Spandidos Publications Logo
  • About
    • About Spandidos
    • Aims and Scopes
    • Abstracting and Indexing
    • Editorial Policies
    • Reprints and Permissions
    • Job Opportunities
    • Terms and Conditions
    • Contact
  • Journals
    • All Journals
    • Oncology Letters
      • Oncology Letters
      • Information for Authors
      • Editorial Policies
      • Editorial Board
      • Aims and Scope
      • Abstracting and Indexing
      • Bibliographic Information
      • Archive
    • International Journal of Oncology
      • International Journal of Oncology
      • Information for Authors
      • Editorial Policies
      • Editorial Board
      • Aims and Scope
      • Abstracting and Indexing
      • Bibliographic Information
      • Archive
    • Molecular and Clinical Oncology
      • Molecular and Clinical Oncology
      • Information for Authors
      • Editorial Policies
      • Editorial Board
      • Aims and Scope
      • Abstracting and Indexing
      • Bibliographic Information
      • Archive
    • Experimental and Therapeutic Medicine
      • Experimental and Therapeutic Medicine
      • Information for Authors
      • Editorial Policies
      • Editorial Board
      • Aims and Scope
      • Abstracting and Indexing
      • Bibliographic Information
      • Archive
    • International Journal of Molecular Medicine
      • International Journal of Molecular Medicine
      • Information for Authors
      • Editorial Policies
      • Editorial Board
      • Aims and Scope
      • Abstracting and Indexing
      • Bibliographic Information
      • Archive
    • Biomedical Reports
      • Biomedical Reports
      • Information for Authors
      • Editorial Policies
      • Editorial Board
      • Aims and Scope
      • Abstracting and Indexing
      • Bibliographic Information
      • Archive
    • Oncology Reports
      • Oncology Reports
      • Information for Authors
      • Editorial Policies
      • Editorial Board
      • Aims and Scope
      • Abstracting and Indexing
      • Bibliographic Information
      • Archive
    • Molecular Medicine Reports
      • Molecular Medicine Reports
      • Information for Authors
      • Editorial Policies
      • Editorial Board
      • Aims and Scope
      • Abstracting and Indexing
      • Bibliographic Information
      • Archive
    • World Academy of Sciences Journal
      • World Academy of Sciences Journal
      • Information for Authors
      • Editorial Policies
      • Editorial Board
      • Aims and Scope
      • Abstracting and Indexing
      • Bibliographic Information
      • Archive
    • International Journal of Functional Nutrition
      • International Journal of Functional Nutrition
      • Information for Authors
      • Editorial Policies
      • Editorial Board
      • Aims and Scope
      • Abstracting and Indexing
      • Bibliographic Information
      • Archive
    • International Journal of Epigenetics
      • International Journal of Epigenetics
      • Information for Authors
      • Editorial Policies
      • Editorial Board
      • Aims and Scope
      • Abstracting and Indexing
      • Bibliographic Information
      • Archive
    • Medicine International
      • Medicine International
      • Information for Authors
      • Editorial Policies
      • Editorial Board
      • Aims and Scope
      • Abstracting and Indexing
      • Bibliographic Information
      • Archive
  • Articles
  • Information
    • Information for Authors
    • Information for Reviewers
    • Information for Librarians
    • Information for Advertisers
    • Conferences
  • Language Editing
Spandidos Publications Logo
  • About
    • About Spandidos
    • Aims and Scopes
    • Abstracting and Indexing
    • Editorial Policies
    • Reprints and Permissions
    • Job Opportunities
    • Terms and Conditions
    • Contact
  • Journals
    • All Journals
    • Biomedical Reports
      • Information for Authors
      • Editorial Policies
      • Editorial Board
      • Aims and Scope
      • Abstracting and Indexing
      • Bibliographic Information
      • Archive
    • Experimental and Therapeutic Medicine
      • Information for Authors
      • Editorial Policies
      • Editorial Board
      • Aims and Scope
      • Abstracting and Indexing
      • Bibliographic Information
      • Archive
    • International Journal of Epigenetics
      • Information for Authors
      • Editorial Policies
      • Editorial Board
      • Aims and Scope
      • Abstracting and Indexing
      • Bibliographic Information
      • Archive
    • International Journal of Functional Nutrition
      • Information for Authors
      • Editorial Policies
      • Editorial Board
      • Aims and Scope
      • Abstracting and Indexing
      • Bibliographic Information
      • Archive
    • International Journal of Molecular Medicine
      • Information for Authors
      • Editorial Policies
      • Editorial Board
      • Aims and Scope
      • Abstracting and Indexing
      • Bibliographic Information
      • Archive
    • International Journal of Oncology
      • Information for Authors
      • Editorial Policies
      • Editorial Board
      • Aims and Scope
      • Abstracting and Indexing
      • Bibliographic Information
      • Archive
    • Medicine International
      • Information for Authors
      • Editorial Policies
      • Editorial Board
      • Aims and Scope
      • Abstracting and Indexing
      • Bibliographic Information
      • Archive
    • Molecular and Clinical Oncology
      • Information for Authors
      • Editorial Policies
      • Editorial Board
      • Aims and Scope
      • Abstracting and Indexing
      • Bibliographic Information
      • Archive
    • Molecular Medicine Reports
      • Information for Authors
      • Editorial Policies
      • Editorial Board
      • Aims and Scope
      • Abstracting and Indexing
      • Bibliographic Information
      • Archive
    • Oncology Letters
      • Information for Authors
      • Editorial Policies
      • Editorial Board
      • Aims and Scope
      • Abstracting and Indexing
      • Bibliographic Information
      • Archive
    • Oncology Reports
      • Information for Authors
      • Editorial Policies
      • Editorial Board
      • Aims and Scope
      • Abstracting and Indexing
      • Bibliographic Information
      • Archive
    • World Academy of Sciences Journal
      • Information for Authors
      • Editorial Policies
      • Editorial Board
      • Aims and Scope
      • Abstracting and Indexing
      • Bibliographic Information
      • Archive
  • Articles
  • Information
    • For Authors
    • For Reviewers
    • For Librarians
    • For Advertisers
    • Conferences
  • Language Editing
Login Register Submit
  • This site uses cookies
  • You can change your cookie settings at any time by following the instructions in our Cookie Policy. To find out more, you may read our Privacy Policy.

    I agree
Search articles by DOI, keyword, author or affiliation
Search
Advanced Search
presentation
Oncology Letters
Join Editorial Board Propose a Special Issue
Print ISSN: 1792-1074 Online ISSN: 1792-1082
Journal Cover
December-2017 Volume 14 Issue 6

Full Size Image

Sign up for eToc alerts
Recommend to Library

Journals

International Journal of Molecular Medicine

International Journal of Molecular Medicine

International Journal of Molecular Medicine is an international journal devoted to molecular mechanisms of human disease.

International Journal of Oncology

International Journal of Oncology

International Journal of Oncology is an international journal devoted to oncology research and cancer treatment.

Molecular Medicine Reports

Molecular Medicine Reports

Covers molecular medicine topics such as pharmacology, pathology, genetics, neuroscience, infectious diseases, molecular cardiology, and molecular surgery.

Oncology Reports

Oncology Reports

Oncology Reports is an international journal devoted to fundamental and applied research in Oncology.

Experimental and Therapeutic Medicine

Experimental and Therapeutic Medicine

Experimental and Therapeutic Medicine is an international journal devoted to laboratory and clinical medicine.

Oncology Letters

Oncology Letters

Oncology Letters is an international journal devoted to Experimental and Clinical Oncology.

Biomedical Reports

Biomedical Reports

Explores a wide range of biological and medical fields, including pharmacology, genetics, microbiology, neuroscience, and molecular cardiology.

Molecular and Clinical Oncology

Molecular and Clinical Oncology

International journal addressing all aspects of oncology research, from tumorigenesis and oncogenes to chemotherapy and metastasis.

World Academy of Sciences Journal

World Academy of Sciences Journal

Multidisciplinary open-access journal spanning biochemistry, genetics, neuroscience, environmental health, and synthetic biology.

International Journal of Functional Nutrition

International Journal of Functional Nutrition

Open-access journal combining biochemistry, pharmacology, immunology, and genetics to advance health through functional nutrition.

International Journal of Epigenetics

International Journal of Epigenetics

Publishes open-access research on using epigenetics to advance understanding and treatment of human disease.

Medicine International

Medicine International

An International Open Access Journal Devoted to General Medicine.

Journal Cover
December-2017 Volume 14 Issue 6

Full Size Image

Sign up for eToc alerts
Recommend to Library

  • Article
  • Citations
    • Cite This Article
    • Download Citation
    • Create Citation Alert
    • Remove Citation Alert
    • Cited By
  • Similar Articles
    • Related Articles (in Spandidos Publications)
    • Similar Articles (Google Scholar)
    • Similar Articles (PubMed)
  • Download PDF
  • Download XML
  • View XML
Article Open Access

Downregulated miRNA‑1269a variant (rs73239138) decreases the susceptibility to gastric cancer via targeting ZNF70

  • Authors:
    • Wenshuai Li
    • Huilu Zhang
    • Pei Min
    • Jie Zhu
    • Diannan Xu
    • Weiru Jiang
    • Yanyun Ma
    • Jigang Qiu
    • Weihong Xu
    • Jian Chen
    • Mingqing Zhang
    • Min Li
    • Dongqin Yang
    • Jianping Shi
    • Jun Zhang
    • Jie Liu
  • View Affiliations / Copyright

    Affiliations: Department of Digestive Diseases, Huashan Hospital, Fudan University, Shanghai 200040, P.R. China, Department of Digestive Diseases, Southeast Hospital, Xiamen University, Zhangzhou, Fujian 363000, P.R. China, Ministry of Education Key Laboratory of Contemporary Anthropology and State Key Laboratory of Genetic Engineering, School of Life Sciences, Fudan University, Shanghai 200433, P.R. China, Department of General Surgery, Huadong Hospital, Fudan University, Shanghai 200040, P.R. China, Department of Clinical Laboratory, Shanghai Tongren Hospital, Shanghai Jiao Tong University School of Medicine, Shanghai 20050, P.R. China, Department of Laboratory Medicine, Huashan Hospital, Fudan University, Shanghai 200040, P.R. China, Department of Clinical Laboratory, Renji Hospital, Shanghai Jiao Tong University School of Medicine, Shanghai 200240, P.R. China, Department of Digestive Diseases, Shanghai Pudong Hospital, Fudan University, Shanghai 201399, P.R. China
    Copyright: © Li et al. This is an open access article distributed under the terms of Creative Commons Attribution License.
  • Pages: 6345-6354
    |
    Published online on: September 28, 2017
       https://doi.org/10.3892/ol.2017.7091
  • Expand metrics +
Metrics: Total Views: 0 (Spandidos Publications: | PMC Statistics: )
Metrics: Total PDF Downloads: 0 (Spandidos Publications: | PMC Statistics: )
Cited By (CrossRef): 0 citations Loading Articles...

This article is mentioned in:



Abstract

Although emerging evidence has indicated that single nucleotide polymorphisms (SNPs) in microRNAs (miRNAs) are associated with susceptibility to gastric cancer, a limited number of studies have revealed the underlying molecular mechanisms. In the present study, the results suggested that miR‑1269a rs73239138 has a role in decreasing the risk of gastric cancer. The level of miR‑1269a variant expression was significantly downregulated compared with the wild‑type miR‑1269a in the gastric cells (Fig. 1). Furthermore, overexpression of miR‑1269a inhibited apoptosis of gastric cancer cells. Expression of the miR‑1269a variant inhibited the function of miR‑1269a by increasing the apoptotic rate and the expression of Bik, Bim and Bak was upregulated consistently. In addition, zinc‑finger protein 70 (ZNF70) was identified to be a target gene of miR‑1269a, which was downregulated by miR‑1269a and upregulated by miR‑1269a variant. ZNF70 was indicated to exert a role as a tumor suppressor in gastric cancer. To the best our knowledge, the present study for the first time highlights a critical role of miR‑1269a variant rs73239138 in decreasing the susceptibility to gastric cancer by downregulating its expression and targeting ZNF70, which promotes apoptosis of gastric cancer cells. This SNP is indicated to serve as a potential biomarker and therapeutic target for gastric cancer.

Introduction

There are ~738,000 mortalities per year caused by gastric cancer, which has been recognized as a major cause of cancer-associated mortality in the world (1). Over 70% of new cases and mortalities are occurring in developing countries, most of which are in advanced stage when first diagnosed due to the lack of sensitive and early diagnosis markers (2). Additionally, recurrence and metastasis of advanced gastric cancers are commonly observed following surgery and chemical therapy (3,4). Therefore, it is urgently required to identify novel and efficient methods for early diagnosis and offer positive treatments.

microRNAs (miRNAs) are a type of small non-coding single-strand RNAs that regulate gene expression post-transcriptionally. It is reported that 30–60% of human genes are regulated by miRNAs, primarily by binding to target sites on messenger RNAs (mRNAs) (5–7). miRNAs have a pivotal role in regulating biological processes in the development of gastric cancer (5). Specifically, miRNAs contribute to carcinogenesis by altering the expression of oncogenes and tumor suppressors to affect proliferation, apoptosis motility and invasion (8). Numerous studies have revealed that small changes in miRNAs expression may cause significant changes in target mRNA translation and protein synthesis and therefore affect the occurrence and development of gastric cancer (9,10).

Single nucleotide polymorphisms (SNPs) are the third generation of genetic markers for the study of complex genetic diseases, pharmacogenomics and human evolution (11,12). SNPs in microRNA may reconstruct the secondary structure of pre-miRNAs, which are named pri-miRNAs, or interfere with the maturation or target selection of miRNA (13), leading to the alteration of cancer formation. Therefore, miRNA SNPs may be regarded as biomarkers for cancer diagnosis and prognosis. However, a limited number of studies have investigated the molecular mechanisms of microRNA SNPs in gastric cancer.

miR-1269a, which is located at human chromosome 4, is associated with the occurrence and development of various tumors including primary hepatocellular carcinoma (14), colorectal cancer (15) and breast cancer (16). miR-1269a has been reported to be upregulated in hepatocellular carcinoma, as one of the independent cancer predictors via suppressing Forkhead box protein O1 expression (14). However, little has been reported in the literature regarding the role of miR-1269a in gastric cancer or the involvement of its SNP, rs73239138.

In the present study, to the best of our knowledge, for the first time an association was identified between rs73239138 in microRNA-1269a and the susceptibility to gastric cancer. The present study further revealed the molecular role of this variation. The findings of the present study may assist to clarify the roles of SNPs in miRNAs in the development and occurrence of gastric cancer and lead to proposals of novel methods for early prediction, detection, diagnosis, treatment and prognosis.

Materials and methods

Study population

The 373 gastric cancer patients were recruited from the Huashan Hospital and Huadong Hospital Affiliated to Fudan University (Shanghai, China), Renji Hospital and Tongren Hospital Affiliated to Shanghai Jiao Tong University School of Medicine (Shanghai, China) and PLA 175 Hospital (Xiamen, China), between January 2011 and December 2014. The mean age was 62.13 years and the age distribution was 27–90 years. The patients were diagnosed by pathology or imaging by enhanced computed tomography (CT) scan or positron emission tomography-CT scan. A total of 402 cancer-free controls were collected from the Taizhou longitudinal study without a history of other types of cancer or restriction of age and sex (17). All subjects were unrelated Han Chinese. All materials from patients, including peripheral blood samples and epidemiological investigations, were obtained with informed consent, and the whole study was approved by the Ethic Review Committees of Huashan Hospital and School of Life Science, Fudan University (Shanghai, China).

The prediction of microRNA target gene

The target genes of the miRNA were obtained according to the miRNA target gene database (TargetScan 6.2 http://www.targetscan.org/vert_62/).

Gene ontology (GO) analysis

GO analysis was applied in order to organize genes into hierarchical categories and uncover the target genes of miRNA on the basis of biological process (18). In detail, two-sided Fisher's exact test and χ2 test were used to classify the GO category, and the false discovery rate (FDR) (19) was calculated to correct the P-value. The present study selected only GOs that had a P-value of <0.01 and a FDR of <0.05.

Pathway analysis

Based on KEGG, pathway analysis was performed using Fisher's exact test and χ2 test, and the threshold of significance was defined by P-values and FDRs. The screening criteria were P<0.05 (20–22).

DNA extraction and genotyping

Genomic (g)DNA of each subject was isolated by using the AxyPrep™ Blood Genomic DNA Miniprep kit (Axygen Biosciences; Corning Incorporated, Corning, NY, USA). Concentration of gDNA was determined using NanoDrop (C723 ND-1000 UV/Vis; NanoDrop Technologies; Thermo Fisher Scientific, Inc., Waltham, MA, USA). DNA samples were detected by agarose gel electrophoresis to ensure the DNA quality and a concentration >20 ng/µl were diluted into a working dilution of 10 ng/µl and added to 96-well plates for subsequent genotyping.

The SNPs were genotyped using matrix-assisted laser desorption/ionization-time of flight-based assay (MALDI-TOF) (23). The primers were designed using MassARRAY Assay Design software (Table I) and synthetized by Shanghai Generay Biotech Co., Ltd (Shanghai, China). The primer sequences are listed in Table I. Genotyping was performed using the MassARRAY Compact system (Sequenom Inc., CA, USA), and the data were analyzed using TyperAnalyzer software version 4.0 (Sequenom Inc.).

Table I.

Primer sequences for miR-1269a variant rs73239138.

Table I.

Primer sequences for miR-1269a variant rs73239138.

Primer sequences (5′-3′)

SNP IDaSubstitutionSNP locationmiRNALocationAmplification primer 1Amplification primer 2Extension primer
rs73239138G/A67142620hsa-mir-1269aMatACGTTGGATGAACGTTGGATGACAGGGAAGC
AGTCTCATGATCCTGAGGAATGCAGTAGCA
AGGCCATCCCTGGAC

a SNP ID from NCBI dbSNP database; miRNA, microRNA; mat, mature region of the miRNA.

Cell lines and cell culture

A total of two human gastric cell lines (HGC-27 and MGC-803) used in the present study, and the cell lines were purchased from Cell Bank of the Chinese Academy of Sciences (Shanghai, China), which were cultured in Dulbecco's modified Eagle's medium (Gibco; Thermo Fisher Scientific, Inc,) with 10% FBS (Biological Industries Israel, Kibbutz Beit Haemek, Israel). The cells were all maintained in a humidified incubator containing 5% CO2 at 37°C.

Reverse transcription-quantitative PCR analysis

miRNA was quantified using the miRcute miRNA qPCR Detection kit (SYBR green; Tiangen Biotech Co., Ltd., Shanghai, China) and analyzed using the 7500 Fast Real-Time Sequence detection system (Applied Biosystems; Thermo Fisher Scientific, Inc.). The primers used for stem-loop reverse-transcription PCR for miR-1269a and 5S were purchased from Tiangen Biotech Co., Ltd. The relative expression levels of the miRNA were normalized to the expression of small nuclear RNA 5S and calculated using 2−[(Cq of miRNA) - (Cq of 5S)] (24).

Cell transfection

The wild-type and variant miR-1269a expression plasmids were generated by cloning the wild-type and variant pre-miR-1269a sequence into the retroviral transfer plasmid CMV-MCS-SV40-neomycin (Shanghai GeneChem Co., Ltd., Shanghai, China), respectively. The concentration of DNA plasmids transfected was 1 µg/ml in DMEM with Penicillin-Streptomycin (Gibco; Thermo Fisher Scientific, Inc.). The miRNA-1269a mimics and miRNA-1269a inhibitor of the wild-type and variant type as well as the miR-negative control (NC) were purchased from GenePharma (Shanghai GenePharma Co., Ltd., Shanghai, China). Zinc-finger protein 70 (ZNF70) small interfering (si)RNA and the siRNA NC were purchased from Biotend (Shanghai, China). Transfections were performed using Lipofectamine 2000 (Invitrogen) according to the manufacturer's protocol.

Cell apoptosis assay

HGC-27 and MGC-803 cell lines were seeded in 6-well plate at a suitable density (60–70%) and after 24, 48 and 72 h of transfection. The cells were washed in PBS, harvested by trypsin, and subsequently treated with 100 µl Muse™ Annexin V Dead Cell reagent (EMD Millipore; Billerica, MA, USA) at room temperature in the dark for 20 min. This was followed by detection of apoptosis using Muse™ Cell Analyzer (EMD Millipore).

Cell proliferation assay

Proliferation was measured using the cell-counting kit-8 (CCK-8 kit; Dojindo Molecular Technologies, Inc., Shanghai, China). According to the manufacturer's instructions, 2×103 cells were seeded into 96-well culture plates and allowed to adhere for 24 h at 37°C. The cells were subsequently transfected with 50 nM negative control or siRNA and incubated at 37°C for 24, 48, 72 or 96 h. At the endpoint, 20 µl CCK-8 (5 g/l) was added for a further 4 h at 37°C. A Multiscan GO spectrophotometer (Thermo Fisher Scientific, Inc.) was used to measure the absorbance at 450 nm.

Western blot analysis

Treated cells were washed twice with ice-cold PBS and then treated with RIPA lysis buffer supplemented with 1 mM phenylmethylsulfonyl fluoride (both from Beyotime Institute of Biotechnology, Haimen, China). Following centrifugation at 10,000 × g for 15 min at 4°C, concentration of the proteins was measured using BCA protein assay kit (Beyotime Institute of Biotechnology). Cell protein lysates were separated on 12% SDS denatured polyacrylamide gel and electro-transferred onto polyvinylidene fluoride membranes. The membranes were blocked with 5% non-fat milk and were incubated with primary antibodies against ZNF70 (zinc-finger protein 70; cat. no. ab49339; 5:1,000; Abcam, Cambridge, UK), GAPDH (cat. no. 5174S, Cell Signaling Technology Inc., Danvers, MA, USA), Bik (cat. no. 4592S, Cell Signaling Technology Inc., Danvers, MA, USA), Bim (cat. no. 2933S, Cell Signaling Technology Inc., Danvers, MA, USA) and Bak (cat. no. 12105S, Cell Signaling Technology Inc., Danvers, MA, USA) at 4°C overnight, which were all diluted to 1:1,000. The membranes were then washed 3 times with TBST (Bioscience Shanghai, Inc., China) and incubated with anti-rabbit immunoglobulin G at room temperature ~1 h, horseradish peroxidase-linked antibody (cat. no. 7074; 1:2,000; Cell Signaling Technology Inc.), according to the manufacturer's instructions. Finally, the images were captured using a gel imaging analysis system (Tanon 4100; Tanon Science and Technology Co., Ltd., Shanghai, China).

Statistical analysis

All statistical tests were performed using the software SPSS (version 19. 0; IBM Corp., Armonk, NY, USA) and Excel (Microsoft Corporation, Redmond, WA, USA). Using Pearson's chi-squared test of goodness of fit, genotype frequencies were evaluated for Hardy-Weinberg equilibrium. Binary logistic regression was applied to analyze the association between the genotypes of miRNA SNP and the susceptibility to gastric cancer following adjustments for age, sex, smoking status and drinking status. Odds ratios and 95% confidence intervals (CI) were also calculated. Pearson's chi-squared test of independence was then used to investigate the association between the SNPs and qualitative clinical indexes, including age, sex, smoking and alcohol consumption status, and tumor size in gastric cancer patients. A two-sided P<0.05 was considered to indicate a statistically significant difference.

The data from cellular experiments are expressed as the mean ± standard deviation for three independent experiments. Subsequently, ANOVA and multiple comparisons test were used to evaluate the significant difference between three groups of data, and the student's t-test was used to evaluate the significant difference between two groups of data. Statistics was performed with the use of GraphPad Prism (version 6.0; GraphPad Software, Inc., La Jolla, CA, USA). P<0.05 was considered to indicate a statistically significant difference.

Results

miR-1269a rs73239138 decreases the risk of gastric cancer

The present study included 373 patients with gastric cancer and 402 healthy subjects, and the demographic characteristics were summarized in Table II. It was indicated that there were significant differences between the patients with gastric cancer and the healthy controls in terms of age, sex and smoking status. However, there were no differences between the two groups for alcohol consumption.

Table II.

General characteristics of gastric cancer patients and unaffected controlsa.

Table II.

General characteristics of gastric cancer patients and unaffected controlsa.

CharacteristicCases (n=373)Controls (n=402)P-value
Age62.13±12.1062.37±8.76 <0.001b
Sex, n (%) <0.001b
Total367402
  Male267 (72.8)175 (43.5)
  Female100 (27.2)227 (56.5)
Smoking, n (%) 0.012b
  Total357402
  Neverc273 (76.5)274 (68.2)
  Everc84 (23.5)128 (31.8)
Consumption of alcohol, n (%) 0.099
  Total357402
  Neverc315 (88.2)338 (84.1)
  Everc42 (11.8)64 (15.9)
Size of tumor foci (n=209), mean ± SD4.28±2.70
Tumor sites, n (%)
  Total303
  Non-cardia cancer230 (75.9)
  Cardia cancer73 (24.1)
Organ metastasis, n (%)321
  Negative, M0253 (78.8)
  Positive, M1  68 (21.2)
Lymph-node metastasis, n (%)
  Total340
  Negative (N0)158 (46.5)
  Positive (N1-N3)182 (53.5)

a Certain patients were excluded from sex, smoking, the consumption of alcohol analysis, tumor sites analysis, organ metastasis and lymph-node metastasis analysis due to missing data (n=6, n=16, n=16, n=70, n=52 and n=33, respectively).

b P<0.05.

c Never means that patients never smoke or drink alcohol, and ever means that patients have smoked or consumed alcohol.

As shown in Table III, compared with the wild-type GG, the AA genotype was associated with a significant decreased risk of gastric cancer (P=0.045; OR, 0.610; 95% CI, 0.376–0.990). However, there was no statistically significant association between the GA genotype and gastric cancer risk (P=0.567; OR, 1.106; 95% CI, 1.106 (0.783–1.564). A similar association was identified in the recessive model (AA vs. GG + AG; P=0.014; OR, 0.576; 95% CI, 0.371–0.896). Collectively, the findings indicated that miR-1269a rs73239138 may have a role in decreasing the risk of gastric cancer.

Table III.

Association between genotypes/alleles of miR-1269a rs73239138 and the risk of gastric cancer.

Table III.

Association between genotypes/alleles of miR-1269a rs73239138 and the risk of gastric cancer.

Gastric cancer patients

GenotypeControl, n (%)Number, n (%)OR (95% CI)a P-valueb
rs7329138
  GG144 (36.1)131 (35.1)
  GA180 (45.1)193 (51.7)1.106 (0.783–1.564)0.567
  AA75 (18.8)49 (13.1)0.610 (0.376–0.990)0.045b
Dominant model
  AA + GA vs. GG 0.956 (0.689–1.326)0.788
Recessive model
  AA vs. GG + GA 0.576 (0.371–0.896)0.014b
  G468 (58.6)455 (61.0)
  A330 (41.4)291 (39.0)0.841 (0.669–1.056)0.135

a ORs and P-values were all obtained following adjustment for age, sex, smoking status and alcohol consumption status.

b P<0.05. CI, confidence interval; OR, odds ratio.

Decreased expression of miR-1269a variant in human gastric cancer cell lines

Subsequently, the expression levels of miR-1269a in HGC-27 and MGC-803 gastric cancer cell lines transfected with pre-miR1269a and per-miR1269a variant plasmid were analyzed by RT-qPCR. As shown in Fig. 1, the expression level of miR-1269a was significantly downregulated in cells that were transfected with pre-miR1269a-variant compared with pre-miR1269a wild-type-transfected cells (P<0.0001), indicating that the decreased expression of miR-1269a by the SNP may have contributed to the development of gastric cancer.

Increased apoptosis in cells transfected with miR-1269a variant compared with cells transfected with wild-type miR-1269a

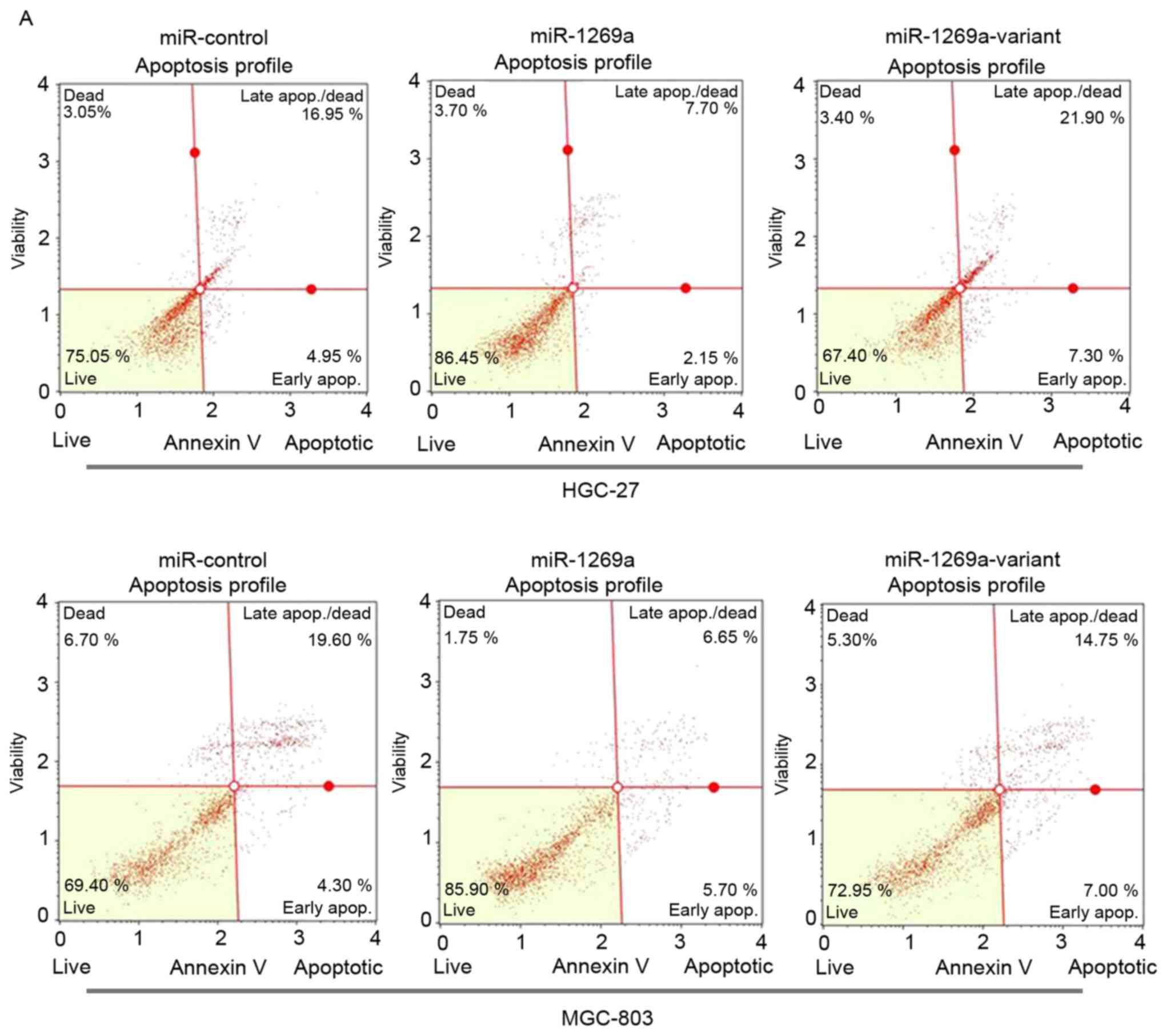
To determine the functional alteration of miR-1269a variant in gastric cancer progression, the authors of the present study examined the rate of apoptosis of MGC-803 and HGC-27 cells transfected with wild-type miR-1269a and mimics of miR-1269a variant by flow cytometric (FCM) analysis. As shown in Fig. 2A and B, the proportion of apoptotic cells was significantly decreased in MGC-803 or HGC-27 cells transfected with wild-type miR-1269a mimics after 72 h compared with control miR mimics. However, the apoptotic rate of cells transfected with miR-1269a variant type was significantly increased compared with cells transfected with miR-1269a wild-type (miR-NC vs. miR-1269a vs. miR-1269a variant, 19.10 vs. 11.62 vs. 22.95% in HGC-27; 21.17 vs. 13.97 vs. 20.73% in MGC-803). These results suggested that wild-type miR-1269a may have promoted tumor genesis in gastric cancer through prohibiting the apoptosis of gastric cancer cells.

Figure 2.

Overexpression of miR-1269a variant increases the apoptosis of gastric cancer cells. (A) A representative FCM analysis chart. The effect of miR1269a and miR-1269a variant on apoptosis was examined by FCM analysis. HGC-27 and MGC-803 cells were transfected with miR-control, miR1269a mimics and miR-1269a variant mimics and their inhibitors. Subsequently, the cells were analyzed for apoptotic rate following staining with Muse™ Annexin V Dead Cell reagent. (B) Quantitative data from FCM analysis. Data represent the mean ± standard deviation from three independent experiments. *P<0.05; **P<0.01. (C) Western blot analysis of apoptosis proteins (Bik, Bim and Bak) in HGC-27 and MGC-803 cells, which were transfected with miR1269a mimics and miR-1269a variant mimics. GAPDH served as the loading control. FCM, flow cytometry. Bik, Bcl-2-interacting killer; miRNA, microRNA; Bak, Bcl-2 homologous antagonist/killer.

The authors further detected the expression levels of proteins involved in apoptosis (Bik, Bim and Bak) between cells transfected with wild-type and miR-1269a variant by western blotting. As expected, compared with cells transfected with miR-1269a variant, the expression of Bik, Bim and Bak was downregulated in gastric cancer cells transfected with wild-type miR-1269a. However, the expression of these proteins was upregulated in cells transfected with the wild-type inhibitor compared with cells transfected with inhibitor of miR-1269a variant (Fig. 2C). Collectively, these results indicated that wild-type miR-1269a may have a role in the proliferation of gastric cancer cells by inhibiting apoptosis. However, expression of miR-1269a variant increased the apoptosis of gastric cancer cells and reduced the tumor-promoting effect of miR-1269a.

ZNF70 is a candidate target gene of miR-1269a and serves as a tumor suppressor gene in gastric cancer cells

It is important to investigate potential mRNAs, which are regulated by miR-1269a, which may further evaluate the function of miR-1269a. The potential target genes were obtained using the miRNA target gene database (TargetScan 6.2). Then, the authors used gene ontology (GO) analysis and pathway analysis to exclude any unlikely targets. The authors obtained a total of 23 predicted target genes of hsa-miR-1269a (Table IV), and excluded those by overexpressing miR-1269a in order to investigate which target did not respond (data not shown). As presented in Fig. 3A, a binding site in ZNF70 mRNA 3′-untranslated region (UTR) was identified. Using western blotting, it was demonstrated that ZNF70 expression was downregulated in MGC-803 and HGC-27 cells overexpressing miR-1269a compared with cells transfected with miR-control. However, this effect was reversed in cells overexpressing miR-1269a variant. Similarly, ZNF70 expression was upregulated in cells transfected with miR-1269a inhibitor and reversed in cells transfected with miR-1269a variant inhibitor compared with cells transfected with miR-inhibitor control (Fig. 3B). Therefore, these results suggest that miR-1269a targets and inhibits ZNF70 in gastric cancer cells.

Figure 3.

ZNF70 is a candidate target gene of miR-1269a and serves as a tumor suppressor in gastric cancer cells. (A) Sequence alignment of miR-1269a and putative ZNF70-3′UTR. (B) Western blot analysis of expression levels of ZNF70 in HGC-27 and MGC-803 cells that were transfected with miR-control, miR1269a mimics and miR-1269a-variant mimics and their inhibitors. GAPDH served as the loading control. (C) Western blot analysis of ZNF70 in ZNF70-siRNA-transfected cells. GAPDH served as the loading control. (D) The effects of ZNF70 on miR-1269a-mediated HCC proliferation as analyzed by cell-counting kit-8 assay. *P<0.05, **P<0.01 and ***P<0.001. ZNF70, zinc-finger protein 70; siRNA, small-interfering RNA; miRNA, microRNA; OD, optical density; UTR, untranslated region.

Table IV.

The predicted target genes of miRNA-1269a.

Table IV.

The predicted target genes of miRNA-1269a.

No.Gene symbolTranscript IDGene full nameTotal context+score
  1DACT1NM_001079520Dapper, antagonist of β-catenin, homolog 1 (Xenopus laevis)−0.47
  2INTS6NM_001039938Integrator complex subunit 6−0.47
  3RBMS3NM_001003792RNA binding motif, single stranded interacting protein 3−0.41
  4ZNF70NM_021916Zinc finger protein 70−0.37
  5DAZ2NM_001005785Deleted in azoospermia 2−0.35
  6VPS13BNM_017890Vacuolar protein sorting 13 homolog B (yeast)−0.33
  7DDX5NM_004396DEAD (Asp-Glu-Ala-Asp) box polypeptide 5−0.27
  8AFAP1NM_001134647Actin filament associated protein 1−0.23
  9APPBP2NM_006380Amyloid β precursor protein (cytoplasmic tail) binding protein 2−0.22
10NLNNM_020726Neurolysin (metallopeptidase M3 family)−0.21
11ONECUT1NM_004498One cut homeobox 1−0.19
12NFX1NM_002504Nuclear transcription factor, X-box binding 1−0.19
13USP9YNM_004654Ubiquitin specific peptidase 9, Y-linked−0.18
14RAB3GAP2NM_012414RAB3 GTPase activating protein subunit 2 (non-catalytic)−0.18
15CACNA1ENM_000721Calcium channel, voltage-dependent, R type, α 1E subunit−0.16
16WNT10ANM_025216Wingless-type MMTV integration site family, member 10A−0.12
17CUX2NM_015267Cut-like homeobox 2−0.11
18SPTBNM_001024858Spectrin, β, erythrocytic−0.1
19KLF3NM_016531Kruppel-like factor 3 (basic)−0.1
20FAM55CNM_001134456Family with sequence similarity 55, member C−0.07
21SLC24A2NM_001193288Solute carrier family 24 (sodium/potassium/calcium exchanger), member 2−0.04
22MTDHNM_178812Metadherin−0.04
23LRP6NM_002336Low density lipoprotein receptor-related protein 6>-0.02

[i] miRNA, microRNA.

To further confirm ZNF70, as a target of miR-1269a, is involved in the pathology of gastric cancer, the authors of the present study have used siRNA to inhibit the endogenous ZNF70, and the siRNA interference efficiency is presented as Fig. 3C. As shown in Fig. 3D, the CCK-8 analysis revealed that when ZNF70 was suppressed, the growth rates of gastric cancer cells were increased significantly compared with the negative control. This result suggested that ZNF70 may be a tumor suppressor gene and the suppression of ZNF70 may have an important role in miR-1269a-mediated gastric cancer progression.

Discussion

Numerous studies have reported that miRNAs are upregulated or downregulated in gastric cancer, indicating that overexpressed oncogenic miRNAs (oncomiRs) or downregulated tumor suppressor miRNAs may affect apoptosis and proliferation in gastric cancer by inhibiting target genes (10). For example, it was reported that the overexpression of miR-181a, an oncomiR, in a gastric cancer cell line led to increased proliferation and inhibition of apoptosis via repression of tumor suppressor kruppel like factor 6 (25). Furthermore, a number of recent studies have focused on SNPs in miRNAs and have identified a number of SNPs that contribute to gastric cancer risk, including rs3746444 (in miR-499), rs2296616 (in miR-107) and rs2910164 (in miR-146a) (26–28). However, the specific functions of SNPs in miRNA remain unknown.

Apoptosis is an important cell death process that occurs in physiological and pathological conditions. An imbalance of the delicate relationship between physiological and pathological conditions can lead to the development of cancer. Previously, little is known about the effect of miR-1269a on apoptosis in cancer. To the best of our knowledge, the present study describes the first report of the observation that overexpression of miR-1269a may significantly inhibit the apoptosis of gastric cancer cells in vitro.

Additionally, it was indicated that miR-1269a inhibited the expression of apoptosis proteins, including Bik, Bim and Bak. Meanwhile, the low expression of miR-1269a variant had a reverse effect of wild-type, which suggested that miR-1269a variant suppressed the gastric cancer development by promoting the apoptosis of gastric cancer cells.

In the present study, three databases, TargetScan 6.2, gene ontology (GO) analysis and pathway analysis, were used to determine the target genes of miR-1269a. A total of 23 potential target genes were obtained, and the expression levels of the target genes were analyzed by RT-qPCR following transfection with miR-1269a mimics in HGC-27 and MGC-803 cells (data not shown). It was observed that there was a decreased level of ZNF70 expression in cells transfected with miR-1269a mimics in HGC-27 and MGC-803 cells compared with cells transfected with miR-control (Fig. 3B). Additionally, the effect on ZNF70 expression was reversed in gastric cells overexpressing miR-1269a variant mimics. Therefore, the findings indicated that ZNF70 is a target gene of miR-1269a and ZNF70 is involved in mediating the inhibitory effect of miR-1269a variant on gastric cancer cells.

Zinc finger proteins are a type of abundant proteins present in eukaryotic genomes. The functions of zinc finger proteins are extraordinarily diverse, including DNA recognition, RNA packaging, transcriptional activation, regulation of apoptosis, protein folding and assembly and lipid binding (29). For example, ZNF217 is an oncogenic protein that is involved in various types of human cancer and has a role in regulating transcription, and inducing positive transcriptional regulation of target gene (30). ZNF70, located at human chromosome 22, was reported to be a part of the transcription factor complex, which determines cell fate and participates in gene regulation, tissue differentiation and mammalian evolution (31). However, the specific function of ZNF70 in cancer remains unknown. In the present study, the findings indicated that ZNF70 is a target gene of miR-1269a. Furthermore, the results suggest that ZNF70 may serve as a tumor-suppressor gene in gastric cancer. Therefore, these results indicate that ZNF70 is involved in epigenetic regulation via miRNAs. The regulation of ZNF70 by miR-1269a is important in tumor development and progression and its downstream pathway would be of interest for future studies.

In conclusion, microRNA-1269a rs73239138 has a protective role in the susceptibility of gastric cancer. The primary mechanism may be that a decreased expression of miR-1269a variant increases the expression of the target tumor suppressor gene ZNF70 and decreases the risk of gastric cancer by upregulating apoptosis. To the best of our knowledge, the present study has, for the first time, revealed an important association between a miR-1269a SNP and gastric cancer progression. A potential molecular mechanism was elucidated, and ZNF70 was identified as a target gene of target gene of miR-1269a, which is also a tumor suppressor gene. The present study indicates an important role in cancer development for miRNAs and SNPs that are present in miRNAs. Furthermore, the present study indicates that rs73239138 is a potential predictive marker and therapeutic target for gastric cancer.

Acknowledgements

The present study was supported by grants from the Shanghai Municipal Commission of Health and Family Planning (grant no. 20134132), the Ministry of Science and Technology of China (grant no. 2013CB945401), the National Natural Science Foundation of China (grant no. 81300327) and the Ministry of Education of China (grant no. 20130071110048), the Key Discipline Construction Project of Pudong Health Bureau of Shanghai (grant no. PWZx2014-07) and the Shanghai Municipal Science and Technology Commission (grant no. 13ZR1437200).

Glossary

Abbreviations

Abbreviations:

miRNA

microRNA

FCM

flow cytometry

mRNA

messenger RNA

SNP

single nucleotide polymorphism

oncomiR

oncogenic miRNA

GO

gene ontology

ZNF217

zinc-finger protein 217

ZNF70

zinc-finger protein 70

NC

negative control

OR

odds ratio

CI

confidence interval

RT-qPCR

quantitative reverse transcription polymerase chain reaction

siRNA

small-interfering RNA

References

1 

Nagini S: Carcinoma of the stomach: A review of epidemiology, pathogenesis, molecular genetics and chemoprevention. World J Gastrointest Oncol. 4:156–169. 2012. View Article : Google Scholar : PubMed/NCBI

2 

PDQ Screening and Prevention Editorial Board: Stomach (Gastric) Cancer Prevention (PDQ®): Health Professional Version, . PDQ Cancer Information Summaries. National Cancer Institute (US); Bethesda (MD): 2002

3 

Li J, Zhang S, Liu J, Shao M and Chen L: Review of clinical investigation on recurrence of gastric cancer following curative resection. Chin Med J. 125:1479–1495. 2012.PubMed/NCBI

4 

Roukos DH and Kappas AM: Limitations in controlling risk for recurrence after curative surgery for advanced gastric cancer are now well-explained by molecular-based mechanisms. Ann Surg Oncol. 8:620–621. 2001. View Article : Google Scholar : PubMed/NCBI

5 

Bartel DP: MicroRNAs: Target recognition and regulatory functions. Cell. 136:215–233. 2009. View Article : Google Scholar : PubMed/NCBI

6 

Zhang R and Su B: Small but influential: The role of microRNAs on gene regulatory network and 3′UTR evolution. J Genet Genomics. 36:1–6. 2009. View Article : Google Scholar : PubMed/NCBI

7 

Ambros V: The functions of animal microRNAs. Nature. 431:350–355. 2004. View Article : Google Scholar : PubMed/NCBI

8 

Song JH and Meltzer SJ: MicroRNAs in pathogenesis, diagnosis, and treatment of gastroesophageal cancers. Gastroenterology. 143(35–47): e22012.

9 

Mizuno K, Seki N, Mataki H, Matsushita R, Kamikawaji K, Kumamoto T, Takagi K, Goto Y, Nishikawa R, Kato M, et al: Tumor-suppressive microRNA-29 family inhibits cancer cell migration and invasion directly targeting LOXL2 in lung squamous cell carcinoma. Int J Oncol. 48:450–460. 2016. View Article : Google Scholar : PubMed/NCBI

10 

Song S and Ajani JA: The role of microRNAs in cancers of the upper gastrointestinal tract. Nat Rev Gastroenterol Hepatol. 10:109–118. 2013. View Article : Google Scholar : PubMed/NCBI

11 

Chung CC and Chanock SJ: Current status of genome-wide association studies in cancer. Hum Genet. 130:59–78. 2011. View Article : Google Scholar : PubMed/NCBI

12 

Zheng H, Song F, Zhang L, Yang D, Ji P, Wang Y, Almeida M, Calin GA, Hao X, Wei Q, et al: Genetic variants at the miR-124 binding site on the cytoskeleton-organizing IQGAP1 gene confer differential predisposition to breast cancer. Int J Oncol. 38:1153–1161. 2011.PubMed/NCBI

13 

Saunders MA, Liang H and Li WH: Human polymorphism at microRNAs and microRNA target sites. Proc Natl Acad Sci USA. 104:pp. 3300–3305. 2007, View Article : Google Scholar : PubMed/NCBI

14 

Yang XW, Shen GZ, Cao LQ, Jiang XF, Peng HP, Shen G, Chen D and Xue P: MicroRNA-1269 promotes proliferation in human hepatocellular carcinoma via downregulation of FOXO1. BMC Cancer. 14:9092014. View Article : Google Scholar : PubMed/NCBI

15 

Bu P, Wang L, Chen KY, Rakhilin N, Sun J, Closa A, Tung KL, King S, Kristine Varanko A, Xu Y, et al: miR-1269 promotes metastasis and forms a positive feedback loop with TGF-β. Nat Commun. 6:68792015. View Article : Google Scholar : PubMed/NCBI

16 

Persson H, Kvist A, Rego N, Staaf J, Vallon-Christersson J, Luts L, Loman N, Jonsson G, Naya H, Hoglund M, et al: Identification of new microRNAs in paired normal and tumor breast tissue suggests a dual role for the ERBB2/Her2 gene. Cancer Res. 71:78–86. 2011. View Article : Google Scholar : PubMed/NCBI

17 

Ma Y, Wang R, Zhang J, Li W, Gao C, Liu J and Wang J: Identification of miR-423 and miR-499 polymorphisms on affecting the risk of hepatocellular carcinoma in a large-scale population. Genet Test Mol Biomarkers. 18:516–524. 2014. View Article : Google Scholar : PubMed/NCBI

18 

Ashburner M, Ball CA, Blake JA, Botstein D, Butler H, Cherry JM, Davis AP, Dolinski K, Dwight SS, Eppig JT, et al: Gene ontology: Tool for the unification of biology. The Gene Ontology Consortium. Nat Genet. 25:25–29. 2000. View Article : Google Scholar : PubMed/NCBI

19 

Dupuy D, Bertin N, Hidalgo CA, Venkatesan K, Tu D, Lee D, Rosenberg J, Svrzikapa N, Blanc A, Carnec A, et al: Genome-scale analysis of in vivo spatiotemporal promoter activity in Caenorhabditis elegans. Nat Biotechnol. 25:663–668. 2007. View Article : Google Scholar : PubMed/NCBI

20 

Kanehisa M, Goto S, Kawashima S, Okuno Y and Hattori M: The KEGG resource for deciphering the genome. Nucleic Acids Res. 32:D277–D280. 2004. View Article : Google Scholar : PubMed/NCBI

21 

Yi M, Horton JD, Cohen JC, Hobbs HH and Stephens RM: WholePathwayScope: A comprehensive pathway-based analysis tool for high-throughput data. BMC Bioinformatics. 7:302006. View Article : Google Scholar : PubMed/NCBI

22 

Draghici S, Khatri P, Tarca AL, Amin K, Done A, Voichita C, Georgescu C and Romero R: A systems biology approach for pathway level analysis. Genome Res. 17:1537–1545. 2007. View Article : Google Scholar : PubMed/NCBI

23 

Xie L, Shen Y, Franke D, Sebastian V, Bawendi MG and Jensen KF: Characterization of indium phosphide quantum dot growth intermediates using MALDI-TOF mass spectrometry. J Am Chem Soc. 2016. View Article : Google Scholar

24 

Wang Y, Tang N, Hui T, Wang S, Zeng X, Li H and Ma J: Identification of endogenous reference genes for RT-qPCR analysis of plasma microRNAs levels in rats with acetaminophen-induced hepatotoxicity. J Appl Toxicol. 33:1330–1336. 2013.PubMed/NCBI

25 

Zhang X, Nie Y, Du Y, Cao J, Shen B and Li Y: MicroRNA-181a promotes gastric cancer by negatively regulating tumor suppressor KLF6. Tumour Biol. 33:1589–1597. 2012. View Article : Google Scholar : PubMed/NCBI

26 

Wang S, Lv C, Jin H, Xu M, Kang M, Chu H, Tong N, Wu D, Zhu H, Gong W, et al: A common genetic variation in the promoter of miR-107 is associated with gastric adenocarcinoma susceptibility and survival. Mutat Res. 769:35–41. 2014. View Article : Google Scholar : PubMed/NCBI

27 

Fu B, Song P, Lu M, Wang B and Zhao Q: The association between miR-146a gene rs2910164 polymorphism and gastric cancer risk: A meta-analysis. Biomed Pharmacother. 68:923–928. 2014. View Article : Google Scholar : PubMed/NCBI

28 

Cai M, Zhang Y, Ma Y, Li W, Min P, Qiu J, Xu W, Zhang M, Li M, Li L, et al: Association between microRNA-499 polymorphism and gastric cancer risk in Chinese population. Bull Cancer. 102:973–978. 2015. View Article : Google Scholar : PubMed/NCBI

29 

Laity JH, Lee BM and Wright PE: Zinc finger proteins: New insights into structural and functional diversity. Curr Opin Struct Biol. 11:39–46. 2001. View Article : Google Scholar : PubMed/NCBI

30 

Cohen PA, Donini CF, Nguyen NT, Lincet H and Vendrell JA: The dark side of ZNF217, a key regulator of tumorigenesis with powerful biomarker value. Oncotarget. 6:41566–41581. 2015. View Article : Google Scholar : PubMed/NCBI

31 

Ravasi T, Suzuki H, Cannistraci CV, Katayama S, Bajic VB, Tan K, Akalin A, Schmeier S, Kanamori-Katayama M, Bertin N, et al: An atlas of combinatorial transcriptional regulation in mouse and man. Cell. 140:744–752. 2010. View Article : Google Scholar : PubMed/NCBI

Related Articles

  • Abstract
  • View
  • Download
  • Twitter
Copy and paste a formatted citation
Spandidos Publications style
Li W, Zhang H, Min P, Zhu J, Xu D, Jiang W, Ma Y, Qiu J, Xu W, Chen J, Chen J, et al: Downregulated miRNA‑1269a variant (rs73239138) decreases the susceptibility to gastric cancer via targeting ZNF70. Oncol Lett 14: 6345-6354, 2017.
APA
Li, W., Zhang, H., Min, P., Zhu, J., Xu, D., Jiang, W. ... Liu, J. (2017). Downregulated miRNA‑1269a variant (rs73239138) decreases the susceptibility to gastric cancer via targeting ZNF70. Oncology Letters, 14, 6345-6354. https://doi.org/10.3892/ol.2017.7091
MLA
Li, W., Zhang, H., Min, P., Zhu, J., Xu, D., Jiang, W., Ma, Y., Qiu, J., Xu, W., Chen, J., Zhang, M., Li, M., Yang, D., Shi, J., Zhang, J., Liu, J."Downregulated miRNA‑1269a variant (rs73239138) decreases the susceptibility to gastric cancer via targeting ZNF70". Oncology Letters 14.6 (2017): 6345-6354.
Chicago
Li, W., Zhang, H., Min, P., Zhu, J., Xu, D., Jiang, W., Ma, Y., Qiu, J., Xu, W., Chen, J., Zhang, M., Li, M., Yang, D., Shi, J., Zhang, J., Liu, J."Downregulated miRNA‑1269a variant (rs73239138) decreases the susceptibility to gastric cancer via targeting ZNF70". Oncology Letters 14, no. 6 (2017): 6345-6354. https://doi.org/10.3892/ol.2017.7091
Copy and paste a formatted citation
x
Spandidos Publications style
Li W, Zhang H, Min P, Zhu J, Xu D, Jiang W, Ma Y, Qiu J, Xu W, Chen J, Chen J, et al: Downregulated miRNA‑1269a variant (rs73239138) decreases the susceptibility to gastric cancer via targeting ZNF70. Oncol Lett 14: 6345-6354, 2017.
APA
Li, W., Zhang, H., Min, P., Zhu, J., Xu, D., Jiang, W. ... Liu, J. (2017). Downregulated miRNA‑1269a variant (rs73239138) decreases the susceptibility to gastric cancer via targeting ZNF70. Oncology Letters, 14, 6345-6354. https://doi.org/10.3892/ol.2017.7091
MLA
Li, W., Zhang, H., Min, P., Zhu, J., Xu, D., Jiang, W., Ma, Y., Qiu, J., Xu, W., Chen, J., Zhang, M., Li, M., Yang, D., Shi, J., Zhang, J., Liu, J."Downregulated miRNA‑1269a variant (rs73239138) decreases the susceptibility to gastric cancer via targeting ZNF70". Oncology Letters 14.6 (2017): 6345-6354.
Chicago
Li, W., Zhang, H., Min, P., Zhu, J., Xu, D., Jiang, W., Ma, Y., Qiu, J., Xu, W., Chen, J., Zhang, M., Li, M., Yang, D., Shi, J., Zhang, J., Liu, J."Downregulated miRNA‑1269a variant (rs73239138) decreases the susceptibility to gastric cancer via targeting ZNF70". Oncology Letters 14, no. 6 (2017): 6345-6354. https://doi.org/10.3892/ol.2017.7091
Follow us
  • Twitter
  • LinkedIn
  • Facebook
About
  • Spandidos Publications
  • Careers
  • Cookie Policy
  • Privacy Policy
How can we help?
  • Help
  • Live Chat
  • Contact
  • Email to our Support Team