Spandidos Publications Logo
  • About
    • About Spandidos
    • Aims and Scopes
    • Abstracting and Indexing
    • Editorial Policies
    • Reprints and Permissions
    • Job Opportunities
    • Terms and Conditions
    • Contact
  • Journals
    • All Journals
    • Oncology Letters
      • Oncology Letters
      • Information for Authors
      • Editorial Policies
      • Editorial Board
      • Aims and Scope
      • Abstracting and Indexing
      • Bibliographic Information
      • Archive
    • International Journal of Oncology
      • International Journal of Oncology
      • Information for Authors
      • Editorial Policies
      • Editorial Board
      • Aims and Scope
      • Abstracting and Indexing
      • Bibliographic Information
      • Archive
    • Molecular and Clinical Oncology
      • Molecular and Clinical Oncology
      • Information for Authors
      • Editorial Policies
      • Editorial Board
      • Aims and Scope
      • Abstracting and Indexing
      • Bibliographic Information
      • Archive
    • Experimental and Therapeutic Medicine
      • Experimental and Therapeutic Medicine
      • Information for Authors
      • Editorial Policies
      • Editorial Board
      • Aims and Scope
      • Abstracting and Indexing
      • Bibliographic Information
      • Archive
    • International Journal of Molecular Medicine
      • International Journal of Molecular Medicine
      • Information for Authors
      • Editorial Policies
      • Editorial Board
      • Aims and Scope
      • Abstracting and Indexing
      • Bibliographic Information
      • Archive
    • Biomedical Reports
      • Biomedical Reports
      • Information for Authors
      • Editorial Policies
      • Editorial Board
      • Aims and Scope
      • Abstracting and Indexing
      • Bibliographic Information
      • Archive
    • Oncology Reports
      • Oncology Reports
      • Information for Authors
      • Editorial Policies
      • Editorial Board
      • Aims and Scope
      • Abstracting and Indexing
      • Bibliographic Information
      • Archive
    • Molecular Medicine Reports
      • Molecular Medicine Reports
      • Information for Authors
      • Editorial Policies
      • Editorial Board
      • Aims and Scope
      • Abstracting and Indexing
      • Bibliographic Information
      • Archive
    • World Academy of Sciences Journal
      • World Academy of Sciences Journal
      • Information for Authors
      • Editorial Policies
      • Editorial Board
      • Aims and Scope
      • Abstracting and Indexing
      • Bibliographic Information
      • Archive
    • International Journal of Functional Nutrition
      • International Journal of Functional Nutrition
      • Information for Authors
      • Editorial Policies
      • Editorial Board
      • Aims and Scope
      • Abstracting and Indexing
      • Bibliographic Information
      • Archive
    • International Journal of Epigenetics
      • International Journal of Epigenetics
      • Information for Authors
      • Editorial Policies
      • Editorial Board
      • Aims and Scope
      • Abstracting and Indexing
      • Bibliographic Information
      • Archive
    • Medicine International
      • Medicine International
      • Information for Authors
      • Editorial Policies
      • Editorial Board
      • Aims and Scope
      • Abstracting and Indexing
      • Bibliographic Information
      • Archive
  • Articles
  • Information
    • Information for Authors
    • Information for Reviewers
    • Information for Librarians
    • Information for Advertisers
    • Conferences
  • Language Editing
Spandidos Publications Logo
  • About
    • About Spandidos
    • Aims and Scopes
    • Abstracting and Indexing
    • Editorial Policies
    • Reprints and Permissions
    • Job Opportunities
    • Terms and Conditions
    • Contact
  • Journals
    • All Journals
    • Biomedical Reports
      • Information for Authors
      • Editorial Policies
      • Editorial Board
      • Aims and Scope
      • Abstracting and Indexing
      • Bibliographic Information
      • Archive
    • Experimental and Therapeutic Medicine
      • Information for Authors
      • Editorial Policies
      • Editorial Board
      • Aims and Scope
      • Abstracting and Indexing
      • Bibliographic Information
      • Archive
    • International Journal of Epigenetics
      • Information for Authors
      • Editorial Policies
      • Editorial Board
      • Aims and Scope
      • Abstracting and Indexing
      • Bibliographic Information
      • Archive
    • International Journal of Functional Nutrition
      • Information for Authors
      • Editorial Policies
      • Editorial Board
      • Aims and Scope
      • Abstracting and Indexing
      • Bibliographic Information
      • Archive
    • International Journal of Molecular Medicine
      • Information for Authors
      • Editorial Policies
      • Editorial Board
      • Aims and Scope
      • Abstracting and Indexing
      • Bibliographic Information
      • Archive
    • International Journal of Oncology
      • Information for Authors
      • Editorial Policies
      • Editorial Board
      • Aims and Scope
      • Abstracting and Indexing
      • Bibliographic Information
      • Archive
    • Medicine International
      • Information for Authors
      • Editorial Policies
      • Editorial Board
      • Aims and Scope
      • Abstracting and Indexing
      • Bibliographic Information
      • Archive
    • Molecular and Clinical Oncology
      • Information for Authors
      • Editorial Policies
      • Editorial Board
      • Aims and Scope
      • Abstracting and Indexing
      • Bibliographic Information
      • Archive
    • Molecular Medicine Reports
      • Information for Authors
      • Editorial Policies
      • Editorial Board
      • Aims and Scope
      • Abstracting and Indexing
      • Bibliographic Information
      • Archive
    • Oncology Letters
      • Information for Authors
      • Editorial Policies
      • Editorial Board
      • Aims and Scope
      • Abstracting and Indexing
      • Bibliographic Information
      • Archive
    • Oncology Reports
      • Information for Authors
      • Editorial Policies
      • Editorial Board
      • Aims and Scope
      • Abstracting and Indexing
      • Bibliographic Information
      • Archive
    • World Academy of Sciences Journal
      • Information for Authors
      • Editorial Policies
      • Editorial Board
      • Aims and Scope
      • Abstracting and Indexing
      • Bibliographic Information
      • Archive
  • Articles
  • Information
    • For Authors
    • For Reviewers
    • For Librarians
    • For Advertisers
    • Conferences
  • Language Editing
Login Register Submit
  • This site uses cookies
  • You can change your cookie settings at any time by following the instructions in our Cookie Policy. To find out more, you may read our Privacy Policy.

    I agree
Search articles by DOI, keyword, author or affiliation
Search
Advanced Search
presentation
World Academy of Sciences Journal
Join Editorial Board Propose a Special Issue
Print ISSN: 2632-2900 Online ISSN: 2632-2919
Journal Cover
March-April 2026 Volume 8 Issue 2

Full Size Image

Sign up for eToc alerts
Recommend to Library

Journals

International Journal of Molecular Medicine

International Journal of Molecular Medicine

International Journal of Molecular Medicine is an international journal devoted to molecular mechanisms of human disease.

International Journal of Oncology

International Journal of Oncology

International Journal of Oncology is an international journal devoted to oncology research and cancer treatment.

Molecular Medicine Reports

Molecular Medicine Reports

Covers molecular medicine topics such as pharmacology, pathology, genetics, neuroscience, infectious diseases, molecular cardiology, and molecular surgery.

Oncology Reports

Oncology Reports

Oncology Reports is an international journal devoted to fundamental and applied research in Oncology.

Experimental and Therapeutic Medicine

Experimental and Therapeutic Medicine

Experimental and Therapeutic Medicine is an international journal devoted to laboratory and clinical medicine.

Oncology Letters

Oncology Letters

Oncology Letters is an international journal devoted to Experimental and Clinical Oncology.

Biomedical Reports

Biomedical Reports

Explores a wide range of biological and medical fields, including pharmacology, genetics, microbiology, neuroscience, and molecular cardiology.

Molecular and Clinical Oncology

Molecular and Clinical Oncology

International journal addressing all aspects of oncology research, from tumorigenesis and oncogenes to chemotherapy and metastasis.

World Academy of Sciences Journal

World Academy of Sciences Journal

Multidisciplinary open-access journal spanning biochemistry, genetics, neuroscience, environmental health, and synthetic biology.

International Journal of Functional Nutrition

International Journal of Functional Nutrition

Open-access journal combining biochemistry, pharmacology, immunology, and genetics to advance health through functional nutrition.

International Journal of Epigenetics

International Journal of Epigenetics

Publishes open-access research on using epigenetics to advance understanding and treatment of human disease.

Medicine International

Medicine International

An International Open Access Journal Devoted to General Medicine.

Journal Cover
March-April 2026 Volume 8 Issue 2

Full Size Image

Sign up for eToc alerts
Recommend to Library

  • Article
  • Citations
    • Cite This Article
    • Download Citation
    • Create Citation Alert
    • Remove Citation Alert
    • Cited By
  • Similar Articles
    • Related Articles (in Spandidos Publications)
    • Similar Articles (Google Scholar)
    • Similar Articles (PubMed)
  • Download PDF
  • Download XML
  • View XML
Article Open Access

Serum and salivary calcitonin gene‑related peptide, pentraxin‑3 and interleukin‑1β levels in patients with periodontitis suffering from migraines

  • Authors:
    • Sudheer Krishna Gonthupuli
    • Deepa Ponnaiyan
    • Chandrasekar Mani Anitha
    • Ponnudurai Samuel Gnana Prakash
    • Dhayanand John Victor
    • Neeraj Verma
  • View Affiliations / Copyright

    Affiliations: Department of Periodontics, SRM Dental College Ramapuram, Chennai, Tamil Nadu 600089, India
    Copyright: © Gonthupuli et al. This is an open access article distributed under the terms of Creative Commons Attribution License [CC BY 4.0].
  • Article Number: 23
    |
    Published online on: February 11, 2026
       https://doi.org/10.3892/wasj.2026.438
  • Expand metrics +
Metrics: Total Views: 0 (Spandidos Publications: | PMC Statistics: )
Metrics: Total PDF Downloads: 0 (Spandidos Publications: | PMC Statistics: )
Cited By (CrossRef): 0 citations Loading Articles...

This article is mentioned in:


Abstract

Periodontitis is characterized by dysregulated host immune responses to Gram‑negative anaerobes, resulting in local tissue destruction and systemic inflammatory spill‑over. In parallel, neurovascular inflammation potentially influenced by mediators, such as interleukin‑1β (IL‑1β), calcitonin gene‑related peptide (CGRP) and pentraxin‑3 (PTX‑3) is associated with migraine chronification. Given the biological overlap between mucosal and systemic inflammatory pathways, the present study assessed serum and salivary IL‑1β, CGRP and PTX‑3 levels in 96 individuals allocated to four groups as follows: Healthy controls, patients with chronic migraines without periodontitis, periodontitis without migraines, and patients with chronic migraines with periodontitis. Biomarker levels were quantified using validated ELISA protocols, and the periodontal status was evaluated using the plaque index, modified sulcular bleeding index, probing depth and clinical attachment level. Individuals with co‑existing chronic migraines and periodontitis exhibited the highest salivary and serum biomarker concentrations. The salivary IL‑1β level was consistently higher than the serum levels, whereas CGRP and PTX‑3 levels were predominantly elevated in serum. Significant correlations were observed between the salivary and serum concentrations of all markers, and between biomarker levels and periodontal parameters. These findings indicate an amplified inflammatory burden in individuals with both conditions and support the concept of a shared neurovascular‑immune axis. Although the cross‑sectional design precludes causal inference, the results of the present study highlight the potential relevance of periodontal status in the inflammatory profile of chronic migraine.

Introduction

Migraine is a chronic neurovascular disorder potentially influenced by the activation of the trigeminovascular system, neuropeptide release and systemic inflammatory sensitization. Calcitonin gene-related peptide (CGRP) mediates neurogenic inflammation and vasodilation, while interleukin (IL)-1β is released from activated glia and immune cells, and is associated with central sensitization and chronicity (1). Pentraxin-3 (PTX-3), an acute-phase protein produced by endothelial and immune cells, reflects vascular inflammation and endothelial dysfunction, linking systemic inflammation to migraine pathophysiology (2). Emerging evidence indicates that mucosal inflammatory sources, particularly gut barrier disruption, may elevate systemic pro-inflammatory mediators, such as IL-6 and lipopolysaccharide (LPS), lowering the threshold for trigeminal activation and promoting vascular dysregulation (3). Together, these mechanisms support an integrated model in which neurogenic, systemic and mucosal inflammation converge to be associated with recurrent attacks and the chronification of migraines (4,5). Individuals with both migraines and periodontitis exhibit elevated salivary IL-1β, (linked to periodontal severity) and high serum levels of PTX-3 and CGRP (linked to migraine chronicity), highlighting shared inflammatory mechanisms (6-8).

Periodontitis, characterized by a microbial shift towards Gram-negative anaerobes, induces a persistent immune-inflammatory response, evidenced by elevated levels of IL-1β, IL-6, CRP and PTX-3 (9-11). LPS from bacteria activate Toll-like receptor 4 (TLR4) and the NLRP3 inflammasome, potentially related to IL-1β production, neutrophil infiltration and MMP-9-mediated connective tissue breakdown. PTX-3, the expression of which is upregulated in response to IL-1β and LPS, plays a role in both local periodontal and systemic inflammatory processes (12,13). This systemic inflammatory milieu may potentiate migraine pathophysiology through the activation of the trigeminovascular system (14). Elevations in the levels of IL-1β, CGRP and PTX-3 associated with periodontitis can sensitize trigeminal neurons, promoting neurogenic inflammation and vascular alterations characteristic of chronic migraines. Convergent inflammatory pathways and TLR-mediated immune dysregulation create a bidirectional feedback loop that may be associated with both conditions (15,16). While periodontitis is commonly observed in patients with chronic migraines and is associated with increased levels of biomarkers, such as CGRP, PTX-3 and soluble tumor necrosis factor-like weak inducer of apoptosis (sTWEAK) in blood, saliva and gingival crevicular fluid, to the best of our knowledge, no studies have yet examined the simultaneous association of serum and salivary IL-1β, CGRP and PTX-3 levels with periodontal status in individuals with periodontitis, chronic migraines, or both. Thus, the mechanistic link between periodontitis and migraine chronification remains incompletely understood.

Therefore, the present study aimed to evaluate and correlate salivary and serum IL-1β, CGRP and PTX-3 levels among individuals with periodontitis, chronic migraines, or both conditions. By integrating periodontal clinical parameters with systemic and mucosal biomarker profiles, the authors sought to elucidate whether shared inflammatory mediators could reflect a potential inflammatory axis linking the two conditions. The present study aimed to correlate the interrelationship between periodontal clinical parameters [probing pocket depth (PPD), clinical attachment level (CAL) and modified sulcus bleeding index (mSBI)] and the serum and salivary values of IL-1β, CGRP and PTX-3.

Patients and methods

Ethical statement

The present study intended to evaluate the serum and salivary levels of IL-1β, CGRP and PTX-3 in healthy, periodontally healthy patients with chronic migraines, systemically healthy subjects with periodontitis and in subjects with periodontitis with chronic migraines. All methodologies and experimental protocols received approval and were executed in compliance with the ethical standards and protocols of the SRM Dental College Institutional Review Board (IRB no SRMDC/IRB/2022/MDS/No. 507) in Chennai, India. The initial ethical approval for the commencement of the study was granted in December, 2022, which was formally renewed through a continuing review in June, 2023. Participant recruitment was initiated from February, 2023 till May, 2023, and biological sample collection (saliva and serum) was performed from June, 2023 to September, 2023 after obtaining the ethical renewal. Written informed consent was obtained from all participants prior to enrollment and sample collection.

Study population and design

A total of 96 subjects aged 18-70 years were recruited from the Outpatient Department of SRM Dental College and SRM General Hospital, Chennai, India. The sample size was calculated using G power version 3.1.9.2 with 90% power and 5% α error. A total number of 96 subjects was included, who were further categorized on their systemic and periodontal status with 24 members in each group. The groups were as follows: Group I, systemically and periodontally healthy subjects; group II, individuals with chronic migraine but without periodontitis; group III, subjects with only periodontitis and no migraines; and group IV, subjects with co-existing chronic migraines and periodontitis. Eligibility criteria included the presence of at least 15 teeth, a clinical diagnosis of chronic migraine, and/or periodontitis with a pocket depth ≥6 mm and CAL ≤5 mm in >30% of sites, corresponding to stage II or stage III periodontitis, as per the 2017 classification by the American Academy of Periodontology (17). Subjects were excluded if they had any systemic diseases (other than migraines) or were under medication, had undergone periodontal therapy in the prior 6 months, used tobacco (chewing or smoking), or were pregnant or lactating. A self-reported migraine-specific medication use within 3 months prior to sampling was recorded from the subjects with migraines; this is presented in Table I. Additionally, information on the body mass index, diet and lifestyle variables of the patients was recorded for all subjects (Table II).

Table I

Migraine-specific medication use within 3 months prior to sampling.

Table I

Migraine-specific medication use within 3 months prior to sampling.

Medication classGroup II (n=24) (%)Group IV (n=24) (%)Total (n=48) (%)
Triptans5 (20.8)6(25)11 (22.9)
Gepants1 (4.2)1 (4.2)2 (4.2)
NSAIDs (≥2x/month)8 (33.3)9 (37.5)17 (35.4)
Acetaminophen4 (16.7)6(25)10 (20.8)
CGRP-mAbs2 (8.3)3 (12.5)5 (10.4)
Preventive gepants1 (4.2)1 (4.2)2 (4.2)
Beta-blockers3 (12.5)5 (20.8)8 (16.7)
Topiramate3 (12.5)3 (12.5)6 (12.5)
Antidepressants2 (8.3)3 (12.5)5 (10.4)
Onabotulinumtoxin A1 (4.2)2 (8.3)3 (6.3)
Acute medication ≥10 days/month3 (12.5)4 (16.7)7 (14.6)
No migraine medication4 (16.7)3 (12.5)7 (14.6)

[i] Group II, patients with chronic migraine without periodontitis; Group IV, patients with chronic migraines and periodontitis; NSAIDs, non-steroidal anti-inflammatory drugs; CGRP-mAbs, calcitonin gene-related peptide monoclonal antibodies. Acute medications refer to drugs taken at the onset of a migraine attack to relieve pain or associated symptoms, including triptans, gepants, NSAIDs, acetaminophen and onabotulinumtoxin A. Preventive medications are taken regularly to reduce the frequency or severity of attacks.

Table II

BMI, diet and lifestyle variables of the patients.

Table II

BMI, diet and lifestyle variables of the patients.

VariableGroup I (n=24)Group II (n=24)Group III (n=24)Group IV (n=24)Comment
BMI (kg/m2), mean ± SD24.9±3.025.4±3.125.8±3.226.1±3.4Groups matched
Diet score (Mediterranean 0-14), mean ± SD6.1±1.85.8±2.05.7±1.95.6±1.9No major differences
Vegetarian diet, n (%)4 (16.7%)3 (12.5%)5 (20.8%)4 (16.7%)Self-reported
Alcohol (occasional), n (%)5 (20.8%)6 (25.0%)6 (25.0 %)7 (29.2%)Not statistically different
Smoking status0 smokers0 smokers0 smokers0 smokersSmoking excluded per protocol

[i] Group I- Systemically and periodontally healthy; Group II, patients with chronic migraine without periodontitis; Group III- patients with only periodontitis and no migraine; Group IV, patients with chronic migraines and periodontitis; BMI- body mass index.

Sample collection

Saliva and venous blood samples were collected from eligible participants, immediately following a clinical examination and prior to any periodontal or medical intervention.

Clinical examination

Periodontal parameters, including PPD, CAL, mSBI, and plaque index (PI) were recorded using a UNC-15 probe. All measurements were performed by a calibrated examiner (intra-examiner reliability κ=0.87).

Migraine screening questionnaire (MS-Q)

Patients with chronic migraines, diagnosed by neurologists, were included in the present study. The MS-Q was used for the subjects with migraines (groups II and IV) using the MS-Q, a self-reported questionnaire (18) (Fig. 1). Each subject answered the following questions with a yes/no for each parameter. The intensity of the migraine was graded as ‘moderate, severe and very severe’.

Migraine screening questionnaire:
This consists of all five questions which were used in the present
study to assess frequency, intensity, duration, associated
symptoms, sensitivity to light or noise and limitation of physical
activities during the attack.

Figure 1

Migraine screening questionnaire: This consists of all five questions which were used in the present study to assess frequency, intensity, duration, associated symptoms, sensitivity to light or noise and limitation of physical activities during the attack.

Saliva sample collection

Care was taken to avoid the collection of saliva contaminated by blood; ~5 ml unstimulated whole saliva was collected in a sterile container by asking the patient to spit in it. To objectively exclude blood contamination, the hemoglobin absorbance of all saliva samples was measured at 414 nm (Soret peak) using a microplate spectrophotometer (BioTek Epoch 2; BioTek; Agilent Technologies, Inc.); recorded absorbance values ranged from 0.002 to 0.008 AU, well below the predefined exclusion threshold (A414 >0.06), and therefore no samples were excluded (Fig. 2). All samples were centrifuged at 3,000 x g for 10 min at room temperature (22-25˚C), and the clarified supernatant was transferred into UV-transparent plates. The collected samples were then transferred to Tarsons conical end centrifuge tubes (Tarsons Products Limited) and centrifuged for 10 min at 2,700 x g at room temperature (22-25˚C). Following centrifugation, supernatants were collected and aliquoted into 0.5 ml Eppendorf tubes which were then preserved at -80˚C until ELISA was performed.

Absorbance at 414 nm for saliva
samples: Three clean saliva samples show very low absorbance values
(0.003-0.005 AU), well below the predefined contamination threshold
of 0.06 AU. The contaminated reference sample displays a marked
absorbance peak (0.083 AU), illustrating the sensitivity of the
hemoglobin screening procedure.

Figure 2

Absorbance at 414 nm for saliva samples: Three clean saliva samples show very low absorbance values (0.003-0.005 AU), well below the predefined contamination threshold of 0.06 AU. The contaminated reference sample displays a marked absorbance peak (0.083 AU), illustrating the sensitivity of the hemoglobin screening procedure.

Serum sample collection

Using the venipuncture technique, 5 ml venous blood were withdrawn using a 5-ml syringe from the antecubital vein. The blood was then transferred into non-EDTA tubes and allowed to stand in a slanting position for 45 min following which the blood was allowed to coagulate naturally. The tube was then placed in a centrifuge and spun at 3,000 x g for 10 min at room temperature (22-25˚C). Serum was separated using a micropipette and stored in 0.5-ml Eppendorf tubes -80˚C until ELISA was performed.

Blinding and randomization procedures

All saliva and serum tubes were coded using non-identifiable numeric codes by a researcher independent of clinical data collection. Laboratory personnel performing ELISA were blinded to group allocation. Data entry and statistical analyses were performed using concealed codes until the analysis was complete.

ELISA and validation

Commercial sandwich ELISA kits (Abbkine Scientific Co., Ltd.) were used IL-1β (cat. no. KTE6013), PTX-3 (cat. no. KTE61036), and CGRP (Human CGRP ELISA Kit, cat. no. EH22808) for IL-1β, CGRP and PTX-3. Validation parameters were included as manufacturer-reported sensitivity and detection ranges. Standard curves (R2 >0.98 for all assays) were reported. Duplicate measurements were performed for each sample. The intra-assay CV was <8% and the inter-assay CV was <12%. The analysis was performed with the use of internal controls, consisting of measured positive control samples with known concentrations of the target analyte (IL-1β, CGRP and PTX-3) and a zero-analyte (negative) control, along with blank wells, to ensure assay accuracy and reliability. Calibration was performed with known concentration controls and only assays meeting QC thresholds were included. Spike-recovery experiments were conducted for IL-1β, CGRP and PTX-3, and recovery rates between 92 and 106% were demonstrated in the saliva and serum samples, indicating good assay accuracy and minimal matrix interference. All saliva and serum samples for CGRP assessment were processed within 30 min of collection, supplemented with a broad protease-inhibitor cocktail (Abbkine PI-01; Abbkine Scientific Co., Ltd.), centrifuged immediately, at 3,000 x g for 10 min at 4˚C, aliquoted and stored at -80˚C. Samples underwent no more than one freeze-thaw cycle. Detection ranges were: IL-1β, 7.8--500 pg/ml; CGRP, 3.75-60 ng/l; PTX-3, 0.5-8 µg/l.

Statistical analysis

The Kolmogorov-Smirnov and Shapiro-Wilks tests were used to assess the normality of the data and parametric methods were applied as all variables exhibited a normal distribution. One-way ANOVA with Tukey's HSD post hoc tests were used to compare the mean values between groups. An independent samples t-test was used to compared the means, whereas the Chi-squared test assessed proportions between the study and control groups, with Fisher's exact test applied for expected cell frequencies <5. Karl Pearson correlations evaluated the linear correlations between variables. All tests were performed at a significance level of α=0.05. Data were analyzed using SPSS v26 software (Dotmatics). Effect size reporting (η2 or ANOVA, Cohen's d), α error was adjusted to 0.05; two-tailed analyses were performed. Post hoc power analysis was performed for the primary outcome (serum IL-1β: Group IV vs. group II). Using the observed mean difference (45.67±10.97 vs. 11.84± 2.72 pg/ml), the calculated effect size was d=4.07, yielding a power of 1.00 at α=0.05. The Benjamini-Hochberg FDR correction was applied to ANOVA-derived biomarker comparisons; all remained significant (adjusted P<0.05). Correlation analyses were exploratory; therefore, effect sizes (r) and unadjusted P-values are presented.

Results

Study subjects

A total of 96 subjects were recruited for the study, including 38 males and 58 females, with a mean age of 44.84 years. All participants met the established inclusion criteria and completed the clinical and biochemical evaluations. The four study groups demonstrated comparable demographic characteristics, ensuring that observed differences in biomarkers and periodontal parameters were not attributable to age or sex distribution.

MS-Q assessment

The analysis of migraine intensity based on the MS-Q revealed marked differences among the groups. Group IV, representing individuals with chronic migraines and periodontitis, exhibited the greatest symptom burden. Notably, 37.5% of participants in this group reported ‘very severe’ migraine episodes, a proportion significantly higher than that observed in group II (those chronic migraines without periodontitis) (P=0.002; Table III). This trend highlights the potential amplifying effect of periodontal inflammation on migraine severity.

Table III

Migraine intensity based on the migraine screening questionnaire comparison in Groups II and IV.

Table III

Migraine intensity based on the migraine screening questionnaire comparison in Groups II and IV.

Migraine IntensityGroup II (n=24)Group IV (n=24)Total (n=48)P-value
Moderate7 (29.2%)6 (25.0%)13 (27.1%)0.0016
Severe17 (70.8%)9 (37.5%)26 (54.2%) 
Very severe0 (0.0%)9 (37.5%)9 (18.8%) 
Total24 (100.0%)24 (100.0%)48 (100.0%) 

[i] Data were analyzed using Fisher's exact test due to small expected cell counts. P<0.05 was considered statistically significant. Group II, patients with chronic migraine without periodontitis. Group IV, patients with chronic migraine with periodontitis.

Groupwise differences in biomarker levels

Highly significant differences were observed across all groups for the salivary and serum levels of IL-1β, CGRP and PTX-3 (P<0.001), indicating distinct inflammatory and neurovascular profiles among the study categories. Group IV consistently demonstrated the highest concentrations of all biomarkers. For example, the serum IL-1β level increased from 5.51±1.19 pg/ml in group I to 11.84±2.72 pg/ml in group II and 45.67±10.97 pg/ml in group IV, while the salivary IL-1β level increased from 79.06±30.49 to 199.60±36.92 pg/ml in group II and 425.58±46.93 pg/ml in group IV. Similar graded increases were observed for CGRP and PTX-3 in both serum and saliva (Table IV).

Table IV

Groupwise comparisons of clinical parameters and biomarker levels in serum and saliva.

Table IV

Groupwise comparisons of clinical parameters and biomarker levels in serum and saliva.

ParameterGroup I (n=24)Group II (n=24)Group III (n=24)Group IV (n=24)P-value
PPD (mm)2.16±0.252.62±0.185.24±0.686.85±0.24 <0.001a
CAL (mm)0.00±0.000.00±0.003.88±0.665.2±0.59 <0.001a
mSBI1.37±0.201.63±0.332.41±0.232.77±0.11 <0.001a
PI0.48±0.202.04±0.402.14±0.382.53±0.30 <0.001a
IL-1β (pg/ml)     
     Serum5.51±1.1911.84±2.7223.00±6.24 <0.001a <0.001a
     Saliva79.06±30.49199.60±36.92349.58±58.67425.58±46.93 <0.001a
CGRP (pg/ml)     
     Serum27.14±3.75100.21±9.0347.26±3.96106.11±9.12 <0.001a
     Saliva27.08±1.7442.05±5.8532.15±1.6073.85±4.33 <0.001a
PTX-3 (ng/ml)     
     Serum4.57±2.6512.39±1.584.69±0.6114.00±1.88 <0.001a
     Saliva0.80±0.2610.09±2.761.37±0.2212.38±3.03 <0.001a

[i] Data are presented as the mean ± SD and were analyzed using one-way ANOVA.

[ii] aP<0.05, statistically significant difference. Group I, healthy controls; Group II, patients with chronic migraine without periodontitis; Group III, patients with periodontitis without migraines; Group IV, patients with chronic migraines and periodontitis; PPD, probing pocket depth; CAL, clinical attachment level; mSBI, modified sulcular bleeding index; PI, plaque index; CGRP, calcitonin gene-related peptide; PTX-3, pentraxin-3; IL-1β, interleukin 1β.

Serum CGRP levels were higher than the salivary levels in all groups (P<0.001). Serum CGRP concentrations increased from 27.14±3.75 pg/ml in group I to 100.21±9.03 pg/ml in group II and 106.11±9.12 pg/ml in group IV, whereas the salivary levels increased from 27.08±1.74 to 42.05±5.85 pg/ml in group II and 73.85±4.33 pg/ml in group IV (Table IV). The elevation in the serum CGRP levels among the chronic migraine groups supports its established involvement in the sensitization of the trigeminovascular system and migraine-related neurovascular activation.

The PTX-3 concentrations exhibited a similar pattern, with higher serum than salivary values across all groups (P<0.001). Serum PTX-3 levels increased from 4.57±2.65 ng/ml in group I to 12.39±1.58 ng/ml in group II and 14.00±1.88 ng/ml in group IV. Salivary PTX-3 values also increased from 0.80±0.26 ng/ml in group I to 10.09±2.76 ng/ml in group II and 12.38±3.03 ng/ml in group III. The higher concentrations in observed in groups II and IV align with the association of PTX-3 with systemic endothelial dysfunction and inflammatory activity relevant to migraines. Although group III exhibited elevated inflammatory markers due to periodontitis, groups II and IV demonstrated substantially higher serum CGRP and PTX-3 levels, suggesting that periodontal inflammation alone does not account for the systemic neurovascular elevations observed in subjects with chronic migraines.

Serum-saliva correlations of biomarkers

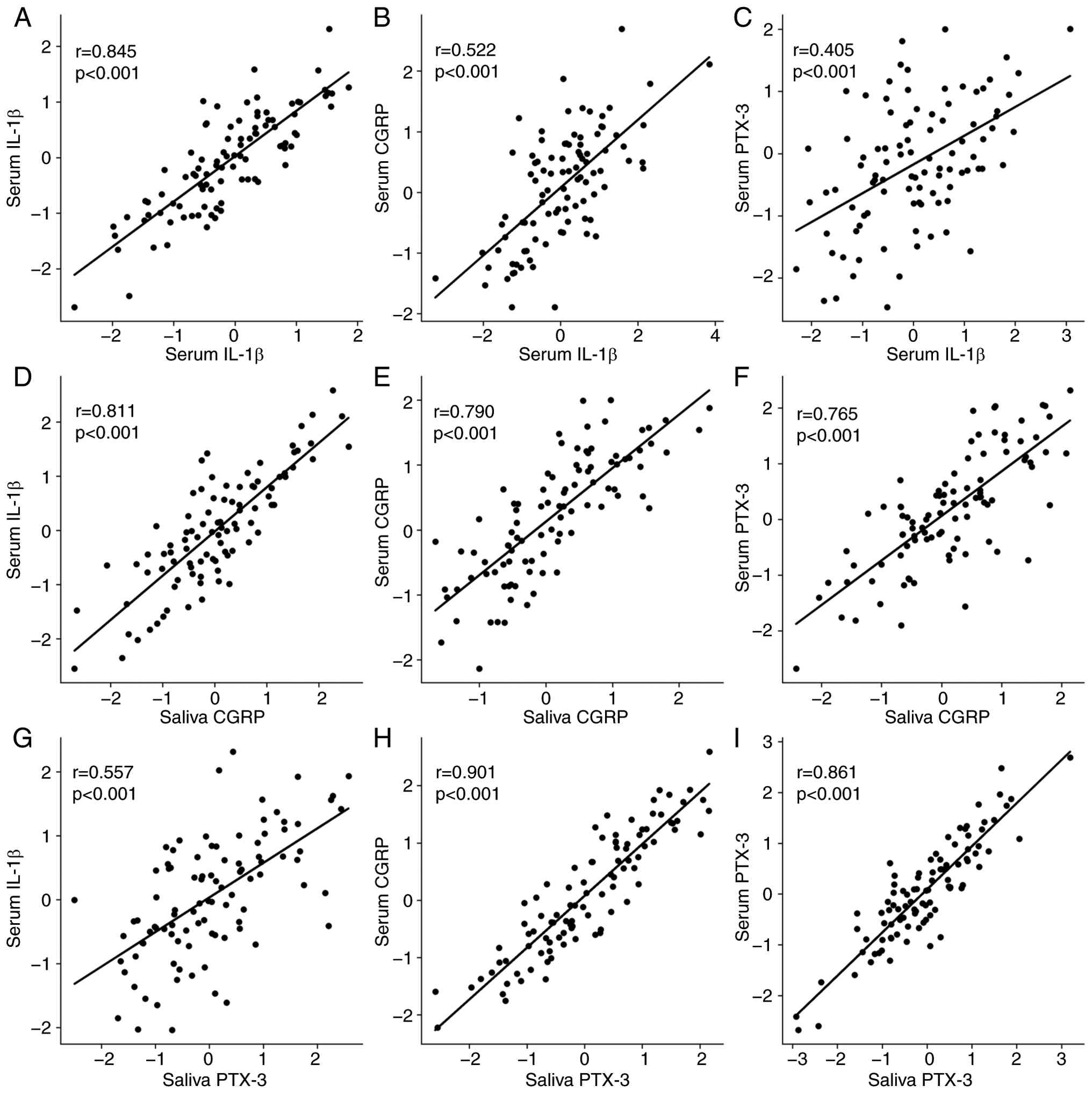
Karl Pearson's correlation analysis revealed significant positive correlations between the serum and salivary concentrations of IL-1β, CGRP and PTX-3 (P<0.001) (Table V). The correlation scatter plots for each of these biomarkers in saliva and serum are shown in Figs. 3 and 4, respectively. These associations indicate that local periodontal inflammatory activity parallels systemic inflammatory and neurovascular responses. Salivary IL-1β demonstrated the strongest correlations, consistent with the oral cavity being a major source of IL-1β production in periodontitis, whereas serum CGRP and PTX-3 reflected broader systemic neurovascular involvement in migraine. The multivariate correlation matrix (Table VI) reinforced these findings, with significant positive correlations across all biomarker pairs. The scatter plots representing these correlations are depicted in Fig. 5. There was a sex-dependent variation in the biomarker levels and it was noted that salivary IL-1β and serum CGRP levels were higher in females than in males, although this was not statistically significant, while the other biomarker levels in serum and saliva were equally expressed in both males and females (Table VII).

Scatter plots illustrating
correlations between salivary biomarkers. (A-I) Pairwise
associations among salivary IL-1β, CGRP and PTX-3 levels. Each
panel displays individual data points with a fitted linear
regression line; all correlations were statistically significant
(P<0.001). CAL, clinical attachment level; PI, plaque index;
CGRP, calcitonin gene-related peptide; PTX-3, pentraxin-3; IL-1β,
interleukin 1β.

Figure 3

Scatter plots illustrating correlations between salivary biomarkers. (A-I) Pairwise associations among salivary IL-1β, CGRP and PTX-3 levels. Each panel displays individual data points with a fitted linear regression line; all correlations were statistically significant (P<0.001). CAL, clinical attachment level; PI, plaque index; CGRP, calcitonin gene-related peptide; PTX-3, pentraxin-3; IL-1β, interleukin 1β.

Scatter plots illustrating
correlations between serum biomarkers. (A-I) Pairwise associations
among serum IL-1β, CGRP and PTX-3 concentrations. Individual
observations and linear regression lines are shown in each panel;
all correlations were statistically significant (P<0.001). CAL,
clinical attachment level; PI, plaque index; CGRP, calcitonin
gene-related peptide; PTX-3, pentraxin-3; IL-1β, interleukin
1β.

Figure 4

Scatter plots illustrating correlations between serum biomarkers. (A-I) Pairwise associations among serum IL-1β, CGRP and PTX-3 concentrations. Individual observations and linear regression lines are shown in each panel; all correlations were statistically significant (P<0.001). CAL, clinical attachment level; PI, plaque index; CGRP, calcitonin gene-related peptide; PTX-3, pentraxin-3; IL-1β, interleukin 1β.

Scatter plots illustrating
correlations between salivary and serum biomarker levels. (A-I)
Pairwise correlations between salivary and serum IL-1β, CGRP and
PTX-3. Each panel includes individual data points, a linear
regression line, and Pearson's correlation coefficients (r). All
correlations were statistically significant (P<0.001). CGRP,
calcitonin gene-related peptide; PTX-3, pentraxin-3; IL-1β,
interleukin 1β.

Figure 5

Scatter plots illustrating correlations between salivary and serum biomarker levels. (A-I) Pairwise correlations between salivary and serum IL-1β, CGRP and PTX-3. Each panel includes individual data points, a linear regression line, and Pearson's correlation coefficients (r). All correlations were statistically significant (P<0.001). CGRP, calcitonin gene-related peptide; PTX-3, pentraxin-3; IL-1β, interleukin 1β.

Table V

Overall correlations between salivary and serum biomarker levels and clinical parameters. using Karl Pearson Correlation

Table V

Overall correlations between salivary and serum biomarker levels and clinical parameters. using Karl Pearson Correlation

  PI (n=96)PPD (n=96)CAL (n=96)
Parameters Correlation valueP-valueCorrelation valueP-valueCorrelation valueP-value
IL-1β (pg/ml)Saliva0.757 <0.001a0.889 <0.001a0.885 <0.001a
 Serum0.669 <0.001a0.873 <0.001a0.846 <0.001a
CGRP (pg/ml)Saliva0.635 <0.001a0.717 <0.001a0.637 <0.001a
 Serum0.717 <0.001a0.411 <0.001a0.3050.003b
PTX-3 (ng/ml)Saliva0.600 <0.001a0.369 <0.001a0.2690.008b
 Serum0.551 <0.001a0.341 <0.001a0.2330.22

[i] Correlation analyses were performed using Pearson's correlation analysis.

[ii] aP<0.01 and

[iii] bP<0.05, statistically significant difference. PPD, probing pocket depth; CAL, clinical attachment level; mSBI, modified sulcular bleeding index; PI, plaque index; CGRP, calcitonin gene-related peptide; PTX-3, pentraxin-3; IL-1β, interleukin 1β.

Table VI

Overall correlations between salivary and serum biomarkers.

Table VI

Overall correlations between salivary and serum biomarkers.

ParametersCorrelation valueP-value
Saliva IL-1β vs. serum IL-1β0.8450.001a
Saliva IL-1β vs. serum CGRP0.5220.001a
Saliva IL-1β vs. serum PTX-30.4050.001a
Saliva CGRP vs. serum IL-1β0.8110.001a
Saliva CGRP vs. serum CGRP0.7900.001a
Saliva CGRP vs. serum PTX-30.7650.001a
Saliva PTX-3 vs. serum IL-1β0.5570.001a
Saliva PTX-3 vs. serum CGRP0.9010.001a
Saliva PTX-3 vs. serum PTX-30.8610.001a

[i] Correlation analyses were performed using Pearson's correlation analysis.

[ii] aP<0.05, statistically significant difference. CGRP, calcitonin gene-related peptide; PTX-3, pentraxin-3; IL-1β, interleukin 1β.

Table VII

Sex-stratified biomarker levels (serum and saliva).

Table VII

Sex-stratified biomarker levels (serum and saliva).

BiomarkerCompartmentMales (n=38), mean ± SDFemales (n=58), mean ± SDP-valueComment
IL-1βSerum21.8±14.924.5±15.70.42No significant sex difference
IL-1βSaliva260±140290±1500.38Higher variance in females
CGRPSerum63.4±37.969.8±42.30.47Trending higher in females
CGRPSaliva41.2±18.446.5±21.10.33Comparable overall
PTX-3Serum9.10±4.859.65±5.230.55No sex effect
PTX-3Saliva6.85±4.327.40±4.670.51No sex effect

[i] CGRP, calcitonin gene-related peptide; PTX-3, pentraxin-3; IL-1β, interleukin 1β.

Correlation between biomarkers and periodontal parameters

The levels of periodontal parameters in group IV were significantly elevated, reflecting more severe periodontal disease. The mean PPD was 6.85±0.24 mm in group IV, compared to 5.24±0.68 mm in group III, 2.62±0.18 mm in group II and 2.16±0.25 mm in the healthy controls (P<0.001). Similarly, CAL in group IV was 5.2±0.59 mm, significantly higher than that in group III (3.88±0.66 mm) and absent in groups I and II (0.00±0.00 mm) (P<0.001). The m SBI and PI were also elevated in group IV (m SBI, 2.77±0.11; PI, 2.53±0.30), indicating an increased local inflammatory burden. Group-level analyses revealed significant positive correlations between both serum and salivary IL-1β, CGRP and PTX-3 levels, and clinical periodontal measures, specifically PPD and CAL. Individuals with higher PPD and CAL values exhibited higher concentrations of all biomarkers. These correlations were strongest in group IV, where both periodontal inflammation and chronic migraine were present. These correlations are illustrated in Figs. 6 and 7, revealing clear upward trends between a worsening periodontal status and increasing biomarker concentrations in both saliva and serum.

Correlation analysis scatter plots of
saliva CGRP, PTX-3 and IL-1β levels in relation to probing pocket
depth and clinical attachment level. (A) Saliva CGRP levels
correlated with probing pocket depth. (B) Saliva PTX-3 levels
correlated with probing pocket depth. (C) saliva IL-1β correlated
with probing pocket depth. (D) Saliva CGRP levels correlated with
clinical attachment level. (E) Saliva PTX-3 levels correlated with
clinical attachment level. (F) Saliva IL-1β correlated with
clinical attachment level. Linear regression lines with 95%
confidence interval bands are displayed for each subplot. All
correlations were statistically significant (P<0.001). CGRP,
calcitonin gene-related peptide; PTX-3, pentraxin-3; IL-1β,
interleukin 1β.

Figure 6

Correlation analysis scatter plots of saliva CGRP, PTX-3 and IL-1β levels in relation to probing pocket depth and clinical attachment level. (A) Saliva CGRP levels correlated with probing pocket depth. (B) Saliva PTX-3 levels correlated with probing pocket depth. (C) saliva IL-1β correlated with probing pocket depth. (D) Saliva CGRP levels correlated with clinical attachment level. (E) Saliva PTX-3 levels correlated with clinical attachment level. (F) Saliva IL-1β correlated with clinical attachment level. Linear regression lines with 95% confidence interval bands are displayed for each subplot. All correlations were statistically significant (P<0.001). CGRP, calcitonin gene-related peptide; PTX-3, pentraxin-3; IL-1β, interleukin 1β.

Correlation analysis scatter plots of
serum CGRP, PTX-3 and IL-1β levels in relation to probing pocket
depth and clinical attachment level. (A) Serum CGRP levels
correlated with probing pocket depth. (B) Serum PTX-3 levels
correlated with probing pocket depth. (C) Serum IL-1β correlated
with probing pocket depth. (D) Serum CGRP levels correlated with
clinical attachment level. (E) Serum PTX-3 levels correlated with
clinical attachment level. (F) Serum IL-1β correlated with clinical
attachment level. Linear regression lines with 95% confidence
interval bands are displayed for each subplot. All correlations
were statistically significant (P<0.001). CGRP, calcitonin
gene-related peptide; PTX-3, pentraxin-3; IL-1β, interleukin
1β.

Figure 7

Correlation analysis scatter plots of serum CGRP, PTX-3 and IL-1β levels in relation to probing pocket depth and clinical attachment level. (A) Serum CGRP levels correlated with probing pocket depth. (B) Serum PTX-3 levels correlated with probing pocket depth. (C) Serum IL-1β correlated with probing pocket depth. (D) Serum CGRP levels correlated with clinical attachment level. (E) Serum PTX-3 levels correlated with clinical attachment level. (F) Serum IL-1β correlated with clinical attachment level. Linear regression lines with 95% confidence interval bands are displayed for each subplot. All correlations were statistically significant (P<0.001). CGRP, calcitonin gene-related peptide; PTX-3, pentraxin-3; IL-1β, interleukin 1β.

Discussion

The present study provides novel insight into the inter-relationship between chronic migraines and periodontitis, highlighting the interplay of neurogenic and systemic inflammatory pathways. The findings indicated that individuals with co-existing chronic migraines and periodontitis (group IV) demonstrated a markedly higher migraine intensity, as assessed by the MS-Q, than those with chronic migraines but without periodontitis (group II), periodontitis alone (group III), or the healthy controls (group I). This observation supports the concept of a synergistic effect of systemic and local inflammation, potentially lowering the threshold for migraine initiation and exacerbating chronification (19-21).

The levels of periodontal parameters in group IV were significantly elevated, reflecting more severe periodontal disease, indicating an increased local inflammatory burden. These findings corroborate those of earlier studies by Leira et al (22) and Camps-Plomer et al (23) reporting heightened periodontal indices in patients with migraines and periodontitis. This suggests that chronic neurogenic inflammation may be associated with periodontal tissue breakdown or vice versa.

In the present study, the levels of IL-1β, a key pro-inflammatory cytokine, were significantly elevated in both the serum and saliva samples of patients in group IV. IL-1β values were elevated in group IV compared to the other groups and salivary IL-1β concentrations were substantially higher than serum values (P 0.001). The pronounced elevation in saliva reflects the predominant local production of IL-1β within periodontal tissues and gingival crevicular fluid. Micro-bleeding or subclinical gingival inflammation may also increase salivary concentrations, consistent with the role of IL-1β as a locally acting pro-inflammatory cytokine in periodontal disease (24).

The elevated salivary concentrations of IL-1β likely reflect localized periodontal inflammation, whereas increased serum levels may indicate the systemic dissemination of inflammatory mediators, potentially via bacterial endotoxins entering the circulation. These findings have been reported by Sachelarie et al (24); Relvas et al (25) and Neurath and Kesting (26). Furthermore, Musubire et al (27) similarly reported elevated levels of IL-1β in patients with migraines, although the present study uniquely evaluated the concurrent effects of periodontal disease and migraine on both salivary and serum IL-1β levels.

In the present study, the leels of CGRP, a central mediator of the activation of the trigeminovascular system, were significantly higher in the migraine groups, with group IV exhibiting peak values. Elevated salivary levels of CGRP are indicative of local trigeminal activation and peripheral nociceptive signaling, while elevations in serum suggest systemic neurogenic inflammation that may perpetuate recurrent migraine episodes. The studies by Alpuente et al (28); Guo et al (29), Dholakia et al (30) and Oliveira et al (31) reported similar findings. These findings support the notion of a bidirectional neurovascular-inflammatory loop, where periodontal inflammation may amplify trigeminal activation and neuropeptide release, intensifying migraine severity.

Herein, the levels of PTX-3, an acute-phase protein upregulated by IL-1β and TNF-α, were highest in group IV, while PTX-3 mediates endothelial dysfunction, complement activation and neutrophil recruitment, linking vascular inflammation to periodontal tissue injury (32-34). The concurrent elevation of PTX-3, IL-1β and CGRP underscores a shared neurovascular-inflammatory axis between migraine and periodontitis.

Correlation analyses further reinforced the connection between biomarkers and clinical parameters. Salivary and serum CGRP, as well as PTX-3, demonstrated significant positive correlations with all clinical indices (P<0.001), highlighting the clinical relevance of these biomarkers in reflecting periodontal and neurogenic inflammation. Yaghobee et al (10), Relvas et al (35) and Leira et al (22,36) similarly observed the same trends in these biomarker values. Notably, serum PTX-3 exhibited a positive, but non-significant correlation with CAL, suggesting tissue-specific activity and potential compartmentalization of inflammatory signaling.

Mechanistically, IL-1β generated by periodontal inflammation can trigger the release of CGRP and PTX-3 synthesis, enhancing reactive oxygen species-mediated endothelial dysfunction, trigeminovascular sensitization, and systemic immune activation, as observed by Pradeep et al (37) Fujita et al (38) and Wang et al (39). Herein, IL-1β, CGRP and PTX-3 elevations in group IV suggested converging inflammatory pathways; however, these observations do not establish directional causality between periodontitis and migraine. The proposed IL-1β-CGRP/PTX-3 axis should therefore be considered hypothesis-generating. Alternative explanations include shared genetic predisposition to inflammatory hyper-responsiveness, systemic low-grade inflammation, hormonal influences, or behavioral confounders. Longitudinal and interventional studies are required to clarify temporal associations. CGRP, despite its inability to cross the blood-brain barrier, exerts potent peripheral nociceptive and vasodilatory effects, lowering the migraine threshold (40,41). PTX-3 amplification further augments vascular inflammation and chronicity risk, establishing a vicious cycle of bidirectional pathology, where periodontitis may intensify migraine attacks, and chronic migraine-associated neurogenic inflammation could reciprocally may be associated with periodontal disease.

When contextualized against previously published migraine-only and periodontitis-only cohorts, the magnitude of biomarker elevations observed in the present study, particularly in individuals with co-existing chronic migraines and periodontitis, appears greater than those typically reported. Prior migraine-focused studies have documented modest to moderate increases in serum CGRP (28,29,41) and PTX-3 (10,34,36,37), often within a narrower range and primarily during ictal phases or in highly selected chronic migraine populations. Similarly, periodontal studies generally report elevated levels of salivary IL-1β and PTX-3 (10,36,37) in periodontitis, although with lower absolute concentrations than those observed herein, particularly in saliva. The comparatively larger effect sizes in the present study cohort may reflect the cumulative and synergistic inflammatory burden imposed by the coexistence of two chronic inflammatory conditions, rather than either disease in isolation. Periodontitis represents a persistent peripheral inflammatory source capable of amplifying systemic cytokine spillover, endothelial activation and neurogenic sensitization, which may in turn augment CGRP release and PTX-3 expression in individuals already predisposed to migraine chronification. Additional factors that may contribute to the observed magnitude include the inclusion of patients with established chronic migraine, the assessment of both serum and saliva (capturing compartment-specific inflammatory activity), and the exclusion of confounding systemic diseases that could dilute disease-specific effects in broader cohorts. Differences in assay platforms, sample matrices, disease severity thresholds and the timing of sample collection relative to migraine activity may further explain variability across studies. Collectively, these considerations suggest that the larger observed biomarker changes likely reflect a biologically meaningful amplification of shared neurovascular-inflammatory pathways when migraine and periodontitis coexist, rather than methodological inflation alone.

Despite these compelling findings, certain limitations of the present study should be acknowledged, such as: The cross-sectional design precludes causal inference; single-center recruitment may limit generalizability; migraine-specific medication use, although recorded, may still exert residual confounding; absence of a low-frequency migraine group with healthy periodontium; the lack of an interventional periodontal-therapy arm; the absence of hormonal and menopausal stratification; in addition, correlations, although statistically significant, require validation in larger multicenter cohorts. Thus, further longitudinal, multicenter studies with interventional components are warranted to validate these findings and explore therapeutic targeting of shared inflammatory pathways.

In conclusion, chronic migraines with co-existing periodontitis are associated with higher serum and salivary IL-1β, CGRP and PTX-3 levels and a more severe periodontal destruction. However, although these findings support an association between periodontal status and neurovascular-inflammatory burden, they do not establish causality. The present study demonstrates that patients with co-existing chronic migraine and periodontitis exhibit markedly elevated serum and salivary levels of IL-1β, CGRP, and PTX-3, accompanied by worsened clinical periodontal parameters (PPD, 6.85±0.24 mm; CAL, 5.2±0.59 mm; PI, 2.53±0.30; mSBI, 2.77±0.11). These findings suggest a bidirectional, neurovascular-inflammatory link between the two conditions, with IL-1β functioning as a central mediator potentially related to CGRP release and PTX-3 expression. This inflammatory axis may be associated with the sensitization of the trigeminovascular system, vascular dysfunction, and migraine chronification. Salivary biomarkers, in particular, represent non-invasive surrogates for systemic inflammation. Further prospective and interventional studies are required to determine whether modifying periodontal inflammation influences migraine outcomes.

Acknowledgements

The authors acknowledge SRM Dental College, Chennai, India, for providing the necessary clinical space and equipment for conducting the research work.

Funding

Funding: No funding was received.

Availability of data and materials

The data generated in the present study may be requested from the corresponding author.

Authors' contributions

SKG contributed to the conception and design of the study, investigation, data acquisition and in the writing of the original draft of the manuscript. DP played a central role in the conception and design of the study; developed and refined the study methodology; oversaw data acquisition, quality control, and data curation; supervised the overall conduct of the study; coordinated and figure preparation, contributed to data interpretation; and was responsible for writing, critical review, and substantive editing of the manuscript. CMA was involved in project administration, data curation, and in the writing, reviewing and editing of the manuscript. PSGP contributed to the conception and design of the study, provided critical intellectual input during study planning, oversaw study execution, guided data interpretation, and contributed to figure preparation and critical revision of the manuscript for important intellectual content. DJV contributed to the conception and design of the study, involved in study supervision and in the formal analysis. NV played a significant role in the preparation of the manuscript, including drafting. In addition, NV provided essential resources, including access to laboratory equipment, the provision of biological samples, and reagents necessary for conducting the assays used in this study. All authors have read and approved the final manuscript.

Ethics approval and consent to participate

Each experimental protocol and methodology was approved and carried out in accordance with the ethical guidelines of the Institutional Review Board of SRM Dental College, Chennai, India (IRB no: SRMDC/IRB/2022/MDS/No. 507). All individuals gave their written informed consent to participate in the study.

Patient consent for publication

Not applicable.

Competing interests

The authors declare that they have no competing interests.

References

1 

Zhang P and Berk T: Network analysis of headache diagnoses using international classification of headache disorders, 3rd edition. Front Neurol. 16(1526037)2025.PubMed/NCBI View Article : Google Scholar

2 

Carneiro-Nascimento S and Levy D: Cortical spreading depression and meningeal nociception. Neurobiol Pain. 11(100091)2022.PubMed/NCBI View Article : Google Scholar

3 

Visentin D, Gobin I and Maglica Ž: Periodontal pathogens and their links to neuroinflammation and neurodegeneration. Microorganisms. 11(1832)2023.PubMed/NCBI View Article : Google Scholar

4 

Mohammed MMA, Almayeef D, Abbas D, Ali M, Haissam M, Mabrook R, Nizar R, Eldoahji T and Al-Rawi NH: The association between periodontal disease and chronic migraine: A systematic review. Int Dent J. 73:481–488. 2023.PubMed/NCBI View Article : Google Scholar

5 

Domínguez-Vivero C, Leira Y, López-Ferreiro A, Saavedra M, Rodríguez-Osorio X, Sobrino T, Campos F, Castillo J and Leira R: Pentraxin 3 (PTX3): a molecular marker of endothelial dysfunction in chronic migraine. J Clin Med. 9(849)2020.PubMed/NCBI View Article : Google Scholar

6 

Teles FRF, Chandrasekaran G, Martin L, Patel M, Kallan MJ, Furquim C, Hamza T, Cucchiara AJ, Kantarci A, Urquhart O, et al: Salivary and serum inflammatory biomarkers during periodontitis progression and after treatment. J Clin Periodontol. 51:1619–1631. 2024.PubMed/NCBI View Article : Google Scholar

7 

Stuchfield-Denby E, Pereira B, Bouvier D, Dallel R and Moisset X: Distinct inflammatory profiles across migraine states: A systematic review and meta-analysis. J Headache Pain. 26(219)2025.PubMed/NCBI View Article : Google Scholar

8 

Vural S and Albayrak L: Can calcitonin gene-related peptide (CGRP) and pentraxin-3 (PTX-3) be useful in diagnosing acute migraine attack? J Recept Signal Transduct Res. 42:562–566. 2022.PubMed/NCBI View Article : Google Scholar

9 

Martínez-García M and Hernández-Lemus E: Pro-Inflammatory and anti-inflammatory interleukins in periodontitis: Molecular roles, immune crosstalk, and therapeutic perspectives. Int J Mol Sci. 26(10094)2025.PubMed/NCBI View Article : Google Scholar

10 

Yaghobee S, Hasannia S, Hamidzadeh F, Tahbaz SV, Shahmohammadi R and Poursafar F: Evaluation of pentraxin-3 and interleukin-6 levels in serum and gingival crevicular fluid in patients with generalized periodontitis and periodontal health controls before and after scaling and root planing. Front Dent. 22(1)2025.PubMed/NCBI View Article : Google Scholar

11 

Haro A, Saxlin T, Suominen AL, Jula A and Ylöstalo P: Association of periodontal condition with serum C-Reactive protein levels: The role of serum apolipoproteins' concentration. J Clin Periodontol. 52:1454–1465. 2025.PubMed/NCBI View Article : Google Scholar

12 

Huynh TN, Toperzer J, Scherer A, Gumina A, Brunetti T, Mansour MK, Markovitz DM and Russo BC: Vimentin regulates mitochondrial ROS production and inflammatory responses of neutrophils. Front Immunol. 15(1416275)2024.PubMed/NCBI View Article : Google Scholar

13 

Wu Y, Li J, Liu M, Gao R, Zhou H, Hu Q, Zhao L and Xie Y: Extracellular vesicles from LPS-Treated PDLSCs Induce NLRP3 inflammasome activation in periodontitis. Oral Dis. 31:1277–1289. 2025.PubMed/NCBI View Article : Google Scholar

14 

Abdulkareem AA, Al-Taweel FB, Al-Sharqi AJB, Gul SS, Sha A and Chapple ILC: Current concepts in the pathogenesis of periodontitis: from symbiosis to dysbiosis. J Oral Microbiol. 15(2197779)2023.PubMed/NCBI View Article : Google Scholar

15 

Huang YK, Yang LC, Wang YH and Chang YC: Increased risk of migraine in patients with chronic periodontitis: A population-based cohort study. Int J Environ Res Public Health. 18(1921)2021.PubMed/NCBI View Article : Google Scholar

16 

Song JH, Rim H, Chang IB, Choi HG, Wee JH, Kwon MJ, Kang HS and Kim JH: Association of chronic periodontitis with migraine in a Korean adult population: A nationwide nested case-control study. Healthcare (Basel). 13(2123)2025.PubMed/NCBI View Article : Google Scholar

17 

Caton JG, Armitage G, Berglundh T, Chapple IL, Jepsen S, Kornman KS, Mealey BL, Papapanou PN, Sanz M and Tonetti MS: A new classification scheme for periodontal and peri-implant diseases and conditions-Introduction and key changes from the 1999 classification. J Periodontol. 89 (Suppl 1):S1–S8. 2018.PubMed/NCBI View Article : Google Scholar

18 

Gonzalez-Martinez A, Muro I, Quintas S, Chaparro M, Gisbert JP, Sanz-García A, Casanova MJ, Rubín de Célix C, Vivancos J and Gago-Veiga AB: Headache in patients with inflammatory bowel disease: Migraine prevalence according to the Migraine Screening-Questionnaire (MS-Q) and headache characteristics. Gastroenterol Hepatol. 47:63–71. 2024.PubMed/NCBI View Article : Google Scholar : (In English, Spanish).

19 

Fey JMH, Bikker FJ and Hesse D: Saliva collection methods among children and adolescents: A scoping review. Mol Diagn Ther. 28:15–26. 2024.PubMed/NCBI View Article : Google Scholar

20 

Ramasundaram V, Ponnaiyan D, Anitha CM, Prakash PSG, Victor DJ and Singh A: Evaluation of soluble tumor necrosis factor-like weak inducer of apoptosis, omentin, and tumor necrosis factor-α in subjects with periodontitis and type 2 diabetes mellitus. Genet Test Mol Biomarkers. 29:1–6. 2025.PubMed/NCBI View Article : Google Scholar

21 

Cavestro C: Metabolic dysfunction and dietary interventions in migraine management: The role of insulin resistance and neuroinflammation-a narrative and scoping review. Brain Sci. 15(474)2025.PubMed/NCBI View Article : Google Scholar

22 

Leira Y, Ameijeira P, Domínguez C, López-Arias E, Ávila-Gómez P, Pérez-Mato M, Sobrino T, Campos F, D'Aiuto F, Leira R and Blanco J: Periodontal inflammation is related to increased serum calcitonin gene-related peptide levels in patients with chronic migraine. J Periodontol. 90:1088–1095. 2019.PubMed/NCBI View Article : Google Scholar

23 

Camps-Plomer GB, Márquez-Arrico CF, Iranzo-Cortés JE and Montiel-Company JM: Association between migraine and periodontitis: A systematic review and meta-analysis. Eur J Neurol. 32(e70391)2025.PubMed/NCBI View Article : Google Scholar

24 

Sachelarie L, Stefanescu CL, Murineanu RM, Grigorian M, Zaharia A, Scrobota I and Hurjui LL: Role of salivary biomarkers IL-1β and MMP-8 in early detection and staging of periodontal disease. Medicina (Kaunas). 61(760)2025.PubMed/NCBI View Article : Google Scholar

25 

Relvas M, Silvestre R, Gonçalves M, Cabral C, Mendes-Frias A, Monteiro L and Viana da Costa A: Analysis of salivary levels of IL-1β, IL17A, OPG and RANK-L in periodontitis using the 2017 classification of periodontal diseases-an exploratory observational study. J Clin Med. 12(1003)2023.PubMed/NCBI View Article : Google Scholar

26 

Neurath N and Kesting M: Cytokines in gingivitis and periodontitis: From pathogenesis to therapeutic targets. Front Immunol. 15(1435054)2024.PubMed/NCBI View Article : Google Scholar

27 

Musubire AK, Cheema S, Ray JC, Hutton EJ and Matharu M: Cytokines in primary headache disorders: A systematic review and meta-analysis. J Headache Pain. 24(36)2023.PubMed/NCBI View Article : Google Scholar

28 

Alpuente A, Gallardo VJ, Asskour L, Caronna E, Torres-Ferrus M and Pozo-Rosich P: Dynamic fluctuations of salivary CGRP levels during migraine attacks: Association with clinical variables and phenotypic characterization. J Headache Pain. 25(58)2024.PubMed/NCBI View Article : Google Scholar

29 

Guo S, Jansen-Olesen I, Olesen J and Christensen SL: Role of PACAP in migraine: An alternative to CGRP? Neurobiol Dis. 176(105946)2023.PubMed/NCBI View Article : Google Scholar

30 

Dholakia SB, Rao P, Talluri S and Khan J: The association between migraines and periodontal disease: A systematic review of clinical studies. J Oral Biosci. 65:137–145. 2023.PubMed/NCBI View Article : Google Scholar

31 

Oliveira R, Gil-Gouveia R and Puledda F: CGRP-targeted medication in chronic migraine-systematic review. J Headache Pain. 25(51)2024.PubMed/NCBI View Article : Google Scholar

32 

Cicek G, Ozcan O, Akyol P, Isik O, Novak D and Küçük H: The effect of aerobic and high-intensity interval training on plasma pentraxin 3 and lipid parameters in overweight and obese women. Peer J. 12(e18123)2024.PubMed/NCBI View Article : Google Scholar

33 

Zhu T, Ding Y, Wu X, Li Y, Cheng G, Wang N, Yang Q, Zhang W, Chen X and Liu X: Pentraxin 3 may reflects the expression of pro-inflammatory cytokines and the migration of macrophages in myocarditis. BMC Cardiovasc Disord. 25(354)2025.PubMed/NCBI View Article : Google Scholar

34 

Chen FW, Wu YL, Cheng CC, Hsiao YW, Chi JY, Hung LY, Chang CP, Lai MD and Wang JM: Inactivation of pentraxin 3 suppresses M2-like macrophage activity and immunosuppression in colon cancer. J Biomed Sci. 31(10)2024.PubMed/NCBI View Article : Google Scholar

35 

Relvas M, Mendes-Frias A, Gonçalves M, Salazar F, López-Jarana P, Silvestre R and Viana da Costa A: Salivary IL-1β, IL-6, and IL-10 are key biomarkers of periodontitis severity. Int J Mol Sci. 25(8401)2024.PubMed/NCBI View Article : Google Scholar

36 

Leira Y, Ameijeira P, Domínguez C, López-Arias E, Ávila-Gómez P, Pérez-Mato M, Sobrino T, Campos F, D'Aiuto F, Leira R and Blanco J: Severe periodontitis is linked with increased peripheral levels of sTWEAK and PTX3 in chronic migraineurs. Clin Oral Investig. 24:597–606. 2020.PubMed/NCBI View Article : Google Scholar

37 

Pradeep AR, Kathariya R, Raghavendra NM and Sharma A: Levels of pentraxin-3 in gingival crevicular fluid and plasma in periodontal health and disease. J Periodontol. 82:734–741. 2011.PubMed/NCBI View Article : Google Scholar

38 

Fujita D, Matsuoka Y, Yamakita S, Horii Y, Ishikawa D, Kushimoto K, Amino H and Amaya F: Rapid cleavage of IL-1β in DRG neurons produces tissue injury-induced pain hypersensitivity. Mol Pain. 20(17448069241285357)2024.PubMed/NCBI View Article : Google Scholar

39 

Wang X, Zhang J and Ji J: IL-1β-induced pentraxin 3 inhibits the proliferation, invasion and cell cycle of trophoblasts in preeclampsia and is suppressed by IL-1β antagonists. Mol Med Rep. 25(115)2022.PubMed/NCBI View Article : Google Scholar

40 

Al-Khazali HM, Ashina H, Wiggers A, Rose K, Iljazi A, Christensen RH, Schytz HW, Amin FM and Ashina M: Calcitonin gene-related peptide causes migraine aura. J Headache Pain. 24(124)2023.PubMed/NCBI View Article : Google Scholar

41 

Iyengar S, Johnson KW, Ossipov MH and Aurora SK: CGRP and the trigeminal system in migraine. Headache. 59:659–681. 2019.PubMed/NCBI View Article : Google Scholar

Related Articles

  • Abstract
  • View
  • Download
Copy and paste a formatted citation
Spandidos Publications style
Gonthupuli SK, Ponnaiyan D, Anitha CM, Prakash PS, Victor DJ and Verma N: <p>Serum and salivary calcitonin gene‑related peptide, pentraxin‑3 and interleukin‑1&beta; levels in patients with periodontitis suffering from migraines</p>. World Acad Sci J 8: 23, 2026.
APA
Gonthupuli, S.K., Ponnaiyan, D., Anitha, C.M., Prakash, P.S., Victor, D.J., & Verma, N. (2026). <p>Serum and salivary calcitonin gene‑related peptide, pentraxin‑3 and interleukin‑1&beta; levels in patients with periodontitis suffering from migraines</p>. World Academy of Sciences Journal, 8, 23. https://doi.org/10.3892/wasj.2026.438
MLA
Gonthupuli, S. K., Ponnaiyan, D., Anitha, C. M., Prakash, P. S., Victor, D. J., Verma, N."<p>Serum and salivary calcitonin gene‑related peptide, pentraxin‑3 and interleukin‑1&beta; levels in patients with periodontitis suffering from migraines</p>". World Academy of Sciences Journal 8.2 (2026): 23.
Chicago
Gonthupuli, S. K., Ponnaiyan, D., Anitha, C. M., Prakash, P. S., Victor, D. J., Verma, N."<p>Serum and salivary calcitonin gene‑related peptide, pentraxin‑3 and interleukin‑1&beta; levels in patients with periodontitis suffering from migraines</p>". World Academy of Sciences Journal 8, no. 2 (2026): 23. https://doi.org/10.3892/wasj.2026.438
Copy and paste a formatted citation
x
Spandidos Publications style
Gonthupuli SK, Ponnaiyan D, Anitha CM, Prakash PS, Victor DJ and Verma N: <p>Serum and salivary calcitonin gene‑related peptide, pentraxin‑3 and interleukin‑1&beta; levels in patients with periodontitis suffering from migraines</p>. World Acad Sci J 8: 23, 2026.
APA
Gonthupuli, S.K., Ponnaiyan, D., Anitha, C.M., Prakash, P.S., Victor, D.J., & Verma, N. (2026). <p>Serum and salivary calcitonin gene‑related peptide, pentraxin‑3 and interleukin‑1&beta; levels in patients with periodontitis suffering from migraines</p>. World Academy of Sciences Journal, 8, 23. https://doi.org/10.3892/wasj.2026.438
MLA
Gonthupuli, S. K., Ponnaiyan, D., Anitha, C. M., Prakash, P. S., Victor, D. J., Verma, N."<p>Serum and salivary calcitonin gene‑related peptide, pentraxin‑3 and interleukin‑1&beta; levels in patients with periodontitis suffering from migraines</p>". World Academy of Sciences Journal 8.2 (2026): 23.
Chicago
Gonthupuli, S. K., Ponnaiyan, D., Anitha, C. M., Prakash, P. S., Victor, D. J., Verma, N."<p>Serum and salivary calcitonin gene‑related peptide, pentraxin‑3 and interleukin‑1&beta; levels in patients with periodontitis suffering from migraines</p>". World Academy of Sciences Journal 8, no. 2 (2026): 23. https://doi.org/10.3892/wasj.2026.438
Follow us
  • Twitter
  • LinkedIn
  • Facebook
About
  • Spandidos Publications
  • Careers
  • Cookie Policy
  • Privacy Policy
How can we help?
  • Help
  • Live Chat
  • Contact
  • Email to our Support Team