Spandidos Publications Logo
  • About
    • About Spandidos
    • Aims and Scopes
    • Abstracting and Indexing
    • Editorial Policies
    • Reprints and Permissions
    • Job Opportunities
    • Terms and Conditions
    • Contact
  • Journals
    • All Journals
    • Oncology Letters
      • Oncology Letters
      • Information for Authors
      • Editorial Policies
      • Editorial Board
      • Aims and Scope
      • Abstracting and Indexing
      • Bibliographic Information
      • Archive
    • International Journal of Oncology
      • International Journal of Oncology
      • Information for Authors
      • Editorial Policies
      • Editorial Board
      • Aims and Scope
      • Abstracting and Indexing
      • Bibliographic Information
      • Archive
    • Molecular and Clinical Oncology
      • Molecular and Clinical Oncology
      • Information for Authors
      • Editorial Policies
      • Editorial Board
      • Aims and Scope
      • Abstracting and Indexing
      • Bibliographic Information
      • Archive
    • Experimental and Therapeutic Medicine
      • Experimental and Therapeutic Medicine
      • Information for Authors
      • Editorial Policies
      • Editorial Board
      • Aims and Scope
      • Abstracting and Indexing
      • Bibliographic Information
      • Archive
    • International Journal of Molecular Medicine
      • International Journal of Molecular Medicine
      • Information for Authors
      • Editorial Policies
      • Editorial Board
      • Aims and Scope
      • Abstracting and Indexing
      • Bibliographic Information
      • Archive
    • Biomedical Reports
      • Biomedical Reports
      • Information for Authors
      • Editorial Policies
      • Editorial Board
      • Aims and Scope
      • Abstracting and Indexing
      • Bibliographic Information
      • Archive
    • Oncology Reports
      • Oncology Reports
      • Information for Authors
      • Editorial Policies
      • Editorial Board
      • Aims and Scope
      • Abstracting and Indexing
      • Bibliographic Information
      • Archive
    • Molecular Medicine Reports
      • Molecular Medicine Reports
      • Information for Authors
      • Editorial Policies
      • Editorial Board
      • Aims and Scope
      • Abstracting and Indexing
      • Bibliographic Information
      • Archive
    • World Academy of Sciences Journal
      • World Academy of Sciences Journal
      • Information for Authors
      • Editorial Policies
      • Editorial Board
      • Aims and Scope
      • Abstracting and Indexing
      • Bibliographic Information
      • Archive
    • International Journal of Functional Nutrition
      • International Journal of Functional Nutrition
      • Information for Authors
      • Editorial Policies
      • Editorial Board
      • Aims and Scope
      • Abstracting and Indexing
      • Bibliographic Information
      • Archive
    • International Journal of Epigenetics
      • International Journal of Epigenetics
      • Information for Authors
      • Editorial Policies
      • Editorial Board
      • Aims and Scope
      • Abstracting and Indexing
      • Bibliographic Information
      • Archive
    • Medicine International
      • Medicine International
      • Information for Authors
      • Editorial Policies
      • Editorial Board
      • Aims and Scope
      • Abstracting and Indexing
      • Bibliographic Information
      • Archive
  • Articles
  • Information
    • Information for Authors
    • Information for Reviewers
    • Information for Librarians
    • Information for Advertisers
    • Conferences
  • Language Editing
Spandidos Publications Logo
  • About
    • About Spandidos
    • Aims and Scopes
    • Abstracting and Indexing
    • Editorial Policies
    • Reprints and Permissions
    • Job Opportunities
    • Terms and Conditions
    • Contact
  • Journals
    • All Journals
    • Biomedical Reports
      • Information for Authors
      • Editorial Policies
      • Editorial Board
      • Aims and Scope
      • Abstracting and Indexing
      • Bibliographic Information
      • Archive
    • Experimental and Therapeutic Medicine
      • Information for Authors
      • Editorial Policies
      • Editorial Board
      • Aims and Scope
      • Abstracting and Indexing
      • Bibliographic Information
      • Archive
    • International Journal of Epigenetics
      • Information for Authors
      • Editorial Policies
      • Editorial Board
      • Aims and Scope
      • Abstracting and Indexing
      • Bibliographic Information
      • Archive
    • International Journal of Functional Nutrition
      • Information for Authors
      • Editorial Policies
      • Editorial Board
      • Aims and Scope
      • Abstracting and Indexing
      • Bibliographic Information
      • Archive
    • International Journal of Molecular Medicine
      • Information for Authors
      • Editorial Policies
      • Editorial Board
      • Aims and Scope
      • Abstracting and Indexing
      • Bibliographic Information
      • Archive
    • International Journal of Oncology
      • Information for Authors
      • Editorial Policies
      • Editorial Board
      • Aims and Scope
      • Abstracting and Indexing
      • Bibliographic Information
      • Archive
    • Medicine International
      • Information for Authors
      • Editorial Policies
      • Editorial Board
      • Aims and Scope
      • Abstracting and Indexing
      • Bibliographic Information
      • Archive
    • Molecular and Clinical Oncology
      • Information for Authors
      • Editorial Policies
      • Editorial Board
      • Aims and Scope
      • Abstracting and Indexing
      • Bibliographic Information
      • Archive
    • Molecular Medicine Reports
      • Information for Authors
      • Editorial Policies
      • Editorial Board
      • Aims and Scope
      • Abstracting and Indexing
      • Bibliographic Information
      • Archive
    • Oncology Letters
      • Information for Authors
      • Editorial Policies
      • Editorial Board
      • Aims and Scope
      • Abstracting and Indexing
      • Bibliographic Information
      • Archive
    • Oncology Reports
      • Information for Authors
      • Editorial Policies
      • Editorial Board
      • Aims and Scope
      • Abstracting and Indexing
      • Bibliographic Information
      • Archive
    • World Academy of Sciences Journal
      • Information for Authors
      • Editorial Policies
      • Editorial Board
      • Aims and Scope
      • Abstracting and Indexing
      • Bibliographic Information
      • Archive
  • Articles
  • Information
    • For Authors
    • For Reviewers
    • For Librarians
    • For Advertisers
    • Conferences
  • Language Editing
Login Register Submit
  • This site uses cookies
  • You can change your cookie settings at any time by following the instructions in our Cookie Policy. To find out more, you may read our Privacy Policy.

    I agree
Search articles by DOI, keyword, author or affiliation
Search
Advanced Search
presentation
Biomedical Reports
Join Editorial Board Propose a Special Issue
Print ISSN: 2049-9434 Online ISSN: 2049-9442
Journal Cover
March-2024 Volume 20 Issue 3

Full Size Image

Sign up for eToc alerts
Recommend to Library

Journals

International Journal of Molecular Medicine

International Journal of Molecular Medicine

International Journal of Molecular Medicine is an international journal devoted to molecular mechanisms of human disease.

International Journal of Oncology

International Journal of Oncology

International Journal of Oncology is an international journal devoted to oncology research and cancer treatment.

Molecular Medicine Reports

Molecular Medicine Reports

Covers molecular medicine topics such as pharmacology, pathology, genetics, neuroscience, infectious diseases, molecular cardiology, and molecular surgery.

Oncology Reports

Oncology Reports

Oncology Reports is an international journal devoted to fundamental and applied research in Oncology.

Experimental and Therapeutic Medicine

Experimental and Therapeutic Medicine

Experimental and Therapeutic Medicine is an international journal devoted to laboratory and clinical medicine.

Oncology Letters

Oncology Letters

Oncology Letters is an international journal devoted to Experimental and Clinical Oncology.

Biomedical Reports

Biomedical Reports

Explores a wide range of biological and medical fields, including pharmacology, genetics, microbiology, neuroscience, and molecular cardiology.

Molecular and Clinical Oncology

Molecular and Clinical Oncology

International journal addressing all aspects of oncology research, from tumorigenesis and oncogenes to chemotherapy and metastasis.

World Academy of Sciences Journal

World Academy of Sciences Journal

Multidisciplinary open-access journal spanning biochemistry, genetics, neuroscience, environmental health, and synthetic biology.

International Journal of Functional Nutrition

International Journal of Functional Nutrition

Open-access journal combining biochemistry, pharmacology, immunology, and genetics to advance health through functional nutrition.

International Journal of Epigenetics

International Journal of Epigenetics

Publishes open-access research on using epigenetics to advance understanding and treatment of human disease.

Medicine International

Medicine International

An International Open Access Journal Devoted to General Medicine.

Journal Cover
March-2024 Volume 20 Issue 3

Full Size Image

Sign up for eToc alerts
Recommend to Library

  • Article
  • Citations
    • Cite This Article
    • Download Citation
    • Create Citation Alert
    • Remove Citation Alert
    • Cited By
  • Similar Articles
    • Related Articles (in Spandidos Publications)
    • Similar Articles (Google Scholar)
    • Similar Articles (PubMed)
  • Download PDF
  • Download XML
  • View XML

  • Supplementary Files
    • Supplementary_Data.pdf
Article Open Access

Anti‑angiogenic and cytotoxic evaluation of green‑synthesized Fe2ZnO4 nanoparticles against MCF‑7 cell line

  • Authors:
    • Asma' Al-Zabin
    • Tuqa Abu Thiab
    • Malek Zihlif
    • Afnan Al-Hunaiti
    • Hamzeh J Al-Ameer
    • Wajdy Al-Awaida
    • Amer Imraish
  • View Affiliations / Copyright

    Affiliations: Department of Biological Sciences, School of Science, Biology Building, The University of Jordan, Amman 11942, Jordan, Department of Pharmacology, Faculty of Medicine, The University of Jordan, Amman 11942, Jordan, Department of Chemistry, School of Science, The University of Jordan, Amman 11942, Jordan, Department of Biotechnology, Faculty of Allied Medical Sciences, Al-Ahliyya Amman University, Amman 19328, Jordan, Department of Biology and Biotechnology, Faculty of Science, American University of Madaba, Madaba 17110, Jordan
    Copyright: © Al-Zabin et al. This is an open access article distributed under the terms of Creative Commons Attribution License.
  • Article Number: 36
    |
    Published online on: January 10, 2024
       https://doi.org/10.3892/br.2024.1724
  • Expand metrics +
Metrics: Total Views: 0 (Spandidos Publications: | PMC Statistics: )
Metrics: Total PDF Downloads: 0 (Spandidos Publications: | PMC Statistics: )
Cited By (CrossRef): 0 citations Loading Articles...

This article is mentioned in:



Abstract

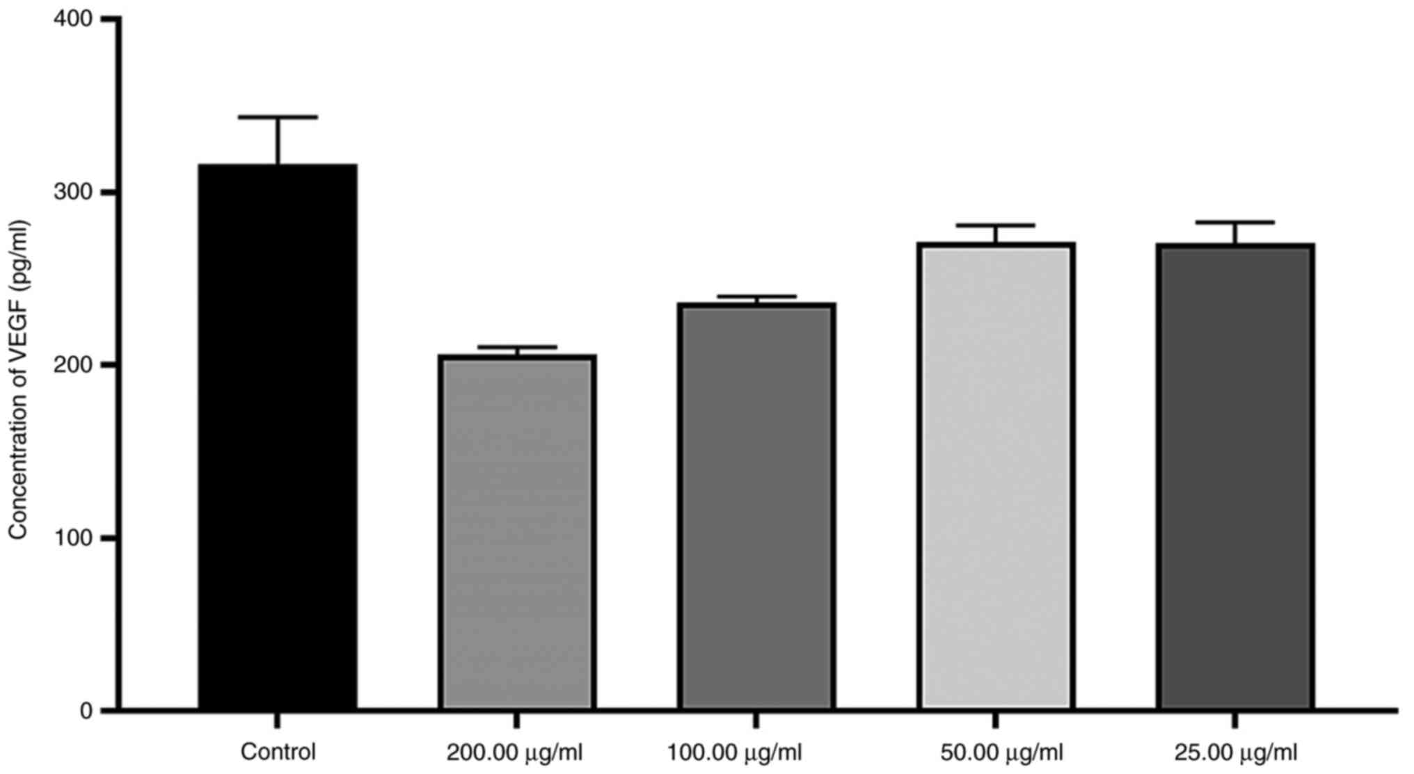
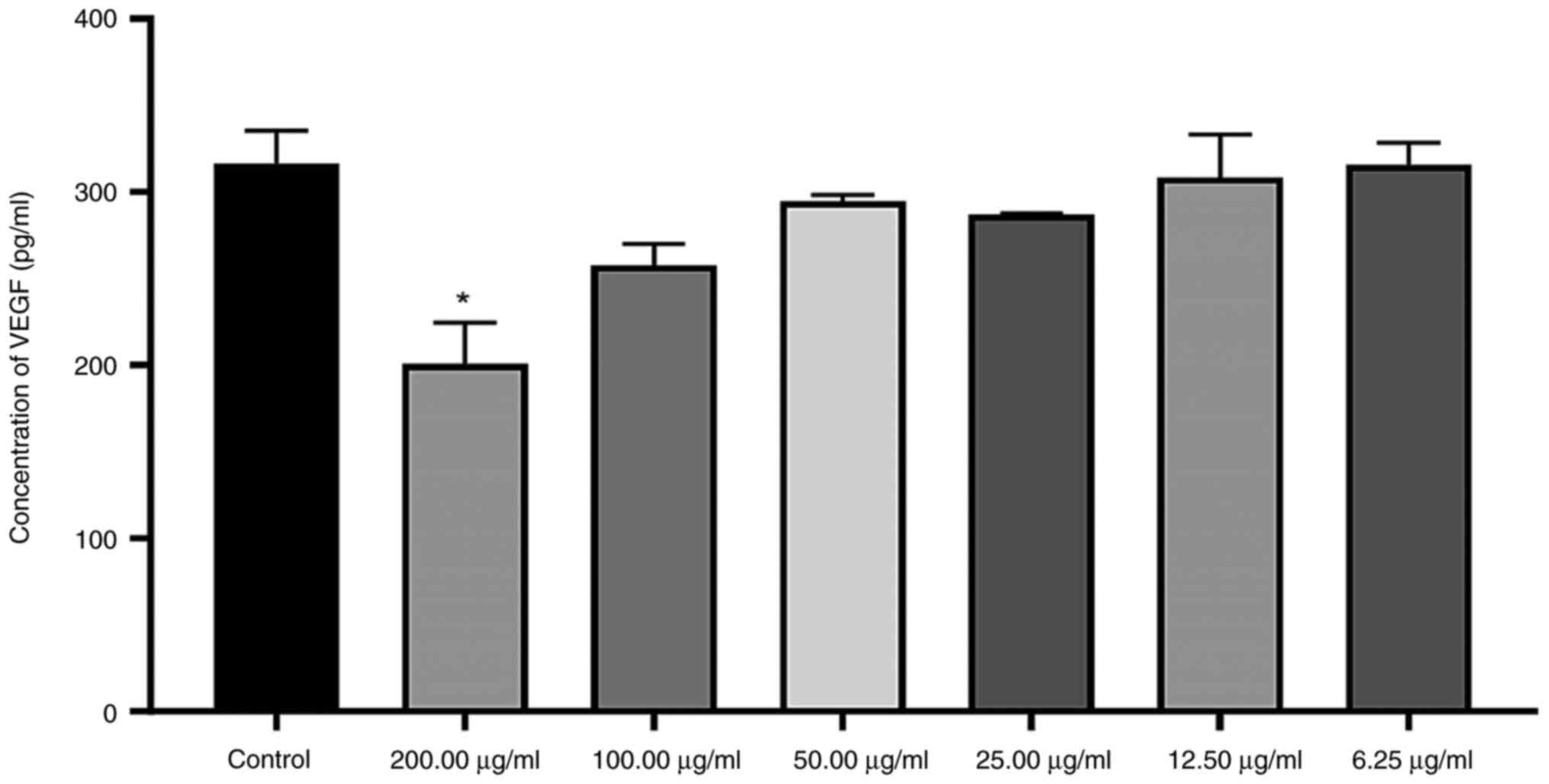
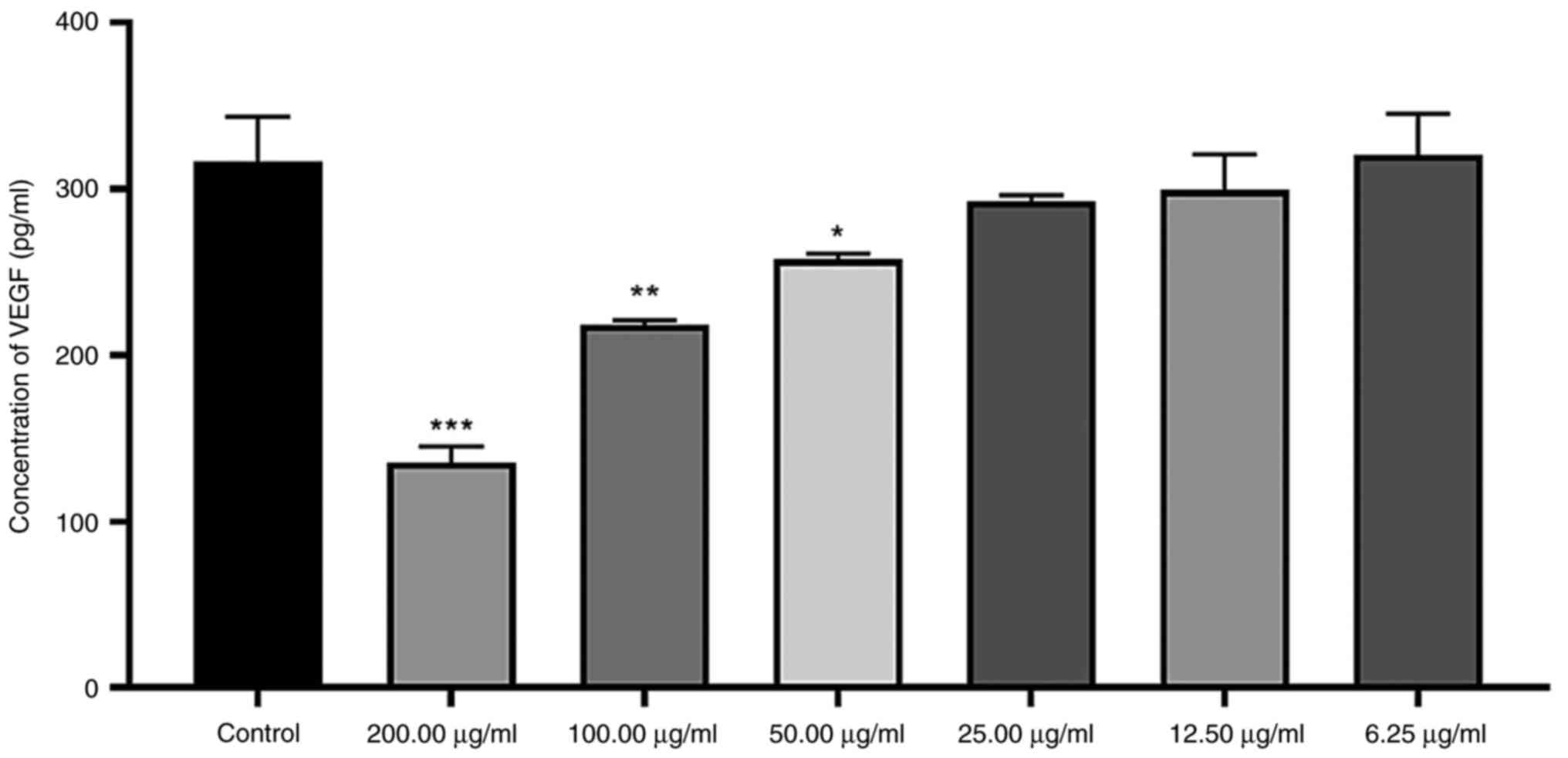
The use of plants for nanoparticle (NP) synthesis, grounded in green chemistry principles, is an environmentally friendly and economically viable approach. In the present study, the leaf extract of Elaeagnus angustifolia L. was used as a biosynthetic agent to generate bimetallic zinc oxide NPs. The present study investigated the effect of ZnO NPs on anti‑angiogenesis and cell migration. Various bimetallic NPs, including zinc‑iron oxide and nickel‑zinc oxide, underwent characterization through Fourier‑transform infrared spectroscopy and X‑ray Diffraction within the 25‑65˚ range. Confirmation of NP formation was determined by identifying the surface plasmon resonance peak. MTT assay was used to determine the cytotoxic properties of E. angustifolia L. extracts, ZnO NPs and associated metals in MCF‑7 breast cancer cells. The plant extract demonstrated antiproliferative effects at 200 µg/ml, whereas E. ang‑Fe2ZnO4 NPs showed varying cytotoxic effects based on concentration. The rat aortic ring and cell migration assays illuminated anti‑angiogenic attributes, with the E. ang‑Fe2ZnO4 NPs blocking blood vessel development entirely at 100 µg/ml, implying profound anti‑angiogenic efficacy. Therefore, E. ang‑Fe2ZnO4 NPs may serve a role in antiangiogenic therapy.
View Figures

Figure 1

Figure 2

Figure 3

Figure 4

Figure 5

Figure 6

Figure 7

Figure 8

View References

1 

Rao MD and Gautam P: Synthesis and characterization of ZnO nanoflowers using Chlamydomonas reinhardtii: A green approach. Environmental Progress & Sustainable Energy. 35:1020–1026. 2016.

2 

Khan S, Mansoor S, Rafi Z, Kumari B, Shoaib A, Saeed M, Alshehri S, Ghoneim MM, Rahamathulla M, Hani U and Shakeel F: A review on nanotechnology: Properties, applications, and mechanistic insights of cellular uptake mechanisms. J Mol Liquids. 348(118008)2022.

3 

Sogno I, Venè R, Ferrari N, De Censi A, Imperatori A, Noonan DM, Tosetti F and Albini A: Angioprevention with fenretinide: Targeting angiogenesis in prevention and therapeutic strategies. Crit Rev Oncol Hematol. 75:2–14. 2010.PubMed/NCBI View Article : Google Scholar

4 

Mohammad GRKS, Tabrizi MH, Ardalan T, Yadamani S and Safavi E: Green synthesis of zinc oxide nanoparticles and evaluation of anti-angiogenesis, anti-inflammatory and cytotoxicity properties. J Biosci. 44(30)2019.PubMed/NCBI

5 

Adeola FO: Global impact of chemicals and toxic substances on human health and the environment. Handbook of Global Health, 2020: p. 1-30.

6 

Vimalraj S, Ashokkumar T and Saravanan S: Biogenic gold nanoparticles synthesis mediated by Mangifera indica seed aqueous extracts exhibits antibacterial, anticancer and anti-angiogenic properties. Biomed Pharmacother. 105:440–448. 2018.PubMed/NCBI View Article : Google Scholar

7 

Imade EE, Ajiboye TO, Fadiji AE, Onwudiwe DC and Babalola OO: Green synthesis of zinc oxide nanoparticles using plantain peel extracts and the evaluation of their antibacterial activity. Sci African. 16(e01152)2022.

8 

Mohammadian M, Es'haghi Z and Hooshmand S: Green and chemical synthesis of zinc oxide nanoparticles and size evaluation by UV-vis spectroscopy. J Nanomed Res. 7(00175)2018.

9 

Sukhanova A, Bozrova S, Sokolov P, Berestovoy M, Karaulov A and Nabiev I: Dependence of nanoparticle toxicity on their physical and chemical properties. Nanoscale Res Lett. 13(44)2018.PubMed/NCBI View Article : Google Scholar

10 

Folkman J: Role of angiogenesis in tumor growth and metastasis. Semin Oncol. 29 (6 Suppl 16):S15–S18. 2002.PubMed/NCBI View Article : Google Scholar

11 

Lacerda JZ, Ferreira LC, Lopes BC, Aristizábal-Pachón AF, Bajgelman MC, Borin TF and Zuccari DAPC: Therapeutic potential of melatonin in the regulation of MiR-148a-3p and angiogenic factors in breast cancer. Microrna. 8:237–247. 2019.PubMed/NCBI View Article : Google Scholar

12 

Melincovici CS, Boşca AB, Şuşman S, Mărginean M, Mihu C, Istrate M, Moldovan IM, Roman AL and Mihu CM: Vascular endothelial growth factor (VEGF)-key factor in normal and pathological angiogenesis. Rom J Morphol Embryol. 59:455–467. 2018.PubMed/NCBI

13 

Tahvilian R, Zangeneh MM, Falahi H, Sadrjavadi K, Jalalvand AR and Zangeneh A: Green synthesis and chemical characterization of copper nanoparticles using Allium saralicum leaves and assessment of their cytotoxicity, antioxidant, antimicrobial, and cutaneous wound healing properties. Applied Organometallic chemistry. 33(e5234)2019.

14 

Shadmehri AA, Namvar F, Miri H, Yaghmaei P and Moghaddam MN: Anti-Angiogenesis effect of graphene-loaded green synthesized zinc oxide nanoparticles on chick chorioalantoic membrane. J Biotechem Tec. 17-22:2018.

15 

Cui L, Liang J, Liu H, Zhang K and Li J: Nanomaterials for angiogenesis in skin tissue engineering. Tissue Eng Part B Rev. 26:203–216. 2020.PubMed/NCBI View Article : Google Scholar

16 

Ahtzaz S, Nasir M, Shahzadi L, Amir W, Anjum A, Iqbal F, Chaudhry AA, Yar M and ur Rehman I: A study on the effect of zinc oxide and zinc peroxide nanoparticles to enhance angiogenesis-pro-angiogenic grafts for tissue regeneration applications. Materials & Design. 132:409–418. 2017.

17 

Newman DJ, Cragg GM and Snader KM: Natural products as sources of new drugs over the period 1981-2002. J Nat Prod. 66:1022–1037. 2003.PubMed/NCBI View Article : Google Scholar

18 

El-Shafey ES and Elsherbiny ES: The role of apoptosis and autophagy in the insulin-enhancing activity of oxovanadium (IV) bipyridine complex in streptozotocin-induced diabetic mice. Biometals. 33:123–135. 2020.PubMed/NCBI View Article : Google Scholar

19 

El Seedy GM, El-Shafey ES and Elsherbiny ES: Ziziphus spina-christi (L.) fortified with Camellia sinensis mediates apoptosis, Notch-1 signaling, and mitigates obesity-induced non-alcoholic fatty liver. J Food Biochem: Jul 9, 2021 (Epub ahead of print).

20 

Sahan Y, Dundar AN, Aydin E, Kilci A, Dulger D, Kaplan FB, Gocmen D and Celik G: Characteristics of cookies supplemented with oleaster (Elaeagnus angustifolia L.) Flour. I physicochemical, sensorial and textural properties. Journal of Agricultural Science, 2013. 5: 160, 2013.

21 

Ogunyemi SO, Abdallah Y, Zhang M, Fouad H, Hong X, Ibrahim E, Masum MMI, Hossain A, Mo J and Li B: Green synthesis of zinc oxide nanoparticles using different plant extracts and their antibacterial activity against Xanthomonas oryzae pv. oryzae. Artif Cells Nanomed Biotechnol. 47:341–352. 2019.PubMed/NCBI View Article : Google Scholar

22 

Choi HS, Ashitate Y, Lee JH, Kim SH, Matsui A, Insin N, Bawendi MG, Semmler-Behnke M, Frangioni JV and Tsuda A: Rapid translocation of nanoparticles from the lung airspaces to the body. Nat Biotechnol. 28:1300–1303. 2010.PubMed/NCBI View Article : Google Scholar

23 

Gürbüz I, Ustün O, Yesilada E, Sezik E and Kutsal O: Anti-ulcerogenic activity of some plants used as folk remedy in Turkey. J Ethnopharmacol. 88:93–97. 2003.PubMed/NCBI View Article : Google Scholar

24 

Chakraborty AJ, Mitra S, Tallei TE, Tareq AM, Nainu F, Cicia D, Dhama K, Emran TB, Simal-Gandara J and Capasso R: Bromelain a potential bioactive compound: A comprehensive overview from a pharmacological perspective. Life (Basel). 11(317)2021.PubMed/NCBI View Article : Google Scholar

25 

Yanez M, Blanchette J and Jabbarzadeh E: Modulation of inflammatory response to implanted biomaterials using natural compounds. Curr Pharm Des. 23:6347–6357. 2017.PubMed/NCBI View Article : Google Scholar

26 

Wang Y, Guo T, Li JY, Zhou SZ, Zhao P and Fan MT: Four flavonoid glycosides from the pulps of Elaeagnus angustifolia and their antioxidant activities. Adv Mater Res. 756-759:16–20. 2013.

27 

Ahmadiani A, Hosseiny J, Semnanian S, Javan M, Saeedi F, Kamalinejad M and Saremi S: Antinociceptive and anti-inflammatory effects of Elaeagnus angustifolia fruit extract. J Ethnopharmacol. 72:287–292. 2000.PubMed/NCBI View Article : Google Scholar

28 

Mohammed FI, Al-Essa MK, Shafagoj YA and Afifi FU: Investigation of the direct effects of the alcoholic extract of Elaeagnus angustifolia L.(Elaeagnaceae) on dispersed intestinal smooth muscle cells of guinea pig. Sci Pharm. 74:21–30. 2006.

29 

Imraish A, Abu Thiab T, Al-Awaida W, Al-Ameer HJ, Bustanji Y, Hammad H, Alsharif M and Al-Hunaiti A: In vitro anti-inflammatory and antioxidant activities of ZnFe2O4 and CrFe2O4 nanoparticles synthesized using Boswellia carteri resin. J Food Biochem. 45(e13730)2021.PubMed/NCBI View Article : Google Scholar

30 

Scherbakov AM, Vorontsova SK, Khamidullina AI, Mrdjanovic J, Andreeva OE, Bogdanov FB, Salnikova DI, Jurisic V, Zavarzin IV and Shirinian VZ: Novel pentacyclic derivatives and benzylidenes of the progesterone series cause anti-estrogenic and antiproliferative effects and induce apoptosis in breast cancer cells. Invest New Drugs. 41:142–152. 2023.PubMed/NCBI View Article : Google Scholar

31 

Jurisic V: Multiomic analysis of cytokines in immuno-oncology. Expert Rev Proteomics. 17:663–674. 2020.PubMed/NCBI View Article : Google Scholar

32 

Sanaeimehr Z, Javadi I and Namvar F: Antiangiogenic and antiapoptotic effects of green-synthesized zinc oxide nanoparticles using Sargassum muticum algae extraction. Cancer Nanotechnol. 9(3)2018.PubMed/NCBI View Article : Google Scholar

33 

Abdalla AME, Xiao L, Ullah MW, Yu M, Ouyang C and Yang G: Current challenges of cancer anti-angiogenic therapy and the promise of nanotherapeutics. Theranostics. 8:533–548. 2018.PubMed/NCBI View Article : Google Scholar

34 

Kumar B, Smita K, Cumbal L and Debut A: Green approach for fabrication and applications of zinc oxide nanoparticles. Bioinorg Chem Appl. 2014(523869)2014.PubMed/NCBI View Article : Google Scholar

35 

Tada-Oikawa S, Ichihara G, Suzuki Y, Izuoka K, Wu W, Yamada Y, Mishima T and Ichihara S: Zn (II) released from zinc oxide nano/micro particles suppresses vasculogenesis in human endothelial colony-forming cells. Toxicol Rep. 2:692–701. 2015.PubMed/NCBI View Article : Google Scholar

Related Articles

  • Abstract
  • View
  • Download
  • Twitter
Copy and paste a formatted citation
Spandidos Publications style
Al-Zabin A, Abu Thiab T, Zihlif M, Al-Hunaiti A, Al-Ameer HJ, Al-Awaida W and Imraish A: Anti‑angiogenic and cytotoxic evaluation of green‑synthesized Fe<sub>2</sub>ZnO<sub>4</sub> nanoparticles against MCF‑7 cell line. Biomed Rep 20: 36, 2024.
APA
Al-Zabin, A., Abu Thiab, T., Zihlif, M., Al-Hunaiti, A., Al-Ameer, H.J., Al-Awaida, W., & Imraish, A. (2024). Anti‑angiogenic and cytotoxic evaluation of green‑synthesized Fe<sub>2</sub>ZnO<sub>4</sub> nanoparticles against MCF‑7 cell line. Biomedical Reports, 20, 36. https://doi.org/10.3892/br.2024.1724
MLA
Al-Zabin, A., Abu Thiab, T., Zihlif, M., Al-Hunaiti, A., Al-Ameer, H. J., Al-Awaida, W., Imraish, A."Anti‑angiogenic and cytotoxic evaluation of green‑synthesized Fe<sub>2</sub>ZnO<sub>4</sub> nanoparticles against MCF‑7 cell line". Biomedical Reports 20.3 (2024): 36.
Chicago
Al-Zabin, A., Abu Thiab, T., Zihlif, M., Al-Hunaiti, A., Al-Ameer, H. J., Al-Awaida, W., Imraish, A."Anti‑angiogenic and cytotoxic evaluation of green‑synthesized Fe<sub>2</sub>ZnO<sub>4</sub> nanoparticles against MCF‑7 cell line". Biomedical Reports 20, no. 3 (2024): 36. https://doi.org/10.3892/br.2024.1724
Copy and paste a formatted citation
x
Spandidos Publications style
Al-Zabin A, Abu Thiab T, Zihlif M, Al-Hunaiti A, Al-Ameer HJ, Al-Awaida W and Imraish A: Anti‑angiogenic and cytotoxic evaluation of green‑synthesized Fe<sub>2</sub>ZnO<sub>4</sub> nanoparticles against MCF‑7 cell line. Biomed Rep 20: 36, 2024.
APA
Al-Zabin, A., Abu Thiab, T., Zihlif, M., Al-Hunaiti, A., Al-Ameer, H.J., Al-Awaida, W., & Imraish, A. (2024). Anti‑angiogenic and cytotoxic evaluation of green‑synthesized Fe<sub>2</sub>ZnO<sub>4</sub> nanoparticles against MCF‑7 cell line. Biomedical Reports, 20, 36. https://doi.org/10.3892/br.2024.1724
MLA
Al-Zabin, A., Abu Thiab, T., Zihlif, M., Al-Hunaiti, A., Al-Ameer, H. J., Al-Awaida, W., Imraish, A."Anti‑angiogenic and cytotoxic evaluation of green‑synthesized Fe<sub>2</sub>ZnO<sub>4</sub> nanoparticles against MCF‑7 cell line". Biomedical Reports 20.3 (2024): 36.
Chicago
Al-Zabin, A., Abu Thiab, T., Zihlif, M., Al-Hunaiti, A., Al-Ameer, H. J., Al-Awaida, W., Imraish, A."Anti‑angiogenic and cytotoxic evaluation of green‑synthesized Fe<sub>2</sub>ZnO<sub>4</sub> nanoparticles against MCF‑7 cell line". Biomedical Reports 20, no. 3 (2024): 36. https://doi.org/10.3892/br.2024.1724
Follow us
  • Twitter
  • LinkedIn
  • Facebook
About
  • Spandidos Publications
  • Careers
  • Cookie Policy
  • Privacy Policy
How can we help?
  • Help
  • Live Chat
  • Contact
  • Email to our Support Team