Spandidos Publications Logo
  • About
    • About Spandidos
    • Aims and Scopes
    • Abstracting and Indexing
    • Editorial Policies
    • Reprints and Permissions
    • Job Opportunities
    • Terms and Conditions
    • Contact
  • Journals
    • All Journals
    • Oncology Letters
      • Oncology Letters
      • Information for Authors
      • Editorial Policies
      • Editorial Board
      • Aims and Scope
      • Abstracting and Indexing
      • Bibliographic Information
      • Archive
    • International Journal of Oncology
      • International Journal of Oncology
      • Information for Authors
      • Editorial Policies
      • Editorial Board
      • Aims and Scope
      • Abstracting and Indexing
      • Bibliographic Information
      • Archive
    • Molecular and Clinical Oncology
      • Molecular and Clinical Oncology
      • Information for Authors
      • Editorial Policies
      • Editorial Board
      • Aims and Scope
      • Abstracting and Indexing
      • Bibliographic Information
      • Archive
    • Experimental and Therapeutic Medicine
      • Experimental and Therapeutic Medicine
      • Information for Authors
      • Editorial Policies
      • Editorial Board
      • Aims and Scope
      • Abstracting and Indexing
      • Bibliographic Information
      • Archive
    • International Journal of Molecular Medicine
      • International Journal of Molecular Medicine
      • Information for Authors
      • Editorial Policies
      • Editorial Board
      • Aims and Scope
      • Abstracting and Indexing
      • Bibliographic Information
      • Archive
    • Biomedical Reports
      • Biomedical Reports
      • Information for Authors
      • Editorial Policies
      • Editorial Board
      • Aims and Scope
      • Abstracting and Indexing
      • Bibliographic Information
      • Archive
    • Oncology Reports
      • Oncology Reports
      • Information for Authors
      • Editorial Policies
      • Editorial Board
      • Aims and Scope
      • Abstracting and Indexing
      • Bibliographic Information
      • Archive
    • Molecular Medicine Reports
      • Molecular Medicine Reports
      • Information for Authors
      • Editorial Policies
      • Editorial Board
      • Aims and Scope
      • Abstracting and Indexing
      • Bibliographic Information
      • Archive
    • World Academy of Sciences Journal
      • World Academy of Sciences Journal
      • Information for Authors
      • Editorial Policies
      • Editorial Board
      • Aims and Scope
      • Abstracting and Indexing
      • Bibliographic Information
      • Archive
    • International Journal of Functional Nutrition
      • International Journal of Functional Nutrition
      • Information for Authors
      • Editorial Policies
      • Editorial Board
      • Aims and Scope
      • Abstracting and Indexing
      • Bibliographic Information
      • Archive
    • International Journal of Epigenetics
      • International Journal of Epigenetics
      • Information for Authors
      • Editorial Policies
      • Editorial Board
      • Aims and Scope
      • Abstracting and Indexing
      • Bibliographic Information
      • Archive
    • Medicine International
      • Medicine International
      • Information for Authors
      • Editorial Policies
      • Editorial Board
      • Aims and Scope
      • Abstracting and Indexing
      • Bibliographic Information
      • Archive
  • Articles
  • Information
    • Information for Authors
    • Information for Reviewers
    • Information for Librarians
    • Information for Advertisers
    • Conferences
  • Language Editing
Spandidos Publications Logo
  • About
    • About Spandidos
    • Aims and Scopes
    • Abstracting and Indexing
    • Editorial Policies
    • Reprints and Permissions
    • Job Opportunities
    • Terms and Conditions
    • Contact
  • Journals
    • All Journals
    • Biomedical Reports
      • Information for Authors
      • Editorial Policies
      • Editorial Board
      • Aims and Scope
      • Abstracting and Indexing
      • Bibliographic Information
      • Archive
    • Experimental and Therapeutic Medicine
      • Information for Authors
      • Editorial Policies
      • Editorial Board
      • Aims and Scope
      • Abstracting and Indexing
      • Bibliographic Information
      • Archive
    • International Journal of Epigenetics
      • Information for Authors
      • Editorial Policies
      • Editorial Board
      • Aims and Scope
      • Abstracting and Indexing
      • Bibliographic Information
      • Archive
    • International Journal of Functional Nutrition
      • Information for Authors
      • Editorial Policies
      • Editorial Board
      • Aims and Scope
      • Abstracting and Indexing
      • Bibliographic Information
      • Archive
    • International Journal of Molecular Medicine
      • Information for Authors
      • Editorial Policies
      • Editorial Board
      • Aims and Scope
      • Abstracting and Indexing
      • Bibliographic Information
      • Archive
    • International Journal of Oncology
      • Information for Authors
      • Editorial Policies
      • Editorial Board
      • Aims and Scope
      • Abstracting and Indexing
      • Bibliographic Information
      • Archive
    • Medicine International
      • Information for Authors
      • Editorial Policies
      • Editorial Board
      • Aims and Scope
      • Abstracting and Indexing
      • Bibliographic Information
      • Archive
    • Molecular and Clinical Oncology
      • Information for Authors
      • Editorial Policies
      • Editorial Board
      • Aims and Scope
      • Abstracting and Indexing
      • Bibliographic Information
      • Archive
    • Molecular Medicine Reports
      • Information for Authors
      • Editorial Policies
      • Editorial Board
      • Aims and Scope
      • Abstracting and Indexing
      • Bibliographic Information
      • Archive
    • Oncology Letters
      • Information for Authors
      • Editorial Policies
      • Editorial Board
      • Aims and Scope
      • Abstracting and Indexing
      • Bibliographic Information
      • Archive
    • Oncology Reports
      • Information for Authors
      • Editorial Policies
      • Editorial Board
      • Aims and Scope
      • Abstracting and Indexing
      • Bibliographic Information
      • Archive
    • World Academy of Sciences Journal
      • Information for Authors
      • Editorial Policies
      • Editorial Board
      • Aims and Scope
      • Abstracting and Indexing
      • Bibliographic Information
      • Archive
  • Articles
  • Information
    • For Authors
    • For Reviewers
    • For Librarians
    • For Advertisers
    • Conferences
  • Language Editing
Login Register Submit
  • This site uses cookies
  • You can change your cookie settings at any time by following the instructions in our Cookie Policy. To find out more, you may read our Privacy Policy.

    I agree
Search articles by DOI, keyword, author or affiliation
Search
Advanced Search
presentation
International Journal of Molecular Medicine
Join Editorial Board Propose a Special Issue
Print ISSN: 1107-3756 Online ISSN: 1791-244X
Journal Cover
August-2018 Volume 42 Issue 2

Full Size Image

Sign up for eToc alerts
Recommend to Library

Journals

International Journal of Molecular Medicine

International Journal of Molecular Medicine

International Journal of Molecular Medicine is an international journal devoted to molecular mechanisms of human disease.

International Journal of Oncology

International Journal of Oncology

International Journal of Oncology is an international journal devoted to oncology research and cancer treatment.

Molecular Medicine Reports

Molecular Medicine Reports

Covers molecular medicine topics such as pharmacology, pathology, genetics, neuroscience, infectious diseases, molecular cardiology, and molecular surgery.

Oncology Reports

Oncology Reports

Oncology Reports is an international journal devoted to fundamental and applied research in Oncology.

Experimental and Therapeutic Medicine

Experimental and Therapeutic Medicine

Experimental and Therapeutic Medicine is an international journal devoted to laboratory and clinical medicine.

Oncology Letters

Oncology Letters

Oncology Letters is an international journal devoted to Experimental and Clinical Oncology.

Biomedical Reports

Biomedical Reports

Explores a wide range of biological and medical fields, including pharmacology, genetics, microbiology, neuroscience, and molecular cardiology.

Molecular and Clinical Oncology

Molecular and Clinical Oncology

International journal addressing all aspects of oncology research, from tumorigenesis and oncogenes to chemotherapy and metastasis.

World Academy of Sciences Journal

World Academy of Sciences Journal

Multidisciplinary open-access journal spanning biochemistry, genetics, neuroscience, environmental health, and synthetic biology.

International Journal of Functional Nutrition

International Journal of Functional Nutrition

Open-access journal combining biochemistry, pharmacology, immunology, and genetics to advance health through functional nutrition.

International Journal of Epigenetics

International Journal of Epigenetics

Publishes open-access research on using epigenetics to advance understanding and treatment of human disease.

Medicine International

Medicine International

An International Open Access Journal Devoted to General Medicine.

Journal Cover
August-2018 Volume 42 Issue 2

Full Size Image

Sign up for eToc alerts
Recommend to Library

  • Article
  • Citations
    • Cite This Article
    • Download Citation
    • Create Citation Alert
    • Remove Citation Alert
    • Cited By
  • Similar Articles
    • Related Articles (in Spandidos Publications)
    • Similar Articles (Google Scholar)
    • Similar Articles (PubMed)
  • Download PDF
  • Download XML
  • View XML
Article

CTRP9 ameliorates cellular senescence via PGC‑1α/AMPK signaling in mesenchymal stem cells

  • Authors:
    • Qun Li
    • Zhangzhang Zhu
    • Chengde Wang
    • Lin Cai
    • Jianglong Lu
    • Yongchun Wang
    • Jiadong Xu
    • Zhipeng Su
    • Weiming Zheng
    • Xianbin Chen
  • View Affiliations / Copyright

    Affiliations: Department of Neurosurgery, First Affiliated Hospital, Wenzhou Medical University, Wenzhou, Zhejiang 325000, P.R. China
  • Pages: 1054-1063
    |
    Published online on: May 9, 2018
       https://doi.org/10.3892/ijmm.2018.3666
  • Expand metrics +
Metrics: Total Views: 0 (Spandidos Publications: | PMC Statistics: )
Metrics: Total PDF Downloads: 0 (Spandidos Publications: | PMC Statistics: )
Cited By (CrossRef): 0 citations Loading Articles...

This article is mentioned in:



Abstract

Stroke is the second most common cause of death worldwide, and thus, it imposes great financial burdens on both individuals and society. Mesenchymal stem cell (MSC) therapy is a promising approach for ischemic brain injury. However, MSC treatment potential is progressively reduced with age, limiting their therapeutic efficacy for brain repair post‑stroke. C1q and tumor necrosis factor‑related protein 9 (CTRP9) is a novel cytoprotective cytokine with antioxidant effects, which is highly expressed in brain tissue. The present study tested the hypothesis that CTRP9 might act as an antisenescence factor to promote the rejuvenation of aged MSCs. MSCs were isolated from the bone marrow of young (8‑weeks‑old) and aged (18‑months‑old) male C57BL/6 mice. Cell proliferation was measured by Cell Counting Kit‑8 assay and cell viability was determined by MTT assay. Gene expression levels of interleukin (IL)‑6 and IL‑10 were evaluated with reverse transcription‑quantitative polymerase chain reaction, and secretion of vascular endothelial growth factor, basic fibroblast growth factor, hepatocyte growth factor, and insulin‑like growth factor were measured by ELISA. The expression levels of proteins in the peroxisome proliferator‑activated receptor γcoactivator (PGC)‑1α/AMP‑activated protein kinase (AMPK) signaling pathway were investigated with western blotting. Oxidative stress was evaluated by detecting mitochondrial membrane potential, reactive oxygen species, superoxide dismutase activity and malondialdehyde. MSCs isolated from aged mice exhibited reduced proliferation and viability, and impaired immunoregulatory and paracrine abilities, compared with MSCs from younger mice. CTRP9 had a significant antisenescence effect in aged MSCs by activating PGC‑1α/AMPK signaling and decreasing the oxidative response. Silencing either PGC‑1α or AMPK abolished the above effects of CTRP9. These results suggest that CTRP9 may have a critical role in cellular senescence by facilitating stem cell rejuvenation, and may therefore have the potential to enhance the efficacy of stem cell therapy.

Introduction

Stroke is a multi-factorial polygenic disease and a major cause of death and adult disability (1). Administration of bone marrow stem cells has been demonstrated to protect ischemic rat brain by facilitating the recovery of neurological functions, reducing lesion size, and improving functional outcomes (2). Transplanted mesenchymal stem cells (MSCs) have also been demonstrated to promote the repair of damaged brain tissue by differentiating into cells of neuronal or glial lineage, regulating the immune response, and by the release of trophic factors that stimulate endogenous repair processes, such as neurogenesis, angiogenesis, and synaptogenesis (3). However, the application of MSCs can be complicated by patient-specific factors, such as age (4). Stem cell function generally declines with age, accompanied by reductions in cell number and in the proliferation and differentiation potential of MSCs, with subsequent impairments in their therapeutic effects in ischemic diseases (5,6). Age is known to be the principal non-modifiable risk factor for stroke (7), and it is therefore essential to identify effective methods for rejuvenating senescent MSCs derived from older donors, in order to improve their therapeutic efficacy for patients with ischemic stroke.

Adiponectin (APN) is an adipocytokine with a collagenous domain and a C-terminal globular domain, which is predominantly secreted by adipose tissues (8). APN has been demonstrated to protect against ischemic injury (9). AmongC1q and tumor necrosis factor-related protein (CTRP) family members, CTRP9 displays the highest amino acid identity to APN. CRTP9 is also highly expressed in brain tissue (10), and acts as an adipocytokine with beneficial effects on glucose metabolism, cellular survival, oxidant response regulation, and inhibition of endoplasmic reticulum stress, all of which are related to the cellular senescence process (11–13). However, the effect of exogenous CTRP9 on cellular senescence in MSCs, which adversely affects the function of engrafted stem cells, has never been studied.

AMP-activated protein kinase (AMPK) is an evolutionarily conserved kinase that serves a central role in maintaining the cellular metabolic balance (14). AMPK initiates biological changes aimed at restoring cellular energy balance under conditions of energetic stress, which are related to cellular senescence (15,16). In addition, AMPK activation has also been demonstrated to increase the lifespan and to the improve metabolism (17), while activation of the AMPK/mammalian target of rapamycin (mTOR) pathway attenuates age-related dementia (18). As an important target of CTRP9, AMPK exerts a cytoprotective effect by regulating the oxidant response and inhibiting endoplasmic reticulum stress (11,19). However, the involvement of AMPK in CTRP9-induced rejuvenation of aged MSCs remains unclear.

Induction of the oxidative response is implicated in cellular aging (4), and maintaining a delicate oxidative/antioxidative balance has been demonstrated to be critical for MSC maintenance and DNA integrity, as well as for preventing reactive oxygen species (ROS)-mediated cellular senescence (20). MSCs are normally quiescent with an inherently low metabolic rate, and generate low levels of ROS; however, ROS levels accumulate with age, leading to ROS-induced oxidative free radical damage and impaired cellular function, associated with reduced efficacy for treating ischemic diseases (21,22). CTRP9 is an effective antioxidant factor that has been reported to ameliorate endothelial dysfunction via a peroxisome proliferator-activated receptor γ coactivator (PGC)-1α/AMPK-mediated antioxidant effect (19). These results suggested that this antioxidant capacity of CTRP9 may influence MSC aging.

The present study aimed to investigate the effect of CTRP9 on MSC senescence and the role of the PGC-1α/AMPK signaling pathway in CTRP9-induced rejuvenation in relation to age-related cellular impairments in MSCs.

Materials and methods

Reagents

X-tremeGENE HP DNA transfection reagent was purchased from Roche Diagnostics (Basel, Switzerland). Rabbit monoclonal antibodies against PGC-1α (1:1,000; cat. no. 2178), AMPK (1:1,000; cat. no. 5832), phospho-AMPK (1:1,000; cat. no. 50081), and β-actin (1:1,000; cat. no. 4970) were obtained from Cell Signaling Technology, Inc. (Danvers, MA, USA). Vascular endothelial growth factor (VEGF, cat. no. RAB0509), basic fibroblast growth factor (bFGF, cat. no. RAB0184), hepatocyte growth factor (HGF, cat. no. RAB0214), and insulin-like growth factor (IGF, cat. no. RAB0229) ELISA kits were purchased from Sigma-Aldrich (Merck KGaA, Darmstadt, Germany). Horseradish peroxidase-conjugated anti-rabbit secondary antibodies (1:1,000; sc-2357) were from Santa Cruz Biotechnology, Inc. (Dallas, TX, USA). Small interfering RNAs (siRNAs) targeting PGC-1α and AMPK transcripts were purchased from Thermo Fisher Scientific, Inc. (Waltham, MA, USA). Superoxide Dismutase (SOD) Activity Colorimetric assay and Lipid Peroxidation (malondialdehyde; MDA) assay kits were purchased from Abcam (Cambridge, UK). Human recombinant CTRP9 was obtained from Aviscera Bioscience Inc. (Santa Clara, CA, USA).

Animals

The young (8-weeks-old, n=12) and aged (18-months-old, n=12) male C57BL/6 mice were purchased from the Laboratory Animal Center of Wenzhou Medical University (Wenzhou, China). All procedures were approved by the Laboratory Animal Ethics Committee of Wenzhou Medical University. The mice were housed under a 12 h light/dark cycle at 21±2°C and 30–70% humidity. Food and water were provided ad libitum.

Cell culture and cell treatment

Bone marrow MSCs were isolated using a standard protocol, as described previously (23). Briefly, bone marrow was isolated from the femurs and tibias of mice by flushing with PBS. Adherent MSCs were propagated and maintained at 37°C and 5% CO2 in high glucose DMEM (HyClone; GE Healthcare Life Sciences, Logan, UT, USA) supplemented with 10% fetal bovine serum (HyClone; GE Healthcare Life Sciences) and 1% penicillin/streptomycin (Beyotime Institute of Biotechnology, Jiangsu, China).

For CTRP9 treatment, cells were cultured with medium containing 2 µg/ml of recombinant CTRP9 and incubated at 37°C for various periods, as described previously (13).

Cell proliferation assay

MSCs were plated at 1×104 cells/well in 96-well plates and cell proliferation was determined using a Cell Counting Kit-8 (CCK-8; HaiGene Technology, Harbin, China), according to the manufacturer's protocol. The absorbance of each well at 450 nm was recorded.

MTT assay

Cell viability was determined by MTT assay. Briefly, 300 µl of MTT reagent was added to each well 2 h prior to harvesting. The supernatant was then removed and the cells were incubated with 400 µl of dimethyl sulfoxide for 10 min. Absorbance at 540 nm was recorded using an ELISA plate reader.

Reverse transcription-quantitative polymerase chain reaction (RT-qPCR)

The expression levels of several genes were analyzed by RT-qPCR. RNA was extracted from cells using TRIzol reagent (Thermo Fisher Scientific, Inc.) and reverse transcribed using a First Strand cDNA Synthesis kit (Roche Diagnostics). qPCR was performed using Fast Start Universal SYBR Master reagent (Sigma-Aldrich; Merck KGaA). The samples were subjected to 40 cycles of amplification at 95°C for 15 sec followed by 63°C for 20 sec and 71°C for 25 sec by using specific primers. The quantification number of cycles (Cq) was set within the exponential phase of the PCR. The ΔCq value for each target gene was calculated by subtracting the Cq value for the GAPDH gene (internal control). Relative fold changes in mRNA expression were calculated using the formula 2−ΔΔCq (24). The primer pairs used to detect the mRNA levels of target genes are listed in Table I.

Table I

Sequences of primers used in the study.

Table I

Sequences of primers used in the study.

GenePrimerSequence (′5-3′)
IL-6Forward TCTATACCACTTCACAAGTCGGA
Reverse GAATTGCCATTGCACAACTCTTT
IL-10Forward GCCAACGAAGATCCTCCCCCGTAC
Reverse TAAGAGCAGGCAGCATAGCAGTGC
PGC1-αForward GGAACTGCAGGCCTAACTCC
Reverse TTGGAGCTGTTTTCTGGTGC
AMPKForward CTCTATGCTTTGCTGTGTGG
Reverse GGTCCTGGTGGTTTCTGTTG
Telomere lengthForward TGAAAGTAGAGGATTGCCACTG
Reverse AGCCAGAACAGGAACGTAGC
GAPDHForward AATCTCCACTTTGCCACTGC
Reverse ATGGTGAAGGTCGGTGTGA

[i] IL, interleukin; PGC1-α, peroxisome proliferator-activated receptor gcoactivator-1α; AMPK, AMP-activated protein kinase.

Western blot analysis

MSCs were lysed with ice-cold lysis buffer (Beyotime Institute of Biotechnology) to obtain total protein. Expression levels of PGC-1α, AMPK, phospho-AMPK and β-actin were evaluated by western blotting. Cellular extracts were prepared according to the manufacturer's instructions. Protein samples were quantified and separated by SDS-PAGE. Western blot assays were performed as described previously (22).

ELISA

Total concentrations of VEGF, bFGF, HGF and IGF proteins secreted by MSCs were assessed by ELISA, according to the manufacturer's protocol, as described previously (23). The absorbance of each well was quantified at 450 nm. Samples were analyzed in triplicate.

siRNA knockdown

MSCs were transfected using X-tremeGENE HP DNA Transfection Reagent, according to the manufacturer's protocol. Briefly, MSCs at 80% confluence were transfected with siRNA for 6 h at37°C. The transfection reagent-siRNA mixture was then replaced with fresh growth medium and the cells were harvested for further experiments at 72 h post-transfection. The siRNA sequences were: siRNA-PGC-1α, AAGACGGATTGCCCTCATTTG; siRNA-AMPK, CCAGGUCAUCAGUACACCAUCUGAU; and siRNA-NT (non-targeting control), TTCTCCGAACGTGTCACGT.

Relative telomere length measurement

Relative telomere length quantification in U87 cells was performed using a qPCR approach, as previously described (25). GAPDH was used as the normalizing gene. The primer pairs used to detect the telomere length are listed in Table I.

Relative telomerase activity measurement (RTA)

Telomerase activity of whole cell lysate was measured by a Telo TAGGG telomerase PCR ELISA PLUS kit (Roche Diagnostics GmbH, Penzberg, Germany). Cell lysates were centrifuged at 12,000 × g (20 min at 4°C) and 3 µl of cell extract was used for each telomeric repeat PCR amplification reaction and 3 µl of inactivated cell lysate was used for Telomeric Repeat Amplification Protocol (TRAP) reaction, according to the manufacturer's recommendations. The amount of TRAP products was determined with ELISA by measurement of absorbance at 450 nm using a microplate reader, as previously reported (26).

Mitochondrial membrane potential

Cells were grown in a 96-well microtiter plate at 37°C for 1 day in complete culture medium to a density of 1×104 cells per well. The cells were then washed with PBS and incubated at 37°C for 15 min with 5 µg/ml JC-1. After two wash cycles with PBS, the time-dependent JC-1 fluorescence was recorded using an ELISA plate reader. The fluorescent probe was excited at 490 nm and emission was measured at 530 and 590 nm.

SOD activity

SOD activity in cells was determined using a colorimetric assay kit (Abcam), according to the manufacturer's protocol. Briefly, protein was isolated from MSC susing lysis buffer, and SOD activity was measured in 10 µg of total protein extract. Absorbance was measured at 450 nm.

ROS measurement

Levels of intracellular ROS were determined using 2,7-dichlorodihydrofluorescein diacetate (Beyotime Institute of Biotechnology), following the manufacturer's instructions. The fluorescence intensity of the cells was measured using a fluorescence spectrophotometer, with excitation and emission wavelengths of 488 and 525 nm, respectively.

Lipid peroxidation assays

Lipid peroxidation was monitored using an assay kit (Abcam) to measure the formation of MDA, according to the manufacturer's protocol. Briefly, MSCs (1×106 cells) were homogenized on ice in 300 µl of MDA lysis buffer (with 3 µl of 100X butylated hydroxytoluene), then centrifuged (13,000 × g, 10 min) to remove insoluble material. The supernatant (200 µl) was added to 600 µl of thiobarbituric acid and incubated at 95°C for 60 min. The samples were cooled to room temperature in an ice bath for 10 min, and the absorbance at 532 nm was measured spectrophotometrically.

Statistical analysis

Data were expressed as mean ± standard deviation. Differences among groups were assessed by one-way analysis of variance followed by a Tukey's b test, and comparisons between two groups were evaluated with Student's t-tests, using SPSS package v19.0 (IBM Corp., Armonk, NY, USA). P<0.05 was considered to indicate a statistically significant difference.

Results

MSCs display degenerative properties during aging

MSC properties were compared between cells derived from young (8-weeks-old) and aged (18-months-old) male C57BL/6 mice. Cell proliferation rates measured by CCK-8 assay were significantly lower in aged MSCs after 1, 3, 5 and 7 days of culture, compared with the young MSCs (Fig. 1A). MTT assay also demonstrated impaired cellular viability in the aged group (Fig. 1B). The mRNA expression levels of IL-10 and IL-6 were reduced in aged MSCs compared with young MSCs (Fig. 1C and D). Finally, the levels of secreted VEGF, bFGF, HGF and IGF proteins were significantly decreased in aged compared with young MSCs, as evaluated by ELISA (Fig. 1E–H).

Figure 1

MSCs display degenerative properties during aging. (A) Proliferation of aged and young MSCs determined by CCK-8 proliferation assay. (B) Viability of aged and young MSCs analyzed with MTT assay. (C and D) mRNA expression levels of IL-6 and IL-10 in aged and young MSCs. (E–H) Secretion of (E) VEGF, (F) bFGF, (G) HGF and (H) IGF into the culture medium by young and aged MSC analyzed by ELISA. Data represent mean ± standard deviation from three independent experiments. *P<0.05 vs. aged. MSCs, mesenchymal stem cells; IL, interleukin; VEGF, vascular endothelial growth factor; bFGF, basic fibroblast growth factor; HGF, hepatocyte growth factor; IGF, insulin-like growth factor.

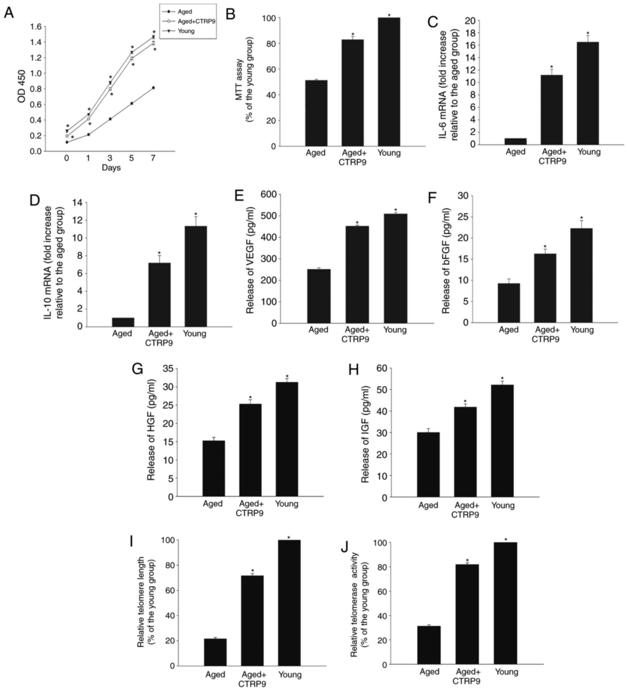
CTRP9 restores the degenerative properties of aged MSCs

The reduced proliferative ability of aged MSCs was significantly reversed by addition in the culture of human recombinant CTRP9, according to results from the CCK-8 assay (Fig. 2A), while cell viability was increased by CTRP9 at the given doses (2 µg/ml; Fig. 2B). CTRP9 treatment also increased the immunoregulatory abilities of MSCs accompanied by increased IL-10 and IL-6 mRNA expression (Fig. 2C and D), and promoted the paracrine abilities of aged MSCs, as evidenced by increased secretion of VEGF, bFGF, HGF and IGF (Fig. 2E–H). Furthermore, incubation of MSCs with CTRP9 increased the senescence-impaired telomere length (Fig. 2I) and telomerase activity (Fig. 2J).

Figure 2

CTRP9 treatment restores the degenerative properties of aged MSCs. (A) Proliferation of young and aged MSCs, and aged MSCs treated with CTRP9 (2 µg/ml), determined withCCK-8 proliferation assay. (B) Viability of young and aged MSCs, and aged MSCs treated with CTRP9 analyzed with MTT assay. (C and D) IL-6 and IL-10 mRNA expression levels in young and aged MSCs, and aged MSCs treated with CTRP9. (E–H) Secretion of VEGF, bFGF, HGF and IGF into the culture medium of young and aged MSCs, and aged MSCs treated with CTRP9, as analyzed by ELISA. (I) Telomere length and (J) relative telomerase activity in young and aged MSCs, and aged MSCs treated with CTRP9. Data represent means ± standard deviation from three independent experiments. *P<0.05 vs. aged. CTRP9, C1q and tumor necrosis factor-related protein 9; MSCs, mesenchymal stem cells; IL, interleukin; VEGF, vascular endothelial growth factor; bFGF, basic fibroblast growth factor; HGF, hepatocyte growth factor; IGF, insulin-like growth factor.

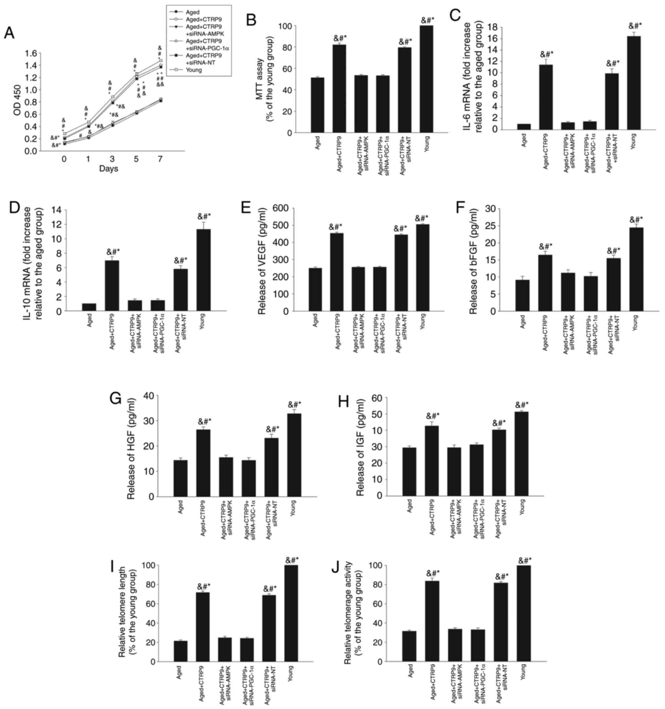
The PGC-1α/AMPK signaling pathway is involved in the rejuvenating effect of CTRP9

Cellular senescence impeded PGC-1α protein expression, but this effect was significantly reversed by CTRP9treatment (Fig. 3A and B). CTRP9 also abrogated the age-mediated suppression of AMPK phosphorylation (Fig. 3C and D), suggesting a critical role for CTRP9 in activation of the PGC-1α/AMPK signaling pathway. Inhibition of PGC-1α or AMPK by transient transfection with specific siRNAs (Fig. 3E and F) abolished the ameliorating effects of CTRP9 on age-related decreases in cellular proliferation (Fig. 4A) and viability (Fig. 4B), and on the decreased immunoregulatory (Fig. 4C and D) and paracrine abilities (Fig. 4E–H), accompanied by shortened telomere length (Fig. 4I) and impaired telomerase activity (Fig. 4J).

Figure 3

PGC-1α/AMPK signaling pathway activation. (A) Representative blots and (B) quantification of western blot analysis of PGC-1α and β-actin protein expression levels in young MSCs, aged MSCs, and aged MSCs treated with CTRP9 (2 µg/ml). (C) Representative blots and (D) quantification of western blot analysis of AMPK and p-AMPK protein expression levels in young MSCs, aged MSCs, and aged MSCs treated with CTRP9. Data represent mean ± standard deviation from three independent experiments. *P<0.05 vs. aged. (E) PGC-1α mRNA levels in MSCs transfected with siRNA-PGC-1α or siRNA-NT. *P<0.05 vs. siRNA-PGC-1α. (F) AMPK mRNA levels in MSCs transfected with siRNA-AMPK or siRNA-NT. *P<0.05 vs. siRNA-AMPK. PGC-1α, peroxisome proliferator-activated receptor γcoactivator-1α; AMPK, AMP-activated protein kinase; MSCs, mesenchymal stem cells; CTRP9, C1q and tumor necrosis factor-related protein 9; p-, phosphorylated; si, small interfering; NT, non-targeting control.

Figure 4

PGC-1α/AMPK signaling pathway is involved in the rejuvenating effect of CTRP9. Aged MSCs were treated with CTRP9 (2 µg/ml) or transfected with siRNA-PGC-1α, siRNA-AMPK, or siRNA-NT in the presence of CTRP9 (2 µg/ml). (A) Cell proliferation was determined by CCK-8 proliferation assay. (B) Cell viability was analyzed by MTT assay. (C and D) IL-6 and IL-10 mRNA levels in MSCs were analyzed with RT-qPCR. (E–H) Secretion of VEGF, bFGF, HGF and IGF into the culture medium was analyzed by ELISA. (I) Telomere length was analyzed by RT-qPCR. (J) Relative telomerase activity was measured. Data represent mean ± standard deviation from three independent experiments. *P<0.05 vs. aged MSCs; #P<0.05 vs. aged+CTRP9+siRNA-PGC-1α and &P<0.05 vs. aged+CTRP9+siRNA-AMPK. PGC-1α, peroxisome proliferator-activated receptor γcoactivator-1α; AMPK, AMP-activated protein kinase; CTRP9, C1q and tumor necrosis factor-related protein 9; MSCs, mesenchymal stem cells; si, small interfering; NT, non-targeting control; IL, interleukin; RT-qPCR, reverse transcription-quantitative polymerase chain reaction; VEGF, vascular endothelial growth factor; bFGF, basic fibroblast growth factor; HGF, hepatocyte growth factor; IGF, insulin-like growth factor.

CTRP9 exerts a rejuvenating effect via the antioxidant response

The role of the antioxidant response in CTRP9-induced rejuvenation of MSCs was further investigated by examining the mitochondrial transmembrane potential, activation of SOD, generation of ROS, and lipid peroxidation by MDA assay. Aging significantly decreased the mitochondrial transmembrane potential (Fig. 5A) and SOD activation (Fig. 5B), while it increased ROS generation (Fig. 5C) and MDA activation (Fig. 5D). By contrast, CTRP9 treatment significantly increased the mitochondrial trans-membrane potential (Fig. 5A) and SOD activation (Fig. 5B), and greatly reduced ROS generation (Fig. 5C) and MDA activation (Fig. 5D). Furthermore, inhibition of PGC-1α or AMPK by siRNA abolished the antioxidant effects of CTRP9, resulting in increased ROS generation and MDA activation, and decreased mitochondrial membrane potential and SOD activation (Fig. 5).

Figure 5

CTRP9 exerts a rejuvenating effect via the antioxidant response. Aged MSCs were treated with CTRP9 (2 µg/ml) or transfected with siRNA-PGC-1α, siRNA-AMPK or siRNA-NT in the presence of CTRP9 (2 µg/m). Young MSCs were also analyzed in parallel. (A) Mitochondrial membrane potential was measured with the JC-1 dye; (B) SOD activity was evaluated by colorimetric assay. (C) Intracellular ROS production was analyzed by fluorescence spectrophotometry. (D) Lipid peroxidation was evaluated by MDA formation. Data represent mean ± standard deviation from three independent experiments. *P<0.05 vs. aged MSCs; #P<0.05 vs. aged+CTRP9+siRNA-PGC-1α and &P<0.05 vs. aged+CTRP9+siRNA-AMPK. CTRP9, C1q and tumor necrosis factor-related protein 9; MSCs, mesenchymal stem cells; si, small interfering; PGC-1α, peroxisome proliferator-activated receptor γcoactivator-1α; AMPK, AMP-activated protein kinase; NT, non-targeting control; SOD, superoxide dismutase; ROS, reactive oxygen species; MDA, malondialdehyde.

Discussion

Aging is associated with reduced organ function and an increased incidence of disease (27), and functional impairment and mortality have been demonstrated to be significantly increased in aged stroke patients compared with relatively young patients (28). Stem cell therapy has shown great potential for repairing and remodeling the neurovascular structure following ischemic brain injury (29); however, functional improvement after stem cell transplantation is impaired by cellular senescence (6). It is therefore crucial to be able to rejuvenate aged MSCs in order to improve their efficacy for the treatment of ischemic stroke. MSC aging driven by both intrinsic and extrinsic factors is linked to impaired MSC self-renewal and regeneration (30), as well as decreased immunoregulatory and angiogenic abilities (31,32), which are important in the treatment of ischemic stroke. The results of the current study indicated that MSC proliferation and viability, immune modulation, and angiogenesis-related paracrine ability were all impaired in MSCs from aged donors.

CTRP9 is a novel adipokine exclusively expressed in adipocytes and also highly expressed in the brain (10). CTRP9 has been suggested to act as a regulator of vascular function, and to exert protective effects in ischemic diseases (12). The cytoprotective effects of CTRP9 have been well documented, through promoting cell proliferation, inhibiting the oxidative response, and modulating endoplasmic reticulum stress (13,33). The present study demonstrated that CTRP9 treatment promoted MSC proliferation and viability and increased their immunoregulatory and angiogenic abilities, accompanied by elongation of telomere length and recovery of telomerase activity.

PGC-1α is a transcriptional coactivator and a fundamental regulator of mitochondrial function (34). Several studies have highlighted an important protective role for PGC-1α in cellular senescence (35), and activation of PGC-1α maintains cellular metabolic homeostasis through regulation of mitochondrial ROS to exert a rejuvenating effect in senescent cells (14). Activation of PGC-1α also enhances the engraftment and angiogenesis of MSCs in ischemia diseases (36). The present study demonstrated that cellular senescence inhibited PGC-1α and that exogenous CTRP9 re-activated PGC-1α in aged MSCs, while PGC-1α inhibition abolished the CTRP9-mediated rejuvenation. These results suggested that CTRP9 may attenuate senescence-stimulated MSC dysfunction through activation of PGC-1α.

AMPK is an energy sensor that is ubiquitously expressed in MSCs and exerts antisenescence effects (31). The protective effects of APNCTRP9 on cellular protection are expected to be partially mediated by the activation of AMPK signaling (13). In addition, AMPK activation has been demonstrated to be responsible for the anti-inflammatory effect of CTRP9 in cells (37). The current results demonstrated that CTRP9 prevented the senescence-mediated suppression of AMPK phosphorylation, while knockdown of AMPK eradicated the inhibitory effects of CTRP9 on MSC dysfunction in response to senescence, implying an essential role for AMPK.

Impaired mitochondrial function and increased oxidative effects lead to DNA damage and are considered to contribute to cellular senescence in stem cells (4). Accumulating oxidant stress impairs the function of aged MSCs via excessive ROS production (23). A recent study revealed that CTRP9 promotes MSC proliferation and migration, and protects against hydrogen peroxide-induced cellular death through its antioxidative effect (13). Similarly, the present results demonstrated that senescence elicited an oxidant reaction, and this effect was prevented by CTRP9 treatment. Furthermore, this CTRP9-mediated antioxidant effect was suppressed by knockdown of PGC-1α or AMPK expression by siRNA.

In conclusion, CTRP9 treatment inhibited the oxidant effect associated with cell senescence via PGC-1α/AMPK signaling activation, contributing to rejuvenation of MSCs. CTRP9 may thus serve as a candidate for rejuvenating MSCs and for potentially improving the therapeutic efficacy of MSC transplantation in aged patients with ischemic stroke.

Acknowledgments

Not applicable.

Funding

This study was supported by the Zhejiang Provincial Natural Science Foundation of China (grant nos. LQ17C060002, LY16H160053 and LY17H160052), the Medical Scientific Research foundation of Zhejiang Province of China (grant no. WKJ-ZJ-1525) and the Wenzhou Science and Technology Plan Project (grant no. Y20170088).

Availability of data and materials

The analyzed datasets generated during the study are available from the corresponding author on reasonable request.

Authors' contributions

QL and ZZZ made substantial contributions to the acquisition of data, CDW, LC and JLL made substantial contributions to the analysis and interpretation of data. YCW, JDX and ZPS were the major contributors in writing the manuscript. WMZ and XBC were involved in conception and design, revising it critically for important intellectual content. All authors read and approved the final manuscript.

Ethics approval and consent to participate

All procedures involving the use of animals were approved by the Laboratory Animal Ethics Committee of Wenzhou Medical University.

Consent for publication

Not applicable.

Competing interests

The authors declare that they have no competing interests.

References

1 

Iadecola C: The neurovascular unit coming of age: A journey through neurovascular coupling in health and disease. Neuron. 96:17–42. 2017. View Article : Google Scholar : PubMed/NCBI

2 

van Velthoven CT, van de Looij Y, Kavelaars A, Zijlstra J, van Bel F, Huppi PS, Sizonenko S and Heijnen CJ: Mesenchymal stem cells restore cortical rewiring after neonatal ischemia in mice. Ann Neurol. 71:785–796. 2012. View Article : Google Scholar : PubMed/NCBI

3 

van Velthoven CT, Kavelaars A and Heijnen CJ: Mesenchymal stem cells as a treatment for neonatal ischemic brain damage. Pediatr Res. 71:474–481. 2012. View Article : Google Scholar : PubMed/NCBI

4 

Akunuru S and Geiger H: Aging, clonality, and rejuvenation of hematopoietic stem cells. Trends Mol Med. 22:701–712. 2016. View Article : Google Scholar : PubMed/NCBI

5 

Townsley DM, Dumitriu B and Young NS: Bone marrow failure and the telomeropathies. Blood. 124:2775–2783. 2014. View Article : Google Scholar : PubMed/NCBI

6 

Liu M, Lei H, Dong P, Fu X, Yang Z, Yang Y, Ma J, Liu X, Cao Y and Xiao R: Adipose-derived mesenchymal stem cells from the elderly exhibit decreased migration and differentiation abilities with senescent properties. Cell Transplant. 26:1505–1519. 2017. View Article : Google Scholar : PubMed/NCBI

7 

Badan I, Buchhold B, Hamm A, Gratz M, Walker LC, Platt D, Kessler Ch and Popa-Wagner A: Accelerated glial reactivity to stroke in aged rats correlates with reduced functional recovery. J Cereb Blood Flow Metab. 23:845–854. 2003. View Article : Google Scholar : PubMed/NCBI

8 

Goldstein BJ, Scalia RG and Ma XL: Protective vascular and myocardial effects of adiponectin. Nat Clin Pract Cardiovasc Med. 6:27–35. 2009. View Article : Google Scholar :

9 

Gonon AT, Widegren U, Bulhak A, Salehzadeh F, Persson J, Sjöquist PO and Pernow J: Adiponectin protects against myocardial ischaemia-reperfusion injury via AMP-activated protein kinase, Akt, and nitric oxide. Cardiovasc Res. 78:116–122. 2008. View Article : Google Scholar : PubMed/NCBI

10 

Yang G, Qin C, Wang B, Jia J, Yuan X, Sun C and Li W: Molecular identification and functional analysis of CTRP9 in Epinepheluscoioides. J Mol Endocrinol. 58:179–191. 2017. View Article : Google Scholar : PubMed/NCBI

11 

Bai S, Cheng L, Yang Y, Fan C, Zhao D, Qin Z, Feng X, Zhao L, Ma J, Wang X, et al: C1q/TNF-related protein 9 protects diabetic rat heart against ischemia reperfusion injury: Role of endoplasmic reticulum stress. Oxid Med Cell Longev. 2016:19020252016. View Article : Google Scholar : PubMed/NCBI

12 

Zhao D, Yang J and Yang L: Insights for oxidative stress and mTOR signaling in myocardial ischemia/reperfusion injury under diabetes. Oxid Med Cell Longev. 2017:64374672017. View Article : Google Scholar : PubMed/NCBI

13 

Yan W, Guo Y, Tao L, Lau WB, Gan L, Yan Z, Guo R, Gao E, Wong GW, Koch WL, et al: C1q/tumor necrosis factor-related protein-9 regulates the fate of implanted mesenchymal stem cells and mobilizes their protective effects against ischemic heart injury via multiple novel signaling pathways. Circulation. 136:2162–2177. 2017. View Article : Google Scholar : PubMed/NCBI

14 

Rabinovitch RC, Samborska B, Faubert B, Ma EH, Gravel SP, Andrzejewski S, Raissi TC, Pause A, St-Pierre J and Jones RG: AMPK maintains cellular metabolic homeostasis through regulation of mitochondrial reactive oxygen species. Cell Rep. 21:1–9. 2017. View Article : Google Scholar : PubMed/NCBI

15 

Oakhill JS, Scott JW and Kemp BE: AMPK functions as an adenylate charge-regulated protein kinase. Trends Endocrinol Metab. 23:125–132. 2012. View Article : Google Scholar : PubMed/NCBI

16 

Chandel NS and Tuveson DA: The promise and perils of antioxidants for cancer patients. N Engl J Med. 371:177–178. 2014. View Article : Google Scholar : PubMed/NCBI

17 

Riera CE, Merkwirth C, Filho CDDM and Dillin A: Signaling networks determining life span. Annu Rev Biochem. 85:35–64. 2016. View Article : Google Scholar : PubMed/NCBI

18 

Goldberg J, Currais A, Prior M, Fischer W, Chiruta C, Ratliff E, Daugherty D, Dargusch R, Finley K, Esparza-Moltó PB, et al: The mitochondrial ATP synthase is a shared drug target for aging and dementia. Aging Cell. 17:2018. View Article : Google Scholar : PubMed/NCBI

19 

Sun H, Zhu X, Zhou Y, Cai W and Qiu L: C1q/TNF-related protein-9 ameliorates Ox-LDL-induced endothelial dysfunction via PGC-1α/AMPK-mediated antioxidant enzyme induction. Int J Mol Sci. 18:10972017. View Article : Google Scholar

20 

Gharibi B, Farzadi S, Ghuman M and Hughes FJ: Inhibition of Akt/mTOR attenuates age-related changes in mesenchymal stem cells. Stem Cells. 32:2256–2266. 2014. View Article : Google Scholar : PubMed/NCBI

21 

Otsu K, Das S, Houser SD, Quadri SK, Bhattacharya S and Bhattacharya J: Concentration-dependent inhibition of angiogenesis by mesenchymal stem cells. Blood. 113:4197–4205. 2009. View Article : Google Scholar :

22 

Xia W, Xie C, Jiang M and Hou M: Improved survival of mesenchymal stem cells by macrophage migration inhibitory factor. Mol Cell Biochem. 404:11–24. 2015. View Article : Google Scholar : PubMed/NCBI

23 

Xia W, Zhuang L, Deng X and Hou M: Long noncoding RNA-p21 modulates cellular senescence via the Wnt/β-catenin signaling pathway in mesenchymal stem cells. Mol Med Rep. 16:7039–7047. 2017. View Article : Google Scholar : PubMed/NCBI

24 

Livak KJ and Schmittgen TD: Analysis of relative gene expression data using real-time quantitative PCR and the 2(−Delta Delta C(T)) method. Methods. 25:402–408. 2001. View Article : Google Scholar

25 

Crepin T, Carron C, Roubiou C, Gaugler B, Gaiffe E, Simula-Faivre D, Ferrand C, Tiberghien P, Chalopin JM, Moulin B, et al: ATG-induced accelerated immune senescence: Clinical implications in renal transplant recipients. Am J Transplant. 15:1028–1038. 2015. View Article : Google Scholar : PubMed/NCBI

26 

Xie Z, Xia W and Hou M: Long intergenic noncoding RNA-p21 mediates cardiac senescence via the Wnt/β-catenin signaling pathway in doxorubicin-induced cardiotoxicity. Mol Med Rep. 17:2695–2704. 2018.

27 

Smith BD, Smith GL, Hurria A, Hortobagyi GN and Buchholz TA: Future of cancer incidence in the United States: Burdens upon an aging, changing nation. J Clin Oncol. 27:2758–2765. 2009. View Article : Google Scholar : PubMed/NCBI

28 

Ye X, Hu J and Cui G: Therapy effects of bone marrow stromal cells on ischemic stroke. Oxid Med Cell Longev. 2016:76829602016. View Article : Google Scholar : PubMed/NCBI

29 

Gervois P, Wolfs E, Ratajczak J, Dillen Y, Vangansewinkel T, Hilkens P, Bronckaers A, Lambrichts I and Struys T: Stem cell-based therapies for ischemic stroke: Preclinical results and the potential of imaging-assisted evaluation of donor cell fate and mechanisms of brain regeneration. Med Res Rev. 36:1080–1126. 2016. View Article : Google Scholar : PubMed/NCBI

30 

Li H, Liu P, Xu S, Li Y, Dekker JD, Li B, Fan Y, Zhang Z, Hong Y, Yang G, et al: FOXP1 controls mesenchymal stem cell commitment and senescence during skeletal aging. J Clin Invest. 127:1241–1253. 2017. View Article : Google Scholar : PubMed/NCBI

31 

Xia W, Zhang F, Xie C, Jiang M and Hou M: Macrophage migration inhibitory factor confers resistance to senescence through CD74-dependent AMPK-FOXO3a signaling in mesenchymal stem cells. Stem Cell Res Ther. 6:822015. View Article : Google Scholar : PubMed/NCBI

32 

Loisel S, Dulong J, Ménard C, Renoud ML, Meziere N, Isabelle B, Latour M, Bescher N, Pedeux R, Bertheuil N, et al: Brief report: Proteasomal indoleamine 2,3-dioxygenase degradation reduces the immunosuppressive potential of clinical grade-mesenchymal stromal cells undergoing replicative senescence. Stem Cells. 35:1431–1436. 2017. View Article : Google Scholar : PubMed/NCBI

33 

Liu Q, Zhang H, Lin J, Zhang R, Chen S, Liu W, Sun M, Du W, Hou J and Yu B: C1q/TNF-related protein 9 inhibits the cholesterol-induced Vascular smooth muscle cell phenotype switch and cell dysfunction by activating AMP-dependent kinase. J Cell Mol Med. 21:2823–2836. 2017. View Article : Google Scholar : PubMed/NCBI

34 

Patten IS and Arany Z: PGC-1 coactivators in the cardiovascular system. Trends Endocrinol Metab. 23:90–97. 2012. View Article : Google Scholar

35 

Sahin E, Colla S, Liesa M, Moslehi J, Müller FL, Guo M, Cooper M, Kotton D, Fabian AJ, Walkey C, et al: Telomere dysfunction induces metabolic and mitochondrial compromise. Nature. 470:359–365. 2011. View Article : Google Scholar : PubMed/NCBI

36 

Solis MA, Wei YH, Chang CH, Yu CH, Kuo PL and Huang LL: Hyaluronan upregulates mitochondrial biogenesis and reduces adenoside triphosphate production for efficient mitochondrial function in slow-proliferating human mesenchymal stem cells. Stem Cells. 34:2512–2524. 2016. View Article : Google Scholar : PubMed/NCBI

37 

Jung CH, Lee MJ, Kang YM, Lee YL, Seol SM, Yoon HK, Kang SW, Lee WJ and Park JY: C1q/TNF-related protein-9 inhibits cytokine-induced vascular inflammation and leukocyte adhesiveness via AMP-activated protein kinase activation in endothelial cells. Mol Cell Endocrinol. 419:235–243. 2015. View Article : Google Scholar : PubMed/NCBI

Related Articles

  • Abstract
  • View
  • Download
  • Twitter
Copy and paste a formatted citation
Spandidos Publications style
Li Q, Zhu Z, Wang C, Cai L, Lu J, Wang Y, Xu J, Su Z, Zheng W, Chen X, Chen X, et al: CTRP9 ameliorates cellular senescence via PGC‑1α/AMPK signaling in mesenchymal stem cells. Int J Mol Med 42: 1054-1063, 2018.
APA
Li, Q., Zhu, Z., Wang, C., Cai, L., Lu, J., Wang, Y. ... Chen, X. (2018). CTRP9 ameliorates cellular senescence via PGC‑1α/AMPK signaling in mesenchymal stem cells. International Journal of Molecular Medicine, 42, 1054-1063. https://doi.org/10.3892/ijmm.2018.3666
MLA
Li, Q., Zhu, Z., Wang, C., Cai, L., Lu, J., Wang, Y., Xu, J., Su, Z., Zheng, W., Chen, X."CTRP9 ameliorates cellular senescence via PGC‑1α/AMPK signaling in mesenchymal stem cells". International Journal of Molecular Medicine 42.2 (2018): 1054-1063.
Chicago
Li, Q., Zhu, Z., Wang, C., Cai, L., Lu, J., Wang, Y., Xu, J., Su, Z., Zheng, W., Chen, X."CTRP9 ameliorates cellular senescence via PGC‑1α/AMPK signaling in mesenchymal stem cells". International Journal of Molecular Medicine 42, no. 2 (2018): 1054-1063. https://doi.org/10.3892/ijmm.2018.3666
Copy and paste a formatted citation
x
Spandidos Publications style
Li Q, Zhu Z, Wang C, Cai L, Lu J, Wang Y, Xu J, Su Z, Zheng W, Chen X, Chen X, et al: CTRP9 ameliorates cellular senescence via PGC‑1α/AMPK signaling in mesenchymal stem cells. Int J Mol Med 42: 1054-1063, 2018.
APA
Li, Q., Zhu, Z., Wang, C., Cai, L., Lu, J., Wang, Y. ... Chen, X. (2018). CTRP9 ameliorates cellular senescence via PGC‑1α/AMPK signaling in mesenchymal stem cells. International Journal of Molecular Medicine, 42, 1054-1063. https://doi.org/10.3892/ijmm.2018.3666
MLA
Li, Q., Zhu, Z., Wang, C., Cai, L., Lu, J., Wang, Y., Xu, J., Su, Z., Zheng, W., Chen, X."CTRP9 ameliorates cellular senescence via PGC‑1α/AMPK signaling in mesenchymal stem cells". International Journal of Molecular Medicine 42.2 (2018): 1054-1063.
Chicago
Li, Q., Zhu, Z., Wang, C., Cai, L., Lu, J., Wang, Y., Xu, J., Su, Z., Zheng, W., Chen, X."CTRP9 ameliorates cellular senescence via PGC‑1α/AMPK signaling in mesenchymal stem cells". International Journal of Molecular Medicine 42, no. 2 (2018): 1054-1063. https://doi.org/10.3892/ijmm.2018.3666
Follow us
  • Twitter
  • LinkedIn
  • Facebook
About
  • Spandidos Publications
  • Careers
  • Cookie Policy
  • Privacy Policy
How can we help?
  • Help
  • Live Chat
  • Contact
  • Email to our Support Team