Spandidos Publications Logo
  • About
    • About Spandidos
    • Aims and Scopes
    • Abstracting and Indexing
    • Editorial Policies
    • Reprints and Permissions
    • Job Opportunities
    • Terms and Conditions
    • Contact
  • Journals
    • All Journals
    • Oncology Letters
      • Oncology Letters
      • Information for Authors
      • Editorial Policies
      • Editorial Board
      • Aims and Scope
      • Abstracting and Indexing
      • Bibliographic Information
      • Archive
    • International Journal of Oncology
      • International Journal of Oncology
      • Information for Authors
      • Editorial Policies
      • Editorial Board
      • Aims and Scope
      • Abstracting and Indexing
      • Bibliographic Information
      • Archive
    • Molecular and Clinical Oncology
      • Molecular and Clinical Oncology
      • Information for Authors
      • Editorial Policies
      • Editorial Board
      • Aims and Scope
      • Abstracting and Indexing
      • Bibliographic Information
      • Archive
    • Experimental and Therapeutic Medicine
      • Experimental and Therapeutic Medicine
      • Information for Authors
      • Editorial Policies
      • Editorial Board
      • Aims and Scope
      • Abstracting and Indexing
      • Bibliographic Information
      • Archive
    • International Journal of Molecular Medicine
      • International Journal of Molecular Medicine
      • Information for Authors
      • Editorial Policies
      • Editorial Board
      • Aims and Scope
      • Abstracting and Indexing
      • Bibliographic Information
      • Archive
    • Biomedical Reports
      • Biomedical Reports
      • Information for Authors
      • Editorial Policies
      • Editorial Board
      • Aims and Scope
      • Abstracting and Indexing
      • Bibliographic Information
      • Archive
    • Oncology Reports
      • Oncology Reports
      • Information for Authors
      • Editorial Policies
      • Editorial Board
      • Aims and Scope
      • Abstracting and Indexing
      • Bibliographic Information
      • Archive
    • Molecular Medicine Reports
      • Molecular Medicine Reports
      • Information for Authors
      • Editorial Policies
      • Editorial Board
      • Aims and Scope
      • Abstracting and Indexing
      • Bibliographic Information
      • Archive
    • World Academy of Sciences Journal
      • World Academy of Sciences Journal
      • Information for Authors
      • Editorial Policies
      • Editorial Board
      • Aims and Scope
      • Abstracting and Indexing
      • Bibliographic Information
      • Archive
    • International Journal of Functional Nutrition
      • International Journal of Functional Nutrition
      • Information for Authors
      • Editorial Policies
      • Editorial Board
      • Aims and Scope
      • Abstracting and Indexing
      • Bibliographic Information
      • Archive
    • International Journal of Epigenetics
      • International Journal of Epigenetics
      • Information for Authors
      • Editorial Policies
      • Editorial Board
      • Aims and Scope
      • Abstracting and Indexing
      • Bibliographic Information
      • Archive
    • Medicine International
      • Medicine International
      • Information for Authors
      • Editorial Policies
      • Editorial Board
      • Aims and Scope
      • Abstracting and Indexing
      • Bibliographic Information
      • Archive
  • Articles
  • Information
    • Information for Authors
    • Information for Reviewers
    • Information for Librarians
    • Information for Advertisers
    • Conferences
  • Language Editing
Spandidos Publications Logo
  • About
    • About Spandidos
    • Aims and Scopes
    • Abstracting and Indexing
    • Editorial Policies
    • Reprints and Permissions
    • Job Opportunities
    • Terms and Conditions
    • Contact
  • Journals
    • All Journals
    • Biomedical Reports
      • Information for Authors
      • Editorial Policies
      • Editorial Board
      • Aims and Scope
      • Abstracting and Indexing
      • Bibliographic Information
      • Archive
    • Experimental and Therapeutic Medicine
      • Information for Authors
      • Editorial Policies
      • Editorial Board
      • Aims and Scope
      • Abstracting and Indexing
      • Bibliographic Information
      • Archive
    • International Journal of Epigenetics
      • Information for Authors
      • Editorial Policies
      • Editorial Board
      • Aims and Scope
      • Abstracting and Indexing
      • Bibliographic Information
      • Archive
    • International Journal of Functional Nutrition
      • Information for Authors
      • Editorial Policies
      • Editorial Board
      • Aims and Scope
      • Abstracting and Indexing
      • Bibliographic Information
      • Archive
    • International Journal of Molecular Medicine
      • Information for Authors
      • Editorial Policies
      • Editorial Board
      • Aims and Scope
      • Abstracting and Indexing
      • Bibliographic Information
      • Archive
    • International Journal of Oncology
      • Information for Authors
      • Editorial Policies
      • Editorial Board
      • Aims and Scope
      • Abstracting and Indexing
      • Bibliographic Information
      • Archive
    • Medicine International
      • Information for Authors
      • Editorial Policies
      • Editorial Board
      • Aims and Scope
      • Abstracting and Indexing
      • Bibliographic Information
      • Archive
    • Molecular and Clinical Oncology
      • Information for Authors
      • Editorial Policies
      • Editorial Board
      • Aims and Scope
      • Abstracting and Indexing
      • Bibliographic Information
      • Archive
    • Molecular Medicine Reports
      • Information for Authors
      • Editorial Policies
      • Editorial Board
      • Aims and Scope
      • Abstracting and Indexing
      • Bibliographic Information
      • Archive
    • Oncology Letters
      • Information for Authors
      • Editorial Policies
      • Editorial Board
      • Aims and Scope
      • Abstracting and Indexing
      • Bibliographic Information
      • Archive
    • Oncology Reports
      • Information for Authors
      • Editorial Policies
      • Editorial Board
      • Aims and Scope
      • Abstracting and Indexing
      • Bibliographic Information
      • Archive
    • World Academy of Sciences Journal
      • Information for Authors
      • Editorial Policies
      • Editorial Board
      • Aims and Scope
      • Abstracting and Indexing
      • Bibliographic Information
      • Archive
  • Articles
  • Information
    • For Authors
    • For Reviewers
    • For Librarians
    • For Advertisers
    • Conferences
  • Language Editing
Login Register Submit
  • This site uses cookies
  • You can change your cookie settings at any time by following the instructions in our Cookie Policy. To find out more, you may read our Privacy Policy.

    I agree
Search articles by DOI, keyword, author or affiliation
Search
Advanced Search
presentation
World Academy of Sciences Journal
Join Editorial Board Propose a Special Issue
Print ISSN: 2632-2900 Online ISSN: 2632-2919
Journal Cover
May-June 2025 Volume 7 Issue 3

Full Size Image

Sign up for eToc alerts
Recommend to Library

Journals

International Journal of Molecular Medicine

International Journal of Molecular Medicine

International Journal of Molecular Medicine is an international journal devoted to molecular mechanisms of human disease.

International Journal of Oncology

International Journal of Oncology

International Journal of Oncology is an international journal devoted to oncology research and cancer treatment.

Molecular Medicine Reports

Molecular Medicine Reports

Covers molecular medicine topics such as pharmacology, pathology, genetics, neuroscience, infectious diseases, molecular cardiology, and molecular surgery.

Oncology Reports

Oncology Reports

Oncology Reports is an international journal devoted to fundamental and applied research in Oncology.

Experimental and Therapeutic Medicine

Experimental and Therapeutic Medicine

Experimental and Therapeutic Medicine is an international journal devoted to laboratory and clinical medicine.

Oncology Letters

Oncology Letters

Oncology Letters is an international journal devoted to Experimental and Clinical Oncology.

Biomedical Reports

Biomedical Reports

Explores a wide range of biological and medical fields, including pharmacology, genetics, microbiology, neuroscience, and molecular cardiology.

Molecular and Clinical Oncology

Molecular and Clinical Oncology

International journal addressing all aspects of oncology research, from tumorigenesis and oncogenes to chemotherapy and metastasis.

World Academy of Sciences Journal

World Academy of Sciences Journal

Multidisciplinary open-access journal spanning biochemistry, genetics, neuroscience, environmental health, and synthetic biology.

International Journal of Functional Nutrition

International Journal of Functional Nutrition

Open-access journal combining biochemistry, pharmacology, immunology, and genetics to advance health through functional nutrition.

International Journal of Epigenetics

International Journal of Epigenetics

Publishes open-access research on using epigenetics to advance understanding and treatment of human disease.

Medicine International

Medicine International

An International Open Access Journal Devoted to General Medicine.

Journal Cover
May-June 2025 Volume 7 Issue 3

Full Size Image

Sign up for eToc alerts
Recommend to Library

  • Article
  • Citations
    • Cite This Article
    • Download Citation
    • Create Citation Alert
    • Remove Citation Alert
    • Cited By
  • Similar Articles
    • Related Articles (in Spandidos Publications)
    • Similar Articles (Google Scholar)
    • Similar Articles (PubMed)
  • Download PDF
  • Download XML
  • View XML

  • Supplementary Files
    • Supplementary_Data.pdf
Article Special Issue Open Access

Inhibition of nasopharynx cancer cells by selected flavonoids in vitro and molecular docking analysis of BCL‑w anti‑apoptotic protein

This article is part of the special Issue: Natural Products & Phytotherapeutics - Preclinical and Human Studies
  • Authors:
    • Maelinda Daker
    • Anand Gaurav
    • Gabriel Akyirem Akowuah
  • View Affiliations / Copyright

    Affiliations: Molecular Pathology Unit, Cancer Research Centre, Institute for Medical Research, National Institutes of Health, Ministry of Health, Shah Alam, Selangor 40170, Malaysia, Department of Pharmaceutical Sciences, School of Health Sciences, UPES, Dehradun, Uttarakhand 248007, India, Monash University Malaysia, School of Pharmacy, Bandar Sunway, Subang Jaya, Selangor 47500, Malaysia
    Copyright: © Daker et al. This is an open access article distributed under the terms of Creative Commons Attribution License [CC BY 4.0].
  • Article Number: 40
    |
    Published online on: February 20, 2025
       https://doi.org/10.3892/wasj.2025.328
  • Expand metrics +
Metrics: Total Views: 0 (Spandidos Publications: | PMC Statistics: )
Metrics: Total PDF Downloads: 0 (Spandidos Publications: | PMC Statistics: )
Cited By (CrossRef): 0 citations Loading Articles...

This article is mentioned in:



Abstract

Current treatments for nasopharyngeal carcinoma (NPC), a type of cancer that develops from the epithelium of the nasopharynx, are often associated with potential toxicities. Moreover, NPC continues to be a considerable cause of morbidity and mortality. The breakthrough of novel therapeutic strategies is crucial in order to obtain improved treatment results. B‑cell lymphoma‑w (BCL‑w) is an anti‑apoptotic member of the B‑cell lymphoma‑2 (BCL‑2) family of proteins. BCL‑w exhibits high conformational flexibility and could be exploited to develop inhibitors selective of BCL‑w. The inhibition of BCL‑w may benefit patients with cancer. Flavonoids exhibit diverse bioactivity, including anticancer activity. The present study investigated selected flavonoids, apigenin, kaempferol, luteolin, quercetin and their respective glycosides, for their inhibitory effects on NPC cells. Flavonoids were evaluated in a concentration‑ and time‑dependent manner using a colorimetric assay, and the findings were then verified using a real‑time, impedance‑based cell analyser. Molecular docking analyses were conducted on the selected flavonoids against BCL‑w as the target site. The aglycones (apigenin, kaempferol, luteolin and quercetin) were more potent than their respective O‑glycosides, while the C‑glycosides exhibited no activity on NPC cells. The molecular docking analyses of the selected flavonoids and their glycoside derivatives as ligands and the ligand binding site of BCL‑w as the target site revealed varying degrees of binding affinity to the binding site. Cynaroside had the highest binding affinity among the flavonoids evaluated. Apigenin, luteolin, kaempferol and quercetin markedly inhibited NPC cell viability. Dietary flavones and flavonols may thus provide potency on NPC cells. The results from the molecular docking analyses may be further used in designing new derivatives with improved binding affinity with BCL‑w. 

Introduction

Among the continents, Asia recorded the highest incidence and mortality rates of nasopharyngeal carcinoma (NPC). GLOBOCAN 2022 (version 1.1) estimates that Malaysia is one of the Asian countries with the highest age-standardized rate (ASR) of NPC at 5.7 per 100,000 individuals (1). Moreover, according to ‘Cancer Tomorrow’ (2), the estimated number of new NPC cases in Malaysia will increase from 2,410 in 2022 to 3,660 in 2045. According to the National Cancer Registry, between 2012 and 2016, NPC was the fifth most common type of cancer among Malaysian males, with the incidence increasing rapidly after the age of 25 years and peaking at the age of 65 years (3). There were 4,597 cases of NPC in Malaysia between the years 2012 and 2016(3). Of note, ~69% of male and 65% of female patients with NPC in Malaysia present with late stages of the disease, at stages III and IV (3), leading to a 5-year relative survival rate of only ~46%, with a median survival time of 40.6 months (4). In Malaysia, NPC in childhood (ages 0-19 years) was the 7th and 9th most common type of cancer between the years 2007-2011 and 2012-2016, respectively (5).

NPC is the most common type of tumour that may develop in the nasopharynx (6,7). NPC, a type of cancer originating from the nasopharynx epithelium (8), is prevalent in Southern China, Southeast Asia, North Africa, and among the Eskimos of Alaska and Greenland (9). The Bidayuh, a native ethnic group of East Malaysia, has a predisposition for NPC (10). The ASR for Bidayuh was 24.6 per 100,000 males and 9.3 per 100,000 females (10). There are multiple risk factors involved in the development of NPC, including Epstein-Barr Virus (EBV) infection, genetic predisposition, diet, environmental exposure and tobacco smoking. The probable cancer-related risk factors contributing to the development of NPC among the Bidayuh population have been previously reviewed (11).

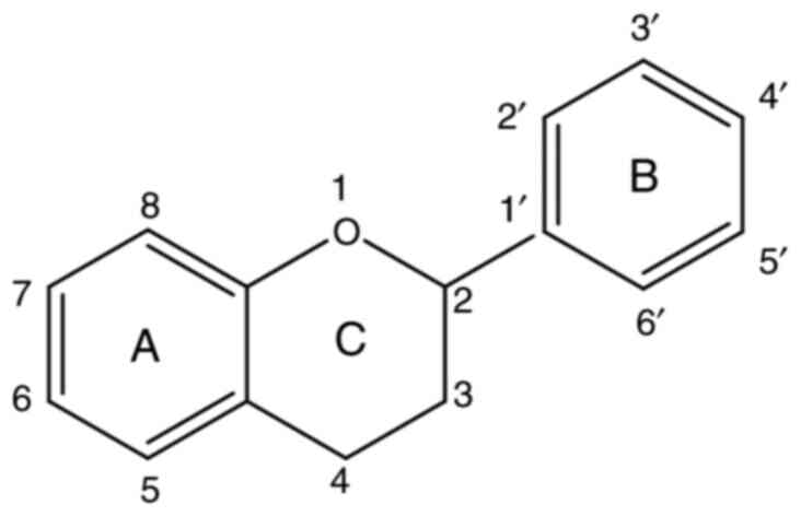
Flavonoids, low-molecular-weight polyphenolic compounds, are classified based on the carbon atom of ring C (closed pyran) to which ring B (benzene ring) is attached, the degree of unsaturation and oxidation of ring C (Fig. 1) (12). Sub-classes of flavonoids include anthocyanins, chalcones, flavones, isoflavones and flavonols.

Figure 1

General structure of flavonoids.

Patients undergoing locoregional therapy for advanced stages of NPC are treated with concurrent chemotherapy and radiotherapy (13,14). Cytotoxic chemotherapeutic drugs include cisplatin and 5-fluorouracil. However, the use of cisplatin is frequently associated with renal toxicity. Due to toxicities often associated with conventional cancer therapeutics, alternative, less toxic treatments are essential. There is a surge of interest in researching plant-derived flavonoids and their glycosides in human nutrition due to their health-related benefits for various chronic diseases, including cancer. Plant-derived flavonoids have the potential to be developed as an alternative therapy for the treatment of NPC with no side-effects. For example, quercetin was previously shown to reduce cisplatin toxicity in the LLC-PK1 pig kidney-derived cell line (15). Another study demonstrated that in the kidneys of tumour-bearing rats, quercetin exhibited protective activity from toxic damage inflicted by cisplatin (16). Furthermore, another study demonstrated that in vivo, cynaroside (luteolin-7-O-glucoside) decreased cisplatin-induced nephrotoxicity in the kidneys of mice, whereas, in vitro, cynaroside reduced the cisplatin-induced death in human kidney proximal tubule HK-2 cells (17). Simultaneous reports of the inhibitory effects of flavonoids in their free forms and glycosides are uncommon. The present study aimed to determine the inhibitory effects of selected aglycones of flavones (apigenin and luteolin) and flavonols (kaempferol and quercetin) and their respective glycosides (apigetrin, vitexin, isovitexin, cynaroside, orientin, isoorientin, astragalin and isoquercitrin) (Fig. 2) on C666-1 and HK1 cells, two cell lines often used as cell models for NPC. Finally, molecular docking was carried out against B-cell lymphoma-w (BCL-w) in an aim to better understand the mechanisms of action of flavones, flavonols and their glycosidic derivatives.

Figure 2

Chemical structures of selected flavones and flavonols.

These flavones and flavonols were selected for the present study based on numerous literature reports of their inhibitory effects on various human cancer cell lines (18-24). Numerous literature reports exist on the therapeutic properties of flavonoids and their dietary applications (25-27). Medicinal properties of flavonoids are ascribed to their ability to prevent injuries caused by reactive oxygen and nitrogen species. Hydroxyl groups of flavonoids react with and convert radicals into stable forms (28). Flavonoids exhibit potent antioxidant properties by neutralizing free radicals and reducing oxidative stress, which plays a crucial role in cancer progression (29). Additionally, flavonoids modulate inflammatory responses, which may prove to be beneficial in the prevention and treatment of cancer (30). Previous studies have demonstrated that flavonoids induce the apoptosis (programmed cell death) of cancer cells, suggesting their potential use as anticancer agents (29,31). Moreover, flavonoids can target multiple molecular pathways involved in cancer cell survival and proliferation, demonstrating their effectiveness in inhibiting tumour growth (31). Furthermore, apigenin (32), luteolin (33,34) and kaempferol (35) have been found to inhibit EBV reactivation, a key factor in NPC, as NPC is strongly associated with EBV (36).

Materials and methods

Chemicals

Apigenin, apigetrin, astragalin, cynaroside, isoorientin, isoquercitrin, isovitexin, kaempferol, luteolin, orientin, quercetin and vitexin were purchased from Merck KGaA. The purity of all the flavonoids was ≥98%, determined by high-performance liquid chromatography (data not shown). Cisplatin was obtained from Cayman Chemical Co.

In vitro evaluation of NPC cell viability inhibition. Cells and cell culture

HK1(37), an NPC cell line, was maintained in Roswell Park Memorial Institute (RPMI)-1640 (Gibco; Thermo Fisher Scientific, Inc.) medium supplemented with 10% heat-inactivated foetal calf serum (FCS; Gibco; Thermo Fisher Scientific, Inc.), 10 U/ml penicillin (Gibco; Thermo Fisher Scientific, Inc.) and 10 µg/ml streptomycin (Gibco; Thermo Fisher Scientific, Inc.) in a 5% carbon dioxide (CO2) humidified atmosphere at 37˚C. The C666-1 cells (38), another NPC cell line, was maintained in a similar manner, apart from the addition of 1X GlutaMAX-I Supplement (Gibco; Thermo Fisher Scientific, Inc.). HaCaT (39) cells, an immortalised human skin keratinocyte cell line, was maintained in Dulbecco's Modified Eagle Medium (DMEM) (Gibco; Thermo Fisher Scientific, Inc.) supplemented with 10% FCS. The HaCaT cell line (cell cat. no. 300493) was procured from CLS Cell Lines Service GmbH. The HaCaT cell line, as well as the immortalised nasopharyngeal epithelial cell lines, NP460hTERT (40) and NP69SV40T (41), represented normal cells. NP69SV40T was maintained in 1X keratinocyte serum-free medium (Gibco; Thermo Fisher Scientific, Inc.) supplemented with 25 µg/ml bovine pituitary extract and 0.16 ng/ml recombinant epidermal growth factor. The NP460hTERT cells were maintained at a 1:1 ratio of 1X defined keratinocyte serum-free medium (Gibco; Thermo Fisher Scientific, Inc.) with the addition of growth supplement: EpiLife Medium (Gibco; Thermo Fisher Scientific, Inc.) with EpiLife Defined Growth Supplement (Cascade Biologics, Life Technologies; Thermo Fisher Scientific, Inc.). DNA fingerprinting for HK1, C666-1, NP69SV40T and NP460hTERT cells was performed using the AmpFISTRIdentifiler® polymerase chain reaction amplification kit (Applied Biosystems; Thermo Fisher Scientific, Inc.). The routine detection of the mycoplasma contamination was carried out using the e-Myco™ Mycoplasma Polymerase chain reaction (PCR) Detection Kit (iNtRON Biotechnology, Inc,), according to the protocol of the manufacturer. Only mycoplasma-free cells were used throughout the study.

Evaluation of cell viability inhibition using MTS assay. A total of 5,000-30,000 C666-1, HK1, NP460hTERT, NP69SV40T and HaCaT cells/100 µl medium/well were seeded in 96-well microtiter plates and returned into the incubator at 37˚C in a 5% CO2 atmosphere for 1 day. After 1 day, the culture medium was aspirated and replaced with 100 µl freshly prepared culture medium containing 0-300 µM flavonoids dissolved in dimethyl sulfoxide (DMSO) (MilliporeSigma). The solvent control group was cells in 0.5% DMSO. The microtiter plates were returned to the incubator for 1-3 days. Using the CellTiter 96® AQueous One Solution Cell Proliferation (MTS) assay (Promega Corporation) as previously described (42), the percentage MTS signal was obtained after 1-3 days to determine whether flavonoids could inhibit the cells. Briefly, 20 µl MTS reagent were added to each well and the microtiter plates were returned to the incubator for 1-4 h, according to the optimal incubation time for MTS reagent. The absorbance at 490 nm and non-specific absorbance at 630 nm was measured using an EnVision multilabel plate reader (PerkinElmer, Inc.). Wells with medium but without cells served as the blank control. The percentage of MTS signal was calculated and compared to that of the solvent control group. Dose-response curves for 1-3 days of flavonoid exposure were plotted. IC50 values, specifically the effective concentration that inhibited 50% MTS signal relative to the solvent control group, were obtained by using non-linear regression (curve fit) on GraphPad Prism version 6.07 for Windows (Dotmatics). At least three independent experiments were performed, and the average IC50 value was reported. Statistical analysis, as for example, using a t-test or ANOVA, is not typically performed for reports of IC50 values. Rather, the IC50 values of the flavonoids were compared to cisplatin, a conventional chemotherapeutic drug for NPC, and used herein as the positive control. Cisplatin (0-300 µM) was assayed for 1-3 days. Additionally, calculating the selectivity index of the flavonoids and standard chemotherapeutic drugs is also useful. The selectivity index (SI) was calculated as the ratio of IC50 values in normal cells to cancer cells (43).

xCELLigence cell inhibition assay. The C666-1, HK1, NP460hTERT, NP69SV40T and HaCaT cells were seeded at a density of 5,000-3,0000 cells/100 µl medium/well into E-Plate 16 (ACEA Biosciences, Inc.) for 1 day. The culture medium was then aspirated and replaced with 100 µl freshly prepared medium containing apigenin, kaempferol, or luteolin, or their respective glucoside to a final concentration of 25, 50, or 100 µM. Cells in 0.5% DMSO were the solvent control group. The growth pattern of the cells was monitored dynamically on the impedance-based real-time cell analyser xCELLigence RTCA DP (ACEA Biosciences, Inc.) for a further 76 h at 37˚C in a 5% CO2 atmosphere to validate the effect of flavonoids on cells. Throughout the 76-h period, the culture medium was neither aspirated nor replaced. The data analysis software used was RTCA version 2.0 (ACEA Biosciences, Inc.). The cell index was normalised to the time immediately point prior to the addition of the flavonoids. At least three independent experiments were performed.

Molecular docking analyses. Protein preparation

The three-dimensional (3D) structure of BCL-w (PDB ID: 2Y6W) (44) was selected and downloaded from Protein Data Bank (PDB) (45). Biovia Discovery Studio (DS) (Biovia) (46) and AutoDock Tools 1.5.6 (ADT) (47) were used to prepare the protein for docking. The protein structure was imported to AutoDock to remove the water molecules and add the polar hydrogen atoms and Gasteiger charges. Finally, the protein structures were saved in pdbqt format.

Ligand preparation. ChemSketch Software version 2019 (Advanced Chemistry Development, Inc.) was used to draw the 2D structures of the selected flavones, flavonols and their glycosidic derivatives. Biovia DS was used to convert the 2D structures of the compound into their respective 3D structures, and the geometry was optimised using a DREIDING-like forcefield. The 3D structures of the ligands were imported into AutoDock, where ADT was used to prepare the ligands for docking by adding charges, setting the rotatable bonds, and allowing all the torsions to rotate for the ligands. All the ligands were then saved in pdbqt format.

Identification of the binding site. The binding site of protein structure was identified based on the residues previously reported in the literature (48). ADT was used to determine the Grid Box that covers the entire identified binding site of the protein. The coordinates and sizes of the Grid Box were saved in the input parameter file.

Molecular docking. After preparing the protein structure, ligands and the input parameter file, molecular docking was performed using AutoDock Vina 1.1.2. (49,50). The prepared ligands were docked into the active sites of the prepared target protein. All the docking parameters have remained as default settings. The binding affinities of the ligands were recorded and compared. The binding poses of the ligands and the mode of interactions of the protein-ligand complex were studied using Biovia DS.

Results

In vitro evaluation of NPC cell viability inhibition

A preliminary screening involving four pure compounds, apigenin, kaempferol, luteolin and quercetin, and their respective glucosides was performed using MTS assay. Effective concentrations required to inhibit 50% MTS signal were attained from concentration-response curves. As a solvent control group, DMSO did not influence the percentage of MTS signal. Generally, apigenin, kaempferol, luteolin and quercetin exerted time- and concentration-dependent inhibitory effects (Fig. 3A-D and Table SI). Apigenin, kaempferol, luteolin, and quercetin were more effective against the cell lines tested; in most cases, IC50 values of apigenin, kaempferol, luteolin and quercetin were lower than their glucoside equivalents. On the whole, IC50 values of the glucoside equivalents were unreachable (Fig. 3A-D and Table SI). However, even at the highest concentration tested, vitexin, isovitexin, cynaroside, orientin, isoorientin and astragalin did not markedly inhibit the cell lines tested (Table SI). Cisplatin, a standard chemotherapeutic drug used for the treatment of NPC, killed immortalised nasopharyngeal epithelial cells and immortalised human skin keratinocytes, in addition to NPC cells (Fig. 3E and Table SI). Due to the toxicities frequently associated with cisplatin, alternative, less toxic treatments are essential. The SI is a calculation used to evaluate the toxicity of compounds against normal cells (51). A higher SI value means that cancer cells could be killed more than normal cells; thus, SI can predict the therapeutic potential (51). An SI>2 is favourable for a compound to be an effective anticancer agent (43). Thus, herein, where the IC50 could be attained, the SI values of cisplatin, apigenin, kaempferol, luteolin, quercetin and their glucoside equivalents on NPC cells against normal cells were determined (Table I). Apigetrin was the most selective flavonoid tested between normal and NPC cells, with SI values ranging between 2.490 and 3.073 (Table I).

Figure 3

IC50 values of (A) kaempferol and astragalin (kaempferol-3-O-glucoside), (B) apigenin and apigetrin (apigenin-7-O-glucoside), (C) luteolin and cynaroside (luteolin-7-O-glucoside), (D) quercetin and isoquercitrin (quercetin-3-O-glucoside), and (E) cisplatin, 1-3 days post-treatment on C666-1 and HK1 (NPC cells), NP460hTERT and NP69SV40T (immortalised nasopharyngeal epithelial cells), and HaCaT (immortalised human skin keratinocyte). Absent bars denote unattainable IC50 values at the highest concentration tested.

Table I

Selectivity index of immortalised nasopharyngeal epithelial cells and immortalised human skin keratinocyte against nasopharyngeal carcinoma cells at 1-3 days post-treatment.

Table I

Selectivity index of immortalised nasopharyngeal epithelial cells and immortalised human skin keratinocyte against nasopharyngeal carcinoma cells at 1-3 days post-treatment.

 Epithelial, undifferentiated carcinoma C666-1Epithelial, squamous cell carcinoma HK1
 Selectivity index, IC50 NP460hTERT/IC50 C666-1Selectivity index, IC50 NP69SV40T/IC50 C666-1Selectivity index, IC50 HaCaT/IC50 C666-1Selectivity index, IC50 NP460hTERT/IC50 HK1Selectivity index, IC50 NP69SV40T/IC50 HK1Selectivity index, IC50 HaCaT/IC50 HK1
Standard chemotherapeutic drug or flavonoidDay 1Day 2Day 3Day 1Day 2Day 3Day 1Day 2Day 3Day 1Day 2Day 3Day 1Day 2Day 3Day 1Day 2Day 3
Cisplatin Flavonoid0.0980.1370.160NA2.6210.8800.1840.1580.1070.1720.3020.462NA5.7912.5380.3240.3490.308
Apigenin2.3020.6670.240NA2.0390.667NA0.8230.444-0.6540.191NA20.529NA0.8080.353
Apigetrin (Apigenin-7-O-glucoside)0.6961.5272.9761.037NA3.073NANANA0.9132.8252.4901.359NA2.571NANANA
Kaempferol0.7971.1780.869NA0.7330.2620.699NA2.8360.3580.7520.315NA0.4680.0950.314NA1.030
Astragalin (Kaempferol-3-O-glucoside)NANANANANANANANANANANANANANANANANANA
Luteolin0.4400.2570.2821.0930.3140.2821.5201.3141.8210.2140.1730.1640.5320.2120.1640.7400.8851.060
Cynaroside (Luteolin-7-O-glucoside)NANANANANANANANANANANANANANANANANANA
Quercetin-0.2620.421-0.1520.316NANA1.836--0.303--0.227NANA1.322
Isoquercitrin (Quercetin-3-O-glucoside)NA--NANA-NANA-NA0.2990.008NANA0.025NANA0.644

[i] NA, IC50 of normal cells not within reach at the highest concentration tested; -, IC50 of cancer cells not within reach at the highest concentration tested.

In order to verify the results of MTS assay, growth kinetics were monitored dynamically through the xCELLigence system, a real-time, impedance-based cell analyser used to quantify adherent cell proliferation, cell viability, and cytotoxicity non-invasively. The cell index, a dimensionless parameter, increased in correspondence to impedance amplification within the electrical circuit caused by more cells deposited on the bottom of the well. The cell index represented growth or proliferation over time. The normalised cell index generated by NPC cells and nasopharyngeal epithelial cells in kaempferol was markedly lower than that of the control cells; 100 µM kaempferol led to a near-static normalised cell index (Fig. 4A). Apigenin essentially yielded similar results in NPC cells and nasopharyngeal epithelial cells, evident from the rapid decline of the normalised cell index compared to the control cells (Fig. 4B). Luteolin produced a similar effect on human skin keratinocytes (Fig. 4C). Cells exposed to astragalin (Figs. 3A and 4A) or cynaroside (Figs. 3C and 4C) were not inhibited. The normalised cell index in astragalin or cynaroside was comparable to the control cells (Fig. 4A and C). Finally, dynamic monitoring demonstrated that apigetrin inhibited NPC cells and nasopharyngeal epithelial cells to a certain extent (Figs. 3B and 4B). Thus, the outcomes of the xCELLigence system were in agreement with those of the MTS assay.

Figure 4

Growth kinetics represented by time (x-axis) and normalised cell index (y-axis) generated by xCELLigence system depicting the effect of (A) kaempferol and astragalin (kaempferol-3-O-glucoside), (B) apigenin and apigetrin (apigenin-7-O-glucoside), on C666-1 and HK1 (NPC cells), NP460hTERT and NP69SV40T (immortalised nasopharyngeal epithelial cells), and (C) luteolin and cynaroside (luteolin-7-O-glucoside) on HaCaT (immortalised human skin keratinocyte).

Docking analyses

C666-1 and HK1, two cell lines often used as cell models for NPC, express all the anti-apoptotic genes, including BCL-w, apart from for BFL-1 in C666-1(52). In the present study, in order to better understand the mechanisms of action of the selected flavones, flavonols and their glycosidic derivatives, molecular docking analyses were carried out against BCL-w as the target site. Cynaroside possessed the highest binding affinity among all flavones, flavonols and their glycoside derivatives (Table II). Cynaroside was followed by apigetrin, followed by both isoorientin and isovitexin. Apigenin and kaempferol had the lowest affinities for BCL-w. In general, the O-glycosides demonstrated the highest binding affinity, followed by the C-glycosides, and the aglycones exhibited the lowest affinities for BCL-w. The evaluation of the binding modes revealed that the binding modes of cynaroside and apigetrin were relatively similar, and they are bound to the ligand binding pocket (Figs. 5 and 6). On the other hand, isoorientin and isovitexin (Figs. 7 and 8) exhibited relatively different binding modes from cynaroside and apigetrin. Isoorientin and isovitexin bound to a pocket adjacent to the pocket where cynaroside and apigetrin were bound. The binding interactions demonstrated by isoorientin and isovitexin also differed from those of cynaroside and apigetrin. Cynaroside formed hydrogen bonds with glycine 90 and phenylalanine 102, while it formed hydrophobic interactions via its chromene ring with arginine 56 and leucine 86. Apigetrin formed a hydrogen bond with glycine 90 and hydrophobic interactions via its chromene ring with arginine 56 and leucine 86 and the phenyl ring with phenylalanine 102. The binding interactions of isoorientin and isovitexin with the BCL-w binding site included hydrogen bonds with leucine 86 and arginine 95, and hydrophobic interactions via its chromene.

Figure 5

Docking pose of cynaroside in the ligand binding site of BCL-w (PDB ID: 2Y6W).

Figure 6

Docking pose of apigetrin in the ligand binding site of BCL-w (PDB ID: 2Y6W).

Figure 7

Docking pose of isoorientin in the ligand binding site of BCL-w (PDB ID: 2Y6W).

Figure 8

Docking pose of isovitexin in the ligand binding site of BCL-w (PDB ID: 2Y6W).

Table II

Docking scores of the selected flavones, flavonols and their glycosidic derivatives.

Table II

Docking scores of the selected flavones, flavonols and their glycosidic derivatives.

LigandBinding affinity (Kcal/mol)
Apigenin-6.9
Apigetrin-8.8
Astragalin-7.9
Cynaroside-9.1
Isoorientin-8.2
Isoquercitrin-7.9
Isovitexin-8.2
Kempferol-6.9
Luteolin-7.7
Orientin-7.9
Quercetin-7.1
Vitexin-7.6

Discussion

Previous studies have demonstrated the inhibitory effects of flavonoids on various human cancer cell lines. Flavones and flavonols have been reported to be the most bioactive flavonoids against gastric and pancreatic cancer (53,54). Among other chemicals, kaempferol, apigenin, luteolin and quercetin have been shown to inhibit OVCAR-3 ovarian cancer cell proliferation (55). In another study, in human leukaemia Jurkat T-cells, the order of potency at 24 h post-treatment was apigenin > quercetin > kaempferol > myricetin (56). Moreover, among various flavonoids, apigenin, genistein and luteolin were shown to significantly reduce human colorectal cancer HCT-116 cell growth (57). In addition, amongst other flavones and isoflavones, apigenin was the most effective compound for arresting cell growth (57). It was previously demonstrated that apigenin 7-glucoside inhibited human promyelocytic leukaemia HL-60 cell proliferation (58). Luteolin was shown to inhibit NPC CNE2(59) and NPC HK1, C17, C666-1 and NPC 43 cell growth (42). Treatment with 100 µM quercetin for 3 days was also shown to inhibit NPC C666-1 and HK1 cells (19). Similarly, was found to quercetin abrogate the proliferation and induce the death of NPC 5-8F and C666-1 cells (22).

Flavones and flavonols are predominant classes of flavonoids. The structure of flavones has a double bond between positions 2 and 3 and a ketone in position 4 of the C ring (Fig. 2). Flavonols, also known as 3-hydroxyflavone, are structurally similar to flavones, apart from for the addition of a hydroxyl group in position 3 of ring C (Fig. 2). Flavones and flavonols occur in nature in a free state (aglycones) and as O- or C-glycosides, where the sugar moiety is linked to the hydroxy group of the aglycone (O-glycoside) or directly to the carbon atom of the aglycone (C-glycoside). Apigenin, luteolin, kaempferol and quercetin were effective against the cell lines tested in the present study. Notably, the inhibitory activity of apigenin and luteolin was higher than that of kaempferol and quercetin. The number of hydroxy groups on ring B of flavone and flavonol aglycones was observed to influence the inhibitory effect, as apigenin exhibited better activity than luteolin, whilst kaempferol exhibited better activity than quercetin. Apigenin and kaempferol have one hydroxy group on ring B, while luteolin and quercetin have two hydroxyl groups on ring B (Fig. 2). Thus, increasing the solubility of molecules by introducing hydroxy functions may not be suitable for the in vitro assays described herein. This was further confirmed by comparing aglycones with their respective glycosides. Glycosides are bioactive aglycone and glucosyl group conjugations. Aglycones (apigenin, kaempferol, luteolin and quercetin) were more effective against the cell lines tested as compared to the respective O-glycosides and C-glycosides (Fig. 3 and Table SI). In vitro, the inhibitory effect of O-glycosides was relatively higher than their corresponding C-glycosides. Even at the highest concentration tested, C-glycosides (vitexin, isovitexin, orientin, and isoorientin) had no marked inhibitory effect on the cell lines assessed (Table SI). Such a report on NPC cells has not been made available to date, at least to the best of our knowledge. However, one limitation of the present study is the absence of statistical analysis.

The efficacy of flavonoids and their glycoside derivatives in inhibiting NPC cells has been well-documented (29). It has been shown that these compounds exhibit significant anticancer effects, such as the induction of apoptosis and induction of numerous signalling pathways, thus inhibiting NPC cell growth and proliferation (60). Flavonoids are known to neutralize free radicals, reduce oxidative stress and modulate inflammatory responses, which are essential in preventing cancer progression and causing cell cycle arrest (61). It has been shown that the use of 100 µM quercetin arrested HK1 NPC cells at the G2/M phase (19). Moreover, quercetin was found to decrease the expression of fatty acid synthase (FASN) and Ki67(19). The expression of FASN is elevated in highly proliferating cancer cells to accommodate intensified fatty acid synthesis (62), while Ki67 antigen is a cell proliferation marker. Luteolin is particularly effective in triggering ferroptosis and inhibiting the proliferation of NPC cells. It interferes with pathways involved in cancer cell survival and growth (63). Additionally, quercetin or luteolin, combined with cisplatin, produced synergistic effects against NPC cells (19,42). Morusin, a flavonoid obtained from the Morus plant, targets various molecular targets and signalling pathways, hindering the growth of NPC (64). Glycoside derivatives of flavonoids have an advantage over aglycones due to their enhanced bioavailability and targeted actions, which improve their anticancer effects. Glycoside derivatives improve the bioavailability of flavonoids, leading to increased apoptotic protein expression and ultimately causing cell death in cancer cells (65). Moreover, glycoside derivatives have demonstrated targeted effects on various cancer cells, triggering necroptosis, apoptosis, and cell cycle arrest (65).

BCL-w is an anti-apoptotic member of the B-cell lymphoma-2 (BCL-2) family of proteins that integrate signals that prompt cell survival or apoptosis (66). Several signalling pathways control the BCL-w level. BCL-w levels have been found to be elevated in various types of cancer. Increased levels of BCL-w may be ascribed to the abnormal activation of signalling cascades involved in regulating BCL-w expression (67). Increased levels of BCL-w, together with oncogene activation, contribute to cancer development and progression. The inhibition of BCL-w may benefit patients with cancer. To date, to the best of our knowledge, no known agents selectively target BCL-w (67). BCL-w exhibits a high conformational flexibility (67). Therefore, it would be advantageous to elucidate how this conformational flexibility could be used to develop inhibitors selective of BCL-w (67). Drugs and natural compounds that affect BCL-w levels, including the downregulation of BCL-w protein expression levels by cisplatin in the JHU-029 head and neck squamous cell carcinoma cell line, have been reviewed comprehensively (67). Quercetin has been shown to decrease BCL-w mRNA expression in N2a mouse neuroblastoma cell line (68). The docking scores of matrine, used to treat diverse cancers, including NPC, and matrine-derivatives, have been reported (48). However, to the best of our knowledge, no study available to date has described the potential of flavonoids to be developed as inhibitors selective for BCL-w in NPC.

Flavonoids induce the apoptosis of cancer cells by binding to BCL-w and disrupting its anti-apoptotic function (69). A comparison of the binding sites of different flavonoids with BCL-w reveals both similarities and differences in their molecular interactions and structural features (70). Variations in binding affinities to BCL-w among different flavonoids can affect their potency and efficacy in inducing apoptosis. The specific amino acids involved in binding interactions may differ among flavonoids, leading to variations in their biological activity (70). Structural features of flavonoids, such as the presence of hydroxyl groups and glycosylation, can influence their binding to BCL-w and overall biological activity. The hydroxyl groups of flavonoids form hydrogen bonds with specific amino acids in the binding site of BCL-w, enabling interaction and potential inhibition of BCL-w activity (71). However, differences in the orientation and positioning of these groups among different flavonoids can result in varying degrees of binding affinity and biological activity. Flavonoids with higher binding affinity and optimal structural features are more effective at inducing apoptosis in cancer cells by disrupting BCL-w function (67). For example, a flavonoid with additional hydroxyl groups may exhibit stronger interactions with key amino acids in the binding site, leading to increased biological activity by enhancing the inhibition of BCL-w. Conversely, another flavonoid with a different orientation of hydroxyl groups may have reduced binding affinity and lower biological activity. Therefore, understanding these structural differences in binding sites and their impact on biological activity is essential for the rational design of flavonoid-based compounds with enhanced BCL-w inhibitory effects (70).

In the present study, cynaroside exhibited the highest binding affinity for BCL-w, followed by apigetrin, while isoorientin and isovitexin exhibited moderate affinities. Apigenin and kaempferol recorded the lowest affinities for BCL-w. The structural variances between the compounds, such as the presence and position of the sugar groups, markedly influence their binding affinities and, consequently, their biological activities (72). Overall, the O-glycosides demonstrated the highest binding affinities, followed by the C-glycoside glycosides, with aglycones having the least affinity for BCL-w. The presence of glycoside moieties enhances the binding affinity compared to the aglycones, which lack the sugar groups. Additionally, the glycoside moiety enhances solubility and bioavailability, which is crucial for the interaction with BCL-w (73). The higher binding activity of the O-glycosides compared to the C-glycosides may be attributed to their flexibility. The O-glycoside bond provides more flexibility compared to the C-glycoside bond, facilitating better fitting and binding to the protein's active site (65). O-glycosides are relatively stable in physiological conditions, leading to sustained interactions with target proteins (74). The higher the binding activity to BCL-w, the more effective the compound will likely be in disrupting its anti-apoptotic function and inducing apoptosis in cancer cells.

In conclusion, in the present study, 12 flavonoids were screened in vitro for cell inhibition. The present study demonstrated that apigenin, kaempferol, luteolin and quercetin consistently inhibited NPC cells, nasopharyngeal epithelial cells, or skin keratinocytes. Inhibition by apigenin, kaempferol, luteolin and quercetin was more notable than their glucoside equivalents. O-glycosides inhibited cells to a lesser extent, whilst C-glycosides, namely vitexin, isovitexin, orientin and isoorientin, did not exert any inhibitory effect. The molecular docking analyses highlighted the relative binding affinities of the selected flavonoids to BCL-w, indicating that glycosides, particularly O-glycosides, such as cynaroside, have superior binding capabilities compared to aglycones like apigenin and kaempferol. This suggests that structural modifications, such as glycosylation, enhance the anticancer efficacy of flavonoids. The molecular docking analyses also revealed the importance of the chromene rings of flavones, flavonols and their glycosidic derivatives in forming critical hydrophobic interactions with the binding site residues of BCL-w. These findings can be further used in designing new derivatives with better binding affinity with BCL-w protein.

Acknowledgements

The authors would like to thank the Director General of Health Malaysia for permission to publish this article. HK1, NP69SV40T and NP460hTERT cells were from the late Professor G.S.W. Tsao (The University of Hong Kong), whilst C666-1 cells were from Professor K.W. Lo (The Chinese University of Hong Kong).

Funding

Funding: The present study was financially supported by the Ministry of Health, Malaysia (NMRR-14-815-22074).

Availability of data and materials

The data generated in the present study may be requested from the corresponding author.

Authors' contributions

MD acquired and analysed the in vitro data and was a major contributor to the writing of the manuscript. AG performed the molecular docking analyses and was involved in drafting the manuscript. GAA contributed to the conception and design of the study, as well as the interpretation of the chemistry data and revision of the manuscript. MD and AG confirm the authenticity of all raw data. All authors have read and approved the final manuscript.

Ethics approval and consent to participate

The Medical Research and Ethics Committee (MREC), Ministry of Health Malaysia, has determined that the presaent study does not require MREC approval as the research does not involve human subjects.

Patient consent for publication

Not applicable.

Competing interests

The authors declare that they have no competing interests.

References

1 

Ferlay J, Ervik M, Lam F, Laversanne M, Colombet M, Mery L, Piñeros M, Znaor A, Soerjomataram I and Bray F: Global Cancer Observatory: Cancer Today (version 1.1). International Agency for Research on Cancer, Lyon, 2024. https://gco.iarc.fr/today. Accessde November 25, 2024.

2 

Ferlay J, Ervik M, Lam F, Laversanne M, Colombet M, Mery L, Piñeros M, Znaor A, Soerjomataram I and Bray F: Global Cancer Observatory: Cancer Tomorrow (version 1.1). International Agency for Research on Cancer, Lyon, 2024. https://gco.iarc.fr/tomorrow. Accessed November 25, 2024.

3 

Malaysia National Cancer Registry Report 2012-2016. National Cancer Registry Department, National Cancer Institute, Ministry of Health, Malaysia, 2019.

4 

Malaysian Study on Cancer Survival (MySCan). National Cancer Registry, National Cancer Institute, Ministry of Health Malaysia, Malaysia, 2018.

5 

Incidence of Childhood Cancer in Malaysia 2007-2016. National Cancer Registry Department, Institut Kanser Negara, Ministry of Health, Malaysia, 2021.

6 

Chan JJC, Pilch BZ, Kuo TT, Wenig BM and Lee AWM: Tumours of the nasopharynx. In: World Health Organization Classification of Tumours: Pathology and Genetics of Head and Neck Tumours. Barnes L, Eveson JW, Reichart P and Sidransky D (eds.). IARC Press, Lyon, 2005.

7 

Poh SS, Chua MLK and Wee JTS: Carcinogenesis of nasopharyngeal carcinoma: Aan alternate hypothetical mechanism. Chin J Cancer. 35(9)2016.PubMed/NCBI View Article : Google Scholar

8 

Chua MLK, Wee JTS, Hui EP and Chan ATC: Nasopharyngeal carcinoma. Lancet. 387:1012–1024. 2016.PubMed/NCBI View Article : Google Scholar

9 

Tsao SW, Yip YL, Tsang CM, Pang PS, Lau VM, Zhang G and Lo KW: Etiological factors of nasopharyngeal carcinoma. Oral Oncol. 50:330–338. 2014.PubMed/NCBI View Article : Google Scholar

10 

Epidemiology of Cancer in Sarawak 2007-2011. Sarawak Cancer Registry, Sarawak Health Department, Malaysia, 2017.

11 

Linton RE, Daker M, Khoo ASB, Choo DCY, Viljoen M and Neilsen PM: Nasopharyngeal carcinoma among the Bidayuh of Sarawak, Malaysia: History and risk factors. Oncol Lett. 22(514)2021.PubMed/NCBI View Article : Google Scholar

12 

Shen N, Wang T, Gan Q, Liu S, Wang L and Jin B: Plant flavonoids: Classification, distribution, biosynthesis, and antioxidant activity. Food Chem. 383(132531)2022.PubMed/NCBI View Article : Google Scholar

13 

Li XY, Luo DH, Guo L, Mo HY, Sun R, Guo SS, Liu LT, Yang ZC, Yang JH, Qiu F, et al: Deintensified chemoradiotherapy for pretreatment Epstein-barr virus DNA-selected low-risk locoregionally advanced nasopharyngeal carcinoma: A phase II randomized noninferiority trial. J Clin Oncol. 40:1163–1173. 2022.PubMed/NCBI View Article : Google Scholar

14 

Tang QN, Liu LT, Qi B, Guo SS, Luo DH, Sun R, Sun XS, Chen DP, Guo L, Mo HY, et al: Effect of concurrent chemoradiotherapy with nedaplatin vs cisplatin on the long-term outcomes of survival and toxic effects among patients with stage II to IVB nasopharyngeal carcinoma: A 5-year follow-up secondary analysis of a randomized clinical trial. JAMA Netw Open. 4(e2138470)2021.PubMed/NCBI View Article : Google Scholar

15 

Kuhlmann MK, Horsch E, Burkhardt G, Wagner M and Köhler H: Reduction of cisplatin toxicity in cultured renal tubular cells by the bioflavonoid quercetin. Arch Toxicol. 72:536–540. 1998.PubMed/NCBI View Article : Google Scholar

16 

Sanchez-Gonzalez PD, Lopez-Hernandez FJ, Perez-Barriocanal F, Morales AI and Lopez-Novoa JM: Quercetin reduces cisplatin nephrotoxicity in rats without compromising its anti-tumour activity. Nephrol Dial Transplant. 26:3484–3495. 2011.PubMed/NCBI View Article : Google Scholar

17 

Nho JH, Jung HK, Lee MJ, Jang JH, Sim MO, Jeong DE, Cho HW and Kim JC: Beneficial effects of cynaroside on cisplatin-induced kidney injury in vitro and in vivo. Toxicol Res. 34:133–141. 2018.PubMed/NCBI View Article : Google Scholar

18 

Amado NG, Cerqueira DM, Menezes FS, Mendes da Silva JF, Neto VM and Abreu JG: Isoquercitrin isolated from Hyptis fasciculata reduces glioblastoma cell proliferation and changes beta-catenin cellular localization. Anticancer Drugs. 20:543–552. 2009.PubMed/NCBI View Article : Google Scholar

19 

Daker M, Ahmad M and Khoo ASB: Quercetin-induced inhibition and synergistic activity with cisplatin-a chemotherapeutic strategy for nasopharyngeal carcinoma cells. Cancer Cell Int. 12(34)2012.PubMed/NCBI View Article : Google Scholar

20 

Jeong JC, Kim MS, Kim TH and Kim YK: Kaempferol induces cell death through ERK and Akt-dependent down-regulation of XIAP and survivin in human glioma cells. Neurochem Res. 34:991–1001. 2009.PubMed/NCBI View Article : Google Scholar

21 

Lefort ÉC and Blay J: Apigenin and its impact on gastrointestinal cancers. Mol Nutr Food Res. 57:126–144. 2013.PubMed/NCBI View Article : Google Scholar

22 

Li T and Li Y: Quercetin acts as a novel anti-cancer drug to suppress cancer aggressiveness and cisplatin-resistance in nasopharyngeal carcinoma (NPC) through regulating the yes-associated protein/Hippo signaling pathway. Immunobiology. 228(152324)2023.PubMed/NCBI View Article : Google Scholar

23 

Lim DY, Jeong Y, Tyner AL and Park JHY: Induction of cell cycle arrest and apoptosis in HT-29 human colon cancer cells by the dietary compound luteolin. Am J Physiol Gastrointest Liver Physiol. 292:G66–G75. 2007.PubMed/NCBI View Article : Google Scholar

24 

Pacifico S, Scognamiglio M, D'Abrosca B, Piccolella S, Tsafantakis N, Gallicchio M, Ricci A and Fiorentino A: Spectroscopic characterization and antiproliferative activity on HepG2 human hepatoblastoma cells of flavonoid C-glycosides from petrorhagia velutina. J Nat Prod. 73:1973–1978. 2010.PubMed/NCBI View Article : Google Scholar

25 

González-Molina E, Domínguez-Perles R, Moreno DA and García-Viguera C: Natural bioactive compounds of Citrus limon for food and health. J Pharm Biomed Anal. 51:327–345. 2010.PubMed/NCBI View Article : Google Scholar

26 

Li N, Liu JH, Zhang J and Yu BY: Comparative evaluation of cytotoxicity and antioxidative activity of 20 flavonoids. J Agric Food Chem. 56:3876–3883. 2008.PubMed/NCBI View Article : Google Scholar

27 

Sak K: Cytotoxicity of dietary flavonoids on different human cancer types. Pharmacogn Rev. 8:122–146. 2014.PubMed/NCBI View Article : Google Scholar

28 

Panche AN, Diwan AD and Chandra SR: Flavonoids: An overview. J Nutr Sci. 5(e47)2016.PubMed/NCBI View Article : Google Scholar

29 

Mahmud AR, Ema TI, Siddiquee MFR, Shahriar A, Ahmed H, Mosfeq-Ul-Hasan M, Rahman N, Islam R, Uddin MR and Mizan MFR: Natural flavonols: Actions, mechanisms, and potential therapeutic utility for various diseases. Beni Suef Univ J Basic Appl Sci. 12(47)2023.PubMed/NCBI View Article : Google Scholar

30 

Al-Khayri JM, Sahana GR, Nagella P, Joseph BV, Alessa FM and Al-Mssallem MQ: Flavonoids as potential anti-inflammatory molecules: A review. Molecules. 27(2901)2022.PubMed/NCBI View Article : Google Scholar

31 

Hu Y, Yu C, Cheng L, Zhong C, An J, Zou M, Liu B and Gao X: Flavokawain C inhibits glucose metabolism and tumor angiogenesis in nasopharyngeal carcinoma by targeting the HSP90B1/STAT3/HK2 signaling axis. Cancer Cell Int. 24(158)2024.PubMed/NCBI View Article : Google Scholar

32 

Wu CC, Fang CY, Cheng YJ, Hsu HY, Chou SP, Huang SY, Tsai CH and Chen JY: Inhibition of epstein-barr virus reactivation by the flavonoid apigenin. J Biomed Sci. 24(2)2017.PubMed/NCBI View Article : Google Scholar

33 

Wu CC, Fang CY, Hsu HY, Chen YJ, Chou SP, Huang SY, Cheng YJ, Lin SF, Chang Y, Tsai CH and Chen JY: Luteolin inhibits Epstein-Barr virus lytic reactivation by repressing the promoter activities of immediate-early genes. Antiviral Res. 132:99–110. 2016.PubMed/NCBI View Article : Google Scholar

34 

Wu CC, Fang CY, Hsu HY, Chuang HY, Cheng YJ, Chen YJ, Chou SP, Huang SY, Lin SF, Chang Y, et al: EBV reactivation as a target of luteolin to repress NPC tumorigenesis. Oncotarget. 7:18999–19017. 2016.PubMed/NCBI View Article : Google Scholar

35 

Wu CC, Lee TY, Cheng YJ, Cho DY and Chen JY: The dietary flavonol kaempferol inhibits Epstein-Barr virus reactivation in nasopharyngeal carcinoma cells. Molecules. 27(8158)2022.PubMed/NCBI View Article : Google Scholar

36 

Baloche V, Ferrand F-R, Makowska A, Even C, Kontny U and Busson P: Emerging therapeutic targets for nasopharyngeal carcinoma: Opportunities and challenges. Expert Opin Ther Targets. 24:545–558. 2020.PubMed/NCBI View Article : Google Scholar

37 

Huang DP, Ho JHC, Poon YF, Chew EC, Saw D, Lui M, Li CL, Mak LS, Lai SH and Lau WH: Establishment of a cell line (NPC/HK1) from a differentiated squamous carcinoma of the nasopharynx. Int J Cancer. 26:127–132. 1980.PubMed/NCBI View Article : Google Scholar

38 

Cheung ST, Huang DP, Hui ABY, Lo KW, Ko CW, Tsang YS, Wong N, Whitney BM and Lee JC: Nasopharyngeal carcinoma cell line (C666-1) consistently harbouring Epstein-Barr virus. Int J Cancer. 83:121–126. 1999.PubMed/NCBI View Article : Google Scholar

39 

Boukamp P, Petrussevska RT, Breitkreutz D, Hornung J, Markham A and Fusenig NE: Normal keratinization in a spontaneously immortalized aneuploid human keratinocyte cell line. J Cell Biol. 106:761–771. 1988.PubMed/NCBI View Article : Google Scholar

40 

Li HM, Man C, Jin Y, Deng W, Yip YL, Feng HC, Cheung YC, Lo KW, Meltzer PS, Wu ZG, et al: Molecular and cytogenetic changes involved in the immortalization of nasopharyngeal epithelial cells by telomerase. Int J Cancer. 119:1567–1576. 2006.PubMed/NCBI View Article : Google Scholar

41 

Tsao SW, Wang X, Liu Y, Cheung YC, Feng H, Zheng Z, Wong N, Yuen PW, Lo AK, Wong YC and Huang DP: Establishment of two immortalized nasopharyngeal epithelial cell lines using SV40 large T and HPV16E6/E7 viral oncogenes. Biochim Biophys Acta. 1590:150–158. 2002.PubMed/NCBI View Article : Google Scholar

42 

Daker M, Jayaweera U, Marzuki M, Gunasegaran G, Chew YL, Ahmad M and Akowuah GA: Content of luteolin and luteolin-7-О-glucoside from the leaves of Vernonia amygdalina Del., and synergistic inhibitory effect with cisplatin on nasopharyngeal carcinoma cells. Chem Data Collections. 45(101039)2023.

43 

Radha Abbas Hasoon M and Jawad Kadhim N: Improvement of the selectivity index (SI) and cytotoxicity activity of doxorubicin drug by panax ginseng plant extract. Arch Razi Inst. 76:659–666. 2021.PubMed/NCBI View Article : Google Scholar

44 

Lee Erinna F, Dewson G, Smith Brian J, Evangelista M, Pettikiriarachchi A, Dogovski C, Perugini MA, Colman PM and Fairlie WD: Crystal structure of a BCL-W Domain-swapped dimer: Implications for the function of BCL-2 family proteins. Structure. 19:1467–1476. 2011.PubMed/NCBI View Article : Google Scholar

45 

Berman HM, Westbrook J, Feng Z, Gilliland G, Bhat TN, Weissig H, Shindyalov IN and Bourne P: The protein data bank. Nucleic Acids Res. 28:235–242. 2000.PubMed/NCBI View Article : Google Scholar

46 

BIOVIA Dassault Systèmes, Discovery Studio Visualizer, Version 4.1. San Diego: Dassault Systèmes, 2022.

47 

Morris GM, Huey R, Lindstrom W, Sanner MF, Belew RK, Goodsell DS and Olson AJ: AutoDock4 and AutoDockTools4: Automated docking with selective receptor flexibility. J Comput Chem. 30:2785–2791. 2009.PubMed/NCBI View Article : Google Scholar

48 

Wei J, Liang Y and Wu L: Design, synthesis, molecular docking, and tumor resistance reversal activity evaluation of matrine derivative with thiophene structure. Molecules. 26:417–429. 2021.PubMed/NCBI View Article : Google Scholar

49 

Eberhardt J, Santos-Martins D, Tillack AF and Forli S: AutoDock Vina 1.2.0: New docking methods, expanded force field, and python bindings. J Chem Inf Model. 61:3891–3898. 2021.PubMed/NCBI View Article : Google Scholar

50 

Trott O and Olson AJ: AutoDock Vina: Improving the speed and accuracy of docking with a new scoring function, efficient optimization, and multithreading. J Comput Chem. 31:455–461. 2010.PubMed/NCBI View Article : Google Scholar

51 

Aliyatul Fikroh R: Synthesis of halogen substituted chalcone againts cervical cancer (HeLa) cell lines using green method. J Tropical Chemistry Res Education. 5:36–43. 2023.

52 

Abdul Rahman SF, Azlan A, Lo KW, Azzam G and Mohana-Kumaran N: Dual inhibition of anti-apoptotic proteins BCL-XL and MCL-1 enhances cytotoxicity of nasopharyngeal carcinoma cells. Discover Oncol. 13(9)2022.PubMed/NCBI View Article : Google Scholar

53 

Patil JR, Chidambara Murthy KN, Jayaprakasha GK, Chetti MB and Patil BS: Bioactive compounds from mexican lime (Citrus aurantifolia) Juice induce apoptosis in human pancreatic cells. J Agric Food Chem. 57:10933–10942. 2009.PubMed/NCBI View Article : Google Scholar

54 

Wu B, Zhang Q, Shen W and Zhu J: Anti-proliferative and chemosensitizing effects of luteolin on human gastric cancer AGS cell line. Mol Cellular Biochem. 313:125–132. 2008.PubMed/NCBI View Article : Google Scholar

55 

Luo H, Jiang BH, King SM and Chen YC: Inhibition of cell growth and VEGF expression in ovarian cancer cells by flavonoids. Nutr Cancer. 60:800–809. 2008.PubMed/NCBI View Article : Google Scholar

56 

Chen D, Daniel KG, Chen MS, Kuhn DJ, Landis-Piwowar KR and Dou QP: Dietary flavonoids as proteasome inhibitors and apoptosis inducers in human leukemia cells. Biochem Pharmacol. 69:1421–1432. 2005.PubMed/NCBI View Article : Google Scholar

57 

Zhong Y, Krisanapun C, Lee SH, Nualsanit T, Sams C, Peungvicha P and Baek SJ: Molecular targets of apigenin in colorectal cancer cells: Involvement of p21, NAG-1 and p53. Eur J Cancer. 46:3365–3374. 2010.PubMed/NCBI View Article : Google Scholar

58 

Nakazaki E, Tsolmon S, Han J and Isoda H: Proteomic study of granulocytic differentiation induced by apigenin 7-glucoside in human promyelocytic leukemia HL-60 cells. Eur J Nutr. 52:25–35. 2013.PubMed/NCBI View Article : Google Scholar

59 

Xiong Y, Zhong W, Liu J, Cheng B, Fan J, Zhou F, He L, Tian D and He Y: Luteolin isolated from polygonum cuspidatum is a potential compound against nasopharyngeal carcinoma. Biomed Res Int. 2022(9740066)2022.PubMed/NCBI View Article : Google Scholar

60 

Asnaashari S, Amjad E and Sokouti B: Synergistic effects of flavonoids and paclitaxel in cancer treatment: A systematic review. Cancer Cell Int. 23(211)2023.PubMed/NCBI View Article : Google Scholar

61 

Pyo Y, Kwon KH and Jung YJ: Anticancer potential of flavonoids: Their role in cancer prevention and health benefits. Foods. 13(2253)2024.PubMed/NCBI View Article : Google Scholar

62 

Menendez JA and Lupu R: Fatty acid synthase and the lipogenic phenotype in cancer pathogenesis. Nat Rev Cancer. 7:763–777. 2007.PubMed/NCBI View Article : Google Scholar

63 

Wu Z and Qu Q: Mechanism of luteolin induces ferroptosis in nasopharyngeal carcinoma cells. J Toxicol Sci. 49:399–408. 2024.PubMed/NCBI View Article : Google Scholar

64 

Liu W, Ji Y, Wang F, Li C, Shi S, Liu R, Li Q, Guo L, Liu Y and Cui H: Morusin shows potent antitumor activity for melanoma through apoptosis induction and proliferation inhibition. BMC Cancer. 23(602)2023.PubMed/NCBI View Article : Google Scholar

65 

Abusaliya A, Ha SE, Bhosale PB, Kim HH, Park MY, Vetrivel P and Kim GS: Glycosidic flavonoids and their potential applications in cancer research: A review. Mol Cell Toxicol. 18:9–16. 2022.

66 

Kale J, Osterlund EJ and Andrews DW: BCL-2 family proteins: Changing partners in the dance towards death. Cell Death Differ. 25:65–80. 2018.PubMed/NCBI View Article : Google Scholar

67 

Hartman ML and Czyz M: BCL-w: Apoptotic and non-apoptotic role in health and disease. Cell Death Dis. 11(260)2020.PubMed/NCBI View Article : Google Scholar

68 

Sugantha Priya E, Selvakumar K, Bavithra S, Elumalai P, Arunkumar R, Raja Singh P, Brindha Mercy A and Arunakaran J: Anti-cancer activity of quercetin in neuroblastoma: An in vitro approach. Neurol Sci. 35:163–170. 2014.PubMed/NCBI View Article : Google Scholar

69 

Taghizadeh MS, Niazi A, Moghadam A and Afsharifar A: Experimental, molecular docking and molecular dynamic studies of natural products targeting overexpressed receptors in breast cancer. PLoS One. 17(e0267961)2022.PubMed/NCBI View Article : Google Scholar

70 

Sun J and Mei H: Binding site analysis, 3D-QSAR studies, and molecular design of flavonoids derivatives as potent neuraminidase inhibitors. Med Chemistry Res. 22:606–614. 2013.

71 

Ghanbari-Movahed M, Shafiee S, Burcher JT, Lagoa R, Farzaei MH and Bishayee A: Anticancer potential of apigenin and isovitexin with focus on oncogenic metabolism in cancer stem cells. Metabolites. 13(404)2023.PubMed/NCBI View Article : Google Scholar

72 

Bhagavatula D, Hasan TN, Vohra H, Khorami S and Hussain A: Delineating the antiapoptotic property of apigenin as an antitumor agent: A computational and in vitro study on HeLa cells. ACS Omega. 9:24751–24760. 2024.PubMed/NCBI View Article : Google Scholar

73 

Ji J, Wang Z, Sun W, Li Z, Cai H, Zhao E and Cui H: Effects of Cynaroside on cell proliferation, apoptosis, migration and invasion though the MET/AKT/mTOR axis in gastric cancer. Int J Mol Sci. 22(12125)2021.PubMed/NCBI View Article : Google Scholar

74 

Carrillo-Martinez EJ, Flores-Hernández FY, Salazar-Montes AM, Nario-Chaidez HF and Hernández-Ortega LD: Quercetin, a flavonoid with great pharmacological capacity. Molecules. 29(1000)2024.PubMed/NCBI View Article : Google Scholar

Related Articles

  • Abstract
  • View
  • Download
Copy and paste a formatted citation
Spandidos Publications style
Daker M, Gaurav A and Akowuah GA: Inhibition of nasopharynx cancer cells by selected flavonoids <em>in vitro</em> and molecular docking analysis of BCL‑w anti‑apoptotic protein. World Acad Sci J 7: 40, 2025.
APA
Daker, M., Gaurav, A., & Akowuah, G.A. (2025). Inhibition of nasopharynx cancer cells by selected flavonoids <em>in vitro</em> and molecular docking analysis of BCL‑w anti‑apoptotic protein. World Academy of Sciences Journal, 7, 40. https://doi.org/10.3892/wasj.2025.328
MLA
Daker, M., Gaurav, A., Akowuah, G. A."Inhibition of nasopharynx cancer cells by selected flavonoids <em>in vitro</em> and molecular docking analysis of BCL‑w anti‑apoptotic protein". World Academy of Sciences Journal 7.3 (2025): 40.
Chicago
Daker, M., Gaurav, A., Akowuah, G. A."Inhibition of nasopharynx cancer cells by selected flavonoids <em>in vitro</em> and molecular docking analysis of BCL‑w anti‑apoptotic protein". World Academy of Sciences Journal 7, no. 3 (2025): 40. https://doi.org/10.3892/wasj.2025.328
Copy and paste a formatted citation
x
Spandidos Publications style
Daker M, Gaurav A and Akowuah GA: Inhibition of nasopharynx cancer cells by selected flavonoids <em>in vitro</em> and molecular docking analysis of BCL‑w anti‑apoptotic protein. World Acad Sci J 7: 40, 2025.
APA
Daker, M., Gaurav, A., & Akowuah, G.A. (2025). Inhibition of nasopharynx cancer cells by selected flavonoids <em>in vitro</em> and molecular docking analysis of BCL‑w anti‑apoptotic protein. World Academy of Sciences Journal, 7, 40. https://doi.org/10.3892/wasj.2025.328
MLA
Daker, M., Gaurav, A., Akowuah, G. A."Inhibition of nasopharynx cancer cells by selected flavonoids <em>in vitro</em> and molecular docking analysis of BCL‑w anti‑apoptotic protein". World Academy of Sciences Journal 7.3 (2025): 40.
Chicago
Daker, M., Gaurav, A., Akowuah, G. A."Inhibition of nasopharynx cancer cells by selected flavonoids <em>in vitro</em> and molecular docking analysis of BCL‑w anti‑apoptotic protein". World Academy of Sciences Journal 7, no. 3 (2025): 40. https://doi.org/10.3892/wasj.2025.328
Follow us
  • Twitter
  • LinkedIn
  • Facebook
About
  • Spandidos Publications
  • Careers
  • Cookie Policy
  • Privacy Policy
How can we help?
  • Help
  • Live Chat
  • Contact
  • Email to our Support Team