Spandidos Publications Logo
  • About
    • About Spandidos
    • Aims and Scopes
    • Abstracting and Indexing
    • Editorial Policies
    • Reprints and Permissions
    • Job Opportunities
    • Terms and Conditions
    • Contact
  • Journals
    • All Journals
    • Oncology Letters
      • Oncology Letters
      • Information for Authors
      • Editorial Policies
      • Editorial Board
      • Aims and Scope
      • Abstracting and Indexing
      • Bibliographic Information
      • Archive
    • International Journal of Oncology
      • International Journal of Oncology
      • Information for Authors
      • Editorial Policies
      • Editorial Board
      • Aims and Scope
      • Abstracting and Indexing
      • Bibliographic Information
      • Archive
    • Molecular and Clinical Oncology
      • Molecular and Clinical Oncology
      • Information for Authors
      • Editorial Policies
      • Editorial Board
      • Aims and Scope
      • Abstracting and Indexing
      • Bibliographic Information
      • Archive
    • Experimental and Therapeutic Medicine
      • Experimental and Therapeutic Medicine
      • Information for Authors
      • Editorial Policies
      • Editorial Board
      • Aims and Scope
      • Abstracting and Indexing
      • Bibliographic Information
      • Archive
    • International Journal of Molecular Medicine
      • International Journal of Molecular Medicine
      • Information for Authors
      • Editorial Policies
      • Editorial Board
      • Aims and Scope
      • Abstracting and Indexing
      • Bibliographic Information
      • Archive
    • Biomedical Reports
      • Biomedical Reports
      • Information for Authors
      • Editorial Policies
      • Editorial Board
      • Aims and Scope
      • Abstracting and Indexing
      • Bibliographic Information
      • Archive
    • Oncology Reports
      • Oncology Reports
      • Information for Authors
      • Editorial Policies
      • Editorial Board
      • Aims and Scope
      • Abstracting and Indexing
      • Bibliographic Information
      • Archive
    • Molecular Medicine Reports
      • Molecular Medicine Reports
      • Information for Authors
      • Editorial Policies
      • Editorial Board
      • Aims and Scope
      • Abstracting and Indexing
      • Bibliographic Information
      • Archive
    • World Academy of Sciences Journal
      • World Academy of Sciences Journal
      • Information for Authors
      • Editorial Policies
      • Editorial Board
      • Aims and Scope
      • Abstracting and Indexing
      • Bibliographic Information
      • Archive
    • International Journal of Functional Nutrition
      • International Journal of Functional Nutrition
      • Information for Authors
      • Editorial Policies
      • Editorial Board
      • Aims and Scope
      • Abstracting and Indexing
      • Bibliographic Information
      • Archive
    • International Journal of Epigenetics
      • International Journal of Epigenetics
      • Information for Authors
      • Editorial Policies
      • Editorial Board
      • Aims and Scope
      • Abstracting and Indexing
      • Bibliographic Information
      • Archive
    • Medicine International
      • Medicine International
      • Information for Authors
      • Editorial Policies
      • Editorial Board
      • Aims and Scope
      • Abstracting and Indexing
      • Bibliographic Information
      • Archive
  • Articles
  • Information
    • Information for Authors
    • Information for Reviewers
    • Information for Librarians
    • Information for Advertisers
    • Conferences
  • Language Editing
Spandidos Publications Logo
  • About
    • About Spandidos
    • Aims and Scopes
    • Abstracting and Indexing
    • Editorial Policies
    • Reprints and Permissions
    • Job Opportunities
    • Terms and Conditions
    • Contact
  • Journals
    • All Journals
    • Biomedical Reports
      • Information for Authors
      • Editorial Policies
      • Editorial Board
      • Aims and Scope
      • Abstracting and Indexing
      • Bibliographic Information
      • Archive
    • Experimental and Therapeutic Medicine
      • Information for Authors
      • Editorial Policies
      • Editorial Board
      • Aims and Scope
      • Abstracting and Indexing
      • Bibliographic Information
      • Archive
    • International Journal of Epigenetics
      • Information for Authors
      • Editorial Policies
      • Editorial Board
      • Aims and Scope
      • Abstracting and Indexing
      • Bibliographic Information
      • Archive
    • International Journal of Functional Nutrition
      • Information for Authors
      • Editorial Policies
      • Editorial Board
      • Aims and Scope
      • Abstracting and Indexing
      • Bibliographic Information
      • Archive
    • International Journal of Molecular Medicine
      • Information for Authors
      • Editorial Policies
      • Editorial Board
      • Aims and Scope
      • Abstracting and Indexing
      • Bibliographic Information
      • Archive
    • International Journal of Oncology
      • Information for Authors
      • Editorial Policies
      • Editorial Board
      • Aims and Scope
      • Abstracting and Indexing
      • Bibliographic Information
      • Archive
    • Medicine International
      • Information for Authors
      • Editorial Policies
      • Editorial Board
      • Aims and Scope
      • Abstracting and Indexing
      • Bibliographic Information
      • Archive
    • Molecular and Clinical Oncology
      • Information for Authors
      • Editorial Policies
      • Editorial Board
      • Aims and Scope
      • Abstracting and Indexing
      • Bibliographic Information
      • Archive
    • Molecular Medicine Reports
      • Information for Authors
      • Editorial Policies
      • Editorial Board
      • Aims and Scope
      • Abstracting and Indexing
      • Bibliographic Information
      • Archive
    • Oncology Letters
      • Information for Authors
      • Editorial Policies
      • Editorial Board
      • Aims and Scope
      • Abstracting and Indexing
      • Bibliographic Information
      • Archive
    • Oncology Reports
      • Information for Authors
      • Editorial Policies
      • Editorial Board
      • Aims and Scope
      • Abstracting and Indexing
      • Bibliographic Information
      • Archive
    • World Academy of Sciences Journal
      • Information for Authors
      • Editorial Policies
      • Editorial Board
      • Aims and Scope
      • Abstracting and Indexing
      • Bibliographic Information
      • Archive
  • Articles
  • Information
    • For Authors
    • For Reviewers
    • For Librarians
    • For Advertisers
    • Conferences
  • Language Editing
Login Register Submit
  • This site uses cookies
  • You can change your cookie settings at any time by following the instructions in our Cookie Policy. To find out more, you may read our Privacy Policy.

    I agree
Search articles by DOI, keyword, author or affiliation
Search
Advanced Search
presentation
Molecular and Clinical Oncology
Join Editorial Board Propose a Special Issue
Print ISSN: 2049-9450 Online ISSN: 2049-9469
Journal Cover
March-April 2013 Volume 1 Issue 2

Full Size Image

Sign up for eToc alerts
Recommend to Library

Journals

International Journal of Molecular Medicine

International Journal of Molecular Medicine

International Journal of Molecular Medicine is an international journal devoted to molecular mechanisms of human disease.

International Journal of Oncology

International Journal of Oncology

International Journal of Oncology is an international journal devoted to oncology research and cancer treatment.

Molecular Medicine Reports

Molecular Medicine Reports

Covers molecular medicine topics such as pharmacology, pathology, genetics, neuroscience, infectious diseases, molecular cardiology, and molecular surgery.

Oncology Reports

Oncology Reports

Oncology Reports is an international journal devoted to fundamental and applied research in Oncology.

Experimental and Therapeutic Medicine

Experimental and Therapeutic Medicine

Experimental and Therapeutic Medicine is an international journal devoted to laboratory and clinical medicine.

Oncology Letters

Oncology Letters

Oncology Letters is an international journal devoted to Experimental and Clinical Oncology.

Biomedical Reports

Biomedical Reports

Explores a wide range of biological and medical fields, including pharmacology, genetics, microbiology, neuroscience, and molecular cardiology.

Molecular and Clinical Oncology

Molecular and Clinical Oncology

International journal addressing all aspects of oncology research, from tumorigenesis and oncogenes to chemotherapy and metastasis.

World Academy of Sciences Journal

World Academy of Sciences Journal

Multidisciplinary open-access journal spanning biochemistry, genetics, neuroscience, environmental health, and synthetic biology.

International Journal of Functional Nutrition

International Journal of Functional Nutrition

Open-access journal combining biochemistry, pharmacology, immunology, and genetics to advance health through functional nutrition.

International Journal of Epigenetics

International Journal of Epigenetics

Publishes open-access research on using epigenetics to advance understanding and treatment of human disease.

Medicine International

Medicine International

An International Open Access Journal Devoted to General Medicine.

Journal Cover
March-April 2013 Volume 1 Issue 2

Full Size Image

Sign up for eToc alerts
Recommend to Library

  • Article
  • Citations
    • Cite This Article
    • Download Citation
    • Create Citation Alert
    • Remove Citation Alert
    • Cited By
  • Similar Articles
    • Related Articles (in Spandidos Publications)
    • Similar Articles (Google Scholar)
    • Similar Articles (PubMed)
  • Download PDF
  • Download XML
  • View XML
Article

The effect-enhancing and toxicity-reducing activity of Hypericum japonicum Thunb. extract in murine liver cancer chemotherapy

  • Authors:
    • Hong-Bo Zhang
    • Ping Lu
    • Wen-Bo Cao
    • Zhen-Hua Zhang
    • Xiang-Lei Meng
  • View Affiliations / Copyright

    Affiliations: Department of Anatomy and Cell Biology, School of Medicine, Zhengzhou University, Zhengzhou, Henan 450001, P.R. China, School of Pharmacy, Henan University of Traditional Chinese Medicine, Zhengzhou, Henan 450008, P.R. China, Department of Cancer Biology, School of Medicine, Zhengzhou University, Zhengzhou, Henan 450001, P.R. China
  • Pages: 395-399
    |
    Published online on: December 17, 2012
       https://doi.org/10.3892/mco.2012.52
  • Expand metrics +
Metrics: Total Views: 0 (Spandidos Publications: | PMC Statistics: )
Metrics: Total PDF Downloads: 0 (Spandidos Publications: | PMC Statistics: )
Cited By (CrossRef): 0 citations Loading Articles...

This article is mentioned in:



Abstract

Chinese herbs are potential sources of antitumor drugs with immunoregulatory activity and few adverse effects. In the present study, we investigated whether the Hypericum japonicum Thunb. (HJT) extract enhanced the efficacy of 5‑fluorouracil (5‑FU) treatment in murine liver tumor xenografts and reduced toxicity of chemotherapy in hepatoma H22‑bearing mice. Tumor weight and inhibition rate, thymus and spleen indices, as well as white blood cell (WBC) count were calculated. The phagocytic function of macrophages was assessed by observing peritoneal macrophages phagocytized chicken red blood cells (RBC). Body weight and toxic reactions of the chemotherapeutic and life prolongation rate were investigated in the mice. Results demonstrated that the HJT extract significantly enhanced the tumor inhibition rate of 5‑FU, improved the immune function, reduced the toxic effects and prolonged the survival time in the tumor‑bearing mice. Taken together, these results indicated that the HJT extract has a synergistic tumor‑inhibiting effect with 5‑FU, is able to reduce the toxic side effects and is likely to be safe and efficacious for use in antitumor therapy.

Introdution

Liver cancer is a malignant disease with a high incidence and mortality, and is often diagnosed at an advanced stage (1). Common therapies, such as surgical resection, percutaneous or transarterial interventions are of limited efficacy (2), as chemotherapy, one of the main measures for a comprehensive treatment, may induce adverse effects such as bone marrow suppression, gastrointestinal reactions and lowered immunological function.

Several Chinese herbs have been identified as potential sources of antitumor drugs (3–5). The effect-enhancing and toxicity-reducing activity of Chinese herbs in radiotherapy and chemotherapy of tumors was previously confirmed (6,7). However, no studies focusing on the antitumor and toxicity-reducing effects of Hypericum japonicum Thunb. (HJT) have been reported thus far. Therefore, the present investigation was conducted to ascertain whether the HJT extract enhanced the efficacy of 5-fluorouracil (5-FU) treatment in murine liver tumor xenografts, and reduced toxicity of chemotherapy in tumor-bearing mice.

Materials and methods

Reagents

RPMI-1640 medium, fetal bovine serum (FBS), penicillin G and streptomycin were obtained from Invitrogen Corp. (Carlsbad, CA, USA). 5-FU was obtained from the Shanghai Xudong Haipu Pharmaceutical Co., Ltd. (Shanghai, China). Murine H22 hepatoma cells were purchased from the Shanghai Institute of Cell Biology at the Chinese Academy of Sciences (Shanghai, China).

Animals

Institute of Cancer Research (ICR) mice (male/female, 50–50%; weight, 20±2 g) were purchased from the Experimental Animal Center, Zhengzhou University (Zhengzhou, China). The animals were kept in a standard laboratory, under a 12-h light/dark cycle, at room temperature (20±2°C), in a humid (75±15%) and filtered laminar air flow-controlled room in the animal facility of the Experimental Animal Center of the Zhengzhou University. Mice were raised and cared for, given autoclaved water and fed ad libitum with laboratory pellet chow. Experiments were performed according to the regulations and guidelines for animal experiments in China. This study was approved by the Ethics Committee of Zhenghou University, Zhenghou, China.

Cell culture

H22 cells were cultured in RPMI-1640 medium supplemented with 10% FBS, 1×105 U/l penicillin and 100 mg/l streptomycin in a humidified atmosphere with 5% CO2 incubator at 37°C. The cells were subcultured until logarithmic growth phase was reached.

Preparation of the HJT extract

HJT extract was obtained from Xi’an Kanger America Biotechnology Co., Ltd. (Xi’an, China). Air-dried HJT samples were ground and mixed with double-distilled water at 100°C for 10 min, then cooled to room temperature. HJT was then stored at 4°C in dark bottles and kept sterile until instilled intragastrically in the mice.

Experimental design

ICR mice were randomized into A-F groups (n=10). The animals were subcutaneously injected with H22 cells (1×107 cells/mouse) into the armpit of the right hind limb, with the exception of group A (normal group), which received sodium suspension (0.9%). Group B served as the tumor control. In groups C, D, E and F, 5-FU (20 mg/kg) was injected into the abdominal cavity, once daily. Groups D (low-dose HJT group), E (medium-dose HJT group) and F (high-dose HJT group) received perfusion of HJT extract intragastrically at 3, 6 and 12 g/d per kg, administered 24 h after the tumor inoculation, once daily for 10 days.

Determination of antitumor activity in vivo

The general condition of mice such as movement, fur, eating, drinking, body weight increase and toxic responses was examined. Twenty four hours after the last dose, blood was collected from the animals for the white blood cell (WBC) count by retro-orbital puncture under slight anesthesia (diethyl ether). Mice from each group were sacrificed under anesthesia using CO2. The mice and the separated tumor were weighed. Antitumor activity was evaluated by tumor weighing. The tumor inhibition rate was calculated as: Tumor inhibitory rate (%) = (1−average tumor weighing of administration group/average tumor weighing of the tumor control group) × 100% (9). Simultaneously, the thymus and spleen were excised and weighed. Indices were calculated as: Thymus index = the thymus weight (mg)/body weight (g) and spleen index = the spleen weight (mg)/body weight (g) (10).

Determination of the phagocytic function of macrophage

After the last dose and 12-h fasting, chicken-red cells (1 ml, 5%) were injected intraperitoneally into each group. After 12 h, the mice were sacrificed and normal saline (2 ml) was injected into the abdominal cavity. Peritoneal fluid (1 ml) was then drawn for glass slides. Following incubation for 30 min, peritoneal fluid was fixed with a mixture of acetone/methanol (1:1, v/v) and stained with 4% Giemsa. After drying, peritoneal macrophages were counted by microscopy. The effect of the HJT extract on phagocytosis of enterocoelia macrophage was evaluated by the chicken-red cell phagocytic rate and index, calculated using the formulas: phagocytic index = chicken-red cells phagocyted/total macrophages and phagocytic rate = (macrophages that phagocytized red blood cells (RBC)/total macrophages) ×100% (11).

Determination of life prolongation rate in the H22-bearing mice

The grouping and drug administration for this experiment were the same as described above (n=10). H22 cells (1×107 cells/mouse) were injected into the abdominal cavity of each mouse. The survival time of the mice was recorded for 35 days after terminating drug administration. The experiment was considered invalid if the mortality rate in the control group during the experiment was >20%, or the survival time of 20% mice was >5 weeks. The life prolongation rate was determined as (the mean living days of the mice in the treatment group/the mean living days in the tumor control group–1) × 100%.

Statistical analysis

Values were expressed as the mean ± standard deviation (SD). Statistical analysis was performed with one-way analysis of variance (ANOVA) using the statistical software SPSS 17.0. P<0.05 was considered to indicate a statistically significant difference.

Results

Antitumor and toxicity-reducing activity of the HJT extract on hepatoma

H22-bearing mice in the tumor control group were not lively, with dark fur, and exhibited loss of appetite as well as slow weight gain. Additionally, mice in the 5-FU group died prior to the last administration. By contrast, mice in the HJT extract groups were vigorous, with shiny fur and a rapid body weight increase, showing a good condition. The toxic effects in the 5-FU group were severe, including anorexia, abdominal distention and emaciation, while the mice in the HJT extract groups showed no or little toxicity.

No statistically significant difference was detected in the body weight between each group prior to treatment (P>0.05) (Table I). Following the experiment, the body weight of the tumor-bearing mice in the groups increased to varying degrees. The body weight increase was significantly higher in each HJT group compared with the tumor control group (P<0.05), whereas the increase in the 5-FU group was significantly lower compared with the other groups (P<0.05). The tumor weight of three HJT groups and the 5-FU group was significantly lower compared with the tumor control group (P<0.05). Compared with the 5-FU group, the tumors of three HJT groups showed a significant decrease in size, with the HJT dose group increasing (P<0.05). The tumor inhibitory rates of the 5-FU group and HJT groups were 41.11, 54.44, 58.15 and 66.29%, respectively.

Table I

Effect of the HJT extract on body and tumor weight of the H22-bearing mice [mean ± standard deviation (SD), n=10].

Table I

Effect of the HJT extract on body and tumor weight of the H22-bearing mice [mean ± standard deviation (SD), n=10].

GroupDose (g/kg/day)Body weight (g)
Variation of body weight (g)Tumor weight (g)Tumor inhibition rate (%)
Pre-treatmentPost-treatment
Normal control-20.05±2.0724.35±3.24 4.30±3.47a,b--
Tumor control-20.11±1.9421.07±2.020.96±2.132.70±1.13-
5-FU0.0219.98±2.0320.55±1.860.57±1.89a1.59±0.59a41.11
0.02+3.0020.01±2.2521.49±1.94 1.48±1.65a,b 1.23±0.54a,b54.44
5-FU + HJT0.02+6.0020.07±2.0622.15±1.75 2.08±2.03a,b 1.13±0.42a,b58.15
0.02+12.0019.96±1.9523.24±2.05 3.28±2.19a,b 0.91±0.63a,b66.29

a P<0.05 vs. tumor control group;

b P<0.05 vs. the 5-FU group. HJT, Hypericum japonicum Thunb.

Effect of the HJT extract on immune organs and WBC count of H22-bearing mice

As shown in Fig. 1, compared with the normal control group, the thymus and spleen indices were significantly lower in the tumor control group and further decreased in the 5-FU group (P<0.05). In the HJT extract groups, atrophy of the immune organs induced by 5-FU was improved (P<0.05). Compared with the tumor control group, the WBC count showed a significant decrease in the 5-FU group (P<0.05), and showed an increasing tendency in the HJT extract groups.

Figure 1

Effect of Hypericum japonicum Thunb. (HJT) extract on immune organs and white blood cell (WBC) count of H22-bearing mice. Group A, normal control; Group B, tumor control; Group C, 5-FU; Group D, 5-FU + low-dose HJT; Group E, 5-FU + medium-dose HJT; Group F, 5-FU + high-dose HJT. Results are presented as the mean ± standard deviation for the animals in each group. *P<0.05 vs. tumor control group; #P<0.05 vs. 5-FU group.

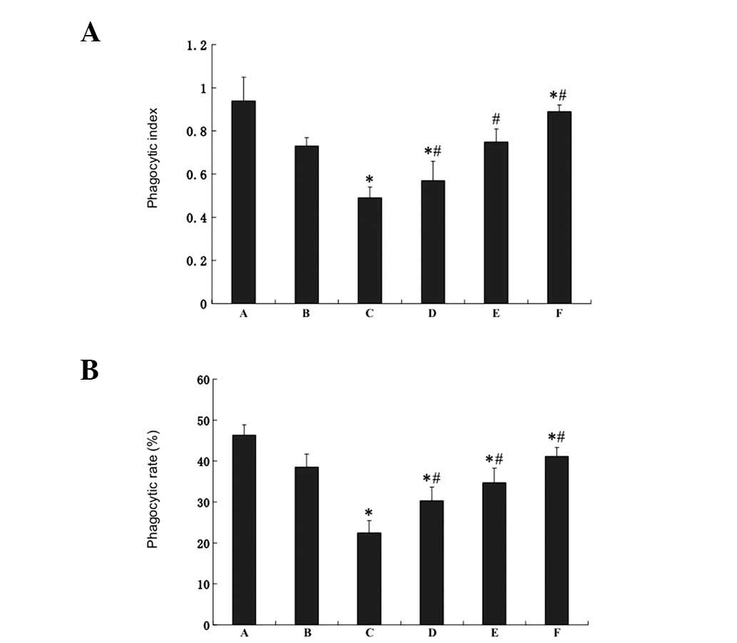
Effect of the HJT extract on the phagocytic function of macrophages in H22-bearing mice

Compared with the tumor control group, 5-FU decreased the phagocytic index and rate significantly (P<0.05) (Fig. 2). However, the phagocytic function of the macrophages of mice was increased in the HJT groups. The phagocytic indices of the low-, medium- and high-dose HJT groups were increased 16.32, 53.31 and 81.63%, respectively, compared with the 5-FU group. The phagocytic rates of the low-, medium- and high-dose HJT groups were increased by 35.07, 54.47 and 83.31%, respectively, compared with the 5-FU group.

Figure 2

Effect of Hypericum japonicum Thunb. (HJT) extract on the phagocytic function of macrophages in H22-bearing mice. Group A, normal control; Group B, tumor control; Group C, 5-FU; Group D, 5-FU + low-dose HJT; Group E, 5-FU + medium-dose HJT; Group F, 5-FU + high-dose HJT. Results are presented as the mean ± standard deviation for the animals in each group. *P<0.05 vs. tumor control group; #P<0.05 vs. 5-FU group.

Effects of the HJT extract on the life prolongation rate in H22-bearing mice

As shown in Table II, the survival time of the ascites tumor mice in the HJT groups was significantly higher compared with those of the tumor control (P<0.05) and 5-FU groups (P<0.05). Survival time of the 5-FU group was slightly higher compared with that of the tumor control group, with no significant difference being detected between the two groups. The life prolongation rates in the low-, medium- and high-dose HJT groups were 25.97, 43.74 and 62.27%, respectively, which were significantly higher compared with those of the 5-FU group.

Table II

Effects of the HJT extract on the life prolongation rate in the H22-bearing mice [mean ± standard deviation (SD), n=10].

Table II

Effects of the HJT extract on the life prolongation rate in the H22-bearing mice [mean ± standard deviation (SD), n=10].

Life prolongation rate (%)
GroupDose (g/kg/day)Survival time (day)vs. tumor control groupvs. 5-FU group
Tumor control-15.98±4.85--
5-FU0.0216.23±4.031.56-
0.02+3.00 20.13±3.89a,b25.9724.03
5-FU + HJT0.02+6.00 22.97±4.31a,b43.7441.53
0.02+12.00 25.93+5.07a,b62.2759.77

a P<0.05 vs. tumor control group;

b P<0.05 vs. the 5-FU group. HJT, Hypericum japonicum Thunb.

Discussion

Previous studies have noted the bioactivies of the Hypericum genus including the antitumor, antioxidant, antimicrobial and natural killer (NK) cell-activating activity (8–12). HJT, an annual herb from the genus Hypericum L., known in traditional Chinese medicine as Tian-ji-huang, grows mainly throughout southern China. HJT has been used in a Chinese herbal compound formula for many years for the treatment of bacterial diseases; infectious, acute and chronic hepatitis; gastrointestinal disorder; internal hemorrhage and tumors (13,14). Data in the present study demonstrated that the HJT extract significantly inhibited the growth of H22-transplanted tumors and had a synergistic tumor-inhibiting effect with the 5-FU group.

Reduction of the chemotherapy-induced side effects in cancer treatment has gained increasing attention. The results of this study demonstrated that the HJT extract exhibited an improved efficacy of supporting treatment in chemotherapy. The increase in body weight markedly reduced toxic reactions and the higher life prolongation rate demonstrated that the HJT extract had toxicity-reducing activity.

The immune function is important in the course of radiotherapy and chemotherapy for patients with malignant tumors. Findings of the present study have shown that the thymus and spleen indices, WBC count and the phagocytic function were elevated in the HJT groups, indicating that the HJT extract efficaciously antagonized the immunosuppression caused by 5-FU and may be used as an immune response modifier in chemotherapy. It is possible to estimate that HJT likely improves the immune function of patients suffering from a malignant disease.

The antitumor and toxicity-reducing effects of HJT extract are potentially associated with components such as flavonoids, xanthones, glucoside and embelin in HJT, which also contribute to the immune activity on the tumor cells (15–18). However, in the present study, the whole herb extract was used, while the concrete mechanism of action remains to be elucidated.

Acknowledgements

This study was supported by the Talent Recruitment Research Grant of the Zhengzhou University, Zhengzhou, China.

References

1 

Jemal A, Bray F, Center MM, Ferlay J, Ward E and Forman D: Global cancer statistics. CA Cancer J Clin. 61:69–90. 2011. View Article : Google Scholar

2 

Dai LC, Wang X, Yao X, Lu YL, Ping JL and He JF: Enhanced therapeutic effects of combined chemotherapeutic drugs and midkine antisense oligonucleotides for hepatocellular carcinoma. World J Gastroenterol. 13:1989–1994. 2007. View Article : Google Scholar

3 

Yu J, Liu H, Lei J, Tan W, Hu X and Zou G: Antitumor activity of chloroform fraction of Scutellaria barbata and its active constituents. Phytother Res. 21:817–822. 2007. View Article : Google Scholar

4 

Vickers A: Botanical medicines for the treatment of cancer: rationale, overview of current data, and methodological considerations for phase I and II trials. Cancer Invest. 20:1069–1079. 2002. View Article : Google Scholar : PubMed/NCBI

5 

Liu F, Wang JG, Wang SY, Li Y, Wu YP and Xi SM: Antitumor effect and mechanism of Gecko on human esophageal carcinoma cell lines in vitro and xenografted sarcoma 180 in Kunming mice. World J Gastroenterol. 14:3990–3996. 2008. View Article : Google Scholar : PubMed/NCBI

6 

Wu SL, Sun ZJ, Yu L, Meng KW, Qin XL and Pan CE: Effect of resveratrol and in combination with 5-FU on murine liver cancer. World J Gastroenterol. 10:3048–3052. 2004.PubMed/NCBI

7 

Cao Y, Xia QH, Meng H and Zhong AP: Antitumor and synergistic effect of Chinese medicine ‘bushen huayu jiedu recipe’ and chemotherapy on transplanted animal hepatocarcinoma. World J Gastroenterol. 11:5218–5220. 2005.

8 

Dongre SH, Badami S, Natesan S and H RC: Antitumor activity of the methanol extract of Hypericum hookerianum stem against Ehrlich ascites carcinoma in Swiss albino mice. J Pharmacol Sci. 103:354–359. 2007.PubMed/NCBI

9 

Radulović N, Stankov-Jovanović V, Stojanović G, Šmelcerović A, Spiteller M and Asakawa Y: Screening of in vitro antimicrobial and antioxidant activity of nine Hypericum species from the Balkans. Food Chem. 103:15–21. 2007.

10 

Jayasuriya H, Clark AM and McChesney JD: New antimicrobial filicinic acid derivatives from Hypericum drummondii. J Nat Prod. 54:1314–1320. 1991. View Article : Google Scholar : PubMed/NCBI

11 

Jayasuriya H, McChesney JD, Swanson SM and Pezzuto JM: Antimicrobial and cytotoxic activity of rottlerin-type compounds from Hypericum drummondii. J Nat Prod. 52:325–331. 1989. View Article : Google Scholar : PubMed/NCBI

12 

Helgason CM, Frank JL, Johnson DR, Frank MG and Hendricks SE: The effects of St. John’s Wort (Hypericum perforatum) on NK cell activity in vitro. Immunopharmacology. 46:247–251. 2000.

13 

Ishiguro K, Yamaki M, Kashihara M and Takagi S: Sarothralen A and B, new antibiotic compounds from Hypericum japonicum. Planta Med. 52:288–290. 1986. View Article : Google Scholar

14 

Wu QL, Wang SP, Du LJ, Yang JS and Xiao PG: Xanthones from Hypericum japonicum and H. henryi. Phytochemistry. 49:1395–1402. 1998.PubMed/NCBI

15 

Wang XW, Mao Y, Wang NL and Yao XS: A new phloroglucinol diglycoside derivative from Hypericum japonicum Thunb. Molecules. 13:2796–2803. 2008. View Article : Google Scholar : PubMed/NCBI

16 

Dai Y, Desano J, Qu Y, Tang W, Meng Y, Lawrence TS and Xu L: Natural IAP inhibitor Embelin enhances therapeutic efficacy of ionizing radiation in prostate cancer. Am J Cancer Res. 1:128–143. 2011.PubMed/NCBI

17 

Ding M, Zhao J, Bowman L, Lu Y and Shi X: Inhibition of AP-1 and MAPK signaling and activation of Nrf2/ARE pathway by quercitrin. Int J Oncol. 36:59–67. 2010.PubMed/NCBI

18 

Lin JP, Yang JS, Lu CC, Chiang JH, Wu CL, Lin JJ, Lin HL, Yang MD, Liu KC, Chiu TH and Chung JG: Rutin inhibits the proliferation of murine leukemia WEHI-3 cells in vivo and promotes immune response in vivo. Leuk Res. 33:823–828. 2009. View Article : Google Scholar : PubMed/NCBI

Related Articles

  • Abstract
  • View
  • Download
  • Twitter
Copy and paste a formatted citation
Spandidos Publications style
Zhang H, Lu P, Cao W, Zhang Z and Meng X: The effect-enhancing and toxicity-reducing activity of Hypericum japonicum Thunb. extract in murine liver cancer chemotherapy. Mol Clin Oncol 1: 395-399, 2013.
APA
Zhang, H., Lu, P., Cao, W., Zhang, Z., & Meng, X. (2013). The effect-enhancing and toxicity-reducing activity of Hypericum japonicum Thunb. extract in murine liver cancer chemotherapy. Molecular and Clinical Oncology, 1, 395-399. https://doi.org/10.3892/mco.2012.52
MLA
Zhang, H., Lu, P., Cao, W., Zhang, Z., Meng, X."The effect-enhancing and toxicity-reducing activity of Hypericum japonicum Thunb. extract in murine liver cancer chemotherapy". Molecular and Clinical Oncology 1.2 (2013): 395-399.
Chicago
Zhang, H., Lu, P., Cao, W., Zhang, Z., Meng, X."The effect-enhancing and toxicity-reducing activity of Hypericum japonicum Thunb. extract in murine liver cancer chemotherapy". Molecular and Clinical Oncology 1, no. 2 (2013): 395-399. https://doi.org/10.3892/mco.2012.52
Copy and paste a formatted citation
x
Spandidos Publications style
Zhang H, Lu P, Cao W, Zhang Z and Meng X: The effect-enhancing and toxicity-reducing activity of Hypericum japonicum Thunb. extract in murine liver cancer chemotherapy. Mol Clin Oncol 1: 395-399, 2013.
APA
Zhang, H., Lu, P., Cao, W., Zhang, Z., & Meng, X. (2013). The effect-enhancing and toxicity-reducing activity of Hypericum japonicum Thunb. extract in murine liver cancer chemotherapy. Molecular and Clinical Oncology, 1, 395-399. https://doi.org/10.3892/mco.2012.52
MLA
Zhang, H., Lu, P., Cao, W., Zhang, Z., Meng, X."The effect-enhancing and toxicity-reducing activity of Hypericum japonicum Thunb. extract in murine liver cancer chemotherapy". Molecular and Clinical Oncology 1.2 (2013): 395-399.
Chicago
Zhang, H., Lu, P., Cao, W., Zhang, Z., Meng, X."The effect-enhancing and toxicity-reducing activity of Hypericum japonicum Thunb. extract in murine liver cancer chemotherapy". Molecular and Clinical Oncology 1, no. 2 (2013): 395-399. https://doi.org/10.3892/mco.2012.52
Follow us
  • Twitter
  • LinkedIn
  • Facebook
About
  • Spandidos Publications
  • Careers
  • Cookie Policy
  • Privacy Policy
How can we help?
  • Help
  • Live Chat
  • Contact
  • Email to our Support Team