Spandidos Publications Logo
  • About
    • About Spandidos
    • Aims and Scopes
    • Abstracting and Indexing
    • Editorial Policies
    • Reprints and Permissions
    • Job Opportunities
    • Terms and Conditions
    • Contact
  • Journals
    • All Journals
    • Oncology Letters
      • Oncology Letters
      • Information for Authors
      • Editorial Policies
      • Editorial Board
      • Aims and Scope
      • Abstracting and Indexing
      • Bibliographic Information
      • Archive
    • International Journal of Oncology
      • International Journal of Oncology
      • Information for Authors
      • Editorial Policies
      • Editorial Board
      • Aims and Scope
      • Abstracting and Indexing
      • Bibliographic Information
      • Archive
    • Molecular and Clinical Oncology
      • Molecular and Clinical Oncology
      • Information for Authors
      • Editorial Policies
      • Editorial Board
      • Aims and Scope
      • Abstracting and Indexing
      • Bibliographic Information
      • Archive
    • Experimental and Therapeutic Medicine
      • Experimental and Therapeutic Medicine
      • Information for Authors
      • Editorial Policies
      • Editorial Board
      • Aims and Scope
      • Abstracting and Indexing
      • Bibliographic Information
      • Archive
    • International Journal of Molecular Medicine
      • International Journal of Molecular Medicine
      • Information for Authors
      • Editorial Policies
      • Editorial Board
      • Aims and Scope
      • Abstracting and Indexing
      • Bibliographic Information
      • Archive
    • Biomedical Reports
      • Biomedical Reports
      • Information for Authors
      • Editorial Policies
      • Editorial Board
      • Aims and Scope
      • Abstracting and Indexing
      • Bibliographic Information
      • Archive
    • Oncology Reports
      • Oncology Reports
      • Information for Authors
      • Editorial Policies
      • Editorial Board
      • Aims and Scope
      • Abstracting and Indexing
      • Bibliographic Information
      • Archive
    • Molecular Medicine Reports
      • Molecular Medicine Reports
      • Information for Authors
      • Editorial Policies
      • Editorial Board
      • Aims and Scope
      • Abstracting and Indexing
      • Bibliographic Information
      • Archive
    • World Academy of Sciences Journal
      • World Academy of Sciences Journal
      • Information for Authors
      • Editorial Policies
      • Editorial Board
      • Aims and Scope
      • Abstracting and Indexing
      • Bibliographic Information
      • Archive
    • International Journal of Functional Nutrition
      • International Journal of Functional Nutrition
      • Information for Authors
      • Editorial Policies
      • Editorial Board
      • Aims and Scope
      • Abstracting and Indexing
      • Bibliographic Information
      • Archive
    • International Journal of Epigenetics
      • International Journal of Epigenetics
      • Information for Authors
      • Editorial Policies
      • Editorial Board
      • Aims and Scope
      • Abstracting and Indexing
      • Bibliographic Information
      • Archive
    • Medicine International
      • Medicine International
      • Information for Authors
      • Editorial Policies
      • Editorial Board
      • Aims and Scope
      • Abstracting and Indexing
      • Bibliographic Information
      • Archive
  • Articles
  • Information
    • Information for Authors
    • Information for Reviewers
    • Information for Librarians
    • Information for Advertisers
    • Conferences
  • Language Editing
Spandidos Publications Logo
  • About
    • About Spandidos
    • Aims and Scopes
    • Abstracting and Indexing
    • Editorial Policies
    • Reprints and Permissions
    • Job Opportunities
    • Terms and Conditions
    • Contact
  • Journals
    • All Journals
    • Biomedical Reports
      • Information for Authors
      • Editorial Policies
      • Editorial Board
      • Aims and Scope
      • Abstracting and Indexing
      • Bibliographic Information
      • Archive
    • Experimental and Therapeutic Medicine
      • Information for Authors
      • Editorial Policies
      • Editorial Board
      • Aims and Scope
      • Abstracting and Indexing
      • Bibliographic Information
      • Archive
    • International Journal of Epigenetics
      • Information for Authors
      • Editorial Policies
      • Editorial Board
      • Aims and Scope
      • Abstracting and Indexing
      • Bibliographic Information
      • Archive
    • International Journal of Functional Nutrition
      • Information for Authors
      • Editorial Policies
      • Editorial Board
      • Aims and Scope
      • Abstracting and Indexing
      • Bibliographic Information
      • Archive
    • International Journal of Molecular Medicine
      • Information for Authors
      • Editorial Policies
      • Editorial Board
      • Aims and Scope
      • Abstracting and Indexing
      • Bibliographic Information
      • Archive
    • International Journal of Oncology
      • Information for Authors
      • Editorial Policies
      • Editorial Board
      • Aims and Scope
      • Abstracting and Indexing
      • Bibliographic Information
      • Archive
    • Medicine International
      • Information for Authors
      • Editorial Policies
      • Editorial Board
      • Aims and Scope
      • Abstracting and Indexing
      • Bibliographic Information
      • Archive
    • Molecular and Clinical Oncology
      • Information for Authors
      • Editorial Policies
      • Editorial Board
      • Aims and Scope
      • Abstracting and Indexing
      • Bibliographic Information
      • Archive
    • Molecular Medicine Reports
      • Information for Authors
      • Editorial Policies
      • Editorial Board
      • Aims and Scope
      • Abstracting and Indexing
      • Bibliographic Information
      • Archive
    • Oncology Letters
      • Information for Authors
      • Editorial Policies
      • Editorial Board
      • Aims and Scope
      • Abstracting and Indexing
      • Bibliographic Information
      • Archive
    • Oncology Reports
      • Information for Authors
      • Editorial Policies
      • Editorial Board
      • Aims and Scope
      • Abstracting and Indexing
      • Bibliographic Information
      • Archive
    • World Academy of Sciences Journal
      • Information for Authors
      • Editorial Policies
      • Editorial Board
      • Aims and Scope
      • Abstracting and Indexing
      • Bibliographic Information
      • Archive
  • Articles
  • Information
    • For Authors
    • For Reviewers
    • For Librarians
    • For Advertisers
    • Conferences
  • Language Editing
Login Register Submit
  • This site uses cookies
  • You can change your cookie settings at any time by following the instructions in our Cookie Policy. To find out more, you may read our Privacy Policy.

    I agree
Search articles by DOI, keyword, author or affiliation
Search
Advanced Search
presentation
World Academy of Sciences Journal
Join Editorial Board Propose a Special Issue
Print ISSN: 2632-2900 Online ISSN: 2632-2919
Journal Cover
May-June 2026 Volume 8 Issue 3

Full Size Image

Sign up for eToc alerts
Recommend to Library

Journals

International Journal of Molecular Medicine

International Journal of Molecular Medicine

International Journal of Molecular Medicine is an international journal devoted to molecular mechanisms of human disease.

International Journal of Oncology

International Journal of Oncology

International Journal of Oncology is an international journal devoted to oncology research and cancer treatment.

Molecular Medicine Reports

Molecular Medicine Reports

Covers molecular medicine topics such as pharmacology, pathology, genetics, neuroscience, infectious diseases, molecular cardiology, and molecular surgery.

Oncology Reports

Oncology Reports

Oncology Reports is an international journal devoted to fundamental and applied research in Oncology.

Experimental and Therapeutic Medicine

Experimental and Therapeutic Medicine

Experimental and Therapeutic Medicine is an international journal devoted to laboratory and clinical medicine.

Oncology Letters

Oncology Letters

Oncology Letters is an international journal devoted to Experimental and Clinical Oncology.

Biomedical Reports

Biomedical Reports

Explores a wide range of biological and medical fields, including pharmacology, genetics, microbiology, neuroscience, and molecular cardiology.

Molecular and Clinical Oncology

Molecular and Clinical Oncology

International journal addressing all aspects of oncology research, from tumorigenesis and oncogenes to chemotherapy and metastasis.

World Academy of Sciences Journal

World Academy of Sciences Journal

Multidisciplinary open-access journal spanning biochemistry, genetics, neuroscience, environmental health, and synthetic biology.

International Journal of Functional Nutrition

International Journal of Functional Nutrition

Open-access journal combining biochemistry, pharmacology, immunology, and genetics to advance health through functional nutrition.

International Journal of Epigenetics

International Journal of Epigenetics

Publishes open-access research on using epigenetics to advance understanding and treatment of human disease.

Medicine International

Medicine International

An International Open Access Journal Devoted to General Medicine.

Journal Cover
May-June 2026 Volume 8 Issue 3

Full Size Image

Sign up for eToc alerts
Recommend to Library

  • Article
  • Citations
    • Cite This Article
    • Download Citation
    • Create Citation Alert
    • Remove Citation Alert
    • Cited By
  • Similar Articles
    • Related Articles (in Spandidos Publications)
    • Similar Articles (Google Scholar)
    • Similar Articles (PubMed)
  • Download PDF
  • Download XML
  • View XML
Article Open Access

Fetuin‑A and dephosphorylated uncarboxylated matrix Gla protein levels in patients with established coronary heart disease undergoing hemodialysis

  • Authors:
    • Maria Divani
    • Aikaterini Katsanaki
    • Maria Tziastoudi
    • Panagiota Makri
    • Christina Poulianiti
    • Evangelos Lykotsetas
    • Andriani Balatsouka
    • Ioannis Stefanidis
    • Theodoros Eleftheriadis
  • View Affiliations / Copyright

    Affiliations: Department of Nephrology, Faculty of Medicine, University of Thessaly, 41110 Larissa, Greece
    Copyright: © Divani et al. This is an open access article distributed under the terms of Creative Commons Attribution License [CC BY 4.0].
  • Article Number: 43
    |
    Published online on: March 27, 2026
       https://doi.org/10.3892/wasj.2026.458
  • Expand metrics +
Metrics: Total Views: 0 (Spandidos Publications: | PMC Statistics: )
Metrics: Total PDF Downloads: 0 (Spandidos Publications: | PMC Statistics: )
Cited By (CrossRef): 0 citations Loading Articles...

This article is mentioned in:


Abstract

Fetuin‑A and matrix Gla protein (MGP) protect against vascular calcification. It has been suggested that low fetuin‑A levels or high levels of inactivated, dephosphorylated, uncarboxylated MGP (dp‑ucMGP) may be associated with poor cardiovascular outcomes. The present study evaluated the potential of fetuin‑A and dp‑ucMGP levels as markers of coronary heart disease (CHD) in patients undergoing hemodialysis (HD). A total of 126 patients undergoing HD (40 patients with established CHD) and 24 healthy subjects were enrolled in the study. Serum fetuin‑A and dp‑ucMGP levels were measured using ELISA. In the patients undergoing HD, fetuin‑A levels were significantly lower, whereas dp‑ucMGP levels were significantly higher than in the healthy subjects. In patients undergoing HD, fetuin‑A levels did not differ between those with or without CHD, diabetes mellitus, a C‑reactive protein (CRP) level >1 mg/dl, or heart failure. Dephosphorylated, uncarboxylated MGP was lower in patients with CHD, diabetes mellitus, a CRP level >1 mg/dl and heart failure with a reduced ejection fraction. Dephosphorylated, uncarboxylated MGP levels were shown to perform moderately well as an indicator of CHD‑free patients (area under the curve, 0.659). An increase in dp‑ucMGP by 1 ng/ml was found to decrease the risk of CHD by 23.4%. On the whole, the present study demonstrates that, in patients with HD, fetuin‑A levels are not associated with CHD. Conversely, elevated dp‑ucMGP levels indicate CHD‑free patients, although its accuracy is moderate.

Introduction

Cardiovascular diseases (CVD) are the leading cause of mortality among patients undergoing hemodialysis (HD) (1), with the cardiovascular (CV) mortality rate being 10-20-fold higher than that in the general population following stratification for age, race and sex (2). In the general population, vascular calcification is associated with increased CV mortality (3). Compared to the general population, vascular calcification is prevalent in patients undergoing HD and is associated with a higher risk of CV-related mortality (4-6).

Fetuin-A and matrix Gla protein (MGP) are two proteins that provide a defense against extraosseous calcification. Fetuin-A is produced in the liver and functions as a calcification inhibitor by forming soluble colloidal spheres of fetuin-A, calcium and phosphate, preventing the crystallization of hydroxyapatite (7). Fetuin-A-deficient mice on a mineral/vitamin D-rich diet develop calcification in small vessels of the heart, lungs, kidneys and skin (8). Matrix Gla protein is secreted by chondrocytes and vascular smooth muscle cells. It binds to newly formed hydroxyapatite crystals, hindering their accumulation within the arterial wall. Additionally, MGP inhibits the binding of bone morphogenetic protein-2 to its receptor, preventing vascular smooth muscle cells from differentiating into osteoblasts (9). MGP-deficient mice undergo spontaneous and extensive calcification of cartilage and blood vessels, leading to death within 2 months of birth due to blood vessel rupture (10). For MGP to become active, it must undergo the carboxylation of certain γ-glutamate residues, followed by the phosphorylation of specific serine residues, in a process that depends on vitamin K. Consequently, dephosphorylated uncarboxylated MGP (dp-ucMGP) represents its inactive form and elevated levels of dp-ucMGP indicate a reduced capacity to inhibit vascular calcification (11,12). In line with the increased incidence of vascular calcification in patients undergoing HD, serum fetuin-A levels are lower in this population (13,14), whereas dp-ucMGP levels are higher (15,16). However, the data do not univocally support a role for serum fetuin-A or dp-ucMGP levels as markers of CV risk or established CVD.

In a community-based survey, low fetuin-A levels were shown to be associated with aortic arch calcification (17). Another study detected a trend towards lower levels in patients with peripheral artery disease (18). In another study, among community-dwelling individuals, lower fetuin-A levels were independently associated with greater severity of coronary artery calcification, but not with peripheral artery disease or carotid intima-media thickness (19). Conversely, in the Multi-Ethnic Study of Atherosclerosis, fetuin-A was not associated with the risk of CVD (20). In another cohort of patients who underwent carotid or lower extremity endarterectomy, fetuin-A was not associated with the coronary artery calcification score (21). In a previous study, an analysis of seven prospective studies found that fetuin-A genetic variants associated with reduced fetuin-A levels were not related to the risk of coronary heart disease (CHD) (22). Additionally, in another study involving 1,049 patients with CHD, fetuin-A levels failed to predict secondary CHD events over a 6-year follow-up period (23). Notably, in another study, fetuin-A was found to be higher in patients with CHD than in those without (24).

A similar discrepancy is observed in studies involving patients undergoing HD. Studies have shown that lower fetuin-A levels are associated with a higher CV mortality (13,14,25-27), an increased carotid intima-media thickness (13,26,27), elevated carotid-to-femoral pulse wave velocity (28), higher coronary artery calcification scores (25) and stroke (29). Conversely, in one study involving 104 patients undergoing HD, fetuin-A levels did not differ between those with or without coronary artery or abdominal aortic calcification (30). In another cohort of 220 patients undergoing HD, serum fetuin-A was not associated with carotid intima-media thickness, the degrees of carotid atherosclerotic plaques or calcification, left ventricular ejection fraction, prevalent CVD and all-cause or CV mortality (31). Similarly, in another cohort of 143 patients undergoing HD, no difference in fetuin-A levels was observed between those with a carotid intima-media thickness ≥0.8 mm, plaque or stenosis ≥50% and those without (32).

Similarly, for fetuin-A, a discrepancy relative to dp-ucMGP has been observed. In a population-based study with a 15.5-year follow-up period, higher dp-ucMGP levels were associated with an increased incidence of CVD and all-cause mortality (33). That study did not find a significant link between dp-ucMGP levels and the risk of myocardial infarction or sudden cardiac death. Nonetheless, elevated levels of dp-ucMGP were associated with an increased risk of other CVDs (33). One possible explanation for this is that myocardial infarction often results from the rupture of non-calcified atherosclerotic plaques (34). In another cohort of patients who experienced myocardial infarction, coronary revascularization, or first ischemic stroke, those in the highest quartile of dp-ucMGP had a higher risk of all-cause and CV 5-year mortality (35). In the Multi-Ethnic Study of Atherosclerosis, a positive association was detected between dp-ucMGP and the incidence and progression of coronary arteries and thoracic aorta calcification (36). Interestingly, in patients with acute coronary syndrome, those with non-ST-elevation myocardial infarction (NSTEMI) had higher levels of dp-ucMGP than those with ST-elevation myocardial infarction (STEMI), suggesting a potential link between dp-ucMGP and coronary artery calcification burden and more stable atherosclerotic plaques (37). Conversely, in the Health, Aging, and Body Composition Study, no association was detected between dp-ucMGP and incident CVD (38). Mendelian randomization studies have demonstrated that lower genetically predicted dp-ucMGP levels are associated with a reduced risk of CHD (39,40). Notably, in the Multi-Ethnic Study of Atherosclerosis, elevated dp-ucMGP was associated with an increased risk of incident CVD, CHD and all-cause mortality, but only in the youngest age quartile (41).

A similar discrepancy has been observed in studies involving patients undergoing HD. In these patients, high dp-uc MGP levels have been linked to increased vascular calcification (15,16,42). In a previous study, in a cohort of 141 patients with end-stage kidney disease (ESKD) undergoing living donor kidney transplantation, elevated dp-ucMGP levels were associated with the coronary artery calcification score and medial vascular calcification in the epigastric artery (43). However, in another cohort of 493 patients with ESKD from the same center with a median follow-up period of 42 months, elevated dp-ucMGP levels were associated with increased all-cause mortality, but they were not identified as an independent risk factor of coronary artery or aortic valve calcification (44). Conversely, another study demonstrated that, among 391 patients on incident HD, neither dp-ucMGP nor fetuin-A were associated with coronary artery calcification, pulse wave velocity or mortality risk (45). Similarly, among participants in the Chronic Renal Insufficiency Cohort with mild-to-moderate chronic kidney disease, dp-ucMGP was not associated with either coronary artery calcification score or pulse wave velocity (46). Moreover, in the same cohort, elevated dp-ucMGP levels were associated with increased all-cause mortality, but not with more atherosclerotic CV events (47). Of note, in a study on 198 patients undergoing HD, low dp-ucMGP levels were associated with a higher risk of all-cause mortality and CV mortality (48).

In this complex landscape, the present study investigated the association between fetuin-A or dp-ucMGP and established CHD in patients undergoing HD. Additionally, the present study explored other confounding factors that could impact these associations, underscoring the need for a better understanding of these interactions to improve patient outcomes.

Patients and methods

Patients

A total of 126 patients undergoing HD participated in the study. The mean age of the patients was 65.94±11.85 years, comprising 89 males and 37 females. The cause of ESKD was diabetic nephropathy (n=36), primary glomerulonephritis (n=24), hypertension (n=21), autosomal dominant polycystic kidney disease (n=11), secondary focal segmental glomerulosclerosis (n=6), cardiorenal syndrome (n=4), vasculitis (n=4), obstructive nephropathy (n=2), analgesic nephropathy (n=1) and unknown causes (n=17).

In total, 50 patients had diabetes mellitus, and 40 had a history of CHD. CHD was ascertained by coronary artery angiography performed for angina symptoms or following a myocardial infarction. A total of 110 patients underwent recent transthoracic echocardiography. Among these, 38 patients were identified with heart failure with preserved ejection fraction (HFpEF), while 26 patients were diagnosed with heart failure with reduced ejection fraction (HFrEF). Statin therapy was administered to 82 patients, and the majority received antihypertensive medications. The attending nephrologists determined the need for phosphate binders, vitamin D analogues and calcimimetics. All patients had received HD for at least 6 months prior to inclusion. Each patient underwent 4-h HD sessions three times per week, using polysulfone dialyzers and bicarbonate-based dialysate with calcium concentrations of 1.25 or 1.5 mmol/l.

Patients with active infection, autoimmune disease, malignancy, liver pathology, or who have received cytotoxic, immunosuppressive, or corticosteroid therapy within the previous 6 months were excluded from the study. Patients receiving vitamin K antagonists were also excluded. Further clinical and demographic features are presented in Table I.

Table I

Patient characteristics.

Table I

Patient characteristics.

 No. of patientsMeanSD
Age (years)12665.9411.85
Duration (months)12656.2150.04
Males/females89/37  
Diabetes mellitus (yes/no)50/76  
Coronary heart disease (yes/no)40/86  
HFrEF/HFpEF/No HF26/38/46  
Systolic blood pressure (mmHg)126132.1221.41
Diastolic blood pressure (mmHg)12665.5713.32
White blood cell count (c/µl)1266,884.812,286.36
Neutrophils (c/µl)1264,589.671,726.59
Lymphocytes (c/µl)1261,681.77606.01
Hemoglobin (g/dl)12611.770.84
Platelets (c/µl)126203.9958.97
Creatinine (mg/dl)1266.382.04
Urea (mg/dl)126130.3527.48
Urea reduction rate (%)12667.537.60
Residual diuresis (ml)126321.43422.30
Body mass index (Kg/m2)12626.905.71
Albumin (g/dl)1263.630.10
Cholesterol (mg/dl)126130.9342.42
Triglycerides (mg/dl)126130.3368.77
Calcium (mg/dl)1269.120.46
Phosphorus (mg/dl)1265.341.01
Parathyroid hormone (pg/ml)126347.73287.29
Alkaline phosphatase (U/l)126205.80105.30
SGOT (U/l)12612.887.31
SGPT (U/l)12611.729.16
Ferritin (ng/ml)126153.47161.76
TSAT (%)12619.0112.12
CRP (mg/dl)1261.240.87
CRP >1 mg/dl (yes/no)63/63  
Fetuin-A (mg/ml)1261.731.22
Dp-uc-matrix Gla protein (pg/ml)1264,743.502,556.75

[i] HFrEF, heart failure with reduced ejection fraction; HFpEF, heart failure with preserved ejection fraction; HF, heart failure; SGOT, serum glutamic-oxaloacetic transaminase; SGPT, serum glutamic-pyruvic transaminase; TSAT, transferrin saturation; CRP, C-reactive protein.

A control group consisting of 24 healthy individuals (mean age, 64.42±6.49 years; 15 males and 9 females) was included following a review of medical records and a physical examination.

Written informed consent was obtained from each participant, and the study protocol received approval from the Ethics Committee of the Faculty of Medicine, University of Thessaly, Larissa, Greece (approval no. 558/10-2-2017).

Patient samples and analyses

Blood samples were drawn at the onset of the second hemodialysis session of the week, and serum was preserved at -80˚C.

Serum fetuin-A concentrations were measured using the Human Fetuin-A ELISA kit (cat. no. CSB-E12882h, Cusabio Technology, Wuhan, China), which has a sensitivity of 3.9 ng/ml. Serum dp-ucMGP levels were assessed using the human dp-ucMGP ELISA kit (cat. no. EH4755, Wuhan Fine Biotech Co., Ltd.), which has a sensitivity of 46.875 pg/ml. All other parameters were part of routine laboratory assessments performed concurrently with serum collection for the measurements of the factors described above.

Statistical analysis

Statistical analysis was performed using the IBM SPSS Statistics version 29 (IBM Corp.). Since the one-sample Kolmogorov-Smirnov test revealed that serum fetuin-A and dp-ucMGP levels were not normally distributed, non-parametric methods were applied. Specifically, for group comparisons, the Mann-Whitney U test was performed, with data presented as the median (interquartile range). Furthermore, Spearman's rank correlation coefficient was performed to evaluate correlations between continuous variables, while the Chi-squared test was used to examined associations between categorical variables. In addition, receiver operating characteristic (ROC) curve analysis was performed, and the optimal cut-off was identified by maximizing Youden's index. Finally, binary logistic regression was used to assess the independent effects of variables on outcomes. A value of P<0.05 was considered to indicate a statistically significant difference.

Results

Serum fetuin-A and dp-ucMGP levels in patients undergoing HD and healthy volunteers. Serum fetuin-A levels were significantly lower in patients undergoing HD than in healthy volunteers [1.54 (0.76-2.13) vs. 2.22 (1.423-3.980) mg/ml, respectively; P=0.02, Mann-Whitney U test] (Fig. 1A).

Comparison of serum fetuin-A and
dp-ucMGP levels between healthy individuals and patients undergoing
HD. (A) Serum fetuin-A levels were significantly lower in patients
undergoing HD compared to healthy subjects. (B) Conversely,
dp-ucMGP levels were significantly higher in patients undergoing HD
compared to healthy subjects. The line inside the box indicates the
median. The box represents the IQR, and the whiskers extend to 1.5
x IQR above and below the upper and lower quartiles, respectively.
Points outside the whiskers are outliers. *P<0.05,
vs. healthy subjects. dp-ucMGP, uncarboxylated matrix Gla protein;
HD, hemodialysis; IQR, interquartile range.

Figure 1

Comparison of serum fetuin-A and dp-ucMGP levels between healthy individuals and patients undergoing HD. (A) Serum fetuin-A levels were significantly lower in patients undergoing HD compared to healthy subjects. (B) Conversely, dp-ucMGP levels were significantly higher in patients undergoing HD compared to healthy subjects. The line inside the box indicates the median. The box represents the IQR, and the whiskers extend to 1.5 x IQR above and below the upper and lower quartiles, respectively. Points outside the whiskers are outliers. *P<0.05, vs. healthy subjects. dp-ucMGP, uncarboxylated matrix Gla protein; HD, hemodialysis; IQR, interquartile range.

On the contrary, compared to the healthy subjects, the serum dp-ucMGP level was significantly higher in patients undergoing HD [1334.35 (920.8-1449.6) vs. 3892.38 (2958.9-6983.4) pg/ml, respectively, P<0.001, Mann-Whitney U test] (Fig. 1B)

Serum fetuin-A levels in patients undergoing HD

Serum fetuin-A levels did not differ between patients undergoing HD with or without established CHD [1.62 (0.74-1.93) vs. 1.47 (0.77-2.15) mg/ml, respectively, P=0.987, Mann-Whitney U test] (Fig. 2A). Thus, ROC curve analysis revealed that in patients undergoing HD, fetuin-A is not a reliable marker of CHD [area under the curve (AUC), 0.499; 95% confidence interval (CI), 0.390-0.608; P=0.987] (Fig. 2B).

Serum fetuin-A levels in patients
undergoing HD with or without CHD. (A) Serum fetuin-A levels did
not differ significantly between patients undergoing HD with or
without CHD. (B) ROC curve analysis revealed an area under the
curve of 0.499 (P>0.05). HD, hemodialysis; CHD, coronary heart
disease.

Figure 2

Serum fetuin-A levels in patients undergoing HD with or without CHD. (A) Serum fetuin-A levels did not differ significantly between patients undergoing HD with or without CHD. (B) ROC curve analysis revealed an area under the curve of 0.499 (P>0.05). HD, hemodialysis; CHD, coronary heart disease.

Notably, among the factors depicted in Table I, serum fetuin-A levels exhibited positive correlations with serum dp-ucMGP levels (Rho=0.311, P<0.001) (Fig. 3A), and phosphorus (Rho=0.184, P=0.042) (Fig. 3B). No correlations were detected between fetuin-A and the nutritional markers, body mass index (BMI; Rho=0.072, P=0.426) and serum albumin (Rho=-0.001, P=0.992) (data not shown). Fetuin-A was also not correlated with the urea reduction ratio (Rho=0.082, P=0.364) (data not shown). Although a positive correlation was detected with the white blood cell count (Rho=0.280, P=0.002) (Fig. 3C) and neutrophils (Rho=0.226, P=0.012) (Fig. 3D), no correlation was detected with serum C-reactive protein (CRP; Rho=0.037, P=0.680) (data not shown). In addition, using a serum CRP cut-off of 1 mg/dl to detect inflammation did not reveal that inflammation affects serum fetuin-A levels. Its levels were 1.62 (0.78-2.02) mg/ml in those with a CRP level <1 mg/ml, and 1.39 (0.75-2.28) mg/ml in those with a CRP level >1mg/dl (P=0.658, Mann-Whitney U test) (Table II).

Scatterplots of statistically
significant correlations between fetuin-A and the evaluated
factors. Serum fetuin-A levels correlated significantly with (A)
dp-ucMGP (Rho=0.311, P<0.001), (B) phosphorus (Rho=0.184,
P=0.042), (C) white blood cell count (Rho=0.280, P=0.002), and (D)
neutrophils (Rho=0.226, P=0.012). dp-ucMGP, uncarboxylated matrix
Gla protein.

Figure 3

Scatterplots of statistically significant correlations between fetuin-A and the evaluated factors. Serum fetuin-A levels correlated significantly with (A) dp-ucMGP (Rho=0.311, P<0.001), (B) phosphorus (Rho=0.184, P=0.042), (C) white blood cell count (Rho=0.280, P=0.002), and (D) neutrophils (Rho=0.226, P=0.012). dp-ucMGP, uncarboxylated matrix Gla protein.

Table II

Differences in serum fetuin-A (mg/ml) between different groups.

Table II

Differences in serum fetuin-A (mg/ml) between different groups.

 No. of patientsYesNoP-value
Male sex901.54 (0.73-2.21)1.52 (1.05-2.12)0.783
Diabetes mellitus501.55 (0.75-2.42)1.47 (0.76-2.04)0.625
Coronary heart disease401.62 (0.74-1.93)1.47 (0.77-2.15)0.987
HFpEF381.55 (1.06-2.15)1.68 (0.73-2.80)0.921
HFrEF261.30 (0.72-1.85)1.67 (0.96-2.15)0.325
CRP >1 mg/dl631.39 (0.75-2.28)1.62 (0.78-2.02)0.658

[i] Values correspond to median (IQR) analyzed using the Mann-Whitney U test. HFpEF, heart failure with preserved ejection fraction; HFrEF, heart failure with reduced ejection fraction; CRP, C-reactive protein.

Sex did not affect fetuin-A levels, which were 1.54 (0.73-2.21) mg/ml in males and 1.52 (1.05-2.12) mg/ml in females (P=0.783, Mann-Whitney U test). Also, fetuin-A levels did not differ in patients with or without diabetes mellitus [1.55 (0.75-2.42) vs. 1.47 (0.76-2.04) mg/ml, respectively, P=0.625, Mann-Whitney U test], HFpEF [1.55 (1.06-2.15) vs. 1.68 (0.73-2.80) mg/ml, respectively, P=0.921, Mann-Whitney U test], or HFrEF [1.30 (0.72-1.85) vs. 1.67 (0.96-2.15) mg/ml, respectively, P=0.325, Mann-Whitney U test] (Table II).

Serum dp-ucMGP levels in patients undergoing HD

Serum dp-ucMGP levels were significantly lower in patients undergoing HD with established CHD. They were 3,112.62 (2,487.32-4,221.92) pg/ml in those with CHD and 4,704.96 (3,135.95-7,207.95) pg/ml in those without CHD (P=0.004, Mann-Whitney U test) (Fig. 4A). ROC curve analysis revealed an AUC of 0.659 (95% CI, 0.560-0.757; P=0.004) (Fig. 4B). Below the optimal cut-off point of 4,241 pg/ml, serum dp-ucMGP exhibited a specificity for detecting CHD of 80.00% (95% CI, 65.24-89.50%) and a sensitivity of 55.81% (95% CI, 45.29-65.84%). Thus, serum dp-ucMGP may be characterized as a moderately significant marker of CHD in patients undergoing HD.

Serum dp-ucMGP levels in patients
undergoing HD with or without CHD. (A) Serum dp-ucMGP levels were
significantly lower in patients undergoing HD with CHD compared to
those without CHD. *P<0.05, vs. those with no CHD.
(B) dp-ucMGP levels can identify patients who are free of CHD,
although its accuracy is moderate, as indicated by an area under
the curve of 0.659 (P<0.05) in ROC curve analysis. dp-ucMGP,
uncarboxylated matrix Gla protein; HD, hemodialysis; CHD, coronary
heart disease.

Figure 4

Serum dp-ucMGP levels in patients undergoing HD with or without CHD. (A) Serum dp-ucMGP levels were significantly lower in patients undergoing HD with CHD compared to those without CHD. *P<0.05, vs. those with no CHD. (B) dp-ucMGP levels can identify patients who are free of CHD, although its accuracy is moderate, as indicated by an area under the curve of 0.659 (P<0.05) in ROC curve analysis. dp-ucMGP, uncarboxylated matrix Gla protein; HD, hemodialysis; CHD, coronary heart disease.

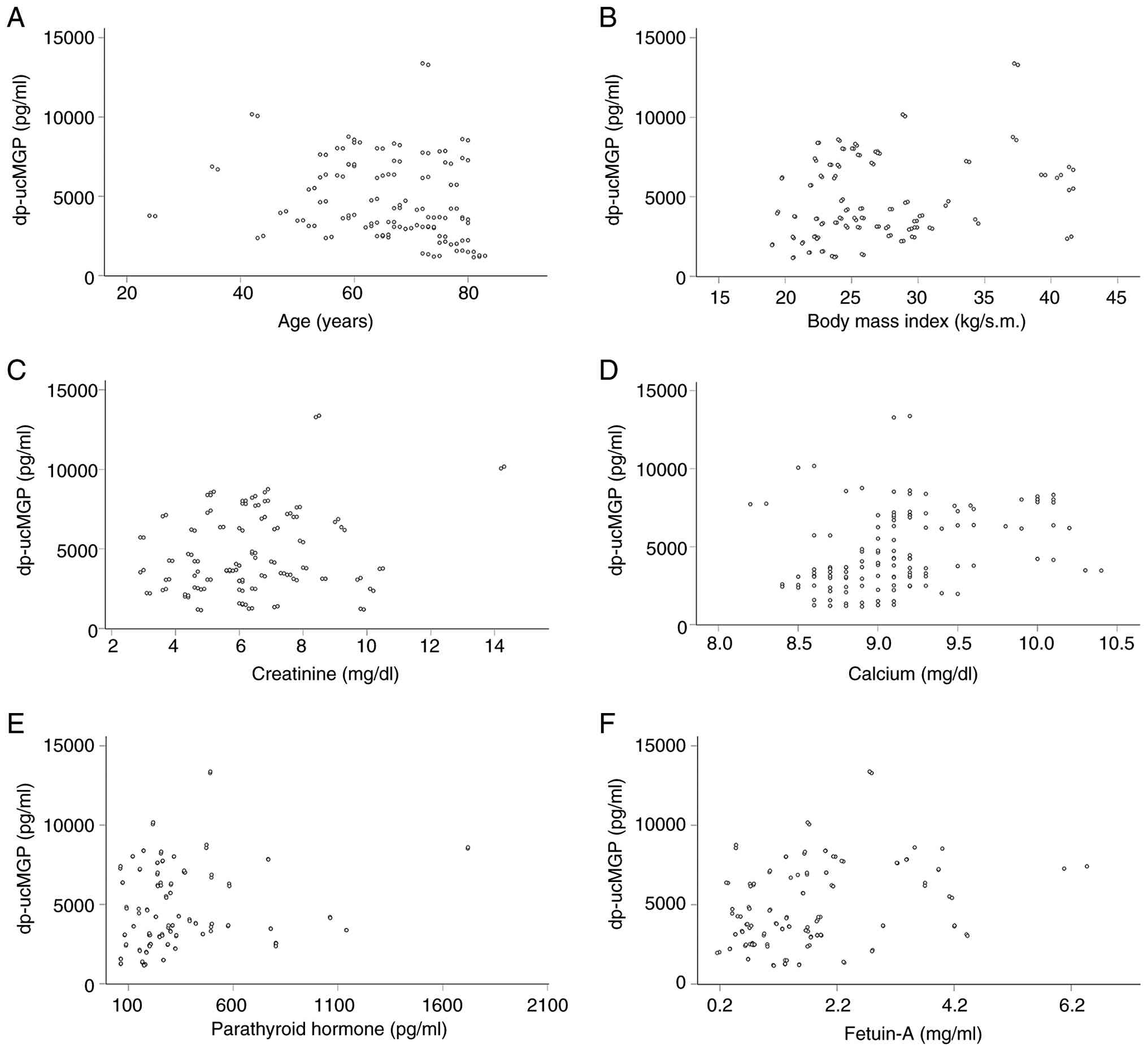
From the factors depicted in Table I, serum dp-ucMGP levels were correlated negatively with age (Rho=-0.302, P<0.001) (Fig. 5A), and positively with BMI (Rho=0.230, P=0.010) (Fig. 5B), creatinine (Rho-0.187, P=0.037) (Fig. 5C), calcium (Rho=0.398, P<0.001) (Fig. 5D), intact parathyroid hormone (iPTH; Rho=0.192, P=0.031) (Fig. 5E) and fetuin-A (Rho=0.311, P<0.001) (Fig. 5F). Notably, dp-ucMGP was not correlated with serum albumin (Rho=0.139, P=0.121) or the urea reduction ratio (Rho=-0.074, P=0.409) (data not shown). Although no correlation was detected with CRP (Rho=-0.153, P=0.087), when a CRP cut-off point of 1 mg/dl was set for defining inflammation, those with inflammation had lower dp-ucMGP levels [3,631.09 (2,492.57-6,218.71) pg/ml] than those without inflammation [4,684.97 (3,181.79-7,197.20) pg/ml] (P=0.032, Mann-Whitney U test) (Table III).

Scatterplots of statistically
significant correlations between dp-ucMGP and the evaluated
factors. Serum dp-ucMGP levels significantly correlated with (A)
age (Rho=-0.302, P<0.001), (B) body mass index (Rho=0.230,
P=0.010), (C) creatinine (Rho=0.187, P=0.037), (D) calcium
(Rho=0.398, P<0.001), (E) parathyroid hormone (Rho=0.192,
P=0.031), and (F) fetuin-A (Rho=0.311, P<0.001). dp-ucMGP,
uncarboxylated matrix Gla protein.

Figure 5

Scatterplots of statistically significant correlations between dp-ucMGP and the evaluated factors. Serum dp-ucMGP levels significantly correlated with (A) age (Rho=-0.302, P<0.001), (B) body mass index (Rho=0.230, P=0.010), (C) creatinine (Rho=0.187, P=0.037), (D) calcium (Rho=0.398, P<0.001), (E) parathyroid hormone (Rho=0.192, P=0.031), and (F) fetuin-A (Rho=0.311, P<0.001). dp-ucMGP, uncarboxylated matrix Gla protein.

Table III

Differences in serum dp-ucMGP (pg/ml) between different groups.

Table III

Differences in serum dp-ucMGP (pg/ml) between different groups.

 No. of patientsYesNoP-value
Male sex903,766.63 (3,056.58-6,910.13)4,451.02 (2,094.04-6,983.42)0.750
Diabetes mellitus503,512.70 (2,490.82-4,943.77)4,736.58 (3,088.39-7,377.55)0.006
Coronary heart disease403,112.62 (2,487.32-4,221.92)4,704.96 (3,135.95-7,207.95)0.004
HFpEF384,451.02 (3,054.16-7,207.95)3,810.37 (3,328.87-7,840.34)0.571
HFrEF263,094.49 (2,474.14-4,357.54)4,008.10 (3,076.50-7,707.95)0.028
CRP >1 mg/dl633,631.09 (2,492.57-6,218.71)4,684.97 (3,181.79-7,197.20)0.032

[i] Values correspond to median (IQR) analyzed using the Mann-Whitney U test. HFpEF, heart failure with preserved ejection fraction; HFrEF, heart failure with reduced ejection fraction; CRP, C-reactive protein.

Sex did not affect serum dp-ucMGP levels. They were 3,766.63 (3,056.58-6,910.13) pg/ml in males and 4,451.02 (2,094.04-6,983.42) pg/ml in females (P=0.750, Mann-Whitney U test). However, dp-ucMGP levels were lower in patients with diabetes mellitus. They were 3,512.70 (2,490.82-4,943.77) pg/ml in those with diabetes mellitus and 4,736.58 (3,088.39-7,377.55) pg/ml in those without diabetes mellitus (P=0.006, Mann-Whitney U test). The levels of dp-ucMGP did not differ in those with HFpEF [4,451.02 (3,054.16-7,207.95) pg/ml] or without HFpEF [3,810.37 (3,328.87-7,840.34) pg/ml] (P=0.571, Mann-Whitney U test). However, they were significantly lower in patients with HFrEF [3,094.49 (2,474.14-4,357.54) pg/ml] than in those without HFrEF [4,008.10 (3,076.50-7,707.95) pg/ml)] (P=0.028, Mann-Whitney U test) (Table III). Notably, CHD was associated with HFrEF (Chi-squared test, 35.267, P<0.001) (Table IV), indicating that, in many cases of HFrEF, CHD may be responsible.

Table IV

Associations of CHD with sex, diabetes, HFrEF and CRP.

Table IV

Associations of CHD with sex, diabetes, HFrEF and CRP.

VariableCategoryCHD (no. of patientsNo CHD (no. of patients)χ2P-value
SexMale385215.955<0.001
 Female234  
Diabetes mellitusYes242610.1070.001
 No1660  
HFrEFYes22435.267<0.001
 No1868  
CRP >1 mg/dlYes21420.1470.702
 No1944  

[i] HFrEF, heart failure with reduced ejection fraction; CRP, C-reactive protein; CHD, coronary heart disease.

Of note, the male sex was associated with CHD (Chi-squared test, 15.955, P<0.001), as was diabetes mellitus (Chi-squared test, 10.107, P=0.001) (Table IV). As regards the other variables that were associated with serum dp-ucMGP levels, age (P=0.182, Mann-Whitney U test), BMI (P=0.317, Mann-Whitney U test), calcium (P=0.825, Mann-Whitney U test), iPTH (P=0.992, Mann-Whitney U test), creatinine (P=0.067, Mann-Whitney U test) and CRP (P=0.902, Mann-Whitney U test) did not differ between those with CHD and those without CHD (Table V). When the CRP cut-off of 1 mg/dl was set for defining inflammation, no association was detected between inflammation and CHD (Chi-squared test, 0.147, P=0.702) (Table IV).

Table V

Differences in factors correlated with dp-ucMGP in patients with or without CHD.

Table V

Differences in factors correlated with dp-ucMGP in patients with or without CHD.

 CHDNo CHDP-value
Age (years)71.5 (63-77)67.0 (59-74)0.182
Body mass index (kg/m2)25.30 (22.25-27.80)25.54 (23.43-29.77)0.317
Creatinine (mg/dl)6.0 (3.77-7.03)6.4 (5.1-7.7)0.067
Calcium (mg/dl)9.05 (8.7-10.0)9.10 (8.8-9.3)0.825
Parathyroid hormone (pg/ml)258.7 (199.9-391.9)267.3 (175.0-455.0)0.992
Fetuin-A (mg/ml)1.62 (0.745-1.93)1.47 (0.773-2.145)0.987
CRP (mg/dl)1.02 (0.79-1.61)0.945 (0.78-1.60)0.902

[i] Values correspond to median (IQR) analyzed using the Mann-Whitney U test. dp-ucMGP, dephosphorylated-uncarboxylated matrix Gla protein; CRP, C-reactive protein; CHD, coronary heart disease.

Among the variables that may causally influence dp-ucMGP levels, only diabetes mellitus exhibited a causal association with CHD. Binary logistic regression analysis with CHD as the outcome variable and 1,000 pg (1 ng) increments of dp-ucMGP as the predictor variable revealed that for every dp-ucMGP increase of 1,000 pg/ml, the risk for CHD decreased by 23.4% [odds ratio (OR), 0.776; 95% CI, 0.649-0.928; P=0.005] (Table VI). Binary logistic regression analysis with CHD as the outcome variable and 1,000 pg increments of dp-ucMGP and diabetes mellitus as predictor variables was performed using the enter method. The overall model was statistically significant (Chi-squared test, 15.850; P<0.001), indicating that the predictors reliably distinguished between individuals with and without CHD. The model explained 16.6% of the variance (Nagelkerke R2=0.166) and correctly classified 73.8% of cases. Diabetes mellitus almost triplicates the possibility for CHD (OR, 2.909; 95% CI, 1.295-6.534; P=0.01), and for every dp-ucMGP increase of 1,000 pg/ml, the risk for CHD decreased by 18.8% (OR, 0.812; 95% CI, 0.677-0.973; P=0.024). Thus, dp-ucMGP levels predicted CHD independently of diabetes mellitus (Table VI).

Table VI

Logistic regression analysis for CHD with dp-ucMGP alone (model 1) or in combination with diabetes (the only variable affecting both) (model 2).

Table VI

Logistic regression analysis for CHD with dp-ucMGP alone (model 1) or in combination with diabetes (the only variable affecting both) (model 2).

 95% C.I. for OR
 BS.E.Sig.ORLowerUpper
Model 1      
     dp-ucMGP (ng/ml)-0.2540.0910.0050.7760.6490.928
Model 2      
     Diabetes mellitus1.0680.4130.0102.9091.2956.534
     dp-ucMGP (ng/ml)-0.2080.0920.0240.8120.6770.973

[i] Model 1 fit: Omnibus test of model coefficients, P=0.03; Nagelkerke R2=0.097, χ2=9.055, P=0.03. Model 2 fit: Omnibus test of model coefficients, P<0.001; Nagelkerke R2=0.166, χ2=25.850, P<0.01.

Discussion

Since CVD is the primary cause of mortality in patients undergoing HD, evaluating CVD pathogenesis and identifying potential markers for its early detection is critical. The present study investigated whether fetuin-A, a vascular calcification inhibitor, and dp-ucMGP, an inactive vascular calcification inhibitor, are associated with established CHD in a cohort of stable patients undergoing HD.

As previous studies have shown (13,14), serum fetuin-A levels were lower in HD patients than in healthy volunteers. However, its levels did not differ in patients undergoing HD with or without CHD. The data on the role of fetuin-A as a risk factor or a marker of established CVD are mixed. Some studies in the general population have shown that low fetuin-A levels are associated with an increased risk of CV or established CVD (17-19), other studies did not find an association (20-23), and at least one study demonstrated that fetuin-A was higher in patients with CHD than in those without (24). Studies involving patients undergoing HD have also yielded mixed outcomes. Some studies support the role of fetuin-A as a risk factor or marker of CVD (13,14,25-29), while others do not (30-32). According to the present study, serum fetuin-A cannot serve as a marker of established CHD in patients undergoing HD. This result does not entirely contradict studies suggesting that fetuin-A levels can indicate the risk of CVD. Numerous of those studies focused on subclinical atherosclerosis or vascular calcification (13,25-28,30,32), or they assessed incident CVD rather than established CVD in general or CHD specifically (13,14,25-27).

In the present study, serum fetuin-A levels correlated with dp-ucMGP, phosphorus, white blood cell count and neutrophil levels, but not with CRP. Additionally, factors such as sex, diabetes mellitus, heart failure and inflammation, as defined by a CRP cut-off, did not affect fetuin-A levels. Of note, fetuin-A is considered a negative inflammatory reactant (13,14,26-29). Notably, not all studies involving patients undergoing HD have shown a negative association with CRP (31,49). As regards diabetes mellitus, while some studies have reported an association with decreased fetuin-A levels (29,31), others have not (26). Considering the lack of an association between fetuin-A levels and heart failure in the present study, in the patients included herein, heart failure was strongly associated with CHD, implying that, in the majority of cases, CHD may be the cause of heart failure.

As in previous studies (15,16), serum dp-ucMGP levels were higher in patients undergoing HD than in healthy volunteers. In the present study, in patients undergoing HD, dp-ucMGP levels were significantly lower in those with established CHD than in those without CHD. ROC curve analysis revealed an AUC of 0.659 for identifying CHD-free patients, indicating serum dp-ucMGP as a moderately significant marker of CHD in patients undergoing HD.

The data on the role of high dp-ucMGP as a risk factor or a marker of established CVD are mixed. In the general population, some studies have identified high dp-ucMGP levels as a risk factor for CVD or a marker of established CVD (33-37,41). By contrast, others have not found such an association (38), whereas, particularly for CHD, others have supported the opposite (39,40). However, even in studies that have supported an association between high dp-ucMGP levels and CVD, several interesting points emerge. In one of these, no link was detected between dp-ucMGP levels and the risk of incident myocardial infarction or sudden cardiac death (33). In another study, patients with NSTEMI had higher dp-ucMGP levels than those with STEMI (37). The results of the last two studies suggest that high dp-ucMGP levels are associated with greater coronary artery calcification and, consequently, a lower risk of atherosclerotic plaque rupture (34). Lastly, one study demonstrated that elevated dp-ucMGP levels were associated with an increased risk of incident CVD, CHD and all-cause mortality, but only in the youngest age quartile (45-to-53-year-olds) (41), i.e., in a younger age group than the patients undergoing HD in the present study.

In studies involving patients undergoing HD, the findings on the role of high dp-ucMGP as a CVD risk factor or marker of established CVD are also inconsistent. Some studies have shown such an association (15,16,42-44), while others have failed to detect it (45,46); notably, in one study, low dp-ucMGP levels were linked to increased all-cause [hazard ratio (HR), 1.71; 95% CI, 0.92-3.17] and CV mortality (HR, 1.83; 95% CI, 0.9-3.7) (48). Of note, in one study involving patients with mild to moderate chronic kidney disease, elevated dp-ucMGP levels were associated with increased all-cause mortality, but not with more atherosclerotic CV events (47). Finally, in support of the results of the present study, studies have failed to confirm CV benefits despite the potential of vitamin K supplementation to reduce dp-ucMGP levels in patients with ESKD (49).

In the present study, serum dp-ucMGP levels were negatively correlated with age and positively correlated with BMI, creatinine, calcium, iPTH and fetuin-A. Although no correlation was detected with CRP, when a CRP cut-off of 1 mg/dl was used to define inflammation, those with inflammation had lower dp-ucMGP levels than those without. Studies involving patients undergoing HD conclude with inconsistent results regarding the association between dp-ucMGP levels and CRP. Some have detected a positive association (42,44,45), while others have found no association (50). Sex did not affect serum dp-ucMGP levels. However, dp-ucMGP levels were lower in patients with diabetes mellitus. Studies on patients undergoing HD conclude with varying results regarding the association between dp-ucMGP levels and diabetes mellitus. Some have detected a positive association (16,51), while others have found no association (43,44), or a negative association (38,46). Finally, dp-uc MGP levels were lower in patients with HFrEF. However, the strong association between HFrEF and CHD suggests that CHD may have caused HFrEF in the patients in the present study.

Among the variables that affected dp-ucMGP levels, only diabetes mellitus was associated with CHD. For every dp-ucMGP increase of 1 ng/ml, the risk of CHD decreased by 23.4%. Still, following adjustment for diabetes mellitus, for every dp-ucMGP increase of 1 ng/ml, the risk for CHD decreased by 18.8%.

The present study has certain limitations. First, further prospective studies involving a larger patient population are necessary to verify the findings. The modest discriminatory capacity of dp-ucMGP for detecting CHD (AUC, 0.659) further underscores the need for additional research. In addition, the present study relied on the medical records of patients to determine the presence of CHD. As a consequence, some cases of asymptomatic CHD may have been overlooked. Nevertheless, regular thrice-weekly attendance at the HD unit enables early detection of CHD, and patients undergo periodic cardiological assessments and transthoracic echocardiography. Moreover, the results do not entirely contradict studies suggesting that fetuin-A or dp-ucMGP levels can indicate the risk of CVD. A number of those studies focused on subclinical atherosclerosis or vascular calcification (15,16,42-45), or they assessed incident CVD rather than established CHD (43-45,47,48). Finally, we assessed fetuin-A and dp-ucMGP at a single time point to determine whether they are associated with established CHD. However, interpreting the results is challenging as the patients who survive to that time point are not a random sample. Patients with more calcified arteries may have an improved prognosis, since more calcified atherosclerotic plaques are less prone to rupture (34). Thus, patients with CHD with higher dp-ucMGP levels or lower fetuin-A levels, and possibly more calcified coronary arteries, are more likely to be alive and were included in the assessment. This survival imbalance may influence the observed association between fetuin-A or dp-ucMGP and CHD. In other words, dp-ucMGP may be a negative marker of prevalent CHD and, concurrently, a risk factor for incident CHD. Following-up on the patient cohort for incident CHD will help clarify this concept.

In conclusion, the present study demonstrates that, in patients undergoing HD, fetuin-A levels are not associated with established CHD. Conversely, elevated dp-ucMGP levels indicate CHD-free patients, though its accuracy is moderate.

Acknowledgements

Not applicable.

Funding

Funding: No funding was received.

Availability of data and materials

The data generated in the present study may be requested from the corresponding author.

Authors' contributions

TE designed the study. MD and PM obtained patient samples and clinical data. AK performed the ELISA measurements. TE, MD, AK, MT, PM, CP, EL, AB and IS analyzed and interpreted the results. T.E. wrote the draft manuscript; T.E., M.D., and M.T. edited the manuscript. TE, AK and MD confirm the authenticity of all the raw data. All authors drafted the manuscript, critically revised the manuscript, and agreed to be fully accountable for ensuring the integrity and accuracy of the work, and have read and approved the final manuscript.

Ethics approval and consent to participate

The present study was conducted in accordance with the Declaration of Helsinki and was approved by the Ethics Committee of the University of Thessaly, Faculty of Medicine (Approval no. 558/10-2-2017). Informed consent was obtained from all subjects involved in the study.

Patient consent for publication

Not applicable.

Competing interests

The authors declare that they have no competing interests.

References

1 

Jankowski J, Floege J, Fliser D, Böhm M and Marx N: Cardiovascular disease in chronic kidney disease. Circulation. 143:1157–1172. 2021.

2 

Foley RN, Parfrey PS and Sarnak MJ: Clinical epidemiology of cardiovascular disease in chronic renal disease. Am J Kidney Dis. 32:S112–S119. 1998.PubMed/NCBI View Article : Google Scholar

3 

Allison MA, Hsi S, Wassel CL, Morgan C, Ix JH, Wright CM and Criqui MH: Calcified atherosclerosis in different vascular beds and the risk of mortality. Arteriosclerosis Thromb Vasc Biol. 32:140–146. 2012.PubMed/NCBI View Article : Google Scholar

4 

Goodman WG, Goldin J, Kuizon BD, Yoon C, Gales B, Sider D, Wang Y, Chung J, Emerick A and Greaser L: Coronary-artery calcification in young adults with end-stage renal disease who are undergoing dialysis. New Engl J Med. 342:1478–1483. 2000.PubMed/NCBI View Article : Google Scholar

5 

Liabeuf S, Desjardins L, Diouf M, Temmar M, Renard C, Choukroun G and Massy ZA: The addition of vascular calcification scores to traditional risk factors improves cardiovascular risk assessment in patients with chronic kidney disease. PLoS One. 10(e0131707)2015.PubMed/NCBI View Article : Google Scholar

6 

Hutcheson JD and Goettsch C: Cardiovascular calcification heterogeneity in chronic kidney disease. Circul Res. 132:993–1012. 2023.PubMed/NCBI View Article : Google Scholar

7 

Heiss A, DuChesne A, Denecke B, Grötzinger J, Yamamoto K, Renné T and Jahnen-Dechent W: Structural basis of calcification inhibition by alpha 2-HS glycoprotein/fetuin-A. Formation of colloidal calciprotein particles. J Biol Chem. 278:13333–13341. 2003.PubMed/NCBI View Article : Google Scholar

8 

Schäfer C, Heiss A, Schwarz A, Westenfeld R, Ketteler M, Floege J, Muller-Esterl W, Schinke T and Jahnen-Dechent W: The serum protein alpha 2-Heremans-Schmid glycoprotein/fetuin-A is a systemically acting inhibitor of ectopic calcification. J Clin Invest. 112:357–366. 2003.PubMed/NCBI View Article : Google Scholar

9 

Iyemere VP, Proudfoot D, Weissberg PL and Shanahan CM: Vascular smooth muscle cell phenotypic plasticity and the regulation of vascular calcification. J Intern Med. 260:192–210. 2006.PubMed/NCBI View Article : Google Scholar

10 

Luo G, Ducy P, McKee MD, Pinero GJ, Loyer E, Behringer RR and Karsenty G: Spontaneous calcification of arteries and cartilage in mice lacking matrix GLA protein. Nature. 386:78–81. 1997.PubMed/NCBI View Article : Google Scholar

11 

Schurgers LJ, Cranenburg ECM and Vermeer C: Matrix Gla-protein: The calcification inhibitor in need of vitamin K. Thromb Haemost. 100:593–603. 2017.PubMed/NCBI

12 

Kumric M, Borovac JA, Kurir TT, Martinovic D, Separovic IF, Baric L and Bozic J: Role of matrix gla protein in the complex network of coronary artery disease: A comprehensive review. Life (Basel). 11(737)2021.PubMed/NCBI View Article : Google Scholar

13 

Stenvinkel P, Wang K, Qureshi AR, Axelsson J, Pecoits-Filho R, Gao P, Barany P, Lindholm B, Jogestrand T, Heimbürger O, et al: Low fetuin-A levels are associated with cardiovascular death: Impact of variations in the gene encoding fetuin. Kidney Int. 67:2383–2392. 2005.PubMed/NCBI View Article : Google Scholar

14 

Ketteler M, Bongartz P, Westenfeld R, Wildberger JE, Mahnken AH, Böhm R, Metzger T, Wanner C, Jahnen-Dechent W and Floege J: Association of low fetuin-A (AHSG) concentrations in serum with cardiovascular mortality in patients on dialysis: A cross-sectional study. Lancet. 361:827–833. 2003.PubMed/NCBI View Article : Google Scholar

15 

Schurgers LJ, Barreto DV, Barreto FC, Liabeuf S, Renard C, Magdeleyns EJ, Vermeer C, Choukroun G and Massy ZA: The circulating inactive form of matrix Gla protein is a surrogate marker for vascular calcification in chronic kidney disease. Clin J Am Soc Nephrol. 5:568–575. 2010.PubMed/NCBI View Article : Google Scholar

16 

Fain ME, Kapuku GK, Paulson WD, Williams CF, Raed A, Dong Y, Knapen MHJ, Vermeer C and Pollock NK: Inactive matrix gla protein, arterial stiffness, and endothelial function in african american hemodialysis patients. Am J Hypertension. 31:735–741. 2018.PubMed/NCBI View Article : Google Scholar

17 

Lin YH, Lin MH, Shi CS, Lin YS, Lin CL, Yang YH, Liao YS, Chen MY, Tsai MH and Lin MS: The impact of fetuin-A on predicting aortic arch calcification: Secondary analysis of a community-based survey. Front Cardiovasc Med. 11(1415438)2024.PubMed/NCBI View Article : Google Scholar

18 

Jirak P, Mirna M, Wernly B, Paar V, Thieme M, Betge S, Franz M, Hoppe U, Lauten A, Kammler J, et al: Analysis of novel cardiovascular biomarkers in patients with peripheral artery disease. Minerva Med. 109:443–450. 2018.PubMed/NCBI View Article : Google Scholar

19 

Ix JH, Barrett-Connor E, Wassel CL, Cummins K, Bergstrom J, Daniels LB and Laughlin GA: The associations of fetuin-A with subclinical cardiovascular disease in community-dwelling persons. J Am Coll Cardiol. 58:2372–2379. 2011.PubMed/NCBI View Article : Google Scholar

20 

Aroner SA, St-Jules DE, Mukamal KJ, Katz R, Shlipak MG, Criqui MH, Kestenbaum B, Siscovick DS, de Boer IH, Jenny NS, et al: Fetuin-A, glycemic status, and risk of cardiovascular disease: The multi-ethnic study of atherosclerosis. Atherosclerosis. 248:224–229. 2016.PubMed/NCBI View Article : Google Scholar

21 

Cahalane RM, Barrett HE, Ross AM, Mulvihill JJE, Purtill H, Selvarajah L, O'Brien J, Kavanagh EG, Moloneye MA, Egan SM, et al: On the association between circulating biomarkers and atherosclerotic calcification in a cohort of arterial disease participants. Nutr Metab Cardiovasc Dis. 31:1533–1541. 2021.PubMed/NCBI View Article : Google Scholar

22 

Laugsand LE, Ix JH, Bartz TM, Djousse L, Kizer JR, Tracy RP, Dehghan A, Rexrode K, Lopez OL, Rimm EB, et al: Fetuin-A and risk of coronary heart disease: A Mendelian randomization analysis and a pooled analysis of AHSG genetic variants in 7 prospective studies. Atherosclerosis. 243:44–52. 2015.PubMed/NCBI View Article : Google Scholar

23 

Roos M, von Eynatten M, Heemann U, Rothenbacher D, Brenner H and Breitling LP: Serum fetuin-A, cardiovascular risk factors, and six-year follow-up outcome in patients with coronary heart disease. Am J Cardiol. 105:1666–1672. 2010.PubMed/NCBI View Article : Google Scholar

24 

Akin F, Celik O, Altun I, Ayca B, Diker VO, Satılmıs S and Sahin C: Relationship of fibroblast growth factor 23 and fetuin-A to coronary atherosclerosis. J Diabetes Complications. 29:550–555. 2015.PubMed/NCBI View Article : Google Scholar

25 

Mohamed ON, Mohamed MRM, Hassan IG, Alakkad AF, Othman A, Setouhi A and Issa AS: The relationship of fetuin-A with coronary calcification, carotid atherosclerosis, and mortality risk in non-dialysis chronic kidney disease. J Lipid Atheroscler. 13:194–211. 2024.PubMed/NCBI View Article : Google Scholar

26 

Pertosa G, Simone S, Ciccone M, Porreca S, Zaza G, Dalfino G, Memoli B, Procino A, Bonomini M, Sirolli V, et al: Serum Fetuin A in hemodialysis: A link between derangement of calcium-phosphorus homeostasis and progression of atherosclerosis? Am J Kidney Dis. 53:467–474. 2009.PubMed/NCBI View Article : Google Scholar

27 

Hermans MMH, Brandenburg V, Ketteler M, Kooman JP, van der Sande FM, Boeschoten EW, Leunissen KM, Krediet RT and Dekker FW: Netherlands cooperative study on the adequacy of Dialysis (NECOSAD). Association of serum fetuin-A levels with mortality in dialysis patients. Kidney Int. 72:202–207. 2007.PubMed/NCBI View Article : Google Scholar

28 

Pateinakis P, Papagianni A, Douma S, Efstratiadis G and Memmos D: Associations of fetuin-A and osteoprotegerin with arterial stiffness and early atherosclerosis in chronic hemodialysis patients. BMC Nephrol. 14(122)2013.PubMed/NCBI View Article : Google Scholar

29 

Chen HY, Chiu YL, Hsu SP, Pai MF, Yang JY and Peng YS: Low serum fetuin A levels and incident stroke in patients with maintenance haemodialysis. Eur J Clin Invest. 43:387–396. 2013.PubMed/NCBI View Article : Google Scholar

30 

Pencak P, Czerwieńska B, Ficek R, Wyskida K, Kujawa-Szewieczek A, Olszanecka-Glinianowicz M, Więcek A and Chudek J: Calcification of coronary arteries and abdominal aorta in relation to traditional and novel risk factors of atherosclerosis in hemodialysis patients. BMC Nephrol. 14(10)2013.PubMed/NCBI View Article : Google Scholar

31 

Collado S, Coll E, Nicolau C, Azqueta M, Pons M, Cruzado JM, de la Torre B, Deulofeu R, Mojal S, Pascual J and Cases A: Serum osteoprotegerin in prevalent hemodialysis patients: Associations with mortality, atherosclerosis and cardiac function. BMC Nephrol. 18(290)2017.PubMed/NCBI View Article : Google Scholar

32 

Ossareh S, Rayatnia M, Vahedi M, Jafari H and Zebarjadi M: Association of serum fetuin-A with vascular calcification in hemodialysis patients and its' impact on 3-year mortality. Iran J Kidney Dis. 14:500–509. 2020.PubMed/NCBI

33 

Willeit K, Santer P, Tschiderer L, Pechlaner R, Vermeer C, Willeit J and Kiechl S: Association of desphospho-uncarboxylated matrix gla protein with incident cardiovascular disease and all-cause mortality: Results from the prospective Bruneck Study. Atherosclerosis. 353:20–27. 2022.PubMed/NCBI View Article : Google Scholar

34 

Virmani R, Burke AP, Farb A and Kolodgie FD: Pathology of the unstable plaque. Prog Cardiovasc Dis. 44:349–356. 2002.PubMed/NCBI View Article : Google Scholar

35 

Mayer O, Seidlerová J, Bruthans J, Filipovský J, Timoracká K, Vaněk J, Cerná L, Wohlfahrt P, Cífková R, Theuwissen E and Vermeer C: Desphospho-uncarboxylated matrix Gla-protein is associated with mortality risk in patients with chronic stable vascular disease. Atherosclerosis. 235:162–168. 2014.PubMed/NCBI View Article : Google Scholar

36 

Berlot AA, Fu X, Shea MK, Tracy R, Budoff M, Kim RS, Naveed M, Booth SL, Kizer JR and Bortnick AE: Matrix Gla protein and the long-term incidence and progression of coronary artery and aortic calcification in the multi-ethnic study of atherosclerosis. Atherosclerosis. 392(117505)2024.PubMed/NCBI View Article : Google Scholar

37 

Bilalic A, Kurir TT, Kumric M, Borovac JA, Matetic A, Supe-Domic D and Bozic J: Circulating levels of dephosphorylated-uncarboxylated matrix gla protein in patients with acute coronary syndrome. Molecules. 26(1108)2021.PubMed/NCBI View Article : Google Scholar

38 

Shea MK, Booth SL, Weiner DE, Brinkley TE, Kanaya AM, Murphy RA, Simonsick EM, Wassel CL, Vermeer C and Kritchevsky SB: Health ABC Study. Circulating vitamin K Is inversely associated with incident cardiovascular disease risk among those treated for hypertension in the health, aging, and body composition study (Health ABC). J Nutr. 147:888–895. 2017.PubMed/NCBI View Article : Google Scholar

39 

Liu YP, Gu YM, Thijs L, Knapen MH, Salvi E, Citterio L, Petit T, Carpini SD, Zhang Z, Jacobs L, et al: Inactive matrix gla protein is causally related to adverse health outcomes. Hypertension. 65:463–470. 2015.PubMed/NCBI View Article : Google Scholar

40 

Zwakenberg SR, Burgess S, Sluijs I, Weiderpass E, Beulens JWJ and van der Schouw YT: Circulating phylloquinone, inactive Matrix Gla protein and coronary heart disease risk: A two-sample mendelian randomization study. Clin Nutr. 39:1131–1136. 2020.PubMed/NCBI View Article : Google Scholar

41 

Berlot AA, Fu X, Shea MK, Tracy R, Budoff M, Kim RS, Naveed M, Booth SL, Kizer JR and Bortnick AE: Inactive matrix gla protein and cardiovascular outcomes: The multi-ethnic study of atherosclerosis. J Am Heart Assoc. 14(e036459)2025.PubMed/NCBI View Article : Google Scholar

42 

Delanaye P, Krzesinski JM, Warling X, Moonen M, Smelten N, Médart L, Pottel H and Cavalier E: Dephosphorylated-uncarboxylated Matrix Gla protein concentration is predictive of vitamin K status and is correlated with vascular calcification in a cohort of hemodialysis patients. BMC Nephrol. 15(145)2014.PubMed/NCBI View Article : Google Scholar

43 

Jaminon AMG, Dai L, Qureshi AR, Evenepoel P, Ripsweden J, Söderberg M, Witasp A, Olauson H, Schurgers LJ and Stenvinkel P: Matrix Gla protein is an independent predictor of both intimal and medial vascular calcification in chronic kidney disease. Sci Rep. 10(6586)2020.PubMed/NCBI View Article : Google Scholar

44 

Dai L, Li L, Erlandsson H, Jaminon AMG, Qureshi AR, Ripsweden J, Brismar TB, Witasp A, Heimbürger O, Jørgensen HS, et al: Functional vitamin K insufficiency, vascular calcification and mortality in advanced chronic kidney disease: A cohort study. PLoS One. 16(e0247623)2021.PubMed/NCBI View Article : Google Scholar

45 

Fitzpatrick J, Kim ED, Sozio SM, Jaar BG, Estrella MM, Monroy-Trujillo JM and Parekh RS: Calcification biomarkers, subclinical vascular disease, and mortality among multiethnic dialysis patients. Kidney Int Rep. 5:1729–1737. 2020.PubMed/NCBI View Article : Google Scholar

46 

Shea MK, Wang J, Barger K, Weiner DE, Townsend RR, Feldman HI, Rosas SE, Chen J, He J, Flack J, et al: Association of vitamin K status with arterial calcification and stiffness in chronic kidney disease: The chronic renal insufficiency cohort. Curr Dev Nutr. 7(100008)2023.PubMed/NCBI View Article : Google Scholar

47 

Shea MK, Barger K, Booth SL, Wang J, Feldman HI, Townsend RR, Chen J, Flack J, He J, Jaar BG, et al: Vitamin K status, all-cause mortality, and cardiovascular disease in adults with chronic kidney disease: The chronic renal insufficiency cohort. Am J Clin Nutr. 115:941–948. 2022.PubMed/NCBI View Article : Google Scholar

48 

Schlieper G, Westenfeld R, Krüger T, Cranenburg EC, Magdeleyns EJ, Brandenburg VM, Djuric Z, Damjanovic T, Ketteler M, Vermeer C, et al: Circulating nonphosphorylated carboxylated matrix gla protein predicts survival in ESRD. J Am Soc Nephrol. 22:387–395. 2011.PubMed/NCBI View Article : Google Scholar

49 

Gluba-Brzózka A, Michalska-Kasiczak M, Franczyk-Skóra B, Nocuń M, Banach M and Rysz J: Markers of increased cardiovascular risk in patients with chronic kidney disease. Lipids Health Dis. 13(135)2014.PubMed/NCBI View Article : Google Scholar

50 

Mao L, Huang H, Zhou M and Zhou C: Correlation between circulating dephosphorylated uncarboxylated matrix Gla protein and vascular calcification in peritoneal dialysis patients. Int J Artif Organs. 47:885–893. 2024.PubMed/NCBI View Article : Google Scholar

51 

Nyvad J, Christensen KL, Andersen G, Reinhard M, Nørgaard BL, Madsen JS, Nielsen S, Thomsen MB, Jensen JM, Peters CD and Buus NH: PIVKA-II but not dp-ucMGP is associated with aortic calcification in chronic kidney disease. BMC Nephrol. 25(426)2024.PubMed/NCBI View Article : Google Scholar

Related Articles

  • Abstract
  • View
  • Download
Copy and paste a formatted citation
Spandidos Publications style
Divani M, Katsanaki A, Tziastoudi M, Makri P, Poulianiti C, Lykotsetas E, Balatsouka A, Stefanidis I and Eleftheriadis T: Fetuin‑A and dephosphorylated uncarboxylated matrix Gla protein levels in patients with established coronary heart disease undergoing hemodialysis. World Acad Sci J 8: 43, 2026.
APA
Divani, M., Katsanaki, A., Tziastoudi, M., Makri, P., Poulianiti, C., Lykotsetas, E. ... Eleftheriadis, T. (2026). Fetuin‑A and dephosphorylated uncarboxylated matrix Gla protein levels in patients with established coronary heart disease undergoing hemodialysis. World Academy of Sciences Journal, 8, 43. https://doi.org/10.3892/wasj.2026.458
MLA
Divani, M., Katsanaki, A., Tziastoudi, M., Makri, P., Poulianiti, C., Lykotsetas, E., Balatsouka, A., Stefanidis, I., Eleftheriadis, T."Fetuin‑A and dephosphorylated uncarboxylated matrix Gla protein levels in patients with established coronary heart disease undergoing hemodialysis". World Academy of Sciences Journal 8.3 (2026): 43.
Chicago
Divani, M., Katsanaki, A., Tziastoudi, M., Makri, P., Poulianiti, C., Lykotsetas, E., Balatsouka, A., Stefanidis, I., Eleftheriadis, T."Fetuin‑A and dephosphorylated uncarboxylated matrix Gla protein levels in patients with established coronary heart disease undergoing hemodialysis". World Academy of Sciences Journal 8, no. 3 (2026): 43. https://doi.org/10.3892/wasj.2026.458
Copy and paste a formatted citation
x
Spandidos Publications style
Divani M, Katsanaki A, Tziastoudi M, Makri P, Poulianiti C, Lykotsetas E, Balatsouka A, Stefanidis I and Eleftheriadis T: Fetuin‑A and dephosphorylated uncarboxylated matrix Gla protein levels in patients with established coronary heart disease undergoing hemodialysis. World Acad Sci J 8: 43, 2026.
APA
Divani, M., Katsanaki, A., Tziastoudi, M., Makri, P., Poulianiti, C., Lykotsetas, E. ... Eleftheriadis, T. (2026). Fetuin‑A and dephosphorylated uncarboxylated matrix Gla protein levels in patients with established coronary heart disease undergoing hemodialysis. World Academy of Sciences Journal, 8, 43. https://doi.org/10.3892/wasj.2026.458
MLA
Divani, M., Katsanaki, A., Tziastoudi, M., Makri, P., Poulianiti, C., Lykotsetas, E., Balatsouka, A., Stefanidis, I., Eleftheriadis, T."Fetuin‑A and dephosphorylated uncarboxylated matrix Gla protein levels in patients with established coronary heart disease undergoing hemodialysis". World Academy of Sciences Journal 8.3 (2026): 43.
Chicago
Divani, M., Katsanaki, A., Tziastoudi, M., Makri, P., Poulianiti, C., Lykotsetas, E., Balatsouka, A., Stefanidis, I., Eleftheriadis, T."Fetuin‑A and dephosphorylated uncarboxylated matrix Gla protein levels in patients with established coronary heart disease undergoing hemodialysis". World Academy of Sciences Journal 8, no. 3 (2026): 43. https://doi.org/10.3892/wasj.2026.458
Follow us
  • Twitter
  • LinkedIn
  • Facebook
About
  • Spandidos Publications
  • Careers
  • Cookie Policy
  • Privacy Policy
How can we help?
  • Help
  • Live Chat
  • Contact
  • Email to our Support Team