Spandidos Publications Logo
  • About
    • About Spandidos
    • Aims and Scopes
    • Abstracting and Indexing
    • Editorial Policies
    • Reprints and Permissions
    • Job Opportunities
    • Terms and Conditions
    • Contact
  • Journals
    • All Journals
    • Oncology Letters
      • Oncology Letters
      • Information for Authors
      • Editorial Policies
      • Editorial Board
      • Aims and Scope
      • Abstracting and Indexing
      • Bibliographic Information
      • Archive
    • International Journal of Oncology
      • International Journal of Oncology
      • Information for Authors
      • Editorial Policies
      • Editorial Board
      • Aims and Scope
      • Abstracting and Indexing
      • Bibliographic Information
      • Archive
    • Molecular and Clinical Oncology
      • Molecular and Clinical Oncology
      • Information for Authors
      • Editorial Policies
      • Editorial Board
      • Aims and Scope
      • Abstracting and Indexing
      • Bibliographic Information
      • Archive
    • Experimental and Therapeutic Medicine
      • Experimental and Therapeutic Medicine
      • Information for Authors
      • Editorial Policies
      • Editorial Board
      • Aims and Scope
      • Abstracting and Indexing
      • Bibliographic Information
      • Archive
    • International Journal of Molecular Medicine
      • International Journal of Molecular Medicine
      • Information for Authors
      • Editorial Policies
      • Editorial Board
      • Aims and Scope
      • Abstracting and Indexing
      • Bibliographic Information
      • Archive
    • Biomedical Reports
      • Biomedical Reports
      • Information for Authors
      • Editorial Policies
      • Editorial Board
      • Aims and Scope
      • Abstracting and Indexing
      • Bibliographic Information
      • Archive
    • Oncology Reports
      • Oncology Reports
      • Information for Authors
      • Editorial Policies
      • Editorial Board
      • Aims and Scope
      • Abstracting and Indexing
      • Bibliographic Information
      • Archive
    • Molecular Medicine Reports
      • Molecular Medicine Reports
      • Information for Authors
      • Editorial Policies
      • Editorial Board
      • Aims and Scope
      • Abstracting and Indexing
      • Bibliographic Information
      • Archive
    • World Academy of Sciences Journal
      • World Academy of Sciences Journal
      • Information for Authors
      • Editorial Policies
      • Editorial Board
      • Aims and Scope
      • Abstracting and Indexing
      • Bibliographic Information
      • Archive
    • International Journal of Functional Nutrition
      • International Journal of Functional Nutrition
      • Information for Authors
      • Editorial Policies
      • Editorial Board
      • Aims and Scope
      • Abstracting and Indexing
      • Bibliographic Information
      • Archive
    • International Journal of Epigenetics
      • International Journal of Epigenetics
      • Information for Authors
      • Editorial Policies
      • Editorial Board
      • Aims and Scope
      • Abstracting and Indexing
      • Bibliographic Information
      • Archive
    • Medicine International
      • Medicine International
      • Information for Authors
      • Editorial Policies
      • Editorial Board
      • Aims and Scope
      • Abstracting and Indexing
      • Bibliographic Information
      • Archive
  • Articles
  • Information
    • Information for Authors
    • Information for Reviewers
    • Information for Librarians
    • Information for Advertisers
    • Conferences
  • Language Editing
Spandidos Publications Logo
  • About
    • About Spandidos
    • Aims and Scopes
    • Abstracting and Indexing
    • Editorial Policies
    • Reprints and Permissions
    • Job Opportunities
    • Terms and Conditions
    • Contact
  • Journals
    • All Journals
    • Biomedical Reports
      • Information for Authors
      • Editorial Policies
      • Editorial Board
      • Aims and Scope
      • Abstracting and Indexing
      • Bibliographic Information
      • Archive
    • Experimental and Therapeutic Medicine
      • Information for Authors
      • Editorial Policies
      • Editorial Board
      • Aims and Scope
      • Abstracting and Indexing
      • Bibliographic Information
      • Archive
    • International Journal of Epigenetics
      • Information for Authors
      • Editorial Policies
      • Editorial Board
      • Aims and Scope
      • Abstracting and Indexing
      • Bibliographic Information
      • Archive
    • International Journal of Functional Nutrition
      • Information for Authors
      • Editorial Policies
      • Editorial Board
      • Aims and Scope
      • Abstracting and Indexing
      • Bibliographic Information
      • Archive
    • International Journal of Molecular Medicine
      • Information for Authors
      • Editorial Policies
      • Editorial Board
      • Aims and Scope
      • Abstracting and Indexing
      • Bibliographic Information
      • Archive
    • International Journal of Oncology
      • Information for Authors
      • Editorial Policies
      • Editorial Board
      • Aims and Scope
      • Abstracting and Indexing
      • Bibliographic Information
      • Archive
    • Medicine International
      • Information for Authors
      • Editorial Policies
      • Editorial Board
      • Aims and Scope
      • Abstracting and Indexing
      • Bibliographic Information
      • Archive
    • Molecular and Clinical Oncology
      • Information for Authors
      • Editorial Policies
      • Editorial Board
      • Aims and Scope
      • Abstracting and Indexing
      • Bibliographic Information
      • Archive
    • Molecular Medicine Reports
      • Information for Authors
      • Editorial Policies
      • Editorial Board
      • Aims and Scope
      • Abstracting and Indexing
      • Bibliographic Information
      • Archive
    • Oncology Letters
      • Information for Authors
      • Editorial Policies
      • Editorial Board
      • Aims and Scope
      • Abstracting and Indexing
      • Bibliographic Information
      • Archive
    • Oncology Reports
      • Information for Authors
      • Editorial Policies
      • Editorial Board
      • Aims and Scope
      • Abstracting and Indexing
      • Bibliographic Information
      • Archive
    • World Academy of Sciences Journal
      • Information for Authors
      • Editorial Policies
      • Editorial Board
      • Aims and Scope
      • Abstracting and Indexing
      • Bibliographic Information
      • Archive
  • Articles
  • Information
    • For Authors
    • For Reviewers
    • For Librarians
    • For Advertisers
    • Conferences
  • Language Editing
Login Register Submit
  • This site uses cookies
  • You can change your cookie settings at any time by following the instructions in our Cookie Policy. To find out more, you may read our Privacy Policy.

    I agree
Search articles by DOI, keyword, author or affiliation
Search
Advanced Search
presentation
Oncology Letters
Join Editorial Board Propose a Special Issue
Print ISSN: 1792-1074 Online ISSN: 1792-1082
Journal Cover
February-2019 Volume 17 Issue 2

Full Size Image

Sign up for eToc alerts
Recommend to Library

Journals

International Journal of Molecular Medicine

International Journal of Molecular Medicine

International Journal of Molecular Medicine is an international journal devoted to molecular mechanisms of human disease.

International Journal of Oncology

International Journal of Oncology

International Journal of Oncology is an international journal devoted to oncology research and cancer treatment.

Molecular Medicine Reports

Molecular Medicine Reports

Covers molecular medicine topics such as pharmacology, pathology, genetics, neuroscience, infectious diseases, molecular cardiology, and molecular surgery.

Oncology Reports

Oncology Reports

Oncology Reports is an international journal devoted to fundamental and applied research in Oncology.

Experimental and Therapeutic Medicine

Experimental and Therapeutic Medicine

Experimental and Therapeutic Medicine is an international journal devoted to laboratory and clinical medicine.

Oncology Letters

Oncology Letters

Oncology Letters is an international journal devoted to Experimental and Clinical Oncology.

Biomedical Reports

Biomedical Reports

Explores a wide range of biological and medical fields, including pharmacology, genetics, microbiology, neuroscience, and molecular cardiology.

Molecular and Clinical Oncology

Molecular and Clinical Oncology

International journal addressing all aspects of oncology research, from tumorigenesis and oncogenes to chemotherapy and metastasis.

World Academy of Sciences Journal

World Academy of Sciences Journal

Multidisciplinary open-access journal spanning biochemistry, genetics, neuroscience, environmental health, and synthetic biology.

International Journal of Functional Nutrition

International Journal of Functional Nutrition

Open-access journal combining biochemistry, pharmacology, immunology, and genetics to advance health through functional nutrition.

International Journal of Epigenetics

International Journal of Epigenetics

Publishes open-access research on using epigenetics to advance understanding and treatment of human disease.

Medicine International

Medicine International

An International Open Access Journal Devoted to General Medicine.

Journal Cover
February-2019 Volume 17 Issue 2

Full Size Image

Sign up for eToc alerts
Recommend to Library

  • Article
  • Citations
    • Cite This Article
    • Download Citation
    • Create Citation Alert
    • Remove Citation Alert
    • Cited By
  • Similar Articles
    • Related Articles (in Spandidos Publications)
    • Similar Articles (Google Scholar)
    • Similar Articles (PubMed)
  • Download PDF
  • Download XML
  • View XML
Article

Pemetrexed exerts anticancer effects by inducing G0/G1‑phase cell cycle arrest and activating the NOXA/Mcl‑1 axis in human esophageal squamous cell carcinoma cells

  • Authors:
    • Xinying Li
    • Hongxia Song
    • Feng Kong
    • Yanxia Guo
    • Yuan Chen
    • Lu Zhang
    • Dongfang Gao
    • Xiaofei Zhao
    • Han Zhang
  • View Affiliations / Copyright

    Affiliations: Department of Ophthalmology, Second Hospital of Shandong University, Jinan, Shandong 250033, P.R. China, Department of Ozone Treatment, Jinan Infectious Disease Hospital, Jinan, Shandong 250021, P.R. China, Department of Central Research Laboratory, Second Hospital of Shandong University, Jinan, Shandong 250033, P.R. China
  • Pages: 1851-1858
    |
    Published online on: November 23, 2018
       https://doi.org/10.3892/ol.2018.9753
  • Expand metrics +
Metrics: Total Views: 0 (Spandidos Publications: | PMC Statistics: )
Metrics: Total PDF Downloads: 0 (Spandidos Publications: | PMC Statistics: )
Cited By (CrossRef): 0 citations Loading Articles...

This article is mentioned in:



Abstract

Esophageal squamous cell carcinoma (ESCC) is a dominant histological subtype of esophageal cancer with notably high incidence and mortality rates. Pemetrexed is a clinical antifolate therapeutic agent with anticancer properties. The present study aimed to understand whether pemetrexed is able to exert anticancer effects on ESCC cells, and to determine the underlying molecular mechanism. ESCC cells were treated with pemetrexed and cell survival was assessed with MTT assays. The cell cycle and apoptosis were evaluated using flow cytometry analysis, and proteins were detected using western blotting. It was demonstrated that pemetrexed inhibited cell survival and induced G0/G1 cell cycle arrest and apoptosis in human ESCC cells. Furthermore, the results demonstrated that the phorbol‑12‑myristate‑13‑acetate‑induced protein 1/induced myeloid leukemia cell differentiation protein Mcl‑1 axis is involved in intrinsic apoptosis induced by pemetrexed. The protein expression of endoplasmic reticulum stress markers inositol‑requiring enzyme 1α, binding immunoglobulin protein and CCAAT‑enhancer‑binding protein homologous protein were upregulated following treatment with pemetrexed. These results suggest that pemetrexed may induce an endoplasmic reticulum stress response while activating intrinsic apoptosis. The present study provided important mechanistic insights into potential cancer treatments involving pemetrexed and enhanced the understanding of human ESCC.

Introduction

Esophageal cancer, which consists of two principal subtypes, adenocarcinoma and esophageal squamous cell carcinoma (ESCC), is the sixth leading cause of cancer-associated mortality worldwide (1). Compared with adenocarcinoma, ESCC is more common in East Asia, and ~50% of ESCC cases occur in China (2–4). Due to the rapid progression and high malignancy, the prognosis of patients with ESCC remains poor (5).

Chemotherapy is the most common treatment for cancer (1). Unfortunately, the majority of chemotherapeutic drugs have a limited effect on ESCC due to side effects and drug resistance (6). Thus, there is an urgent need to develop safe, efficacious agents with limited harmful effects for the treatment of ESCC.

Pemetrexed is a novel multi-targeted antifolate that targets a number of crucial enzymes involved in folate metabolism (7). Recent studies have reported that pemetrexed is also able to act as an antitumor drug, and its cytotoxicity has been demonstrated in advanced non-small cell lung cancer and malignant pleural mesothelioma (8,9). However, the effects of pemetrexed on human esophageal cancer and the possible mechanisms of such effects remain to be elucidated. Determining whether pemetrexed exhibits anticancer effects on ESCC cells and understanding the underlying molecular mechanism are important for developing better chemotherapeutics for ESCC.

Cell cycle arrest and apoptosis induced by cytotoxic agents are critical in cancer treatment (10,11). The intrinsic mitochondrial pathway is an important signaling cascade associated with apoptosis. Members of the apoptosis regulator Bcl-2 (Bcl-2) family serve crucial roles in the regulation of apoptotic processes in various cancer cells (12). Phorbol-12-myristate-13-acetate-induced protein 1 (NOXA), a crucial pro-apoptotic protein in the Bcl-2 family, has been reported to be involved in chemotherapeutic agent-induced apoptosis (13). NOXA is able to interact with the anti-apoptotic Bcl-2 protein induced myeloid leukemia cell differentiation protein Mcl-1 (Mcl-1), interfering with the polymerization of apoptosis regulator BAX and Bcl-2 homologous antagonist/killer to trigger the mitochondrial apoptosis pathway (14). The combination of NOXA and Mcl-1 may also facilitate the proteasomal degradation of Mcl-1 and thereby strengthen intrinsic apoptosis (15).

Previous studies have demonstrated that the activation of the intrinsic mitochondrial apoptosis pathway is associated with persistent endoplasmic reticulum (ER) stress (16). Once inositol-requiring enzyme 1α (IRE1α) and other ER sensors are released from binding immunoglobulin protein (Bip), downstream effectors, including CCAAT-enhancer-binding protein homologous protein (CHOP) may trigger pro-apoptotic signals by targeting numerous apoptotic genes (17,18). However, whether the intrinsic mitochondrial apoptosis pathway and ER stress are active following treatment with pemetrexed in human ESCC cells remains unknown.

The present study investigated whether pemetrexed exerted anticancer effects on ESCC cells. The role of the cell cycle and the NOXA/Mcl-1 axis in the regulation of this effect was also studied. The present study revealed the therapeutic potential of pemetrexed for ESCC and enriched the understanding of this cancer type.

Materials and methods

Antibodies and reagents

Pemetrexed (cat no. CDS024404), was purchased from Sigma-Aldrich; Merck KGaA (Darmstadt, Germany), and was dissolved in dimethyl sulfoxide (DMSO; Sigma-Aldrich; Merck KGaA) at a concentration of 10 mmol/l (19). The stock solutions were stored at −20°C and diluted to the desired concentrations with growth medium prior to use. All the antibodies were previously described (13). Antibodies targeting caspase (casp)8 (cat no. 9746; 1:1,000 dilution), casp9 (cat no. 9502; 1:1,000 dilution), poly(ADP-ribose) polymerase (PARP; cat no. 9542; 1:1,000 dilution), IRE1α (cat no. 3294; 1:2,000 dilution) and Bip (cat no. 3183; 1:1,000 dilution) were obtained from Cell Signaling Technology, Inc. (Danvers, MA, USA). Antibodies targeting casp3 (cat no. NB100-56708; 1:1,000 dilution) and NOXA (cat no. OP180; 1:500 dilution) were purchased from Imgenex (Novus Biologicals, LLC, Littleton, CO, USA) and Calbiochem; Merck KGaA, respectively. Anti-actin antibody (cat no. A5441; 1:20,000 dilution) was obtained from Sigma-Aldrich; Merck KGaA. Antibodies against CHOP (cat no. sc-7351; 1:100 dilution) and Mcl-1 (cat no. sc-12756; 1:1,000 dilution) were purchased from Santa Cruz Biotechnology, Inc. (Dallas, TX, USA).

Cell lines and cell culture

The human ESCC cell lines Eca-109 and EC9706 were obtained from the American Type Culture Collection (Manassas, VA, USA) and were grown in monolayer cultures at 37°C in a humidified atmosphere consisting of 5% CO2 and 95% air. The cells were cultured with RPMI-1640 medium containing 5% fetal bovine serum (both Gibco; Thermo Fisher Scientific Inc., Waltham, MA, USA).

Cell treatment and MTT assay

A total of 7×104 cells were seeded in 96-well microtiter plates and treated with 0, 0.625, 1.25, 2.5, 5 and 10 µM pemetrexed on the 2nd day. Following culturing with chemotherapeutics for 24, 36 or 48 h, cells were subjected to the MTT assay. Each sample was incubated with 20 µl (5 mg/ml) MTT (Sigma-Aldrich; Merck KGaA) at 37°C for 4 h. Following incubation, the solution was discarded and 100 µl DMSO was added. Cell viability was determined by measuring the absorbance at 495 nm using an ELISA Multiskan reader (Thermo Fisher Scientific, Inc.).

Cell cycle analysis

The cell cycle was evaluated through DNA flow cytometry analysis. Overall, 2×105 cells were seeded in six-well plates and treated with different concentrations of pemetrexed (0, 2.5, 5 and 10 µM) for 24 h. Following treatment, cells were harvested and washed twice with ice-cold PBS and fixed in 70% ethanol at −20°C overnight. Prior to analysis, cells were washed with ice-cold PBS and incubated at 4°C with 5 µl propidium iodide (PI; 100 µg/ml) and 5 µl RNase (50 µg/ml; both Beijing Solarbio Science & Technology Co., Ltd., Beijing, China) for 30 min in the dark. The samples were analyzed using a FACScan flow cytometer and the BD FACSuite™ flow cytometry software (version 1.0.5; both BD Biosciences, San Jose, CA, USA). Data analysis was performed using FlowJo software (version 7.2.2; Tree Star, Inc. San Carlos, CA, USA) (13).

Apoptosis analysis

Apoptosis was evaluated according to a previously described protocol (13). The Annexin V-fluorescein isothiocyanate (FITC)/PI apoptosis detection kit was purchased from Nanjing Biobox Biotech (Nanjing, China). Following treatment with different concentrations of pemetrexed (0, 2.5, 5 and 10 µM) for 36 h, 2×106 cells were harvested, washed with pre-chilled PBS and resuspended in 500 µl binding buffer. A total of 5 µl each of Annexin V-FITC and PI were added to each sample, and the samples were incubated for 10 min in the dark at room temperature. Analysis was performed by flow cytometry with the aforementioned flow cytometer and software.

Western blot analysis

Whole-cell protein lysates were prepared and analyzed by western blotting according to a previously described protocol (13). Cells were treated with different concentrations of pemetrexed (0, 2.5, 5 and 10 µM) for 36 h, harvested and rinsed with pre-chilled PBS. Cell extracts were lysed and centrifuged at 12,000 × g for 15 min at 4°C, and the protein concentration was determined via the bicinchoninic acid assay. Whole-cell protein lysates (40 µg) were separated by SDS-PAGE on a 12% gel and transferred to Hybond-enhanced chemiluminescence (ECL) membranes via electroblotting. Following blocking with 5% skimmed milk at room temperature for 1 h, the proteins were first probed with the appropriate primary antibodies at 4°C overnight followed by secondary goat anti-rabbit/mouse monoclonal antibodies (cat nos. SA00001-1 and SA00001-2; 1:8,000 dilution; ProteinTech Group, Inc., Chicago, IL, USA). Antibody binding was detected using an ECL system (EMD Millipore, Billerica, MA, USA), according to the manufacturer's protocol. The expression levels of the proteins were quantified using ImageJ software (version 1.6.0_24; National Institute of Health, Bethesda, MD, USA).

Statistical analysis

SPSS statistical software (version 20.0; IBM Corp., Armonk, NY, USA) was used for all statistical analyses. The data obtained represent the mean ± standard deviation of at least three independent assays performed in duplicate or triplicate. A one-way analysis of variance followed by a Least Significant Difference post hoc test was performed for testing for all data. P<0.05 was considered to indicate a statistically significant difference.

Results

Pemetrexed inhibits the survival of human ESCC cells

The cytotoxicity of pemetrexed in ESCC cells was analyzed by treating Eca-109 and EC9706 cells with various concentrations of pemetrexed for various times and performing an MTT assay. The results demonstrated that pemetrexed may induce survival inhibition in human ESCC cells. When the exposure time was prolonged, the inhibitory effect was enhanced in Eca-109 and EC9706 cells (Fig. 1). These results suggested that pemetrexed may effectively suppress the survival of human ESCC cells.

Figure 1.

Pemetrexed inhibits the survival of human esophageal squamous cell carcinoma cells. (A) Eca-109 and (B) EC9706 cells were treated with 0, 0.625, 1.25, 2.5, 5 or 10 µM pemetrexed and incubated for the indicated times. Cell survival was estimated using the MTT assay. The survival rate of each drug concentration was compared with that of the control group and analyzed using SPSS software. All data are presented as the mean ± standard deviation. ***P<0.001. PEM, pemetrexed.

Pemetrexed induces G0/G1 cell cycle arrest in ESCC cells

To determine the molecular mechanism by which pemetrexed induced survival inhibition in human ESCC cells, the ability of the agent to induce cell cycle arrest was analyzed by DNA flow cytometry analysis. The results demonstrated that cell cycle arrest was induced in a concentration-dependent manner; over the range of drug treatments (0–10 µM), the frequency of G1 cells increased from 57.63 to 80.34% in Eca-109 cells (Fig. 2A). Similar results were reported in EC9706 cells, in which the frequency of G1 cells increased from 45.94 to 65.05% (Fig. 2B). These results indicated that exposure to pemetrexed may trigger G0/G1 cell cycle arrest in human ESCC cells.

Figure 2.

Pemetrexed induces G0/G1 cell cycle arrest in human esophageal squamous cell carcinoma cells. (A) Eca-109 and (B) EC9706 cells were treated with 0, 2.5, 5 or 10 µM pemetrexed and incubated for 24 h. Following treatment, the cells were harvested for cell cycle assays. The frequency of G1-phase cells was quantified using FlowJo software and analyzed using SPSS. All data are presented as the mean ± standard deviation. **P<0.01, ***P<0.001. PI, propidium iodide; PEM, pemetrexed; RMS, root mean square.

Pemetrexed induces apoptosis in human ESCC cells

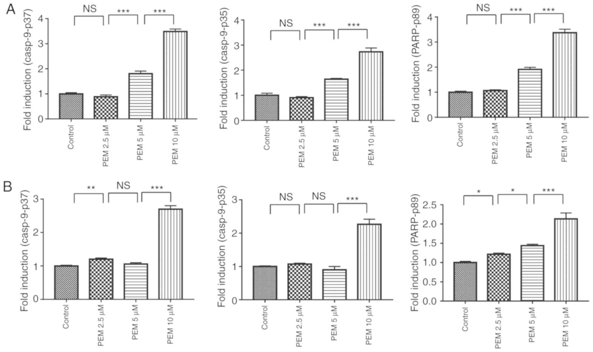
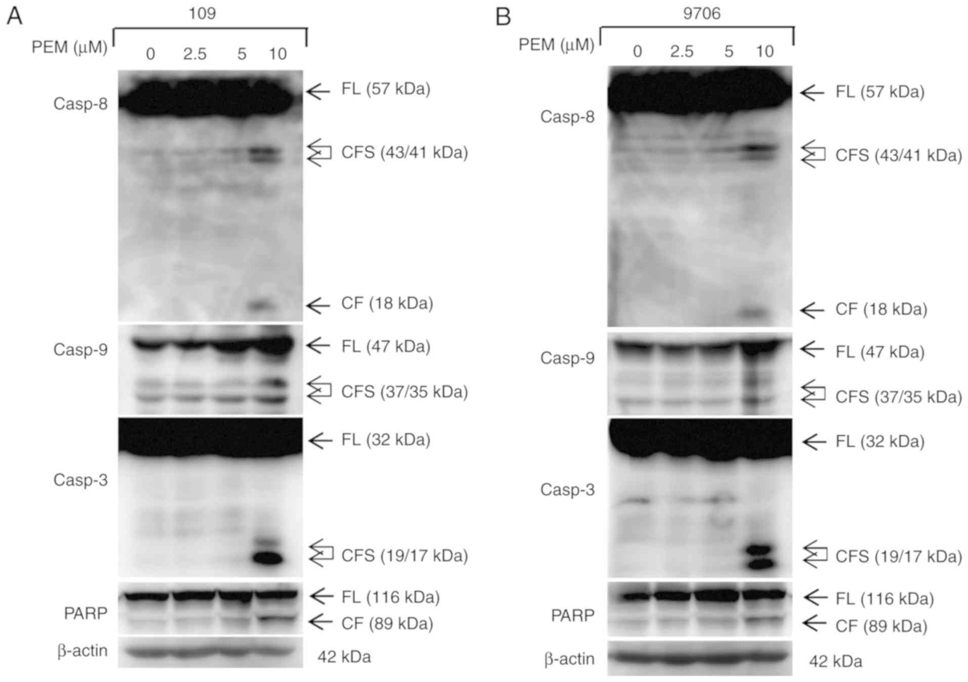
The present study also sought to determine whether apoptosis was involved in the inhibition of survival induced by pemetrexed. Therefore, an apoptosis assay was performed via Annexin V/PI staining. The resulting data revealed that pemetrexed induced apoptosis in a concentration-dependent manner in Eca-109 and EC9706 cells (Fig. 3). When treated with pemetrexed (0–10 µM), the frequency of apoptosis was increased from 4.317 to 32.43% in Eca-109 cells and 9.795 to 43.48% in EC9706 cells. Furthermore, the expression levels of apoptotic proteins were detected via western blot analysis. The data demonstrated that pemetrexed induced cleavage and activation of the apoptotic proteins casp8, casp9, casp3 and PARP in a concentration-dependent manner in human ESCC cells (Figs. 4 and 5). These results indicated that exposure to pemetrexed may trigger apoptosis. In conclusion, pemetrexed triggers G0/G1 cell cycle arrest and apoptosis in human ESCC cells.

Figure 3.

Pemetrexed induces apoptosis in human esophageal squamous cell carcinoma cells. (A) Eca-109 and (B) EC9706 cells were treated with 0, 2.5, 5 or 10 µM pemetrexed and incubated for 36 h. Following treatment, the cells were harvested for apoptosis assays. The percentage of apoptotic cells was quantified using FlowJo software and analyzed using SPSS software. All data are presented as the mean ± standard deviation. *P<0.05, **P<0.01, ***P<0.001. Q1: (Annexin V− FITC)−/PI+, necrotic cells. Q2: (Annexin V−FITC)+/PI+, late apoptotic cells. Q3: (Annexin V− FITC)+/PI−, early apoptotic cells. Q4: (Annexin V− FITC)−/PI−, normal control cells. PI, propidium iodide; FITC, fluorescein isothiocyanate; PEM, pemetrexed.

Figure 4.

Pemetrexed activates a caspase cascade reaction in human esophageal squamous cell carcinoma cells. (A) Eca-109 and (B) EC9706 cells were treated with 0, 2.5, 5 or 10 µM pemetrexed and incubated for 36 h. Following treatment, whole-cell protein lysates (40 µg) were examined via western blot analysis. FL, full-length; CF, cleaved form; PEM, pemetrexed; PARP, poly(ADP-ribose) polymerase; Casp, caspase.

Figure 5.

Pemetrexed activates casp9 and PARP in human esophageal squamous cell carcinoma cells. (A) Eca-109 and (B) EC9706 cells were treated with 0, 2.5, 5 or 10 µM pemetrexed and incubated for 36 h. Following treatment, the protein levels of the cells were measured via western blot analysis. All data are presented as the mean ± standard deviation. *P<0.05, **P<0.01, ***P<0.001. Casp, caspase; PARP, poly(ADP-ribose) polymerase; NS, not significant.

Involvement of the NOXA/Mcl-1 axis in pemetrexed-induced apoptosis

The NOXA/Mcl-1 axis has been reported to be involved in chemotherapeutically-induced apoptosis in numerous types of tumor cells (12,13). To characterize the molecular mechanism of pemetrexed-induced apoptosis in human ESCC cells, the expression levels of proteins following treatment with pemetrexed were analyzed. Western blot analysis revealed that the expression of NOXA was upregulated in a concentration-dependent manner following treatment with pemetrexed. By contrast, the expression levels of Mcl-1 decreased (Fig. 6A and B). These results indicated that the NOXA/Mcl-1 axis may be involved in pemetrexed-induced apoptosis in human ESCC cells. The expression level of Bcl-2, which is another member of the Bcl-2 family, was also detected and the western blotting results demonstrated that Bcl-2 was downregulated following treatment with pemetrexed (Fig. 6C and D). In summary, pemetrexed may induce mitochondrial apoptosis in human ESCC cells.

Figure 6.

Involvement of the NOXA/MCL-1 axis in pemetrexed-induced apoptosis. (A and C) Eca-109 and (B and D) EC9706 cells were treated with 0, 2.5, 5 or 10 µM pemetrexed and incubated for 36 h. Following treatment, NOXA and Mcl-1 expression was quantified via western blot analysis. All data are presented as the mean ± standard deviation. *P<0.05, **P<0.01, ***P<0.001. PEM, pemetrexed; NOXA, phorbol-12-myristate-13-acetate-induced protein 1; Mcl-1, induced myeloid leukemia cell differentiation protein Mcl-1; Bcl-2, apoptosis regulator Bcl-2; NS, not significant.

Pemetrexed triggers ER stress in human ESCC cells

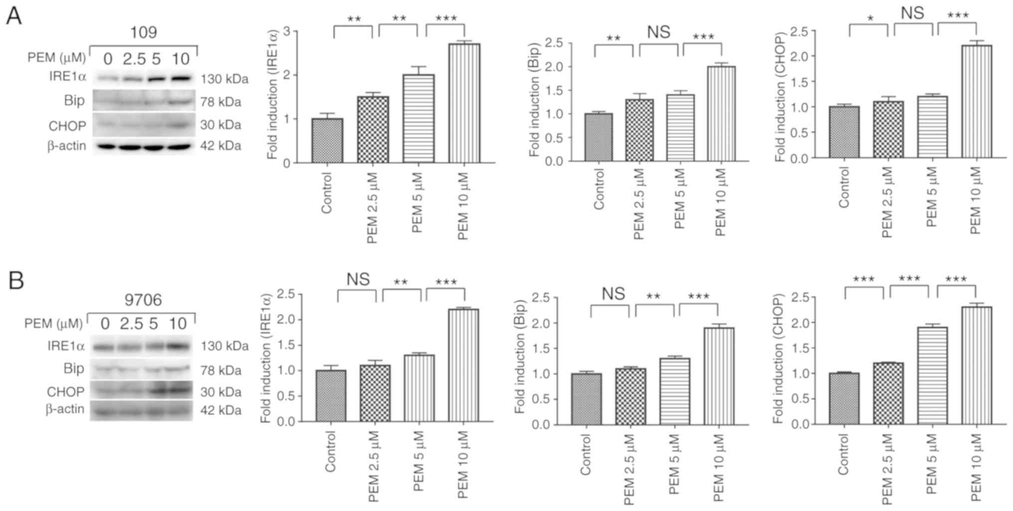
The ER response has been reported to be activated by chemotherapeutics while inducing apoptosis in cancer cells (12,20). To determine whether pemetrexed triggers ER stress in human ESCC cells, a number of relevant proteins in the ER stress pathway were examined. The results illustrated that the marker proteins IRE1α, Bip and CHOP were upregulated in a concentration-dependent manner following treatment with pemetrexed (Fig. 7). These results indicated that pemetrexed may trigger ER stress in human ESCC cells.

Figure 7.

Pemetrexed triggers endoplasmic reticulum stress in human esophageal squamous cell carcinoma cells. (A) Eca-109 and (B) EC9706 cells were treated with 0, 2.5, 5 or 10 µM pemetrexed and incubated for 36 h. Following treatment, the protein expression of IRE1α, Bip and CHOP was quantified via western blot analysis. All data are presented as the mean ± standard deviation, *P<0.05, **P<0.01, ***P<0.001. NS, not significant; PEM, pemetrexed; IRE1α, inositol-requiring enzyme 1α; CHOP, CCAAT-enhancer-binding protein homologous protein; Bip, binding immunoglobulin protein.

Discussion

Esophageal cancer is the third leading cause of cancer-associated mortality in China (21). The incidence and mortality rates of esophageal cancer in China have increased in recent years (21,22). ESCC is the predominant histological subtype of esophageal cancer. Due to its high malignancy and the inadequate efficacy of conventional therapy, ESCC frequently has an unfavorable prognosis (23,24). Thus, the development of effective novel agents and treatments is of the utmost importance.

Pemetrexed is a clinically available multi-target antifolate cytotoxic agent (19). It is able to inhibit the synthesis of purine and pyrimidine by blocking dihydrofolate reductase, thymidylate synthase and glycinamide ribonucleotide formyltransferase (25). Recently, pemetrexed has been reported to exhibit antitumor effects in various solid tumors (19,25). The present study aimed to determine whether pemetrexed was able to exert anticancer effects in ESCC and to elucidate the underlying molecular mechanism.

In the present study, the cytotoxicity of pemetrexed against ESCC cells was analyzed, and it was reported that pemetrexed displayed a time-dependent inhibitory effect on the survival of ESCC cells. Subsequently, it was demonstrated that pemetrexed induced G0/G1-phase cell cycle arrest and apoptosis in a concentration-dependent manner in human ESCC cells. These results indicated that pemetrexed may exert anticancer effects by inducing G0/G1-phase cell cycle arrest and apoptosis in human ESCC cells. It has also been demonstrated that pemetrexed combined with cisplatin displays an effective synergistic effect in a wide variety of solid tumors (12,26,27). However, how this combination may exert a beneficial synergistic effect in human ESCC cells, and the underlying molecular mechanism, requires further research.

The results of the present study revealed that necrosis was also increased following treatment with pemetrexed. Cell death occurs via necrosis in addition to apoptosis. Research has reported that cell apoptosis and necrosis may be led by ER stress and mitochondrial membrane permeability (28,29). In the present study, persistent ER stress and increasing mitochondrial membrane permeability may be involved in the induction of necrosis. The molecular mechanism and effect of necrosis in pemetrexed-induced survival inhibition requires further investigation.

To understand the underlying molecular mechanism by which pemetrexed induces apoptosis in human ESCC cells, the expression levels of apoptosis-associated proteins were analyzed. NOXA and Mcl-1 are key proteins in intrinsic mitochondrial apoptosis. It was reported that the expression levels of the pro-apoptotic protein NOXA was upregulated in a concentration-dependent manner following treatment with pemetrexed, while the expression levels of the anti-apoptotic protein Mcl-1 decreased. The results indicated that pemetrexed may induce intrinsic mitochondrial apoptosis via the NOXA/Mcl-1 axis in human ESCC cells. The expression levels of Bcl-2 were also measured and the western blotting results demonstrated that Bcl-2 was downregulated following treatment with pemetrexed. In summary, pemetrexed may induce mitochondrial apoptosis in human ESCC cells. In addition to intrinsic mitochondrial apoptosis, extrinsic death receptor apoptosis is another key apoptotic signaling pathway. However, further research is required to determine whether pemetrexed induces extrinsic death receptor apoptosis in human ESCC cells.

A number of chemotherapeutics activate an ER response while inducing apoptosis in cancer cells (12,20). To determine whether pemetrexed triggers ER stress in human ESCC cells, a number of relevant proteins in the ER stress pathway were investigated. The results demonstrated that the marker proteins IRE1α, Bip and CHOP were upregulated in a concentration-dependent manner following treatment with pemetrexed, which indicates that pemetrexed triggers ER stress in human ESCC cells. Cyclic AMP-dependent transcription factor ATF-3 (ATF3) is also a key protein marker of ER stress (30). ATF3 has been reported to act as a suppressor of CHOP in a number of cancer types, whereas it may promote the expression of CHOP in others (31,32). Previous studies have reported that the expression of ATF3 is downregulated in certain ESCCs, and this decreased expression is negatively correlated with a poor prognosis in vivo, and with cell growth and invasion in vitro (33,34). However, further research is required to determine whether ATF3 is involved in pemetrexed-induced ER stress in human ESCC cells.

In conclusion, the results of the present study demonstrated that pemetrexed was able to inhibit cell survival and induce G0/G1-phase cell cycle arrest and apoptosis in human ESCC cells. The NOXA/Mcl-1 axis may be involved in intrinsic apoptosis induced by pemetrexed. Furthermore, pemetrexed induced an ER stress response while activating apoptosis. The present study provided important mechanistic insights into pemetrexed as a potential cancer treatment and enhanced the current understanding of human ESCC.

Acknowledgements

The authors would like to thank the staff of the Central Research Laboratory of the Second Hospital of Shandong University (Jinan, China) for their technical assistance and support.

Funding

The present study was supported by the Shandong Natural Science Foundation (grant no. ZR2016HP43) and the key research and development plan of Shandong Province (grant no. 2015GSF118037).

Availability of data and materials

All data generated or analyzed during this study are included in this article.

Authors' contributions

XZ and HZ participated in every step of the design project and in specific experiments. XL also participated in the design of this study and most of the experiments, and was the writer of this manuscript. HS helped in the experiments and modified the language of the manuscript. FK participated in the quantification of proteins and provided advice for the revision of the manuscript. YG cultured the cells for this study. YC, LZ and DG performed the statistical analysis. All authors read and approved the manuscript and agree to be accountable for all aspects of the research in ensuring that the accuracy or integrity of any part of the work are appropriately investigated and resolved.

Ethics approval and consent to participate

Not applicable.

Patient consent for publication

Not applicable.

Competing interests

The authors declare that they have no competing interests.

References

1 

Lagergren J and Lagergren P: Recent developments in esophageal adenocarcinoma. CA Cancer J Clin. 63:232–248. 2013. View Article : Google Scholar : PubMed/NCBI

2 

Yang P, Zhao J, Hou L, Yang L, Wu K and Zhang L: Vitamin E succinate induces apoptosis via the PI3K/AKT signaling pathways in EC109 esophageal cancer cells. Mol Med Rep. 14:1531–1537. 2016. View Article : Google Scholar : PubMed/NCBI

3 

Brown LM, Devesa SS and Chow WH: Incidence of adenocarcinoma of the esophagus among white Americans by sex, stage, and age. J Natl Cancer Inst. 100:1184–1187. 2008. View Article : Google Scholar : PubMed/NCBI

4 

He J, Zhou M, Chen X, Yue D, Yang L, Qin G, Zhang Z, Gao Q, Wang D, Zhang C, et al: Inhibition of SALL4 reduces tumorigenicity involving epithelial-mesenchymal transition via Wnt/β-catenin pathway in esophageal squamous cell carcinoma. J Exp Clin Cancer Res. 35:982016. View Article : Google Scholar : PubMed/NCBI

5 

Jemal A, Bray F, Center MM, Ferlay J, Ward E and Forman D: Global cancer statistics. CA Cancer J Clin. 61:69–90. 2011. View Article : Google Scholar : PubMed/NCBI

6 

Mariette C, Robb WB, Piessen G and Adenis A: Neoadjuvant chemoradiation in esophageal cancer. Lancet Oncol. 16:1008–1009. 2015. View Article : Google Scholar : PubMed/NCBI

7 

Seiwert TY, Connell PP, Mauer AM, Hoffman PC, George CM, Szeto L, Salgia R, Posther KE, Nguyen B, Haraf DJ and Vokes EE: A phase I study of pemetrexed, carboplatin, and concurrent radiotherapy in patients with locally advanced or metastatic non-small cell lung or esophageal cancer. Clin Cancer Res. 13:515–522. 2007. View Article : Google Scholar : PubMed/NCBI

8 

Raizer JJ, Rademaker A, Evens AM, Rice L, Schwartz M, Chandler JP, Getch CC, Tellez C and Grimm SA: Pemetrexed in the treatment of relapsed/refractory primary central nervous system lymphoma. Cancer. 118:3743–3748. 2012. View Article : Google Scholar : PubMed/NCBI

9 

Zhang JP, Lee EQ, Nayak L, Doherty L, Kesari S, Muzikansky A, Norden AD, Chen H, Wen PY and Drappatz J: Retrospective study of pemetrexed as salvage therapy for central nervous system lymphoma. J Neurooncol. 115:71–77. 2013. View Article : Google Scholar : PubMed/NCBI

10 

Feng Y, Yang Y, Fan C, Di S, Hu W, Jiang S, Li T, Ma Z, Chao D, Feng X, et al: Pterostilbene inhibits the growth of human esophageal cancer cells by regulating endoplasmic reticulum stress. Cell Physiol Biochem. 38:1226–1244. 2016. View Article : Google Scholar : PubMed/NCBI

11 

Guo YX, Lin ZM, Wang MJ, Dong YW, Niu HM, Young CY, Lou HX and Yuan HQ: Jungermannenone A and B induce ROS- and cell cycle-dependent apoptosis in prostate cancer cells in vitro. Acta Pharmacol Sin. 37:814–824. 2016. View Article : Google Scholar : PubMed/NCBI

12 

Zhao X, Kong F, Wang L and Zhang H: c-FLIP and the NOXA/Mcl-1 axis participate in the synergistic effect of pemetrexed plus cisplatin in human choroidal melanoma cells. PLoS One. 12:e01841352017. View Article : Google Scholar : PubMed/NCBI

13 

Zhao X, Liu X and Su L: Parthenolide induces apoptosis via TNFRSF10B and PMAIP1 pathways in human lung cancer cells. J Exp Clin Cancer Res. 33:32014. View Article : Google Scholar : PubMed/NCBI

14 

Liu X, Lv Z, Zou J, Liu X, Ma J, Wang J, Sa N, Jing P and Xu W: Afatinib down-regulates MCL-1 expression through the PERK-eIF2alpha-ATF4 axis and leads to apoptosis in head and neck squamous cell carcinoma. Am J Cancer Res. 6:1708–1719. 2016.PubMed/NCBI

15 

Hauck P, Chao BH, Litz J and Krystal GW: Alterations in the Noxa/Mcl-1 axis determine sensitivity of small cell lung cancer to the BH3 mimetic ABT-737. Mol Cancer Ther. 8:883–892. 2009. View Article : Google Scholar : PubMed/NCBI

16 

Wang H, Yang Y, Chen H, Dan J, Cheng J, Guo S, Sun X, Wang W, Ai Y, Li S, et al: The predominant pathway of apoptosis in THP-1 macrophage-derived foam cells induced by 5-aminolevulinic acid-mediated sonodynamic therapy is the mitochondria-caspase pathway despite the participation of endoplasmic reticulum stress. Cell Physiol Biochem. 33:1789–1801. 2014. View Article : Google Scholar : PubMed/NCBI

17 

Lee JH, Kwon EJ and Kim DH: Calumenin has a role in the alleviation of ER stress in neonatal rat cardiomyocytes. Biochem Biophys Res Commun. 439:327–332. 2013. View Article : Google Scholar : PubMed/NCBI

18 

Chow SE, Kao CH, Liu YT, Cheng ML, Yang YW, Huang YK, Hsu CC and Wang JS: Resveratrol induced ER expansion and ER caspase-mediated apoptosis in human nasopharyngeal carcinoma cells. Apoptosis. 19:527–541. 2014. View Article : Google Scholar : PubMed/NCBI

19 

Su L, Liu G, Hao X, Zhong N, Zhong D, Liu X and Singhal S: Death receptor 5 and cellular FLICE-inhibitory protein regulate pemetrexed-induced apoptosis in human lung cancer cells. Eur J Cancer. 47:2471–2478. 2011. View Article : Google Scholar : PubMed/NCBI

20 

Qin L, Wang Z, Tao L and Wang Y: ER stress negatively regulates AKT/TSC/mTOR pathway to enhance autophagy. Autophagy. 6:239–247. 2010. View Article : Google Scholar : PubMed/NCBI

21 

Zeng H, Zheng R, Zhang S, Zuo T, Xia C, Zou X and Chen W: Esophageal cancer statistics in China, 2011: Estimates based on 177 cancer registries. Thorac Cancer. 7:232–237. 2016. View Article : Google Scholar : PubMed/NCBI

22 

Chen W, Zheng R, Baade PD, Zhang S, Zeng H, Bray F, Jemal A, Yu XQ and He J: Cancer statistics in China, 2015. CA Cancer J Clin. 66:115–132. 2016. View Article : Google Scholar : PubMed/NCBI

23 

Quanjun D, Qingyu Z, Qiliang Z, Liqun X, Jinmei C, Ziquan L and Shike H: Effect and mechanism of PAR-2 on the proliferation of esophageal cancer cells. Eur Rev Med Pharmacol Sci. 20:4688–4696. 2016.PubMed/NCBI

24 

Ma YC, Ke Y, Zi X, Zhao F, Yuan L, Zhu YL, Fan XX, Zhao NM, Li QY, Qin YH and Liu HM: Induction of the mitochondria-mediated apoptosis in human esophageal cancer cells by DS2, a newly synthetic diterpenoid analog, is regulated by Bax and caused by generation of reactive oxygen species. Oncotarget. 7:86211–86224. 2016. View Article : Google Scholar : PubMed/NCBI

25 

Sun Y, Wang Y, Han S, Xing B, Li H, Zhu Y, Zhou S, Wang X, Xu J and Tao R: Efficacy and safety of pemetrexed on recurrent primary central nervous system lymphomas in China: A prospective study. Onco Targets Ther. 10:2595–2600. 2017. View Article : Google Scholar : PubMed/NCBI

26 

Bolukbas S, Manegold C, Eberlein M, Bergmann T, Fisseler-Eckhoff A and Schirren J: Survival after trimodality therapy for malignant pleural mesothelioma: Radical Pleurectomy, chemotherapy with Cisplatin/Pemetrexed and radiotherapy. Lung Cancer. 71:75–81. 2011. View Article : Google Scholar : PubMed/NCBI

27 

Yang JC, Hirsh V, Schuler M, Yamamoto N, O'Byrne KJ, Mok TS, Zazulina V, Shahidi M, Lungershausen J, Massey D, et al: Symptom control and quality of life in LUX-Lung 3: A phase III study of afatinib or cisplatin/pemetrexed in patients with advanced lung adenocarcinoma with EGFR mutations. J Clin Oncol. 31:3342–3350. 2013. View Article : Google Scholar : PubMed/NCBI

28 

Wang H, Liu Z, Gou Y, Qin Y, Xu Y, Liu J and Wu JZ: Apoptosis and necrosis induced by novel realgar quantum dots in human endometrial cancer cells via endoplasmic reticulum stress signaling pathway. Int J Nanomedicine. 10:5505–5512. 2015. View Article : Google Scholar : PubMed/NCBI

29 

Arakawa S, Nakanomyo I, Kudo-Sakamoto Y, Akazawa H, Komuro I and Shimizu S: Identification of a novel compound that inhibits both mitochondria-mediated necrosis and apoptosis. Biochem Biophys Res Commun. 467:1006–1011. 2015. View Article : Google Scholar : PubMed/NCBI

30 

Xu L, Su L and Liu X: PKCδ regulates death receptor 5 expression induced by PS-341 through ATF4-ATF3/CHOP axis in human lung cancer cells. Mol Cancer Ther. 11:2174–2182. 2012. View Article : Google Scholar : PubMed/NCBI

31 

Wolfgang CD, Chen BP, Martindale JL, Holbrook NJ and Hai T: Gadd153/Chop10, a potential target gene of the transcriptional repressor ATF3. Mol Cell Biol. 17:6700–6707. 1997. View Article : Google Scholar : PubMed/NCBI

32 

Liu G, Su L, Hao X, Zhong N, Zhong D, Singhal S and Liu X: Salermide up-regulates death receptor 5 expression through the ATF4-ATF3-CHOP axis and leads to apoptosis in human cancer cells. J Cell Mol Med. 16:1618–1628. 2012. View Article : Google Scholar : PubMed/NCBI

33 

Tan H, Zhang H, Xie J, Chen B, Wen C, Guo X, Zhao Q, Wu Z, Shen J, Wu J, et al: A novel staging model to classify esophageal squamous cell carcinoma patients in China. Br J Cancer. 110:2109–2115. 2014. View Article : Google Scholar : PubMed/NCBI

34 

Xie JJ, Xie YM, Chen B, Pan F, Guo JC, Zhao Q, Shen JH, Wu ZY, Wu JY, Xu LY and Li EM: ATF3 functions as a novel tumor suppressor with prognostic significance in esophageal squamous cell carcinoma. Oncotarget. 5:8569–8582. 2014. View Article : Google Scholar : PubMed/NCBI

Related Articles

  • Abstract
  • View
  • Download
  • Twitter
Copy and paste a formatted citation
Spandidos Publications style
Li X, Song H, Kong F, Guo Y, Chen Y, Zhang L, Gao D, Zhao X and Zhang H: Pemetrexed exerts anticancer effects by inducing G0/G1‑phase cell cycle arrest and activating the NOXA/Mcl‑1 axis in human esophageal squamous cell carcinoma cells. Oncol Lett 17: 1851-1858, 2019.
APA
Li, X., Song, H., Kong, F., Guo, Y., Chen, Y., Zhang, L. ... Zhang, H. (2019). Pemetrexed exerts anticancer effects by inducing G0/G1‑phase cell cycle arrest and activating the NOXA/Mcl‑1 axis in human esophageal squamous cell carcinoma cells. Oncology Letters, 17, 1851-1858. https://doi.org/10.3892/ol.2018.9753
MLA
Li, X., Song, H., Kong, F., Guo, Y., Chen, Y., Zhang, L., Gao, D., Zhao, X., Zhang, H."Pemetrexed exerts anticancer effects by inducing G0/G1‑phase cell cycle arrest and activating the NOXA/Mcl‑1 axis in human esophageal squamous cell carcinoma cells". Oncology Letters 17.2 (2019): 1851-1858.
Chicago
Li, X., Song, H., Kong, F., Guo, Y., Chen, Y., Zhang, L., Gao, D., Zhao, X., Zhang, H."Pemetrexed exerts anticancer effects by inducing G0/G1‑phase cell cycle arrest and activating the NOXA/Mcl‑1 axis in human esophageal squamous cell carcinoma cells". Oncology Letters 17, no. 2 (2019): 1851-1858. https://doi.org/10.3892/ol.2018.9753
Copy and paste a formatted citation
x
Spandidos Publications style
Li X, Song H, Kong F, Guo Y, Chen Y, Zhang L, Gao D, Zhao X and Zhang H: Pemetrexed exerts anticancer effects by inducing G0/G1‑phase cell cycle arrest and activating the NOXA/Mcl‑1 axis in human esophageal squamous cell carcinoma cells. Oncol Lett 17: 1851-1858, 2019.
APA
Li, X., Song, H., Kong, F., Guo, Y., Chen, Y., Zhang, L. ... Zhang, H. (2019). Pemetrexed exerts anticancer effects by inducing G0/G1‑phase cell cycle arrest and activating the NOXA/Mcl‑1 axis in human esophageal squamous cell carcinoma cells. Oncology Letters, 17, 1851-1858. https://doi.org/10.3892/ol.2018.9753
MLA
Li, X., Song, H., Kong, F., Guo, Y., Chen, Y., Zhang, L., Gao, D., Zhao, X., Zhang, H."Pemetrexed exerts anticancer effects by inducing G0/G1‑phase cell cycle arrest and activating the NOXA/Mcl‑1 axis in human esophageal squamous cell carcinoma cells". Oncology Letters 17.2 (2019): 1851-1858.
Chicago
Li, X., Song, H., Kong, F., Guo, Y., Chen, Y., Zhang, L., Gao, D., Zhao, X., Zhang, H."Pemetrexed exerts anticancer effects by inducing G0/G1‑phase cell cycle arrest and activating the NOXA/Mcl‑1 axis in human esophageal squamous cell carcinoma cells". Oncology Letters 17, no. 2 (2019): 1851-1858. https://doi.org/10.3892/ol.2018.9753
Follow us
  • Twitter
  • LinkedIn
  • Facebook
About
  • Spandidos Publications
  • Careers
  • Cookie Policy
  • Privacy Policy
How can we help?
  • Help
  • Live Chat
  • Contact
  • Email to our Support Team