Spandidos Publications Logo
  • About
    • About Spandidos
    • Aims and Scopes
    • Abstracting and Indexing
    • Editorial Policies
    • Reprints and Permissions
    • Job Opportunities
    • Terms and Conditions
    • Contact
  • Journals
    • All Journals
    • Oncology Letters
      • Oncology Letters
      • Information for Authors
      • Editorial Policies
      • Editorial Board
      • Aims and Scope
      • Abstracting and Indexing
      • Bibliographic Information
      • Archive
    • International Journal of Oncology
      • International Journal of Oncology
      • Information for Authors
      • Editorial Policies
      • Editorial Board
      • Aims and Scope
      • Abstracting and Indexing
      • Bibliographic Information
      • Archive
    • Molecular and Clinical Oncology
      • Molecular and Clinical Oncology
      • Information for Authors
      • Editorial Policies
      • Editorial Board
      • Aims and Scope
      • Abstracting and Indexing
      • Bibliographic Information
      • Archive
    • Experimental and Therapeutic Medicine
      • Experimental and Therapeutic Medicine
      • Information for Authors
      • Editorial Policies
      • Editorial Board
      • Aims and Scope
      • Abstracting and Indexing
      • Bibliographic Information
      • Archive
    • International Journal of Molecular Medicine
      • International Journal of Molecular Medicine
      • Information for Authors
      • Editorial Policies
      • Editorial Board
      • Aims and Scope
      • Abstracting and Indexing
      • Bibliographic Information
      • Archive
    • Biomedical Reports
      • Biomedical Reports
      • Information for Authors
      • Editorial Policies
      • Editorial Board
      • Aims and Scope
      • Abstracting and Indexing
      • Bibliographic Information
      • Archive
    • Oncology Reports
      • Oncology Reports
      • Information for Authors
      • Editorial Policies
      • Editorial Board
      • Aims and Scope
      • Abstracting and Indexing
      • Bibliographic Information
      • Archive
    • Molecular Medicine Reports
      • Molecular Medicine Reports
      • Information for Authors
      • Editorial Policies
      • Editorial Board
      • Aims and Scope
      • Abstracting and Indexing
      • Bibliographic Information
      • Archive
    • World Academy of Sciences Journal
      • World Academy of Sciences Journal
      • Information for Authors
      • Editorial Policies
      • Editorial Board
      • Aims and Scope
      • Abstracting and Indexing
      • Bibliographic Information
      • Archive
    • International Journal of Functional Nutrition
      • International Journal of Functional Nutrition
      • Information for Authors
      • Editorial Policies
      • Editorial Board
      • Aims and Scope
      • Abstracting and Indexing
      • Bibliographic Information
      • Archive
    • International Journal of Epigenetics
      • International Journal of Epigenetics
      • Information for Authors
      • Editorial Policies
      • Editorial Board
      • Aims and Scope
      • Abstracting and Indexing
      • Bibliographic Information
      • Archive
    • Medicine International
      • Medicine International
      • Information for Authors
      • Editorial Policies
      • Editorial Board
      • Aims and Scope
      • Abstracting and Indexing
      • Bibliographic Information
      • Archive
  • Articles
  • Information
    • Information for Authors
    • Information for Reviewers
    • Information for Librarians
    • Information for Advertisers
    • Conferences
  • Language Editing
Spandidos Publications Logo
  • About
    • About Spandidos
    • Aims and Scopes
    • Abstracting and Indexing
    • Editorial Policies
    • Reprints and Permissions
    • Job Opportunities
    • Terms and Conditions
    • Contact
  • Journals
    • All Journals
    • Biomedical Reports
      • Information for Authors
      • Editorial Policies
      • Editorial Board
      • Aims and Scope
      • Abstracting and Indexing
      • Bibliographic Information
      • Archive
    • Experimental and Therapeutic Medicine
      • Information for Authors
      • Editorial Policies
      • Editorial Board
      • Aims and Scope
      • Abstracting and Indexing
      • Bibliographic Information
      • Archive
    • International Journal of Epigenetics
      • Information for Authors
      • Editorial Policies
      • Editorial Board
      • Aims and Scope
      • Abstracting and Indexing
      • Bibliographic Information
      • Archive
    • International Journal of Functional Nutrition
      • Information for Authors
      • Editorial Policies
      • Editorial Board
      • Aims and Scope
      • Abstracting and Indexing
      • Bibliographic Information
      • Archive
    • International Journal of Molecular Medicine
      • Information for Authors
      • Editorial Policies
      • Editorial Board
      • Aims and Scope
      • Abstracting and Indexing
      • Bibliographic Information
      • Archive
    • International Journal of Oncology
      • Information for Authors
      • Editorial Policies
      • Editorial Board
      • Aims and Scope
      • Abstracting and Indexing
      • Bibliographic Information
      • Archive
    • Medicine International
      • Information for Authors
      • Editorial Policies
      • Editorial Board
      • Aims and Scope
      • Abstracting and Indexing
      • Bibliographic Information
      • Archive
    • Molecular and Clinical Oncology
      • Information for Authors
      • Editorial Policies
      • Editorial Board
      • Aims and Scope
      • Abstracting and Indexing
      • Bibliographic Information
      • Archive
    • Molecular Medicine Reports
      • Information for Authors
      • Editorial Policies
      • Editorial Board
      • Aims and Scope
      • Abstracting and Indexing
      • Bibliographic Information
      • Archive
    • Oncology Letters
      • Information for Authors
      • Editorial Policies
      • Editorial Board
      • Aims and Scope
      • Abstracting and Indexing
      • Bibliographic Information
      • Archive
    • Oncology Reports
      • Information for Authors
      • Editorial Policies
      • Editorial Board
      • Aims and Scope
      • Abstracting and Indexing
      • Bibliographic Information
      • Archive
    • World Academy of Sciences Journal
      • Information for Authors
      • Editorial Policies
      • Editorial Board
      • Aims and Scope
      • Abstracting and Indexing
      • Bibliographic Information
      • Archive
  • Articles
  • Information
    • For Authors
    • For Reviewers
    • For Librarians
    • For Advertisers
    • Conferences
  • Language Editing
Login Register Submit
  • This site uses cookies
  • You can change your cookie settings at any time by following the instructions in our Cookie Policy. To find out more, you may read our Privacy Policy.

    I agree
Search articles by DOI, keyword, author or affiliation
Search
Advanced Search
presentation
Molecular Medicine Reports
Join Editorial Board Propose a Special Issue
Print ISSN: 1791-2997 Online ISSN: 1791-3004
Journal Cover
October-2015 Volume 12 Issue 4

Full Size Image

Sign up for eToc alerts
Recommend to Library

Journals

International Journal of Molecular Medicine

International Journal of Molecular Medicine

International Journal of Molecular Medicine is an international journal devoted to molecular mechanisms of human disease.

International Journal of Oncology

International Journal of Oncology

International Journal of Oncology is an international journal devoted to oncology research and cancer treatment.

Molecular Medicine Reports

Molecular Medicine Reports

Covers molecular medicine topics such as pharmacology, pathology, genetics, neuroscience, infectious diseases, molecular cardiology, and molecular surgery.

Oncology Reports

Oncology Reports

Oncology Reports is an international journal devoted to fundamental and applied research in Oncology.

Experimental and Therapeutic Medicine

Experimental and Therapeutic Medicine

Experimental and Therapeutic Medicine is an international journal devoted to laboratory and clinical medicine.

Oncology Letters

Oncology Letters

Oncology Letters is an international journal devoted to Experimental and Clinical Oncology.

Biomedical Reports

Biomedical Reports

Explores a wide range of biological and medical fields, including pharmacology, genetics, microbiology, neuroscience, and molecular cardiology.

Molecular and Clinical Oncology

Molecular and Clinical Oncology

International journal addressing all aspects of oncology research, from tumorigenesis and oncogenes to chemotherapy and metastasis.

World Academy of Sciences Journal

World Academy of Sciences Journal

Multidisciplinary open-access journal spanning biochemistry, genetics, neuroscience, environmental health, and synthetic biology.

International Journal of Functional Nutrition

International Journal of Functional Nutrition

Open-access journal combining biochemistry, pharmacology, immunology, and genetics to advance health through functional nutrition.

International Journal of Epigenetics

International Journal of Epigenetics

Publishes open-access research on using epigenetics to advance understanding and treatment of human disease.

Medicine International

Medicine International

An International Open Access Journal Devoted to General Medicine.

Journal Cover
October-2015 Volume 12 Issue 4

Full Size Image

Sign up for eToc alerts
Recommend to Library

  • Article
  • Citations
    • Cite This Article
    • Download Citation
    • Create Citation Alert
    • Remove Citation Alert
    • Cited By
  • Similar Articles
    • Related Articles (in Spandidos Publications)
    • Similar Articles (Google Scholar)
    • Similar Articles (PubMed)
  • Download PDF
  • Download XML
  • View XML
Article

MeCP2 controls hippocampal brain-derived neurotrophic factor expression via homeostatic interactions with microRNA‑132 in rats with depression

  • Authors:
    • Meilei Su
    • Jun Hong
    • Yongzhi Zhao
    • Shuai Liu
    • Xiang Xue
  • View Affiliations / Copyright

    Affiliations: Department of Psychology, Nanfang Hospital, Southern Medical University, Guangzhou, Guangdong 510515, P.R. China
  • Pages: 5399-5406
    |
    Published online on: July 20, 2015
       https://doi.org/10.3892/mmr.2015.4104
  • Expand metrics +
Metrics: Total Views: 0 (Spandidos Publications: | PMC Statistics: )
Metrics: Total PDF Downloads: 0 (Spandidos Publications: | PMC Statistics: )
Cited By (CrossRef): 0 citations Loading Articles...

This article is mentioned in:



Abstract

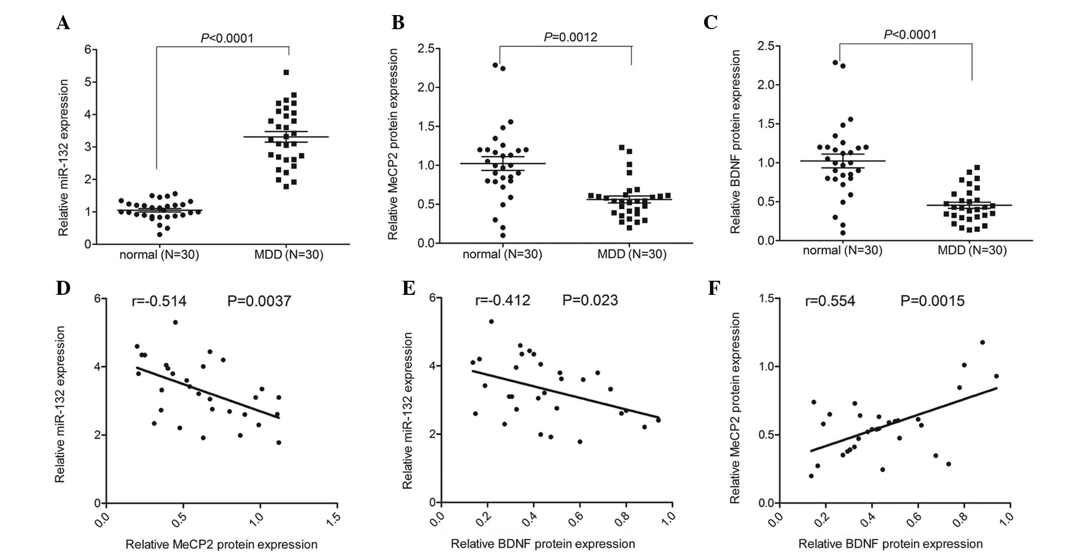
Major depressive disorder (MDD) is a considerable public health concern, which affects patients worldwide. MDD is associated with psychosocial impairment, poor quality of life, and significant disability, morbidity and mortality. Stress is a major factor in depression, which impairs the structural and functional plasticity of the hippocampus. Previous studies have demonstrated that chronic unpredictable mild stress is able to downregulate the expression of brain‑derived neurotrophic factor (BDNF) and methyl‑CpG‑binding protein 2 (MeCP2), and alter the expression levels of certain microRNAs (miR). The aim of the present study was to investigate the regulatory association between BDNF, MeCP2 and miR-132 in an animal model of chronic stress‑induced depression. ELISA, western blot and qPCR were used to detect the expression levels of BDNF, MeCP2 and miR-132 in the peripheral blood samples of patients with MDD and in the hippocampi of depressed animals. In addition, a dual luciferase reporter gene system was used to determine whether miR-132 directly targets BDNF or MeCP2. The present study demonstrated that, as compared with normal subjects, miR‑132 expression was increased in the peripheral blood samples of patients with MDD, whereas the expression of MeCP2 and BDNF was decreased; thus, the expression levels of MeCP2 and BDNF were negatively correlated with those of miR‑132. In addition, in an animal model of chronic stress‑induced depression, increased expression levels of miR‑132, and decreased levels of MeCP2 and BDNF were detected in the hippocampi. Furthermore, knockdown of MeCP2 expression in primary hippocampal neurons increased the expression of miR‑132 and decreased the expression levels of BDNF. The results of the present study demonstrated that miR‑132 may directly target MeCP2, but not BDNF, and control its expression at the transcriptional and translational level. miR‑132 was also shown to negatively regulate BDNF expression. The reduced expression levels of BDNF, as induced by MeCP2 knockdown, were enhanced by miR‑132 mimics, and were rescued by miR‑132 inhibitors. These results suggested that homeostatic interactions between MeCP2 and miR‑132 may regulate hippocampal BDNF levels, which may have a role in the pathogenesis of MDD.
View Figures

Figure 1

Figure 2

Figure 3

Figure 4

View References

1 

Dwivedi Y: Emerging role of microRNAs in major depressive disorder: Diagnosis and therapeutic implications. Dialogues Clin Neurosci. 16:43–61. 2014.PubMed/NCBI

2 

Mouillet-Richard S, Baudry A, Launay JM and Kellermann O: MicroRNAs and depression. Neurobiol Dis. 46:272–278. 2012. View Article : Google Scholar : PubMed/NCBI

3 

Sala M, Perez J, Soloff P, Ucelli di Nemi S, Caverzasi E, Soares JC and Brambilla P: Stress and hippocampal abnormalities in psychiatric disorders. Eur Neuropsychopharmacol. 14:393–405. 2004. View Article : Google Scholar : PubMed/NCBI

4 

Li M, Fu Q, Li Y, Li S, Xue J and Ma S: Emodin opposes chronic unpredictable mild stress induced depressive-like behavior in mice by upregulating the levels of hippocampal glucocorticoid receptor and brain-derived neurotrophic factor. Fitoterapia. 98:1–10. 2014. View Article : Google Scholar : PubMed/NCBI

5 

Maripuu M, Wikgren M, Karling P, Adolfsson R and Norrback KF: Relative hypo- and hypercortisolism are both associated with depression and lower quality of life in bipolar disorder: A cross-sectional study. PLoS One. 9:e986822014. View Article : Google Scholar : PubMed/NCBI

6 

Réus GZ, Abelaira HM, Stringari RB, Fries GR, Kapczinski F and Quevedo J: Memantine treatment reverses anhedonia, normalizes corticosterone levels and increases BDNF levels in the prefrontal cortex induced by chronic mild stress in rats. Metab Brain Dis. 27:175–182. 2012. View Article : Google Scholar : PubMed/NCBI

7 

Li YJ, Xu M, Gao ZH, Wang YQ, Yue Z, Zhang YX, Li XX, Zhang C, Xie SY and Wang PY: Alterations of serum levels of BDNF-related miRNAs in patients with depression. PLoS One. 8:e636482013. View Article : Google Scholar : PubMed/NCBI

8 

Bai M, Zhu X, Zhang Y, Zhang S, Zhang L, Xue L, Yi J, Yao S and Zhang X: Abnormal hippocampal BDNF and miR-16 expression is associated with depression-like behaviors induced by stress during early life. PLoS One. 7:e469212012. View Article : Google Scholar : PubMed/NCBI

9 

Bahi A, Chandrasekar V and Dreyer JL: Selective lentiviral-mediated suppression of microRNA124a in the hippocampus evokes antidepressants-like effects in rats. Psychoneuroendocrinology. 46:78–87. 2014. View Article : Google Scholar : PubMed/NCBI

10 

O'Connor RM, Grenham S, Dinan TG and Cryan JF: microRNAs as novel antidepressant targets: Converging effects of ketamine and electroconvulsive shock therapy in the rat hippocampus. Int J Neuropsychopharmacol. 16:1885–1892. 2013. View Article : Google Scholar : PubMed/NCBI

11 

Dell'Osso B, D'Addario C, Carlotta Palazzo M, Benatti B, Camuri G, Galimberti D, Fenoglio C, Scarpini E, Di Francesco A, Maccarrone M and Altamura AC: Epigenetic modulation of BDNF gene: Differences in DNA methylation between unipolar and bipolar patients. J Affect Disord. 166:330–333. 2014. View Article : Google Scholar : PubMed/NCBI

12 

Zucchi FC, Yao Y, Ward ID, Ilnytskyy Y, Olson DM, Benzies K, Kovalchuk I, Kovalchuk O and Metz GA: Maternal stress induces epigenetic signatures of psychiatric and neurological diseases in the offspring. PLoS One. 8:e569672013. View Article : Google Scholar : PubMed/NCBI

13 

Murgatroyd C, Wu Y, Bockmühl Y and Spengler D: Genes learn from stress: How infantile trauma programs us for depression. Epigenetics. 5:194–199. 2010. View Article : Google Scholar : PubMed/NCBI

14 

Forlani G, Giarda E, Ala U, Di Cunto F, Salani M, Tupler R, Kilstrup-Nielsen C and Landsberger N: The MeCP2/YY1 interaction regulates ANT1 expression at 4q35: Novel hints for Rett syndrome pathogenesis. Hum Mol Genet. 19:3114–3123. 2010. View Article : Google Scholar : PubMed/NCBI

15 

Hutchinson AN, Deng JV, Cohen S and West AE: Phosphorylation of MeCP2 at Ser421 contributes to chronic antidepressant action. J Neurosci. 32:14355–14363. 2012. View Article : Google Scholar : PubMed/NCBI

16 

Murgatroyd C, Patchev AV, Wu Y, Micale V, Bockmühl Y, Fischer D, Holsboer F, Wotjak CT, Almeida OF and Spengler D: Dynamic DNA methylation programs persistent adverse effects of early-life stress. Nat Neurosci. 12:1559–1566. 2009. View Article : Google Scholar : PubMed/NCBI

17 

Wada R, Akiyama Y, Hashimoto Y, Fukamachi H and Yuasa Y: miR-212 is downregulated and suppresses methyl-CpG-binding protein MeCP2 in human gastric cancer. Int J Cancer. 127:1106–1114. 2010. View Article : Google Scholar

18 

Klein ME, Lioy DT, Ma L, Impey S, Mandel G and Goodman RH: Homeostatic regulation of MeCP2 expression by a CREB-induced microRNA. Nat Neurosci. 10:1513–1514. 2007. View Article : Google Scholar : PubMed/NCBI

19 

Im HI, Hollander JA, Bali P and Kenny PJ: MeCP2 controls BDNF expression and cocaine intake through homeostatic interactions with microRNA-212. Nat Neurosci. 13:1120–1127. 2010. View Article : Google Scholar : PubMed/NCBI

20 

Luo YW, Xu Y, Cao WY, Zhong XL, Duan J, Wang XQ, Hu ZL, Li F, Zhang JY, Zhou M, Dai RP and Li CQ: Insulin-like growth factor 2 mitigates depressive behavior in a rat model of chronic stress. Neuropharmacology. 89:318–324. 2015. View Article : Google Scholar

21 

Munno D, Sterpone S, Fania S, Cappellin F, Mengozzi G, Saroldi M, Bechon E and Zullo G: Plasma brain derived neurotrophic factor levels and neuropsychological aspects of depressed patients treated with paroxetine. Panminerva Med. 55:377–384. 2013.

22 

Yu H, Wang DD, Wang Y, Liu T, Lee FS and Chen ZY: Variant brain-derived neurotrophic factor Val66Met polymorphism alters vulnerability to stress and response to antidepressants. J Neurosci. 32:4092–4101. 2012. View Article : Google Scholar : PubMed/NCBI

23 

Carballedo A, Amico F, Ugwu I, Fagan AJ, Fahey C, Morris D, Meaney JF, Leemans A and Frodl T: Reduced fractional anisotropy in the uncinate fasciculus in patients with major depression carrying the met-allele of the Val66Met brain-derived neurotrophic factor genotype. Am J Med Genet B Neuropsychiatr Genet. 159B:537–548. 2012. View Article : Google Scholar : PubMed/NCBI

24 

Valvassori SS, Budni J, Varela RB and Quevedo J: Contributions of animal models to the study of mood disorders. Rev Bras Psiquiatr. 35(Suppl 2): S121–S131. 2013. View Article : Google Scholar : PubMed/NCBI

25 

Xu X, Kozikowski AP and Pozzo-Miller L: A selective histone deacetylase-6 inhibitor improves BDNF trafficking in hippocampal neurons from Mecp2 knockout mice: Implications for Rett syndrome. Front Cell Neurosci. 8:682014. View Article : Google Scholar : PubMed/NCBI

26 

Khoshnan A and Patterson PH: Elevated IKKα accelerates the differentiation of human neuronal progenitor cells and induces MeCP2-dependent BDNF expression. PLoS One. 7:e417942012. View Article : Google Scholar

27 

Cortés-Mendoza J, Díaz de León-Guerrero S, Pedraza-Alva G and Pérez-Martínez L: Shaping synaptic plasticity: the role of activity-mediated epigenetic regulation on gene transcription. Int J Dev Neurosci. 31:359–369. 2013. View Article : Google Scholar : PubMed/NCBI

28 

Lv J, Xin Y, Zhou W and Qiu Z: The epigenetic switches for neural development and psychiatric disorders. J Genet Genomics. 40:339–346. 2013. View Article : Google Scholar : PubMed/NCBI

29 

Li H, Zhong X, Chau KF, Williams EC and Chang Q: Loss of activity-induced phosphorylation of MeCP2 enhances synaptogenesis, LTP and spatial memory. Nat Neurosci. 14:1001–1008. 2011. View Article : Google Scholar : PubMed/NCBI

30 

Li W, Calfa G, Larimore J and Pozzo-Miller L: Activity-dependent BDNF release and TRPC signaling is impaired in hippocampal neurons of Mecp2 mutant mice. Proc Natl Acad Sci USA. 109:17087–17092. 2012. View Article : Google Scholar : PubMed/NCBI

31 

Chang Q, Khare G, Dani V, Nelson S and Jaenisch R: The disease progression of Mecp2 mutant mice is affected by the level of BDNF expression. Neuron. 49:341–348. 2006. View Article : Google Scholar : PubMed/NCBI

32 

Zhou Z, Hong EJ, Cohen S, Zhao WN, Ho HY, Schmidt L, Chen WG, Lin Y, Savner E, Griffith EC, et al: Brain-specific phosphorylation of MeCP2 regulates activity-dependent Bdnf transcription, dendritic growth, and spine maturation. Neuron. 52:255–269. 2006. View Article : Google Scholar : PubMed/NCBI

33 

Oved K, Morag A, Pasmanik-Chor M, Oron-Karni V, Shomron N, Rehavi M, Stingl JC and Gurwitz D: Genome-wide miRNA expression profiling of human lymphoblastoid cell lines identifies tentative SSRI antidepressant response biomarkers. Pharmacogenomics. 13:1129–1139. 2012. View Article : Google Scholar : PubMed/NCBI

34 

Scott HL, Tamagnini F, Narduzzo KE, Howarth JL, Lee YB, Wong LF, Brown MW, Warburton EC, Bashir ZI and Uney JB: MicroRNA-132 regulates recognition memory and synaptic plasticity in the perirhinal cortex. Eur J Neurosci. 36:2941–2948. 2012. View Article : Google Scholar : PubMed/NCBI

35 

Shaltiel G, Hanan M, Wolf Y, Barbash S, Kovalev E, Shoham S and Soreq H: Hippocampal microRNA-132 mediates stress-inducible cognitive deficits through its acetylcholinesterase target. Brain Struct Funct. 218:59–72. 2013. View Article : Google Scholar :

36 

Abuhatzira L, Makedonski K, Kaufman Y, Razin A and Shemer R: MeCP2 deficiency in the brain decreases BDNF levels by REST/CoREST-mediated repression and increases TRKB production. Epigenetics. 2:214–222. 2007. View Article : Google Scholar : PubMed/NCBI

37 

Chahrour M, Jung SY, Shaw C, Zhou X, Wong ST, Qin J and Zoghbi HY: MeCP2, a key contributor to neurological disease, activates and represses transcription. Science. 320:1224–1229. 2008. View Article : Google Scholar : PubMed/NCBI

Related Articles

  • Abstract
  • View
  • Download
  • Twitter
Copy and paste a formatted citation
Spandidos Publications style
Su M, Hong J, Zhao Y, Liu S and Xue X: MeCP2 controls hippocampal brain-derived neurotrophic factor expression via homeostatic interactions with microRNA‑132 in rats with depression. Mol Med Rep 12: 5399-5406, 2015.
APA
Su, M., Hong, J., Zhao, Y., Liu, S., & Xue, X. (2015). MeCP2 controls hippocampal brain-derived neurotrophic factor expression via homeostatic interactions with microRNA‑132 in rats with depression. Molecular Medicine Reports, 12, 5399-5406. https://doi.org/10.3892/mmr.2015.4104
MLA
Su, M., Hong, J., Zhao, Y., Liu, S., Xue, X."MeCP2 controls hippocampal brain-derived neurotrophic factor expression via homeostatic interactions with microRNA‑132 in rats with depression". Molecular Medicine Reports 12.4 (2015): 5399-5406.
Chicago
Su, M., Hong, J., Zhao, Y., Liu, S., Xue, X."MeCP2 controls hippocampal brain-derived neurotrophic factor expression via homeostatic interactions with microRNA‑132 in rats with depression". Molecular Medicine Reports 12, no. 4 (2015): 5399-5406. https://doi.org/10.3892/mmr.2015.4104
Copy and paste a formatted citation
x
Spandidos Publications style
Su M, Hong J, Zhao Y, Liu S and Xue X: MeCP2 controls hippocampal brain-derived neurotrophic factor expression via homeostatic interactions with microRNA‑132 in rats with depression. Mol Med Rep 12: 5399-5406, 2015.
APA
Su, M., Hong, J., Zhao, Y., Liu, S., & Xue, X. (2015). MeCP2 controls hippocampal brain-derived neurotrophic factor expression via homeostatic interactions with microRNA‑132 in rats with depression. Molecular Medicine Reports, 12, 5399-5406. https://doi.org/10.3892/mmr.2015.4104
MLA
Su, M., Hong, J., Zhao, Y., Liu, S., Xue, X."MeCP2 controls hippocampal brain-derived neurotrophic factor expression via homeostatic interactions with microRNA‑132 in rats with depression". Molecular Medicine Reports 12.4 (2015): 5399-5406.
Chicago
Su, M., Hong, J., Zhao, Y., Liu, S., Xue, X."MeCP2 controls hippocampal brain-derived neurotrophic factor expression via homeostatic interactions with microRNA‑132 in rats with depression". Molecular Medicine Reports 12, no. 4 (2015): 5399-5406. https://doi.org/10.3892/mmr.2015.4104
Follow us
  • Twitter
  • LinkedIn
  • Facebook
About
  • Spandidos Publications
  • Careers
  • Cookie Policy
  • Privacy Policy
How can we help?
  • Help
  • Live Chat
  • Contact
  • Email to our Support Team