Spandidos Publications Logo
  • About
    • About Spandidos
    • Aims and Scopes
    • Abstracting and Indexing
    • Editorial Policies
    • Reprints and Permissions
    • Job Opportunities
    • Terms and Conditions
    • Contact
  • Journals
    • All Journals
    • Oncology Letters
      • Oncology Letters
      • Information for Authors
      • Editorial Policies
      • Editorial Board
      • Aims and Scope
      • Abstracting and Indexing
      • Bibliographic Information
      • Archive
    • International Journal of Oncology
      • International Journal of Oncology
      • Information for Authors
      • Editorial Policies
      • Editorial Board
      • Aims and Scope
      • Abstracting and Indexing
      • Bibliographic Information
      • Archive
    • Molecular and Clinical Oncology
      • Molecular and Clinical Oncology
      • Information for Authors
      • Editorial Policies
      • Editorial Board
      • Aims and Scope
      • Abstracting and Indexing
      • Bibliographic Information
      • Archive
    • Experimental and Therapeutic Medicine
      • Experimental and Therapeutic Medicine
      • Information for Authors
      • Editorial Policies
      • Editorial Board
      • Aims and Scope
      • Abstracting and Indexing
      • Bibliographic Information
      • Archive
    • International Journal of Molecular Medicine
      • International Journal of Molecular Medicine
      • Information for Authors
      • Editorial Policies
      • Editorial Board
      • Aims and Scope
      • Abstracting and Indexing
      • Bibliographic Information
      • Archive
    • Biomedical Reports
      • Biomedical Reports
      • Information for Authors
      • Editorial Policies
      • Editorial Board
      • Aims and Scope
      • Abstracting and Indexing
      • Bibliographic Information
      • Archive
    • Oncology Reports
      • Oncology Reports
      • Information for Authors
      • Editorial Policies
      • Editorial Board
      • Aims and Scope
      • Abstracting and Indexing
      • Bibliographic Information
      • Archive
    • Molecular Medicine Reports
      • Molecular Medicine Reports
      • Information for Authors
      • Editorial Policies
      • Editorial Board
      • Aims and Scope
      • Abstracting and Indexing
      • Bibliographic Information
      • Archive
    • World Academy of Sciences Journal
      • World Academy of Sciences Journal
      • Information for Authors
      • Editorial Policies
      • Editorial Board
      • Aims and Scope
      • Abstracting and Indexing
      • Bibliographic Information
      • Archive
    • International Journal of Functional Nutrition
      • International Journal of Functional Nutrition
      • Information for Authors
      • Editorial Policies
      • Editorial Board
      • Aims and Scope
      • Abstracting and Indexing
      • Bibliographic Information
      • Archive
    • International Journal of Epigenetics
      • International Journal of Epigenetics
      • Information for Authors
      • Editorial Policies
      • Editorial Board
      • Aims and Scope
      • Abstracting and Indexing
      • Bibliographic Information
      • Archive
    • Medicine International
      • Medicine International
      • Information for Authors
      • Editorial Policies
      • Editorial Board
      • Aims and Scope
      • Abstracting and Indexing
      • Bibliographic Information
      • Archive
  • Articles
  • Information
    • Information for Authors
    • Information for Reviewers
    • Information for Librarians
    • Information for Advertisers
    • Conferences
  • Language Editing
Spandidos Publications Logo
  • About
    • About Spandidos
    • Aims and Scopes
    • Abstracting and Indexing
    • Editorial Policies
    • Reprints and Permissions
    • Job Opportunities
    • Terms and Conditions
    • Contact
  • Journals
    • All Journals
    • Biomedical Reports
      • Information for Authors
      • Editorial Policies
      • Editorial Board
      • Aims and Scope
      • Abstracting and Indexing
      • Bibliographic Information
      • Archive
    • Experimental and Therapeutic Medicine
      • Information for Authors
      • Editorial Policies
      • Editorial Board
      • Aims and Scope
      • Abstracting and Indexing
      • Bibliographic Information
      • Archive
    • International Journal of Epigenetics
      • Information for Authors
      • Editorial Policies
      • Editorial Board
      • Aims and Scope
      • Abstracting and Indexing
      • Bibliographic Information
      • Archive
    • International Journal of Functional Nutrition
      • Information for Authors
      • Editorial Policies
      • Editorial Board
      • Aims and Scope
      • Abstracting and Indexing
      • Bibliographic Information
      • Archive
    • International Journal of Molecular Medicine
      • Information for Authors
      • Editorial Policies
      • Editorial Board
      • Aims and Scope
      • Abstracting and Indexing
      • Bibliographic Information
      • Archive
    • International Journal of Oncology
      • Information for Authors
      • Editorial Policies
      • Editorial Board
      • Aims and Scope
      • Abstracting and Indexing
      • Bibliographic Information
      • Archive
    • Medicine International
      • Information for Authors
      • Editorial Policies
      • Editorial Board
      • Aims and Scope
      • Abstracting and Indexing
      • Bibliographic Information
      • Archive
    • Molecular and Clinical Oncology
      • Information for Authors
      • Editorial Policies
      • Editorial Board
      • Aims and Scope
      • Abstracting and Indexing
      • Bibliographic Information
      • Archive
    • Molecular Medicine Reports
      • Information for Authors
      • Editorial Policies
      • Editorial Board
      • Aims and Scope
      • Abstracting and Indexing
      • Bibliographic Information
      • Archive
    • Oncology Letters
      • Information for Authors
      • Editorial Policies
      • Editorial Board
      • Aims and Scope
      • Abstracting and Indexing
      • Bibliographic Information
      • Archive
    • Oncology Reports
      • Information for Authors
      • Editorial Policies
      • Editorial Board
      • Aims and Scope
      • Abstracting and Indexing
      • Bibliographic Information
      • Archive
    • World Academy of Sciences Journal
      • Information for Authors
      • Editorial Policies
      • Editorial Board
      • Aims and Scope
      • Abstracting and Indexing
      • Bibliographic Information
      • Archive
  • Articles
  • Information
    • For Authors
    • For Reviewers
    • For Librarians
    • For Advertisers
    • Conferences
  • Language Editing
Login Register Submit
  • This site uses cookies
  • You can change your cookie settings at any time by following the instructions in our Cookie Policy. To find out more, you may read our Privacy Policy.

    I agree
Search articles by DOI, keyword, author or affiliation
Search
Advanced Search
presentation
International Journal of Molecular Medicine
Join Editorial Board Propose a Special Issue
Print ISSN: 1107-3756 Online ISSN: 1791-244X
Journal Cover
November-2018 Volume 42 Issue 5

Full Size Image

Sign up for eToc alerts
Recommend to Library

Journals

International Journal of Molecular Medicine

International Journal of Molecular Medicine

International Journal of Molecular Medicine is an international journal devoted to molecular mechanisms of human disease.

International Journal of Oncology

International Journal of Oncology

International Journal of Oncology is an international journal devoted to oncology research and cancer treatment.

Molecular Medicine Reports

Molecular Medicine Reports

Covers molecular medicine topics such as pharmacology, pathology, genetics, neuroscience, infectious diseases, molecular cardiology, and molecular surgery.

Oncology Reports

Oncology Reports

Oncology Reports is an international journal devoted to fundamental and applied research in Oncology.

Experimental and Therapeutic Medicine

Experimental and Therapeutic Medicine

Experimental and Therapeutic Medicine is an international journal devoted to laboratory and clinical medicine.

Oncology Letters

Oncology Letters

Oncology Letters is an international journal devoted to Experimental and Clinical Oncology.

Biomedical Reports

Biomedical Reports

Explores a wide range of biological and medical fields, including pharmacology, genetics, microbiology, neuroscience, and molecular cardiology.

Molecular and Clinical Oncology

Molecular and Clinical Oncology

International journal addressing all aspects of oncology research, from tumorigenesis and oncogenes to chemotherapy and metastasis.

World Academy of Sciences Journal

World Academy of Sciences Journal

Multidisciplinary open-access journal spanning biochemistry, genetics, neuroscience, environmental health, and synthetic biology.

International Journal of Functional Nutrition

International Journal of Functional Nutrition

Open-access journal combining biochemistry, pharmacology, immunology, and genetics to advance health through functional nutrition.

International Journal of Epigenetics

International Journal of Epigenetics

Publishes open-access research on using epigenetics to advance understanding and treatment of human disease.

Medicine International

Medicine International

An International Open Access Journal Devoted to General Medicine.

Journal Cover
November-2018 Volume 42 Issue 5

Full Size Image

Sign up for eToc alerts
Recommend to Library

  • Article
  • Citations
    • Cite This Article
    • Download Citation
    • Create Citation Alert
    • Remove Citation Alert
    • Cited By
  • Similar Articles
    • Related Articles (in Spandidos Publications)
    • Similar Articles (Google Scholar)
    • Similar Articles (PubMed)
  • Download PDF
  • Download XML
  • View XML
Article

Macrophage migration inhibitory factor serves a pivotal role in the regulation of radiation-induced cardiac senescencethrough rebalancing the microRNA-34a/sirtuin 1 signaling pathway

  • Authors:
    • Yiwang Hu
    • Wenzheng Xia
    • Meng Hou
  • View Affiliations / Copyright

    Affiliations: Department of Colorectal Surgery, First Affiliated Hospital, Wenzhou Medical University, Wenzhou, Zhejiang 325000, P.R. China, Department of Neurosurgery, First Affiliated Hospital, Wenzhou Medical University, Wenzhou, Zhejiang 325000, P.R. China, Department of Radiation Oncology, First Affiliated Hospital, Wenzhou Medical University, Wenzhou, Zhejiang 325000, P.R. China
  • Pages: 2849-2858
    |
    Published online on: August 23, 2018
       https://doi.org/10.3892/ijmm.2018.3838
  • Expand metrics +
Metrics: Total Views: 0 (Spandidos Publications: | PMC Statistics: )
Metrics: Total PDF Downloads: 0 (Spandidos Publications: | PMC Statistics: )
Cited By (CrossRef): 0 citations Loading Articles...

This article is mentioned in:



Abstract

Radiotherapy significantly increases survival innumerous cancer patients, although it may have delayed adverse effects, including significant short‑ and long‑term effects on cardiovascular function, leading to significant morbidity and mortality. However, the mechanisms underlying these effects remain unclear. Cardiomyocyte senescence contributes to cardiovascular disease via impaired cardiac function. MicroRNA‑34a (miR‑34a) is a senescence‑associated miR involved in the pathology of cardiovascular diseases, while macrophage migration inhibitory factor (MIF) is a cardioprotective cytokine with an important role in cardiovascular diseases. The present study aimed to determine whether MIF has a cytoprotective effect in cardiomyocytes exposed to radiation through modulating miR‑34a. Human cardiomyocytes (HCMs) were incubated with MIF and then exposed to radiation. Cellular proliferation was measured using a Cell Counting Kit‑8, while cellular senescence was evaluated based on the senescence‑associated β‑galactosidase activity and the gene expression levels of cyclin‑dependent kinase inhibitor 1a (Cdkn1a) and Cdkn2c. Oxidative stress was evaluated by measuring the generation of reactive oxygen species and malondialdehyde, as well as the expression of antioxidant genes. In addition, HCMs were treated with small interfering RNA against sirtuin 1 (SIRT1) to examine the role of this gene in MIF‑associated rejuvenation following radiation‑associated senescence. miR‑34a was significantly increased in HCMs exposed to radiation, while MIF inhibited senescence by suppressing miR‑34a. SIRT1 was identified as a target gene of miR‑34a, mediating the anti‑senescence effect induced by MIF. Furthermore, MIF rejuvenation involved rebalancing the oxidation process disturbed by radiation. These results provided direct evidence that inhibition of miR‑34a by MIF protected against radiation‑induced cardiomyocyte senescence via targeting SIRT1. Inhibition of miR‑34a by MIF may thus be a novel strategy for combating cardiac radiation‑associated damage.

Introduction

Randomized trials have reported that radiotherapy can substantially reduce cancer recurrence and moderately reduce cancer mortality; however, cardiac radiation exposure increases the risk of heart failure, thus limiting the use of radiotherapy (1,2). Cardiac radiation exposure in a rodent model resulted in cardiomyocyte hypertrophy, left ventricular diastolic dysfunction, oxidative stress and myocardial fibrosis (3). However, the mechanisms responsible for these effects of radiotherapy remain unclear. A previous study suggested that exposure to radiation affected cardiac physiology-associated gene networks and molecular signaling in cardiomyocytes, with changes in cellular proliferation and cell cycle-associated genes and signaling during the early phase of radiation exposure (4). Furthermore, cardiomyocyte senescence has been demonstrated to be involved in cardiac pathological processes (5). Therefore, the present study aimed to determine whether radiation induced senescence in cardiomyocytes.

MicroRNAs (miRs) are a class of noncoding RNAs that have been reported to serve a significant role in gene regulation by targeting a variety of transcripts. miRs have also recently been identified as important regulators of cellular senescence and aging (6). miR-34a was demonstrated to be involved in the senescence process in cardiomyocytes (7), and exerted a pro-senescence effect by regulating the sirtuin 1 (SIRT1) signaling pathway (8), which serves a crucial role in the maintenance of cardiac homeostasis and energy balance, and is disturbed by radiotherapy (9). Therefore, the current study examined the role of the miR-34a/SIRT1 signaling pathway in radiation-induced cellular senescence.

Macrophage migration inhibitory factor (MIF) is a multifunctional cytokine secreted by various tissues, including the myocardium (10). Recent evidence has suggested that MIF may have a cardioprotective role in pathological conditions, including ischemia injury, hypertension and cellular senescence (11-13). Several mechanisms have been suggested to account for the MIF-induced biological responses, including modulation of the energy balance, which is known to be disrupted in radiation-induced ischemic heart disease (14). Thus, the role of MIF in the regulation of radiation-induced cellular senescence was also investigated in the present study.

SIRT1, a member of the SIRT family of class III histone deacetylases, is one of the targets of miR-34a, known to be widely involved in the regulation of cellular senescence (15,16). Furthermore, SIRT1 has been reported to be involved in the development and progression of heart failure through the regulation of cell senescence-associated signaling in chemotherapy-induced cardiac damage (17). Consequently, activation of SIRT1 may have a great potential in the treatment of radiation-associated cardiotoxicity.

Oxidative stress is an important inducer of cardiomyocyte senescence (18), with radiation being a major cause of reactive oxygen species (ROS) production (19). Upregulation of antioxidant proteins, such as endothelial nitric oxide synthase (eNOS) and catalase, has been demonstrated to protect against oxidative stress-mediated senescence (20). Growing evidence has also indicated that miR-34a functions asa senescence promoter by inhibiting SIRT1 and inducing oxidative stress (21). Therefore, the present study explored whether radiation-induced oxidative stress exerted a pro-senescence effect in cardiomyocytes.

In the current study, the aim was to examine whether radiation induces cardiomyocyte senescence, and whether MIF reduces cellular susceptibility to radiation-induced senescence by inhibiting miR-34a expression and oxidative stress. The results suggested that MIF may represent a promising therapeutic strategy for radiation-associated cardiac damage.

Materials and methods

Cell culture and treatment

Human cardiomyocytes (HCMs; PromoCell GmbH, Heidelberg, Germany) were cultured in Dulbecco's modified Eagle's medium (HyClone; GE Healthcare Life Sciences, Logan, UT, USA) supplemented with 10% fetal calf serum (HyClone; GE Healthcare Life Sciences) and 1% penicillin-streptomycin (Beyotime Institute of Biotechnology, Jiangsu, China) at 37°C with 5% CO2. In order to induce radiation exposure, 1×105 HCMs growing on 6-well plates were irradiated in a 15×15 cm2 square field with 5 Gy (6-MeV electron rays; current, 6 A; dose rate, 2 Gy/min), as described previously (22). HCM was treated with 100 ng/ml human recombinant MIF (cat. no. 289-MF; R&D Systems, Inc., Minneapolis, MN, USA) for 1 h at 37°C.

Cell transfection

HCMs were replated into 6-well plates at a density of 1×105 cells per well and then transfected with miR-34a mimic or miR-negative control (NC) mimic (Invitrogen; Thermo Fisher Scientific, Inc., Waltham, MA, USA) using X-tremeGENE™ HP DNA transfection reagent (Roche Applied Science, Penzberg, Germany) according to the manufacturer's protocol. The miRNA sequences are listed in Table I. Cells were irradiated with 5 Gy, treated with 100 ng/ml MIF and harvested 48 h after transfection for further analysis. The transfection efficiency was analyzed by reverse transcription-quantitative polymerase chain reaction (RT-qPCR).

Table I

Transfected sequences.

Table I

Transfected sequences.

NameSequence
miR-34a mimic 5′-UGGCAGUGUCUUAGCUGGUUGUAACCAGCUAAGACACUGCCAUU-3′
miR-negative control 5′-UGUCAGCUUUGGAGCUGGUUGUAACCUAAGAUGCCACCAGCAUU-3′
siRNA-Sirtuin 1F: 5′-AAGTACAATCCACTCCGGAATGA-3′
siRNA-non targetingF: 5′-CTCTATGAACACCTAGCT-3′

[i] miR, microRNA; NC, si, small interfering; F, forward

Small interfering RNA (siRNA) gene knockdown

HMCs (1×105) were seeded in 6-well plates at 30-40% confluence 1 day prior to transfection and reached 70-80% confluence the following day. Cells were then transfected with 100 nM SIRT1 siRNA and siRNA-non targeting (siRNA-NT; both Invitrogen; Thermo Fisher Scientific, Inc.) using X-tremeGENE HP DNA transfection reagent according to the manufacturer's protocol. The siRNA sequences are listed in Table I. siRNA-NT was used as the control. After a 6-h incubation at 37°C, the transfection reagent-siRNA mixture was replaced with fresh growth medium, and the cells were harvested for further experiments at 48 h after transfection.

Cell proliferation assay

Cell proliferation was assessed using a Cell Counting Kit-8 assay (CCK-8) according to the manufacturer's protocol (Beyotime Institute of Biotechnology). Briefly, cells were seeded at a density of 2×103 cells/well in 96-well plates and incubated at 37°C for 24, 48 and 72 h, respectively. CCK-8 solution (10 µl) was added to each well, and the plates were incubated for 1 h at 37°C. The absorbance of cells at 450 nm was then measured with a microplate reader.

RT-qPCR

Isolated cells were collected for RT-qPCR analysis. Total RNA was extracted from HCMs using TRIzol reagent (Invitrogen; Thermo Fisher Scientific, Inc.), according to the protocol described by the manufacturer. RNA was then reverse transcribed into cDNA using Transcriptor First Strand cDNA Synthesis kit (Roche Applied Science), followed by analysis by qPCR. The primers used in qPCR for miR-34a, cyclin-dependent kinase inhibitor 1a (Cdkn1a), Cdkn2c, SIRT1, eNOS, catalase and glyceraldehyde-3-phosphate dehydrogenase (GAPDH) are shown in Table II. qPCR was conducted using the FastStart Universal SYBR Green Master (Sigma-Aldrich; Merck KGaA, Darmstadt, Germany) and Applied Biosystems Step One Plus Real-Time PCR system (Thermo Fisher Scientific, Inc.). The thermocycling conditions were as follows: 40 cycles consisting of 95°C for 10 sec, 60°C for 10 sec and 72°C for 10 sec. Quantification was performed relative to the levels of the housekeeping gene GAPDH. Data were analyzed using the 2−ΔΔCq method (23).

Table II

Primer sequences used in quantitative polymerase chain reaction.

Table II

Primer sequences used in quantitative polymerase chain reaction.

GeneSequence
microRNA-34aF: 5′-CAGAGCATCACACGCAAGC-3′
R: 5′-CAGGAAACAGAAACCCCAGC-3′
Cdkn1aF: 5′-TCACTGTCTTGTACCCTTGTGC-3′
R: 5′-GGCGTTTGGAGTGGTAGAAA-3′
Cdkn2cF: 5′-CGGGAGGTTCTTGTTCTG-3′
R: 5′-TTTGTTGGCTTGCTTGAC-3′
Sirtuin 1F: 5′-CAGAGCATCACACGCAAGC-3′
R: 5′-CAGGAAACAGAAACCCCAGC-3′
Telomere lengthF: 5′-CGGTTTGTTTGGGTTTGGGTTTGGGTTTGGGTTTGGGTT-3′
R: 5′-GGCTTGCCTTACCCTTACCCTTACCCTTACCCTTACCCT-3′
Endothelial nitric oxide synthaseF: 5′-GCAACCACATCAAGTATGCCACCAA-3′
R: 5′-GCTGTTCCAGATTCGGAAGTCTCCT-3′
CatalaseF: 5′-CAAGCTGGTTAATGCGAATGG-3′
R: 5′-TTGAAAAGATCTCGGAGGCC-3′
GAPDHF: 5′-CTGCACCACCAACTGCTTAG-3′
R: 5′-AGGTCCACCACTGACACGTT-3′

[i] miR, microRNA; Cdkn, cyclin-dependent kinase inhibitor; F, forward; R, reverse.

Western blotting

Cells were lysed in ice-cold lysis buffer to obtain the total protein (Beyotime Institute of Biotechnology), and protein concentrations were measured using the BCA Protein Assay kit (Beyotime Institute of Biotechnology). Samples were then separated by 10% sodium dodecyl sulfate-polyacrylamide gel electrophoresis and blotted onto polyvinylidene fluoride membranes. The membranes were incubated with SIRT1 (cat. no. 9475) and β-actin (cat. no. 4970) primary antibodies (both 1:1,000; Cell Signaling Technology, Inc., Danvers, MA, USA) overnight, followed by incubation with horseradish peroxidase-conjugated secondary antibodies (cat. no. 7074; 1:2,000; Cell Signaling Technology, Inc.). Subsequently, the membranes were visualized using the BeyoECL Plus (Beyotime Institute of Biotechnology). The stained protein bands were visualized using a Bio-RadChemiDoc XRS system and analyzed using Quantity One software (Bio-Rad Laboratories, Inc., Hercules, CA, USA).

Relative telomere length

The relative telomere length in HCMs was measured using a qPCR approach, as described previously (24), with GAPDH serving as the normalizing gene. Table II lists the primers used for the detection of the telomere length.

Relative telomerase activity

A TeloTAGGG Telomerase PCR ELISA PLUS Assay kit (Sigma-Aldrich; Merck KGaA, Darmstadt, Germany) was used to analyze the relative telomerase activity, according to the protocol provided by the manufacturer.

Senescence-associated β-galactosidase (SA-β-gal) assay

Cellular senescence was measured by SA-β-gal assay (Cell Signaling Technology, Inc., Danvers, MA, USA). Briefly, cells were seeded in a 6-well plate at a density of 2×104 cells/well were washed with phosphate-buffered saline, fixed with 2% paraformaldehyde for 30 min at room temperature and then incubated with fresh SA-β-gal staining solution, as described previously (25). SA-β-gal activity was measured using a microplate reader at a wavelength of 50 µm.

ROS measurement

Intracellular ROS levels were measured using 2,7-dichlorodihydrofluorescein diacetate (Beyotime Institute of Biotechnology), according to the protocol described by the manufacturer. A fluorescence spectrophotometer was used to determine the fluorescence intensity of the cells, at an excitation and emission wavelength of 488 and 525 nm, respectively.

Lipid peroxidation assays

Malondialdehyde (MDA) levels in HMCs were measured using the Lipid Peroxidation (MDA) Assay kit (Abcam, Cambridge, UK). Briefly, 2 ml HMCs at a density of 1×106 cells/ml were homogenized on ice in 300 µl MDA lysis buffer, followed by centrifugation at 12,000 × g and 4°C for 1 min to remove insoluble material. Thiobarbituric acid was then added to the supernatant and incubated at 95°C for 60 min. The samples were allowed to cool at room temperature for 10 min, and the absorbance at 532 nm was measured with a spectrophotometer.

Statistical analysis

Data are expressed as the mean ± standard deviation. Differences among groups were tested by one-way analysis of variance, and comparisons between two groups were evaluated by Student's t-tests using SPSS version 19.0 software (IBM Corporation, Armonk, NY, USA). A value of P<0.05 was considered to denote a difference that was statistically significant.

Results

Radiation induces miR-34a expression and senescence in HCMs

miR-34a expression levels in HCMs were significantly increased following exposure to radiation (Fig. 1A). Radiation markedly inhibited cellular proliferation (Fig. 1B) and increased the expression levels of the cellular senescence-associated genes Cdkn1a and Cdkn2c (Fig. 1C and D). Radiation exposure also significantly shortened the relative telomere length (Fig. 1E), impaired the relative telomerase activity (Fig. 1F) and increased the percentage of SA-β-gal-positive cells (Fig. 1G and H).

Figure 1

Radiation induces miR-34a expression and cellular senescence in HCMs. (A) miR-34a expression levels analyzed by RT-qPCR. (B) Cell proliferation curves determined by Cell Counting Kit-8 assay. (C) Cdkn1a, (D) Cdkn2c and (E) relative telomere length mRNA levels were analyzed by RT-qPCR. (F) Relative telomerase activity was measured. (G) Percentage of SA-β-gal-positive cells, and (H) representative images of SA-β-gal staining. Each column represents the mean ± standard deviation from three independent experiments. *P<0.05 vs. control group. miR, microRNA; RT-qPCR, reverse transcription-quantitative polymerase chain reaction; Cdkn, cyclin-dependent kinase inhibitor; SA-β-gal, senescence-associated β-galactosidase.

Exogenous MIF alleviates radiation-induced senescence via inhibition of miR-34a

The anti-senescence effect of MIF was explored by adding 100 ng/ml MIF to HCMs prior to exposure to radiation. Exogenous MIF significantly decreased the expression of miR-34a induced by radiation (Fig. 2A). Subsequently, the study further examined whether MIF exerted its anti-senescence effect via inhibition of miR-34a by transfecting HCMs with a miR-34a mimic to induce the overexpression of miR-34a (Fig. 2B). MIF treatment in cells exposed to radiation increased cellular proliferation (Fig. 2C), decreased the expression levels of the senescence-associated genes Cdkn1a and Cdkn2c (Fig. 2D and E), recovered the impaired relative telomere length and activity (Fig. 2F and G), and reduced the percentage of SA-β-gal-positive cells (Fig. 2H and I). However, the effects of MIF treatment were reversed by miR-34a overexpression in cells exposed to radiation.

Figure 2

Exogenous MIF alleviates radiation-induced senescence via inhibition of miR-34a. (A) miR-34a expression levels in control and radiation-exposed cardiomyocytes with or without MIF treatment (100 ng/ml), as determined by RT-qPCR. (B) miR-34a expression levels in untransfected cardiomyocytes, and cardiomyocytes transfected with miR-34a mimic or miR-NC mimic, as determined by RT-qPCR. (C) Cell growth curves determined by Cell Counting Kit-8 assay in cardiomyocytes transfected with miR-34a mimic or miR-NC mimic, pretreated with MIF and exposed to radiation. Untreated cardiomyocytes serve as the control. (D) Cdkn1a, (E) Cdkn2c and (F) relative telomere length mRNA levels were analyzed by RT-qPCR. (G) Relative telomerase activity. (H) Percentage of SA-β-gal-positive cells, and (I) representative images of SA-β-gal staining. Data represent the mean ± standard deviation from three independent experiments. *P<0.05 vs. control group; #P<0.05 vs. radiation group; &P<0.05 vs. miR-NC group; ○P<0.05 vs. radiation+MIF+miR-34a mimicgroup. MIF, macrophage migration inhibitory factor; miR, microRNA; NC, negative control; RT-qPCR, reverse transcription-quantitative polymerase chain reaction; Cdkn, cyclin-dependent kinase inhibitor; SA-β-gal, senescence-associated β-galactosidase.

Rebalancing of the miR-34a/SIRT1 signaling pathway by MIF is essential for preventing radiation-associated senescence

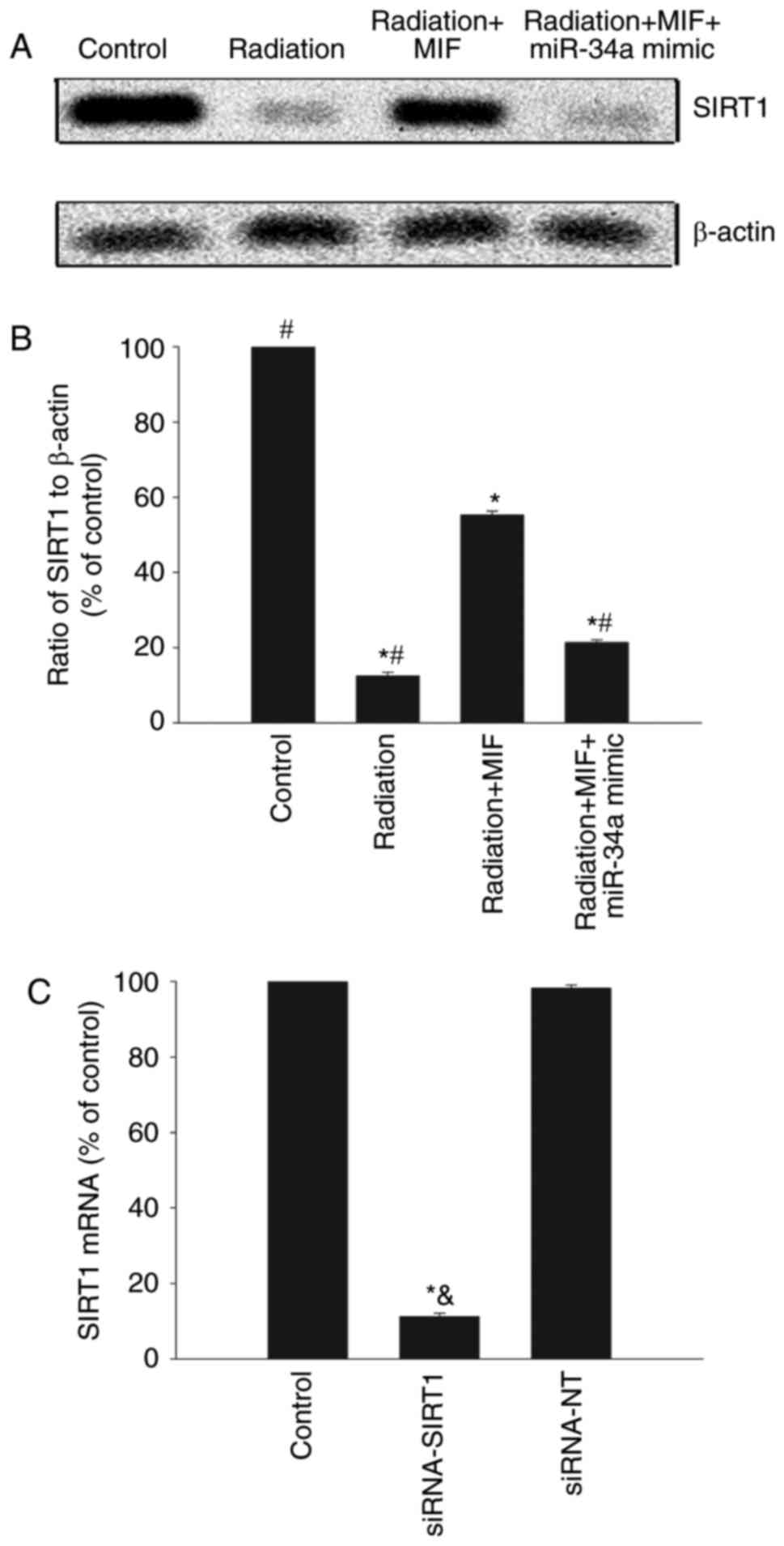
SIRT1 is as a well-known target of miR-34a and is closely associated with cellular senescence (8). The present study analyzed SIRT1 expression to investigate the miR-34a target and clarify the mechanism of MIF-mediated suppression of radiation-associated cellular senescence in HCMs. SIRT1 protein expression was significantly inhibited by radiation and then recovered by MIF; however, the MIF-mediated recovery was reversed by miR-34a overexpression (Fig. 3A and B). Furthermore, the mechanism responsible for the anti-senescence effect of MIF in relation to the miR-34a/SIRT1 signaling pathway was further explored by silencing SIRT1 using siRNA (Fig. 3C). Downregulation of SIRT1in MIF-treated radiation-exposed cells decreased the recovery of cell proliferation induced by MIF (Fig. 4A), induced the expression of the senescence-associated genes Cdkn1a and Cdkn2c (Fig. 4B and C), reduced the telomere length and activity (Fig. 4D and E), and increased the percentage of SA-β-gal-positive cells (Fig. 4F and G), as compared with the cells treated with only MIF and radiation. By contrast, none of these effects were observed in HCMs treated with the control, siRNA-NT.

Figure 3

MIF rebalances the miR-34a/SIRT1 signaling pathway. (A) Western blot images and (B) quantified results of SIRT1 protein expression levels in cardiomyocytes with or without transfection with miR-34a mimic, pretreated with MIF and exposed to radiation. (C) Cardiomyocytes were transfected with siRNA against SIRT1 or with siRNA-NT, serving as the control. siRNA-mediated transfection efficiency was determined by reverse transcription-quantitative polymerase chain reaction. Data represent the mean ± standard deviation of three independent experiments. *P<0.05 vs. control group; #P<0.05 vs. radiation + MIF group; &P<0.05 vs. siRNA-NT group. MIF, macrophage migration inhibitory factor; miR, microRNA; siRNA, small interfering RNA; SIRT1, sirtuin 1.

Figure 4

Rebalancing the miR34a/SIRT1 signaling pathway induced by MIF is essential for preventing radiation-associated senescence. Cardiomyocytes were transfected with siRNA-SIRT1 or siRNA-NT, pretreated with MIF and exposed to radiation. Untreated cardiomyocytes were used as the control. (A) Cell growth curves were determined by the Cell Counting Kit-8 assay. (B) Cdkn1a, (C) Cdkn2c and (D) relative telomere length mRNA levels were analyzed by reverse transcription-quantitative polymerase chain reaction. (E) Relative telomerase activity. (F) Percentage of SA-β-gal-positive cells, and (G) representative images of SA-β-gal staining. Data represent the mean ± standard deviation from three independent experiments. *P<0.05 vs.control group; #P<0.05 vs. radiation group; ○P<0.05 vs. radiation+MIF+siRNA-SIRT1group. MIF, macrophage migration inhibitory factor; miR, microRNA; siRNA, small interfering RNA; SIRT1, sirtuin 1; Cdkn, cyclin-dependent kinase inhibitor; SA-β-gal, senescence-associated β-galactosidase.

Modulation of oxidative stress by MIF inhibits the radiation-induced senescence

The effects of MIF on oxidants and antioxidant gene expression levels were assessed to determine whether MIF exerted its anti-senescence effect via modulation of oxidative stress in cardiomyocytes. Quantitative analysis demonstrated that MIF inhibited the radiation-induced accumulation of cellular ROS and generation of MDA in HCMs (Fig. 5A and B), and reversed the radiation-mediated inhibition of eNOS and catalase gene expression levels (Fig 5C and D). These antioxidant effects of MIF were abolished by overexpression of miR-34a or silencing of SIRT1 (Fig. 5).

Figure 5

Modulation of oxidant stress by MIF inhibits radiation-induced senescence. Cardiomyocytes were transfected with miR-34a mimic, miR-NC mimic, siRNA-SIRT1 or siRNA-NT, then pretreated with MIF and exposed to radiation. Untreated cardiomyocytes were used as the control. (A) Intracellular ROS production analyzed by fluorescence spectrophotometry. (B) Lipid peroxidation evaluated by MDA formation. (C) eNOS and (D) catalase mRNA levels measured by reverse transcription-quantitative polymerase chain reaction. Each column represents the mean ± standard deviation from three independent experiments. *P<0.05 vs. control group; #P<0.05 vs. radiation group; ○P<0.05 vs. radiation+MIF+miR-34a mimic group; □P<0.05 vs. radiation+MIF+siRNA-SIRT1 group. MIF, macrophage migration inhibitory factor; miR, microRNA; NC, negative control; siRNA, small interfering RNA; SIRT1, sirtuin 1; ROS, reactive oxygen species; MDA, malondialdehyde; eNOS, endothelial nitric oxide synthase.

Discussion

Recent progress in radiotherapy over the past two decades has led to substantial improvements in life expectancy for cancer patients, however, at the cost of increased risks of unintended side effects (26). Radiotherapy has been closely associated with cardiotoxicity and an increased risk of symptomatic cardiac dysfunction (1,27). Given the increasing number of long-term survivors following treatment with radiotherapy, cardiotoxicity has become recognized as a major concern in oncology (28). However, the mechanisms responsible for radiotherapy-associated cardiac damage remain unclear. Heart aging is associated with functional decline and increased vulnerability to cardiovascular damage, and is the leading cause of mortality worldwide (29). Age-associated changes include decreased cardiac output, elevated susceptibility to arrhythmia and impaired relaxation with increased myocardial stiffness, all of which are included in the phenotype of radiotherapy-associated cardiac damage (1,30). The results of the current study revealed that radiation induced senescence in HCMs.

miRs have emerged as a new class of modulators of gene expression. Among these, miR-34a has been implicated in cardiac-associated damage, particularly cardiac senescence (31). Researchers recently demonstrated that miR-34a was involved in modulating radiation-induced senescence, and that radiation-induced senescence was correlated with the upregulation of miR-34a expression (32). Accordingly, the present study found that radiation exposure induced miR-34a expression in HCMs, accompanied by cellular senescence.

MIF is known as a prototype cytokine that regulates macrophage function in inflammation and serves an important role in cardiac metabolism (33). Previously, it was confirmed that MIF was highly expressed in cardiomyocytes and regulated cellular senescence (10). As a promoter of miR-34a, p53 is associated with accelerated cellular senescence and is inhibited by MIF (34,35). The results of the present study revealed that MIF alleviated radiation-associated cellular senescence through inhibiting miR-34a expression, while overexpression of miR-34a abolished the anti-senescence effect of MIF. miR-34a has been reported to trigger senescence partly through genetic inhibition of SIRT1 (36); therefore, this observation prompted us to explore the potential role of MIF in modulating miR-34a-dependent SIRT1 expression in cardiomyocytes. It was observed that MIF significantly suppressed the radiation-induced expression of miR-34a, while silencing SIRT1 blocked the anti-senescence effects of MIF. These results revealed that MIF reduced cardiomyocyte senescence by interacting with miR-34a and upregulating SIRT1.

Cellular senescence is defined as the stable cell cycle arrest elicited in response to a variety of stressors (37). The accumulation of oxidative stress in cardiomyocytes has been reported to cause senescence and reduce cardiac function (18). Radiation-associated oxidative stress and telomere loss have all been linked to the induction of the senescent phenotype through replication stress-induced DNA damage (38,39). The current study demonstrated that cardiomyocyte senescence was accompanied by radiation-induced oxidative stress and telomere loss. MIF has been reported to function as an antioxidant factor (40). Accordingly, the present study found that MIF significantly inhibited ROS and MDA generation, and stimulated eNOS and catalase gene expression in cardiomyocytes. Furthermore, overexpression of miR-34a by transfection of amiR-34a mimic or silencing SIRT1 abolished the MIF-induced antioxidant gene expression.

In conclusion, the results of the present study demonstrated that MIF had a protective role in radiation-induced cardiac senescence. This cardioprotective effect of MIF may mainly be attributed to the suppression of oxidative stress by preventing miR-34a-mediated inhibition of antioxidant gene expression. This increased understanding of the complex signaling networks involved in radiation-associated cardiac injuries will help to establish methods to alleviate cardiac damage induced by radiation.

Funding

The current study was supported by the National Natural Science Foundation of China (grant nos. 81500261 and 81600278 to MH and WX, respectively) and the Medical Science and Technology Project of Zhejiang Province (grant no. 2018KY517 to MH).

Availability of data and materials

All data generated or analyzed during the present study are included in the published article.

Authors' contributions

YH and WX made substantial contributions to the acquisition, analysis and interpretation of data. MH was involved in conception and design of the study, and in drafting the manuscript. All authors read and approved the final manuscript

Ethics approval and consent to participate

All animal procedures were approved by the Institutional Animal Care and Use Committee of Wenzhou Medical University.

Patient consent for publication

Not applicable.

Competing interests

The authors declare that they have no competing interests.

Acknowledgments

Not applicable.

References

1 

Taylor C, Correa C, Duane FK, Aznar MC, Anderson SJ, Bergh J, Dodwell D, Ewertz M, Gray R, Jagsi R, et al: Estimating the risks of breast cancer radiotherapy: Evidence from modern radiation doses to the lungs and heart and from previous randomized trials. J Clin Oncol. 35:1641–1649. 2017. View Article : Google Scholar : PubMed/NCBI

2 

EBCTCG (Early Breast Cancer Trialists' Collaborative Group); McGale P, Taylor C, Correa C, Cutter D, Duane F, Ewertz M, Gray R, Mannu G, Peto R, et al: Effect of radiotherapy after mastectomy and axillary surgery on 10-year recurrence and 20-year breast cancer mortality: Meta-analysis of individual patient data for 8135 women in 22 randomised trials. Lancet. 383:2127–2135. 2014. View Article : Google Scholar : PubMed/NCBI

3 

Saiki H, Moulay G, Guenzel AJ, Liu W, Decklever TD, Classic KL, Pham L, Chen HH, Burnett JC, Russell SJ and Redfield MM: Experimental cardiac radiation exposure induces ventricular diastolic dysfunction with preserved ejection fraction. Am J Physiol Heart Circ Physiol. 313:H392–H407. 2017. View Article : Google Scholar : PubMed/NCBI

4 

Coleman MA, Sasi PS, Onufrak J, Natarajan M, Manickam K, Schwab J, Muralidharan S, Peterson LE, Alekseyev YO, Yan X and Goukassian DA: Low dose radiation affects cardiac physiology: Gene networks and molecular signaling in cardiomyocytes. Am J Physiol Heart Circ Physiol. 309:H1947–H1963. 2015. View Article : Google Scholar : PubMed/NCBI

5 

Du WW, Yang W, Chen Y, Wu ZK, Foster FS, Yang Z, Li X and Yang BB: Foxo3 circular RNA promotes cardiac senescence by modulating multiple factors associated with stress and senescence responses. Eur Heart J. 38:1402–1412. 2017.

6 

Smith-Vikos T and Slack FJ: MicroRNAs and their roles in aging. J Cell Sci. 125:7–17. 2012. View Article : Google Scholar : PubMed/NCBI

7 

Yang Y, Cheng HW, Qiu Y, Dupee D, Noonan M, Lin YD, Fisch S, Unno K, Sereti KI and Liao R: MicroRNA-34a plays a key role in cardiac repair and regeneration following myocardial infarction. Circ Res. 7:450–459. 2015. View Article : Google Scholar

8 

Fomisonnurse I, Saw EEL, Gandhi S, Munasinghe PE, Van Hout I, Williams MJA, Galvin I, Bunton R, Davis P, Cameron V and Katare R: Diabetes induces the activation of pro-ageing miR-34a in the heart, but has differential effects on cardiomyocytes and cardiac progenitor cells. Cell Death Differ. 25:1336–1349. 2018. View Article : Google Scholar

9 

Hong EH, Lee SJ, Kim JS, Lee KH, Um HD, Kim JH, Kim SJ, Kim JI and Hwang SG: Ionizing radiation induces cellular senescence of articular chondrocytes via negative regulation of SIRT1 by p38 kinase. J Biol Chem. 285:1283–1295. 2010. View Article : Google Scholar :

10 

Miller EJ, Li J, Leng L, McDonald C, Atsumi T, Bucala R and Young LH: Macrophage migration inhibitory factor stimulates AMP-activated protein kinase in the ischaemic heart. Nature. 451:578–582. 2008. View Article : Google Scholar : PubMed/NCBI

11 

Ma H, Wang J, Thomas DP, Tong C, Leng L, Wang W, Merk M, Zierow S, Bernhagen J, Ren J, et al: Impaired macrophage migration inhibitory factor-AMP-activated protein kinase activation and ischemic recovery in the senescent heart. Circulation. 122:282–292. 2010. View Article : Google Scholar : PubMed/NCBI

12 

Xu X, Hua Y, Nair S, Bucala R and Ren J: Macrophage migration inhibitory factor deletion exacerbates pressure overload-induced cardiac hypertrophy through mitigating autophagy. Hypertension. 63:490–499. 2014. View Article : Google Scholar :

13 

Xu X, Pacheco BD, Leng L, Bucala R and Ren J: Macrophage migration inhibitory factor plays a permissive role in the maintenance of cardiac contractile function under starvation through regulation of autophagy. Cardiovasc Res. 99:412–421. 2013. View Article : Google Scholar : PubMed/NCBI

14 

Azimzadeh O, Azizova T, Merlpham J, Subramanian V, Bakshi MV, Moseeva M, Zubkova O, Hauck SM, Anastasov N, Atkinson MJ and Tapio S: A dose-dependent perturbation in cardiac energy metabolism is linked to radiation-induced ischemic heart disease in Mayak nuclear workers. Oncotarget. 8:9067–9078. 2017. View Article : Google Scholar :

15 

Haigis MC and Sinclair DA: Mammalian sirtuins: Biological insights and disease relevance. Annu Rev Pathol. 5:253–295. 2009. View Article : Google Scholar

16 

Morris BJ: Seven sirtuins for seven deadly diseases of aging. Free Radic Biol Med. 56:133–171. 2013. View Article : Google Scholar

17 

De Angelis A, Piegari E, Cappetta D, Russo R, Esposito G, Ciuffreda LP, Ferraiolo FA, Frati C, Fagnoni F, Berrino L, et al: SIRT1 activation rescues doxorubicin-induced loss of functional competence of human cardiac progenitor cells. Int J Cardiol. 189:30–44. 2015. View Article : Google Scholar : PubMed/NCBI

18 

Zhang C, Wang J, Ma X, Wang W, Zhao B, Chen Y, Chen C and Bihl JC: ACE2-EPC-EXs protect ageing ECs against hypoxia/reoxygenation-induced injury through the miR-18a/Nox2/ROS pathway. J Cell Mol Med. 22:1873–1882. 2018. View Article : Google Scholar : PubMed/NCBI

19 

Iglesias-Bartolome R, Patel V, Cotrim A, Leelahavanichkul K, Molinolo AA, Mitchell JB and Gutkind JS: mTOR inhibition prevents epithelial stem cell senescence and protects from radiation-induced mucositis. Cell Stem Cell. 11:401–414. 2012. View Article : Google Scholar : PubMed/NCBI

20 

Guo Y, Li P, Gao L, Zhang J, Yang Z, Bledsoe G, Chang E, Chao L and Chao J: Kallistatin reduces vascular senescence and aging by regulating microRNA-34a-SIRT1 pathway. Aging Cell. 16:837–846. 2017. View Article : Google Scholar : PubMed/NCBI

21 

Lewinska A, Adamczykgrochala J, Kwasniewicz E, Deregowska A, Semik E, Zabek T and Wnuk M: Reduced levels of methyltransferase DNMT2 sensitize human fibroblasts to oxidative stress and DNA damage that is accompanied by changes in proliferation-related miRNA expression. Redox Biol. 14:20–34. 2018. View Article : Google Scholar

22 

Gu A, Jie Y, Sun L, Zhao S, E M and You Q: RhNRG-1β protects the myocardium against irradiation-induced damage via the ErbB2-ERK-SIRT1 signaling pathway. Plos One. 10:e01373372015. View Article : Google Scholar

23 

Livak KJ and Schmittgen TD: Analysis of relative gene expression data using real-time quantitative PCR and the 2(−Delta Delta C(T)) method. Methods. 25:402–408. 2001. View Article : Google Scholar

24 

Crepin T, Carron C, Roubiou C, Gaugler B, Gaiffe E, Simula-Faivre D, Ferrand C, Tiberghien P, Chalopin JM, Moulin B, et al: ATG-induced accelerated immune senescence: Clinical implications in renal transplant recipients. Am J Transplant. 15:1028–1038. 2015. View Article : Google Scholar : PubMed/NCBI

25 

Filippi-Chiela EC, Bueno e Silva MM, Thomé MP and Lenz G: Single-cell analysis challenges the connection between autophagy and senescence induced by DNA damage. Autophagy. 11:1099–1113. 2015. View Article : Google Scholar : PubMed/NCBI

26 

Ewer MS and Ewer SM: Cardiotoxicity of anticancer treatments. Nat Rev Cardiol. 12:547–558. 2015. View Article : Google Scholar : PubMed/NCBI

27 

Cohen S, Liu A, Gurvitz M, Guo L, Therrien J, Laprise C, Kaufman JS, Abrahamowicz M and Marelli AJ: Exposure to low-dose ionizing radiation from cardiac procedures and malignancy risk in adults with congenital heart disease. Circulation. 137:1334–1345. 2018. View Article : Google Scholar

28 

Dess RT, Sun Y, Matuszak MM, Sun G, Soni PD, Bazzi L, Murthy VL, Hearn JWD, Kong FM, Kalemkerian GP, et al: Cardiac events after radiation therapy: Combined analysis of prospective multicenter trials for locally advanced non-small-cell lung cancer. J Clin Oncol. 35:1395–1402. 2017. View Article : Google Scholar : PubMed/NCBI

29 

Kaushik G, Spenlehauer A, Sessions AO, Trujillo AS, Fuhrmann A, Fu Z, Venkatraman V, Pohl D, Tuler J, Wang M, et al: Vinculin network-mediated cytoskeletal remodeling regulates contractile function in the aging heart. Sci Transl Med. 7:292ra2992015. View Article : Google Scholar

30 

Blice-Baum AC, Zambon AC, Kaushik G, Viswanathan MC, Engler AJ, Bodmer R and Cammarato A: Modest overexpression of FOXO maintains cardiac proteostasis and ameliorates age-associated functional decline. Aging Cell. 16:93–103. 2017. View Article : Google Scholar : PubMed/NCBI

31 

Dorn GW II: miR-34a and the cardiomyopathy of senescence: SALT PNUTS, SALT PNUTS! Cell Metab. 17:629–630. 2013. View Article : Google Scholar : PubMed/NCBI

32 

He X, Yang A, Mcdonald DG, Riemer EC, Vanek KN, Schulte BA and Wang GY: MiR-34a modulates ionizing radiation-induced senescence in lung cancer cells. Oncotarget. 8:69797–69807. 2017.PubMed/NCBI

33 

Merk M, Mitchell RA, Endres S and Bucala R: D-dopachrome tautomerase 1 (D-DT or MIF-2): Doubling the MIF cytokine family. Cytokine. 59:10–17. 2012. View Article : Google Scholar : PubMed/NCBI

34 

Yoshihisa Y, Rehman MU, Kondo T and Shimizu T: Role of macrophage migration inhibitory factor in heat-induced apoptosis in keratinocytes. FASEB J. 30:3870–3877. 2016. View Article : Google Scholar : PubMed/NCBI

35 

von Muhlinen N, Horikawa I, Alam F, Isogaya K, Lissa D, Vojtesek B, Lane DP and Harris CC: p53 isoforms regulate premature aging in human cells. Oncogene. 37:2379–2393. 2018. View Article : Google Scholar : PubMed/NCBI

36 

Zhao T, Li J and Chen AF: MicroRNA-34a induces endothelial progenitor cell senescence and impedes its angiogenesis via suppressing silent information regulator 1. Am J Physiol Endocrinol Metab. 299:E110–E116. 2010. View Article : Google Scholar : PubMed/NCBI

37 

Venkatachalam G, Surana U and Clément MV: Replication stress-induced endogenous DNA damage drives cellular senescence induced by a sub-lethal oxidative stress. Nucleic Acids Res. 45:10564–10582. 2017. View Article : Google Scholar : PubMed/NCBI

38 

Mallette FA, Gaumont-Leclerc MF and Ferbeyre G: The DNA damage signaling pathway is a critical mediator of oncogene-induced senescence. Genes Dev. 21:43–48. 2007. View Article : Google Scholar : PubMed/NCBI

39 

Purvis JE, Karhohs KW, Mock C, Batchelor E, Loewer A and Lahav G: p53 dynamics control cell fate. Science. 336:1440–1444. 2012. View Article : Google Scholar : PubMed/NCBI

40 

Lin KC, Yip HK, Shao PL, Wu SC, Chen KH, Chen YT, Yang CC, Sun CK, Kao GS, Chen SY, et al: Combination of adipose-derived mesenchymal stem cells (ADMSC) and ADMSC-derived exosomes for protecting kidney from acute ischemia-reperfusion injury. Int J Cardiol. 216:173–185. 2016. View Article : Google Scholar : PubMed/NCBI

Related Articles

  • Abstract
  • View
  • Download
  • Twitter
Copy and paste a formatted citation
Spandidos Publications style
Hu Y, Xia W and Hou M: Macrophage migration inhibitory factor serves a pivotal role in the regulation of radiation-induced cardiac senescencethrough rebalancing the microRNA-34a/sirtuin 1 signaling pathway. Int J Mol Med 42: 2849-2858, 2018.
APA
Hu, Y., Xia, W., & Hou, M. (2018). Macrophage migration inhibitory factor serves a pivotal role in the regulation of radiation-induced cardiac senescencethrough rebalancing the microRNA-34a/sirtuin 1 signaling pathway. International Journal of Molecular Medicine, 42, 2849-2858. https://doi.org/10.3892/ijmm.2018.3838
MLA
Hu, Y., Xia, W., Hou, M."Macrophage migration inhibitory factor serves a pivotal role in the regulation of radiation-induced cardiac senescencethrough rebalancing the microRNA-34a/sirtuin 1 signaling pathway". International Journal of Molecular Medicine 42.5 (2018): 2849-2858.
Chicago
Hu, Y., Xia, W., Hou, M."Macrophage migration inhibitory factor serves a pivotal role in the regulation of radiation-induced cardiac senescencethrough rebalancing the microRNA-34a/sirtuin 1 signaling pathway". International Journal of Molecular Medicine 42, no. 5 (2018): 2849-2858. https://doi.org/10.3892/ijmm.2018.3838
Copy and paste a formatted citation
x
Spandidos Publications style
Hu Y, Xia W and Hou M: Macrophage migration inhibitory factor serves a pivotal role in the regulation of radiation-induced cardiac senescencethrough rebalancing the microRNA-34a/sirtuin 1 signaling pathway. Int J Mol Med 42: 2849-2858, 2018.
APA
Hu, Y., Xia, W., & Hou, M. (2018). Macrophage migration inhibitory factor serves a pivotal role in the regulation of radiation-induced cardiac senescencethrough rebalancing the microRNA-34a/sirtuin 1 signaling pathway. International Journal of Molecular Medicine, 42, 2849-2858. https://doi.org/10.3892/ijmm.2018.3838
MLA
Hu, Y., Xia, W., Hou, M."Macrophage migration inhibitory factor serves a pivotal role in the regulation of radiation-induced cardiac senescencethrough rebalancing the microRNA-34a/sirtuin 1 signaling pathway". International Journal of Molecular Medicine 42.5 (2018): 2849-2858.
Chicago
Hu, Y., Xia, W., Hou, M."Macrophage migration inhibitory factor serves a pivotal role in the regulation of radiation-induced cardiac senescencethrough rebalancing the microRNA-34a/sirtuin 1 signaling pathway". International Journal of Molecular Medicine 42, no. 5 (2018): 2849-2858. https://doi.org/10.3892/ijmm.2018.3838
Follow us
  • Twitter
  • LinkedIn
  • Facebook
About
  • Spandidos Publications
  • Careers
  • Cookie Policy
  • Privacy Policy
How can we help?
  • Help
  • Live Chat
  • Contact
  • Email to our Support Team