Spandidos Publications Logo
  • About
    • About Spandidos
    • Aims and Scopes
    • Abstracting and Indexing
    • Editorial Policies
    • Reprints and Permissions
    • Job Opportunities
    • Terms and Conditions
    • Contact
  • Journals
    • All Journals
    • Oncology Letters
      • Oncology Letters
      • Information for Authors
      • Editorial Policies
      • Editorial Board
      • Aims and Scope
      • Abstracting and Indexing
      • Bibliographic Information
      • Archive
    • International Journal of Oncology
      • International Journal of Oncology
      • Information for Authors
      • Editorial Policies
      • Editorial Board
      • Aims and Scope
      • Abstracting and Indexing
      • Bibliographic Information
      • Archive
    • Molecular and Clinical Oncology
      • Molecular and Clinical Oncology
      • Information for Authors
      • Editorial Policies
      • Editorial Board
      • Aims and Scope
      • Abstracting and Indexing
      • Bibliographic Information
      • Archive
    • Experimental and Therapeutic Medicine
      • Experimental and Therapeutic Medicine
      • Information for Authors
      • Editorial Policies
      • Editorial Board
      • Aims and Scope
      • Abstracting and Indexing
      • Bibliographic Information
      • Archive
    • International Journal of Molecular Medicine
      • International Journal of Molecular Medicine
      • Information for Authors
      • Editorial Policies
      • Editorial Board
      • Aims and Scope
      • Abstracting and Indexing
      • Bibliographic Information
      • Archive
    • Biomedical Reports
      • Biomedical Reports
      • Information for Authors
      • Editorial Policies
      • Editorial Board
      • Aims and Scope
      • Abstracting and Indexing
      • Bibliographic Information
      • Archive
    • Oncology Reports
      • Oncology Reports
      • Information for Authors
      • Editorial Policies
      • Editorial Board
      • Aims and Scope
      • Abstracting and Indexing
      • Bibliographic Information
      • Archive
    • Molecular Medicine Reports
      • Molecular Medicine Reports
      • Information for Authors
      • Editorial Policies
      • Editorial Board
      • Aims and Scope
      • Abstracting and Indexing
      • Bibliographic Information
      • Archive
    • World Academy of Sciences Journal
      • World Academy of Sciences Journal
      • Information for Authors
      • Editorial Policies
      • Editorial Board
      • Aims and Scope
      • Abstracting and Indexing
      • Bibliographic Information
      • Archive
    • International Journal of Functional Nutrition
      • International Journal of Functional Nutrition
      • Information for Authors
      • Editorial Policies
      • Editorial Board
      • Aims and Scope
      • Abstracting and Indexing
      • Bibliographic Information
      • Archive
    • International Journal of Epigenetics
      • International Journal of Epigenetics
      • Information for Authors
      • Editorial Policies
      • Editorial Board
      • Aims and Scope
      • Abstracting and Indexing
      • Bibliographic Information
      • Archive
    • Medicine International
      • Medicine International
      • Information for Authors
      • Editorial Policies
      • Editorial Board
      • Aims and Scope
      • Abstracting and Indexing
      • Bibliographic Information
      • Archive
  • Articles
  • Information
    • Information for Authors
    • Information for Reviewers
    • Information for Librarians
    • Information for Advertisers
    • Conferences
  • Language Editing
Spandidos Publications Logo
  • About
    • About Spandidos
    • Aims and Scopes
    • Abstracting and Indexing
    • Editorial Policies
    • Reprints and Permissions
    • Job Opportunities
    • Terms and Conditions
    • Contact
  • Journals
    • All Journals
    • Biomedical Reports
      • Information for Authors
      • Editorial Policies
      • Editorial Board
      • Aims and Scope
      • Abstracting and Indexing
      • Bibliographic Information
      • Archive
    • Experimental and Therapeutic Medicine
      • Information for Authors
      • Editorial Policies
      • Editorial Board
      • Aims and Scope
      • Abstracting and Indexing
      • Bibliographic Information
      • Archive
    • International Journal of Epigenetics
      • Information for Authors
      • Editorial Policies
      • Editorial Board
      • Aims and Scope
      • Abstracting and Indexing
      • Bibliographic Information
      • Archive
    • International Journal of Functional Nutrition
      • Information for Authors
      • Editorial Policies
      • Editorial Board
      • Aims and Scope
      • Abstracting and Indexing
      • Bibliographic Information
      • Archive
    • International Journal of Molecular Medicine
      • Information for Authors
      • Editorial Policies
      • Editorial Board
      • Aims and Scope
      • Abstracting and Indexing
      • Bibliographic Information
      • Archive
    • International Journal of Oncology
      • Information for Authors
      • Editorial Policies
      • Editorial Board
      • Aims and Scope
      • Abstracting and Indexing
      • Bibliographic Information
      • Archive
    • Medicine International
      • Information for Authors
      • Editorial Policies
      • Editorial Board
      • Aims and Scope
      • Abstracting and Indexing
      • Bibliographic Information
      • Archive
    • Molecular and Clinical Oncology
      • Information for Authors
      • Editorial Policies
      • Editorial Board
      • Aims and Scope
      • Abstracting and Indexing
      • Bibliographic Information
      • Archive
    • Molecular Medicine Reports
      • Information for Authors
      • Editorial Policies
      • Editorial Board
      • Aims and Scope
      • Abstracting and Indexing
      • Bibliographic Information
      • Archive
    • Oncology Letters
      • Information for Authors
      • Editorial Policies
      • Editorial Board
      • Aims and Scope
      • Abstracting and Indexing
      • Bibliographic Information
      • Archive
    • Oncology Reports
      • Information for Authors
      • Editorial Policies
      • Editorial Board
      • Aims and Scope
      • Abstracting and Indexing
      • Bibliographic Information
      • Archive
    • World Academy of Sciences Journal
      • Information for Authors
      • Editorial Policies
      • Editorial Board
      • Aims and Scope
      • Abstracting and Indexing
      • Bibliographic Information
      • Archive
  • Articles
  • Information
    • For Authors
    • For Reviewers
    • For Librarians
    • For Advertisers
    • Conferences
  • Language Editing
Login Register Submit
  • This site uses cookies
  • You can change your cookie settings at any time by following the instructions in our Cookie Policy. To find out more, you may read our Privacy Policy.

    I agree
Search articles by DOI, keyword, author or affiliation
Search
Advanced Search
presentation
Oncology Letters
Join Editorial Board Propose a Special Issue
Print ISSN: 1792-1074 Online ISSN: 1792-1082
Journal Cover
October-2017 Volume 14 Issue 4

Full Size Image

Sign up for eToc alerts
Recommend to Library

Journals

International Journal of Molecular Medicine

International Journal of Molecular Medicine

International Journal of Molecular Medicine is an international journal devoted to molecular mechanisms of human disease.

International Journal of Oncology

International Journal of Oncology

International Journal of Oncology is an international journal devoted to oncology research and cancer treatment.

Molecular Medicine Reports

Molecular Medicine Reports

Covers molecular medicine topics such as pharmacology, pathology, genetics, neuroscience, infectious diseases, molecular cardiology, and molecular surgery.

Oncology Reports

Oncology Reports

Oncology Reports is an international journal devoted to fundamental and applied research in Oncology.

Experimental and Therapeutic Medicine

Experimental and Therapeutic Medicine

Experimental and Therapeutic Medicine is an international journal devoted to laboratory and clinical medicine.

Oncology Letters

Oncology Letters

Oncology Letters is an international journal devoted to Experimental and Clinical Oncology.

Biomedical Reports

Biomedical Reports

Explores a wide range of biological and medical fields, including pharmacology, genetics, microbiology, neuroscience, and molecular cardiology.

Molecular and Clinical Oncology

Molecular and Clinical Oncology

International journal addressing all aspects of oncology research, from tumorigenesis and oncogenes to chemotherapy and metastasis.

World Academy of Sciences Journal

World Academy of Sciences Journal

Multidisciplinary open-access journal spanning biochemistry, genetics, neuroscience, environmental health, and synthetic biology.

International Journal of Functional Nutrition

International Journal of Functional Nutrition

Open-access journal combining biochemistry, pharmacology, immunology, and genetics to advance health through functional nutrition.

International Journal of Epigenetics

International Journal of Epigenetics

Publishes open-access research on using epigenetics to advance understanding and treatment of human disease.

Medicine International

Medicine International

An International Open Access Journal Devoted to General Medicine.

Journal Cover
October-2017 Volume 14 Issue 4

Full Size Image

Sign up for eToc alerts
Recommend to Library

  • Article
  • Citations
    • Cite This Article
    • Download Citation
    • Create Citation Alert
    • Remove Citation Alert
    • Cited By
  • Similar Articles
    • Related Articles (in Spandidos Publications)
    • Similar Articles (Google Scholar)
    • Similar Articles (PubMed)
  • Download PDF
  • Download XML
  • View XML
Article

Effect of inhibiting Beclin-1 expression on autophagy, proliferation and apoptosis in colorectal cancer

  • Authors:
    • Lin Liu
    • Wei‑Min Zhao
    • Xin‑Hui Yang
    • Zhen‑Qiang Sun
    • Hui‑Zhen Jin
    • Cheng Lei
    • Bo Jin
    • Hai‑Jiang Wang
  • View Affiliations / Copyright

    Affiliations: Department of Abdominal Surgery, Cancer Hospital Affiliated to Xinjiang Medical University, Urumqi, Xinjiang 830011, P.R. China
  • Pages: 4319-4324
    |
    Published online on: July 28, 2017
       https://doi.org/10.3892/ol.2017.6687
  • Expand metrics +
Metrics: Total Views: 0 (Spandidos Publications: | PMC Statistics: )
Metrics: Total PDF Downloads: 0 (Spandidos Publications: | PMC Statistics: )
Cited By (CrossRef): 0 citations Loading Articles...

This article is mentioned in:



Abstract

The present study aimed to investigate the molecular mechanisms and effect of Beclin‑1 on autophagy, proliferation and apoptosis in the colorectal cancer (CRC) HCT116 and SW620 cells. Beclin‑1 was silenced by RNA interference (RNAi) in HTC116 and SW620 cells. Reverse transcription‑polymerase chain reaction and western blot were used to measure the expression of Beclin‑1. The percentage of apoptotic cells was analyzed by cell counting kit‑8 (CCK‑8) and flow cytometry (FCM). Cell cycle and cell proliferation were analyzed by FCM and the MTT assay. The present study created 3 groups in the two cell lines, consisting of the targeting siRNA (TS) group, in which Beclin‑1 was partially silenced, non‑specific siRNA (NS) group and control group (CG; without transfection). By siRNA transfection, the mRNA and protein level of Beclin‑1 in the TS group were significantly inhibited compared with the NS group and CG (P<0.05). After 0, 24, 48 and 72 h, the survival rate of the cells in the TS group was significantly decreased compared with the survival rate of the cells in the NS group and CG, as detected by CCK‑8 methods (P<0.05). FCM and MTT results showed the apoptotic rate of the cells in the TS group was significantly decreased compared with the rate in the NS group and CG (P<0.05), and the proliferation of the cells in the NS group was evidently increased compared with the CG. In conclusion, Beclin‑1 played an important role in regulating autophagy, proliferation and apoptosis in HCT116 and SW620 cells. The inhibition of Beclin‑1 by RNAi suppressed the autophagic activity and proliferation, but promoted apoptosis in CRC cells. Beclin‑1 was the new target of gene therapy for CRC.

Introduction

Autophagy, as a major catabolic pathway in which the cell degrades macromolecules and damaged organelles, was involved in the process of cell proliferation, differentiation, survival and homeostasis (1–2). The characteristics of autophagy were the autophagosome with double layer membrane wrapping the long lived proteins and organelles, was the process that during starvation, many organisms retrieve nutrients via degradation of their own intracellular components (3). Autophagy is common in numerous eukaryotic cells and relative to cell death (4). Previous studies have shown that autophagy appeared in numerous tumors, including colorectal cancer (CRC), esophageal carcinoma, breast cancer, lung cancer and pancreatic cancer. However, the initiation mechanism of autophagy in CRC was remained unclear. Yang et al (5) found that autophagy not only improves the adaptability and promotes the proliferation of tumor cells, but also induces cell death. At present, there are few studies investigating the association between autophagy and the proliferation and apoptosis of CRC. Numerous factors were active in the generating process of autophagy, with the complicated regulation mechanism (3,5). Beclin-1, as the first identified mammalian autophagic gene, was an important regulator and may drive autophagosome formation by binding to VPS34 (6). In the present study, Beclin-1 was silenced by RNA interference (RNAi) and the mRNA and protein expression was detected to investigate the effect of Beclin-1 on proliferation and apoptosis in CRC cells, providing additional evidence to support the treatment of CRC with gene therapy.

Materials and methods

Cell lines and cell culture

The human colorectal cancer HCT116 and SW620 cell lines were obtained from the Institute of Biochemistry and Cell Biology (Shanghai, China). HCT116 and SW620 cells were cultured with high-glucose Dulbecco's modified Eagle's medium (Gibco; Thermo Fisher Scientific, Inc., Waltham, MA, USA) containing 10% fetal bovine serum (Gibco; Thermo Fisher Scientific, Inc.) and penicillin-streptomycin (10,000 U/ml; 1:100; Gibco; Thermo Fisher Scientific, Inc.) in a Heracell™ VIOS 160i CO2 incubator (Thermo Fisher Scientific, Inc.), and were maintained in a 5% CO2 atmosphere at 37°C. The cells were replaced with new medium every 2 or 3 days and passaged when the confluence reached 90% using 0.25% Trypsin-ENTA (Gibco; Thermo Fisher Scientific, Inc.).

Small interfering (si)RNA transfection

The siRNA targeting Beclin-1 was constructed by Shanghai GenePharma Co., Ltd. (Shanghai, China). The siRNA sequences were as follows: Beclin-1 sense, 5′-CACCGGACAACAAGTTTGACCATGCTTCAAGAGAGCATGGTCAAACTTGTTGTCCTTTTTTG-3′ and antisense, 5′-GATCCAAAAAAGGACAACAAGTTTGACCATGCTCTCTTGAAGCATGGTCAAACTTGTTGTCC-3′. The sequences were then cloned into the plasmid of pSilencer 3.1 H1-neo (Addgene, USA) to generate the plasmid pSilencer-Beclin-1. HCT116 cells were seeded onto 6-cm petri dishes (5×105 cells/well) and stably transfected at 80% confluence with siRNA. All the dishes were divided into 3 groups, consisting of the targeting siRNA (TS) and nonspecific siRNA (NS) groups and the control group (CG), with 3 dishes for each group. The cells in the TS group were transfected with siRNA targeting Beclin-1, while the cells in the NS group were transfected with non-targeting siRNA, using Lipofectamine® 3000 Transfection Reagent (Invitrogen; Thermo Fisher Scientific, Inc.). After 72 h, the cells were replaced with new medium containing 400 µg/ml G418 (Gibco; Thermo Fisher Scientific, Inc.). The surviving cells were grown and selected with medium containing 400 µg/ml G418.

RNA extraction and reverse transcription-polymerase chain reaction (RT-PCR)

Two weeks subsequent to transfection and selection with G418, the total cellular RNA was extracted with TRIzol® reagent (Invitrogen; Thermo Fisher Scientific, Inc.). The extracted RNA was analyzed with ethidium bromide-stained 1% agarose gel by electrophoresis. Beclin-1 mRNA was tested by RT-PCR using SYBR Premix Ex Taq (Takara Biotechnology Co., Ltd., Dalian, China). The primer sequences were constructed by Thermo Fisher Scientific, Inc., as follows: Beclin-1 sense, 5′-GGATGGATGTGGAGAAAGGCAAG-3′ and antisense, 5′-TGAGGACACCCAAGCAAGACC-3′; β-actin sense, 5′-ATCGTGCGTGACATTAAGGAGAAG-3′ and antisense, 5′-AGGAAGGAAGGCTGGAAGAGTG-3′. The PCR conditions are shown in Table I, and the amplification conditions are shown in Table II. The fold-change in gene expression was calculated using the 2−ΔΔCq method (7).

Table I.

Reverse transcription-PCR system (20-µl reaction system).

Table I.

Reverse transcription-PCR system (20-µl reaction system).

CompositionVolume, µl
Ultrapure water  7
2X PCR Mix10
Primer
  Forward  1
  Reverse  1
Template cDNA  1
Total volume20

[i] PCR, polymerase chain reaction.

Table II.

Polymerase chain reaction amplification conditions.

Table II.

Polymerase chain reaction amplification conditions.

StepTemperature, °CTimeCycle number
Predegeneration955 min
Degeneration9530 sec40
Annealing58–6130 sec
Extension721 min
Extension terminal7230 min1 cycle
Storage4Indefinitely
Western blot analysis

All cells were washed twice with PBS, centrifuged at 1,000 × g for 5 min, and resuspended in radioimmunoprecipitation assay lysis and extraction buffer (Thermo Fisher Scientific, Inc.), containing 1 mM phenylmethylsulfonyl fluoride protease inhibitor (Thermo Fisher Scientific, Inc.) on ice for 30 min to completely lyse. Loading buffer (5X) was added and boiled at 100°C for 10 min. The This was then centrifuged at 12,000 × g for 10 min and the supernatant was collected. The total protein concentration was detected using the bicinchoninic acid method (Beyotime Institute of Biotechnology, Haimen, China).

A total of, 10 µg protein from each sample was separated by SDS-PAGE, with a 5% stacking gel and 10% separating gel, and transferred to polyvinylidene fluoride membranes (Merck KGaA, Darmstadt, Germany). The membranes were then blocked with Tris-buffered saline containing 0.05% Tween-20 (TBST) and 5% non-fat milk for 1 h at room temperature. Rabbit polyclonal anti-Beclin-1 (dilution, 1:200; catalog no., sc-11427; Santa Cruz Biotechnology, Inc., Dallas, TX, USA) and mouse monoclonal anti-β-actin (dilution, 1:200; catalog no., sc-47778; Santa Cruz Biotechnology, Inc.) antibodies were added to incubate at 4°C overnight. Following washing with TBST, the membranes were incubated with goat anti-rabbit (dilution, 1:3,000; catalog no., 111-035-003; Jackson ImmunoResearch, Inc., West Grove, PA, USA) and peroxidase-conjugated goat anti-mouse (dilution, 1:3,000; catalog no., 115-035-003; Jackson ImmunoResearch, Inc.) secondary antibodies for 1 h at room temperature. Subsequent to washing with TBST, the membranes were developed by electrochemiluminescence using the Enhanced Chemiluminescence system (Merck KGaA, Darmstadt, Germany). Image J software (version 2.1; National Institutes of Health, Bethesda, MD, USA) was used analyze the results and calculate the expression of Beclin-1 as a ratio of Beclin-1 to β-actin. Following this, the reduction in protein expression was presented as the ratio of TS or NS to CG (100%).

Apoptosis analysis by Cell Counting Kit (CCK)-8 detection

One day prior to the transfection, HCT116 and SW620 cells were seeded onto a 96-well plate, with 8×103 cells and 100 µl medium without penicillin-streptomycin each well, in at least 3 wells per group. CCK-8 detection was performed at 0, 24, 48 and 72 h following transfection. Prior to detection, 10 µl CCK-8 liquid was added to each well and incubated at 37°C in a 5% CO2 atmosphere for 1 h. The optical density (OD) of each well was detected at 450 nm using a Synergy HTX multi-mode microplate reader, (BioTek China, Beijing, China) and the average OD was calculated. The relative survival rate was calculated as follows: Relative survival rate (%)=(OD of TS group)/(OD of CG)x100.

Cell apoptosis and cell cycle analysis by flow cytometry (FCM)

The apoptosis incidence in HCT116 and SW620 cells was detected using fluorescein isothiocyanate (FITC) Annexin V Apoptosis Detection kit (Pharmingen™; BD Biosciences, Franklin Lakes, NJ, USA), according to the specification. One day prior to transfection, the cells were seeded onto the 6-well plate, with 7.5×105 cells and 2 ml medium without penicillin-streptomycin in each well, and at least 3 wells per group. The cells were trypsinized using Trypsin-ENTA and centrifuged at 3,000 × g for 5 min at 25°C, 48 h after transfection. The cells were collected and 500 µl binding buffer was added to resuspend the cells, and then 5 µl each of Annexin V-FITC and propidium iodide (PI) were added. The cells were incubated at room temperature in the dark for 15 min. The percentage of cells with different DNA content was calculated. The apoptotic cells were quantified and represented as a percentage of the total, including those stained positive by Annexin V-FITC and negative by PI.

For cell cycle analysis, the cells were trypsinized and centrifuged at 3,000 × g for 5 min at 25°C, then washed with PBS and fixed with 70% precooled ethanol at 4°C overnight. The cells were washed with PBS and stained with PI (5 mg/ml) containing 100 µl RNAse A (180 µg/ml; Thermo Fisher Scientific, Inc.). The cells were then incubated at room temperature in the dark for 30 min. PI was excited at 488 nm and fluorescence was analyzed at 630 nm using a spectrophotometer. Analytical DNA FCM (CytoFLEX; Beckman Coulter, Inc., Brea, CA, USA) was used for cell-cycle phase-distribution analysis.

Proliferation analysis by MTT assay

HCT116 and SW620 cells in each group were seeded onto a 96-well plate, with 1×104 cells per well. The cells were treated with 10 µl MTT reagent at 24, 48 and 72 h using the Vybrant® MTT Cell Proliferation Assay kit (Thermo Fisher Scientific, Inc.), according to the manufacturer's instructions. The absorbent value was measured at 450 nm with enzyme immunoassay analyzer (Bio-Rad Laboratories, Inc., Hercules, CA, USA) and the proliferation activity was calculated.

Statistical analysis

The data were analyzed by SPSS 13.0 (SPSS, Inc., Chicago, IL, USA) and presented as the mean ± standard deviation. Three repeats were performed for each assay. One-way analysis of variance was used to analyze the differences between groups. A t-test was conducted for comparison between groups. P<0.05 was considered to indicate a statistically significant difference.

Results

Silencing on Beclin-1 expression

Using RNAi, Beclin-1 expression was partially silenced in HCT116 and SW620 cells. The mRNA level was evaluated by RT-PCR and the protein level was evaluated by western blot analysis.

Subsequent to transfecting HCT116 cells, the Beclin-1 mRNA in TS group was evidently decreased by 85.7% (P<0.05) compared with the CG, while Beclin-1 expression in the NS group was decreased by 9.2% (Fig. 1). At the protein level, the Beclin-1 expression in TS was decreased by 65.7% compared with the CG, while the expression in the NS group was decreased by 46.6%, consistent with the mRNA level.

Figure 1.

Beclin-1 mRNA expression in TS and NS groups, and CG of HCT116 cells. siRNA, small interfering RNA; TS, targeting siRNA; NS, nonspecific siRNA; CG, control group.

Subsequent to transfecting SW620 cells, Beclin-1 mRNA expression in the TS group was evidently decreased by 73.6% (P<0.05) compared with the CG, while in the NS group Beclin-1 expression was decreased by 8.5% (Fig. 2). On the protein level, Beclin-1 expression in the TS group was decreased by 59.1% compared with the CG, while in the NS group Beclin-1 expression was decreased by 37.8%, which is consistent with the mRNA level.

Figure 2.

Beclin-1 mRNA expression in TS and NS groups, and CG of SW620 cells. siRNA, small interfering RNA; TS, targeting siRNA; NS, nonspecific siRNA; CG, control group.

Apoptosis analysis by CCK-8 detection

HCT116 and SW620 cells were transfected and the apoptotic percentage was detected by CCK-8 after 0, 24, 48 and 72 h.

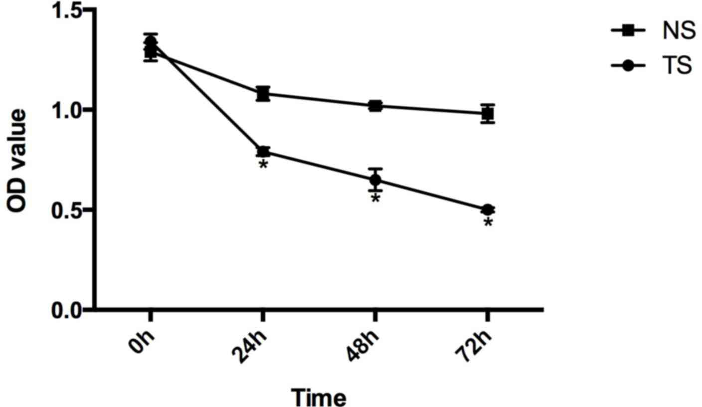
Compared with the CG of HCT116 cells, the relative survival rates of the TS group at 0, 24, 48 and 72 h subsequent to transfection were 1.34±0.038, 0.79±0.020, 0.65±0.054 and 0.50±0.011, respectively, and in the NS group these were 1.29±0.046, 1.08±0.033, 1.02±0.014 and 0.98±0.044 (Fig. 3).

Figure 3.

The relative survival rates at 0, 24, 48 and 72 h in HCT116 cells following transfection, compared with the control group (*P<0.05). siRNA, small interfering RNA; TS, targeting siRNA; NS, nonspecific siRNA.

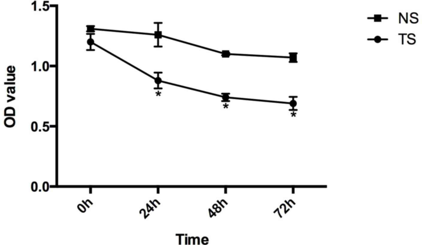
Compared with the CG of SW620 cells, the relative survival rates of the TS group at 0, 24, 48 and 72 h subsequent to transfection were 1.20±0.067, 0.88±0.066, 0.74±0.031 and 0.69±0.054, respectively, and in the NS group these were 1.31±0.022, 1.26±0.098, 1.10±0.011 and 1.07±0.036 (Fig. 4).

Figure 4.

The relative survival rates at 0, 24, 48 and 72 h in SW620 cells subsequent to transfection, compared with the control group (*P<0.05). siRNA, small interfering RNA; TS, targeting siRNA; NS, nonspecific siRNA.

Cell apoptosis and cell cycle analysis by FCM

By FCM, the percentages of cells in the G1 and S phases in the TS group of HCT116 cells were 49.1 and 55.6%, and in the CG these were 61.8 and 25.2%, respectively. However, the percentages of cells in the G1 and S phases in the TS group of SW620 cells were 44.5 and 59.1%, and in the CG these were 60.3 and 31.3%, respectively.

These results showed that the proportion of cells transfected with siRNA targeting Beclin-1 in the G1 phase was significantly decreased (P<0.05), while the proportion of cells in the S phase was significantly increased (P<0.05). However, there were no evident changes in cell cycle distribution and proliferation in the NS group compared with the CG. The FCM results were consistent with the findings of CCK-8 (data not shown).

Proliferation analysis by MTT assay

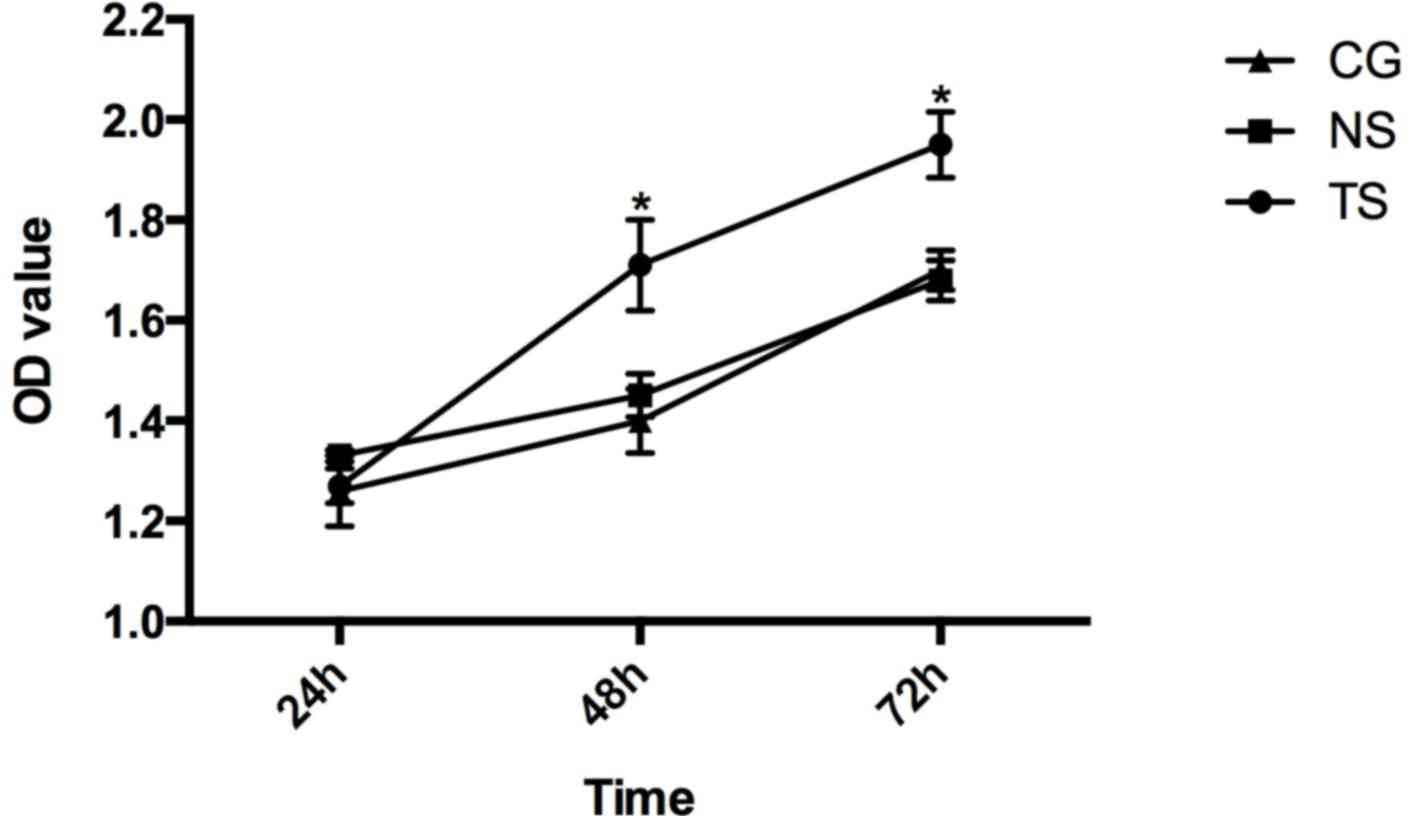
The photo-absorption values in the HCT116 and SW620 cells in each group were measured. In the TS group of HCT116 cells, the values at 24, 48 and 72 h were 1.27±0.034, 1.71±0.090 and 1.95±0.066, respectively. In the NS group, the values were 1.33±0.012, 1.450±0.043 and 1.68±0.040. In the CG, the values were 1.26±0.071, 1.40±0.064 and 1.70±0.039 (Fig. 5).

Figure 5.

The photo-absorption values in the TS and NS groups, and CG of HCT116 cells, as measured by MTT assay. siRNA, small interfering RNA; TS, targeting siRNA; NS, nonspecific siRNA; CG, control group.

In the TS group of SW620 cells, the photo-absorption values at 24, 48 and 72 h were 1.33±0.025, 1.67±0.078 and 1.81±0.068, respectively. In the NS group, the values were 1.29±0.021, 1.50±0.061 and 1.69±0.026. In the CG, the values were 1.28±0.098, 1.47±0.022 and 1.66±0.024 (Fig. 6).

Figure 6.

The photo-absorption values in TS, NS and CG groups of SW620 measured by MTT assay. siRNA, small interfering RNA; TS, targeting siRNA; NS, nonspecific siRNA; CG, control group.

The results of the MTT assay showed that Beclin-1 silencing promoted cell proliferation compared with the CG (P<0.05), while there were no significant differences between the cell proliferation in the NS group and in the CG.

Discussion

CRC is one of the most common digestive tract cancers, with the second-highest cancer incidence in women and the third-highest cancer incidence in men worldwide. Every year, there are ~1.2 million patients with CRC and 600,000 of these succumb to CRC (8). At present, the CRC-associated incidence and mortality in China have been increasing (9). The main therapeutic strategies include surgical resection, radiotherapy and chemotherapy. However, the efficacy of treatment in the early stage of CRC is good, while it is poor in advanced CRC. Therefore, a new therapy for treating CRC is urgently required.

Autophagy, which has been indicated as a type of cell death different from apoptosis since the 1950s, has an important role in the generation and development of diseases. Autophagy is characterized by accumulation of autophagic vacuoles, without the formation of apoptosis bodies, and chromosome condensation, but the process is caspase-independent (10). In the generation and development of autophagy, parts of the cytoplasm or entire organelles are incorporated into autophagosomes, which are vesicles with a double membrane, and these finally fuse with lysosomes, change into a single-membrane structure and are degraded (11). Previous studies have demonstrated that autophagic capacity in cancer cells was decreased compared with normal cells, indicating that suppressing autophagy contributes to cancer development (12,13).

At present, >30 associated genes, termed autophagy-related genes, are essential for autophagic induction, generation, maturation and recycling (14). Beclin-1 was hypothesized to be one of the critical molecules between apoptosis and autophagy (15). Beclin-1, 60 kDa, was functional in suppressing tumors by promoting cellular macroautophagy (16). Certain studies indicated that Beclin-1 improved the survival rate of cells, while other studies demonstrated that Beclin-1 acted as a tumor suppressor. Liang et al (17) found that the Beclin-1 expression decreased the proliferation of breast cancer MCF-7 cells. In lung and liver carcinomas, heterozygous disruption of Beclin-1 in mice increased the frequency of spontaneous lymphomas (15,18). These results indicated that Beclin-1 had the ability to suppress tumor growth, which was associated with regulation of the death of autophagic cells. Yu et al (19) silenced Beclin-1 expression in L292 cells to prevent from autophagic death triggered by treatment with a caspase inhibitor. Shimizu et al (20) showed that the downregulation of Beclin-1 by RNAi blocked the death of non-apoptotic cells, which was induced by doubly knocking out B cell lymphoma-2 (Bcl-2) -associated X protein/Bcl-2 homologous antagonist/killer in mice.

In order to investigate the function of Beclin-1 in autophagy, cell proliferation and apoptosis, Beclin-1 expression was silenced in HCT116 and SW620 cells using RNAi. Using CCK-8, FCM and an MTT assay, the association between the downregulation of Beclin-1 expression and the proliferation and apoptosis of HCT116 and SW620 cells was investigated. The results showed that siRNA against Beclin-1 significantly decreased Beclin-1 expression, which led to the decrease of survival rate, as determined by CCK-8, and the increase of apoptosis rate and cell proliferation, as determined by FCM and MTT, respectively. The present results were consistent with the hypothesis that Beclin-1 may be an important molecule in adjusting autophagy and apoptosis in mammalian cells. However, the regulation mechanism of silencing Beclin-1 expression to promote cell apoptosis and autophagy remains unclear and requires additional investigation.

In the present study, it was found that compared to the NS group and CG, the decreased expression level of Beclin-1 in TS group effectively suppressed autophagy signaling, which affected the cell proliferation and cell cycle. As shown by FCM, the proportion of cells transfected with siRNA targeting Beclin-1 in the G1 phase was significantly decreased (P<0.05), while the proportion of cells in the S phase was significantly increased (P<0.05), indicating the proliferation of cells in the TS group was promoted.

Beclin-1 was the first identified mammalian gene mediating autophagy (17). At present, numerous studies find that tumor suppressors, including Beclin-1, death-associated protein-kinase (21,22) and phosphatase and tensin homolog (23), have a causative role in autophagy deficiencies in cancer formation. Therefore, autophagy draws more and more attention in studies about the tumor generating and developing (24,25). By inhibiting the expression of Beclin-1, the autophagy in CRC cells was not only suppressed, but the association between autophagy and cell proliferation and apoptosis was also indicated, which regulates tumor growth and has an effective anti-tumor effect. The present results provide new evidence for Beclin-1 as a target for regulating autophagy and treating CRC. The mechanism of how Beclin-1 is involved in autophagy and regulates cell proliferation and apoptosis require additional investigation.

References

1 

Li Z and Zhu WG: Targeting histone deacetylases for cancer therapy: From molecular mechanisms to clinical implications. Int J Biol Sci. 10:757–770. 2014. View Article : Google Scholar : PubMed/NCBI

2 

Ouyang L, Shi Z, Zhao S, Wang FT, Zhou TT, Liu B and Bao JK: Programmed cell death pathways in cancer: A review of apoptosis, autophagy and programmed necrosis. Cell Prolif. 45:487–498. 2012. View Article : Google Scholar : PubMed/NCBI

3 

Hailey DW, Rambold AS, Satpute-Krishnan P, Mitra K, Sougrat R, Kim PK and Lippincott-Schwartz J: Mitochondria supply membranes for autophagosome biogenesis during starvation. Cell. 141:656–667. 2010. View Article : Google Scholar : PubMed/NCBI

4 

Maiuri MC, Criollo A and Kroemer G: Crosstalk between apoptosis and autophagy within the Beclin 1 interactome. EMBO J. 29:515–516. 2010. View Article : Google Scholar : PubMed/NCBI

5 

Yang Z and Klionsky DJ: Eaten alive: A history of macroautophagy. Nat Cell Biol. 12:814–822. 2010. View Article : Google Scholar : PubMed/NCBI

6 

Kang R, Zeh HJ, Lotze MT and Tang D: The Beclin 1 network regulates autophagy and apoptosis. Cell Death Differ. 18:571–580. 2011. View Article : Google Scholar : PubMed/NCBI

7 

Livak KJ and Schmittgen TD: Analysis of relative gene expression data using real-time quantitative PCR and the 2(−Delta Delta C(T)) Method. Methods. 25:402–408. 2001. View Article : Google Scholar : PubMed/NCBI

8 

Jemal A, Center MM, DeSantis C and Ward EM: Global patterns of cancer incidence and mortality rates and trends. Cancer Epidemiol Biomarkers Prev. 19:1893–1907. 2010. View Article : Google Scholar : PubMed/NCBI

9 

Ren JS, Chen WQ, Shin HR, Ferlay J, Saika K, Zhang SW and Bray F: A comparison of two methods to estimate the cancer incidence and mortality burden in China in 2005. Asian Pac J Cancer Prev. 11:1587–1594. 2010.PubMed/NCBI

10 

Levine B and Kroemer G: Autophagy in the pathogenesis of disease. Cell. 132:27–42. 2008. View Article : Google Scholar : PubMed/NCBI

11 

Yoshimori T: Autophagy: A regulated bulk degradation process inside cells. Biochem Biophys Res Commun. 313:453–458. 2004. View Article : Google Scholar : PubMed/NCBI

12 

Gozuacik D and Kimchi A: Autophagy as a cell death and tumor suppressor mechanism. Oncogene. 23:2891–2906. 2004. View Article : Google Scholar : PubMed/NCBI

13 

Thompson CB: Apoptosis in the pathogenesis and treatment of disease. Science. 267:1456–1462. 1995. View Article : Google Scholar : PubMed/NCBI

14 

Behrends C, Sowa ME, Gygi SP and Harper JW: Network organization of the human autophagy system. Nature. 466:68–76. 2010. View Article : Google Scholar : PubMed/NCBI

15 

Yue Z, Jin S, Yang C, Levine AJ and Heintz N: Beclin 1, an autophagy gene essential for early embryonic development, is a haploinsufficient tumor suppressor. Proc Natl Acad Sci USA. 100:15077–15082. 2003. View Article : Google Scholar : PubMed/NCBI

16 

Zeng X, Overmeyer JH and Maltese WA: Functional specificity of the mammalian Beclin-Vps34 PI 3-kinase complex in macroautophagy versus endocytosis and lysosomal enzyme trafficking. J Cell Sci. 119:259–270. 2006. View Article : Google Scholar : PubMed/NCBI

17 

Liang XH, Jackson S, Seaman M, Brown K, Kempkes B, Hibshoosh H and Levine B: Induction of autophagy and inhibition of tumorigenesis by beclin 1. Nature. 402:672–676. 1999. View Article : Google Scholar : PubMed/NCBI

18 

Qu X, Yu J, Bhagat G, Furuya N, Hibshoosh H, Troxel A, Rosen J, Eskelinen EL, Mizushima N, Ohsumi Y, et al: Promotion of tumorigenesis by heterozygous disruption of the beclin 1 autophagy gene. J Clin Invest. 112:1809–1820. 2003. View Article : Google Scholar : PubMed/NCBI

19 

Yu L, Alva A, Su H, Dutt P, Freundt E, Welsh S, Baehrecke EH and Lenardo MJ: Regulation of an ATG7-beclin 1 program of autophagic cell death by caspase-8. Science. 304:1500–1502. 2004. View Article : Google Scholar : PubMed/NCBI

20 

Shimizu S, Kanaseki T, Mizushima N, Mizuta T, Arakawa-Kobayashi S, Thompson CB and Tsujimoto Y: Role of Bcl-2 family proteins in a non-apoptotic programmed cell death dependent on autophagy genes. Nat Cell Biol. 6:1221–1228. 2004. View Article : Google Scholar : PubMed/NCBI

21 

Zalckvar E, Berissi H, Mizrachy L, Idelchuk Y, Koren I, Eisenstein M, Sabanay H, Pinkas-Kramarski R and Kimchi A: DAP-kinase-mediated phosphorylation on the BH3 domain of beclin 1 promotes dissociation of beclin 1 from Bcl-XL and induction of autophagy. EMBO Rep. 10:285–292. 2009. View Article : Google Scholar : PubMed/NCBI

22 

Zalckvar E, Berissi H, Eisenstein M and Kimchi A: Phosphorylation of Beclin 1 by DAP-kinase promotes autophagy by weakening its interactions with Bcl-2 and Bcl-XL. Autophagy. 5:720–722. 2009. View Article : Google Scholar : PubMed/NCBI

23 

Ying H, Qu D, Liu C, Ying T, Lv J, Jin S and Xu H: Chemoresistance is associated with Beclin-1 and PTEN expression in epithelial ovarian cancers. Oncol Lett. 9:1759–1763. 2015.PubMed/NCBI

24 

Won KY, Kim GY, Lim SJ, Sung JY, Kim YW, Park YK, Lee J and Choi HS: Autophagy is related to the hedgehog signaling pathway in human gastric adenocarcinoma: Prognostic significance of Beclin-1 and Gli2 expression in human gastric adenocarcinoma. Pathol Res Pract. 211:308–315. 2015. View Article : Google Scholar : PubMed/NCBI

25 

Galadari S, Rahman A, Pallichankandy S and Thayyullathil F: Tumor suppressive functions of ceramide: Evidence and mechanisms. Apoptosis. 20:689–711. 2015. View Article : Google Scholar : PubMed/NCBI

Related Articles

  • Abstract
  • View
  • Download
  • Twitter
Copy and paste a formatted citation
Spandidos Publications style
Liu L, Zhao WM, Yang XH, Sun ZQ, Jin HZ, Lei C, Jin B and Wang HJ: Effect of inhibiting Beclin-1 expression on autophagy, proliferation and apoptosis in colorectal cancer. Oncol Lett 14: 4319-4324, 2017.
APA
Liu, L., Zhao, W., Yang, X., Sun, Z., Jin, H., Lei, C. ... Wang, H. (2017). Effect of inhibiting Beclin-1 expression on autophagy, proliferation and apoptosis in colorectal cancer. Oncology Letters, 14, 4319-4324. https://doi.org/10.3892/ol.2017.6687
MLA
Liu, L., Zhao, W., Yang, X., Sun, Z., Jin, H., Lei, C., Jin, B., Wang, H."Effect of inhibiting Beclin-1 expression on autophagy, proliferation and apoptosis in colorectal cancer". Oncology Letters 14.4 (2017): 4319-4324.
Chicago
Liu, L., Zhao, W., Yang, X., Sun, Z., Jin, H., Lei, C., Jin, B., Wang, H."Effect of inhibiting Beclin-1 expression on autophagy, proliferation and apoptosis in colorectal cancer". Oncology Letters 14, no. 4 (2017): 4319-4324. https://doi.org/10.3892/ol.2017.6687
Copy and paste a formatted citation
x
Spandidos Publications style
Liu L, Zhao WM, Yang XH, Sun ZQ, Jin HZ, Lei C, Jin B and Wang HJ: Effect of inhibiting Beclin-1 expression on autophagy, proliferation and apoptosis in colorectal cancer. Oncol Lett 14: 4319-4324, 2017.
APA
Liu, L., Zhao, W., Yang, X., Sun, Z., Jin, H., Lei, C. ... Wang, H. (2017). Effect of inhibiting Beclin-1 expression on autophagy, proliferation and apoptosis in colorectal cancer. Oncology Letters, 14, 4319-4324. https://doi.org/10.3892/ol.2017.6687
MLA
Liu, L., Zhao, W., Yang, X., Sun, Z., Jin, H., Lei, C., Jin, B., Wang, H."Effect of inhibiting Beclin-1 expression on autophagy, proliferation and apoptosis in colorectal cancer". Oncology Letters 14.4 (2017): 4319-4324.
Chicago
Liu, L., Zhao, W., Yang, X., Sun, Z., Jin, H., Lei, C., Jin, B., Wang, H."Effect of inhibiting Beclin-1 expression on autophagy, proliferation and apoptosis in colorectal cancer". Oncology Letters 14, no. 4 (2017): 4319-4324. https://doi.org/10.3892/ol.2017.6687
Follow us
  • Twitter
  • LinkedIn
  • Facebook
About
  • Spandidos Publications
  • Careers
  • Cookie Policy
  • Privacy Policy
How can we help?
  • Help
  • Live Chat
  • Contact
  • Email to our Support Team