Spandidos Publications Logo
  • About
    • About Spandidos
    • Aims and Scopes
    • Abstracting and Indexing
    • Editorial Policies
    • Reprints and Permissions
    • Job Opportunities
    • Terms and Conditions
    • Contact
  • Journals
    • All Journals
    • Oncology Letters
      • Oncology Letters
      • Information for Authors
      • Editorial Policies
      • Editorial Board
      • Aims and Scope
      • Abstracting and Indexing
      • Bibliographic Information
      • Archive
    • International Journal of Oncology
      • International Journal of Oncology
      • Information for Authors
      • Editorial Policies
      • Editorial Board
      • Aims and Scope
      • Abstracting and Indexing
      • Bibliographic Information
      • Archive
    • Molecular and Clinical Oncology
      • Molecular and Clinical Oncology
      • Information for Authors
      • Editorial Policies
      • Editorial Board
      • Aims and Scope
      • Abstracting and Indexing
      • Bibliographic Information
      • Archive
    • Experimental and Therapeutic Medicine
      • Experimental and Therapeutic Medicine
      • Information for Authors
      • Editorial Policies
      • Editorial Board
      • Aims and Scope
      • Abstracting and Indexing
      • Bibliographic Information
      • Archive
    • International Journal of Molecular Medicine
      • International Journal of Molecular Medicine
      • Information for Authors
      • Editorial Policies
      • Editorial Board
      • Aims and Scope
      • Abstracting and Indexing
      • Bibliographic Information
      • Archive
    • Biomedical Reports
      • Biomedical Reports
      • Information for Authors
      • Editorial Policies
      • Editorial Board
      • Aims and Scope
      • Abstracting and Indexing
      • Bibliographic Information
      • Archive
    • Oncology Reports
      • Oncology Reports
      • Information for Authors
      • Editorial Policies
      • Editorial Board
      • Aims and Scope
      • Abstracting and Indexing
      • Bibliographic Information
      • Archive
    • Molecular Medicine Reports
      • Molecular Medicine Reports
      • Information for Authors
      • Editorial Policies
      • Editorial Board
      • Aims and Scope
      • Abstracting and Indexing
      • Bibliographic Information
      • Archive
    • World Academy of Sciences Journal
      • World Academy of Sciences Journal
      • Information for Authors
      • Editorial Policies
      • Editorial Board
      • Aims and Scope
      • Abstracting and Indexing
      • Bibliographic Information
      • Archive
    • International Journal of Functional Nutrition
      • International Journal of Functional Nutrition
      • Information for Authors
      • Editorial Policies
      • Editorial Board
      • Aims and Scope
      • Abstracting and Indexing
      • Bibliographic Information
      • Archive
    • International Journal of Epigenetics
      • International Journal of Epigenetics
      • Information for Authors
      • Editorial Policies
      • Editorial Board
      • Aims and Scope
      • Abstracting and Indexing
      • Bibliographic Information
      • Archive
    • Medicine International
      • Medicine International
      • Information for Authors
      • Editorial Policies
      • Editorial Board
      • Aims and Scope
      • Abstracting and Indexing
      • Bibliographic Information
      • Archive
  • Articles
  • Information
    • Information for Authors
    • Information for Reviewers
    • Information for Librarians
    • Information for Advertisers
    • Conferences
  • Language Editing
Spandidos Publications Logo
  • About
    • About Spandidos
    • Aims and Scopes
    • Abstracting and Indexing
    • Editorial Policies
    • Reprints and Permissions
    • Job Opportunities
    • Terms and Conditions
    • Contact
  • Journals
    • All Journals
    • Biomedical Reports
      • Information for Authors
      • Editorial Policies
      • Editorial Board
      • Aims and Scope
      • Abstracting and Indexing
      • Bibliographic Information
      • Archive
    • Experimental and Therapeutic Medicine
      • Information for Authors
      • Editorial Policies
      • Editorial Board
      • Aims and Scope
      • Abstracting and Indexing
      • Bibliographic Information
      • Archive
    • International Journal of Epigenetics
      • Information for Authors
      • Editorial Policies
      • Editorial Board
      • Aims and Scope
      • Abstracting and Indexing
      • Bibliographic Information
      • Archive
    • International Journal of Functional Nutrition
      • Information for Authors
      • Editorial Policies
      • Editorial Board
      • Aims and Scope
      • Abstracting and Indexing
      • Bibliographic Information
      • Archive
    • International Journal of Molecular Medicine
      • Information for Authors
      • Editorial Policies
      • Editorial Board
      • Aims and Scope
      • Abstracting and Indexing
      • Bibliographic Information
      • Archive
    • International Journal of Oncology
      • Information for Authors
      • Editorial Policies
      • Editorial Board
      • Aims and Scope
      • Abstracting and Indexing
      • Bibliographic Information
      • Archive
    • Medicine International
      • Information for Authors
      • Editorial Policies
      • Editorial Board
      • Aims and Scope
      • Abstracting and Indexing
      • Bibliographic Information
      • Archive
    • Molecular and Clinical Oncology
      • Information for Authors
      • Editorial Policies
      • Editorial Board
      • Aims and Scope
      • Abstracting and Indexing
      • Bibliographic Information
      • Archive
    • Molecular Medicine Reports
      • Information for Authors
      • Editorial Policies
      • Editorial Board
      • Aims and Scope
      • Abstracting and Indexing
      • Bibliographic Information
      • Archive
    • Oncology Letters
      • Information for Authors
      • Editorial Policies
      • Editorial Board
      • Aims and Scope
      • Abstracting and Indexing
      • Bibliographic Information
      • Archive
    • Oncology Reports
      • Information for Authors
      • Editorial Policies
      • Editorial Board
      • Aims and Scope
      • Abstracting and Indexing
      • Bibliographic Information
      • Archive
    • World Academy of Sciences Journal
      • Information for Authors
      • Editorial Policies
      • Editorial Board
      • Aims and Scope
      • Abstracting and Indexing
      • Bibliographic Information
      • Archive
  • Articles
  • Information
    • For Authors
    • For Reviewers
    • For Librarians
    • For Advertisers
    • Conferences
  • Language Editing
Login Register Submit
  • This site uses cookies
  • You can change your cookie settings at any time by following the instructions in our Cookie Policy. To find out more, you may read our Privacy Policy.

    I agree
Search articles by DOI, keyword, author or affiliation
Search
Advanced Search
presentation
Biomedical Reports
Join Editorial Board Propose a Special Issue
Print ISSN: 2049-9434 Online ISSN: 2049-9442
Journal Cover
March-April 2013 Volume 1 Issue 2

Full Size Image

Sign up for eToc alerts
Recommend to Library

Journals

International Journal of Molecular Medicine

International Journal of Molecular Medicine

International Journal of Molecular Medicine is an international journal devoted to molecular mechanisms of human disease.

International Journal of Oncology

International Journal of Oncology

International Journal of Oncology is an international journal devoted to oncology research and cancer treatment.

Molecular Medicine Reports

Molecular Medicine Reports

Covers molecular medicine topics such as pharmacology, pathology, genetics, neuroscience, infectious diseases, molecular cardiology, and molecular surgery.

Oncology Reports

Oncology Reports

Oncology Reports is an international journal devoted to fundamental and applied research in Oncology.

Experimental and Therapeutic Medicine

Experimental and Therapeutic Medicine

Experimental and Therapeutic Medicine is an international journal devoted to laboratory and clinical medicine.

Oncology Letters

Oncology Letters

Oncology Letters is an international journal devoted to Experimental and Clinical Oncology.

Biomedical Reports

Biomedical Reports

Explores a wide range of biological and medical fields, including pharmacology, genetics, microbiology, neuroscience, and molecular cardiology.

Molecular and Clinical Oncology

Molecular and Clinical Oncology

International journal addressing all aspects of oncology research, from tumorigenesis and oncogenes to chemotherapy and metastasis.

World Academy of Sciences Journal

World Academy of Sciences Journal

Multidisciplinary open-access journal spanning biochemistry, genetics, neuroscience, environmental health, and synthetic biology.

International Journal of Functional Nutrition

International Journal of Functional Nutrition

Open-access journal combining biochemistry, pharmacology, immunology, and genetics to advance health through functional nutrition.

International Journal of Epigenetics

International Journal of Epigenetics

Publishes open-access research on using epigenetics to advance understanding and treatment of human disease.

Medicine International

Medicine International

An International Open Access Journal Devoted to General Medicine.

Journal Cover
March-April 2013 Volume 1 Issue 2

Full Size Image

Sign up for eToc alerts
Recommend to Library

  • Article
  • Citations
    • Cite This Article
    • Download Citation
    • Create Citation Alert
    • Remove Citation Alert
    • Cited By
  • Similar Articles
    • Related Articles (in Spandidos Publications)
    • Similar Articles (Google Scholar)
    • Similar Articles (PubMed)
  • Download PDF
  • Download XML
  • View XML
Article

Elevated serum levels of vascular endothelial growth factor is effective as a marker for malnutrition and inflammation in patients with ovarian cancer

  • Authors:
    • Takafumi Watanabe
    • Masahiko Shibata
    • Hiroshi Nishiyama
    • Shu Soeda
    • Shigenori Furukawa
    • Kenji Gonda
    • Seiichi Takenoshita
    • Keiya Fujimori
  • View Affiliations / Copyright

    Affiliations: Department of Obstetrics and Gynecology, Fukushima Medical University, Fukushima, Fukushima 960‑1295, Japan, Department of Tumor and Host Bioscience, Fukushima Medical University, Fukushima, Fukushima 960‑1295, Japan, Department of Organ Regulatory Surgery, Fukushima Medical University, Fukushima, Fukushima 960‑1295, Japan
  • Pages: 197-201
    |
    Published online on: January 16, 2013
       https://doi.org/10.3892/br.2013.54
  • Expand metrics +
Metrics: Total Views: 0 (Spandidos Publications: | PMC Statistics: )
Metrics: Total PDF Downloads: 0 (Spandidos Publications: | PMC Statistics: )
Cited By (CrossRef): 0 citations Loading Articles...

This article is mentioned in:



Abstract

Vascular endothelial growth factor (VEGF) reportedly plays an important role in the progression of malignant neoplasms. In the present study, measured serum concentrations of VEGF were measured in patients with ovarian cancer and correlations with nutritional damage and chronic inflammation were analyzed. A significant increase in serum levels in patients compared to healthy volunteers was observed. Levels of VEGF were inversely correlated with serum concentrations of prealbumin, transferrin and retinol‑binding protein. VEGF levels were also correlated with serum levels of c‑reactive protein (CRP), an effective marker of inflammation. CRP levels were significantly elevated in patients with stage III and IV disease and inversely correlated with serum concentrations of total protein, prealbumin, transferrin and retinol‑binding protein. These results demonstrated that an increased production of VEGF correlated with nutritional impairment and inflammation.

Introduction

Ovarian cancer is the most frequent cause of death from gyne cological cancer and the fourth most frequent cause of cancer-related death in women worldwide (1). Vascular endothelial growth factor (VEGF) plays a crucial role through its involvement in ovarian biology. Since it is closely associated with the normal function of ovaries, VEGF is also involved in ovarian pathologies, including malignant neoplasms (2). The observation that angiogenesis occurs around a neoplastic tumor was made over a century ago (3). Tumor growth and metastasis were subsequently suggested to depend on angiogenesis and blockage of angiogenesis may thus provide one strategy for inhibiting tumor growth. The participation of angiogenesis and VEGF in the pathogenesis of neoplastic diseases has been previously described (4).

VEGF, previously known as vascular permeability factor, has a mass of 45 kDa and belongs to a family of platelet-derived growth factors. Thus far, several forms of VEGF have been distinguished, including isoforms A, B, C, D and E (5,6). The biological significance of the different forms of VEGF has yet to be definitively determined. Elevated VEGF levels are reportedly associated with advanced-stage melanoma, together with negative immune reactions, including type 2 helper T-cell (Th2) dominance and impaired dendritic cell function (7). Recent studies have reported that immune-suppressing myeloid cells that in increase in number in cancer are expandable by VEGF (8,9).

Cachexia due to cancer is a complex metabolic disorder that includes loss of adipose tissue due to lipolysis, loss of skeletal muscle, elevation of resting energy consumption, anorexia and reduction of oral food intake (10). Acute-phase response proteins including VEGF are reportedly associated with the development of cachexia in patients with cancer (11). The present study investigated the status of VEGF and examined relationships in patients with ovarian cancer between serum levels of VEGF and markers of nutrition and inflammation.

Materials and methods

Sample collection

Blood samples were collected from 27 patients with ovarian cancer. The patient group included 4 patients with stage I disease, 2 with stage II, 13 with stage III and 8 with stage IV disease. The enrolled patients had received surgery or chemotherapy in the Department of Obstetrics and Gynecology at Fukushima Medical University Hospital (Fukushima, Japan) between May, 2011 and August, 2012 and were 38–83 years old (median, 58.5 years) with histological confirmation of the diagnosis. The patients were newly diagnosed and blood samples were collected prior to initiation of any treatment.

This study was approved by the ethics committee at Fukushima Medical University (2010–2014) and written informed consent was obtained from the subjects enrolled in this study.

Serum levels of VEGF

Peripheral venous blood sera from the subjects were stored at −80°C until use. Serum concentrations of VEGF were measured by enzyme-linked immunosorbent assay (ELISA) (R&D Systems, Minneapolis, MN, USA) according to the manufacturer's instructions.

Markers for nutritional status

Nutritional status was determined by measuring serum concentrations of albumin (nephelometry), prealbumin (turbidimetric immunoassay), retinol-binding protein (latex agglutination immunoassay) and transferrin (turbidimetric immunoassay).

Statistical analysis

Differences between groups were determined using the Student's t-test. Relationships between two variables were quantified by the Spearman's rank correlation coefficient. P<0.05 was considered statistically significant. Notably, not all the blood samples were of sufficient volume for the measurements.

Results

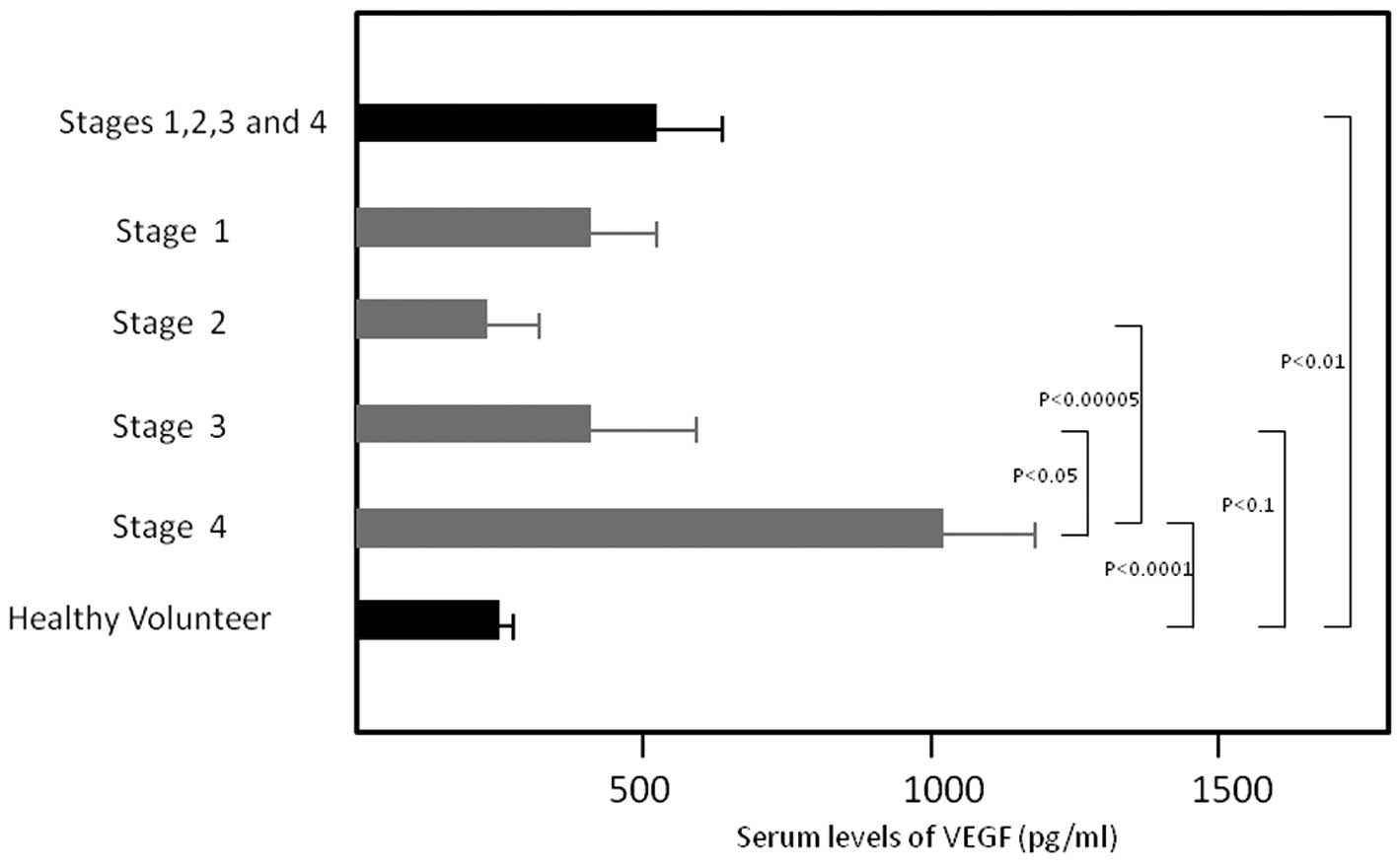
We tested sera from 27 patients with ovarian cancer and from 18 healthy volunteers. The serum levels of VEGF in whole patients, stage I, II, III and IV patients were 576.7±110.6, 460.1±176.9, 248.3±61.6, 440.6±160.9 and 1006.3±218.3 pg/ml. Serum levels were significantly increased for whole patients (P<0.01) and stage IV patients (P<0.0001) compared to healthy volunteers (238.5±27.5 pg/ml) (Fig. 1). Serum levels of stage IV patients were significantly higher compared to those of stage II (P<0.00005) and stage III (P<0.05) patients. The serum levels of CRP in stage I, II, III and IV patients were 0.64±0.04, 0.34±0.27, 6.76±1.76 and 4.15±1.92 mg/dl, with significant increases being detected in the serum levels for stage III compared to stage I (P<0.01) and stage II (P<0.01) patients, and for stage IV patients compared to stage I (P<0.05) and stage II (P<0.05) patients (Fig. 2).

Figure 1

Serum vascular endothelial growth factor (VEGF) concentrations in patients with ovarian cancer. The serum levels of VEGF in whole patients, stage I, II, III and IV patients were 576.7±110.6, 460.1±176.9, 248.3±61.6, 440.6±160.9 and 1006.3±218.3 pg/ml. Serum levels for whole patients (P<0.01) and stage IV patients (P<0.0001) were significantly increased as compared to healthy volunteers (238.5±27.5 pg/ml).

Figure 2

Serum c-reactive protein (CRP) concentrations in patients with ovarian cancer. The serum levels of CRP in stage I, II, III and IV patients were 0.64±0.04, 0.34±0.27, 6.76±1.76 and 4.15±1.92 mg/dl. Serum levels were significantly increased for stage III as compared to stage I (P<0.01) and stage II (P<0.01) patients, and for stage IV patients as compared to stage I (P<0.05) and stage II (P<0.05) patients.

These data were analyzed for correlations with parameters of nutritional status and inflammation. VEGF levels showed significant inverse correlations with serum concentrations of prealbumin (r=–0.467, P<0.005; Fig. 3A), transferrin (r=–0.640, P<0.00005; Fig. 3B) and retinol-binding protein (r=–0.457, P<0.005; Fig. 3C). A strong positive correlation was identified with CRP (r=0.422, P<0.01; Fig. 4) and CRP levels showed significant inverse correlations with serum concentrations of total protein (r=–0.402, P<0.05; Fig. 5A), albumin (r=–0.668, P<0.0005; Fig. 5B), prealbumin (r=–0.511, P=0.005; Fig 5C), transferrin (r=–0.623, P<0.0005; Fig. 5D) and retinol-binding protein (r=–0.410, P<0.05; Fig. 5E).

Figure 3

Correlation of serum levels of vascular endothelial growth factor (VEGF) with nutritional markers in ovarian cancer. VEGF levels showed significant inverse correlations with serum concentrations of (A) prealbumin (r=–0.467, P<0.005), (B) transferrin (r=–0.640, P<0.00005) and (C) retinol-binding protein (r=–0.457, P<0.005).

Figure 4

Correlation of serum vascular endothelial growth factor (VEGF) levels with c-reactive protein (CRP) in ovarian cancer. A strong positive correlation was detected between VEGF and CRP levels (r=0.422, P<0.01)

Figure 5

Correlation of serum c-reactive protein (CRP) levels with nutritional markers in ovarian cancer. CRP levels showed significant inverse correlations with serum concentrations of total protein (A) (r=–0.402, P<0.05), (B) albumin (r=–0.668, P<0.0005), (C) prealbumin (r=–0.511, P=0.005), (D) transferrin (r=–0.623, P<0.0005) and (E) retinol-binding protein (r=–0.410, P<0.05).

Discussion

VEGF is important in the progression of malignant neoplasms (12). In the present study, we investigated the association of VEGF with nutritional damage and systemic inflammation. VEGF levels were significantly higher in patients with ovarian cancer than in healthy volunteers as well as in patients with stage IV patients. VEGF levels showed significant inverse correlations with nutritional status as reflected by prealbumin, transferrin and retinol-binding protein and the marker of inflammation, CRP, which has a strong association with nutritional damage. CRP levels were also significantly elevated in advanced diseases. These results strongly support the hypothesis that VEGF plays a significant role in malnutrition and inflammation, which are essential factors for the progression of ovarian cancer, supporting the possible involvement of VEGF in the pathogenesis of cachexia.

Decreased albumin concentrations are involved with cachexia and are common laboratory features in malignant diseases. Hypoalbuminemia has been demonstrated to be a predictive factor for poor responsiveness (13,14). The ongoing systemic inflammatory response in terms of CRP has recently gained some interest, as an easily measured and standardized predictor of outcomes in patients after treatment (15,16).

The immunosuppressive properties of malignant tumors have been previously reported (17). Central to this hypothesis is the polarization of the immune system towards a state of inflammation driven by immunological mediators produced by tumor and immune cells (17,18). CRP has been reported as a marker of systemic inflammatory response and an independent predictor of clinical benefit, good prognosis and survival in patients receiving cancer chemotherapy. We recently reported that myeloid-derived suppressor cells (MDSCs) are increased in various types of cancer (19,20) and strong correlations of MDSC with malnutrition were identified in patients with digestive system cancer. Although the exact mechanisms involved in the increased production of immature myeloid cells in cancer patients remain unclear, it has been reported that VEGF is one of the key molecules involved in the induction and expansion of MDSC (21–23). In conclusion, results of this study have demonstrated that an increased production of VEGF correlated with nutritional impairment and systemic inflammation. Future studies should be conducted to investigate possibilities for clinical control of chronic inflammation through the modulation of VEGF.

Acknowledgements

We would like to thank Dr Mineyuki Haruta, The Nihon University College of Engineering for processing ELISA data.

References

1 

Jacobs IJ and Menon U: Progress and challenges in screening for early detection of ovarian cancer. Mol Cell Proteomics. 3:355–366. 2004. View Article : Google Scholar : PubMed/NCBI

2 

Geva E and Jaffe RB: Role of vascular endothelial growth factor in ovarian physiology and pathology. Fertil Steril. 74:429–438. 2000. View Article : Google Scholar : PubMed/NCBI

3 

Goldman E: The growth of malignant disease in man and the lower animals with special reference to the vascular system. Proc R Soc Med. 1:1–13. 1908.PubMed/NCBI

4 

Folkman J: Angiogenesis in cancer, vascular, rheumatoid and other disease. Nat Med. 1:27–31. 1995. View Article : Google Scholar : PubMed/NCBI

5 

Senger DR, Galli SJ, Dvorak AM, et al: Tumor cell secrete a vascular permeability factor that promotes accumulation of ascites fluid. Science. 219:983–985. 1983. View Article : Google Scholar

6 

Ferrara N: Vascular endothelial growth factor and the regulation of angiogenesis. Recent Prog Horm Res. 55:15–36. 2000.PubMed/NCBI

7 

Terheyden P, Schrama D, Pedersen LO, et al: Longitudinal analysis of MART-1/HLA-A2-reactive T cells over the course of melanoma progression. Scand J Immunol. 58:566–571. 2003. View Article : Google Scholar : PubMed/NCBI

8 

Gabrilovich DI and Nagaraj S: Myeloid-derived suppressor cells as regulators of the immune system. Nat Rev Immunol. 9:162–174. 2009. View Article : Google Scholar : PubMed/NCBI

9 

Ostrand-Rosenberg S and Sinha P: Myeloid-derived suppressor cells: linking inflammation and cancer. J Immunol. 182:4499–4506. 2009. View Article : Google Scholar : PubMed/NCBI

10 

Rubin H: Cancer cachexia: its correlations and causes. Proc Natl Acad Sci USA. 100:5384–5389. 2003. View Article : Google Scholar : PubMed/NCBI

11 

Deans C and Wigmore SJ: Systemic inflammation, cachexia and prognosis in patients with cancer. Curr Opin Clin Nutr Metab Care. 8:265–269. 2005. View Article : Google Scholar : PubMed/NCBI

12 

Kajdaniuk D, Marek B, Foltyn W and Kos-Kudla B: Vascular endothelial growth factor (VEGF)-part 2: in endocrinology and oncology. Endocrinol Pol. 62:456–464. 2011.PubMed/NCBI

13 

Sanz L, Ovejero VJ, Gonzalez JJ, et al: Mortality risk scales in esophagotomy for cancer: their usefulness in preoperative patients selection. Hepatogastroenterology. 53:869–873. 2006.PubMed/NCBI

14 

Onate-Ocana LF, Aiello-Crocifoglio V, Gallardo-Rincon D, et al: Serum albumin as a significant prognostic factor for patients with gastric carcinoma. Ann Surg Oncol. 14:381–389. 2007. View Article : Google Scholar : PubMed/NCBI

15 

Chua W, Charles KA, Baracos VE and Clarke SJ: Neutrophil/lymphocyte ratio predicts chemotherapy outcomes in patients with advanced colorectal cancer. Brit J Cancer. 104:1288–1295. 2011. View Article : Google Scholar : PubMed/NCBI

16 

Cho H, Hur HW, Kim SW, et al: Pre-treatment neutrophil to lymphocyte ratio is elevated in epithelial ovarian cancer and predicts survival after treatment. Cancer Immunol Immunother. 58:15–23. 2009. View Article : Google Scholar : PubMed/NCBI

17 

Nevala WK, Vachon CM, Leontovich AA, Scott CG, Thompson MA and Markovic SN: Evidence of systemic Th2-driven chronic inflammation in patients with metastatic melanoma. Clin Cancer Res. 15:1931–1939. 2009. View Article : Google Scholar : PubMed/NCBI

18 

Coussens LM and Werb Z: Inflammation and cancer. Nature. 420:860–867. 2002. View Article : Google Scholar : PubMed/NCBI

19 

Shibata M, Shimura T, Gonda K, Suzuki S, Nakamura I, Ohki S and Takenoshita S: Relationship of myeloid-derived suppressor cells (MDSC) and immune suppression, nutritional impairment, and inflammatory markers in patients with gastrointestinal cancer. 2012 ASCO Gastrointestinal Cancer Symposium: ASCO abs. 675,. 2012.

20 

Ohki S, Shibata M, Gonda K, et al: Circulating myeloid-derived suppressor cells are increased and correlate to immune suppression, inflammation and hypoalbuminemia in patients with cancer. Oncol Rep. 28:453–458. 2012.PubMed/NCBI

21 

Gabrilovich DI, Chen HL, Girgis KR, et al: Production of vascular endothelial growth factor by human tumors inhibits the functional maturation of dendritic cells. Nat Med. 2:1096–1103. 1996. View Article : Google Scholar : PubMed/NCBI

22 

Menetrier-Caux C, Montmain G, Dieu MC, et al: Inhibition of the differentiation of dendritic cells from CD34+ progenitors by tumor cells: role of interleukin-6 and macrophage-colony-stimulating factor. Blood. 92:4778–4791. 1998.

23 

Gabrilovich D, Ishida T, Oyama T, et al: Vascular endothelial growth factor inhibits the development of dendritic cells and dramatically affects the differentiation of multiple hematopoietic lineages in vivo. Blood. 92:4150–4166. 1998.

Related Articles

  • Abstract
  • View
  • Download
  • Twitter
Copy and paste a formatted citation
Spandidos Publications style
Watanabe T, Shibata M, Nishiyama H, Soeda S, Furukawa S, Gonda K, Takenoshita S and Fujimori K: Elevated serum levels of vascular endothelial growth factor is effective as a marker for malnutrition and inflammation in patients with ovarian cancer. Biomed Rep 1: 197-201, 2013.
APA
Watanabe, T., Shibata, M., Nishiyama, H., Soeda, S., Furukawa, S., Gonda, K. ... Fujimori, K. (2013). Elevated serum levels of vascular endothelial growth factor is effective as a marker for malnutrition and inflammation in patients with ovarian cancer. Biomedical Reports, 1, 197-201. https://doi.org/10.3892/br.2013.54
MLA
Watanabe, T., Shibata, M., Nishiyama, H., Soeda, S., Furukawa, S., Gonda, K., Takenoshita, S., Fujimori, K."Elevated serum levels of vascular endothelial growth factor is effective as a marker for malnutrition and inflammation in patients with ovarian cancer". Biomedical Reports 1.2 (2013): 197-201.
Chicago
Watanabe, T., Shibata, M., Nishiyama, H., Soeda, S., Furukawa, S., Gonda, K., Takenoshita, S., Fujimori, K."Elevated serum levels of vascular endothelial growth factor is effective as a marker for malnutrition and inflammation in patients with ovarian cancer". Biomedical Reports 1, no. 2 (2013): 197-201. https://doi.org/10.3892/br.2013.54
Copy and paste a formatted citation
x
Spandidos Publications style
Watanabe T, Shibata M, Nishiyama H, Soeda S, Furukawa S, Gonda K, Takenoshita S and Fujimori K: Elevated serum levels of vascular endothelial growth factor is effective as a marker for malnutrition and inflammation in patients with ovarian cancer. Biomed Rep 1: 197-201, 2013.
APA
Watanabe, T., Shibata, M., Nishiyama, H., Soeda, S., Furukawa, S., Gonda, K. ... Fujimori, K. (2013). Elevated serum levels of vascular endothelial growth factor is effective as a marker for malnutrition and inflammation in patients with ovarian cancer. Biomedical Reports, 1, 197-201. https://doi.org/10.3892/br.2013.54
MLA
Watanabe, T., Shibata, M., Nishiyama, H., Soeda, S., Furukawa, S., Gonda, K., Takenoshita, S., Fujimori, K."Elevated serum levels of vascular endothelial growth factor is effective as a marker for malnutrition and inflammation in patients with ovarian cancer". Biomedical Reports 1.2 (2013): 197-201.
Chicago
Watanabe, T., Shibata, M., Nishiyama, H., Soeda, S., Furukawa, S., Gonda, K., Takenoshita, S., Fujimori, K."Elevated serum levels of vascular endothelial growth factor is effective as a marker for malnutrition and inflammation in patients with ovarian cancer". Biomedical Reports 1, no. 2 (2013): 197-201. https://doi.org/10.3892/br.2013.54
Follow us
  • Twitter
  • LinkedIn
  • Facebook
About
  • Spandidos Publications
  • Careers
  • Cookie Policy
  • Privacy Policy
How can we help?
  • Help
  • Live Chat
  • Contact
  • Email to our Support Team