small-molecule library screening by docking with PyRx. Methods Mol Biol. 1263:243–250. 2015.PubMed/NCBI View Article : Google Scholar

35 

Phillips JC, Hardy DJ, Maia JDC, Stone JE, Ribeiro JV, Bernardi RC, Buch R, Fiorin G, Hénin J, Jiang W, et al: Scalable molecular dynamics on CPU and GPU architectures with NAMD. J Chem Phys. 153(044130)2020.PubMed/NCBI View Article : Google Scholar

36 

Cerami E, Gao J, Dogrusoz U, Gross BE, Sumer SO, Aksoy BA, Jacobsen A, Byrne CJ, Heuer ML, Larsson E, et al: The cBio cancer genomics portal: An open platform for exploring multidimensional cancer genomics data. Cancer Discov. 2:401–404. 2012.PubMed/NCBI View Article : Google Scholar

37 

Sun Y, Cheng Z and Liu S: MCM2 in human cancer: Functions, mechanisms, and clinical significance. Mol Med. 28(128)2022.PubMed/NCBI View Article : Google Scholar

38 

Li H, Han D, Hou Y, Chen H and Chen Z: Statistical inference methods for two crossing survival curves: A comparison of methods. PLoS One. 10(e0116774)2015.PubMed/NCBI View Article : Google Scholar

39 

von Eyben FE, Madsen EL, Fritsche H, Suciu G, Liu F and Amato R: A new prognostic model for testicular germ cell tumours. APMIS. 111:100–105. 2003.PubMed/NCBI View Article : Google Scholar

40 

Aghbash PS, Hemmat N, Fathi H and Baghi HB: Monoclonal antibodies in cervical malignancy-related HPV. Front Oncol. 12(904790)2022.PubMed/NCBI View Article : Google Scholar

41 

Psilopatis I, Damaskos C, Garmpi A, Sarantis P, Koustas E, Antoniou EA, Dimitroulis D, Kouraklis G, Karamouzis MV, Vrettou K, et al: FDA-approved monoclonal antibodies for unresectable hepatocellular carcinoma: What do we know so far? Int J Mol Sci. 24(2685)2023.PubMed/NCBI View Article : Google Scholar

42 

Zhou CC, Bai CX, Guan ZZ, Jiang GL, Shi YK, Wang MZ, Wu YL, Zhang YP and Zhu YZ: Safety and efficacy of first-line bevacizumab combination therapy in Chinese population with advanced non-squamous NSCLC: Data of subgroup analyses from MO19390 (SAiL) study. Clin Transl Oncol. 16:463–468. 2014.PubMed/NCBI View Article : Google Scholar

43 

Wan R, Dong X, Chen Q, Yu Y, Yang S, Zhang X, Zhang G, Pan Y, Sun S, Zhou C, et al: Efficacy and safety of MIL60 compared with bevacizumab in advanced or recurrent non-squamous non-small cell lung cancer: A phase 3 randomized, double-blind study. EClinicalMedicine. 42(101187)2021.PubMed/NCBI View Article : Google Scholar

44 

Dong C, Huang S, Sun L, Yao J, Yan J and Yin X: DLGAP4 acts as an effective prognostic predictor for hepatocellular carcinoma and is closely related to tumour progression. Sci Rep. 12(19775)2022.PubMed/NCBI View Article : Google Scholar

45 

Liao W, Liu W, Yuan Q, Liu X, Ou Y, He S, Yuan S, Qin L, Chen Q, Nong K, et al: Silencing of DLGAP5 by siRNA significantly inhibits the proliferation and invasion of hepatocellular carcinoma cells. PLoS One. 8(e80789)2013.PubMed/NCBI View Article : Google Scholar

46 

Tang X, Zhou H and Liu Y: High expression of DLGAP5 Indicates poor prognosis and immunotherapy in lung adenocarcinoma and promotes proliferation through regulation of the cell cycle. Dis Markers. 2023(9292536)2023.PubMed/NCBI View Article : Google Scholar

47 

Ju LL, Chen L, Li JH, Wang YF, Lu RJ, Bian ZL and Shao JG: Effect of NDC80 in human hepatocellular carcinoma. World J Gastroenterol. 23:3675–3683. 2017.PubMed/NCBI View Article : Google Scholar

48 

Chen X, He Q, Zeng S and Xu Z: Upregulation of nuclear division cycle 80 contributes to therapeutic resistance via the promotion of autophagy-related protein-7-dependent autophagy in lung cancer. Front Pharmacol. 13(985601)2022.PubMed/NCBI View Article : Google Scholar

49 

Zhang H, Liu Y, Tang S, Qin X, Li L, Zhou J, Zhang J and Liu B: Knockdown of DLGAP5 suppresses cell proliferation, induces G(2)/M phase arrest and apoptosis in ovarian cancer. Exp Ther Med. 22(1245)2021.PubMed/NCBI View Article : Google Scholar

50 

Yang CL, He JT, Li NN, Song R, Ni HH, Huang JT, Liu GQ, Wang JD, Li YK, Zhan GH, et al: Clinical value of PRC1 and DLGAP5 and immunosuppressive T cells overexpressing them in HCC based on transcriptome data. ResarchSquare. 2023. doi: 10.21203/rs.3.rs-2616803/v1.

51 

Chen X, Li W, Xiao L and Liu L: Nuclear division cycle 80 complex is associated with malignancy and predicts poor survival of hepatocellular carcinoma. Int J Clin Exp Pathol. 12:1233–1247. 2019.PubMed/NCBI

52 

Liu B, Yao Z, Hu K, Huang H, Xu S, Wang Q, Yang Y and Ren J: ShRNA-mediated silencing of the Ndc80 gene suppress cell proliferation and affected hepatitis B virus-related hepatocellular carcinoma. Clin Res Hepatol Gastroenterol. 40:297–303. 2016.PubMed/NCBI View Article : Google Scholar

53 

Cao T, Yi SJ, Wang LX, Zhao JX, Xiao J, Xie N, Zeng Z, Han Q, Tang HO, Li YK, et al: Identification of the DNA replication regulator MCM complex expression and prognostic significance in hepatic carcinoma. Biomed Res Int. 2020(3574261)2020.PubMed/NCBI View Article : Google Scholar

54 

Wang XK, Wang QQ, Huang JL, Zhang LB, Zhou X, Liu JQ, Chen ZJ, Liao XW, Huang R, Yang CK, et al: Novel candidate biomarkers of origin recognition complex 1, 5 and 6 for survival surveillance in patients with hepatocellular carcinoma. J Cancer. 11:1869–1882. 2020.PubMed/NCBI View Article : Google Scholar

55 

Yang C, Xie S, Wu Y, Ru G, He X, Pan HY, Wang S and Tong X: Prognostic implications of cell division cycle protein 45 expression in hepatocellular carcinoma. PeerJ. 9(e10824)2021.PubMed/NCBI View Article : Google Scholar

56 

Cai H, Zhu X, Qian F, Shao B, Zhou Y, Zhang Y and Chen Z: High expression of TOP2A gene predicted poor prognosis of hepatocellular carcinoma after radical hepatectomy. Transl Cancer Res. 9:983–992. 2020.PubMed/NCBI View Article : Google Scholar

57 

Del Moral-Hernandez O, Hernandez-Sotelo D, Alarcon-Romero LDC, Mendoza-Catalan MA, Flores-Alfaro E, Castro-Coronel Y, Ortiz-Ortiz J, Leyva-Vázquez MA, Ortuño-Pineda C, Castro-Mora W and Illades-Aguiar B: TOP2A/MCM2, p16(INK4a), and cyclin E1 expression in liquid-based cytology: A biomarkers panel for progression risk of cervical premalignant lesions. BMC Cancer. 21(39)2021.PubMed/NCBI View Article : Google Scholar

58 

He Z, Wang X, Yang Z, Jiang Y, Li L, Wang X, Song Z, Wang X, Wan J, Jiang S, et al: Expression and prognosis of CDC45 in cervical cancer based on the GEO database. PeerJ. 9(e12114)2021.PubMed/NCBI View Article : Google Scholar

59 

Chen X, Xiong D, Ye L, Wang K, Huang L, Mei S, Wu J, Chen S, Lai X, Zheng L and Wang M: Up-regulated lncRNA XIST contributes to progression of cervical cancer via regulating miR-140-5p and ORC1. Cancer Cell Int. 19(45)2019.PubMed/NCBI View Article : Google Scholar

60 

Ma H, Liu Z, Li H, Guo X, Guo S, Qu P and Wang Y: Bioinformatics analysis reveals MCM3 as an important prognostic marker in cervical cancer. Comput Math Methods Med. 2021(8494260)2021.PubMed/NCBI View Article : Google Scholar

61 

Yuan J, Lan H, Huang D, Guo X, Liu C, Liu S, Zhang P, Cheng Y and Xiao S: Multi-Omics analysis of MCM2 as a promising biomarker in pan-cancer. Front Cell Dev Biol. 10(852135)2022.PubMed/NCBI View Article : Google Scholar

62 

Wu L, Chen H and Yang C: Origin recognition complex subunit 1(ORC1) is a potential biomarker and therapeutic target in cancer. BMC Med Genomics. 16(243)2023.PubMed/NCBI View Article : Google Scholar

63 

Wang T, Lu J, Wang R, Cao W and Xu J: TOP2A promotes proliferation and metastasis of hepatocellular carcinoma regulated by miR-144-3p. J Cancer. 13:589–601. 2022.PubMed/NCBI View Article : Google Scholar

64 

Kyritsis KA, Akrivou MG, Giassafaki LP, Grigoriadis NG and Vizirianakis IS: Analysis of TCGA data of differentially expressed EMT-related genes and miRNAs across various malignancies to identify potential biomarkers. World Academy Of Sciences Journal. 3(6)2021.

65 

Nascimento J, Mariot C, Vianna DRB, Kliemann LM, Chaves PS, Loda M, Buffon A, Beck RCR and Pilger DA: Fatty acid synthase as a potential new therapeutic target for cervical cancer. An Acad Bras Cienc. 94(e20210670)2022.PubMed/NCBI View Article : Google Scholar

66 

Myung SJ, Yoon JH and Yu SJ: STAT3 & Cytochrome P450 2C9: A novel signaling pathway in liver cancer stem cells. Biomed Pharmacother. 66:612–616. 2012.PubMed/NCBI View Article : Google Scholar

67 

Chen D, Feng X, Lv Z, Xu X, Lu Y, Wu W, Wu H, Liu H, Cao L, Ye S, et al: ACADS acts as a potential methylation biomarker associated with the proliferation and metastasis of hepatocellular carcinomas. Aging (Albany NY). 11:8825–8844. 2019.PubMed/NCBI View Article : Google Scholar

68 

Liersch T, Langer C, Ghadimi BM, Kulle B, Aust DE, Baretton GB, Schwabe W, Häusler P, Becker H and Jakob C: Lymph node status and TS gene expression are prognostic markers in stage II/III rectal cancer after neoadjuvant fluorouracil-based chemoradiotherapy. J Clin Oncol. 24:4062–4068. 2006.PubMed/NCBI View Article : Google Scholar

69 

Chen TH, Chiu JY and Shih KH: A 23-gene prognostic classifier for prediction of recurrence and survival for Asian breast cancer patients. Biosci Rep. 40(BSR20202794)2020.PubMed/NCBI View Article : Google Scholar

Related Articles

  • Abstract
  • View
  • Download
Copy and paste a formatted citation
Spandidos Publications style
Singh P, Patel M, Bhowmik D, Kumari N, Prajapati SK and Gupta R: Identification of common biomarkers affecting patient survival in cancers. World Acad Sci J 6: 53, 2024.
APA
Singh, P., Patel, M., Bhowmik, D., Kumari, N., Prajapati, S.K., & Gupta, R. (2024). Identification of common biomarkers affecting patient survival in cancers. World Academy of Sciences Journal, 6, 53. https://doi.org/10.3892/wasj.2024.268
MLA
Singh, P., Patel, M., Bhowmik, D., Kumari, N., Prajapati, S. K., Gupta, R."Identification of common biomarkers affecting patient survival in cancers". World Academy of Sciences Journal 6.6 (2024): 53.
Chicago
Singh, P., Patel, M., Bhowmik, D., Kumari, N., Prajapati, S. K., Gupta, R."Identification of common biomarkers affecting patient survival in cancers". World Academy of Sciences Journal 6, no. 6 (2024): 53. https://doi.org/10.3892/wasj.2024.268
Copy and paste a formatted citation
x
Spandidos Publications style
Singh P, Patel M, Bhowmik D, Kumari N, Prajapati SK and Gupta R: Identification of common biomarkers affecting patient survival in cancers. World Acad Sci J 6: 53, 2024.
APA
Singh, P., Patel, M., Bhowmik, D., Kumari, N., Prajapati, S.K., & Gupta, R. (2024). Identification of common biomarkers affecting patient survival in cancers. World Academy of Sciences Journal, 6, 53. https://doi.org/10.3892/wasj.2024.268
MLA
Singh, P., Patel, M., Bhowmik, D., Kumari, N., Prajapati, S. K., Gupta, R."Identification of common biomarkers affecting patient survival in cancers". World Academy of Sciences Journal 6.6 (2024): 53.
Chicago
Singh, P., Patel, M., Bhowmik, D., Kumari, N., Prajapati, S. K., Gupta, R."Identification of common biomarkers affecting patient survival in cancers". World Academy of Sciences Journal 6, no. 6 (2024): 53. https://doi.org/10.3892/wasj.2024.268
Follow us
  • Twitter
  • LinkedIn
  • Facebook
About
  • Spandidos Publications
  • Careers
  • Cookie Policy
  • Privacy Policy
How can we help?
  • Help
  • Live Chat
  • Contact
  • Email to our Support Team