Spandidos Publications Logo
  • About
    • About Spandidos
    • Aims and Scopes
    • Abstracting and Indexing
    • Editorial Policies
    • Reprints and Permissions
    • Job Opportunities
    • Terms and Conditions
    • Contact
  • Journals
    • All Journals
    • Oncology Letters
      • Oncology Letters
      • Information for Authors
      • Editorial Policies
      • Editorial Board
      • Aims and Scope
      • Abstracting and Indexing
      • Bibliographic Information
      • Archive
    • International Journal of Oncology
      • International Journal of Oncology
      • Information for Authors
      • Editorial Policies
      • Editorial Board
      • Aims and Scope
      • Abstracting and Indexing
      • Bibliographic Information
      • Archive
    • Molecular and Clinical Oncology
      • Molecular and Clinical Oncology
      • Information for Authors
      • Editorial Policies
      • Editorial Board
      • Aims and Scope
      • Abstracting and Indexing
      • Bibliographic Information
      • Archive
    • Experimental and Therapeutic Medicine
      • Experimental and Therapeutic Medicine
      • Information for Authors
      • Editorial Policies
      • Editorial Board
      • Aims and Scope
      • Abstracting and Indexing
      • Bibliographic Information
      • Archive
    • International Journal of Molecular Medicine
      • International Journal of Molecular Medicine
      • Information for Authors
      • Editorial Policies
      • Editorial Board
      • Aims and Scope
      • Abstracting and Indexing
      • Bibliographic Information
      • Archive
    • Biomedical Reports
      • Biomedical Reports
      • Information for Authors
      • Editorial Policies
      • Editorial Board
      • Aims and Scope
      • Abstracting and Indexing
      • Bibliographic Information
      • Archive
    • Oncology Reports
      • Oncology Reports
      • Information for Authors
      • Editorial Policies
      • Editorial Board
      • Aims and Scope
      • Abstracting and Indexing
      • Bibliographic Information
      • Archive
    • Molecular Medicine Reports
      • Molecular Medicine Reports
      • Information for Authors
      • Editorial Policies
      • Editorial Board
      • Aims and Scope
      • Abstracting and Indexing
      • Bibliographic Information
      • Archive
    • World Academy of Sciences Journal
      • World Academy of Sciences Journal
      • Information for Authors
      • Editorial Policies
      • Editorial Board
      • Aims and Scope
      • Abstracting and Indexing
      • Bibliographic Information
      • Archive
    • International Journal of Functional Nutrition
      • International Journal of Functional Nutrition
      • Information for Authors
      • Editorial Policies
      • Editorial Board
      • Aims and Scope
      • Abstracting and Indexing
      • Bibliographic Information
      • Archive
    • International Journal of Epigenetics
      • International Journal of Epigenetics
      • Information for Authors
      • Editorial Policies
      • Editorial Board
      • Aims and Scope
      • Abstracting and Indexing
      • Bibliographic Information
      • Archive
    • Medicine International
      • Medicine International
      • Information for Authors
      • Editorial Policies
      • Editorial Board
      • Aims and Scope
      • Abstracting and Indexing
      • Bibliographic Information
      • Archive
  • Articles
  • Information
    • Information for Authors
    • Information for Reviewers
    • Information for Librarians
    • Information for Advertisers
    • Conferences
  • Language Editing
Spandidos Publications Logo
  • About
    • About Spandidos
    • Aims and Scopes
    • Abstracting and Indexing
    • Editorial Policies
    • Reprints and Permissions
    • Job Opportunities
    • Terms and Conditions
    • Contact
  • Journals
    • All Journals
    • Biomedical Reports
      • Information for Authors
      • Editorial Policies
      • Editorial Board
      • Aims and Scope
      • Abstracting and Indexing
      • Bibliographic Information
      • Archive
    • Experimental and Therapeutic Medicine
      • Information for Authors
      • Editorial Policies
      • Editorial Board
      • Aims and Scope
      • Abstracting and Indexing
      • Bibliographic Information
      • Archive
    • International Journal of Epigenetics
      • Information for Authors
      • Editorial Policies
      • Editorial Board
      • Aims and Scope
      • Abstracting and Indexing
      • Bibliographic Information
      • Archive
    • International Journal of Functional Nutrition
      • Information for Authors
      • Editorial Policies
      • Editorial Board
      • Aims and Scope
      • Abstracting and Indexing
      • Bibliographic Information
      • Archive
    • International Journal of Molecular Medicine
      • Information for Authors
      • Editorial Policies
      • Editorial Board
      • Aims and Scope
      • Abstracting and Indexing
      • Bibliographic Information
      • Archive
    • International Journal of Oncology
      • Information for Authors
      • Editorial Policies
      • Editorial Board
      • Aims and Scope
      • Abstracting and Indexing
      • Bibliographic Information
      • Archive
    • Medicine International
      • Information for Authors
      • Editorial Policies
      • Editorial Board
      • Aims and Scope
      • Abstracting and Indexing
      • Bibliographic Information
      • Archive
    • Molecular and Clinical Oncology
      • Information for Authors
      • Editorial Policies
      • Editorial Board
      • Aims and Scope
      • Abstracting and Indexing
      • Bibliographic Information
      • Archive
    • Molecular Medicine Reports
      • Information for Authors
      • Editorial Policies
      • Editorial Board
      • Aims and Scope
      • Abstracting and Indexing
      • Bibliographic Information
      • Archive
    • Oncology Letters
      • Information for Authors
      • Editorial Policies
      • Editorial Board
      • Aims and Scope
      • Abstracting and Indexing
      • Bibliographic Information
      • Archive
    • Oncology Reports
      • Information for Authors
      • Editorial Policies
      • Editorial Board
      • Aims and Scope
      • Abstracting and Indexing
      • Bibliographic Information
      • Archive
    • World Academy of Sciences Journal
      • Information for Authors
      • Editorial Policies
      • Editorial Board
      • Aims and Scope
      • Abstracting and Indexing
      • Bibliographic Information
      • Archive
  • Articles
  • Information
    • For Authors
    • For Reviewers
    • For Librarians
    • For Advertisers
    • Conferences
  • Language Editing
Login Register Submit
  • This site uses cookies
  • You can change your cookie settings at any time by following the instructions in our Cookie Policy. To find out more, you may read our Privacy Policy.

    I agree
Search articles by DOI, keyword, author or affiliation
Search
Advanced Search
presentation
International Journal of Molecular Medicine
Join Editorial Board Propose a Special Issue
Print ISSN: 1107-3756 Online ISSN: 1791-244X
Journal Cover
October-2018 Volume 42 Issue 4

Full Size Image

Sign up for eToc alerts
Recommend to Library

Journals

International Journal of Molecular Medicine

International Journal of Molecular Medicine

International Journal of Molecular Medicine is an international journal devoted to molecular mechanisms of human disease.

International Journal of Oncology

International Journal of Oncology

International Journal of Oncology is an international journal devoted to oncology research and cancer treatment.

Molecular Medicine Reports

Molecular Medicine Reports

Covers molecular medicine topics such as pharmacology, pathology, genetics, neuroscience, infectious diseases, molecular cardiology, and molecular surgery.

Oncology Reports

Oncology Reports

Oncology Reports is an international journal devoted to fundamental and applied research in Oncology.

Experimental and Therapeutic Medicine

Experimental and Therapeutic Medicine

Experimental and Therapeutic Medicine is an international journal devoted to laboratory and clinical medicine.

Oncology Letters

Oncology Letters

Oncology Letters is an international journal devoted to Experimental and Clinical Oncology.

Biomedical Reports

Biomedical Reports

Explores a wide range of biological and medical fields, including pharmacology, genetics, microbiology, neuroscience, and molecular cardiology.

Molecular and Clinical Oncology

Molecular and Clinical Oncology

International journal addressing all aspects of oncology research, from tumorigenesis and oncogenes to chemotherapy and metastasis.

World Academy of Sciences Journal

World Academy of Sciences Journal

Multidisciplinary open-access journal spanning biochemistry, genetics, neuroscience, environmental health, and synthetic biology.

International Journal of Functional Nutrition

International Journal of Functional Nutrition

Open-access journal combining biochemistry, pharmacology, immunology, and genetics to advance health through functional nutrition.

International Journal of Epigenetics

International Journal of Epigenetics

Publishes open-access research on using epigenetics to advance understanding and treatment of human disease.

Medicine International

Medicine International

An International Open Access Journal Devoted to General Medicine.

Journal Cover
October-2018 Volume 42 Issue 4

Full Size Image

Sign up for eToc alerts
Recommend to Library

  • Article
  • Citations
    • Cite This Article
    • Download Citation
    • Create Citation Alert
    • Remove Citation Alert
    • Cited By
  • Similar Articles
    • Related Articles (in Spandidos Publications)
    • Similar Articles (Google Scholar)
    • Similar Articles (PubMed)
  • Download PDF
  • Download XML
  • View XML
Article Open Access

Oxidative stress in electrohypersensitivity self‑reporting patients: Results of a prospective in vivo investigation with comprehensive molecular analysis

  • Authors:
    • Philippe Irigaray
    • Daniela Caccamo
    • Dominique Belpomme
  • View Affiliations / Copyright

    Affiliations: Association for Research Against Cancer (ARTAC), 75015 Paris, France, Department of Biomedical Sciences, Dental Sciences and Morpho‑Functional Imaging, Polyclinic Hospital University, I‑98122 Messina, Italy
    Copyright: © Irigaray et al. This is an open access article distributed under the terms of Creative Commons Attribution License.
  • Pages: 1885-1898
    |
    Published online on: July 12, 2018
       https://doi.org/10.3892/ijmm.2018.3774
  • Expand metrics +
Metrics: Total Views: 0 (Spandidos Publications: | PMC Statistics: )
Metrics: Total PDF Downloads: 0 (Spandidos Publications: | PMC Statistics: )
Cited By (CrossRef): 0 citations Loading Articles...

This article is mentioned in:



Abstract

A total of 32 electrohypersensitivity (EHS) self‑reporting patients were serially included in the present prospective study for oxidative stress and antioxidative stress response assessment. All thiobarbituric acid‑reactive substances (TBARs) were measured in the plasma, particularly malondialdehyde (MDA) for lipid peroxidation; additional measurements included total thiol group molecules, reduced glutathione (GSH), oxidized glutathione (GSSG) for oxidative stress assessment and nitrotyrosine, a marker of peroxynitrite‑induced oxidative/nitrosative stress. In addition, the activity of Cu‑Zn superoxide dismutase (SOD1) was measured in red blood cells (RBCs) and glutathione reductase (GR) and glutathione peroxidase (GPx) in RBCs and plasma. Depending of the biomarker considered, 30‑50% of EHS self‑reporting patients presented statistically significantly increased TBARs, MDA, GSSG and NTT mean plasmatic level values in comparison with normal values obtained in healthy controls (P<0.0001). By contrast, there were no plasmatic level values above the upper normal limits for GSH, GSH/GSSG ratio, total glutathione (GluT) and GSH/GluT ratio, and values for these GSH‑associated biomarkers were statistically significantly decreased in 20‑40% of the patients (P<0.0001). Furthermore, in RBCs, mean SOD1 and GPx activities were observed to be statistically significantly increased in ~60% and 19% (P<0.0001) of the patients, respectively, while increased GR activity in RBCs was observed in only 6% of the patients. The present study reports for the first time, to the best of our knowledge, that overall ~80% of EHS self‑reporting patients present with one, two or three detectable oxidative stress biomarkers in their peripheral blood, meaning that these patients‑as is the case for cancer, Alzheimer's disease or other pathological conditions‑present with a true objective new pathological disorder.

Introduction

Electrohypersensitivity (EHS) is a new World Health Organization (WHO)-acknowledged disabling condition occurring in EHS self-reporting patients (1).

Following the WHO-sponsored international workshop on electromagnetic hypersensitivity in 2004 in Prague (Czech Republic) the use of the term 'idiopathic environmental intolerance (IEI) attributed to electromagnetic fields (IEI-EMF)' was proposed to qualify this new EHS-associated detrimental health condition (2).

Using ultrasonic cerebral tomosphygmography (UCTS), it was recently demonstrated that EHS self-reporting patients present with a decrease in mean cerebral tissue pulsation index (PI) in a number of areas of the temporal lobe, particularly in the capsulo-thalamic area, which contains the limbic system and the thalamus; it was additionally suggested that these abnormalities may in fact be associated with a decrease in brain blood flow and/or neuronal dysfunction in these particular brain areas (3–5). EHS self-reporting patients were also objectively identified and characterized by demonstrating potential associations with a number of biological abnormalities, consisting of a degree of inflammation, heat-shock protein-associated cellular stress and autoimmune responses in the peripheral blood, and an abnormal 6-hydroxy-melatonin sulfate/creatinine ratio in the urine (3). In fact, since it was reported that numerous EHS self-reporting patients present reliable clinical symptoms each time they report exposure to electromagnetic sources, and present with objective UCTS and biological abnormalities (4,5), the authors of the present study proposed the use of the more concise term electromagnetic field intolerance syndrome (EMFIS) to qualify the so-called newly WHO-recognized IEI-EMF pathological condition with which these patients are associated (4).

The present prospective in vivo biochemical investigation aimed to determine whether EHS self-reporting patients may also be characterized by oxidative stress abnormalities in the peripheral blood, to further identify and characterize EMFIS.

Materials and methods

Inclusion criteria

According to a previous study (3), EHS, more precisely EMFIS in EHS self-reporting patients, was defined on the basis of the five following clinical criteria: i) Absence of known pathology accounting for the observed clinical symptoms; ii) as reported by the patients, reproducibility of symptoms under the supposed influence of electromagnetic fields (EMFs), regardless of the incriminated source; iii) regression or disappearance of symptoms associated with reported EMF avoidance; iv) clinical symptoms compatible with those previously ascribed to EHS self-reporting patients in the scientific literature; and v) chronic evolution (6–10).

Prior to inclusion, all patients had a face-to-face interview based on a previously validated questionnaire, a complete general and neurological clinical examination and a systematic biological check-up, including currently used peripheral blood tests, to exclude any non-EMFIS-associated pathology. Therefore, to be included in the study, patients had no history of such pathologies as cancer, Alzheimer's disease, diabetes type II and/or cardiovascular disease. Patients also had no associated multiple chemical sensitivity (MCS), and were in an active symptomatic phase of their pathological condition(s), whether or not they had been previously treated. In addition, patients had a normal carotid and vertebral artery echodoppler scan, normal hematological, hepatic, renal and metabolic peripheral blood tests, and, when available, a normal magnetic resonance imaging or computed tomography scan.

However, since the majority of clinical symptoms in EHS self-reporting patients are subjective, two biological inclusion criteria were added to objectively identify EMFIS: i) A mean decreased tissue pulsometric index in at least three middle cerebral artery-dependent tissue sections in the temporal lobes, as demonstrated using UCTS, as it has been previously reported that UCTS is able to discriminate between EHS self-reporting patients and healthy subjects using this criterion (11); and ii) an increase in at least one of three inflammation-associated peripheral blood biomarkers that have previously been identified as being possibly detected in EHS self-reporting patients (3): Increased histamine, a mediator of inflammation (12); increased protein S100B, a marker of oxidative stress-associated blood brain barrier opening (13,14); and increased chaperone proteins heat shock protein β1 (HSP27) or heat shock 70 kDa protein 1B (HSP70), markers of heat-shock cell stress-associated inflammation and/or immune response (15,16). References for the methods used to measure these three inflammation-associated peripheral blood biomarkers are indicated in Table I (17–20).

Table I

Inflammation-associated biomarkers investigated in electrohypersensitivity self-reporting patients.

Table I

Inflammation-associated biomarkers investigated in electrohypersensitivity self-reporting patients.

Author, yearBiomarkerSample type(Refs.)
Lebel et al, 1996HistaminePlasma(17)
Smit et al, 2005Protein S100BSerum(18)
De and Roach, 2004HSP27Serum(19)
Pockley et al, 1998HSP70Serum(20)

[i] HSP27, heat shock protein β1; HSP70, heat shock 70 kDa protein 1B.

Oxidative and antioxidative stress-related biomarkers

A battery of biomarkers were used to measure oxidative stress and antioxidative stress responses, in plasma and/or red blood cells (RBCs) (Table II). Measurements were performed following centrifugation (4,000 x g; 10 min; 4°C) to separate RBCs from plasma.

Table II

Methods of measurement of oxidative stress-associated biomarkers, antioxidative non-enzymatic proteins and antioxidative enzymes in the plasma and/or red blood cells in electrohypersensitivity self-reporting patients, with electromagnetic field intolerance syndrome.

Table II

Methods of measurement of oxidative stress-associated biomarkers, antioxidative non-enzymatic proteins and antioxidative enzymes in the plasma and/or red blood cells in electrohypersensitivity self-reporting patients, with electromagnetic field intolerance syndrome.

Author, yearBiomarkers oxidative stressSample type(Refs.)
Londero and Lo Greco, 1996MDAPlasma(24)
Okhawa et al, 1979TBARSPlasma(25)
Akerboom and Sies, 1981GSSGPlasma(26)
Ischiropoulos et al, 1992NTT
Antioxidative non-enzymatic proteins
Plasma(27)
Jocelyn, 1987Total thiolPlasma(28)
Akerboom and Sies, 1981GSHPlasma(26)
Akerboom and Sies, 1981GluTa
Antioxidative enzymes
Plasma(26)
Marklund and Marklund, 1974SODRBC(29)
Mannervik, 2001GRPlasma/RBC(30)
Günzler et al, 1974GPxPlasma/RBC(31)

a GluT includes GSH and GSSG. MDA, malondialdehyde; TBARs, thiobarbituric acid reactive substances; NTT, nitrotyrosine; GSSG, oxidized glutathione; GSH, reduced glutathione; GluT, total glutathione; SOD, superoxide dismutase; GR, glutathione reductase; GPx, glutathione peroxidase; RBC, red blood cell.

Oxidative stress biomarkers

For oxidative stress assessment, the following biomarkers were measured in the plasma: All thiobarbituric acid-reactive substances (TBARs), and particularly one of them, malondialdehyde (MDA), which are markers of lipid peroxidation (21); glutathione disulfide (GSSG), which is a marker of reduced glutathione (GSH) oxidation (22); and nitrotyrosine (NTT), which is a marker of peroxynitrite-induced oxidative/nitrosative stress (23).

To measure MDA, the standard method described by Londero and Lo Greco (24) was used. When MDA reacts with TBA, the MDA-TBA complex is separated from interfering substances and specifically identified using reverse-phase high-performance liquid chromatography coupled with UV/visible detection. MDA is quantified on the basis of its strong light-absorbing and fluorescing properties following the reaction with TBA. The results are expressed in µM. For the dosage of lipid peroxidation intermediates, all plasma TBARs were measured, including MDA, using a method similar to that of Ohkawa et al (25). The present method was based on the reaction of the aldehyde function of TBARs released by acid hydrolysis at 95°C with TBA to form a TBAR-TBA colored complex, which is quantified by fluorometry. Results are expressed in µM. Total glutathione (GluT), GSH and oxidized glutathione (GSSG) were determined enzymatically from the acidic protein-free supernatant, according to the method of Akerboom and Sies (26). The assay for GSSG was performed subsequent to masking GSH by adding 2-vinylpyridine to the deproteinized extract. The assay for NTT was performed according to the method of Ischiropoulos et al (27), which uses a competitive ELISA test (OxiSelect™ Nitrotyrosine ELISA kit; cat. no. STA-305; Cell Biolabs Inc., San Diego, CA, USA). For the determination of this last marker (NTT), plasma was first added to a nitrated bovine serum albumin (BSA) (OxiSelect™ Nitrotyrosine ELISA kit; cat. no. STA-319) preabsorbed enzyme immunoassay plate. Following a brief incubation, a specific anti-nitrotyrosine antibody (OxiSelect™ Nitrotyrosine ELISA kit; part no. 230502) was added, followed by the addition of a horseradish peroxidase (HRP)-conjugated secondary antibody [OxiSelect™ Nitrotyrosine ELISA kit; HRP Conjugate (part no. 231009)]. The dilution of the anti-nitrotyrosine antibody was 1:1,000 and that of the secondary antibody was 1:1,000, and the incubation was performed at room temperature for 1 h. The protein NTT content in the plasmatic sample was determined by comparison with a standardized curve that was established from predetermined nitrated BSA standards, the results being expressed in µg/ml.

Antioxidative non-enzymatic proteins

For the non-enzymatic antioxidative response assessment, the total thiol group molecules, which comprise such peptides as glutathione and cysteine- and/or homocysteine-containing proteins, were measured in the plasma. For the dosage of the total SH group molecules, 5,5′-dithio-bis (2-nitrobenzoic acid) was used as reagent and the level of plasmatic SH group molecules was measured spectrophotometrically at 412 nm. The results are expressed in U/l (28). The dosage of GluT, GSH and GSSG in the plasma was calculated using the method of Akerboom and Sies (26). Prior to centrifugation (400 x g; 10 min; 4°C), 400 µl whole blood was collected in 3.6 ml metaphoric acid. Following centrifugation, GluT and GSH were measured enzymatically in the acidic protein-free-supernatant. The assay of GSSG was performed following masking of GSH by adding 2-vinylpyridine to the deproteinized extract. Similar to GluT and GSH, GSSG was measured enzymatically. Results are expressed in µM.

Antioxidative enzymatic proteins

Measurement of the antioxidative enzymes was performed in RBCs only, or in RBCs and plasma. To measure Cu-Zn superoxide dismutase (SOD1) activity in RBCs, the method described by Marklund and Marklund (29) was used, which consists of a simple and rapid test based on the ability of SOD1 to inhibit the autoxidation of pyrogallol. The principle of this method is based on the competition between pyrogallol autoxidation by the superoxide anion (O2−) and the dismutation of this radical by SOD1. In this method, the rate of pyrogallol autooxidation was determined spectrophotometrically from the increase in absorbance at 420 nm; 1 unit of SOD1 activity was defined as the amount of the enzyme required to inhibit the rate of pyrogallol autooxidation by 50%. Results are expressed in U/mg hemoglobin (Hb). For the dosage of glutathione reductase (GR), a standard Randox kit-based colorimetric method was used (cat. no. GR2368; Randox Laboratories, Crumlin, UK). Results are expressed in U/g Hb for GR in RBCs, and U/l for GR in plasma (30). In addition, glutathione peroxidase (GPx) activity was measured in RBCs and plasma, according to a method derived from that of Günzler et al (31). The GPx assay was based on the oxidation of reduced nicotinamide dinucleotide phosphate (NADPH) to NADP+, which is associated with a decrease in the absorbance at 340 nm. The rate of this decrease is directly proportional to the GPx activity in the sample. GPx activity was subsequently evaluated in nM NADPH oxidized/min, and the results are expressed in U/g Hb for GPx in RBCs and in U/l for GPx in plasma.

Statistical analysis

A total of two different statistical tests were used: i) The two-tailed Student's t-test, for comparison between patient values and normal control reference values; and ii) Pearson's correlation test for analyzing the statistical association between the different variables of interest, including oxidative and antioxidative stress-associated biomarkers. All statistical analysis was performed using the XLSTAT software (XLSTAT 2018.1.49725; Addinsoft; https://www.xlstat.com). Considering the fact that the two-tailed Student's t-test was used to perform three comparisons (total EHS patients values, EHS patients with values above upper normal limits and EHS patients with values below the lower normal limits) with the one dataset of normal control reference values, the Bonferroni correction was applied, which sets the α cut-off of significance at 0.05/3, i.e. 0.016. While statistical analysis using the Pearson's correlation test was done with the cut-off value of α=0.05.

Results

Demographic data

A total of 32 EMFIS-bearing patients were included in this prospective study for oxidative and antioxidative stress biomarker analysis. The mean age was 50.6 years, ranging between 32 and 75 years. There were 22 females and 10 males, for an overall female/male sex ratio of 69%.

However, since NTT was measured in only 14 of the 32 cases in this series, the results obtained from a concomitant series of 46 additional EHS self-reporting patients (mean age, 49 years; female/male sex ratio, 71% female), all complying with the inclusion criteria (see above), were added, thus the results presented for NTT are based on the analysis of an overall number of 60 EMFIS-bearing patients. The demographic data are presented in Table III.

Table III

Demographic data.

Table III

Demographic data.

No. casesMean age, yearsAge range, yearsSex ratio, F/M (%F)
32a50.632–7522/10 (69)
46b4919–7933/13 (71)
123c4418–6561/62 (50)

a Measurement of all markers in 32 EHS self-reporting patients except for NTT which was measured in 14 patients.

b Measurement of NTT in 46 additional patients from a concomitant series of EHS self-reporting patients. NTT, nitrotyrosine; EHS, electrohypersensitivity.

c These historical apparently-normal controls were selected on the basis of a lack of clinical symptoms and medical history of diseases.

Oxidative stress biomarkers

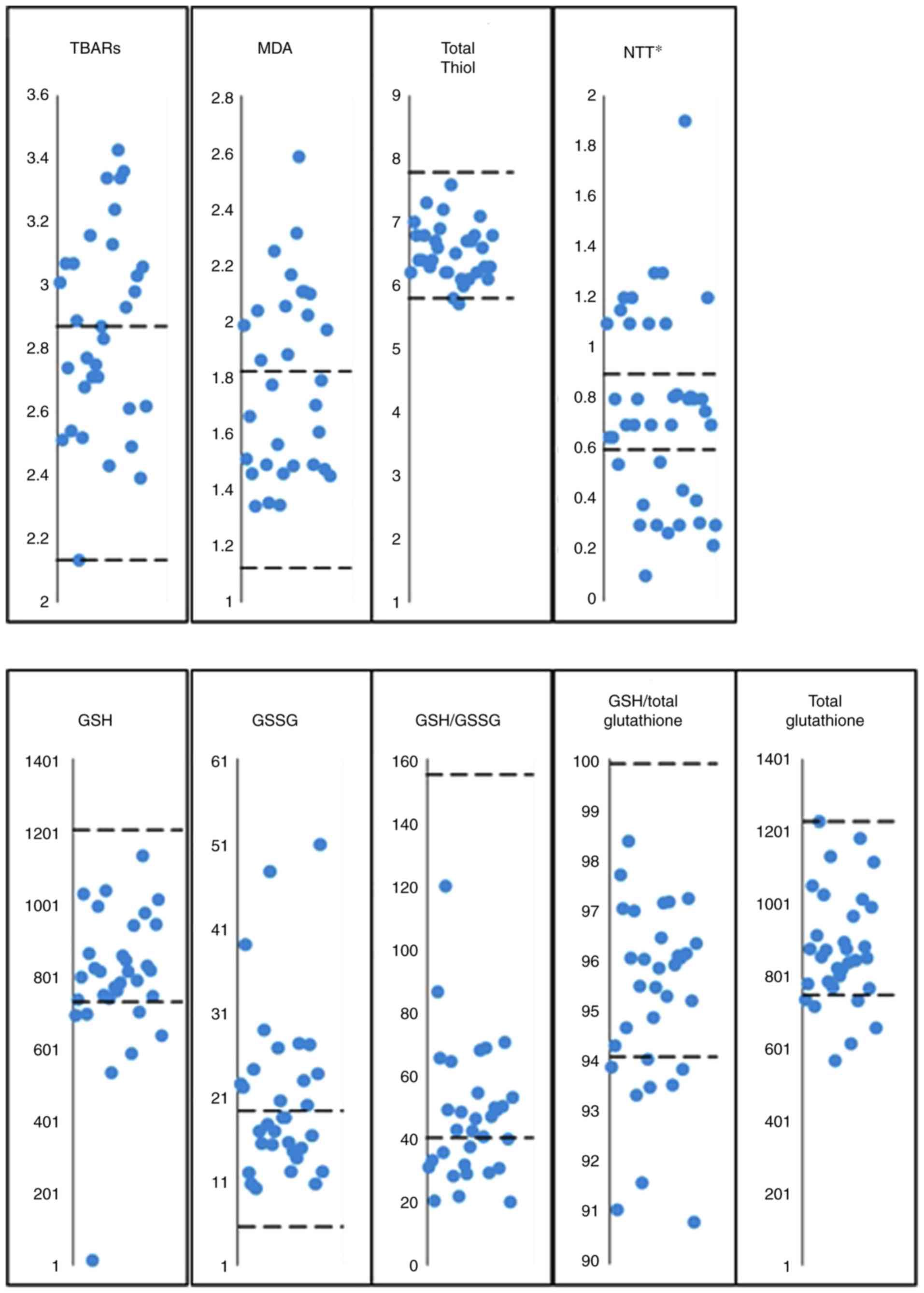
The results are depicted in Fig. 1, and in Tables IV and V. Fig. 1 presents the distribution values of the different oxidative stress biomarkers analyzed in EMFIS-bearing patients in comparison with normal-range values obtained from healthy controls. As indicated in Fig. 1, for a number of cases, TBARs, MDA, GSSG and NTT peripheral blood level values were above the upper normal limits, meaning that these cases were associated with detectable oxidative stress in the peripheral blood. These data are confirmed in Table IV. Overall, in comparison with normal-range values, the mean values (± standard deviation) for all 32 patients analyzed were statistically significantly increased for TBARs (P=0.013), and tended to be increased for MDA and GSSG (P=0.053 and P=0.051 respectively), although not for NTT (P=0.790). However, when restricting the analysis to EMFIS-bearing patients having values above the upper normal limits, relative to the values obtained in normal healthy controls (this concerns 30–50% of the patients, depending on the biomarker considered), a statistically significant difference was evident for TBARs, in addition to MDA, GSSG and NTT (P<0.0001); that is, for all the oxidative stress biomarkers analyzed thus far.

Figure 1

Values of oxidative stress biomarkers in the plasma of EHS self-reporting patients (electromagnetic fields intolerance syndrome-bearing patients) in comparison with normal range values. *Data were obtained from an overall series of 60 EHS self-reporting patients. TBARs, thiobarbituric acid-reactive substances; MDA, malondialdehyde; NTT, nitrotyrosine; GSH, reduced glutathione; GSSG, oxidized glutathione; EHS, electrohypersensitivity.

Table IV

Electromagnetic field intolerance syndrome-associated oxidative stress biomarkers measured in the peripheral blood of EHS self-reporting patients, including mean values (± SD) for all patients, and mean values (± SD), numbers and percentages of patients with mean values above the upper normal limits.

Table IV

Electromagnetic field intolerance syndrome-associated oxidative stress biomarkers measured in the peripheral blood of EHS self-reporting patients, including mean values (± SD) for all patients, and mean values (± SD), numbers and percentages of patients with mean values above the upper normal limits.

Oxidative stress biomarkersNormal values (range)Patients with EHS Mean ± SDP-valueaPatients with EHS with values above upper normal limits
P-valueb
No. of cases% of total casesMean ± SD
TBARS2.5±0.18 (2.13–2.86) µM2.85±0.060.01315/3248.883.14±0.17<0.0001
MDA1.46±0.17 (1.12–1.81) µM1.76±0.060.05314/3243.752.10±0.19<0.0001
GSSG12.4±3.4 (5.5–19.3) µM 20.74±1.74  0.05113/3240.63 29.46±9.95  <0.0001
NTT0.75±0.08 (0.6–0.9) µg/ml0.78±0.350.79020/6033.331.19±0.21<0.0001

a P-values obtained for comparisons between the patients with EHS and the controls. The Bonferroni correction sets the α cut-off for significance at 0.016.

b P-values obtained for comparison between the patients with EHS with values above the upper normal limits and the control group. The Bonferroni correction sets the α cut-off for significance at 0.016. MDA, malondialdehyde; TBARs, thiobarbituric acid reactive substances; NTT, nitrotyrosine; GSSG, oxidized glutathione; EHS, electrohypersensitivity; SD, standard deviation.

Table V

Electromagnetic field intolerance syndrome-associated non-enzymatic protein biomarkers measured in the peripheral blood of EHS self-reporting patients, including mean values (± SD) for all patients, and mean values (± SD), numbers and percentages of patients with mean values above the upper normal limits.

Table V

Electromagnetic field intolerance syndrome-associated non-enzymatic protein biomarkers measured in the peripheral blood of EHS self-reporting patients, including mean values (± SD) for all patients, and mean values (± SD), numbers and percentages of patients with mean values above the upper normal limits.

Oxidative stress biomarkersNormal values (range)Patients with EHSMean ± SDP-valueaPatients with EHS with values above upper normal limits
P-valueb
No. of cases% of total casesMean ± SD
GSH965±118 (729–1203) µM794.62±34.740.0126/3218.75639.47±69.27<0.0001
GSH/GSSG ratio84.15±29.35 (40.1–155) µM/µM46.92±3.68<0.000113/3240.6329.77±4.72<0.0001
GluT989±120 (749–1228) µM873.47±27.850.0416/3218.75 669.83±9.67  <0.0001
GSH/GluT ratio99±0.19 (94.1–99.9) %95.25±0.330.00099/3229.1392.86±1.29<0.0001
NTT0.75±0.08 (0.6–0.9) µg/ml0.78±0.350.79020/6033.330.41±0.14<0.0001

a P-values obtained for comparisons between the patients with EHS and the controls. The Bonferroni correction sets the α cut-off for significance at 0.016.

b P-values obtained for comparison between the patients with EHS with values above the upper normal limits and the control group. The Bonferroni correction sets the α cut-off for significance at 0.016. NTT, nitrotyrosine; GSSG, oxidized glutathione; GSH, reduced glutathione; GluT, total glutathione; EHS, electrohypersensitivity; SD, standard deviation.

Non-enzymatic protein-associated biomarkers

By contrast, as indicated in Fig. 1, considering the overall series of patients investigated, all values for the total protein thiol group were within the limits of normal-range values. There were also no blood level values above the upper normal limits for GSH, the GSH/GSSG ratio, GluT and the GSH/GluT ratio; however, in a number of cases, for these GSH-related biomarkers and for NTT, blood level values were below the normal-range values. These data are detailed in Table V. When analyzing the overall series of patients, all investigated biomarkers, with the exception of GluT and NTT, were observed to be statistically significantly below the lower normal limit values. However, when considering the 20–40% of patients with values below the lower normal limit values, this finding was confirmed for these biomarkers and also for GluT and NTT (P<0.0001), suggesting that certain oxidative stress-associated biomolecular processes resulting in a decrease in GSH, GluT and NTT may have occurred in these particular cases.

Antioxidative stress enzymes

The previous oxidative stress data were confirmed by measuring a number of antioxidative stress-associated key enzymes in RBCs and plasma. The results are depicted in Fig. 2 and Table VI. An important observation indicated in Fig. 2 was that SOD1 activity measured in RBCs was associated with values above the upper normal limits in ~60% of the patients, suggesting that this antioxidative stress-inducible enzyme is primarily involved in the oxidative stress detoxification process occurring in EMFIS-bearing patients. Furthermore Table VI indicates that when considering all included cases, there was statistically significantly increased activity in RBCs of SOD1, although not GPx (P=0.002 and P=0.044, respectively), and of GPx in the plasma. Likewise, in comparison with normal-range values, the mean values (± standard deviation) obtained in the ~60% of EMFIS-bearing patients having increased SOD1 activity, were revealed to be statistically significantly increased (P<0.0001). However, when restricting the analysis to the patients with GPx and CG increases, as indicated in Table VI, a statistically significant difference in comparison with normal control reference values in RBCs and plasma was identified in 19 and 10% of the patients respectively, and for GR in RBCs in ~6% (P<0.0001), meaning that EMFIS may be characterized by increased antioxidative stress-associated enzymatic activity in RBCs, primarily involving SOD1.

Figure 2

Values of specific activity of antioxidative detoxification enzymes measured in the plasma and RBCs of electrohypersensitivity self-reporting patients (electromagnetic fields intolerance syndrome-bearing patients) in comparison with normal range values. For GPx and GR, the patients with elevated plasma levels were different from those with elevated RBC levels. SOD, superoxide dismutase; GPx, glutathione peroxidase; GR, glutathione reductase; RBC, red blood cell.

Table VI

Electromagnetic field intolerance syndrome-associated antioxidative detoxification enzymatic activity measured in red blood cells and the plasma of EHS self-reporting patients, including mean values (± SD) for all patients, and mean values (± SD), number and percentage of patients with mean values above the upper normal limits.

Table VI

Electromagnetic field intolerance syndrome-associated antioxidative detoxification enzymatic activity measured in red blood cells and the plasma of EHS self-reporting patients, including mean values (± SD) for all patients, and mean values (± SD), number and percentage of patients with mean values above the upper normal limits.

Anti-oxidative stress enzymesNormal values (range)Patients with EHS Mean ± SDP-valueaPatients with EHS with values above upper normal limits
P-valueb
No. of cases% of total casesMean ± SD
SOD (RBC)1.34±0.06 (1.22–1.46) U/mg Hb1.50±0.020.00219/3259.381.57±0.08<0.0001
GPx (RBC)44.1±8.2 (27.8–60.5) U/g Hb 51.92±1.62  0.0446/3218.7566.70±4.76<0.0001
GPx (plasma)375±37.5 (300–450) U/l 379.28±9.30     0.83  3/329.38469.67±26.31<0.0001
GR (RBC)8.9±2.1 (4.7–13.2) U/g Hb9.42±0.34 0.56  2/326.2514.15±0.35<0.0001
GR (plasma)54±9 (33–75) U/l 61.69±9.17   0.16  00––

a P-values obtained for comparisons between the patients with EHS and the controls. The Bonferroni correction sets the α cut-off for significance at 0.016.

b P-values obtained for comparison between the patients with EHS with values above the upper normal limits and the control group. The Bonferroni correction sets the α cut-off for significance at 0.016. SOD, superoxide dismutase; GR, glutathione reductase; GPx, glutathione peroxidase; RBC, red blood cell.

Overall oxidative stress occurrence in EMFIS-bearing patients

Table VII reports the overall results obtained with the three principal categories of oxidative stress biomarkers used in this study: TBARs/MDA, GSSG and NTT. Fig. 3 summarizes the results: 42.85% of EHS self-reporting patients had one positive detectable oxidative stress biomarker, and 21.43 and 14.28% had 2 or 3 positive detectable oxidative stress biomarkers, respectively, meaning that overall, 80–90% of the cases were associated with at least one detectable oxidative stress biomarker in the peripheral blood. However, in order to provide a comprehensive interpretation of the findings characterizing EMFIS, the present study included a provisional molecular bioanalysis of the different results obtained, as presented in Figs. 4Figure 5–6.

Figure 3

Percentage of electrohypersensitivity self-reporting patients (electromagnetic fields intolerance syndrome-bearing patients) having positive TBARs, GSSG and/or NTT oxidative stress biomarkers measured in the peripheral blood. Positive biomarkers correspond to marker levels above the upper normal limit; 'total' corresponds to the patients with one or more positive biomarkers. Black bars indicate the percentage of patients with one, two or three of the three positive biomarkers (TBARS, GSSG and NTT), detected in 14 of the 32 included patients; white bars indicate the percentage of patients with one or two out of TBARs and GSSG in the total 32 included patients. TBARs, thiobarbituric acid-reactive substances; GSSG, oxidized glutathione; NTT, nitrotyrosine.

Figure 4

Fenton and Haber-Weiss reactions. Reduced form of transition-metals (M n) is oxidized by hydrogen peroxide to oxidized form of transition metals [M(n+1)], forming hydroxyl radical and water as byproducts. Superoxide radical (O2•−) can also react with oxidized form of transition metals [M(n+1)] in the Haber-Weiss reaction leading to the production of reduced form of transition-metals (M n).

Figure 5

Schematic diagram showing the detoxification role of GSH, SOD1, GPx, GR and Cat during oxidative stress. Superoxide radical can be generated through the activation of specialized enzymes or be generated as by-product of abnormal cellular metabolism, occurring particularly from the mitochondrial electron transport chain. Superoxide dismutase then converts superoxide to hydrogen peroxide which has to be rapidly removed from the system. This is generally achieved by catalases or peroxidases, such as the glutathione peroxidases which use reduced glutathione (GSH) as electron donor. Alternatively Iron(II) (present in the system) is oxidized by hydrogen peroxide to iron(III), forming hydroxyl radical and hydroxide ion. GSH, reduced glutathione; SOD1, Cu-Zn superoxide dismutase; GPx, glutathione peroxidase; GR, glutathione reductase; Cat, catalase; NADPH, reduced nicotinamide adenine dinucleotide phosphate.

Figure 6

Schematic representation of the lipid peroxidative chain reaction leading to malondialdehyde. Malondialdehyde may be generated in vivo as a side product of PUFA decomposition by enzymatic processes during the biosynthesis of allylic PUFA, lipid peroxyl radical and lipid hydroperoxyde. PUFA, polyunsaturated fatty acid.

Table VII

Percentage of electrohypersensitivity self-reporting patients (electromagnetic field intolerance syndrome-bearing patients) having positive TBARs, GSSG and/or NTT oxidative stress biomarkers measured in the peripheral blood.

Table VII

Percentage of electrohypersensitivity self-reporting patients (electromagnetic field intolerance syndrome-bearing patients) having positive TBARs, GSSG and/or NTT oxidative stress biomarkers measured in the peripheral blood.

No. of positive biomarkersMarkersPercentage of patients (%)
1NTT 14.28  
GSSG7.14
TBARs 21.43  
NTT or GSSG or TBARs 42.85  
2TBARs and GSSG7.14
NTT and TBARs7.14
NTT and GSSG7.14
TBARs and GSSG, or NTT and TBARs, or NTT and GSSG 21.42  
3NTT and TBARs and GSSG 14.28  

[i] TBARs, thiobarbituric acid reactive substances; NTT, nitrotyrosine; GSSG, oxidized glutathione.

Search for statistical correlations

Using Pearson's statistical correlation test, the present study sought to identify a correlation between the different biological parameters so far investigated.

Table VIII reports the results. It was observed that the plasma level of MDA (a well-known TBAR) was positively correlated with the TBAR plasma level, and that the GSSG plasma level was positively correlated with GSH and GluT plasma levels, and with GSH/GluT and GSH/GSSG ratios.

Table VIII

Analysis of statistically significant correlations between oxidative stress biomarkers, enzymatic and non-enzymatic antioxidative stress proteins, using the Pearson's correlation test.

Table VIII

Analysis of statistically significant correlations between oxidative stress biomarkers, enzymatic and non-enzymatic antioxidative stress proteins, using the Pearson's correlation test.

Variables P-values
TBARSMDAGSSGGSHGSH/GluTGSH/GSSGGluTSOD1GPx PlasmaGPx RBCGR PlasmaGR RBC
TBARS–<0.0010.3910.9310.4170.7750.8840.6550.1890.3520.7360.838
MDA<0.001–0.3730.9230.5510.7360.5400.8110.1570.5810.4320.542
GSSG0.3910.373–0.023<0.001<0.0010.0430.1050.2490.6030.1450.388
GSH0.9310.9230.023–0.2010.0300.0700.6110.0140.3710.6250.339
GSH/GluT0.4170.551<0.0010.201–<0.0010.9630.0620.7250.8700.1020.180
GSH/GSSG0.7750.736<0.0010.030<0.001–0.1120.0300.7750.5430.3220.294
GluT0.8840.5400.0430.0700.9630.112–0.6950.1000.1120.8020.284
SOD10.6550.8110.1050.6110.0620.0300.695–0.3090.3210.1620.791
GPx Plasma0.1890.1570.2490.0140.7250.7750.1000.309–0.1830.6730.770
GPx RBC0.3520.5810.6030.3710.8700.5430.1120.3210.183–0.8540.401
GR Plasma0.7360.4320.1450.6250.1020.3220.8020.1620.6730.854–0.012
GR RBC0.8380.5420.3880.3390.1800.2940.2840.7910.7700.4010.012–

[i] MDA, malondialdehyde; TBARs, thiobarbituric acid reactive substances; NTT, nitrotyrosine; GSSG, oxidized glutathione; GSH, reduced glutathione; GluT, total glutathione; SOD, superoxide dismutase; GR, glutathione reductase; GPx, glutathione peroxidase; RBC, red blood cell.

Furthermore, it was observed that the GSH/GSSG ratio was positively correlated with SOD1 activity in RBC, as tended to be the case for the GSH/GluT ratio (P=0.06). It was additionally identified that the GSH plasma level was positively correlated with the GPx activity level in plasma, although not with GPx activity in RBCs (P=0.371).

Discussion

It is well established that oxidative stress may cause profound alterations in biomolecules, including lipids, proteins and nucleic acids, and consequently may alter various cellular functions and structures (32,33). This explains why oxidative stress has been implicated in ageing and in a number of age-associated pathologies, including cancer, Alzheimer's disease, diabetes and cardiovascular diseases through genetic and/or epigenetic mechanisms (34). Concerning more particularly the role of oxidative stress in tumorigenesis, a general free radical theory was recently proposed linking oxidative stress to direct genetic toxicity and DNA mutagenesis, and indirectly to epigenetic alterations through free radical-induced protein epimutations (35). The present study reports for the first time, to the best of our knowledge, that ~80% of so-called EHS self-reporting patients present with oxidative stress, and thus may be considered to be bearing a truly objective pathological disorder, as is the case for cancer, Alzheimer's disease, or other diseases or pathological conditions. In the present study, the term EMFIS was preferred to EHS since, according to the clinical criteria used, it was not possible to clearly assess whether the patients exhibited a decreased tolerance threshold when exposed to EMFs. Furthermore, the term EMFIS was used preferentially to IEI-EMF, which has been proposed by the WHO, as all patients included in the present study clearly reported EMF-associated clinical symptoms (4).

During oxidative stress, among the reactive oxygen species (ROS) are the superoxide anion (O2°−), hydrogen peroxide (H2O2), the hydroxyl radical (OH°) and the hydroperoxyl radical (O2H°). Further, in redox cycling, transition metals including Fe, Cu, Ni and Co serve an important role in ROS formation (36).

Fe is the most commonly involved transition metal, and there are three classical reaction types. In the first step, namely the Haber-Weiss reaction, the superoxide anion reduces ferric ion into ferrous ion: Fe3+ + O2°− → Fe2+ + O2 [A]; while in a second step, namely the Fenton reaction, ferrous ion reacts with hydrogen peroxide to generate hydroxyl radicals and hydroxide ions: Fe2+ + H2O2 → Fe3+ + OH° + OH− [B].

Finally, in a third reaction, ferric ion is reduced to ferrous ion by reacting with a second hydrogen peroxide molecule, to recycle ferrous ion and form a hydroperoxyl radical and a proton: Fe3+ + H2O2 → Fe2+ + O2H° + H+ [C].

The net effect of [B] and [C] is the generation of the two ROS, OH° and O2H°, with H2O as a byproduct.

ROS are, however, difficult to measure directly due to their very short half-life. This explains why measurement of the products resulting from the molecular damage induced by ROS is the usual way to assess and measure oxidative stress. To that end, different oxidative stress and antioxidative response biomarkers were selected in the present study, representative of the different biochemical pathways and biological structural alterations that may occur when the organism is subjected to environmental stressors (37).

TBARs, which reflect the overall damage induced by non-enzymatic ROS-associated lipid peroxidation, among which MDA is the most prevalent byproduct (38), are commonly used biomarkers of lipoxidative stress (21). The reactive aldehyde MDA is a major indicator of the tissue damage resulting from the peroxidation of polyunsaturated fatty acids (PUFAs) induced by the two most prevalent ROS involved in lipoxidative stress: OH° and O2H° (39).

In fact, lipid peroxidation leads to the formation of numerous aldehydes, among which certain of them are highly reactive and may be considered as secondary messengers, which disseminate and amplify the initial oxidative stress. This is particularly the case for MDA, which is a bi-functional electrophile that is able to react strongly with nucleophiles, including amino acid residues in proteins (39). MDA adducts are thus biologically highly toxic, since they induce profound alterations in the structure and function of biomolecules by creating intramolecular or intermolecular protein/DNA cross-links (40,41).

This may explain why the majority of assays that have been developed to measure MDA on the basis of its derivatization with TBA have been challenged for their relative lack of specificity (42). This is due to the fact that TBA (in addition to MDA) is able to react spontaneously with numerous other molecules present in the test tube; by using a high temperature (90–100°C) to obtain the TBA/MDA spectrophotometrically-measurable condensation product, the process is able to generate in vitro further oxidation (43). In the present study, the method developed by Londero and Lo Greco (24) was used, which is considered to minimize the biases due to the procedure itself, and thus may increase specificity. Moreover, TBARs and MDA were measured simultaneously in the same sample and the values obtained for these two biomarkers were compared with the normal-range values obtained in healthy controls. Using this procedure, it was demonstrated that 40–50% of the patients had statistically significantly increased TBAR and MDA mean plasmatic values relative to normal values, a finding which strongly suggests that these patients present with an increased lipid peroxidation state detectable in their peripheral blood. In addition, these data were confirmed in the overall sample of 32 patients studied for TBARs, and tended to be significant for MDA.

Indeed these data may not be restricted to the peripheral blood, since cellular and nuclear membranes are primarily composed of fatty acids, including PUFAs. In the past 20 years MDA has been recognized as a reliable lipid peroxidation marker in a number of diseases, including cancer (44–47), type 2 diabetes (48), cardiovascular diseases (49,50) and Alzheimer's disease (51). On the basis of the present data, this is also the case for EMFIS, and this result is unsurprising since oxidative stress, including lipid peroxidation, has also been evidenced in similar recognized pathological conditions, including chronic fatigue syndrome (CFS) (52–56) and MCS (57).

However, as previously outlined, oxidative stress is an extremely complex redox cycling process resulting in various oxidizing/nitrosating free radical and molecular species attacks that exceed natural defense mechanisms; thus, it may not be measured by only one biomarker. In addition to TBARs and MDA, the present study measured GSH and, more specifically, GSSG and NTT as oxidative stress biomarkers. Glutathione is the primary compound that determines the redox state of a cell. It is a prototype antioxidant involved in cellular protection from the noxious effects of oxidative stress, directly and as cofactor of GPx. This thiol-containing tripeptide exists in an oxidized (GSSG) and reduced (GSH) form, and thus is a nucleophile and a reducing agent that is able to react with electrophilic and oxidizing species, allowing cells to escape the interaction of ROS with critical molecular targets, including proteins or nucleic acids (58). The ratio of GSH to the GSSG is a well-known marker of the redox state of a cell (59). Consequently GSH and GSSG were measured and their ratio (GSH/GSSG) and sum (GluT) were determined for the analysis of oxidative stress and the antioxidative stress response.

During oxidative stress, GSSG results from the oxidation of two GSH molecules by one hydrogen peroxide molecule, according to the following formula: 2GSH + H2O2 GSSG + 2H2O [D]; while the two GSH molecules are usually recycled from the reduction of GSSG, according to a reaction involving the coenzyme NADPH: GSSG + NADPH 2GSH + NADP+ [E].

It is notable that the oxidation of GSH according to [D] is catalyzed by GPx, while the reduction of GSSG according to [E] is catalyzed by GR; thus, according to [D] and [E], the activity of these two key enzymes in RBCs and plasma was measured.

In the present study, it was demonstrated that in comparison with normal-range values, the GSSG plasmatic mean value was statistically significantly increased in 40% of the patients, meaning that these patients presented with an oxidative redox state detectable in their peripheral blood. However, these data were not confirmed for the overall 32-patient sample for which the mean GSSG plasmatic mean value was not statistically significantly increased.

According to [D], it is assumed that increased GSSG may result in GSH depletion and consequently contribute to a decrease in antioxidant defenses. This may explain the result that in the overall patient sample studied, mean plasmatic values of GSH, the GSH/GSSG ratio and the GSH/GluT ratio were all statistically significantly decreased in comparison with normal control values; and that 20–40% of the patients with values of these biomarkers below the lower normal limits presented with statistically significantly decreased mean values in comparison with normal values, a finding which also confirmed that EHS self-reporting patients present with oxidative stress. Similar data were obtained in RBCs for GSH, although not for the GSSG/GluT ratio, in the De Luca et al (57) study, suggesting that the plasmatic measurement of GSSG, the GSH/GSSG ratio or the GSH/GluT ratio may be more informative compared with the measurement of the GSSG/GluT ratio in RBCs for the assessment of oxidative stress in EHS self-reporting patients.

Since the GSSG increase may be caused by an increase in GPx activity and/or by a decrease in GR activity, as indicated above, the present study measured the activity of these two key enzymes in RBCs and plasma. The overall mean GPx activity in the all 32 cases studied was not statistically significantly increased in RBCs and in plasma; with the exception of two cases, mean GR activity in RBCs and plasma was normal in all sample cases studied. However when considering the 18.75 and 9.28% of patients with increased GPx activity in RBCs and in plasma, respectively, a statistically significant difference was identified. Accordingly, it was suggested that the GSSG mean level increase in the peripheral blood may be associated with the increased GPx activity in ~19% of the patients, and/or by lower or normal GR activity; according to [E], the activity of this latter inducible enzyme is insufficient to recycle GSH from GSSG.

In the redox process GPx is an important enzyme as, by acting as a peroxynitrite reductase, it is able to efficiently reduce peroxynitrite/peroxynitrous acid (ONOO−/ONOOH) into nitrite (NO), thereby protecting cells against oxidative and nitrative reactions (60). The present data was not completely concordant with that obtained in the De Luca et al (57) study, which exhibited an overall statistically significant increase in GPx activity in RBCs in comparison with normal values. In addition, since GR activity was not measured in this latter study, it is not possible to confirm the accuracy of the present data demonstrating a normal level of GR activity in RBCs and plasma. In the present study, the evidence of oxidative stress in EHS self-reporting patients was, however, considerably reinforced by the evidence that, relative to normal values, the SOD1 mean value in RBCs was observed to be statistically significantly increased when considering the overall patient sample and the near 60% of the patients with mean values above the upper normal limit.

Such results were confirmed in patients with MCS in the De Luca et al (57) study, although not in patients with EHS; however, in these patients there was a strong tendency towards an increase in the SOD1 mean value in RBCs. The reason for such differences in comparison with the present data are not clear, and may be due to different inclusion criteria, since these criteria were not clearly detailed in the De Luca et al study, and/or to the use of a different dosage techniques.

SOD1 catalyzes the detoxification of the superoxide anion by dismuting this anion into hydrogen peroxide and molecular oxygen. O2°− + O2°− + 2H+ → H2O2 + O2 [F].

A further consideration to be made concerning the increased SOD1 activity in EMFIS-bearing patients is that according to [B] and [C], excessive production of H2O2 may provide excessive OH° and O2H° free radical and OH− ion production, and thus may amplify oxidative stress-induced detrimental health effects. Such a hypothesis is plausible since, in the present study, GPx activity was observed to be increased in only 10–18% of cases, thereby limiting its H2O2 detoxifying capacity. Another possibility for detoxifying H2O2 is catalase. However, catalase activity was not measured in the present study, although it was reported that in comparison with normal controls catalase activity tends to be decreased in EHS self-reporting patients (57), meaning that the H2O2 detoxifying capacity of catalase may be not sufficient in these patients.

It is possible, according to [D] and [F] by providing H2O2 in excess, that SOD1 may also indirectly contribute to the increased formation of GSSG, since as reported above it was demonstrated that GPx activity was normal or even increased in EHS self-reporting patients. In fact, whatever the resulting effects of the SOD1 increase in EHS self-reporting patients, it is notable that a similar increased level of SOD1 activity was reported in patients with Alzheimer's disease, with this increased level having been considered for the early diagnosis and therapeutic monitoring of this disease (61). This may also be the case for EMFIS-bearing patients.

During the oxidative process, peroxynitrite (ONOO−) may also be generated from the reaction of the superoxide anion with nitric oxide in the framework of an oxidative/nitrosative stress process, according to the following formula: O2−° + NO → ONOO− [G].

In this in vivo reaction, the radical coupling of NO with O2−° to form the non-free radical anion ONOO− is fast enough to outcompete the protective endogenous effect of SOD1. Although NO is regarded as a physiological cellular regulating agent, due to its rapid intra-tissue diffusion, it is also considered to be a crucial mediator of cellular damage occurring in different inflammation-associated pathological conditions, more particularly in neurodegenerative diseases, including Alzheimer's disease (62). Since NO is produced in large quantities in the brain, it is thought that it may serve a major contributing role in amplifying the peroxynitrite-induced toxicity in the central nervous system, thereby accounting for the fact that Alzheimer's disease is associated with peroxynitrite-associated oxidative stress. In fact, contrary to what was believed in the past, that the majority of oxidative stress-associated toxic effects may be attributed to NO, it is known that in vitro NO may inhibit lipid peroxidation (63); and it is now clearly established that due to the almost instantaneous formation of peroxynitrite each time NO and superoxide collide, peroxynitrite is the true toxic tissue damaging agent; peroxynitrite is a powerful oxidant that has been proven to cause pathogenic damage by interacting at a relatively slow rate and diffusion-limiting capacity with intracellular lipids, proteins and DNA (62).

A good example of such a selective reaction is the nitration of tyrosine residues in proteins and the formation of NTT, which thereby serves as a marker of peroxynitrite formation (64) and is a marker of oxidative/nitrosative stress (65).

The present study therefore included NTT in the battery of oxidative stress biomarkers used. Considering the overall sample of 60 EHS self-reporting patients investigated, wit was possible to define three categories of patients according to their NTT values: One-third of the patients exhibited values within the normal-range values, and another one-third exhibited values above the upper normal limits, while a further one-third of the patients presented with values below the lower normal limits. Notably, these findings were corroborated by the fact that in the latter two last categories, patients with abnormal mean values, these values were statistically significantly increased or decreased relative to normal values.

These data strongly suggested that one-third of the patients studied, those with statistically significantly increased NTT mean values, presented with detectable oxidative/nitrosative stress in the peripheral blood; overall, these data called into question why two-thirds of the patients presented with normal or statistically significantly decreased NTT values. The increase in NTT values in one-third of the patients may be easily explained by the increased peroxynitrite formation, and also by the fact that a decrease in GSH, usually an efficient scavenger of peroxynitrite (60), may result in a decrease in peroxynitrite detoxification. Furthermore, since SOD1 may also catalyze peroxynitrite-mediated tyrosine nitration (24), it may be hypothesized that the increased SOD1 activity that was identified in a number of patients may also contribute to the increased NTT detection in these patients.

Explaining the normal or decreased NTT values in two-thirds of the patients, however, is more problematic. A plausible hypothesis may be that according to [F], the increased SOD1 activity may strongly detoxify the organism of superoxide anions, thus decreasing the formation of peroxynitrite to such a level that the NTT may have been normalized or even decreased. If such hypothesis were to be validated, it may further confirm the existence of oxidative stress in these patients, since this detoxification process would involve increased SOD1 activity. A second hypothesis may be associated with the scavenging of peroxynitrite by GSH since, as reported above, peroxynitrite is able to directly oxidize low molecular weight thiols, including GSH; this hypothesis is in agreement with the decrease in GSH bioavailability that was observed in the patients. Finally, a third hypothesis may involve the inactivating effects of peroxynitrite on certain enzymes, by inducing the nitration of tyrosine and the oxidation of cysteine. In agreement with the present data, this may be the case for GR in a majority of patients, and for GPx and SOD1 in a number of them, and it may be the case for catalase, according to the data obtained by De Luca et al (57). Tyrosine nitration may indeed affect the structure and function of selective proteins (66), and consequently must be considered to be a central process of peroxynitrite-mediated toxicity. It is notable that tyrosine nitration and, more particularly, GSH depletion, in association with increased peroxynitrite toxicity, has been proposed to contribute to the occurrence and progression of a number of inflammation-associated diseases, particularly the neuro-degenerative diseases Parkinson's disease (67), Alzheimer's disease (68) and amyotrophic lateral sclerosis (69). A key molecular mechanism that may account for the occurrence of these pathological disorders may involve the activation of the proinflammatory transcription factor nuclear factor (NF)-κB by hydrogen peroxide (70) and/or peroxynitrite, possibly through the classical inhibitor of NF-κB kinase-dependent cell-type specific pathway (71). Further research in this field of molecular biology is required in order to elucidate the molecular causal role of oxidative stress in the onset of inflammation and, more particularly, inflammation-associated disease.

Whatever the precise molecular mechanism to be considered, the present data strongly suggest that EHS self-reporting patients, more precisely EMFIS-bearing patients, present with oxidative/nitrosative stress. This has been evidenced by measuring TBARs, MDA, GSSG/GSH and NTT in the plasma, and the inducible enzymes SOD1 in RBCs and GPx in RBCs and plasma. The search for a correlation between these different parameters confirmed the coherence of the present molecular dissection analysis.

A major finding of the present study was that by using a limited number of oxidative stress biomarkers, 70–80% of EHS self-reporting patients were able to be characterized by the existence of oxidative stress. Consequently, as is the case for numerous chronic pathological disorders, including cancer (44–47), diabetes (48), cardiovascular diseases (49,50), neurodegenerative diseases (51), and similar pathological syndromes including CFS (51–55) and MCS (57), the present data strongly suggested that EMFIS may be characterized by some degree of chronic inflammation (3,4) in addition to oxidative stress. This means that EMFIS (as for MCS and CFS) is a novel pathological disorder which merits recognition by the international biomedical community and classification as such by the WHO.

There remains no clear explanation as to the causal origin of oxidative stress in EHS self-reporting patients. The hypothesis that a nocebo effect may have been initially causal in the onset of oxidative stress is unlikely, since this is unable to explain the molecular abnormalities that were evident in the present study (4). The hypothesis that certain environmental stressors may be causally implicated in the onset of this pathology requires further investigation. Since it was previously demonstrated that MCS is frequently associated with EHS in EHS self-reporting patients (3), man-made chemicals may theoretically be these environmental stressors. However, in the present study, all patients with MCS that may have been associated with EHS were excluded, thus EMF exposure, as reported by the patients, may be an environmental stressor. This hypothesis merits consideration since numerous in vitro and animal experimental studies have reported that extremely low frequencies (ELF) radiation exposure (72,73), and more importantly radio-frequencies (RF) EMF exposure (74–79), are associated with oxidative stress occurrence, with the resulting biological effects including alterations in differentiation (72,73), inflammatory responses and DNA damage (77,80); all these detrimental effects occur more frequently in the brain (74,76–79).

Finally, it may be concluded that regardless of its causal origin, EMFIS may be biologically characterized as a novel pathological disorder, and thus may be diagnosed in medical practice on the basis of clinical symptoms, and more objectively by measuring: Inflammation-associated biomarkers, including histamine, protein S100B and the cellular stress chaperone proteins Hsp70 and Hsp27 (3); oxidative stress biomarkers, including TBARs, MDA, GSS and NTT in plasma; and anti-oxidative defense biomarkers, including SOD in RBCs, and GSH and GPx in plasma.

Acknowledgments

The authors acknowledge Ms. Marie Anne Barros from the Association for Research on Treatment Against Cancer (ARTAC; Paris, France) for clinical assistance, and Dr Natalio Awaida from Labo XV-Paris (Paris, France) for blood collection. The authors also thank Mr. Tony Tweedale from Rebutting Industry Science with Knowledge (RISK) Consultancy for his careful review of the manuscript.

Abbreviations:

CFS

chronic fatigue syndrome

EHS

electro-hypersensitivity

EMFIS

electromagnetic fields intolerance syndrome

GluT

total glutathione

GPx

glutathione peroxidase

GSH

reduced glutathione

GR

glutathione reductase

GSSG

oxidized glutathione

MCS

multiple chemical sensitivity

MDA

malondialdehyde

NTT

nitrotyrosine

RBC

red blood cells

SOD1

Cu-Zn superoxide dismutase

TBARs

thiobarbituric acid-reactive substances

Funding

The present study was supported by a specific grant (grant no. F13080012) provided by the Osato Research Institute (Gifu, Japan) and by ARTAC, a non-profit private research center (Paris, France; www.artac.info).

Availability of data and materials

The datasets used and analyzed during the current study are available from the corresponding author on reasonable request.

Authors' contributions

PI and DB designed the study and developed data collection tools. DB, as principal investigator, led the overall study with respect to data collection, data management, data analysis and interpretation. PI and DC directly provided technical input and guidance for participant selection, data collection, and data analysis and interpretation. DB wrote the manuscript, and PI and DB directly provided critical input to frame and finalize the manuscript. All authors read and approved the final manuscript.

Ethics approval and consent to participate

The present study, part of a therapeutic clinical trial using Fermented Papaya Preparation to treat EHS self-reporting patients (4), was agreed by the European Cancer and Environmental Research Institute (ECERI) scientific/ethical advisory committee, and was conducted according to currently accepted ethical guidelines, including informed written consent approval signed by all patients prior to inclusion. This investigation has been also registered in the European Clinical Trials Database ('EudraCT') under the registration no. 2017-003937-27.

Patient consent for publication

Not applicable.

Competing interests

The authors declare that they have no competing interests.

References

1 

WHO (World Health Organization): WHO Fact Sheet No. 296. Electromagnetic Fields and Public Health, Electromagnetic Hypersensitivity Electromagnetic Fields and Public Health, Electromagnetic Hypersensitivity. Available from: http://www.who.int/peh-emf/publications/facts/fs296/en/. 2005

2 

Hansson Mild K, Repacholi M, van Deventer E and Ravazzani P: Working Group Report. Proceedings International Workshop on EMF hypersensitivity; 25-27 October 2004; Prague, Czech Republic. WHO Press; Milan: pp. 15–26. 2006

3 

Belpomme D, Campagnac C and Irigaray P: Reliable disease biomarkers characterizing and identifying electrohypersensi-tivity and multiple chemical sensitivity as two etiopathogenic aspects of a unique pathological disorder. Rev Environ Health. 30:251–271. 2015. View Article : Google Scholar

4 

Irigaray P, Garrel C, Houssay C, Mantello P and Belpomme D: Beneficial effects of a Fermented Papaya Preparation for the treatment of electrohypersensitivity self-reporting patients: Results of a phase I-II clinical trial with special reference to cerebral pulsation measurement and oxidative stress analysis. Funct Foods Health Dis. 8:122–144. 2018.

5 

Belpomme D, Hardell L, Belyaev I, Burgio E and Carpenter D: Thermal and non-thermal health effects of non-ionizing radiation: An international consensus perspective. Envpol. In press.

6 

Bergqvist U and Vogel E: Possible health implications of subjective symptoms and electromagnetic fields. A report prepared by a European group of experts for the European Commission, DGV. Arbete och Hälsa, European Commission DG V, National Institute for Working Life; 1997, https://gupea.ub.gu.se//bitstream/2077/4156/1/ah1997_19.pdf.

7 

Santini R, Seigne M, Bonhomme-Faivre L, Bouffet S, Defrasme E and Sage M: Symptoms experienced by users of digital cellular phones: A study of a French engineering school. Electromagn Biol Med. 21:81–88. 2002. View Article : Google Scholar

8 

Röösli M: Radiofrequency electromagnetic field exposure and non-specific symptoms of ill health: A systematic review. Environ Res. 107:277–287. 2008. View Article : Google Scholar : PubMed/NCBI

9 

Baliatsas C, Van Kamp I, Bolte J, Schipper M, Yzermans J and Lebret E: Non-specific physical symptoms and electromagnetic field exposure in the general population: Can we get more specific? A systematic review. Environ Int. 41:15–28. 2012. View Article : Google Scholar : PubMed/NCBI

10 

Hagström M, Auranen J and Ekman R: Electromagnetic hypersensitive Finns: Symptoms, perceived sources and treatments, a questionnaire study. Pathophysiology. 20:117–122. 2013. View Article : Google Scholar : PubMed/NCBI

11 

Irigaray P, Lebar P and Belpomme D: How ultrasonic cerebral tomosphygmography can contribute to the diagnosis of electro-hypersensitivity. JUM. In press.

12 

Greaves MW and Sabroe RA: Histamine: The quintessential mediator. J Dermatol. 23:735–740. 1996. View Article : Google Scholar : PubMed/NCBI

13 

Kapural M, Krizanac-Bengez LJ, Barnett G, Perl J, Masaryk T, Apollo D, Rasmussen P, Mayberg MR and Janigro D: Serum S-100beta as a possible marker of blood-brain barrier disruption. Brain Res. 940:102–104. 2002. View Article : Google Scholar : PubMed/NCBI

14 

Kanner AA, Marchi N, Fazio V, Mayberg MR, Koltz MT, Siomin V, Stevens GH, Masaryk T, Aumayr B, Vogelbaum MA, et al: Serum S100beta: A noninvasive marker of blood-brain barrier function and brain lesions. Cancer. 97:2806–2813. 2003. View Article : Google Scholar : PubMed/NCBI

15 

Morimoto RI: Cells in stress: Transcriptional activation of heat shock genes. Science. 259:1409–1410. 1993. View Article : Google Scholar : PubMed/NCBI

16 

Santoro MG: Heat shock factors and the control of the stress response. Biochem Pharmacol. 59:55–63. 2000. View Article : Google Scholar

17 

Lebel B, Arnoux B, Chanez P, Bougeard YH, Daures JP, Bousquet J and Campbell AM: Ex vivo pharmacologic modulation of basophil histamine release in asthmatic patients. Allergy. 51:394–400. 1996. View Article : Google Scholar : PubMed/NCBI

18 

Smit LH, Korse CM and Bonfrer JM: Comparison of four different assays for determination of serum S-100B. Int J Biol Markers. 20:34–42. 2005. View Article : Google Scholar : PubMed/NCBI

19 

De AK and Roach SE: Detection of the soluble heat shock protein 27 (hsp27) in human serum by an ELISA. J Immunoassay Immunochem. 25:159–170. 2004. View Article : Google Scholar : PubMed/NCBI

20 

Pockley AG, Shepherd J and Corton JM: Detection of heat shock protein 70 (Hsp70) and anti-Hsp70 antibodies in the serum of normal individuals. Immunol Invest. 27:367–377. 1998. View Article : Google Scholar : PubMed/NCBI

21 

Pryor WA: On the detection of lipid hydroperoxides in biological samples. Free Radic Biol Med. 7:177–178. 1989. View Article : Google Scholar : PubMed/NCBI

22 

Sies H: Glutathione and its role in cellular functions. Free Radic Biol Med. 27:916–921. 1999. View Article : Google Scholar : PubMed/NCBI

23 

Radi R: Nitric oxide, oxidants, and protein tyrosine nitration. Proc Natl Acad Sci USA. 101:4003–4008. 2004. View Article : Google Scholar : PubMed/NCBI

24 

Londero D and Lo Greco P: Automated high-performance liquid chromatographic separation with spectrofluorometric detection of a malondialdehyde-thiobarbituric acid adduct in plasma. J Chromatogr A. 729:207–210. 1996. View Article : Google Scholar : PubMed/NCBI

25 

Ohkawa H, Ohishi N and Yagi K: Assay for lipid peroxides in animal tissues by thiobarbituric acid reaction. Anal Biochem. 95:351–358. 1979. View Article : Google Scholar : PubMed/NCBI

26 

Akerboom TP and Sies H: Assay of glutathione, glutathione disulfide, and glutathione mixed disulfides in biological samples. Methods Enzymol. 77:373–382. 1981. View Article : Google Scholar : PubMed/NCBI

27 

Ischiropoulos H, Zhu L, Chen J, Tsai M, Martin JC, Smith CD and Beckman JS: Peroxynitrite-mediated tyrosine nitration catalyzed by superoxide dismutase. Arch Biochem Biophys. 298:431–437. 1992. View Article : Google Scholar : PubMed/NCBI

28 

Jocelyn PC: Spectrophotometric assay of thiols. Methods Enzymol. 143:44–67. 1987. View Article : Google Scholar : PubMed/NCBI

29 

Marklund S and Marklund G: Involvement of the superoxide anion radical in the autoxidation of pyrogallol and a convenient assay for superoxide dismutase. Eur J Biochem. 47:469–474. 1974. View Article : Google Scholar : PubMed/NCBI

30 

Mannervik B: Measurement of glutathione reductase activity. Curr Protoc Toxicol. May;2001.PubMed/NCBI

31 

Günzler WA, Kremers H and Flohé L: An improved coupled test procedure for glutathione peroxidase (EC 1-11-1-9-) in blood. Z Klin Chem Klin Biochem. 12:444–448. 1974.PubMed/NCBI

32 

Avery SV: Molecular targets of oxidative stress. Biochem J. 434:201–210. 2011. View Article : Google Scholar : PubMed/NCBI

33 

Holmström KM and Finkel T: Cellular mechanisms and physiological consequences of redox-dependent signalling. Nat Rev Mol Cell Biol. 15:411–421. 2014. View Article : Google Scholar : PubMed/NCBI

34 

Cencioni C, Spallotta F, Martelli F, Valente S, Mai A, Zeiher AM and Gaetano C: Oxidative stress and epigenetic regulation in ageing and age-related diseases. Int J Mol Sci. 14:17643–17663. 2013. View Article : Google Scholar : PubMed/NCBI

35 

Belpomme D: Epigenetics and environmental carcinogenesis: Towards a general free radical theory of cancer. In: World Cancer Congress. Session 202: Cancer Epigenetics and DNA Methylation; Abstract no. 1. Barcelona, Spain. pp. 732017

36 

Beckman JS: Oxidative damage and tyrosine nitration from peroxynitrite. Chem Res Toxicol. 9:836–844. 1996. View Article : Google Scholar : PubMed/NCBI

37 

Ray PD, Huang BW and Tsuji Y: Reactive oxygen species (ROS) homeostasis and redox regulation in cellular signaling. Cell Signal. 24:981–990. 2012. View Article : Google Scholar : PubMed/NCBI

38 

Nielsen F, Mikkelsen BB, Nielsen JB, Andersen HR and Grandjean P: Plasma malondialdehyde as biomarker for oxida-tive stress: Reference interval and effects of life-style factors. Clin Chem. 43:1209–1214. 1997.PubMed/NCBI

39 

Ayala A, Muñoz MF and Argüelles S: Lipid peroxidation: Production, metabolism, and signaling mechanisms of malondi-aldehyde and 4-hydroxy-2-nonenal. Oxid Med Cell Longev. 2014:3604382014. View Article : Google Scholar

40 

Negre-Salvayre A, Coatrieux C, Ingueneau C and Salvayre R: Advanced lipid peroxidation end products in oxidative damage to proteins. Potential role in diseases and therapeutic prospects for the inhibitors. Br J Pharmacol. 153:6–20. 2008. View Article : Google Scholar

41 

Pizzimenti S, Ciamporcero E, Daga M, Pettazzoni P, Arcaro A, Cetrangolo G, Minelli R, Dianzani C, Lepore A, Gentile F and Barrera G: Interaction of aldehydes derived from lipid peroxidation and membrane proteins. Front Physiol. 4:2422013. View Article : Google Scholar : PubMed/NCBI

42 

Del Rio D, Stewart AJ and Pellegrini N: A review of recent studies on malondialdehyde as toxic molecule and biological marker of oxidative stress. Nutr Metab Cardiovasc Dis. 15:316–328. 2005. View Article : Google Scholar : PubMed/NCBI

43 

Slatter DA, Avery NC and Bailey AJ: Identification of a new cross-link and unique histidine adduct from bovine serum albumin incubated with malondialdehyde. J Biol Chem. 279:61–69. 2004. View Article : Google Scholar

44 

Gönenç A, Ozkan Y, Torun M and Simşek B: Plasma malondi-aldehyde (MDA) levels in breast and lung cancer patients. J Clin Pharm Ther. 26:141–144. 2001. View Article : Google Scholar

45 

Akbulut H, Akbulut KG, Icli F and Büyükcelik A: Daily variations of plasma malondialdehyde levels in patients with early breast cancer. Cancer Detect Prev. 27:122–126. 2003. View Article : Google Scholar : PubMed/NCBI

46 

Manju V, Kalaivani Sailaja J and Nalini N: Circulating lipid peroxidation and antioxidant status in cervical cancer patients: A case-control study. Clin Biochem. 35:621–625. 2002. View Article : Google Scholar : PubMed/NCBI

47 

Bakan E, Taysi S, Polat MF, Dalga S, Umudum Z, Bakan N and Gumus M: Nitric oxide levels and lipid peroxidation in plasma of patients with gastric cancer. Jpn J Clin Oncol. 32:162–166. 2002. View Article : Google Scholar : PubMed/NCBI

48 

Dierckx N, Horvath G, van Gils C, Vertommen J, van de Vliet J, De Leeuw I and Manuel-y-Keenoy B: Oxidative stress status in patients with diabetes mellitus: Relationship to diet. Eur J Clin Nutr. 57:999–1008. 2003. View Article : Google Scholar : PubMed/NCBI

49 

Polidori MC, Savino K, Alunni G, Freddio M, Senin U, Sies H, Stahl W and Mecocci P: Plasma lipophilic antioxidants and malo-ndialdehyde in congestive heart failure patients: Relationship to disease severity. Free Radic Biol Med. 32:148–152. 2002. View Article : Google Scholar : PubMed/NCBI

50 

Tamer L, Sucu N, Polat G, Ercan B, Aytacoglu B, Yücebilgiç G, Unlü A, Dikmengil M and Atik U: Decreased serum total antioxidant status and erythrocyte-reduced glutathione levels are associated with increased serum malondialdehyde in atherosclerotic patients. Arch Med Res. 33:257–260. 2002. View Article : Google Scholar : PubMed/NCBI

51 

Delibas N, Ozcankaya R and Altuntas I: Clinical importance of erythrocyte malondialdehyde levels as a marker for cognitive deterioration in patients with dementia of Alzheimer type: A repeated study in 5-year interval. Clin Biochem. 35:137–141. 2002. View Article : Google Scholar : PubMed/NCBI

52 

Logan AC and Wong C: Chronic fatigue syndrome: Oxidative stress and dietary modifications. Altern Med Rev. 6:450–459. 2001.PubMed/NCBI

53 

Manuel y Keenoy B, Moorkens G, Vertommen J and De Leeuw I: Antioxidant status and lipoprotein peroxidation in chronic fatigue syndrome. Life Sci. 68:2037–2049. 2001. View Article : Google Scholar : PubMed/NCBI

54 

Vecchiet J, Cipollone F, Falasca K, Mezzetti A, Pizzigallo E, Bucciarelli T, De Laurentis S, Affaitati G, De Cesare D and Giamberardino MA: Relationship between musculoskeletal symptoms and blood markers of oxidative stress in patients with chronic fatigue syndrome. Neurosci Lett. 335:151–154. 2003. View Article : Google Scholar : PubMed/NCBI

55 

Richards RS, Wang L and Jelinek H: Erythrocyte oxidative damage in chronic fatigue syndrome. Arch Med Res. 38:94–98. 2007. View Article : Google Scholar

56 

Maes M: Inflammatory and oxidative and nitrosative stress pathways underpinning chronic fatigue, somatization and psychosomatic symptoms. Curr Opin Psychiatry. 22:75–83. 2009. View Article : Google Scholar : PubMed/NCBI

57 

De Luca C, Thai JC, Raskovic D, Cesareo E, Caccamo D, Trukhanov A and Korkina L: Metabolic and genetic screening of electromagnetic hypersensitive subjects as a feasible tool for diagnostics and intervention. Mediators Inflamm. 2014:9241842014. View Article : Google Scholar : PubMed/NCBI

58 

Aquilano K, Baldelli S and Ciriolo MR: Glutathione: New roles in redox signaling for an old antioxidant. Front Pharmacol. 5:1962014. View Article : Google Scholar : PubMed/NCBI

59 

Zitka O, Skalickova S, Gumulec J, Masarik M, Adam V, Hubalek J, Trnkova L, Kruseova J, Eckschlager T and Kizek R: Redox status expressed as GSH:GSSG ratio as a marker for oxidative stress in paediatric tumour patients. Oncol Lett. 4:1247–1253. 2012. View Article : Google Scholar : PubMed/NCBI

60 

Briviba K, Kissner R, Koppenol WH and Sies H: Kinetic study of the reaction of glutathione peroxidase with peroxynitrite. Chem Res Toxicol. 11:1398–1401. 1998. View Article : Google Scholar : PubMed/NCBI

61 

Rossi L, Squitti R, Pasqualetti P, Marchese E, Cassetta E, Forastiere E, Rotilio G, Rossini PM and Finazzi-Agró A: Red blood cell copper, zinc superoxide dismutase activity is higher in Alzheimer's disease and is decreased by D-penicillamine. Neurosci Lett. 329:137–140. 2002. View Article : Google Scholar : PubMed/NCBI

62 

Pacher P, Beckman JS and Liaudet L: Nitric oxide and peroxyni-trite in health and disease. Physiol Rev. 87:315–424. 2007. View Article : Google Scholar : PubMed/NCBI

63 

O'Donnell VB, Chumley PH, Hogg N, Bloodsworth A, Darley-Usmar VM and Freeman BA: Nitric oxide inhibition of lipid peroxidation: Kinetics of reaction with lipid peroxyl radicals and comparison with alpha-tocopherol. Biochemistry. 36:15216–15223. 1997. View Article : Google Scholar

64 

Ohshima H, Friesen M, Brouet I and Bartsch H: Nitrotyrosine as a new marker for endogenous nitrosation and nitration of proteins. Food Chem Toxicol. 28:647–652. 1990. View Article : Google Scholar : PubMed/NCBI

65 

Ischiropoulos H: Biological tyrosine nitration: A pathophysi-ological function of nitric oxide and reactive oxygen species. Arch Biochem Biophys. 356:1–11. 1998. View Article : Google Scholar : PubMed/NCBI

66 

Schopfer FJ, Baker PR and Freeman BA: NO-dependent protein nitration: A cell signaling event or an oxidative inflammatory response? Trends Biochem Sci. 28:646–654. 2003. View Article : Google Scholar : PubMed/NCBI

67 

Marshall KA, Reist M, Jenner P and Halliwell B: The neuronal toxicity of sulfite plus peroxynitrite is enhanced by glutathione depletion: Implications for Parkinson's disease. Free Radic Biol Med. 27:515–520. 1999. View Article : Google Scholar : PubMed/NCBI

68 

Reynolds MR, Berry RW and Binder LI: Site-specific nitration and oxidative dityrosine bridging of the tau protein by peroxyni-trite: Implications for Alzheimer's disease. Biochemistry. 44:1690–1700. 2005. View Article : Google Scholar : PubMed/NCBI

69 

Vargas MR, Pehar M, Cassina P, Beckman JS and Barbeito L: Increased glutathione biosynthesis by Nrf2 activation in astro-cytes prevents p75NTR-dependent motor neuron apoptosis. J Neurochem. 97:687–696. 2006. View Article : Google Scholar : PubMed/NCBI

70 

Gloire G, Legrand-Poels S and Piette J: NF-kappaB activation by reactive oxygen species: Fifteen years later. Biochem Pharmacol. 72:1493–1505. 2006. View Article : Google Scholar : PubMed/NCBI

71 

Matata BM and Galinanes M: Peroxynitrite is an essential component of cytokines production mechanism in human monocytes through modulation of nuclear factor-kappa B DNA binding activity. J Biol Chem. 277:2330–2335. 2002. View Article : Google Scholar

72 

Falone S, Grossi MR, Cinque B, D'Angelo B, Tettamanti E, Cimini A, Di Ilio C and Amicarelli F: Fifty hertz extremely low-frequency electromagnetic field causes changes in redox and differentiative status in neuroblastoma cells. Int J Biochem Cell Biol. 39:2093–2106. 2007. View Article : Google Scholar : PubMed/NCBI

73 

Park JE, Seo YK, Yoon HH, Kim CW, Park JK and Jeon S: Electromagnetic fields induce neural differentiation of human bone marrow derived mesenchymal stem cells via ROS mediated EGFR activation. Neurochem Int. 62:418–424. 2013. View Article : Google Scholar : PubMed/NCBI

74 

Consales C, Merla C, Marino C and Benassi B: Electromagnetic fields, oxidative stress, and neurodegeneration. Int J Cell Biol. 2012:6838972012. View Article : Google Scholar : PubMed/NCBI

75 

Esmekaya MA, Ozer C and Seyhan N: 900 MHz pulse-modulated radiofrequency radiation induces oxidative stress on heart, lung, testis and liver tissues. Gen Physiol Biophys. 30:84–89. 2011. View Article : Google Scholar : PubMed/NCBI

76 

Kesari KK, Kumar S and Behari J: 900-MHz microwave radiation promotes oxidation in rat brain. Electromagn Biol Med. 30:219–234. 2011. View Article : Google Scholar : PubMed/NCBI

77 

Megha K, Deshmukh PS, Banerjee BD, Tripathi AK, Ahmed R and Abegaonkar MP: Low intensity microwave radiation induced oxidative stress, inflammatory response and DNA damage in rat brain. Neurotoxicology. 51:158–165. 2015. View Article : Google Scholar : PubMed/NCBI

78 

Furtado-Filho OV, Borba JB, Maraschin T, Souza LM, Henriques JA, Moreira JC and Saffi J: Effects of chronic exposure to 950 MHz ultra-high-frequency electromagnetic radiation on reactive oxygen species metabolism in the right and left cerebral cortex of young rats of different ages. Int J Radiat Biol. 91:891–897. 2015. View Article : Google Scholar : PubMed/NCBI

79 

Dasdag S, Akdag MZ, Ulukaya E, Uzunlar AK and Ocak AR: Effect of mobile phone exposure on apoptotic glial cells and status of oxidative stress in rat brain. Electromagn Biol Med. 28:342–354. 2009. View Article : Google Scholar : PubMed/NCBI

80 

Simkó M: Cell type specific redox status is responsible for diverse electromagnetic field effects. Curr Med Chem. 14:1141–1152. 2007. View Article : Google Scholar : PubMed/NCBI

Related Articles

  • Abstract
  • View
  • Download
  • Twitter
Copy and paste a formatted citation
Spandidos Publications style
Irigaray P, Caccamo D and Belpomme D: Oxidative stress in electrohypersensitivity self‑reporting patients: Results of a prospective in vivo investigation with comprehensive molecular analysis. Int J Mol Med 42: 1885-1898, 2018.
APA
Irigaray, P., Caccamo, D., & Belpomme, D. (2018). Oxidative stress in electrohypersensitivity self‑reporting patients: Results of a prospective in vivo investigation with comprehensive molecular analysis. International Journal of Molecular Medicine, 42, 1885-1898. https://doi.org/10.3892/ijmm.2018.3774
MLA
Irigaray, P., Caccamo, D., Belpomme, D."Oxidative stress in electrohypersensitivity self‑reporting patients: Results of a prospective in vivo investigation with comprehensive molecular analysis". International Journal of Molecular Medicine 42.4 (2018): 1885-1898.
Chicago
Irigaray, P., Caccamo, D., Belpomme, D."Oxidative stress in electrohypersensitivity self‑reporting patients: Results of a prospective in vivo investigation with comprehensive molecular analysis". International Journal of Molecular Medicine 42, no. 4 (2018): 1885-1898. https://doi.org/10.3892/ijmm.2018.3774
Copy and paste a formatted citation
x
Spandidos Publications style
Irigaray P, Caccamo D and Belpomme D: Oxidative stress in electrohypersensitivity self‑reporting patients: Results of a prospective in vivo investigation with comprehensive molecular analysis. Int J Mol Med 42: 1885-1898, 2018.
APA
Irigaray, P., Caccamo, D., & Belpomme, D. (2018). Oxidative stress in electrohypersensitivity self‑reporting patients: Results of a prospective in vivo investigation with comprehensive molecular analysis. International Journal of Molecular Medicine, 42, 1885-1898. https://doi.org/10.3892/ijmm.2018.3774
MLA
Irigaray, P., Caccamo, D., Belpomme, D."Oxidative stress in electrohypersensitivity self‑reporting patients: Results of a prospective in vivo investigation with comprehensive molecular analysis". International Journal of Molecular Medicine 42.4 (2018): 1885-1898.
Chicago
Irigaray, P., Caccamo, D., Belpomme, D."Oxidative stress in electrohypersensitivity self‑reporting patients: Results of a prospective in vivo investigation with comprehensive molecular analysis". International Journal of Molecular Medicine 42, no. 4 (2018): 1885-1898. https://doi.org/10.3892/ijmm.2018.3774
Follow us
  • Twitter
  • LinkedIn
  • Facebook
About
  • Spandidos Publications
  • Careers
  • Cookie Policy
  • Privacy Policy
How can we help?
  • Help
  • Live Chat
  • Contact
  • Email to our Support Team