Spandidos Publications Logo
  • About
    • About Spandidos
    • Aims and Scopes
    • Abstracting and Indexing
    • Editorial Policies
    • Reprints and Permissions
    • Job Opportunities
    • Terms and Conditions
    • Contact
  • Journals
    • All Journals
    • Oncology Letters
      • Oncology Letters
      • Information for Authors
      • Editorial Policies
      • Editorial Board
      • Aims and Scope
      • Abstracting and Indexing
      • Bibliographic Information
      • Archive
    • International Journal of Oncology
      • International Journal of Oncology
      • Information for Authors
      • Editorial Policies
      • Editorial Board
      • Aims and Scope
      • Abstracting and Indexing
      • Bibliographic Information
      • Archive
    • Molecular and Clinical Oncology
      • Molecular and Clinical Oncology
      • Information for Authors
      • Editorial Policies
      • Editorial Board
      • Aims and Scope
      • Abstracting and Indexing
      • Bibliographic Information
      • Archive
    • Experimental and Therapeutic Medicine
      • Experimental and Therapeutic Medicine
      • Information for Authors
      • Editorial Policies
      • Editorial Board
      • Aims and Scope
      • Abstracting and Indexing
      • Bibliographic Information
      • Archive
    • International Journal of Molecular Medicine
      • International Journal of Molecular Medicine
      • Information for Authors
      • Editorial Policies
      • Editorial Board
      • Aims and Scope
      • Abstracting and Indexing
      • Bibliographic Information
      • Archive
    • Biomedical Reports
      • Biomedical Reports
      • Information for Authors
      • Editorial Policies
      • Editorial Board
      • Aims and Scope
      • Abstracting and Indexing
      • Bibliographic Information
      • Archive
    • Oncology Reports
      • Oncology Reports
      • Information for Authors
      • Editorial Policies
      • Editorial Board
      • Aims and Scope
      • Abstracting and Indexing
      • Bibliographic Information
      • Archive
    • Molecular Medicine Reports
      • Molecular Medicine Reports
      • Information for Authors
      • Editorial Policies
      • Editorial Board
      • Aims and Scope
      • Abstracting and Indexing
      • Bibliographic Information
      • Archive
    • World Academy of Sciences Journal
      • World Academy of Sciences Journal
      • Information for Authors
      • Editorial Policies
      • Editorial Board
      • Aims and Scope
      • Abstracting and Indexing
      • Bibliographic Information
      • Archive
    • International Journal of Functional Nutrition
      • International Journal of Functional Nutrition
      • Information for Authors
      • Editorial Policies
      • Editorial Board
      • Aims and Scope
      • Abstracting and Indexing
      • Bibliographic Information
      • Archive
    • International Journal of Epigenetics
      • International Journal of Epigenetics
      • Information for Authors
      • Editorial Policies
      • Editorial Board
      • Aims and Scope
      • Abstracting and Indexing
      • Bibliographic Information
      • Archive
    • Medicine International
      • Medicine International
      • Information for Authors
      • Editorial Policies
      • Editorial Board
      • Aims and Scope
      • Abstracting and Indexing
      • Bibliographic Information
      • Archive
  • Articles
  • Information
    • Information for Authors
    • Information for Reviewers
    • Information for Librarians
    • Information for Advertisers
    • Conferences
  • Language Editing
Spandidos Publications Logo
  • About
    • About Spandidos
    • Aims and Scopes
    • Abstracting and Indexing
    • Editorial Policies
    • Reprints and Permissions
    • Job Opportunities
    • Terms and Conditions
    • Contact
  • Journals
    • All Journals
    • Biomedical Reports
      • Information for Authors
      • Editorial Policies
      • Editorial Board
      • Aims and Scope
      • Abstracting and Indexing
      • Bibliographic Information
      • Archive
    • Experimental and Therapeutic Medicine
      • Information for Authors
      • Editorial Policies
      • Editorial Board
      • Aims and Scope
      • Abstracting and Indexing
      • Bibliographic Information
      • Archive
    • International Journal of Epigenetics
      • Information for Authors
      • Editorial Policies
      • Editorial Board
      • Aims and Scope
      • Abstracting and Indexing
      • Bibliographic Information
      • Archive
    • International Journal of Functional Nutrition
      • Information for Authors
      • Editorial Policies
      • Editorial Board
      • Aims and Scope
      • Abstracting and Indexing
      • Bibliographic Information
      • Archive
    • International Journal of Molecular Medicine
      • Information for Authors
      • Editorial Policies
      • Editorial Board
      • Aims and Scope
      • Abstracting and Indexing
      • Bibliographic Information
      • Archive
    • International Journal of Oncology
      • Information for Authors
      • Editorial Policies
      • Editorial Board
      • Aims and Scope
      • Abstracting and Indexing
      • Bibliographic Information
      • Archive
    • Medicine International
      • Information for Authors
      • Editorial Policies
      • Editorial Board
      • Aims and Scope
      • Abstracting and Indexing
      • Bibliographic Information
      • Archive
    • Molecular and Clinical Oncology
      • Information for Authors
      • Editorial Policies
      • Editorial Board
      • Aims and Scope
      • Abstracting and Indexing
      • Bibliographic Information
      • Archive
    • Molecular Medicine Reports
      • Information for Authors
      • Editorial Policies
      • Editorial Board
      • Aims and Scope
      • Abstracting and Indexing
      • Bibliographic Information
      • Archive
    • Oncology Letters
      • Information for Authors
      • Editorial Policies
      • Editorial Board
      • Aims and Scope
      • Abstracting and Indexing
      • Bibliographic Information
      • Archive
    • Oncology Reports
      • Information for Authors
      • Editorial Policies
      • Editorial Board
      • Aims and Scope
      • Abstracting and Indexing
      • Bibliographic Information
      • Archive
    • World Academy of Sciences Journal
      • Information for Authors
      • Editorial Policies
      • Editorial Board
      • Aims and Scope
      • Abstracting and Indexing
      • Bibliographic Information
      • Archive
  • Articles
  • Information
    • For Authors
    • For Reviewers
    • For Librarians
    • For Advertisers
    • Conferences
  • Language Editing
Login Register Submit
  • This site uses cookies
  • You can change your cookie settings at any time by following the instructions in our Cookie Policy. To find out more, you may read our Privacy Policy.

    I agree
Search articles by DOI, keyword, author or affiliation
Search
Advanced Search
presentation
World Academy of Sciences Journal
Join Editorial Board Propose a Special Issue
Print ISSN: 2632-2900 Online ISSN: 2632-2919
Journal Cover
July-August 2025 Volume 7 Issue 4

Full Size Image

Sign up for eToc alerts
Recommend to Library

Journals

International Journal of Molecular Medicine

International Journal of Molecular Medicine

International Journal of Molecular Medicine is an international journal devoted to molecular mechanisms of human disease.

International Journal of Oncology

International Journal of Oncology

International Journal of Oncology is an international journal devoted to oncology research and cancer treatment.

Molecular Medicine Reports

Molecular Medicine Reports

Covers molecular medicine topics such as pharmacology, pathology, genetics, neuroscience, infectious diseases, molecular cardiology, and molecular surgery.

Oncology Reports

Oncology Reports

Oncology Reports is an international journal devoted to fundamental and applied research in Oncology.

Experimental and Therapeutic Medicine

Experimental and Therapeutic Medicine

Experimental and Therapeutic Medicine is an international journal devoted to laboratory and clinical medicine.

Oncology Letters

Oncology Letters

Oncology Letters is an international journal devoted to Experimental and Clinical Oncology.

Biomedical Reports

Biomedical Reports

Explores a wide range of biological and medical fields, including pharmacology, genetics, microbiology, neuroscience, and molecular cardiology.

Molecular and Clinical Oncology

Molecular and Clinical Oncology

International journal addressing all aspects of oncology research, from tumorigenesis and oncogenes to chemotherapy and metastasis.

World Academy of Sciences Journal

World Academy of Sciences Journal

Multidisciplinary open-access journal spanning biochemistry, genetics, neuroscience, environmental health, and synthetic biology.

International Journal of Functional Nutrition

International Journal of Functional Nutrition

Open-access journal combining biochemistry, pharmacology, immunology, and genetics to advance health through functional nutrition.

International Journal of Epigenetics

International Journal of Epigenetics

Publishes open-access research on using epigenetics to advance understanding and treatment of human disease.

Medicine International

Medicine International

An International Open Access Journal Devoted to General Medicine.

Journal Cover
July-August 2025 Volume 7 Issue 4

Full Size Image

Sign up for eToc alerts
Recommend to Library

  • Article
  • Citations
    • Cite This Article
    • Download Citation
    • Create Citation Alert
    • Remove Citation Alert
    • Cited By
  • Similar Articles
    • Related Articles (in Spandidos Publications)
    • Similar Articles (Google Scholar)
    • Similar Articles (PubMed)
  • Download PDF
  • Download XML
  • View XML
Article Open Access

Prognostic value of p53 expression in comparison with CEA, CA15‑3 and CA125 protein levels in patients with breast cancer

  • Authors:
    • Reem M. El‑Shenawy
    • Noha B.E. Tohamy
    • Loay M. Hassan Kassem
    • Sally Farouk
  • View Affiliations / Copyright

    Affiliations: Department of Microbial Biotechnology, National Research Centre, Cairo 12622, Egypt, Department of Radioisotopes, Nuclear Research Centre, Egyptian Atomic Energy Authority, Cairo 12311, Egypt, Department of Clinical Oncology, Faculty of Medicine, Cairo University, Cairo 11956, Egypt
    Copyright: © El‑Shenawy et al. This is an open access article distributed under the terms of Creative Commons Attribution License [CC BY 4.0].
  • Article Number: 60
    |
    Published online on: May 2, 2025
       https://doi.org/10.3892/wasj.2025.348
  • Expand metrics +
Metrics: Total Views: 0 (Spandidos Publications: | PMC Statistics: )
Metrics: Total PDF Downloads: 0 (Spandidos Publications: | PMC Statistics: )
Cited By (CrossRef): 0 citations Loading Articles...

This article is mentioned in:



Abstract

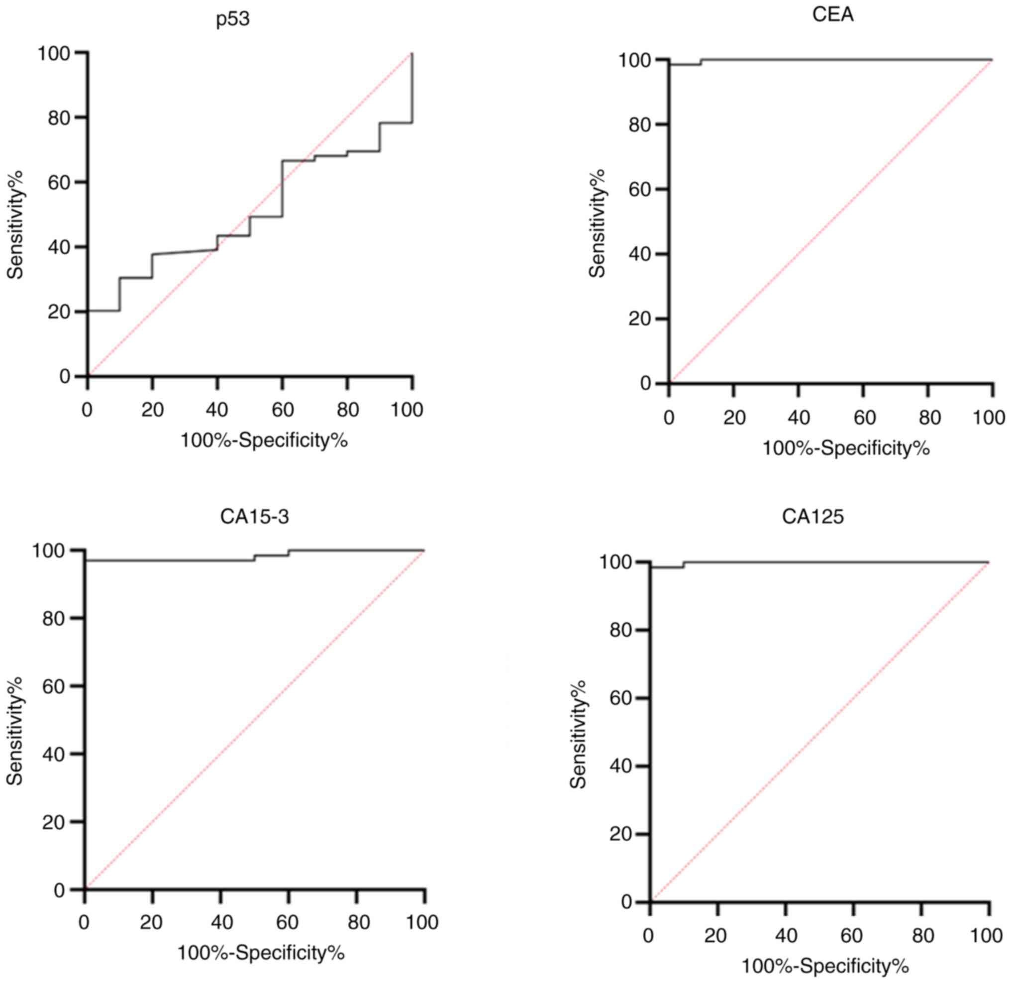
Breast cancer is the most common type of cancer among females and the leading cause of cancer‑related mortality. Serum tumor markers provide a valid, non‑invasive method for assessing the prognosis and effectiveness of treatment for various types of cancer. The present study aimed to determine the prognostic value of p53 protein levels compared to other tumor markers (CA15‑3, CEA and CA125) in patients with breast cancer and to assess their associations with various molecular subtypes and clinicopathological parameters. The present study included 63 patients diagnosed with invasive ductal carcinoma of the breast who received neoadjuvant chemotherapy with paclitaxel and docetaxel. Additionally, 23 female patients who did not receive treatment and 30 healthy individuals were used as controls. The p53 protein level was assessed using ELISA, while the serum levels of CEA, CA15‑3 and CA125 were determined using an immunoradiometric assay kit. The results revealed a significant positive correlation between CEA and the levels of CA15‑3 and CA125 (Rho=0.759, P=0.0001; and Rho=0.609, P=0.0001, respectively). Furthermore, a strong positive correlation was observed between CA15‑3 and CA125 levels in the patients with breast cancer (Rho=0.8151, P=0.0001). The results revealed significantly higher levels of CEA, CA125 and CA15‑3 (P=0.0001) in the pre‑treatment group of patients with breast cancer compared to the post‑treatment group; however, the p53 levels increased in the post‑treatment group compared to the pre‑treatment group. Sensitivity, specificity area under the curve and cut‑off values were also determined for the diagnosis of breast cancer. On the whole, the present study demonstrates that combining the three markers (CA15‑3, CEA and CA125) may provide a more effective biochemical diagnosis for patients with breast cancer than using a single marker. This approach may prove to be of value for prognostic information and determining disease progression.
View Figures

Figure 1

Figure 2

Figure 3

Figure 4

View References

1 

Neves Rebello Alves L, Dummer Meira D, Poppe Merigueti L, Correia Casotti M, do Prado Ventorim D, Ferreira Figueiredo Almeida J, Pereira de Sousa V, Cindra Sant'Ana M, Gonçalves Coutinho da Cruz R, Santos Louro L, et al: Biomarkers in breast cancer: An old story with a new end. Genes (Basel). 14(1364)2023.PubMed/NCBI View Article : Google Scholar

2 

Obeagu EI and Obeagu GU: Breast cancer: A review of risk factors and diagnosis. Medicine (Baltimore). 103(e36905)2024.PubMed/NCBI View Article : Google Scholar

3 

Lei S, Zheng R, Zhang S, Wang S, Chen R, Sun K, Zeng H, Zhou J and Wei W: Global patterns of breast cancer incidence and mortality: A population-based cancer registry data analysis from 2000 to 2020. Cancer Commun (Lond). 41:1183–1194. 2021.PubMed/NCBI View Article : Google Scholar

4 

Arnold M, Morgan E, Rumgay H, Mafra A, Singh D, Laversanne M, Vignat J, Gralow JR, Cardoso F, Siesling S and Soerjomataram I: Current and future burden of breast cancer: Global statistics for 2020 and 2040. Breast. 66:15–23. 2022.PubMed/NCBI View Article : Google Scholar

5 

Lv L, Zhao B, Kang J, Li S and Wu H: Trend of disease burden and risk factors of breast cancer in developing countries and territories, from 1990 to 2019: Results from the global burden of disease study 2019. Front Public Health. 10(1078191)2023.PubMed/NCBI View Article : Google Scholar

6 

Łukasiewicz S, Czeczelewski M, Forma A, Baj J, Sitarz R and Stanisławek A: Breast cancer-epidemiology, risk factors, classification, prognostic markers, and current treatment strategies-an updated review. Cancers (Basel). 13(4287)2021.PubMed/NCBI View Article : Google Scholar

7 

Azim HA, Elghazawy H, Ghazy RM, Abdelaziz AH, Abdelsalam M, Elzorkany A and Kassem L: Clinicopathologic features of breast cancer in Egypt-contemporary profile and future needs: A systematic review and meta-analysis. JCO Glob Oncol. 9(e2200387)2023.PubMed/NCBI View Article : Google Scholar

8 

Rakha EA, Tse GM and Quinn CM: An update on the pathological classification of breast cancer. Histopathology. 82:5–16. 2023.PubMed/NCBI View Article : Google Scholar

9 

Rakha E, Toss M and Quinn C: Specific cell differentiation in breast cancer: A basis for histological classification. J Clin Pathol. 75:76–84. 2022.PubMed/NCBI View Article : Google Scholar

10 

Sun YS, Zhao Z, Yang ZN, Xu F, Lu HJ, Zhu ZY, Shi W, Jiang J, Yao PP and Zhu HP: Risk factors and preventions of breast cancer. Int J Biol Sci. 13:1387–1397. 2017.PubMed/NCBI View Article : Google Scholar

11 

Liu H, Shi S, Gao J, Guo J, Li M and Wang L: Analysis of risk factors associated with breast cancer in women: A systematic review and meta-analysis. Transl Cancer Res. 11:1344–1353. 2022.PubMed/NCBI View Article : Google Scholar

12 

Wu HJ and Chu PY: Recent discoveries of macromolecule- and cell-based biomarkers and therapeutic implications in breast cancer. Int J Mol Sci. 22(636)2021.PubMed/NCBI View Article : Google Scholar

13 

Das S, Dey MK, Devireddy R and Gartia MR: Biomarkers in cancer detection, diagnosis, and prognosis. Sensors (Basel). 24(37)2023.PubMed/NCBI View Article : Google Scholar

14 

Marvalim C, Datta A and Lee SC: Role of p53 in breast cancer progression: An insight into p53 targeted therapy. Theranostics. 13:1421–1442. 2023.PubMed/NCBI View Article : Google Scholar

15 

Duffy MJ, Synnott NC and Crown J: Mutant p53 in breast cancer: Potential as a therapeutic target and biomarker. Breast Cancer Res Treat. 170:213–219. 2018.PubMed/NCBI View Article : Google Scholar

16 

Gupta A, Patil BU and Gangane NM: Role of p53 and Her2/Neu as a prognostic biomarker in breast carcinoma. Med J Dr DY Patil Univ. 16:191–196. 2023.

17 

Duffy MJ, Walsh S, McDermott EW and Crown J: Chapter one-biomarkers in breast cancer: Where are we and where are we going? In: Advances in Clinical Chemistry. Makowski GS (ed). Vol 71. Elsevier, Amsterdam, pp1-23, 2015.

18 

Li H, Wang S, Li X, Cheng C, Shen X and Wang T: Dual-channel detection of breast cancer biomarkers CA15-3 and CEA in human serum using dialysis-silicon nanowire field effect transistor. Int J Nanomedicine. 17:6289–6299. 2022.PubMed/NCBI View Article : Google Scholar

19 

Fang C, Cao Y, Liu X, Zeng XT and Li Y: Serum CA125 is a predictive marker for breast cancer outcomes and correlates with molecular subtypes. Oncotarget. 8:63963–63970. 2017.PubMed/NCBI View Article : Google Scholar

20 

Afzal S, Hassan M, Ullah S, Abbas H, Tawakkal F and Khan MA: Breast cancer; discovery of novel diagnostic biomarkers, drug resistance, and therapeutic implications. Front Mol Biosci. 9(783450)2022.PubMed/NCBI View Article : Google Scholar

21 

Zhang J, Wei Q, Dong D and Ren L: The role of TPS, CA125, CA15-3 and CEA in prediction of distant metastasis of breast cancer. Clin Chim Acta. 523:19–25. 2021.PubMed/NCBI View Article : Google Scholar

22 

Bader El Din NG, El-Shenawy R, Moustafa RI, Khairy A and Farouk S: Association between the expression level of miRNA-374a and TGF-β1 in patients with colorectal cancer. World Acad Sci J. 6(68)2024.

23 

Taneja P, Maglic D, Kai F, Zhu S, Kendig RD, Fry EA and Inoue K: Classical and novel prognostic markers for breast cancer and their clinical significance. Clin Med Insights Oncol. 4:15–34. 2010.PubMed/NCBI View Article : Google Scholar

24 

Ashour Byomy LG, Zahraan F, Aref M and Ibrahim Mosa MF: Assessment of CEA and CA15-3 as potential prognostic markers for breast cancer in Egyptian females. Alfarama J Basic Appl Sci. 2:44–50. 2021.

25 

Zhao W, Li X, Wang W, Chen B, Wang L, Zhang N, Wang Z and Yang Q: Association of preoperative serum levels of CEA and CA15-3 with molecular subtypes of breast cancer. Dis Markers. 2021(5529106)2021.PubMed/NCBI View Article : Google Scholar

26 

Gaughran G, Aggarwal N, Shadbolt B and Stuart-Harris R: The utility of the tumor markers CA15.3, CEA, CA-125 and CA19.9 in metastatic breast cancer. Breast Cancer Manag. 9(BMT50)2020.

27 

Shao Y, Sun X, He Y, Liu C and Liu H: Elevated levels of serum tumor markers CEA and CA15-3 are prognostic parameters for different molecular subtypes of breast cancer. PLoS One. 10(e0133830)2015.PubMed/NCBI View Article : Google Scholar

28 

Hasan D: Diagnostic impact of CEA and CA 15-3 on chemotherapy monitoring of breast cancer patients. J Circ Biomark. 11:57–63. 2022.PubMed/NCBI View Article : Google Scholar

29 

Firouzabadi D, Rezvani A, Dehghanian A and Mahmoudi L: Association of ki67 and tumor marker p53 in locally advanced breast cancer patients and evaluation of response to neoadjuvant chemotherapy: A survey in South Iran. Cancer Manag Res. 11:6489–6497. 2019.PubMed/NCBI View Article : Google Scholar

30 

El-Moneim Ebied SA, El-Moneim NAA, Hewala Tl, Anwar MM and Rabi SM: The diagnostic, prognostic and follow-up value of serum Bcl-2, Bax and p53 proteins in breast cancer patients: A comparison with serum CA 15-3. Middle East J Cancer. 4:51–62. 2013.

31 

Tang J, Yan B, Li GF, Li QY, Liu WF, Liang RB, Ge QM and Shao Y: Carbohydrate antigen 125, carbohydrate antigen 15-3 and low-density lipoprotein as risk factors for intraocular metastases in postmenopausal breast cancer. Medicine (Baltimore). 100(e27693)2021.PubMed/NCBI View Article : Google Scholar

32 

Uygur MM and Gümüş M: The utility of serum tumor markers CEA and CA 15-3 for breast cancer prognosis and their association with clinicopathological parameters. Cancer Treat Res Commun. 28(100402)2021.PubMed/NCBI View Article : Google Scholar

33 

Rahemi Z, Javadi A, Kazeminejad B, Ebrahimi A, Vosough H, Taghavi A and Dabiri S: Diagnostic utility of combined CEA, CA15-3 and CA125 biomarkers and cytomorphology in suspicious and malignant serosal fluid. Iran J Pathol. 16:248–255. 2021.PubMed/NCBI View Article : Google Scholar

34 

Khushk M, Khan A, Rehman A, Sheraz S, Tunio YM, Rehman K, Rehman D, Ahmed M, Abbas K and Khan ME: The role of tumor markers: Carcinoembryonic antigen and cancer antigen 15-3 in patients with breast cancer. Cureus. 13(e16298)2021.PubMed/NCBI View Article : Google Scholar

35 

Khadhum HS, Ameen AA and Mm T: Assessment of CA 15-3 and P53 biomarkers in diagnosis of breast cancer. BNIHS. 40:1343–4292. 2022.

36 

Li J, Liu L, Feng Z, Wang X, Huang Y, Dai H, Zhang L, Song F, Wang D, Zhang P, et al: Tumor markers CA15-3, CA125, CEA and breast cancer survival by molecular subtype: A cohort study. Breast Cancer. 27:621–630. 2020.PubMed/NCBI View Article : Google Scholar

37 

Bae SY, Lee JH, Bae JW and Jung SP: Differences in prognosis by p53 expression after neoadjuvant chemotherapy in triple-negative breast cancer. Ann Surg Treat Res. 98:291–298. 2020.PubMed/NCBI View Article : Google Scholar

38 

Lee HC, Ko H, Seol H, Noh DY, Han W, Kim TY, Im SA and Park IA: Expression of immunohistochemical markers before and after neoadjuvant chemotherapy in breast carcinoma, and their use as predictors of response. J Breast Cancer. 16:395–403. 2013.PubMed/NCBI View Article : Google Scholar

39 

Varna M, Bousquet G, Plassa LF, Bertheau P and Janin A: TP53 status and response to treatment in breast cancers. J Biomed Biotechnol. 2011(284584)2011.PubMed/NCBI View Article : Google Scholar

40 

Anoop TM, Joseph PR, Soman S, Chacko S and Mathew M: Significance of serum carcinoembryonic antigen in metastatic breast cancer patients: A prospective study. World J Clin Oncol. 13:529–539. 2022.PubMed/NCBI View Article : Google Scholar

41 

Varzaru VB, Eftenoiu AE, Vlad DC, Vlad CS, Moatar AE, Popescu R and Cobec IM: The influence of tumor-specific markers in breast cancer on other blood parameters. Life (Basel). 14(458)2024.PubMed/NCBI View Article : Google Scholar

Related Articles

  • Abstract
  • View
  • Download
Copy and paste a formatted citation
Spandidos Publications style
El‑Shenawy RM, Tohamy NB, Kassem LM and Farouk S: Prognostic value of p53 expression in comparison with CEA, CA15‑3 and CA125 protein levels in patients with breast cancer. World Acad Sci J 7: 60, 2025.
APA
El‑Shenawy, R.M., Tohamy, N.B., Kassem, L.M., & Farouk, S. (2025). Prognostic value of p53 expression in comparison with CEA, CA15‑3 and CA125 protein levels in patients with breast cancer. World Academy of Sciences Journal, 7, 60. https://doi.org/10.3892/wasj.2025.348
MLA
El‑Shenawy, R. M., Tohamy, N. B., Kassem, L. M., Farouk, S."Prognostic value of p53 expression in comparison with CEA, CA15‑3 and CA125 protein levels in patients with breast cancer". World Academy of Sciences Journal 7.4 (2025): 60.
Chicago
El‑Shenawy, R. M., Tohamy, N. B., Kassem, L. M., Farouk, S."Prognostic value of p53 expression in comparison with CEA, CA15‑3 and CA125 protein levels in patients with breast cancer". World Academy of Sciences Journal 7, no. 4 (2025): 60. https://doi.org/10.3892/wasj.2025.348
Copy and paste a formatted citation
x
Spandidos Publications style
El‑Shenawy RM, Tohamy NB, Kassem LM and Farouk S: Prognostic value of p53 expression in comparison with CEA, CA15‑3 and CA125 protein levels in patients with breast cancer. World Acad Sci J 7: 60, 2025.
APA
El‑Shenawy, R.M., Tohamy, N.B., Kassem, L.M., & Farouk, S. (2025). Prognostic value of p53 expression in comparison with CEA, CA15‑3 and CA125 protein levels in patients with breast cancer. World Academy of Sciences Journal, 7, 60. https://doi.org/10.3892/wasj.2025.348
MLA
El‑Shenawy, R. M., Tohamy, N. B., Kassem, L. M., Farouk, S."Prognostic value of p53 expression in comparison with CEA, CA15‑3 and CA125 protein levels in patients with breast cancer". World Academy of Sciences Journal 7.4 (2025): 60.
Chicago
El‑Shenawy, R. M., Tohamy, N. B., Kassem, L. M., Farouk, S."Prognostic value of p53 expression in comparison with CEA, CA15‑3 and CA125 protein levels in patients with breast cancer". World Academy of Sciences Journal 7, no. 4 (2025): 60. https://doi.org/10.3892/wasj.2025.348
Follow us
  • Twitter
  • LinkedIn
  • Facebook
About
  • Spandidos Publications
  • Careers
  • Cookie Policy
  • Privacy Policy
How can we help?
  • Help
  • Live Chat
  • Contact
  • Email to our Support Team