Spandidos Publications Logo
  • About
    • About Spandidos
    • Aims and Scopes
    • Abstracting and Indexing
    • Editorial Policies
    • Reprints and Permissions
    • Job Opportunities
    • Terms and Conditions
    • Contact
  • Journals
    • All Journals
    • Oncology Letters
      • Oncology Letters
      • Information for Authors
      • Editorial Policies
      • Editorial Board
      • Aims and Scope
      • Abstracting and Indexing
      • Bibliographic Information
      • Archive
    • International Journal of Oncology
      • International Journal of Oncology
      • Information for Authors
      • Editorial Policies
      • Editorial Board
      • Aims and Scope
      • Abstracting and Indexing
      • Bibliographic Information
      • Archive
    • Molecular and Clinical Oncology
      • Molecular and Clinical Oncology
      • Information for Authors
      • Editorial Policies
      • Editorial Board
      • Aims and Scope
      • Abstracting and Indexing
      • Bibliographic Information
      • Archive
    • Experimental and Therapeutic Medicine
      • Experimental and Therapeutic Medicine
      • Information for Authors
      • Editorial Policies
      • Editorial Board
      • Aims and Scope
      • Abstracting and Indexing
      • Bibliographic Information
      • Archive
    • International Journal of Molecular Medicine
      • International Journal of Molecular Medicine
      • Information for Authors
      • Editorial Policies
      • Editorial Board
      • Aims and Scope
      • Abstracting and Indexing
      • Bibliographic Information
      • Archive
    • Biomedical Reports
      • Biomedical Reports
      • Information for Authors
      • Editorial Policies
      • Editorial Board
      • Aims and Scope
      • Abstracting and Indexing
      • Bibliographic Information
      • Archive
    • Oncology Reports
      • Oncology Reports
      • Information for Authors
      • Editorial Policies
      • Editorial Board
      • Aims and Scope
      • Abstracting and Indexing
      • Bibliographic Information
      • Archive
    • Molecular Medicine Reports
      • Molecular Medicine Reports
      • Information for Authors
      • Editorial Policies
      • Editorial Board
      • Aims and Scope
      • Abstracting and Indexing
      • Bibliographic Information
      • Archive
    • World Academy of Sciences Journal
      • World Academy of Sciences Journal
      • Information for Authors
      • Editorial Policies
      • Editorial Board
      • Aims and Scope
      • Abstracting and Indexing
      • Bibliographic Information
      • Archive
    • International Journal of Functional Nutrition
      • International Journal of Functional Nutrition
      • Information for Authors
      • Editorial Policies
      • Editorial Board
      • Aims and Scope
      • Abstracting and Indexing
      • Bibliographic Information
      • Archive
    • International Journal of Epigenetics
      • International Journal of Epigenetics
      • Information for Authors
      • Editorial Policies
      • Editorial Board
      • Aims and Scope
      • Abstracting and Indexing
      • Bibliographic Information
      • Archive
    • Medicine International
      • Medicine International
      • Information for Authors
      • Editorial Policies
      • Editorial Board
      • Aims and Scope
      • Abstracting and Indexing
      • Bibliographic Information
      • Archive
  • Articles
  • Information
    • Information for Authors
    • Information for Reviewers
    • Information for Librarians
    • Information for Advertisers
    • Conferences
  • Language Editing
Spandidos Publications Logo
  • About
    • About Spandidos
    • Aims and Scopes
    • Abstracting and Indexing
    • Editorial Policies
    • Reprints and Permissions
    • Job Opportunities
    • Terms and Conditions
    • Contact
  • Journals
    • All Journals
    • Biomedical Reports
      • Information for Authors
      • Editorial Policies
      • Editorial Board
      • Aims and Scope
      • Abstracting and Indexing
      • Bibliographic Information
      • Archive
    • Experimental and Therapeutic Medicine
      • Information for Authors
      • Editorial Policies
      • Editorial Board
      • Aims and Scope
      • Abstracting and Indexing
      • Bibliographic Information
      • Archive
    • International Journal of Epigenetics
      • Information for Authors
      • Editorial Policies
      • Editorial Board
      • Aims and Scope
      • Abstracting and Indexing
      • Bibliographic Information
      • Archive
    • International Journal of Functional Nutrition
      • Information for Authors
      • Editorial Policies
      • Editorial Board
      • Aims and Scope
      • Abstracting and Indexing
      • Bibliographic Information
      • Archive
    • International Journal of Molecular Medicine
      • Information for Authors
      • Editorial Policies
      • Editorial Board
      • Aims and Scope
      • Abstracting and Indexing
      • Bibliographic Information
      • Archive
    • International Journal of Oncology
      • Information for Authors
      • Editorial Policies
      • Editorial Board
      • Aims and Scope
      • Abstracting and Indexing
      • Bibliographic Information
      • Archive
    • Medicine International
      • Information for Authors
      • Editorial Policies
      • Editorial Board
      • Aims and Scope
      • Abstracting and Indexing
      • Bibliographic Information
      • Archive
    • Molecular and Clinical Oncology
      • Information for Authors
      • Editorial Policies
      • Editorial Board
      • Aims and Scope
      • Abstracting and Indexing
      • Bibliographic Information
      • Archive
    • Molecular Medicine Reports
      • Information for Authors
      • Editorial Policies
      • Editorial Board
      • Aims and Scope
      • Abstracting and Indexing
      • Bibliographic Information
      • Archive
    • Oncology Letters
      • Information for Authors
      • Editorial Policies
      • Editorial Board
      • Aims and Scope
      • Abstracting and Indexing
      • Bibliographic Information
      • Archive
    • Oncology Reports
      • Information for Authors
      • Editorial Policies
      • Editorial Board
      • Aims and Scope
      • Abstracting and Indexing
      • Bibliographic Information
      • Archive
    • World Academy of Sciences Journal
      • Information for Authors
      • Editorial Policies
      • Editorial Board
      • Aims and Scope
      • Abstracting and Indexing
      • Bibliographic Information
      • Archive
  • Articles
  • Information
    • For Authors
    • For Reviewers
    • For Librarians
    • For Advertisers
    • Conferences
  • Language Editing
Login Register Submit
  • This site uses cookies
  • You can change your cookie settings at any time by following the instructions in our Cookie Policy. To find out more, you may read our Privacy Policy.

    I agree
Search articles by DOI, keyword, author or affiliation
Search
Advanced Search
presentation
International Journal of Molecular Medicine
Join Editorial Board Propose a Special Issue
Print ISSN: 1107-3756 Online ISSN: 1791-244X
Journal Cover
March 2013 Volume 31 Issue 3

Full Size Image

Sign up for eToc alerts
Recommend to Library

Journals

International Journal of Molecular Medicine

International Journal of Molecular Medicine

International Journal of Molecular Medicine is an international journal devoted to molecular mechanisms of human disease.

International Journal of Oncology

International Journal of Oncology

International Journal of Oncology is an international journal devoted to oncology research and cancer treatment.

Molecular Medicine Reports

Molecular Medicine Reports

Covers molecular medicine topics such as pharmacology, pathology, genetics, neuroscience, infectious diseases, molecular cardiology, and molecular surgery.

Oncology Reports

Oncology Reports

Oncology Reports is an international journal devoted to fundamental and applied research in Oncology.

Experimental and Therapeutic Medicine

Experimental and Therapeutic Medicine

Experimental and Therapeutic Medicine is an international journal devoted to laboratory and clinical medicine.

Oncology Letters

Oncology Letters

Oncology Letters is an international journal devoted to Experimental and Clinical Oncology.

Biomedical Reports

Biomedical Reports

Explores a wide range of biological and medical fields, including pharmacology, genetics, microbiology, neuroscience, and molecular cardiology.

Molecular and Clinical Oncology

Molecular and Clinical Oncology

International journal addressing all aspects of oncology research, from tumorigenesis and oncogenes to chemotherapy and metastasis.

World Academy of Sciences Journal

World Academy of Sciences Journal

Multidisciplinary open-access journal spanning biochemistry, genetics, neuroscience, environmental health, and synthetic biology.

International Journal of Functional Nutrition

International Journal of Functional Nutrition

Open-access journal combining biochemistry, pharmacology, immunology, and genetics to advance health through functional nutrition.

International Journal of Epigenetics

International Journal of Epigenetics

Publishes open-access research on using epigenetics to advance understanding and treatment of human disease.

Medicine International

Medicine International

An International Open Access Journal Devoted to General Medicine.

Journal Cover
March 2013 Volume 31 Issue 3

Full Size Image

Sign up for eToc alerts
Recommend to Library

  • Article
  • Citations
    • Cite This Article
    • Download Citation
    • Create Citation Alert
    • Remove Citation Alert
    • Cited By
  • Similar Articles
    • Related Articles (in Spandidos Publications)
    • Similar Articles (Google Scholar)
    • Similar Articles (PubMed)
  • Download PDF
  • Download XML
  • View XML
Article

Anticancer effects of O-desmethylangolensin are mediated through cell cycle arrest at the G2/M phase and mitochondrial-dependent apoptosis in Hep3B human hepatocellular carcinoma cells

  • Authors:
    • Eun Jeong Choi
    • Jae-In Lee
    • Gun-Hee Kim
  • View Affiliations / Copyright

    Affiliations: Plant Resources Research Institute, Duksung Women's University, Tobong-ku, Seoul 132-714, Republic of Korea
  • Pages: 726-730
    |
    Published online on: January 8, 2013
       https://doi.org/10.3892/ijmm.2013.1230
  • Expand metrics +
Metrics: Total Views: 0 (Spandidos Publications: | PMC Statistics: )
Metrics: Total PDF Downloads: 0 (Spandidos Publications: | PMC Statistics: )
Cited By (CrossRef): 0 citations Loading Articles...

This article is mentioned in:



Abstract

In the present study, in order to investigate the anticancer effects of O-desmethylangolensin (O-DMA) on human hepatocellular carcinoma Hep3B cells, we first examined the antiproliferative effect of O-DMA. When Hep3B cells were treated with O-DMA at various concentrations (5-200 µM) for 24, 48 or 72 h, cell proliferation decreased significantly in a dose- and time-dependent manner. Moreover, O-DMA exposure at the IC50 concentration for 72 h arrested cells at the G2/M phase, which was accompanied by a reduction in CDK1, and an increase in cyclin A and B. Under the same conditions, O-DMA significantly increased the number of sub-G1 phase cells. Additionally, an Annexin V assay revealed that exposure to O-DMA affected the rate of cell apoptosis. O-DMA caused the downregulation of Bcl-2 and upregulation of Bax, which led to cytochrome c release from the mitochondria and activation of caspase-3. Taken together, these data suggest that O-DMA exhibits anticancer activity by arresting the cell cycle at G2/M phase and causing mitochondrial-dependent apoptosis in Hep3B cells.

Introduction

Isoflavones belong to the flavonoids and exist in nature in commonly consumed plants. They have been suggested to possess antioxidant, anticancer and anti-inflammatory activities. Numerous reports have supported this concept, and isoflavones are generally accepted to have the potential to benefit human health.

Daidzein, which occurs in nature as daidzin (its β-glycoside form), is one of the main components of isoflavones. Gastrointestinal bacteria in humans metabolize daidzein to the reduced [equol and O-desmethylangolensin (O-DMA)] and oxidized (3′,4′,7-trihydroxyisoflavone and 4′,6,7-trihydroxyisoflavone) forms (1,2). Researchers have speculated that these metabolites play an important role in the biological mechanism of daidzein (3–5).

Studies have reported that daidzein inhibits the growth of various types of cancer cells such as breast (6,7), ovarian (8,9), prostate (10) and hepatocellular carcinoma (HCC) (11,12). In addition, daidzein has been shown to induce apoptosis by modulating molecular signaling pathways such as DNA damage-signaling (10), cell cycle regulation (6,10), receptor-mediated signaling (13–15) and the mitochondrial apoptotic pathway (7).

Nevertheless, no study has investigated the effect of the metabolite O-DMA on HCC, which is one of most common malignant tumors diagnosed worldwide. Therefore, we investigated the anticancer effects of O-DMA on cell cycle arrest and apoptosis induction in human HCC Hep3B cells.

Materials and methods

Cell culture

Human HCC Hep3B cells were purchased from the Korean Cell Line Bank (KCLB), Korea. Cells were routinely maintained in MEM (Sigma-Aldrich, USA), supplemented with 10% FBS and antibiotics (50 U/ml penicillin and 50 μg/ml streptomycin; Sigma) at 37°C in a humidified atmosphere containing 5% CO2. In the cell proliferation experiment, cells were treated with different O-DMA concentrations (ranging from 5 to 200 μM) and then incubated for varying time periods (24, 48 and 72 h). In the cell cycle analysis and apoptosis assay, cells were treated with O-DMA at an IC50 concentration for 72 h.

Synthesis of O-DMA

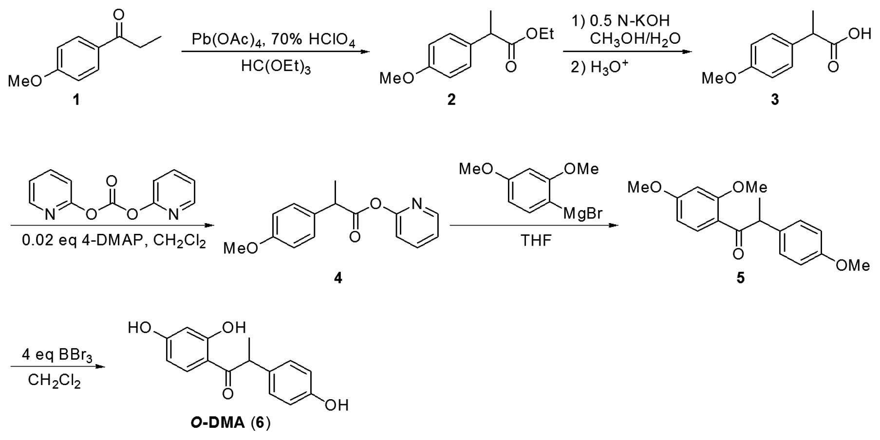
O-DMA synthesis is illustrated in Fig. 1. Ethyl 2-(p-methoxyphenyl)propionate 2 was prepared by gentle heating of a mixture solution of p-methoxypropiophenone 1, 70% perchloric acid and lead(IV) acetate in triethyl orthoformate for 2 h at 50°C in an 87% yield (Scheme 1). Compound 2 was hydrolyzed under basic condition by the treatment of 0.5 N-KOH in CH3OH/H2O for 24 h at room temperature to afford 2-(p-methoxyphenyl)propionic acid 3 in a 93% yield after acidic work-up. The reaction of 3 with di-2-pyridyl carbonate in the presence of 0.02 equiv of 4-dimethylaminopyridine (4-DMAP) in dichloromethane proceeded well for 3 h at room temperature to afford 2-pyridyl 2-(p-methoxyphenyl)propionate 4 in an 81% yield. The acyl substitution of 4 by 2,4-dimethoxyphenylmagnesium bromide in THF proceeded rapidly at 0°C via 6-membered chelate to give 2,4,4′-trimethoxy-α-methyldesoxybenzoin 5 in a 95% yield after acidic hydrolysis. Compound 5 was demethylated by the treatment of 4 equiv of boron tribromide in dichloromethane for 48 h at room temperature to afford O-DMA 6 in a 90% yields after aqueous work-up. O-DMA was dissolved in dimethyl sulfoxide (DMSO) (final concentration 0.1% in medium) and kept in a refrigerator.

Figure 1

Synthesis of O-DMA.

MTT assay

Hep3B cells were plated at a density of 1×105 cells/well in a 96-well tissue culture plate (Corning, NY, USA), and incubated at 37°C for 24 h. Plated cells were treated with the indicated concentrations of O-DMA for 24, 48 and 72 h. After treatment, plated cell were incubated with 3-(4, 5-dimethylthiazol-2-yl)-2,5-diphenyltetrazolium bromide (MTT; 0.5 mg/ml final concentration; Sigma-Aldrich) for 4 h at 37°C. After discarding all medium from the plates, 100 μl of DMSO was added to each well. The plates were placed for 5 min at room temperature with shaking, so that complete dissolution of formazan was achieved. The absorbance of the MTT formazan was determined at 540 nm by a UV spectrophotometric plate reader (EMax; Molecular Devices). The value of IC50 (i.e., the concentration of the extract required to inhibit cancer cell growth by 50% of the control level) was estimated from the plot. Control cells were treated with only the compound solvent.

Cell cycle distribution

Cell cycle distribution and apoptosis were determined by FACS analysis using propidium iodide (PI) staining to measure DNA content. Hep3B cells were plated at a density of 5×105 cells/well in a 6-well tissue culture plate (Corning), and incubated at 37°C for 24 h. Plated cells were treated with an IC50 concentration of O-DMA for 72 h. Cells were then harvested, washed with cold PBS and processed for cell cycle analysis. Briefly, the cells were fixed in absolute ethanol and stored at −20°C for later analysis. The fixed cells were centrifuged at 1,000 rpm and washed with cold PBS twice. RNase A (20 μg/ml final concentration) and PI staining solution (50 μg/ml final concentration) were added to the cells and incubated for 30 min at 37°C in the dark. The cells were analyzed using a FACS Calibur instrument (BD Biosciences, San Jose, CA, USA) equipped with CellQuest 3.3 software.

Detection of apoptosis

Cells were treated and harvested similarly as mentioned in the preceding section. Phosphatidylserine is a biomarker of apoptosis, which is located on the cytoplasmic surface of the cell membrane. Phosphatidylserine exposure on the outer leaflet was detected using the Annexin V-FITC Apoptosis Detection kit (Calbiochem; EMD Chemicals Inc., Darmstadt, Germany). Annexin V and PI solution were added to the cell preparations, and incubation was carried out for 25 min in the dark. Binding buffer (400 μl) was then added to each tube, and the samples were analyzed by flow cytometry.

Cytochrome c release assay

Release of cytochrome c from the mitochondria to the cytosol was measured by immunoblotting assay. To detect the cytochrome c release, the cell lysates were centrifuged at 100,000 rpm for 30 min at 4°C in order to obtain the supernatant (cytosolic fraction) and the pellet (fraction that contains the mitochondria). Proteins (25 μg/well) denatured with sample buffer were separated by 12% SDS-polyacrylamide gel and analyzed by immunoblot assay using anti-cytochrome c antibody (Santa Cruz Biotechnology, Inc., Santa Cruz, CA, USA).

Immunoblot assay

Cells were lysed in RIPA buffer (1% NP-40, 150 mM NaCl, 0.05% DOC, 1% SDS, 50 mM Tris; pH 7.5) containing protease inhibitor at 4°C for 1 h. The supernatant was separated by centrifugation, and protein concentration was determined using the Bradford protein assay kit II (Bio-Rad). Proteins (25 μg/well) denatured with sample buffer were separated by 10% SDS-polyacrylamide gel. Proteins were transferred onto 0.45-μm nitrocellulose membranes. The membranes were blocked with a 1% BSA solution for 3 h and washed twice with PBS containing 0.2% Tween-20, and incubated with the primary antibody at 4°C overnight. Antibodies against CDK1, cyclin A, cyclin B, Bcl-2, Bax, precursor caspase-3, cleaved caspase-3, cytochrome c and β-actin (all from Santa Cruz Biotechnology, Inc.) were used to probe the separate membranes. On the next day, the immunoreaction was continued using the secondary goat anti-rabbit horseradish peroxidase-conjugated antibody after washing for 2 h at room temperature. The specific protein bands were detected using the Opti-4CN substrate kit (Bio-Rad).

Statistical analyses

All values are expressed as the means ± SD. Data were analyzed by unpaired Student’s t-test or one-way analysis of variance followed by Dunnett’s multiple comparison test (SigmaStat; Jandel, San Rafael, CA, USA). For all comparisons, differences were considered statistically significant at P<0.05.

Results

Effect of O-DMA on cell proliferation of Hep3B cells

The antiproliferative effect of O-DMA was determined using an MTT assay in human HCC Hep3B cells exposed to O-DMA at various concentrations (5, 10, 25, 50, 75, 100, 125, 150 and 200 μM) for 24, 48 and 72 h (Fig. 2). O-DMA significantly reduced cell proliferation in a dose- and time-dependent manner (P<0.05), but inhibition of the cell proliferation increased significantly after 72 h. The IC50 values at 48 and 72 h were 135.02 and 106.14 μM, respectively. To compare O-DMA with the precursor daidzein, we investigated the anti-proliferative activity of daidzein under the same conditions. We found that daidzein had a higher IC50 (4.7-fold higher compared to O-DMA) at 24 h. The IC50 values at 48 and 72 h were 243.2 and 258.2 μM, respectively.

Figure 2

Antiproliferative activity of (A) O-DMA and (B) daidzein. Hep3B cells were exposed to either vehicle or O-DMA (5–200 μM) and incubated for 24, 48 and 72 h. All data are reported as the percentage of change in comparison with the vehicle-only group, which was arbitrarily assigned 100% viability. *P<0.005, significantly different from the vehicle-only group (0.1% DMSO in medium).

Effect of O-DMA on the cell cycle distribution of Hep3B cells

Based on these results, the IC50 concentration after 72 h exposure to O-DMA was used to verify cell cycle arrest. After exposure of Hep3B cells to O-DMA, the proportion of G1 phase cells was decreased by 15.9%, and the proportion of S and G2/M-phase cells was significantly increased by 40.7 and 45.4%, respectively, compared with control cells (Fig. 3A, P<0.05). With respect to G2/M-related proteins, reduced CDK1 expression and slightly increased cyclin A and B was noted in the Hep3B cells following O-DMA treatment (Fig. 3B).

Figure 3

G/M phase arrest by O-DMA and its related gene expression. (A) Hep3B cells were exposed to either vehicle (0.1% DMSO in medium) or O-DMA at IC50 for 72 h. Cell cycle distribution was determined by FACS analysis using PI staining to measure DNA content. Data are expressed as the means ± SD from 4 independent experiments. Values are expressed as the percentage of the cell population in the G1, S and G1/M phase of the cell cycle. (B) Expression of G/M phase-related genes was determined by immunoblot assay. *P<0.005, significantly different from the vehicle-only group (0.1% DMSO in medium).

Under the same conditions, exposure to O-DMA significantly shifted the cell populations (Fig. 4A). The percentages of early and late apoptotic cells were 27.4 and 6.1%, respectively, in Hep3B cells exposed to O-DMA. Moreover, small DNA fragments in the sub-G1 phase increased by 18.5% after O-DMA treatment (Fig. 3A).

Figure 4

Induction of apoptosis by O-DMA. (A) Hep3B cells were exposed to either vehicle (0.1% DMSO in medium) or O-DMA at an IC50 concentration for 72 h. The apoptotic cell population was determined by Annexin V assay. (B and C) Expression of apoptosis-related genes was determined by immunoblot assay. To determine the levels of cytochrome c, mitochondrial as well as cytosolic fractions were used in the immunoblot assay.

Effect of O-DMA on the expression of apoptosis-related genes in Hep3B cells

O-DMA had an effect on Bcl-2, Bax and caspase-3 expression, as well as cytochrome c release (Fig. 4B and C). Apoptosis induced by O-DAM decreased Bcl-2 and increased Bax expression levels. Moreover, the increase in cytochrome c release induced by O-DMA suggests that O-DAM triggers caspase-activated apoptosis. The caspase-3 cleavage product was also observed after O-DMA treatment.

Discussion

HCC is a global health problem. According to GLOBOCAN 2008 estimates (16), HCC is the fifth and seventh most common cancer, and the second and sixth most fatal cancer in men and women, respectively (17).

In the present study, we first examined the antiproliferative effect of O-DMA on human HCC Hep3B cells to investigate its anticancer activity. O-DMA demonstrated antiproliferative activity in a dose- and time-dependent manner, and its IC50 value was significantly lower than that of its precursor, daidzein. Moreover, daidzein stimulated cell growth at concentrations lower than 50 μM after 24 h, consistent with previous reports stating that daidzein may have biphasic effects on the growth of several types of cancer cells (18,19). This observation is explained by the hypothesis that phytoestrogens, which are plant-derived, are structurally similar to estradiol (17β-estradiol) and bind to estrogen receptors (ERs) such as daidzein and its metabolite equol. This can stimulate or inhibit cell proliferation by functioning as an estrogen agonist or antagonist (20–22). Alternatively, O-DMA has a very weak affinity to the ERs (23–25), and O-DMA was shown to reduce the proliferation of breast cancer MCF-7 cells in an estrogen-independent manner (18).

Although O-DMA and daidzein have similar effects at higher concentrations after 72 h, the fact that daidzein stimulates cell proliferation under certain conditions (as an estrogenic) suggests that O-DMA may be a good anticancer agent. However, O-DMA exposure at an IC50 concentration for 72 h caused cell cycle arrest at the G2/M phase and subsequent apoptosis, which may be an issue for its use in cancer chemotherapy.

O-DMA reduces CDK1 (Cdc2) and increases cyclin A and B, which may explain the G/M phase arrest. G2/M transition controls the onset of mitosis and is regulated by cyclin A (in the earlier stages) and the CDK1-cyclin B complex (at later stages) (26). CDK is often mutated, deleted or silenced in cancer, leading to the search for small-molecule CDK inhibitors in cancer therapy (27–29).

O-DMA treatment induced apoptosis in Hep3 cells, confirming the sub-G1 peak and the shift in cell populations shown by the Annexin V assay. Note that the main mechanism of apoptosis induction by O-DMA may not involve the p53 pathway since Hep3B is a p53-deficient cell line. In our preliminary experiments, O-DMA at concentrations over 100 μM significantly inhibited approximately 30% of cell viability of HepG2 cells. However, at concentrations lower than 100 μM, cell growth was not affected by the addition of O-DMA (data not shown). Generally, HepG2 cells are highly susceptible to chemical agents and drugs, while Hep3B cells are more resistance (30,31). Therefore, the significant anticancer effect of O-DAM in Hep3B cells supports its use as a cancer drug candidate.

In addition, expression of Bcl-2 decreased while Bax increased in the Hep3B cells after exposure to O-DMA. Members of the Bcl-2 family of proteins are critical regulators of the apoptotic pathway, controlling mitochondrial permeability and cytochrome c expression (32,33). These proteins include major anti-apoptotic family members, Bcl-2 and Bcl-xL, and the major pro-apoptotic proteins, Bax and Bak. This is consistent with the anticancer mechanism of daidzein involving the modulation of Bcl and Bax in several cancer cell lines such as breast, prostate and head and neck (7,34,35).

Additionally, O-DMA induced cytochrome c release and decreased the expression of a caspase-3 precursor. Release of cytochrome c from the mitochondria to the cytoplasm is a key step in the initiation of mitochondrial-dependent apoptosis (36). As a downstream product of cytochrome c, caspases are critical mediators of the principal factors found in apoptotic cells. Among them, caspase-3 is a frequently activated death protease, catalyzing the specific cleavage of many cellular proteins (37,38).

In conclusion, our results demonstrated that O-DMA inhibited cancer cell growth via cell cycle arrest and apoptosis in HCC Hep3B cells. O-DMA-treated cells were arrested at the G2/M phase, which was accompanied by a reduction in CDK1. Downregulation of Bcl-2 and upregulation of Bax led to cytochrome c release from the mitochondria and activation of caspase-3. These findings indicate that O-DMA is a promising anticancer drug candidate.

Acknowledgements

This research was supported by the Basic Research Program through the National Research Foundation of Korea (NRF) funded by the Ministry of Education, Science and Technology (2012-0006811 and 2012-041653).

References

1 

L’homme R, Brouwers E, Al-Maharik N, Lapcík O, Hampl R, Mikola H, Wähälä K and Adlercreutz H: Time-resolved fluoroimmunoassay of plasma and urine O-desmethylangolensin. J Steroid Biochem Mol Biol. 81:353–361. 2002.

2 

Heinonen S, Wähälä K and Adlercreutz H: Identification of isoflavone metabolites dihydrodaidzein, dihydrogenistein, 6’-OH-O-dma, and cis-4-OH-equol in human urine by gas chromatography-mass spectroscopy using authentic reference compounds. Anal Biochem. 274:211–219. 1999.PubMed/NCBI

3 

Hwang J, Wang J, Morazzoni P, Hodis HN and Sevanian A: The phytoestrogen equol increases nitric oxide availability by inhibiting superoxide production: an antioxidant mechanism for cell-mediated LDL modification. Free Radic Biol Med. 34:1271–1282. 2003. View Article : Google Scholar : PubMed/NCBI

4 

Turner R, Baron T, Wolffram S, Minihane AM, Cassidy A, Rimbach G and Weinberg PD: Effect of circulating forms of soy isoflavones on the oxidation of low density lipoprotein. Free Radic Res. 38:209–216. 2004. View Article : Google Scholar : PubMed/NCBI

5 

Rüfer CE and Kulling SE: Antioxidant activity of isoflavones and their major metabolites using different in vitro assays. J Agric Food Chem. 54:2926–2931. 2006.PubMed/NCBI

6 

Choi EJ and Kim GH: Daidzein causes cell cycle arrest at the G1 and G2/M phases in human breast cancer MCF-7 and MDA-MB-453 cells. Phytomedicine. 15:683–690. 2008. View Article : Google Scholar : PubMed/NCBI

7 

Jin S, Zhang QY, Kang XM, Wang JX and Zhao WH: Daidzein induces MCF-7 breast cancer cell apoptosis via the mitochondrial pathway. Ann Oncol. 21:263–268. 2010. View Article : Google Scholar : PubMed/NCBI

8 

Green JM, Alvero AB, Kohen F and Mor G: 7-(O)-Carboxymethyl daidzein conjugated to N-t-Boc-hexylenediamine: a novel compound capable of inducing cell death in epithelial ovarian cancer stem cells. Cancer Biol Ther. 8:1747–1753. 2009. View Article : Google Scholar : PubMed/NCBI

9 

Gercel-Taylor C, Feitelson AK and Taylor DD: Inhibitory effect of genistein and daidzein on ovarian cancer cell growth. Anticancer Res. 24:795–800. 2004.PubMed/NCBI

10 

Rabiau N, Kossaï M, Braud M, Chalabi N, Satih S, Bignon YJ and Bernard-Gallon DJ: Genistein and daidzein act on a panel of genes implicated in cell cycle and angiogenesis by polymerase chain reaction arrays in human prostate cancer cell lines. Cancer Epidemiol. 34:200–206. 2010. View Article : Google Scholar : PubMed/NCBI

11 

Su SJ, Chow NH, Kung ML, Hung TC and Chang KL: Effects of soy isoflavones on apoptosis induction and G2-M arrest in human hepatoma cells involvement of caspase-3 activation, Bcl-2 and Bcl-XL downregulation, and Cdc2 kinase activity. Nutr Cancer. 45:113–123. 2003. View Article : Google Scholar : PubMed/NCBI

12 

Borradaile NM, de Dreu LE, Wilcox LJ, Edwards JY and Huff MW: Soya phytoestrogens, genistein and daidzein, decrease apolipoprotein B secretion from HepG2 cells through multiple mechanisms. Biochem J. 366:531–539. 2002. View Article : Google Scholar : PubMed/NCBI

13 

Jiang Q, Payton-Stewart F, Elliott S, Driver J, Rhodes LV, Zhang Q, Zheng S, Bhatnagar D, Boue SM, Collins-Burow BM, Sridhar J, Stevens C, McLachlan JA, Wiese TE, Burow ME and Wang G: Effects of 7-O substitutions on estrogenic and anti-estrogenic activities of daidzein analogues in MCF-7 breast cancer cells. J Med Chem. 53:6153–6163. 2010. View Article : Google Scholar : PubMed/NCBI

14 

Singh-Gupta V, Zhang H, Yunker CK, Ahmad Z, Zwier D, Sarkar FH and Hillman GG: Daidzein effect on hormone refractory prostate cancer in vitro and in vivo compared to genistein and soy extract: potentiation of radiotherapy. Pharm Res. 27:1115–1127. 2010. View Article : Google Scholar : PubMed/NCBI

15 

Guo JM, Xiao BX, Dai DJ, Liu Q and Ma HH: Effects of daidzein on estrogen-receptor-positive and -negative pancreatic cancer cells in vitro. World J Gastroenterol. 10:860–863. 2004.PubMed/NCBI

16 

Ferlay J, Shin HR, Bray F, Forman D, Mathers C and Parkin DM: Estimates of worldwide burden of cancer in 2008: GLOBOCAN 2008. Int J Cancer. 127:2893–2917. 2010. View Article : Google Scholar : PubMed/NCBI

17 

Jemal A, Bray F, Center MM, Ferlay J, Ward E and Forman D: Global cancer statistics. CA Cancer J Clin. 61:69–90. 2011. View Article : Google Scholar

18 

Schmitt E, Dekant W and Stopper H: Assaying the estrogenicity of phytoestrogens in cells of different estrogen sensitive tissues. Toxicol In Vitro. 15:433–439. 2001. View Article : Google Scholar : PubMed/NCBI

19 

Guo JM, Xiao BX, Liu DH, Grant M, Zhang S, Lai YF, Guo YB and Liu Q: Biphasic effect of daidzein on cell growth of human colon cancer cells. Food Chem Toxicol. 42:1641–1646. 2004. View Article : Google Scholar : PubMed/NCBI

20 

Magee PJ and Rowland IR: Phyto-oestrogens, their mechanism of action: current evidence for a role in breast and prostate cancer. Br J Nutr. 91:513–531. 2004. View Article : Google Scholar : PubMed/NCBI

21 

Gogel WC and Tietz JD: Absence of compensation and reasoning-like processes in the perception of orientation in depth. Percept Psychophys. 51:309–318. 1992. View Article : Google Scholar : PubMed/NCBI

22 

Bingham SA, Atkinson C, Liggins J, Bluck L and Coward A: Phyto-oestrogens: where are we now? Br J Nutr. 79:393–406. 1998. View Article : Google Scholar : PubMed/NCBI

23 

Tang BY and Adams NR: Effect of equol on oestrogen receptors and on synthesis of DNA and protein in the immature rat uterus. J Endocrinol. 85:291–297. 1980. View Article : Google Scholar : PubMed/NCBI

24 

Shutt DA and Cox RI: Steroid and phyto-oestrogen binding to sheep uterine receptors in vitro. J Endocrinol. 52:299–310. 1972. View Article : Google Scholar : PubMed/NCBI

25 

Pfitscher A, Reiter E and Jungbauer A: Receptor binding and transactivation activities of red clover isoflavones and their metabolites. J Steroid Biochem Mol Biol. 112:87–94. 2008. View Article : Google Scholar : PubMed/NCBI

26 

Shackelford RE, Kaufmann WK and Paules RS: Oxidative stress and cell cycle checkpoint function. Free Radic Biol Med. 28:1387–1404. 2000.PubMed/NCBI

27 

Hunter T and Cooper JA: Protein-tyrosine kinases. Annu Rev Biochem. 54:897–930. 1985. View Article : Google Scholar

28 

Collins I and Garrett MD: Targeting the cell division cycle in cancer: CDK and cell cycle checkpoint kinase inhibitors. Curr Opin Pharmacol. 5:366–373. 2005. View Article : Google Scholar : PubMed/NCBI

29 

Sandhu C and Slingerland J: Deregulation of the cell cycle in cancer. Cancer Detect Prev. 24:107–118. 2000.PubMed/NCBI

30 

Chi TY, Chen GG and Lai PB: Eicosapentaenoic acid induces Fas-mediated apoptosis through a p53-dependent pathway in hepatoma cells. Cancer J. 10:190–200. 2004. View Article : Google Scholar : PubMed/NCBI

31 

Murakami Y, Hayashi K, Hirohashi S and Sekiya T: Aberrations of the tumor suppressor p53 and retinoblastoma genes in human hepatocellular carcinomas. Cancer Res. 51:5520–5525. 1991.PubMed/NCBI

32 

Oakes SA, Lin SS and Bassik MC: The control of endoplasmic reticulum-initiated apoptosis by the BCL-2 family of proteins. Curr Mol Med. 6:99–109. 2006. View Article : Google Scholar : PubMed/NCBI

33 

van Delft MF and Huang DC: How the Bcl-2 family of proteins interact to regulate apoptosis. Cell Res. 16:203–213. 2006.PubMed/NCBI

34 

Alonso V, Pérez-Martínez FC, Calahorra FJ and Esbrit P: Phytoestrogen modulation of bone-related cytokines and its impact on cell viability in human prostate cancer cells. Life Sci. 85:421–430. 2009. View Article : Google Scholar : PubMed/NCBI

35 

Alhasan SA, Ensley JF and Sarkar FH: Genistein induced molecular changes in a squamous cell carcinoma of the head and neck cell line. Int J Oncol. 16:333–338. 2000.PubMed/NCBI

36 

Jiang X and Wang X: Cytochrome C-mediated apoptosis. Annu Rev Biochem. 73:87–106. 2004. View Article : Google Scholar

37 

Porter AG and Jänicke RU: Emerging roles of caspase-3 in apoptosis. Cell Death Differ. 6:99–104. 1999. View Article : Google Scholar : PubMed/NCBI

38 

Abu-Qare AW and Abou-Donia MB: Biomarkers of apoptosis: release of cytochrome c, activation of caspase-3, induction of 8-hydroxy-2’-deoxyguanosine, increased 3-nitrotyrosine, and alteration of p53 gene. J Toxicol Environ Health B Crit Rev. 4:313–332. 2004.PubMed/NCBI

Related Articles

  • Abstract
  • View
  • Download
  • Twitter
Copy and paste a formatted citation
Spandidos Publications style
Choi EJ, Lee J and Kim G: Anticancer effects of O-desmethylangolensin are mediated through cell cycle arrest at the G2/M phase and mitochondrial-dependent apoptosis in Hep3B human hepatocellular carcinoma cells. Int J Mol Med 31: 726-730, 2013.
APA
Choi, E.J., Lee, J., & Kim, G. (2013). Anticancer effects of O-desmethylangolensin are mediated through cell cycle arrest at the G2/M phase and mitochondrial-dependent apoptosis in Hep3B human hepatocellular carcinoma cells. International Journal of Molecular Medicine, 31, 726-730. https://doi.org/10.3892/ijmm.2013.1230
MLA
Choi, E. J., Lee, J., Kim, G."Anticancer effects of O-desmethylangolensin are mediated through cell cycle arrest at the G2/M phase and mitochondrial-dependent apoptosis in Hep3B human hepatocellular carcinoma cells". International Journal of Molecular Medicine 31.3 (2013): 726-730.
Chicago
Choi, E. J., Lee, J., Kim, G."Anticancer effects of O-desmethylangolensin are mediated through cell cycle arrest at the G2/M phase and mitochondrial-dependent apoptosis in Hep3B human hepatocellular carcinoma cells". International Journal of Molecular Medicine 31, no. 3 (2013): 726-730. https://doi.org/10.3892/ijmm.2013.1230
Copy and paste a formatted citation
x
Spandidos Publications style
Choi EJ, Lee J and Kim G: Anticancer effects of O-desmethylangolensin are mediated through cell cycle arrest at the G2/M phase and mitochondrial-dependent apoptosis in Hep3B human hepatocellular carcinoma cells. Int J Mol Med 31: 726-730, 2013.
APA
Choi, E.J., Lee, J., & Kim, G. (2013). Anticancer effects of O-desmethylangolensin are mediated through cell cycle arrest at the G2/M phase and mitochondrial-dependent apoptosis in Hep3B human hepatocellular carcinoma cells. International Journal of Molecular Medicine, 31, 726-730. https://doi.org/10.3892/ijmm.2013.1230
MLA
Choi, E. J., Lee, J., Kim, G."Anticancer effects of O-desmethylangolensin are mediated through cell cycle arrest at the G2/M phase and mitochondrial-dependent apoptosis in Hep3B human hepatocellular carcinoma cells". International Journal of Molecular Medicine 31.3 (2013): 726-730.
Chicago
Choi, E. J., Lee, J., Kim, G."Anticancer effects of O-desmethylangolensin are mediated through cell cycle arrest at the G2/M phase and mitochondrial-dependent apoptosis in Hep3B human hepatocellular carcinoma cells". International Journal of Molecular Medicine 31, no. 3 (2013): 726-730. https://doi.org/10.3892/ijmm.2013.1230
Follow us
  • Twitter
  • LinkedIn
  • Facebook
About
  • Spandidos Publications
  • Careers
  • Cookie Policy
  • Privacy Policy
How can we help?
  • Help
  • Live Chat
  • Contact
  • Email to our Support Team