Spandidos Publications Logo
  • About
    • About Spandidos
    • Aims and Scopes
    • Abstracting and Indexing
    • Editorial Policies
    • Reprints and Permissions
    • Job Opportunities
    • Terms and Conditions
    • Contact
  • Journals
    • All Journals
    • Oncology Letters
      • Oncology Letters
      • Information for Authors
      • Editorial Policies
      • Editorial Board
      • Aims and Scope
      • Abstracting and Indexing
      • Bibliographic Information
      • Archive
    • International Journal of Oncology
      • International Journal of Oncology
      • Information for Authors
      • Editorial Policies
      • Editorial Board
      • Aims and Scope
      • Abstracting and Indexing
      • Bibliographic Information
      • Archive
    • Molecular and Clinical Oncology
      • Molecular and Clinical Oncology
      • Information for Authors
      • Editorial Policies
      • Editorial Board
      • Aims and Scope
      • Abstracting and Indexing
      • Bibliographic Information
      • Archive
    • Experimental and Therapeutic Medicine
      • Experimental and Therapeutic Medicine
      • Information for Authors
      • Editorial Policies
      • Editorial Board
      • Aims and Scope
      • Abstracting and Indexing
      • Bibliographic Information
      • Archive
    • International Journal of Molecular Medicine
      • International Journal of Molecular Medicine
      • Information for Authors
      • Editorial Policies
      • Editorial Board
      • Aims and Scope
      • Abstracting and Indexing
      • Bibliographic Information
      • Archive
    • Biomedical Reports
      • Biomedical Reports
      • Information for Authors
      • Editorial Policies
      • Editorial Board
      • Aims and Scope
      • Abstracting and Indexing
      • Bibliographic Information
      • Archive
    • Oncology Reports
      • Oncology Reports
      • Information for Authors
      • Editorial Policies
      • Editorial Board
      • Aims and Scope
      • Abstracting and Indexing
      • Bibliographic Information
      • Archive
    • Molecular Medicine Reports
      • Molecular Medicine Reports
      • Information for Authors
      • Editorial Policies
      • Editorial Board
      • Aims and Scope
      • Abstracting and Indexing
      • Bibliographic Information
      • Archive
    • World Academy of Sciences Journal
      • World Academy of Sciences Journal
      • Information for Authors
      • Editorial Policies
      • Editorial Board
      • Aims and Scope
      • Abstracting and Indexing
      • Bibliographic Information
      • Archive
    • International Journal of Functional Nutrition
      • International Journal of Functional Nutrition
      • Information for Authors
      • Editorial Policies
      • Editorial Board
      • Aims and Scope
      • Abstracting and Indexing
      • Bibliographic Information
      • Archive
    • International Journal of Epigenetics
      • International Journal of Epigenetics
      • Information for Authors
      • Editorial Policies
      • Editorial Board
      • Aims and Scope
      • Abstracting and Indexing
      • Bibliographic Information
      • Archive
    • Medicine International
      • Medicine International
      • Information for Authors
      • Editorial Policies
      • Editorial Board
      • Aims and Scope
      • Abstracting and Indexing
      • Bibliographic Information
      • Archive
  • Articles
  • Information
    • Information for Authors
    • Information for Reviewers
    • Information for Librarians
    • Information for Advertisers
    • Conferences
  • Language Editing
Spandidos Publications Logo
  • About
    • About Spandidos
    • Aims and Scopes
    • Abstracting and Indexing
    • Editorial Policies
    • Reprints and Permissions
    • Job Opportunities
    • Terms and Conditions
    • Contact
  • Journals
    • All Journals
    • Biomedical Reports
      • Information for Authors
      • Editorial Policies
      • Editorial Board
      • Aims and Scope
      • Abstracting and Indexing
      • Bibliographic Information
      • Archive
    • Experimental and Therapeutic Medicine
      • Information for Authors
      • Editorial Policies
      • Editorial Board
      • Aims and Scope
      • Abstracting and Indexing
      • Bibliographic Information
      • Archive
    • International Journal of Epigenetics
      • Information for Authors
      • Editorial Policies
      • Editorial Board
      • Aims and Scope
      • Abstracting and Indexing
      • Bibliographic Information
      • Archive
    • International Journal of Functional Nutrition
      • Information for Authors
      • Editorial Policies
      • Editorial Board
      • Aims and Scope
      • Abstracting and Indexing
      • Bibliographic Information
      • Archive
    • International Journal of Molecular Medicine
      • Information for Authors
      • Editorial Policies
      • Editorial Board
      • Aims and Scope
      • Abstracting and Indexing
      • Bibliographic Information
      • Archive
    • International Journal of Oncology
      • Information for Authors
      • Editorial Policies
      • Editorial Board
      • Aims and Scope
      • Abstracting and Indexing
      • Bibliographic Information
      • Archive
    • Medicine International
      • Information for Authors
      • Editorial Policies
      • Editorial Board
      • Aims and Scope
      • Abstracting and Indexing
      • Bibliographic Information
      • Archive
    • Molecular and Clinical Oncology
      • Information for Authors
      • Editorial Policies
      • Editorial Board
      • Aims and Scope
      • Abstracting and Indexing
      • Bibliographic Information
      • Archive
    • Molecular Medicine Reports
      • Information for Authors
      • Editorial Policies
      • Editorial Board
      • Aims and Scope
      • Abstracting and Indexing
      • Bibliographic Information
      • Archive
    • Oncology Letters
      • Information for Authors
      • Editorial Policies
      • Editorial Board
      • Aims and Scope
      • Abstracting and Indexing
      • Bibliographic Information
      • Archive
    • Oncology Reports
      • Information for Authors
      • Editorial Policies
      • Editorial Board
      • Aims and Scope
      • Abstracting and Indexing
      • Bibliographic Information
      • Archive
    • World Academy of Sciences Journal
      • Information for Authors
      • Editorial Policies
      • Editorial Board
      • Aims and Scope
      • Abstracting and Indexing
      • Bibliographic Information
      • Archive
  • Articles
  • Information
    • For Authors
    • For Reviewers
    • For Librarians
    • For Advertisers
    • Conferences
  • Language Editing
Login Register Submit
  • This site uses cookies
  • You can change your cookie settings at any time by following the instructions in our Cookie Policy. To find out more, you may read our Privacy Policy.

    I agree
Search articles by DOI, keyword, author or affiliation
Search
Advanced Search
presentation
International Journal of Oncology
Join Editorial Board Propose a Special Issue
Print ISSN: 1019-6439 Online ISSN: 1791-2423
Journal Cover
September-2016 Volume 49 Issue 3

Full Size Image

Cover Legend PDF

Sign up for eToc alerts
Recommend to Library

Journals

International Journal of Molecular Medicine

International Journal of Molecular Medicine

International Journal of Molecular Medicine is an international journal devoted to molecular mechanisms of human disease.

International Journal of Oncology

International Journal of Oncology

International Journal of Oncology is an international journal devoted to oncology research and cancer treatment.

Molecular Medicine Reports

Molecular Medicine Reports

Covers molecular medicine topics such as pharmacology, pathology, genetics, neuroscience, infectious diseases, molecular cardiology, and molecular surgery.

Oncology Reports

Oncology Reports

Oncology Reports is an international journal devoted to fundamental and applied research in Oncology.

Experimental and Therapeutic Medicine

Experimental and Therapeutic Medicine

Experimental and Therapeutic Medicine is an international journal devoted to laboratory and clinical medicine.

Oncology Letters

Oncology Letters

Oncology Letters is an international journal devoted to Experimental and Clinical Oncology.

Biomedical Reports

Biomedical Reports

Explores a wide range of biological and medical fields, including pharmacology, genetics, microbiology, neuroscience, and molecular cardiology.

Molecular and Clinical Oncology

Molecular and Clinical Oncology

International journal addressing all aspects of oncology research, from tumorigenesis and oncogenes to chemotherapy and metastasis.

World Academy of Sciences Journal

World Academy of Sciences Journal

Multidisciplinary open-access journal spanning biochemistry, genetics, neuroscience, environmental health, and synthetic biology.

International Journal of Functional Nutrition

International Journal of Functional Nutrition

Open-access journal combining biochemistry, pharmacology, immunology, and genetics to advance health through functional nutrition.

International Journal of Epigenetics

International Journal of Epigenetics

Publishes open-access research on using epigenetics to advance understanding and treatment of human disease.

Medicine International

Medicine International

An International Open Access Journal Devoted to General Medicine.

Journal Cover
September-2016 Volume 49 Issue 3

Full Size Image

Cover Legend PDF

Sign up for eToc alerts
Recommend to Library

  • Article
  • Citations
    • Cite This Article
    • Download Citation
    • Create Citation Alert
    • Remove Citation Alert
    • Cited By
  • Similar Articles
    • Related Articles (in Spandidos Publications)
    • Similar Articles (Google Scholar)
    • Similar Articles (PubMed)
  • Download PDF
  • Download XML
  • View XML
Article Open Access

Lipoprotein(a) and vitamin C impair development of breast cancer tumors in Lp(a)+; Gulo-/- mice

  • Authors:
    • John Cha
    • M. Waheed Roomi
    • Tatiana Kalinovsky
    • Aleksandra Niedzwiecki
    • Matthias Rath
  • View Affiliations / Copyright

    Affiliations: Dr. Rath Research Institute, Santa Clara, CA 95050, USA
    Copyright: © Cha et al. This is an open access article distributed under the terms of Creative Commons Attribution License.
  • Pages: 895-902
    |
    Published online on: July 1, 2016
       https://doi.org/10.3892/ijo.2016.3597
  • Expand metrics +
Metrics: Total Views: 0 (Spandidos Publications: | PMC Statistics: )
Metrics: Total PDF Downloads: 0 (Spandidos Publications: | PMC Statistics: )
Cited By (CrossRef): 0 citations Loading Articles...

This article is mentioned in:



Abstract

Cancer progression is characterized by loss of extracellular matrix (ECM) integrity, which is a precondition for tumor growth and metastasis. In order to elucidate the precise mechanisms of ECM degradation in cancer we used a genetically modified mouse mimicking two distinct human metabolic features associated with carcinogenesis, the lack of endogenous vitamin C synthesis and the production of human Lp(a). Female Lp(a)+; Gulo(-/-) and control wild-type Balb/c mice without these two metabolic features were orthotopically inoculated with 4T1 breast cancer cells (5x105). The transgenic and control mice were divided into 4 different dietary groups in respect to dietary vitamin C intake: i) low ascorbate intake for 6 weeks; ii) high ascorbate intake for 6 weeks; iii) low ascorbate intake for 3 weeks followed by high ascorbate for 3 weeks; iv) high ascorbate intake for 3 weeks followed by low ascorbate for 3 weeks. After 6 weeks, all wild-type mice developed tumors. In contrast, Lp(a)+; Gulo(-/-) mice developed one third less primary tumors (low ascorbate diet) or no primary tumors at all (high ascorbate diet). Significantly, tumors from Lp(a)+; Gulo(-/-) mice immunostained positively for Lp(a) and their size was inversely proportional to Lp(a) serum levels. The results implicate that Lp(a) may play a role in controlling tumor growth and expansion. The most likely mechanism is the competitive inhibition of plasmin-induced ECM degradation due to the homology of Lp(a) components to plasminogen. The confirmation of this pathomechanism could lead to a universal therapeutic target for the prevention and treatment of cancer.

Introduction

Cancer remains one of the last bastions unconquered by medicine. A multitude of risk factors, including chemicals and viruses, have been identified and many genetic mechanisms associated with carcinogenesis in different organs have been elucidated. However, a major breakthrough in the control of cancer will depend on identifying and addressing decisive cellular mechanisms associated with invasive growth and metastasis, the final stages of all types of cancer irrespective of their origin. Developing effective therapeutic approaches to inhibit these final stages of the disease is the key to the control of the cancer epidemic.

Cancer progression is characterized by loss of extracellular matrix (ECM) integrity which is a precondition for invasive tumor growth and metastasis (1), and several mechanisms have been proposed how cancer cells invade tissue and migrate through the body, including free radical and enzyme related extracellular matrix degradation. One of the most intriguing mechanisms facilitating invasion and metastasis is the production of plasminogen activators by malignant cells. The secretion of these enzymes leads to the activation of plasminogen with triggering plasmin-induced cascade of enzymatic degradation of the extracellular matrix, facilitating cancer cell spread (2,3).

The potential significance of the mechanism of plasmin-induced proteolysis has been highlighted by the fact that the unique macromolecule apolipoprotein(a) [apo(a)] has been found elevated in the blood of cancer patients and deposited in the vicinity of cancer in tissue. Apo(a) is essentially composed of structural homologues to kringle IV of the plasminogen molecule and functions as a competitive inhibitor for the activation of plasmin in fibrinolysis (4). This structural homology of apo(a) to plasminogen also explains its binding affinity to fibrinogen and fibrin.

Apo(a) is a high molecular weight adhesive protein transported in blood bound to low-density-lipoproteins (LDL), via apoprotein B-100 (ApoB), thereby forming lipoprotein(a), Lp(a) (5). Moreover, by means of its homology to angiostatin, a degradation product of plasminogen, apo(a) exerts a direct anti-neoplastic effect by inhibiting angiogenesis (4).

Apo(a) has been proposed as a competitive inhibitor of plasmin-induced proteolysis in cancer and other diseases (2). According to this concept, apo(a) would be deposited at sites of accelerated tissue degradation caused by the plasminogen/plasmin cascade.

To elucidate this important aspect towards the control of cancer in humans we used a transgenic mouse model expressing human apo(a) and lipoprotein(a). Moreover, this animal model, as in humans, cannot produce endogenous ascorbate (vitamin C). Thus, by decreasing ascorbate in the diet of these animals, similar to chronic dietary vitamin C deficiency in humans, the stability of the extracellular matrix could be experimentally compromised in order to facilitate cancer spread.

Using this animal model we recently demonstrated that apo(a) and Lp(a) are deposited in structurally impaired vascular wall of animals kept on an ascorbate deficient diet (6). Here we use this unique mouse model to evaluate the significance of the plasmin-induced proteolysis pathway and the role of Lp(a) as a key mechanism for invasion and metastasis that can define new therapeutic approaches towards the control of cancer.

Materials and methods

Animals generating human Lp(a)+; Gulo−/− mice

The founder mouse strains used for cross breeding were BALB/cBy-Gulo−/− mice. The strain, BALB/cBy-Gulosfx/J was a spontaneous mutation, mapped to the gulonolactone oxidase locus, a gene necessary for vitamin C synthesis. The Gulo−/− strain mouse was generated from heterozygous Gulo+/− breeders obtained from the Jackson Laboratory (Sacramento, CA, USA). The human apo(a) mouse was obtained from the Mutant Mouse Regional Resource Centers (MMRRC; Columbia, MO, USA). The human Apo B-100 mouse was obtained from Taconic Biosciences, Inc. (Hudson, NY, USA) under an academic research agreement.

Cross breeding for Gulo−/−; Lp(a)+ mice

Human apo(a) and human apoB-100 mice wild-type for the Gulo locus were bred to Gulo−/− mice separately to generate two experimental founder mouse strains: Gulo−/−; human apo(a)+ and Gulo−/−; human apoB-100+. Subsequently, the newly generated mouse breeders of both strains were crossed to generate the new mouse strain: Gulo−/−; human apo(a)+; human apoB-100+ named as ‘Gulo−/−; Lp(a)+’ strain.

Genotyping

Genotyping for the Gulo locus and its homozygosity, as well as for the presence of human apoB-100 and human apo(a) was performed via TaqMan FAM Probe Real-Time PCR at Transnetyx (Cordova, TN, USA) upon tail clip tissue derived DNA obtained using standard DNA isolation and PCR techniques.

Female Gulo−/−; Lp(a)+ mice and wild-type female mice approximately one year of age were acclimated for a week before treatments, housed in standard separator cages with bedding on a 24-h light/dark schedule. All animals were cared for in accordance with institutional guidelines for the care and use of experimental animals.

Diet

The transgenic and control mice were divided into 4 different dietary groups in respect to dietary vitamin C intake: i) low ascorbate intake for 6 weeks; ii) high ascorbate intake for 6 weeks; iii) low ascorbate intake for 3 weeks followed by high ascorbate for 3 weeks; iv) high ascorbate intake for 3 weeks followed by low ascorbate for 3 weeks. Control groups of Lp(a)+; Gulo(−/−) mice without tumor inoculation were put on the same vitamin C regimens. Wild-type controls, which included mice without and with 4T1 inoculation, were kept on regular mouse chow (Laboratory Rodent Diet 5001 from Test Diet; Purina Mills, LLC, Richmond, IN, USA) and distilled water for 6 weeks. The high vitamin C-supplemented diet was composed of the regular mouse chow supplemented with 500 ppm L-ascorbyl-2-polyphosphate and distilled water with 150 mg/l ascorbic acid, 0.01 mM EDTA. The low vitamin C-supplemented diet was composed of the regular mouse chow supplemented with 500 ppm L-ascorbyl-2-polyphosphate and distilled water with 30 mg/l ascorbic acid, 0.01 mM EDTA. The ascorbate-supplemented nutrient mix diet was milled and pressed by Purina Mills (see Table I for Lp(a)+; Gulo(−/−) and wild-type mouse group names and treatments).

Table I

Lp(a)+; Gulo(−/−) and wild-type group names and treatments.

Table I

Lp(a)+; Gulo(−/−) and wild-type group names and treatments.

Group name (n=)Mouse genotype4T1 Tumor injectionDiet post 4T1 or PBS injection
GAHCI (n=6)Gulo(−/−); Lp(a)++6 weeks high vitamin C
GAHC2 (n=6)Gulo(−/−); Lp(a)++3 weeks high then 3 weeks low vitamin C
GALC1 (n=6)Gulo(−/−); Lp(a)++6 weeks low vitamin C
GALC2 (n=6)Gulo(−/−); Lp(a)++3 weeks low then 3 weeks high vitamin C
GBHC1(n=6)Gulo(−/−); Lp(a)+−6 weeks high vitamin C
GBHC2 (n=6)Gulo(−/−); Lp(a)+−3 weeks high then 3 weeks low vitamin C
GBLC1 (n=6)Gulo(−/−); Lp(a)+−6 weeks low vitamin C
GBLC2 (n=6)Gulo(−/−); Lp(a)+−3 weeks low then 3 weeks high vitamin C
WT injected (n=6)Wild-type+Regular mouse chow
WT Control (n=6)Wild-type−Regular mouse chow
Experimental design

Lp(a)+; Gulo (−/−) mice were divided into two groups: those receiving breast cancer cell injections and those receiving mock injections. 4T1 breast cancer cells (5×105 4T1 in 0.2 ml PBS) were injected into the mammary pad of test mice and PBS mock injection into control group of mice. After injections, mice were randomly assigned to 4 different dietary regimens for 6 weeks (Table I). Wild-type mice were divided into those receiving 4T1 injections and those receiving mock injections. Wild-type mice were placed on regular mouse chow. After 6 weeks the mice were sacrificed, their blood was drawn for serum analysis and tumors were measured, excised, weighed, photographed and processed for histology and immunohistochemistry. All procedures were conducted under protocols approved by the Internal Animal Care and Use Committee (IACUC).

Metastasis to lung

Evaluation of metastasis to the lung was done by nodule count of photographed dorsal and ventral surfaces of freshly harvested lung pairs kept in PBS prior to fixation in 10% neutral buffered formalin.

Histology and immunohistochemistry of tumors

Histopathology readings of primary tumors embedded, cut and stained for elastic Van Gieson at IDEXX Reference Laboratory (Sacramento, CA, USA) was conducted by Dr A. DePaoli.

Formalin-fixed, paraffin-embedded primary tumors from wild-type and Lp(a)+; Gulo−/− mice were sectioned and immunostained for human apo(a), human ApoB, mouse ApoB with respective negative and positive controls at HistoTox Labs, Inc. (Boulder, CO, USA). The human apo(a) primary antibody used does not cross-react with plasminogen.

Serum cholesterol profiling

Lipoprotein cholesterol gel electrophoresis, staining, and analyses, including HDL, LDL and Lp(a), were provided by Health Diagnostic Laboratory, Inc. (Richmond, VA, USA). Quantitative values in mg/dl were derived by applying the provided relative lipoprotein fraction cholesterol cargo data to total cholesterol values. Serum total cholesterol was determined using the Cholesterol/Cholesteryl Ester Quantitation Colorimetric kit II from BioVision (Mountain View, CA, USA).

Serum apolipoprotein determinations

Human ApoB protein determinations in mouse sera were made with the AssayMax Human ApoB ELISA kit from Assaypro LLC (St. Charles, MO, USA). Human apo(a) protein determinations were made with the Lipoprotein(a) ELISA kit from IBL International Gmbh (Hamburg, Germany).

Serum ascorbate determination

Serum was processed from whole blood and stored at −80°C until analyzed. Serum ascorbate analysis was performed using the Ferric Reducing Ascorbate (FRASC) assay kit from BioVision.

Statistical analysis

The results were expressed as means + SD, as indicated in the results, for the groups. Data was analyzed by independent sample t-test.

Results

Primary tumor development in groups of mice

As shown in Fig. 1, six weeks after injection of 4T1 breast cancer cells, 100% of wild-type mice developed tumors, while primary tumor incidence in the Lp(a)+; Gulo(−/−) mice kept on high ascorbate diet (GAHC1) was reduced by 50% and in mice kept on low ascorbate (GALC1) for 6 weeks by 33%. Mice kept on low ascorbate for 3 weeks and then switched to high ascorbate for another 3 weeks (GALC2) had 50% lower incidence of tumors compared to wild-type mice and equal to mice fed continuously low ascorbate diet for 6 weeks. Dietary change from high ascorbate to low ascorbate (GAHC2) resulted in further reduction in tumor incidence compared to mice on continuous 6-week high ascorbate diet, but the difference was not significant.

Figure 1

Primary tumor incidence in groups of mice.

In Lp(a)+; Gulo(−/−) mice on low (GALC1) and high (GAHC1) ascorbate diet for 6 weeks, the mean tumor mass was reduced to 42.7% (P=0.05) and 35% (P=0.045) respectively, of control wild-type mice tumors, as shown in Fig. 2. Tumors from Lp(a)+; Gulo(−/−) mice on low then high ascorbate (GALC2) and those on high then low ascorbate (GAHC2) had their mass reduced to 33.3% (P=0.01) and 28.3% (P=0.003), respectively, of the wild-type mice tumor mass. In a small number of these mice with no primary tumor development, residual tumor cells or inflammatory infiltrates found in the lungs confirmed the viability of the injected cells and evidence of a true rejection response

Figure 2

Mean primary tumor weight in mouse groups. *P≤0.05 indicates significance compared to WT control group.

Histopathology

Histology of the tumors from wild-type and Lp(a)+; Gulo (−/−) mice did not significantly differ by H&E staining except for size; established primary tumors ranged from very large and typical solid tumors to very small dense cysts with caseous necrotic cores. Thus, no H&E figures are provided. These tumors did differ significantly when immunostained, as shown in Fig. 7. Viable tumor tissue was characterized by sheets of irregularly round, pleomorphic cells with large, irregularly round nuclei and minimal to mild amounts of eosinophilic cytoplasm, with 50–75% of the tumor being necrotic.

Figure 7

Representative apo(a), human ApoB-100 and mouse apoB in primary tumors from Lp(a)+; Gulo(−/−) (#975) and wild-type (#2) mice. (A) GAHC1 apo(a); (B) GAHC1 human ApoB; (C) GAHC1 mouse ApoB; (D wild-type apo(a); (E) wild-type human ApoB; (F) wild-type mouse ApoB.

Metastasis

Metastasis to lungs was markedly reduced in Lp(a)+; Gulo(−/−) mice both on low and high ascorbate diet for 6 weeks compared to wild-type mice (Fig. 3). Total number of lung surface nodules per group was reduced by 82.8% in Lp(a)+; Gulo (−/−) mice on low ascorbate, by 99.2% on those on high ascorbate, by 97.3% in mice on low then high ascorbate and by 83.2% on mice on high then low ascorbate compared to control wild-type mice, as shown in Fig. 4.

Figure 3

Images of representative lungs from wild-type and Lp(a)+; Gulo(−/−) mice. (A) Wild-type; (B) Lp(a); Gulo(−/−).

Figure 4

Metastasis to lung: total lung surface nodules per group.

Mean lung surface nodules per mouse were reduced by 83% (P=0.022) in mice on low ascorbate diet and by 94% (P=0.006) in high ascorbate supplemented mice compared to control wild-type mice, as shown in Fig. 5. Mean lung surface nodules per mouse in mice on low then high ascorbate diet were reduced by 97% (P=0.007) and in high then low ascorbate diet by 83.3% (P=0.02) compared to control wild-type mice.

Figure 5

Metastasis to lung: mean lung surface nodules per mouse in groups. *P≤0.02 indicates significance compared to WT control group.

Average lung mass per mouse was reduced by 50% (P=0.02) in animals on 6-week low ascorbate diet and by 55% (P=0.01) in mice supplemented with high ascorbate for 6 weeks compared to control wild-type mice, as shown in Fig. 6. Mean lung mass per mouse in mice on low then high ascorbate diet was reduced by 52% (P=0.01) and in high then low ascorbate diet by 55% (P=0.01) compared to control wild-type mice.

Figure 6

Metastasis to lung: mean lung mass in groups. *P≤0.02 indicates significance compared to WT control group.

Tumor apo(a), human ApoB-100 and mouse ApoB protein immunostains in groups

Neither apo(a) nor human ApoB-100 were detected in 4T1 primary tumors from WT mice (Fig. 7D and E). In contrast, apo(a) and human ApoB-100 were abundantly present in tumors from Lp(a)+; Gulo(−/−) mice co-localized predominantly in the center of the tumor (Fig. 7A and B). Lp(a) was also detected in the tumor capsule and peripheral tumor vasculature. Mouse ApoB was found located outside areas of Lp(a) deposition in all mouse tumors, mostly in areas of non-necrotic cells (Fig. 7C and F).

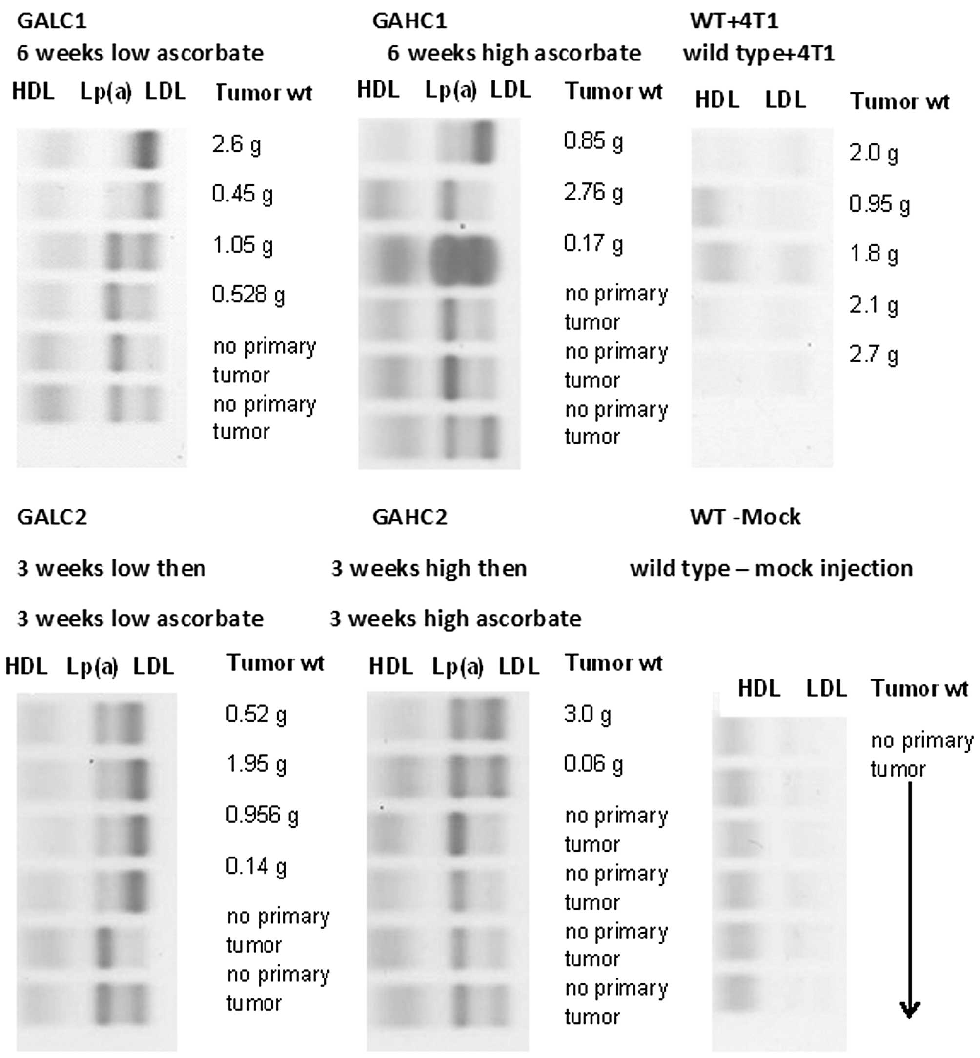
Serum lipoprotein cholesterol profiling in mice

Cholesterol profile from mice representing different dietary groups and wild-type mice is presented on Fig. 8. Size of primary tumors from Lp(a)+; Gulo(−/−) mice immunostained positively for Lp(a) was in general in inverse proportion to the intensity of Lp(a) cholesterol bands as evaluated using equal amounts of serum electrophoretically separated for lipoproteins and subsequently stained for particle cholesterol cargo. Lp(a)+; Gulo(−/−) mice with no primary tumor development consistently showed the presence of more intensive Lp(a) than LDL band staining regardless of the type of ascorbate diet. Lp(a) could not be detected in tumors from wild-type mice. This observation also confirms the specificity of the antibodies used previously in the present study.

Figure 8

Cholesterol profile panel for mouse groups and corresponding 4T1 tumor mass.

Correlation of tumor mass to Lp(a) cholesterol and LDL cholesterol in mouse serum

Primary tumor weights from the experimental groups carrying tumors were plotted against serum Lp(a) cholesterol and LDL cholesterol cargo concentrations. Tumor mass from animals in different dietary groups was inversely correlated to respective serum Lp(a) cholesterol concentrations (Fig. 9), while a trend was towards increased tumor mass with an increase in respective LDL cholesterol concentrations (Fig. 10). There was no correlation between HDL cholesterol and tumor mass (data not shown).

Figure 9

Correlation between tumor weights and lipoprotein(a)-cholesterol.

Figure 10

Correlation between tumor weights and LDL-cholesterol.

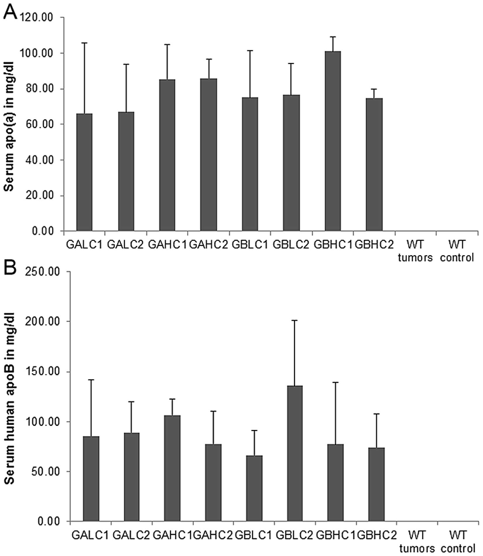
Serum apolipoproteins in mouse groups

Average values for serum apo(a) levels in different mouse groups are presented in Fig. 11A. No statistical differences were noted between different dietary groups of mice and mice with and without 4T1 cell injection. No serum apo(a) was detected in wild-type mice. There was no significant difference in human ApoB-100 serum concentrations between the groups as determined in equal volumes of serum by ELISA (Fig. 11B). No apparent trend was observed between groups for serum hApoB other than confirming the variation of cholesterol cargo seen in the cholesterol profiling in specimens with similar hApoB mass. Each particle of Lp(a) has one ApoB molecule. The particles however, can be more dense (less lipid cargo) or less dense (more lipid cargo) due to variation in cholesterol, phospholipid and triglyceride cargo.

Figure 11

(A) Serum human apo(a) (ELISA data); (B) serum human ApoB (ELISA data).

Ascorbate levels in mouse groups

Ascorbate serum levels in 4T1 challenged Lp(a)+; Gulo(−/−) mice on dietary supplementation with high vitamin C for 6 weeks (61.2 μM) were similar to its levels in mice kept initially on low vitamin C for 3 weeks followed by high vitamin C supplementation for 3 weeks (59.8 μM) (Fig. 12A). Mice on 6-week continuous low dietary ascorbate intake had significantly lower serum ascorbate levels (5.5 μM) compared to mice on a high ascorbate (GAHC1) or on the last 3-week high ascorbate diet regimen (GALC2). Mice starting on high vitamin C for 3 weeks followed by 3 weeks low vitamin C diet had serum ascorbate level significantly reduced to 9.2 μM compared to GAHC1 and GALC2 mice.

Figure 12

(A) Serum ascorbate in Lp(a)+; Gulo(−/−) groups with tumors; *P≤0.0001 indicates significance compared to GALC1 and GAHC2 groups. (B) Serum ascorbate in Lp(a); Gulo(−/−) mouse groups with mock injection; *P≤0.0001 indicates significance compared to GBLC1 and GBHC2 groups. (C) Serum ascorbate in WT mice; *P=0.04 indicates significance compared to mock-injected WT group.

Serum ascorbate levels in Lp(a)+; Gulo(−/−) mice with mock-injection (Fig. 12B) equaled to 75.2 μM in mice on 3-week high ascorbate diet followed by 3 week low ascorbate (GBLC2) and in mice on 6-week high ascorbate diet (GBHC1). Mice on low vitamin C for 6 weeks (GBLC1) had serum ascorbate reduced to 2.43 μM and those starting on high vitamin C for 3 weeks followed by 3 weeks on low vitamin C (GBHC2) had it reduced to 7.7 μM. As shown in Fig. 12C, wild-type mice challenged with 4T1 cancer cells had higher vitamin C serum level (63.7 μM) than control wild-type mice (47.9 μM). The difference was statistically significant.

Discussion

The main aim of the present study was to confirm key mechanisms of cancer development and key factors towards its control in mammals. Its focus was on the stability and integrity of ECM as a decisive factor on cancer invasion and metastasis. Towards this end we used the unique molecule, apo(a) and its blood-transport form Lp(a), as a trace molecule. Due to its unique structure, apo(a) is uniquely suited for this purpose. Firstly, as a macromolecule, with a multiple size of collagen, it is formidably suited to substitute for the connective tissue component at times of the deficiency. Secondly, due to its structural homology to plasminogen, it exhibits extreme adhesive properties that allow apo(a) to function as an effective repair molecule at times of compromised integrity/instability of the extracellular matrix and increased need for its repair. Thirdly, as a competitive inhibitor of plasmin-related pathways, it plays a role as a competitive inhibitor of plasmin-induced proteolysis of ECM, a mechanism common to all cancer cells, and, thereby, underscores the significance of this mechanism in the promotion of cancer.

In the present study we used transgenic mice expressing human Lp(a). Our first question was whether Lp(a) would accumulate in cancers. We found Lp(a) to accumulate particularly inside the core of tumors. Moreover, Lp(a) expressing mice showed a 30–60% reduction in development of primary tumors compared to wild-type mice, which all developed primary tumors. Furthermore, Lp(a) serum levels were found to be inversely proportional to tumor mass. Human apoB-100, the structural core protein of LDL and Lp(a), was almost exclusively co-localized with apo(a) inside the tumors, indicating the presence of intact human Lp(a) molecules. In contrast, mouse apoB, the structural protein of mouse LDL, was distributed preferentially on the tumor periphery. These data corroborated with observations that apo(a) has anti-neoplastic properties (7–9). They are also in accordance with studies in humans. A cohort study in 10,413 participants determined that low Lp(a) concentration (defined as 80 mg/l) was associated with cancer and all-cause deaths (P=0.001 and P=0.03, respectively) (10).

Apo(a) and Lp(a) are found primarily in species, including man, that have lost the ability to produce ascorbate endogenously. Based on this observation, it has been suggested that Lp(a) would function as a repair molecule for weakened ECM, compromised by chronic ascorbate deficiency. Thus, we also wanted to know whether dietary vitamin C deficiency would favor the occurrence of tumors, giving rise to the deposition of Lp(a). In an earlier study conducted in mice unable to synthesize vitamin C endogenously (Gulo−/−), we demonstrated that dietary deficiency of ascorbate facilitated tumor growth and expansion. Conversely, we observed that in Gulo−/− mice higher intake of ascorbate, which is essential for collagen synthesis and optimal ECM formation, was positively correlated with inhibition of 4T1 tumor growth and metastasis to lungs. Corroborating histological findings in animals on high ascorbate diet showed thick connective tissue borders surrounding tumors, thereby confining their growth. The more vitamin C provided in the diet, the greater the rate of primary tumor rejection (11).

In the present study, we developed a mouse model that combined both the inability of endogenous ascorbate synthesis (Gulo−/−) and the production of human Lp(a) [Lp(a)+]. Here we demonstrate that firstly, Lp(a) expressing mice had significantly lower primary tumors as well as metastatic tumors in lungs compared to wild-type mice inoculated with 4T1 breast cancer cells. Secondly, among the Lp(a) expressing mice, those with high vitamin C supplementation had significantly lower incidence of metastatic tumors in lungs compared to those animals with low amounts of vitamin C in the diet. In the Lp(a)+; Gulo−/− animals on high vitamin C diet the metastatic cancers were almost completely suppressed. In contrast to metastatic cancers, there was no difference found between the study groups for primary tumors, suggesting that vitamin C plays a specific inhibitory role in metastatic stages of cancer.

In summary, the present study shows that vitamin C is an effective inhibitor of cancer metastasis in mammals lacking vitamin C synthesis and expressing Lp(a). In this context it is of interest that the mouse model used in this study mimics human metabolism with respect to these two important characteristics. While ECM impairment is a precondition for cancer growth and expansion, the prevention of ECM degradation and its reconstitution have not been a focus of therapeutic cancer research. In the absence of pharmacological stimuli for ECM growth and repair, vitamin C should be considered as the most effective option in cancer prevention and therapy. Clinical and epidemiological data support this approach. Vitamin C deficiency is common in advanced cancer patients and low plasma levels of this vitamin are associated with shorter survival of cancer patients (12).

The presence of a Lp(a) in species that have lost the ability for endogenous vitamin C production has been one of the unsolved puzzles of science. Particularly compelling is the fact that the appearance of Lp(a) about 40 million years ago coincided with the loss of endogenous vitamin C synthesis by the ancestor of man. Based on this and other observations it has been proposed that Lp(a) functions as a substitute for vitamin C in stabilizing the ECM, particularly at times of prolonged nutritional scarcity (13). If this concept is confirmed, any pathological condition related to vitamin C deficiency would involve Lp(a) as compensating factor. In a previous study we confirmed this concept for cardiovascular disease, where a prolonged deficiency of dietary vitamin C leads to the deposition of Lp(a) in the vascular wall and the development of atherosclerotic plaques (6). Here we confirm this concept in cancer. In this condition, characterized by accelerated ECM degradation and associated with vitamin C deficiency, Lp(a) contributes to protect and reconstitute the ECM.

In conclusion, our results indicate that the presence of Lp(a) in this animal model significantly decreased the development of primary tumors and metastatic tumors in the lung, suggesting that this molecule has anti-neoplastic properties. The histological detection of Lp(a) deposits in and around tumors suggest that this lipoprotein may participate in mitigating ECM damage during cancer progression, in particular by inhibiting proteolytic processes characteristic for all types of cancer cells. The results imply that due to its unique structure, Lp(a) may play a role in controlling tumor growth and expansion as a competitive inhibitor of plasmin-induced proteolysis and through its adhesive properties to ECM components. This study further confirms the concept that Lp(a) functions as a surrogate for ascorbate in disease and, thereby, stresses the role of ascorbate in fighting cancer.

Acknowledgements

Tissues were processed by the IDEXX Reference Laboratories Inc., and consulting pathologist Alexander DePaoli, provided the histology slides and analysis. Phil Guadagno, MS at Health Diagnostic Laboratories, Inc. provided lipoprotein cholesterol determination expertise. Special thanks to Earl Rainey for animal colony maintenance and Lei Shi for assistance with the experiments. The research study was funded by Dr Rath Health Foundation (Santa Clara, CA, USA), a non-profit organization.

References

1 

Fidler IJ: Molecular biology of cancer: Invasion and metastasis. Cancer: Principles and Practice of Oncology. De Vita VT, Hellman S and Rosenberg SA: 5th edition. Lippincott-Raven; Philadelphia, PA: pp. 135–152. 1997

2 

Rath M and Pauling L: Plasmin-induced proteolysis and the role of apoprotein(a), lysine and synthetic analogs. Orthomolecular Med. 7:17–23. 1992.

3 

Choong PF and Nadesapillai AP: Urokinase plasminogen activator system: A multifunctional role in tumor progression and metastasis. Clin Orthop Relat Res. 415(Suppl): S46–S58. 2003. View Article : Google Scholar : PubMed/NCBI

4 

Wahl ML, Kenan DJ, Gonzalez-Gronow M and Pizzo SV: Angiostatin’s molecular mechanism: Aspects of specificity and regulation elucidated. J Cell Biochem. 96:242–261. 2005. View Article : Google Scholar : PubMed/NCBI

5 

Utermann G: The mysteries of lipoprotein(a). Science. 246:904–910. 1989. View Article : Google Scholar : PubMed/NCBI

6 

Cha J, Niedzwiecki A and Rath M: Hypoascorbemia induces atherosclerosis and vascular deposition of lipoprotein(a) in transgenic mice. Am J Cardiovasc Dis. 5:53–62. 2015.PubMed/NCBI

7 

Lippi G, Franchini M, Salvagno GL and Guidi GC: Lipoprotein[a] and cancer: Anti-neoplastic effect besides its cardiovascular potency. Cancer Treat Rev. 33:427–436. 2007. View Article : Google Scholar : PubMed/NCBI

8 

Kim JS, Chang JH, Yu HK, Ahn JH, Yum JS, Lee SK, Jung KH, Park DH, Yoon Y, Byun SM, et al: Inhibition of angiogenesis and angiogenesis-dependent tumor growth by the cryptic kringle fragments of human apolipoprotein(a). J Biol Chem. 278:29000–29008. 2003. View Article : Google Scholar : PubMed/NCBI

9 

Trieu VN and Uckun FM: Apolipoprotein(a), a link between atherosclerosis and tumor angiogenesis. Biochem Biophys Res Commun. 257:714–718. 1999. View Article : Google Scholar : PubMed/NCBI

10 

Sawabe M, Tanaka N, Mieno MN, Ishikawa S, Kayaba K, Nakahara K and Matsushita S; JMS Cohort Study Group. Low lipoprotein(a) concentration is associated with cancer and all-cause deaths: A population-based cohort study (the JMS cohort study). PLoS One. 7:e319542012. View Article : Google Scholar : PubMed/NCBI

11 

Cha J, Roomi MW, Ivanov V, Kalinovsky T, Niedzwiecki A and Rath M: Ascorbate supplementation inhibits growth and metastasis of B16FO melanoma and 4T1 breast cancer cells in vitamin C-deficient mice. Int J Oncol. 42:55–64. 2013.

12 

Mayland CR, Bennett MI and Allan K: Vitamin C deficiency in cancer patients. Palliat Med. 19:17–20. 2005. View Article : Google Scholar : PubMed/NCBI

13 

Rath M and Pauling L: Hypothesis: Lipoprotein(a) is a surrogate for ascorbate. Proc Natl Acad Sci USA. 87:6204–6207. 1990. View Article : Google Scholar : PubMed/NCBI

Related Articles

  • Abstract
  • View
  • Download
  • Twitter
Copy and paste a formatted citation
Spandidos Publications style
Cha J, Roomi MW, Kalinovsky T, Niedzwiecki A and Rath M: Lipoprotein(a) and vitamin C impair development of breast cancer tumors in Lp(a)+; Gulo-/- mice. Int J Oncol 49: 895-902, 2016.
APA
Cha, J., Roomi, M.W., Kalinovsky, T., Niedzwiecki, A., & Rath, M. (2016). Lipoprotein(a) and vitamin C impair development of breast cancer tumors in Lp(a)+; Gulo-/- mice. International Journal of Oncology, 49, 895-902. https://doi.org/10.3892/ijo.2016.3597
MLA
Cha, J., Roomi, M. W., Kalinovsky, T., Niedzwiecki, A., Rath, M."Lipoprotein(a) and vitamin C impair development of breast cancer tumors in Lp(a)+; Gulo-/- mice". International Journal of Oncology 49.3 (2016): 895-902.
Chicago
Cha, J., Roomi, M. W., Kalinovsky, T., Niedzwiecki, A., Rath, M."Lipoprotein(a) and vitamin C impair development of breast cancer tumors in Lp(a)+; Gulo-/- mice". International Journal of Oncology 49, no. 3 (2016): 895-902. https://doi.org/10.3892/ijo.2016.3597
Copy and paste a formatted citation
x
Spandidos Publications style
Cha J, Roomi MW, Kalinovsky T, Niedzwiecki A and Rath M: Lipoprotein(a) and vitamin C impair development of breast cancer tumors in Lp(a)+; Gulo-/- mice. Int J Oncol 49: 895-902, 2016.
APA
Cha, J., Roomi, M.W., Kalinovsky, T., Niedzwiecki, A., & Rath, M. (2016). Lipoprotein(a) and vitamin C impair development of breast cancer tumors in Lp(a)+; Gulo-/- mice. International Journal of Oncology, 49, 895-902. https://doi.org/10.3892/ijo.2016.3597
MLA
Cha, J., Roomi, M. W., Kalinovsky, T., Niedzwiecki, A., Rath, M."Lipoprotein(a) and vitamin C impair development of breast cancer tumors in Lp(a)+; Gulo-/- mice". International Journal of Oncology 49.3 (2016): 895-902.
Chicago
Cha, J., Roomi, M. W., Kalinovsky, T., Niedzwiecki, A., Rath, M."Lipoprotein(a) and vitamin C impair development of breast cancer tumors in Lp(a)+; Gulo-/- mice". International Journal of Oncology 49, no. 3 (2016): 895-902. https://doi.org/10.3892/ijo.2016.3597
Follow us
  • Twitter
  • LinkedIn
  • Facebook
About
  • Spandidos Publications
  • Careers
  • Cookie Policy
  • Privacy Policy
How can we help?
  • Help
  • Live Chat
  • Contact
  • Email to our Support Team