Spandidos Publications Logo
  • About
    • About Spandidos
    • Aims and Scopes
    • Abstracting and Indexing
    • Editorial Policies
    • Reprints and Permissions
    • Job Opportunities
    • Terms and Conditions
    • Contact
  • Journals
    • All Journals
    • Oncology Letters
      • Oncology Letters
      • Information for Authors
      • Editorial Policies
      • Editorial Board
      • Aims and Scope
      • Abstracting and Indexing
      • Bibliographic Information
      • Archive
    • International Journal of Oncology
      • International Journal of Oncology
      • Information for Authors
      • Editorial Policies
      • Editorial Board
      • Aims and Scope
      • Abstracting and Indexing
      • Bibliographic Information
      • Archive
    • Molecular and Clinical Oncology
      • Molecular and Clinical Oncology
      • Information for Authors
      • Editorial Policies
      • Editorial Board
      • Aims and Scope
      • Abstracting and Indexing
      • Bibliographic Information
      • Archive
    • Experimental and Therapeutic Medicine
      • Experimental and Therapeutic Medicine
      • Information for Authors
      • Editorial Policies
      • Editorial Board
      • Aims and Scope
      • Abstracting and Indexing
      • Bibliographic Information
      • Archive
    • International Journal of Molecular Medicine
      • International Journal of Molecular Medicine
      • Information for Authors
      • Editorial Policies
      • Editorial Board
      • Aims and Scope
      • Abstracting and Indexing
      • Bibliographic Information
      • Archive
    • Biomedical Reports
      • Biomedical Reports
      • Information for Authors
      • Editorial Policies
      • Editorial Board
      • Aims and Scope
      • Abstracting and Indexing
      • Bibliographic Information
      • Archive
    • Oncology Reports
      • Oncology Reports
      • Information for Authors
      • Editorial Policies
      • Editorial Board
      • Aims and Scope
      • Abstracting and Indexing
      • Bibliographic Information
      • Archive
    • Molecular Medicine Reports
      • Molecular Medicine Reports
      • Information for Authors
      • Editorial Policies
      • Editorial Board
      • Aims and Scope
      • Abstracting and Indexing
      • Bibliographic Information
      • Archive
    • World Academy of Sciences Journal
      • World Academy of Sciences Journal
      • Information for Authors
      • Editorial Policies
      • Editorial Board
      • Aims and Scope
      • Abstracting and Indexing
      • Bibliographic Information
      • Archive
    • International Journal of Functional Nutrition
      • International Journal of Functional Nutrition
      • Information for Authors
      • Editorial Policies
      • Editorial Board
      • Aims and Scope
      • Abstracting and Indexing
      • Bibliographic Information
      • Archive
    • International Journal of Epigenetics
      • International Journal of Epigenetics
      • Information for Authors
      • Editorial Policies
      • Editorial Board
      • Aims and Scope
      • Abstracting and Indexing
      • Bibliographic Information
      • Archive
    • Medicine International
      • Medicine International
      • Information for Authors
      • Editorial Policies
      • Editorial Board
      • Aims and Scope
      • Abstracting and Indexing
      • Bibliographic Information
      • Archive
  • Articles
  • Information
    • Information for Authors
    • Information for Reviewers
    • Information for Librarians
    • Information for Advertisers
    • Conferences
  • Language Editing
Spandidos Publications Logo
  • About
    • About Spandidos
    • Aims and Scopes
    • Abstracting and Indexing
    • Editorial Policies
    • Reprints and Permissions
    • Job Opportunities
    • Terms and Conditions
    • Contact
  • Journals
    • All Journals
    • Biomedical Reports
      • Information for Authors
      • Editorial Policies
      • Editorial Board
      • Aims and Scope
      • Abstracting and Indexing
      • Bibliographic Information
      • Archive
    • Experimental and Therapeutic Medicine
      • Information for Authors
      • Editorial Policies
      • Editorial Board
      • Aims and Scope
      • Abstracting and Indexing
      • Bibliographic Information
      • Archive
    • International Journal of Epigenetics
      • Information for Authors
      • Editorial Policies
      • Editorial Board
      • Aims and Scope
      • Abstracting and Indexing
      • Bibliographic Information
      • Archive
    • International Journal of Functional Nutrition
      • Information for Authors
      • Editorial Policies
      • Editorial Board
      • Aims and Scope
      • Abstracting and Indexing
      • Bibliographic Information
      • Archive
    • International Journal of Molecular Medicine
      • Information for Authors
      • Editorial Policies
      • Editorial Board
      • Aims and Scope
      • Abstracting and Indexing
      • Bibliographic Information
      • Archive
    • International Journal of Oncology
      • Information for Authors
      • Editorial Policies
      • Editorial Board
      • Aims and Scope
      • Abstracting and Indexing
      • Bibliographic Information
      • Archive
    • Medicine International
      • Information for Authors
      • Editorial Policies
      • Editorial Board
      • Aims and Scope
      • Abstracting and Indexing
      • Bibliographic Information
      • Archive
    • Molecular and Clinical Oncology
      • Information for Authors
      • Editorial Policies
      • Editorial Board
      • Aims and Scope
      • Abstracting and Indexing
      • Bibliographic Information
      • Archive
    • Molecular Medicine Reports
      • Information for Authors
      • Editorial Policies
      • Editorial Board
      • Aims and Scope
      • Abstracting and Indexing
      • Bibliographic Information
      • Archive
    • Oncology Letters
      • Information for Authors
      • Editorial Policies
      • Editorial Board
      • Aims and Scope
      • Abstracting and Indexing
      • Bibliographic Information
      • Archive
    • Oncology Reports
      • Information for Authors
      • Editorial Policies
      • Editorial Board
      • Aims and Scope
      • Abstracting and Indexing
      • Bibliographic Information
      • Archive
    • World Academy of Sciences Journal
      • Information for Authors
      • Editorial Policies
      • Editorial Board
      • Aims and Scope
      • Abstracting and Indexing
      • Bibliographic Information
      • Archive
  • Articles
  • Information
    • For Authors
    • For Reviewers
    • For Librarians
    • For Advertisers
    • Conferences
  • Language Editing
Login Register Submit
  • This site uses cookies
  • You can change your cookie settings at any time by following the instructions in our Cookie Policy. To find out more, you may read our Privacy Policy.

    I agree
Search articles by DOI, keyword, author or affiliation
Search
Advanced Search
presentation
World Academy of Sciences Journal
Join Editorial Board Propose a Special Issue
Print ISSN: 2632-2900 Online ISSN: 2632-2919
Journal Cover
March-April 2025 Volume 7 Issue 2

Full Size Image

Sign up for eToc alerts
Recommend to Library

Journals

International Journal of Molecular Medicine

International Journal of Molecular Medicine

International Journal of Molecular Medicine is an international journal devoted to molecular mechanisms of human disease.

International Journal of Oncology

International Journal of Oncology

International Journal of Oncology is an international journal devoted to oncology research and cancer treatment.

Molecular Medicine Reports

Molecular Medicine Reports

Covers molecular medicine topics such as pharmacology, pathology, genetics, neuroscience, infectious diseases, molecular cardiology, and molecular surgery.

Oncology Reports

Oncology Reports

Oncology Reports is an international journal devoted to fundamental and applied research in Oncology.

Experimental and Therapeutic Medicine

Experimental and Therapeutic Medicine

Experimental and Therapeutic Medicine is an international journal devoted to laboratory and clinical medicine.

Oncology Letters

Oncology Letters

Oncology Letters is an international journal devoted to Experimental and Clinical Oncology.

Biomedical Reports

Biomedical Reports

Explores a wide range of biological and medical fields, including pharmacology, genetics, microbiology, neuroscience, and molecular cardiology.

Molecular and Clinical Oncology

Molecular and Clinical Oncology

International journal addressing all aspects of oncology research, from tumorigenesis and oncogenes to chemotherapy and metastasis.

World Academy of Sciences Journal

World Academy of Sciences Journal

Multidisciplinary open-access journal spanning biochemistry, genetics, neuroscience, environmental health, and synthetic biology.

International Journal of Functional Nutrition

International Journal of Functional Nutrition

Open-access journal combining biochemistry, pharmacology, immunology, and genetics to advance health through functional nutrition.

International Journal of Epigenetics

International Journal of Epigenetics

Publishes open-access research on using epigenetics to advance understanding and treatment of human disease.

Medicine International

Medicine International

An International Open Access Journal Devoted to General Medicine.

Journal Cover
March-April 2025 Volume 7 Issue 2

Full Size Image

Sign up for eToc alerts
Recommend to Library

  • Article
  • Citations
    • Cite This Article
    • Download Citation
    • Create Citation Alert
    • Remove Citation Alert
    • Cited By
  • Similar Articles
    • Related Articles (in Spandidos Publications)
    • Similar Articles (Google Scholar)
    • Similar Articles (PubMed)
  • Download PDF
  • Download XML
  • View XML
Article Open Access

Effects of global epigenetic methylation changes and interleukins‑15 and ‑29 on the progression of rheumatoid arthritis

  • Authors:
    • Noor A. Hameed
    • Rakad M.K. Al-Jumaily
  • View Affiliations / Copyright

    Affiliations: Department of Biology, College of Sciences, University of Baghdad, Baghdad 10071, Iraq
    Copyright: © Hameed et al. This is an open access article distributed under the terms of Creative Commons Attribution License [CC BY 4.0].
  • Article Number: 22
    |
    Published online on: January 3, 2025
       https://doi.org/10.3892/wasj.2025.310
  • Expand metrics +
Metrics: Total Views: 0 (Spandidos Publications: | PMC Statistics: )
Metrics: Total PDF Downloads: 0 (Spandidos Publications: | PMC Statistics: )
Cited By (CrossRef): 0 citations Loading Articles...

This article is mentioned in:



Abstract

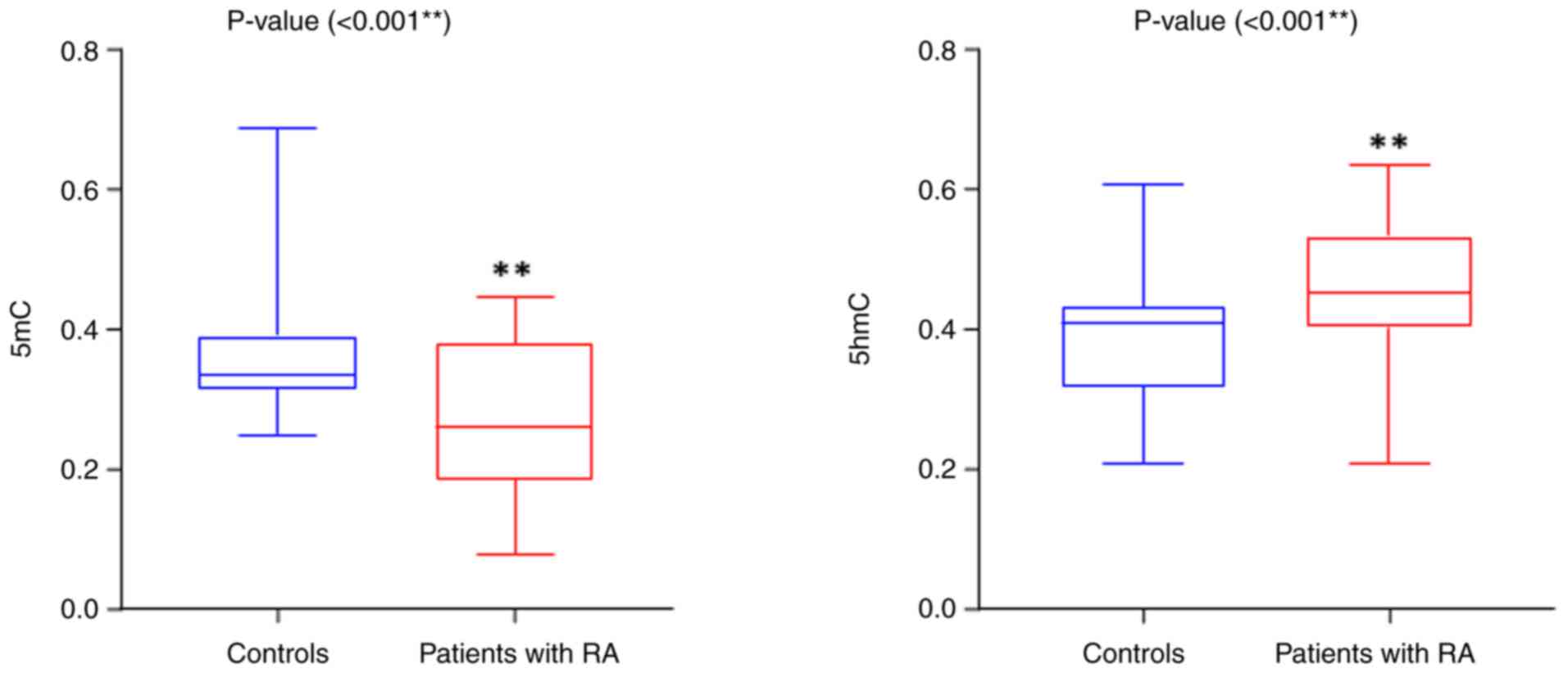
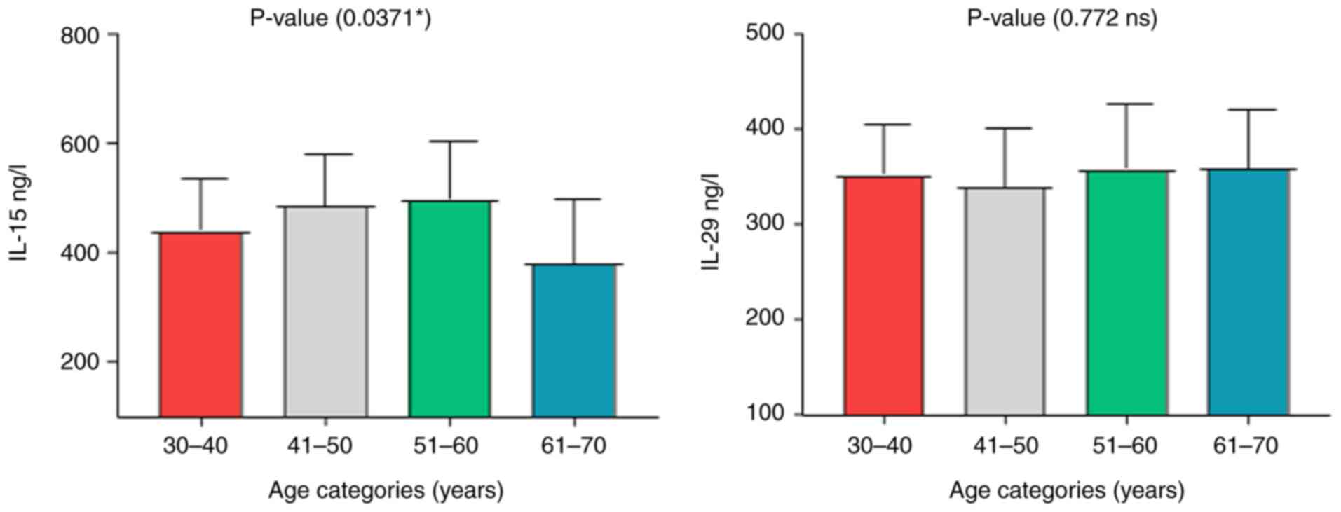
Rheumatoid arthritis (RA) is a chronic, systemic disease characterized by inflammation. However, the mechanisms underlying the pathogenesis of RA remain unclear, although multiple genetic and environmental agents have been implicated. The present study investigated the roles of interleukin (IL)‑15 and IL‑29) along with DNA methylation changes in the progression of RA, aiming to elucidate their potential as prognostic markers. For this purpose, 60 patients with RA (45 females and 15 males) and 40 healthy controls were selected for the study. Blood samples were collected from all participants to evaluate the sedimentation rate (ESR), and complete blood count, while the serum of participants was used to assess rheumatoid factor, C‑reactive protein, anti‑cyclic citrullinated peptides, IL‑15 and IL‑29. In addition, the levels of 5‑methylcytosine (5mC) and 5‑hydroxymethylcytosine (5hmC) were determined as markers of global DNA methylation. The results indicated a significant elevation in ESR and a decrease in red blood cell count in patients with RA compared with the controls. The patients with RA exhibited higher levels of IL‑15 (464.61±13.89) and IL‑29 (349.45±7.87) compared with the control group (291.47±10.32 and 255.37±5.45 ng/ml, respectively). Age‑related analysis revealed elevated levels of IL‑15, but not IL‑29 in the older age groups. Additionally, the patients with RA exhibited reduced levels of 5mC, indicative of global DNA hypomethylation, and increased levels of 5hmC, suggesting altered methylation dynamics. These changes are implicated in immune regulation and inflammatory responses, potentially contributing to the pathogenesis of RA. On the whole, the findings of the present study underscore the importance of cytokine regulation and epigenetic changes in the progression of RA, presenting avenues for personalized therapies aimed at mitigating joint inflammation and damage.
View Figures

Figure 1

Figure 2

Figure 3

Figure 4

View References

1 

Sokolova MV, Schett G and Steffen U: Autoantibodies in rheumatoid arthritis: Historical background and novel findings. Clin Rev Allergy Immunol. 63:138–151. 2021.PubMed/NCBI View Article : Google Scholar

2 

Zhang HG, McDermott G, Seyok T, Huang S, Dahal K, L'Yi S, Lea-Bonzel C, Stratton J, Weisenfeld D, Monach P, et al: Identifying shared genetic architecture between rheumatoid arthritis and other conditions: A phenome-wide association study with genetic risk scores. eBioMedicine. 92(104581)2023.PubMed/NCBI View Article : Google Scholar

3 

Rija FF, Hussein SZ and Abdalla MA: Physiological and immunological disturbance in rheumatoid arthritis patients. Baghdad Sci J. 18(0247)2021.

4 

Li Z and Wang XQ: Clinical effect and biological mechanism of exercise for rheumatoid arthritis: A mini review. Front Immunol. 13(1089621)2023.PubMed/NCBI View Article : Google Scholar

5 

Poniewierska-Baran A, Bochniak O, Warias P and Pawlik A: Role of sirtuins in the pathogenesis of rheumatoid arthritis. Int J Mol Sci. 24(1532)2023.PubMed/NCBI View Article : Google Scholar

6 

Edilova MI, Akram A and Abdul-Sater AA: Innate immunity drives pathogenesis of rheumatoid arthritis. Biomed J. 44:172–182. 2021.PubMed/NCBI View Article : Google Scholar

7 

Mutlak QM and Kasim AA: Impact of MTHFR gene polymorphism on the outcome of methotrexate treatment in a sample of Iraqi rheumatoid arthritis patients. Sci Rep. 14(15119)2024.PubMed/NCBI View Article : Google Scholar

8 

Laragione T, Harris C, Azizgolshani N, Beeton C, Bongers G and Gulko PS: Magnesium increases numbers of Foxp3+ Treg cells and reduces arthritis severity and joint damage in an IL-10-dependent manner mediated by the intestinal microbiome. EBioMedicine. 92(104603)2023.PubMed/NCBI View Article : Google Scholar

9 

Matsumoto H, Fujita Y, Asano T, Matsuoka N, Temmoku J, Sato S, Yashiro-Furuya M, Yokose K, Yoshida S, Suzuki E, et al: Association between inflammatory cytokines and immune-checkpoint molecule in rheumatoid arthritis. PLoS One. 16(e0260254)2021.PubMed/NCBI View Article : Google Scholar

10 

Reyes-Pérez IV, Sánchez-Hernández PE, Muñoz-Valle JF, Martínez-Bonilla GE, García-Iglesias T, González-Díaz V, García-Arellano S, Cerpa-Cruz S, Polanco-Cruz J and Ramírez-Dueñas MG: Cytokines (IL-15, IL-21, and IFN-γ) in rheumatoid arthritis: Association with positivity to autoantibodies (RF, anti-CCP, anti-MCV, and anti-PADI4) and clinical activity. Clin Rheumatol. 38:3061–3071. 2019.PubMed/NCBI View Article : Google Scholar

11 

Kurowska W, Przygodzka M, Jakubaszek M, Kwiatkowska B and Maslinski W: Interleukin-15 as a biomarker candidate of rheumatoid arthritis development. J Clin Med. 9(1555)2020.PubMed/NCBI View Article : Google Scholar

12 

Koper-Lenkiewicz OM, Sutkowska K, Wawrusiewicz-Kurylonek N, Kowalewska E and Matowicka-Karna J: Proinflammatory cytokines (IL-1, -6, -8, -15, -17, -18, -23, TNF-α) single nucleotide polymorphisms in rheumatoid arthritis-a literature review. Int J Mol Sci. 23(2106)2022.PubMed/NCBI View Article : Google Scholar

13 

Wang JM, Huang AF, Xu WD and Su LC: Insights into IL-29: Emerging role in inflammatory autoimmune diseases. J Cell Mol Med. 23:7926–7932. 2019.PubMed/NCBI View Article : Google Scholar

14 

Xu T, Yan T and Li P: Interleukin-29 regulates T follicular helper cells by repressing BCL6 in rheumatoid arthritis patients. Clin Rheumatol. 39:3797–3804. 2020.PubMed/NCBI View Article : Google Scholar

15 

Yang C, Li D, Teng D, Zhou Y, Zhang L, Zhong Z and Yang GJ: Epigenetic regulation in the pathogenesis of rheumatoid arthritis. Front Immunol. 13(859400)2022.PubMed/NCBI View Article : Google Scholar

16 

Al-Attar MM, Al-Awadi SJA and Abdulfattah SY: Gene expression and methylation levels of PCSK9 gene in iraqi patients with coronary artery disease. Baghdad Sci J. 20:2124–2133. 2023.

17 

Zhao J, Wei K, Chang C, Xu L, Jiang P, Guo S, Schrodi SJ and He D: DNA methylation of T lymphocytes as a therapeutic target: Implications for rheumatoid arthritis etiology. Front Immunol. 13(863703)2022.PubMed/NCBI View Article : Google Scholar

18 

Ahmed DF and AL-Jumaily RMK: Role of hematopoietic growth factors as immune modulators (GM-CSF & IL-3) in newly diagnosed colorectal cancer patients and their correlation with P53 expression and global DNA methylation. Iraqi J Sci. 65:3047–3056. 2024.

19 

Gosselt HR, Griffioen PH, van Zelst BD, Oosterom N, de Jonge R and Heil SG: Global DNA (hydroxy)methylation is stable over time under several storage conditions and temperatures. Epigenetics. 16:45–53. 2021.PubMed/NCBI View Article : Google Scholar

20 

Hageman I, Mol F, Atiqi S, Joustra V, Sengul H, Henneman P, Visman I, Hakvoort T, Nurmohamed M, Wolbink G, et al: Novel DNA methylome biomarkers associated with adalimumab response in rheumatoid arthritis patients. Front Immunol. 14(1303231)2023.PubMed/NCBI View Article : Google Scholar

21 

Nair N and Wilson AG: Assessing the potential of epigenetic targets as biomarkers in the diagnosis and treatment of rheumatoid arthritis. Expert Rev Clin Immunol. 19:483–488. 2023.PubMed/NCBI View Article : Google Scholar

22 

Hajizadeh MR, Moslemizadeh N, Rezaeian M, Ranjbar FM and Abbasifard M: Expression of genes involved in epigenetic modifications in patients with rheumatoid arthritis. Hum Gene. 33(201054)2022.

23 

Ibrahim S and Sarhat E: EvaluatIon of serum levels of interleukin-6, fetuin-a, lipocalin-2, and C-reactive protein in rheumatoid arthritis patients. Georgian Med News. 42–45. 2022.PubMed/NCBI

24 

Bagdi R, Aswani P, Singh VK and Verma MK: C-reactive protein as a disease activity marker in rheumatoid arthritis. Int J Health Sci. 6:10587–10593. 2022.

25 

Hashiam MD and Aldahhan HAA: Assessment of auto-antibodies (RF, Anti-CCP, and anti-RA33) in rheumatoid arthritis patients: Comparative study. Int J Health Sci. 6:5434–5444. 2022.

26 

Zheng Z, Mergaert AM, Fahmy LM, Bawadekar M, Holmes CL, Ong IM, Bridges AJ, Newton MA and Shelef MA: Disordered antigens and epitope overlap between anti-citrullinated protein antibodies and rheumatoid factor in rheumatoid arthritis. Arthritis Rheumatol. 72:262–272. 2020.PubMed/NCBI View Article : Google Scholar

27 

Ma L, Wang W, Li L, Chen Y, Chen B, Shao M, Cheng Y and Zhou R: Comparison of different assays for the detection of anticyclic citrullinated peptide antibodies in patients with rheumatoid arthritis. Front Immunol. 13(940713)2022.PubMed/NCBI View Article : Google Scholar

28 

Lin SJ, Hsu CY, Kuo ML, Lee PT, Hsiao HS and Chen JY: Phenotypic and functional characterization of natural killer cells in rheumatoid arthritis-regulation with interleukin-15. Sci Rep. 10(5858)2020.PubMed/NCBI View Article : Google Scholar

29 

Allard-Chamard H, Mishra HK, Nandi M, Mayhue M, Menendez A, Ilangumaran S and Ramanathan S: Interleukin-15 in autoimmunity. Cytokine. 136(155258)2020.PubMed/NCBI View Article : Google Scholar

30 

Shah P, Siddique A, Thakkar A, Gharat S, Godad A, Kale P and Doshi G: An update on novel therapeutic intervention in rheumatoid arthritis. Int Immunopharmacol. 109(108794)2022.PubMed/NCBI View Article : Google Scholar

31 

Fonseca Peixoto R, Ewerton Maia Rodrigues C, Henrique de Sousa Palmeira P, Cézar Comberlang Queiroz Davis Dos Santos F, Keesen de Souza Lima T and de Sousa Braz A: Immune hallmarks of rheumatoid arthritis management: A brief review. Cytokine. 158(156007)2022.PubMed/NCBI View Article : Google Scholar

32 

Xu TS, Jia SY and Li P: Interleukin-29 and interleukin-28A induce migration of neutrophils in rheumatoid arthritis. Clin Rheumatol. 40:369–375. 2021.PubMed/NCBI View Article : Google Scholar

33 

Zhao J, Guo S, Schrodi SJ and He D: Molecular and cellular heterogeneity in rheumatoid arthritis: Mechanisms and clinical implications. Front Immunol. 12(790122)2021.PubMed/NCBI View Article : Google Scholar

34 

Mohamed MMH and Abdelsattar AB: Interleukin-29 in autoimmune diseases: Review article. Egypt J Hosp Med. 91:4614–4618. 2023.

35 

Liebold I, Grützkau A, Göckeritz A, Gerl V, Lindquist R, Feist E, Zänker M, Häupl T, Poddubnyy D, Zernicke J, et al: Peripheral blood mononuclear cells are hypomethylated in active rheumatoid arthritis and methylation correlates with disease activity. Rheumatology (Oxford). 60:1984–1995. 2021.PubMed/NCBI View Article : Google Scholar

36 

Zhang R, Chang C, Jin Y, Xu L, Jiang P, Wei K, Xu L, Guo S, Sun S and He D: Identification of DNA methylation-regulated differentially expressed genes in RA by integrated analysis of DNA methylation and RNA-Seq data. J Transl Med. 20(481)2022.PubMed/NCBI View Article : Google Scholar

37 

Guo S, Xu L, Chang C, Zhang R, Jin Y and He D: Epigenetic regulation mediated by methylation in the pathogenesis and precision medicine of rheumatoid arthritis. Front Genet. 11(811)2020.PubMed/NCBI View Article : Google Scholar

38 

Webster AP, Plant D, Ecker S, Zufferey F, Bell JT, Feber A, Paul DS, Beck S, Barton A, Williams FMK and Worthington J: Increased DNA methylation variability in rheumatoid arthritis-discordant monozygotic twins. Genome Med. 10(64)2018.PubMed/NCBI View Article : Google Scholar

39 

Rodríguez-Ubreva J, de la Calle-Fabregat C, Li T, Ciudad L, Ballestar ML, Català-Moll F, Morante-Palacios O, Garcia-Gomez A, Celis R, Humby F, et al: Inflammatory cytokines shape a changing DNA methylome in monocytes mirroring disease activity in rheumatoid arthritis. Ann Rheum Dis. 78:1505–1516. 2019.PubMed/NCBI View Article : Google Scholar

40 

Hoang TT, Lee Y, McCartney DL, Kersten ETG, Page CM, Hulls PM, Lee M, Walker RM, Breeze CE, Bennett BD, et al: Comprehensive evaluation of smoking exposures and their interactions on DNA methylation. EBioMedicine. 100(104956)2024.PubMed/NCBI View Article : Google Scholar

41 

Anteneh H, Fang J and Song J: Structural basis for impairment of DNA methylation by the DNMT3A R882H mutation. Nat Commun. 11(2294)2020.PubMed/NCBI View Article : Google Scholar

42 

Nemtsova MV, Zaletaev DV, Bure IV, Mikhaylenko DS, Kuznetsova EB, Alekseeva EA, Beloukhova MI, Deviatkin AA, Lukashev AN and Zamyatnin AA Jr: Epigenetic changes in the pathogenesis of rheumatoid arthritis. Front Genet. 10(570)2019.PubMed/NCBI View Article : Google Scholar

43 

Kawabe A, Yamagata K, Kato S, Nakano K, Sakata K, Tsukada YI, Ohmura K, Nakayamada S and Tanaka Y: Role of DNA dioxygenase Ten-Eleven translocation 3 (TET3) in rheumatoid arthritis progression. Arthritis Res Ther. 24(222)2022.PubMed/NCBI View Article : Google Scholar

44 

Cribbs A, Feldmann M and Oppermann U: Towards an understanding of the role of DNA methylation in rheumatoid arthritis: Therapeutic and diagnostic implications. Ther Adv Musculoskelet Dis. 7:206–219. 2015.PubMed/NCBI View Article : Google Scholar

45 

Karouzakis E, Raza K, Kolling C, Buckley CD, Gay S, Filer A and Ospelt C: Analysis of early changes in DNA methylation in synovial fibroblasts of RA patients before diagnosis. Sci Rep. 8(7370)2018.PubMed/NCBI View Article : Google Scholar

46 

Morgan AE, Davies TJ and Mc Auley MT: The role of DNA methylation in ageing and cancer. Proc Nutr Soc. 77:412–422. 2018.PubMed/NCBI View Article : Google Scholar

47 

Sahar BR and Al-Jumaily RMK: The impact of global DNA methylation and hypoxia-inducible factor 1 alpha levels in the progression of breast cancer. Opera Med Physiol. 11:28–39. 2024.

48 

Wang F, Xu L, Feng X, Guo D, Tan W and Zhang M: Interleukin-29 modulates proinflammatory cytokine production in synovial inflammation of rheumatoid arthritis. Arthritis Res Ther. 14(R228)2012.PubMed/NCBI View Article : Google Scholar

Related Articles

  • Abstract
  • View
  • Download
Copy and paste a formatted citation
Spandidos Publications style
Hameed NA and Al-Jumaily RM: Effects of global epigenetic methylation changes and interleukins‑15 and ‑29 on the progression of rheumatoid arthritis. World Acad Sci J 7: 22, 2025.
APA
Hameed, N.A., & Al-Jumaily, R.M. (2025). Effects of global epigenetic methylation changes and interleukins‑15 and ‑29 on the progression of rheumatoid arthritis. World Academy of Sciences Journal, 7, 22. https://doi.org/10.3892/wasj.2025.310
MLA
Hameed, N. A., Al-Jumaily, R. M."Effects of global epigenetic methylation changes and interleukins‑15 and ‑29 on the progression of rheumatoid arthritis". World Academy of Sciences Journal 7.2 (2025): 22.
Chicago
Hameed, N. A., Al-Jumaily, R. M."Effects of global epigenetic methylation changes and interleukins‑15 and ‑29 on the progression of rheumatoid arthritis". World Academy of Sciences Journal 7, no. 2 (2025): 22. https://doi.org/10.3892/wasj.2025.310
Copy and paste a formatted citation
x
Spandidos Publications style
Hameed NA and Al-Jumaily RM: Effects of global epigenetic methylation changes and interleukins‑15 and ‑29 on the progression of rheumatoid arthritis. World Acad Sci J 7: 22, 2025.
APA
Hameed, N.A., & Al-Jumaily, R.M. (2025). Effects of global epigenetic methylation changes and interleukins‑15 and ‑29 on the progression of rheumatoid arthritis. World Academy of Sciences Journal, 7, 22. https://doi.org/10.3892/wasj.2025.310
MLA
Hameed, N. A., Al-Jumaily, R. M."Effects of global epigenetic methylation changes and interleukins‑15 and ‑29 on the progression of rheumatoid arthritis". World Academy of Sciences Journal 7.2 (2025): 22.
Chicago
Hameed, N. A., Al-Jumaily, R. M."Effects of global epigenetic methylation changes and interleukins‑15 and ‑29 on the progression of rheumatoid arthritis". World Academy of Sciences Journal 7, no. 2 (2025): 22. https://doi.org/10.3892/wasj.2025.310
Follow us
  • Twitter
  • LinkedIn
  • Facebook
About
  • Spandidos Publications
  • Careers
  • Cookie Policy
  • Privacy Policy
How can we help?
  • Help
  • Live Chat
  • Contact
  • Email to our Support Team