Spandidos Publications Logo
  • About
    • About Spandidos
    • Aims and Scopes
    • Abstracting and Indexing
    • Editorial Policies
    • Reprints and Permissions
    • Job Opportunities
    • Terms and Conditions
    • Contact
  • Journals
    • All Journals
    • Oncology Letters
      • Oncology Letters
      • Information for Authors
      • Editorial Policies
      • Editorial Board
      • Aims and Scope
      • Abstracting and Indexing
      • Bibliographic Information
      • Archive
    • International Journal of Oncology
      • International Journal of Oncology
      • Information for Authors
      • Editorial Policies
      • Editorial Board
      • Aims and Scope
      • Abstracting and Indexing
      • Bibliographic Information
      • Archive
    • Molecular and Clinical Oncology
      • Molecular and Clinical Oncology
      • Information for Authors
      • Editorial Policies
      • Editorial Board
      • Aims and Scope
      • Abstracting and Indexing
      • Bibliographic Information
      • Archive
    • Experimental and Therapeutic Medicine
      • Experimental and Therapeutic Medicine
      • Information for Authors
      • Editorial Policies
      • Editorial Board
      • Aims and Scope
      • Abstracting and Indexing
      • Bibliographic Information
      • Archive
    • International Journal of Molecular Medicine
      • International Journal of Molecular Medicine
      • Information for Authors
      • Editorial Policies
      • Editorial Board
      • Aims and Scope
      • Abstracting and Indexing
      • Bibliographic Information
      • Archive
    • Biomedical Reports
      • Biomedical Reports
      • Information for Authors
      • Editorial Policies
      • Editorial Board
      • Aims and Scope
      • Abstracting and Indexing
      • Bibliographic Information
      • Archive
    • Oncology Reports
      • Oncology Reports
      • Information for Authors
      • Editorial Policies
      • Editorial Board
      • Aims and Scope
      • Abstracting and Indexing
      • Bibliographic Information
      • Archive
    • Molecular Medicine Reports
      • Molecular Medicine Reports
      • Information for Authors
      • Editorial Policies
      • Editorial Board
      • Aims and Scope
      • Abstracting and Indexing
      • Bibliographic Information
      • Archive
    • World Academy of Sciences Journal
      • World Academy of Sciences Journal
      • Information for Authors
      • Editorial Policies
      • Editorial Board
      • Aims and Scope
      • Abstracting and Indexing
      • Bibliographic Information
      • Archive
    • International Journal of Functional Nutrition
      • International Journal of Functional Nutrition
      • Information for Authors
      • Editorial Policies
      • Editorial Board
      • Aims and Scope
      • Abstracting and Indexing
      • Bibliographic Information
      • Archive
    • International Journal of Epigenetics
      • International Journal of Epigenetics
      • Information for Authors
      • Editorial Policies
      • Editorial Board
      • Aims and Scope
      • Abstracting and Indexing
      • Bibliographic Information
      • Archive
    • Medicine International
      • Medicine International
      • Information for Authors
      • Editorial Policies
      • Editorial Board
      • Aims and Scope
      • Abstracting and Indexing
      • Bibliographic Information
      • Archive
  • Articles
  • Information
    • Information for Authors
    • Information for Reviewers
    • Information for Librarians
    • Information for Advertisers
    • Conferences
  • Language Editing
Spandidos Publications Logo
  • About
    • About Spandidos
    • Aims and Scopes
    • Abstracting and Indexing
    • Editorial Policies
    • Reprints and Permissions
    • Job Opportunities
    • Terms and Conditions
    • Contact
  • Journals
    • All Journals
    • Biomedical Reports
      • Information for Authors
      • Editorial Policies
      • Editorial Board
      • Aims and Scope
      • Abstracting and Indexing
      • Bibliographic Information
      • Archive
    • Experimental and Therapeutic Medicine
      • Information for Authors
      • Editorial Policies
      • Editorial Board
      • Aims and Scope
      • Abstracting and Indexing
      • Bibliographic Information
      • Archive
    • International Journal of Epigenetics
      • Information for Authors
      • Editorial Policies
      • Editorial Board
      • Aims and Scope
      • Abstracting and Indexing
      • Bibliographic Information
      • Archive
    • International Journal of Functional Nutrition
      • Information for Authors
      • Editorial Policies
      • Editorial Board
      • Aims and Scope
      • Abstracting and Indexing
      • Bibliographic Information
      • Archive
    • International Journal of Molecular Medicine
      • Information for Authors
      • Editorial Policies
      • Editorial Board
      • Aims and Scope
      • Abstracting and Indexing
      • Bibliographic Information
      • Archive
    • International Journal of Oncology
      • Information for Authors
      • Editorial Policies
      • Editorial Board
      • Aims and Scope
      • Abstracting and Indexing
      • Bibliographic Information
      • Archive
    • Medicine International
      • Information for Authors
      • Editorial Policies
      • Editorial Board
      • Aims and Scope
      • Abstracting and Indexing
      • Bibliographic Information
      • Archive
    • Molecular and Clinical Oncology
      • Information for Authors
      • Editorial Policies
      • Editorial Board
      • Aims and Scope
      • Abstracting and Indexing
      • Bibliographic Information
      • Archive
    • Molecular Medicine Reports
      • Information for Authors
      • Editorial Policies
      • Editorial Board
      • Aims and Scope
      • Abstracting and Indexing
      • Bibliographic Information
      • Archive
    • Oncology Letters
      • Information for Authors
      • Editorial Policies
      • Editorial Board
      • Aims and Scope
      • Abstracting and Indexing
      • Bibliographic Information
      • Archive
    • Oncology Reports
      • Information for Authors
      • Editorial Policies
      • Editorial Board
      • Aims and Scope
      • Abstracting and Indexing
      • Bibliographic Information
      • Archive
    • World Academy of Sciences Journal
      • Information for Authors
      • Editorial Policies
      • Editorial Board
      • Aims and Scope
      • Abstracting and Indexing
      • Bibliographic Information
      • Archive
  • Articles
  • Information
    • For Authors
    • For Reviewers
    • For Librarians
    • For Advertisers
    • Conferences
  • Language Editing
Login Register Submit
  • This site uses cookies
  • You can change your cookie settings at any time by following the instructions in our Cookie Policy. To find out more, you may read our Privacy Policy.

    I agree
Search articles by DOI, keyword, author or affiliation
Search
Advanced Search
presentation
International Journal of Oncology
Join Editorial Board Propose a Special Issue
Print ISSN: 1019-6439 Online ISSN: 1791-2423
Journal Cover
August 2012 Volume 41 Issue 2

Full Size Image

Cover Legend PDF

Sign up for eToc alerts
Recommend to Library

Journals

International Journal of Molecular Medicine

International Journal of Molecular Medicine

International Journal of Molecular Medicine is an international journal devoted to molecular mechanisms of human disease.

International Journal of Oncology

International Journal of Oncology

International Journal of Oncology is an international journal devoted to oncology research and cancer treatment.

Molecular Medicine Reports

Molecular Medicine Reports

Covers molecular medicine topics such as pharmacology, pathology, genetics, neuroscience, infectious diseases, molecular cardiology, and molecular surgery.

Oncology Reports

Oncology Reports

Oncology Reports is an international journal devoted to fundamental and applied research in Oncology.

Experimental and Therapeutic Medicine

Experimental and Therapeutic Medicine

Experimental and Therapeutic Medicine is an international journal devoted to laboratory and clinical medicine.

Oncology Letters

Oncology Letters

Oncology Letters is an international journal devoted to Experimental and Clinical Oncology.

Biomedical Reports

Biomedical Reports

Explores a wide range of biological and medical fields, including pharmacology, genetics, microbiology, neuroscience, and molecular cardiology.

Molecular and Clinical Oncology

Molecular and Clinical Oncology

International journal addressing all aspects of oncology research, from tumorigenesis and oncogenes to chemotherapy and metastasis.

World Academy of Sciences Journal

World Academy of Sciences Journal

Multidisciplinary open-access journal spanning biochemistry, genetics, neuroscience, environmental health, and synthetic biology.

International Journal of Functional Nutrition

International Journal of Functional Nutrition

Open-access journal combining biochemistry, pharmacology, immunology, and genetics to advance health through functional nutrition.

International Journal of Epigenetics

International Journal of Epigenetics

Publishes open-access research on using epigenetics to advance understanding and treatment of human disease.

Medicine International

Medicine International

An International Open Access Journal Devoted to General Medicine.

Journal Cover
August 2012 Volume 41 Issue 2

Full Size Image

Cover Legend PDF

Sign up for eToc alerts
Recommend to Library

  • Article
  • Citations
    • Cite This Article
    • Download Citation
    • Create Citation Alert
    • Remove Citation Alert
    • Cited By
  • Similar Articles
    • Related Articles (in Spandidos Publications)
    • Similar Articles (Google Scholar)
    • Similar Articles (PubMed)
  • Download PDF
  • Download XML
  • View XML
Article

Combined administration of EGCG and IL-1 receptor antagonist efficiently downregulates IL-1-induced tumorigenic factors in U-2 OS human osteosarcoma cells

  • Authors:
    • Anne-Sophie Hönicke
    • Stephan Albrecht Ender
    • Jürgen Radons
  • View Affiliations / Copyright

    Affiliations: Department of Medical Biochemistry and Molecular Biology, University Medicine Greifswald, D-17475 Greifswald, Germany, Department of Orthopaedics and Orthopaedic Surgery, University Medicine Greifswald, D-17475 Greifswald, Germany
  • Pages: 753-758
    |
    Published online on: May 28, 2012
       https://doi.org/10.3892/ijo.2012.1498
  • Expand metrics +
Metrics: Total Views: 0 (Spandidos Publications: | PMC Statistics: )
Metrics: Total PDF Downloads: 0 (Spandidos Publications: | PMC Statistics: )
Cited By (CrossRef): 0 citations Loading Articles...

This article is mentioned in:



Abstract

Chronic inflammation represents one of the hallmarks of cancer. Of special relevance to the malignant process is the pro-inflammatory cytokine IL-1 playing a crucial role in cancer-related inflammation. Recent observations indicate increased IL-1 levels in an animal model of human osteosarcoma, the most frequent primary malignant bone tumor in man. In patients with bone sarcomas, increased serum levels of tumor-promoting cytokines, including IL-6, IL-8 and VEGF can be found, correlating with poor overall survival. The link between cancer and inflammation makes it clear that there is a need to reduce the external factors inducing inflammation as a preventive or therapeutical measure. Therefore, in the present study the effects of anti-inflammatory IL-1 receptor antagonist (IL-1Ra) was tested alone and in combination with (-)-epigallocatechin-3-gallate (EGCG), an anti-inflammatory chemopreventive agent from green tea, on the production of IL-1-induced tumorigenic factors in U-2 OS human osteosarcoma cells. We found that IL-1Ra and EGCG downregulated IL-1-induced IL-6 and IL-8 release from U-2 OS cells by 65-85%. IL-1Ra and EGCG also reduced secretion of invasiveness-promoting MMP-2 and pro-angiogenic VEGF to 62-75% without affecting the metabolic response and caspase-3 activity. In conclusion, downregulation of IL-1-induced tumorigenic factors (IL-6, IL-8, VEGF, MMP-2) in U-2 OS by IL-1Ra and EGCG may positively affect tumor-associated inflammation and, as a consequence, lead to reduction in angiogenesis and invasiveness. This renders a combined administration of EGCG and IL-1Ra a promising approach as an adjuvant therapy in patients with osteosarcoma.

Introduction

Osteosarcoma is the most common primary malignancy arising from the bone. It occurs most commonly in young people and affects more males than females (1). There is a predilection for the metaphyseal region of tubular long bones. It is a cancer that usually affects the large bones of the arm or leg with 65% of cases occurring around the knee (2). The 5-year survival rate for patients with osteosarcoma is at an average of 65% (3). Current treatment strategies include chemotherapy, radical resection and irradiation followed by extensive rehabilitation. Although younger patients with localized osteosarcoma benefit from this standard treatment (4), aggressive osteosarcomas respond poorly to conventional cytotoxic chemotherapy thus necessitating the search for novel therapeutical approaches. The most accepted compounds for chemoprevention in humans are naturally occurring dietary substances. Various studies have demonstrated that green tea catechins inhibit carcinogenesis and growth of established cancers at various organ sites (5,6). Many of the chemopreventive effects of green tea are mediated by its catechins, with (−)-epigallocatechin-3-gallate (EGCG) being the most abundant and powerful catechin in cancer prevention and treatment (7). The chemopreventive actions of EGCG comprise anti-oxidant activities, cell signalling modulation, apoptosis induction, cell cycle arrest as well as inhibition of matrix metalloproteinases (MMPs), urokinase-plasminogen activator, telomerase, DNA methyltransferase and proteasome (8).

Epidemiological studies indicate that inflammation serves as a potential risk factor for the development of cancer. It is generally accepted that up to 25% of human malignancies are related to chronic inflammation and to viral and bacterial infections (9). Chronic inflammation increases the risk of cancer including bone neoplasm, promotes tumor progression and supports metastatic spread (10,11). The connection between tumorigenesis and inflammation is mediated via intrinsic and extrinsic pathways (12). The intrinsic pathway is activated by various genetic alterations finally producing transformed cells which can secrete inflammatory mediators and thus can generate an inflammatory microenvironment. The extrinsic pathway is driven by inflammation or infections further increasing the risk for cancer development. Both pathways converge in tumor cells and induce the activation of several transcription factors including NF-κB, STAT-3 and HIF-1 culminating in the formation of pro-inflammatory factors such as chemokines, cytokines and PGHS-2. These molecules recruit and activate various leukocyte populations into the tumor microenvironment. This concerted action of tumor and micromilieu results in a more pronounced generation of inflammatory mediators driving a tumor-promoting amplification loop.

Several genetic and chromosomal abnormalities as part of the intrinsic pathway have been found in osteosarcoma patients including chromosomal amplification and loss of heterozygosity, associated with poor prognosis (13,14). Additionally, mutations in the tumor suppressor proteins p53 and Rb have been implicated in the oncogenesis of osteosarcoma, enhancing the risk and thus contributing to its poorer prognosis (15,16).

Among the inflammatory mediators present in the tumor microenvironment, IL-1 acts as a crucial player in inflammation-associated carcinogenesis (17,18). Increased levels of IL-1 have been identified in several human tumor entities such as melanoma, head and neck, colon, lung and breast cancer. In an animal model of human osteosarcoma increased IL-1 levels have also been reported (19). Overall, patients harbouring IL-1-positive tumors have markedly worse prognosis (20). IL-1 is produced directly by cancer cells or by cells of the mircroenvironment. Depending on its subcellular location, different IL-1 isoforms mediate different functions. Membrane-bound IL-1α found on malignant cells induces antitumor immune responses, whereas intracellular precursors of IL-1α control homeostatic functions. In contrast, low concentrations of secreted IL-1β downregulate inflammatory responses and immune mechanisms, whereas high concentrations promote inflammation-associated tissue damage and tumor invasiveness (21). IL-1 can stimulate other cell types to produce pro-angiogenic and pro-metastatic mediators and thus plays an important role in inflammation-associated carcinogenesis (17,18). In this context, increased serum levels of tumor-promoting cytokines, including IL-6, IL-8 and VEGF, have been reported in osteosarcoma patients correlating with poor overall survival (22).

IL-1α and IL-1β exert identical agonist actions by binding to the IL-1 receptor type I (IL-1RI). A third ligand, the naturally occurring IL-1 receptor antagonist (IL-1Ra), also binds to IL-1RI without leading to its activation and competitively inhibits its activation by IL-1. IL-1RI ligation leads to the activation of intracellular signalling cascades including NF-κB (23,24) which provides a mechanistic link between inflammation and cancer and is a major factor controlling the ability of both, preneoplastic and malignant cells, to resist apoptosis-based tumor surveillance mechanisms. NF-κB might also regulate tumor angiogenesis and invasiveness (25), and may contribute to the characteristic chemoresistance of tumor cells (26).

Since inflammatory- as well as angiogenesis- and invasiveness-promoting factors are crucially involved in the pathogenesis of osteosarcoma, there is a strong medical need to reduce these external factors as a preventive or therapeutical measure. Therefore, in this study anti-inflammatory IL-1Ra was tested either alone or in combination with the green tea-derived catechin EGCG on the production of IL-1-induced tumorigenic factors in U-2 OS human osteosarcoma cells. A combined treatment resulted in a more pronounced inhibition of tumorigenic factors rendering the combined administration of EGCG and IL-1Ra a promising approach as an adjuvant therapy in patients with osteosarcoma.

Materials and methods

Cell culture and stimulation

The human osteosarcoma cell line U-2 OS (27) was purchased from the American Type Culture Collection (#HTB-96; ATCC, Manassas, VA, USA) and cultured in McCoy’s 5a medium with L-glutamine supplemented with 10% heat-inactivated fetal calf serum (all from PAA Laboratories, Pasching, Austria) in the presence of 100 IU/ml penicillin and 100 μg/ml streptomycin (Gibco-BRL, Grand Island, NY, USA). The cells were maintained under standard cell culture conditions at 37°C in a 5% CO2 humidified atmosphere. For stimulation experiments, U-2 OS cells were seeded in 96-well microtiter plates at a density of 5×103 cells/well, and after a recovery phase of at least 16 h, stimulated with or without 0.5 ng/ml of recombinant human IL-1β (PAN Biotech GmbH, Aidenbach, Germany) in the presence or absence of human recombinant IL-1Ra (R&D Systems GmbH, Wiesbaden, Germany) and (−)-epigallocatechin-3-gallate (EGCG, purity ≥95%) purchased from Sigma-Aldrich Chemie GmbH (Steinheim, Germany) in a time- and dose-dependent manner as indicated in the figure legends. EGCG and IL-1Ra treatment started 1 h prior to IL-1 stimulation. All treatments were conducted in the presence of 0.05 nM 2-mercaptoethanol (Sigma-Aldrich Chemie GmbH) to stabilize EGCG and quench EGCG-derived ROS.

Metabolic response and cell viability

The effect of EGCG and IL-1Ra on the metabolic response was assessed by using MTT assay as described by Mosmann (28). This assay was based on the ability of viable cells only to reduce the conversion of the water soluble MTT [3-(4,5-dimethylthiazol-2-yl)-2,5-diphenyltetrazolium bromide] to an insoluble formazan. After solubilisation, the concentration was determined spectrophotometrically using the Titertek Multiscan microplate reader (Flow Laboratories, Meckenheim, Germany) at 550 nm. The assay is suitable for determining the metabolic activity/number of viable cells in proliferation, cytotoxicity or chemosensitivity assays.

Determination of caspase-3 activity

Caspase-3 activity was measured after a 24-h incubation period with or without IL-1β in the presence or absence of 50 μM EGCG and increasing concentrations (1–50 ng/ml) of IL-1Ra. Harvested cells were lyzed with caspase lysis buffer (10 mM Tris-HCl, 10 mM sodium phosphate buffer, pH 7.5, 130 mM NaCl, 1% Triton X-100, 10 mm Na2P2O7) and then incubated with 25 μg/ml of the fluorogenic caspase-3 substrate N-acetyl-DEVD-7-amido-4-trifluoromethyl coumarin (Becton Dickinson GmbH, Heidelberg, Germany) in 20 mM HEPES (pH 7.5), 10% glycerol and 2 mM dithiothreitol at 37°C for 2 h in the dark. The release of the fluorogenic AFC moiety as a measure of caspase activity was analyzed fluorimetrically using the Infinite® 200 PRO microplate reader (Tecan Group, Ltd., Männedorf, Switzerland) at an excitation/emission wavelength of 390/510 nm. Relative caspase activities were normalized to the protein content as determined by Bradford dye-binding assay (29) and compared to the untreated control whose response was set as one. Etoposide (Sigma-Aldrich Chemie GmbH) at a concentration of 50 μM was used as a positive control.

Cytokine and metalloproteinase assays

Concentrations of human IL-6 and IL-8 in the culture supernatants were determined by commercially available ELISA kits (Eli-Pair; Diaclone, Besançon, France). Production of total MMP-2 was quantified by immunoassay using the corresponding Quantikine® ELISA kit purchased from R&D Systems GmbH according to the manufacturer’s instructions. Secretion of VEGF into the supernatants was evaluated using the RayBio® Human VEGF EIA kit (RayBiotech, Inc., Norcross, GA, USA). All data were normalized to the metabolic response obtained by MTT assay.

Data adjustment and statistics

In order to compensate for inter-experiment variations, data were adjusted by setting the value for the untreated sample (VEGF, MMP-2) or IL-1-treated sample without inhibitor (IL-6, IL-8) as 100%. Statistical differences between mean values were analyzed using the two-tailed non-parametric Wilcoxon-Mann-Whitney test. A P-value <0.05 was considered to be statistically significant.

Results

In this study, the effect of IL-1Ra was tested alone and in combination with EGCG on the expression of IL-1-induced tumorigenic factors in U-2 OS human osteosarcoma cells. This approach acts as a model system for tumor-associated inflammation, playing a key role in carcinogenesis. In order to prevent autoxidation of EGCG and quench formation of EGCG-derived ROS, all experiments were conducted in the presence of 2-mercaptoethanol.

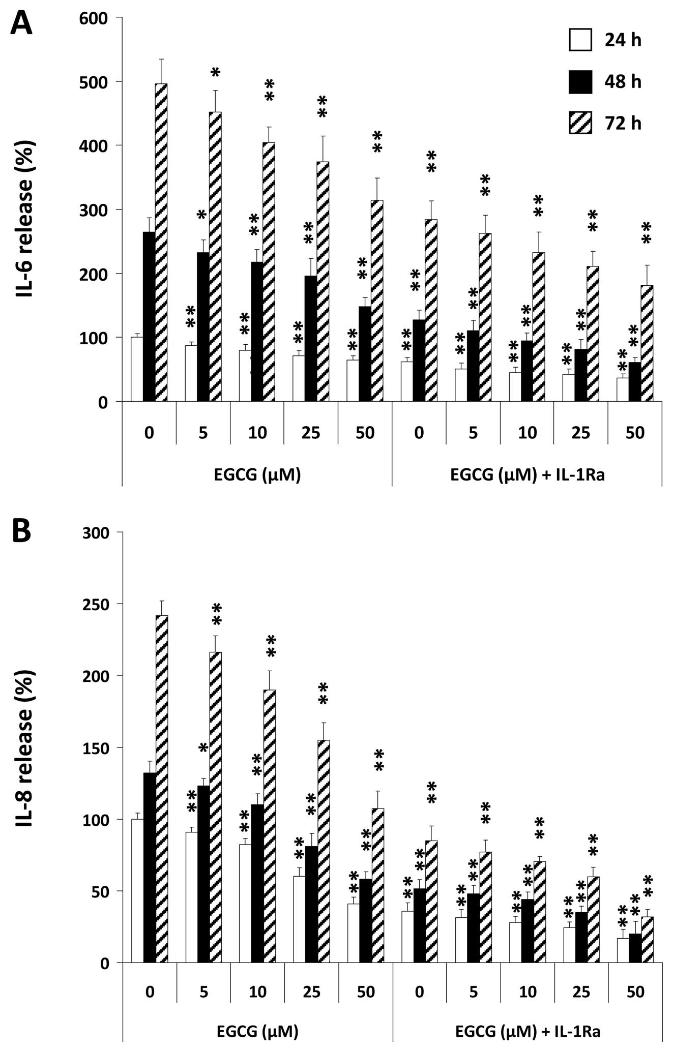
As an example of IL-1-induced tumorigenic factors we determined the effect of IL-1Ra and EGCG, either alone or in combination, on secretion of pro-inflammatory IL-6 (Fig. 1A and Fig. 2A) and pro-angiogenic IL-8 (Fig. 1B and Fig. 2B) by U-2 OS cells after stimulation with IL-1. We found a strong time-dependent IL-6 and IL-8 production by U-2 OS cells after IL-1 stimulation that was blocked by either IL-1Ra (Fig. 1) or EGCG (Fig. 2) in a dose-dependent manner. Since IL-1Ra inhibited the release of these molecules with an IC50 of ∼1 ng/ml, co-incubation experiments were conducted with this IL-1Ra concentration. As demonstrated in Fig. 2, co-treatment of U-2 OS cells with EGCG and IL-1Ra reduced IL-1-induced cytokine production in an additive manner. Co-stimulation of U-2 OS cells with 50 μM EGCG and IL-1Ra led to an inhibition of IL-1-induced IL-6 production by ∼2/3 at any timepoint, while IL-1-induced IL-8 release was downregulated at an average of 85%.

Figure 1

Effects of IL-1Ra on IL-6 and IL-8 release. Human osteosarcoma cells U-2 OS were seeded in microtiter plates and stimulated with 0.5 ng/ml of IL-1β for the indicated times in the presence of 0.5–50 ng/ml of IL-1Ra, and (A) IL-6 as well as (B) IL-8 secretion into culture supernatants was detected by sandwich ELISA. Data represent means ± standard deviation (SD) of 4 independent experiments performed in multiple replicates and were corrected by the spontaneous secretion and normalized to the metabolic response. Mediator release of the IL-1-treated sample without inhibitor after 24 h was set as 100% and corresponds to 21.9 pg/ml of IL-6 and 1134 pg/ml of IL-8, respectively. *P<0.05; **P<0.01; ***P<0.001 compared to IL-1-treated control without inhibitor at certain timepoint.

Figure 2

Cytokine response to IL-1Ra and EGCG. (A) IL-6 and (B) IL-8 were detected in culture supernatants of U-2 OS cells by sandwich ELISA after IL-1 stimulation in the presence of 5–50 μM EGCG alone or in combination with 1 ng/ml of IL-1Ra. (For more details see Fig. 1 legend). Mediator release of the IL-1-treated sample without inhibitor at 24 h was set as 100% and corresponds to 5.9 pg/ml of IL-6 and 886 pg/ml of IL-8, respectively. Data represent means ± SD of 6 independent experiments performed in multiple replicates and were corrected by the spontaneous secretion and normalized to the metabolic response. *P<0.05; **P<0.01 compared to IL-1-treated control without inhibitor at certain timepoint.

Increased levels of different growth factors have been previously reported in osteosarcoma including VEGF (30). We therefore tested whether U-2 OS cells constitutively secrete this pro-angiogenic cytokine and whether its secretion was altered by IL-1, IL-1Ra and EGCG, respectively. As demonstrated in Fig. 3A, the osteosarcoma cells constitutively secrete high amounts of VEGF that can be further enhanced in the presence of IL-1. EGCG was found to downregulate both, the constitutive as well as the IL-1-mediated VEGF secretion, in a dose-dependent manner. In contrast, co-incubation of U-2 OS cells with the agents suppressed VEGF production in an additive manner (Fig. 3A). IL-1Ra in combination with 50 μM EGCG reduced the IL-1-induced VEGF secretion as well as the spontaneous production by ∼38%.

Figure 3

Effects of EGCG and IL-1Ra on VEGF and MMP-2 release. (A) VEGF and (B) MMP-2 were detected in culture supernatants of U-2 OS cells by sandwich ELISA 48 h after incubation in the absence or presence of IL-1β and different inhibitor concentrations as described in Fig. 2 legend. Mediator release of the untreated control was set as 100% and corresponds to 3250 pg/ml of VEGF and 30.3 pg/ml of MMP-2, respectively. Data represent means ± SD of 4 (VEGF) and 5 (MMP-2) independent experiments performed in quadruplicates and corrected by the metabolic response. *P<0.05; **P<0.01; ***P<0.001 compared to untreated control.

Since matrix metalloproteinases (MMPs) play an important role in the pathogenesis of osteosarcoma (31), we investigated the secretion profile of invasiveness- and angiogenesis-promoting MMP-2 by U-2 OS cells in the presence of IL-1Ra and different concentrations of EGCG, after stimulation with IL-1. It has been shown previously that MMP 2 secretion can be induced indirectly by IL-1 via IL-6 and activation of the JAK/STAT pathway (32). Our data clearly identified a strong spontaneous MMP-2 secretion by U-2 OS cells that was not augmented by added IL-1 (Fig. 3B). EGCG alone dose-dependently decreased MMP-2 secretion down to 75% of the untreated control. Also IL-1Ra single-agent treatment slightly reduced MMP-2 release. Interestingly, IL-1Ra in combination with EGCG significantly augmented EGCG-mediated decline in MMP-2 production in any case (P<0.05) (Fig. 3B).

In order to elucidate whether the effects on mediator release are related to a decline in the metabolic response, U-2 OS cells were treated with IL-1Ra and increasing concentrations of EGCG in the presence or absence of IL-1, followed by determination of the metabolic activity as evidenced by MTT assay. We found that neither EGCG and IL-1Ra alone nor a combinatorial treatment had any effect on the metabolic response in U-2 OS cells (Fig. 4). Moreover, an effect of IL-1 on the metabolic response of U-2 OS cells could also not be observed.

Figure 4

Effects of IL-1Ra and EGCG on the metabolic response. U-2 OS cells were stimulated with or without IL-1β as described in Fig. 2 legend followed by assessment of the metabolic response using MTT assay. Data represent means ± SD of 5 independent experiments performed at least in quadruplicates. Statistical analysis revealed no significant differences between the samples.

To further shed light on the mechanism which causes a decrease in mediator release, U-2 OS cells were treated with the highest dose of EGCG used in this study and increasing concentrations of IL-1Ra in the presence or absence of IL-1, followed by fluorometrical determination of caspase-3 activity, indicative for apoptosis induction. Fig. 5 shows that neither treatment had any effect on caspase-3 activation, implying that the decline in mediator release is unrelated to apoptosis induction.

Figure 5

Activation of caspase-3 in osteosarcoma cells. U-2 OS cells were treated with 50 μM EGCG and/or increasing concentrations (1–50 ng/ml) of IL-1Ra in the presence or absence of 0.5 ng/ml of IL-1β for 24 h as indicated. Cleavage of caspase-3 substrate (N-acetyl-DEVD-7-amido-4-trifluoromethyl coumarin) in cell lysates was determined fluorimetrically. Relative caspase activities were normalized to the protein content and compared to the untreated control whose response was set as one. 50 μM etoposide (Etop.) was used as a positive control. The results shown are means ± SD of 7 independent experiments performed in duplicates. ***P<0.001 compared to control.

Discussion

The aim of the present study was to shed light on the combined effects of IL-1Ra and the green tea-derived catechin EGCG on the expression of IL-1-induced tumorigenic factors in the human osteosarcoma cell line U-2 OS (27). U-2 OS cells have been characterized to overexpress the oncoprotein Mdm-2 (33). Aberrant Mdm-2 expression can be found in a variety of human tumors of diverse tissue origin including osteosarcoma contributing to the malignant phenotype. In osteosarcoma, Mdm-2 overexpression occurs with high frequency as a result of an upregulated MDM2 mRNA expression and translation (34).

We found that IL-1Ra and EGCG act additively in down-regulating secretion of pro-inflammatory IL-6 as well as pro-angiogenic IL-8 and VEGF, thus blocking production of tumorigenic mediators in the tumor microenvironment. Since IL-1Ra and EGCG were also found to suppress export of invasiveness-promoting MMP-2 by U-2 OS cells, targeting the inflammatory network in U-2 OS cells by IL-1Ra and EGCG can be considered as a promising approach in the treatment of osteosarcoma. EGCG and IL-1Ra were used at concentrations not inducing apoptosis and not affecting the metabolic response of U-2 OS cells. Even after co-incubation with EGCG and IL-1Ra, effects on cell viability and apoptosis induction did not occur. From these findings, it can be concluded that a combinatory administration of IL-1Ra and EGCG reduces the impact of tumorigenic factors by interfering with intracellular signalling cascades such as NF-κB. It is well documented that, beside its antioxidant activities, EGCG targets the key transcription factor in tumorigenesis, NF-κB (8,35,36).

EGCG plasma concentrations achievable after oral administration of green tea extracts or catechins cover the lower micromolar range up to 60 μM (37–39). Greater oral bioavailability of free catechins in humans can be achieved when consumed in the absence of food (40). EGCG was found in our study to significantly reduce release of tumorigenic factors already at a concentration of 5 μM. We therefore speculate that EGCG will also interrupt the inflammatory network in vivo; however, in order to strengthen this assumption, chemoprevention studies in experimental models of human osteosarcoma will have to be performed.

IL-1Ra was found in this study to be a potent inhibitor of IL-1-induced tumorigenic factors in U-2 OS cells. In an animal model of human osteosarcoma, systemic IL-1Ra (anakinra™) dose-dependently inhibited different forms of thermal and osteosarcoma-induced hyperalgesia (19). Because of its collagenase and prostaglandin-inhibiting properties, anakinra is approved for the treatment of chronic inflammatory diseases including rheumatoid arthritis (41) and systemic onset juvenile idiopathic arthritis (42). It has also been identified to be powerful in blocking IL-1 effects in numerous pathological settings (41). With respect to cancer, anakinra was successfully used in treating the rare lymphoproliferative disorder Castleman’s disease (43) and myeloma (44). Anakinra and other IL-1-blocking agents such as canakunimab™ (anti-IL-1β antibody) or rilonacept™ (construct of the two extracellular chains of IL-1RI/IL-1RAcP complex fused to the Fc segment of IgG) could thus be promising therapeutics for human metastatic diseases. The latter two agents have been approved for the treatment of the cryopyrin-associated periodic syndrome (45,46). As summarized by Dinarello (47), there are two main reasons for the use of IL-1-blocking agents in the treatment of metastatic diseases. No organ toxicities or gastrointestinal and haematological abnormalities were observed and no, unlike for TNF-blocking agents, opportunistic infections were reported except rare bacterial and upper airway infections. Due to the safety of IL-1 blockage, clinical trials are encouraged. An NIH trial of anakinra in the treatment of cutaneous melanoma is ongoing because IL-1 plays a pivotal role in angiogenesis by inducing/upregulating pro-angiogenic IL-8 and VEGF, contributing to the pathogenesis of e.g. multiple melanoma (47).

Notably, the immunomodulator mifamurtide (liposomal muramyl tripeptide phosphatidylethanolamine; MEPACT™) which has been approved in Europe for the treatment of non-metastatic osteosarcoma in combination with chemotherapy (48), has come under scrutiny because of studies suggesting an increased risk of serious adverse effects associated with its use whilst concomitantly lacking any survival benefit (49). In osteosarcoma patients, increased plasma concentrations of pro-inflammatory mediators such as IL-1, TNF and IL-6 are detected after administration of mifamurtide (50) obviously due to its macrophage/monocyte activating capacity (51). From this observation and regarding our own data, one can hypothesize that mifamurtide probably enhances the impact of tumorigenic stimuli within the tumor microenvironment thereby forcing a critical amplification mechanism in tumor-associated inflammation triggered by IL-6 and others. All these results clearly demonstrate that there is a strong medical need for the development of new concepts how such inflammatory activities working in osteosarcoma may be therapeutically targeted with novel combinations of chemopreventive drugs.

In summary, a therapeutic approach that combines the IL-1 activity inhibiting effects of IL-1Ra and the anti-angiogenic and anti-inflammatory activities of EGCG might impair the development of a malignant phenotype in osteosarcoma cells and produce a crucial additive antitumoral response compared to IL-1Ra or EGCG administered in monotherapy.

Acknowledgements

We thank Werner Falk, Department of Internal Medicine I (University of Regensburg, Germany), for critical reading of the manuscript and his helpful comments.

References

1 

Longhi A, Pasini A, Cicognani A, et al: Height as a risk factor for osteosarcoma. J Pediatr Hematol Oncol. 27:314–318. 2005. View Article : Google Scholar : PubMed/NCBI

2 

Vigorita VJ and Ghelman B: Orthopaedic Pathology. 2nd edition. Lippincott, Williams and Wilkins; Philadelphia, PA: 2008

3 

Bielack SS, Kempf-Bielack B, Delling G, et al: Prognostic factors in high-grade osteosarcoma of the extremities or trunk: an analysis of 1,702 patients treated on neoadjuvant cooperative osteosarcoma study group protocols. J Clin Oncol. 20:776–790. 2002. View Article : Google Scholar

4 

Hegyi M, Semsei AF, Jakab Z, et al: Good prognosis of localized osteosarcoma in young patients treated with limb-salvage surgery and chemotherapy. Pediatr Blood Cancer. 57:415–422. 2011. View Article : Google Scholar : PubMed/NCBI

5 

Khan N, Afaq F and Mukhtar H: Cancer chemoprevention through dietary antioxidants: progress and promise. Antioxid Redox Signal. 10:475–510. 2008. View Article : Google Scholar : PubMed/NCBI

6 

Shankar S, Ganapathy S, Hingorani SR and Srivastava RK: EGCG inhibits growth, invasion, angiogenesis and metastasis of pancreatic cancer. Front Biosci. 13:440–452. 2008. View Article : Google Scholar : PubMed/NCBI

7 

Yang CS, Lambert JD, Ju J, Lu G and Sang S: Tea and cancer prevention: molecular mechanisms and human relevance. Toxicol Appl Pharmacol. 224:265–273. 2007. View Article : Google Scholar : PubMed/NCBI

8 

Khan N and Mukhtar H: Multitargeted therapy of cancer by green tea polyphenols. Cancer Lett. 269:269–280. 2008. View Article : Google Scholar : PubMed/NCBI

9 

Hussain SP and Harris CC: Inflammation and cancer: an ancient link with novel potentials. Int J Cancer. 121:2373–2380. 2007. View Article : Google Scholar : PubMed/NCBI

10 

Multhoff G, Molls M and Radons J: Chronic inflammation in cancer development. Front Immunol. 2:982012. View Article : Google Scholar

11 

Terpos E and Dimopoulos MA: Interaction between the skeletal and immune systems in cancer: mechanisms and clinical implications. Cancer Immunol Immunother. 60:305–317. 2011. View Article : Google Scholar : PubMed/NCBI

12 

Mantovani A, Allavena P, Sica A and Balkwill F: Cancer-related inflammation. Nature. 454:436–444. 2008. View Article : Google Scholar

13 

Smida J, Baumhoer D, Rosemann M, et al: Genomic alterations and allelic imbalances are strong prognostic predictors in osteosarcoma. Clin Cancer Res. 16:4256–4267. 2010. View Article : Google Scholar : PubMed/NCBI

14 

Ta HT, Dass CR, Choong PF and Dunstan DE: Osteosarcoma treatment: state of the art. Cancer Metastasis Rev. 28:247–263. 2009. View Article : Google Scholar : PubMed/NCBI

15 

Heinsohn S, Evermann U, Zur SU, Bielack S and Kabisch H: Determination of the prognostic value of loss of heterozygosity at the retinoblastoma gene in osteosarcoma. Int J Oncol. 30:1205–1214. 2007.PubMed/NCBI

16 

Longhi A, Benassi MS, Molendini L, Macchiagodena M, Picci P and Bacci G: Osteosarcoma in blood relatives. Oncol Rep. 8:131–136. 2001.PubMed/NCBI

17 

Lin WW and Karin M: A cytokine-mediated link between innate immunity, inflammation, and cancer. J Clin Invest. 117:1175–1183. 2007. View Article : Google Scholar : PubMed/NCBI

18 

Voronov E, Carmi Y and Apte RN: Role of IL-1-mediated inflammation in tumor angiogenesis. Adv Exp Med Biol. 601:265–270. 2007. View Article : Google Scholar : PubMed/NCBI

19 

Baamonde A, Curto-Reyes V, Juarez L, Meana A, Hidalgo A and Menendez L: Antihyperalgesic effects induced by the IL-1 receptor antagonist anakinra and increased IL-1beta levels in inflamed and osteosarcoma-bearing mice. Life Sci. 81:673–682. 2007. View Article : Google Scholar : PubMed/NCBI

20 

Lewis AM, Varghese S, Xu H and Alexander HR: Interleukin-1 and cancer progression: the emerging role of interleukin-1 receptor antagonist as a novel therapeutic agent in cancer treatment. J Transl Med. 4:482006. View Article : Google Scholar : PubMed/NCBI

21 

Apte RN, Krelin Y, Song X, et al: Effects of micro-environment-and malignant cell-derived interleukin-1 in carcinogenesis, tumour invasiveness and tumour-host interactions. Eur J Cancer. 42:751–759. 2006. View Article : Google Scholar : PubMed/NCBI

22 

Rutkowski P, Kaminska J, Kowalska M, Ruka W and Steffen J: Cytokine and cytokine receptor serum levels in adult bone sarcoma patients: correlations with local tumor extent and prognosis. J Surg Oncol. 84:151–159. 2003. View Article : Google Scholar : PubMed/NCBI

23 

Gay NJ, Gangloff M and O’Neill LA: What the Myddosome structure tells us about the initiation of innate immunity. Trends Immunol. 32:104–109. 2011. View Article : Google Scholar : PubMed/NCBI

24 

Watters TM, Kenny EF and O’Neill LA: Structure, function and regulation of the Toll/IL-1 receptor adaptor proteins. Immunol Cell Biol. 85:411–419. 2007. View Article : Google Scholar : PubMed/NCBI

25 

Karin M: Nuclear factor-kappaB in cancer development and progression. Nature. 441:431–436. 2006. View Article : Google Scholar : PubMed/NCBI

26 

Singh S and Khar A: Biological effects of curcumin and its role in cancer chemoprevention and therapy. Anticancer Agents Med Chem. 6:259–270. 2006. View Article : Google Scholar : PubMed/NCBI

27 

Ponten J and Saksela E: Two established in vitro cell lines from human mesenchymal tumours. Int J Cancer. 2:434–447. 1967. View Article : Google Scholar : PubMed/NCBI

28 

Mosmann T: Rapid colorimetric assay for cellular growth and survival: application to proliferation and cytotoxicity assays. J Immunol Methods. 65:55–63. 1983. View Article : Google Scholar : PubMed/NCBI

29 

Bradford MM: A rapid and sensitive method for the quantitation of microgram quantities of protein utilizing the principle of protein-dye binding. Anal Biochem. 72:248–254. 1976. View Article : Google Scholar : PubMed/NCBI

30 

Qu Y, Xu J, Jiang T, et al: Difference in pre- and postchemotherapy vascular endothelial growth factor levels as a prognostic indicator in osteosarcoma. J Int Med Res. 39:1474–1482. 2011. View Article : Google Scholar : PubMed/NCBI

31 

Korpi JT, Hagstrom J, Lehtonen N, et al: Expression of matrix metalloproteinases-2, -8, -13, -26, and tissue inhibitors of metalloproteinase-1 in human osteosarcoma. Surg Oncol. 20:e18–e22. 2011. View Article : Google Scholar : PubMed/NCBI

32 

Xie TX, Wei D, Liu M, et al: Stat3 activation regulates the expression of matrix metalloproteinase-2 and tumor invasion and metastasis. Oncogene. 23:3550–3560. 2004. View Article : Google Scholar : PubMed/NCBI

33 

Landers JE, Cassel SL and George DL: Translational enhancement of mdm2 oncogene expression in human tumor cells containing a stabilized wild-type p53 protein. Cancer Res. 57:3562–3568. 1997.PubMed/NCBI

34 

Ladanyi M, Cha C, Lewis R, Jhanwar SC, Huvos AG and Healey JH: MDM2 gene amplification in metastatic osteosarcoma. Cancer Res. 53:16–18. 1993.PubMed/NCBI

35 

Hoffmann J, Junker H, Schmieder A, et al: EGCG downregulates IL-1RI expression and suppresses IL-1-induced tumorigenic factors in human pancreatic adenocarcinoma cells. Biochem Pharmacol. 82:1153–1162. 2011. View Article : Google Scholar : PubMed/NCBI

36 

Lambert JD and Yang CS: Mechanisms of cancer prevention by tea constituents. J Nutr. 133:S3262–S3267. 2003.PubMed/NCBI

37 

Lin JK, Liang YC and Lin-Shiau SY: Cancer chemoprevention by tea polyphenols through mitotic signal transduction blockade. Biochem Pharmacol. 58:911–915. 1999. View Article : Google Scholar : PubMed/NCBI

38 

Pisters KM, Newman RA, Coldman B, et al: Phase I trial of oral green tea extract in adult patients with solid tumors. J Clin Oncol. 19:1830–1838. 2001.PubMed/NCBI

39 

Van Amelsvoort JM, Van Hof KH, Mathot JN, Mulder TP, Wiersma A and Tijburg LB: Plasma concentrations of individual tea catechins after a single oral dose in humans. Xenobiotica. 31:891–901. 2001.PubMed/NCBI

40 

Chow HH, Hakim IA, Vining DR, et al: Effects of dosing condition on the oral bioavailability of green tea catechins after single-dose administration of Polyphenon E in healthy individuals. Clin Cancer Res. 11:4627–4633. 2005. View Article : Google Scholar : PubMed/NCBI

41 

Dinarello CA: Biologic basis for interleukin-1 in disease. Blood. 87:2095–2147. 1996.PubMed/NCBI

42 

Hedrich CM, Bruck N, Fiebig B and Gahr M: Anakinra: A safe and effective first-line treatment in systemic onset juvenile idiopathic arthritis (SoJIA). Rheumatol Int. Nov 15–2011.(Epub ahead of print).

43 

El-Osta H, Janku F and Kurzrock R: Successful treatment of Castleman’s disease with interleukin-1 receptor antagonist (Anakinra). Mol Cancer Ther. 9:1485–1488. 2010.

44 

Lust JA, Lacy MQ, Zeldenrust SR, et al: Induction of a chronic disease state in patients with smoldering or indolent multiple myeloma by targeting interleukin 1β-induced interleukin 6 production and the myeloma proliferative component. Mayo Clin Proc. 84:114–122. 2009.

45 

Hoffman HM, Throne ML, Amar NJ, et al: Efficacy and safety of rilonacept (interleukin-1 Trap) in patients with cryopyrin-associated periodic syndromes: results from two sequential placebo-controlled studies. Arthritis Rheum. 58:2443–2452. 2008. View Article : Google Scholar

46 

Lachmann HJ, Kone-Paut I, Kuemmerle-Deschner JB, et al: Use of canakinumab in the cryopyrin-associated periodic syndrome. N Engl J Med. 360:2416–2425. 2009. View Article : Google Scholar : PubMed/NCBI

47 

Dinarello CA: Why not treat human cancer with interleukin-1 blockade? Cancer Metastasis Rev. 29:317–329. 2010. View Article : Google Scholar : PubMed/NCBI

48 

Meyers PA: Muramyl tripeptide (mifamurtide) for the treatment of osteosarcoma. Expert Rev Anticancer Ther. 9:1035–1049. 2009. View Article : Google Scholar : PubMed/NCBI

49 

Mifamurtide: osteosarcoma: ineffective and harmful. Prescrire Int. 20:892011.

50 

Kleinerman ES, Jia SF, Griffin J, Seibel NL, Benjamin RS and Jaffe N: Phase II study of liposomal muramyl tripeptide in osteosarcoma: the cytokine cascade and monocyte activation following administration. J Clin Oncol. 10:1310–1316. 1992.PubMed/NCBI

51 

Ando K, Mori K, Corradini N, Redini F and Heymann D: Mifamurtide for the treatment of nonmetastatic osteosarcoma. Expert Opin Pharmacother. 12:285–292. 2011. View Article : Google Scholar : PubMed/NCBI

Related Articles

  • Abstract
  • View
  • Download
  • Twitter
Copy and paste a formatted citation
Spandidos Publications style
Hönicke A, Ender SA and Radons J: Combined administration of EGCG and IL-1 receptor antagonist efficiently downregulates IL-1-induced tumorigenic factors in U-2 OS human osteosarcoma cells. Int J Oncol 41: 753-758, 2012.
APA
Hönicke, A., Ender, S.A., & Radons, J. (2012). Combined administration of EGCG and IL-1 receptor antagonist efficiently downregulates IL-1-induced tumorigenic factors in U-2 OS human osteosarcoma cells. International Journal of Oncology, 41, 753-758. https://doi.org/10.3892/ijo.2012.1498
MLA
Hönicke, A., Ender, S. A., Radons, J."Combined administration of EGCG and IL-1 receptor antagonist efficiently downregulates IL-1-induced tumorigenic factors in U-2 OS human osteosarcoma cells". International Journal of Oncology 41.2 (2012): 753-758.
Chicago
Hönicke, A., Ender, S. A., Radons, J."Combined administration of EGCG and IL-1 receptor antagonist efficiently downregulates IL-1-induced tumorigenic factors in U-2 OS human osteosarcoma cells". International Journal of Oncology 41, no. 2 (2012): 753-758. https://doi.org/10.3892/ijo.2012.1498
Copy and paste a formatted citation
x
Spandidos Publications style
Hönicke A, Ender SA and Radons J: Combined administration of EGCG and IL-1 receptor antagonist efficiently downregulates IL-1-induced tumorigenic factors in U-2 OS human osteosarcoma cells. Int J Oncol 41: 753-758, 2012.
APA
Hönicke, A., Ender, S.A., & Radons, J. (2012). Combined administration of EGCG and IL-1 receptor antagonist efficiently downregulates IL-1-induced tumorigenic factors in U-2 OS human osteosarcoma cells. International Journal of Oncology, 41, 753-758. https://doi.org/10.3892/ijo.2012.1498
MLA
Hönicke, A., Ender, S. A., Radons, J."Combined administration of EGCG and IL-1 receptor antagonist efficiently downregulates IL-1-induced tumorigenic factors in U-2 OS human osteosarcoma cells". International Journal of Oncology 41.2 (2012): 753-758.
Chicago
Hönicke, A., Ender, S. A., Radons, J."Combined administration of EGCG and IL-1 receptor antagonist efficiently downregulates IL-1-induced tumorigenic factors in U-2 OS human osteosarcoma cells". International Journal of Oncology 41, no. 2 (2012): 753-758. https://doi.org/10.3892/ijo.2012.1498
Follow us
  • Twitter
  • LinkedIn
  • Facebook
About
  • Spandidos Publications
  • Careers
  • Cookie Policy
  • Privacy Policy
How can we help?
  • Help
  • Live Chat
  • Contact
  • Email to our Support Team