Spandidos Publications Logo
  • About
    • About Spandidos
    • Aims and Scopes
    • Abstracting and Indexing
    • Editorial Policies
    • Reprints and Permissions
    • Job Opportunities
    • Terms and Conditions
    • Contact
  • Journals
    • All Journals
    • Oncology Letters
      • Oncology Letters
      • Information for Authors
      • Editorial Policies
      • Editorial Board
      • Aims and Scope
      • Abstracting and Indexing
      • Bibliographic Information
      • Archive
    • International Journal of Oncology
      • International Journal of Oncology
      • Information for Authors
      • Editorial Policies
      • Editorial Board
      • Aims and Scope
      • Abstracting and Indexing
      • Bibliographic Information
      • Archive
    • Molecular and Clinical Oncology
      • Molecular and Clinical Oncology
      • Information for Authors
      • Editorial Policies
      • Editorial Board
      • Aims and Scope
      • Abstracting and Indexing
      • Bibliographic Information
      • Archive
    • Experimental and Therapeutic Medicine
      • Experimental and Therapeutic Medicine
      • Information for Authors
      • Editorial Policies
      • Editorial Board
      • Aims and Scope
      • Abstracting and Indexing
      • Bibliographic Information
      • Archive
    • International Journal of Molecular Medicine
      • International Journal of Molecular Medicine
      • Information for Authors
      • Editorial Policies
      • Editorial Board
      • Aims and Scope
      • Abstracting and Indexing
      • Bibliographic Information
      • Archive
    • Biomedical Reports
      • Biomedical Reports
      • Information for Authors
      • Editorial Policies
      • Editorial Board
      • Aims and Scope
      • Abstracting and Indexing
      • Bibliographic Information
      • Archive
    • Oncology Reports
      • Oncology Reports
      • Information for Authors
      • Editorial Policies
      • Editorial Board
      • Aims and Scope
      • Abstracting and Indexing
      • Bibliographic Information
      • Archive
    • Molecular Medicine Reports
      • Molecular Medicine Reports
      • Information for Authors
      • Editorial Policies
      • Editorial Board
      • Aims and Scope
      • Abstracting and Indexing
      • Bibliographic Information
      • Archive
    • World Academy of Sciences Journal
      • World Academy of Sciences Journal
      • Information for Authors
      • Editorial Policies
      • Editorial Board
      • Aims and Scope
      • Abstracting and Indexing
      • Bibliographic Information
      • Archive
    • International Journal of Functional Nutrition
      • International Journal of Functional Nutrition
      • Information for Authors
      • Editorial Policies
      • Editorial Board
      • Aims and Scope
      • Abstracting and Indexing
      • Bibliographic Information
      • Archive
    • International Journal of Epigenetics
      • International Journal of Epigenetics
      • Information for Authors
      • Editorial Policies
      • Editorial Board
      • Aims and Scope
      • Abstracting and Indexing
      • Bibliographic Information
      • Archive
    • Medicine International
      • Medicine International
      • Information for Authors
      • Editorial Policies
      • Editorial Board
      • Aims and Scope
      • Abstracting and Indexing
      • Bibliographic Information
      • Archive
  • Articles
  • Information
    • Information for Authors
    • Information for Reviewers
    • Information for Librarians
    • Information for Advertisers
    • Conferences
  • Language Editing
Spandidos Publications Logo
  • About
    • About Spandidos
    • Aims and Scopes
    • Abstracting and Indexing
    • Editorial Policies
    • Reprints and Permissions
    • Job Opportunities
    • Terms and Conditions
    • Contact
  • Journals
    • All Journals
    • Biomedical Reports
      • Information for Authors
      • Editorial Policies
      • Editorial Board
      • Aims and Scope
      • Abstracting and Indexing
      • Bibliographic Information
      • Archive
    • Experimental and Therapeutic Medicine
      • Information for Authors
      • Editorial Policies
      • Editorial Board
      • Aims and Scope
      • Abstracting and Indexing
      • Bibliographic Information
      • Archive
    • International Journal of Epigenetics
      • Information for Authors
      • Editorial Policies
      • Editorial Board
      • Aims and Scope
      • Abstracting and Indexing
      • Bibliographic Information
      • Archive
    • International Journal of Functional Nutrition
      • Information for Authors
      • Editorial Policies
      • Editorial Board
      • Aims and Scope
      • Abstracting and Indexing
      • Bibliographic Information
      • Archive
    • International Journal of Molecular Medicine
      • Information for Authors
      • Editorial Policies
      • Editorial Board
      • Aims and Scope
      • Abstracting and Indexing
      • Bibliographic Information
      • Archive
    • International Journal of Oncology
      • Information for Authors
      • Editorial Policies
      • Editorial Board
      • Aims and Scope
      • Abstracting and Indexing
      • Bibliographic Information
      • Archive
    • Medicine International
      • Information for Authors
      • Editorial Policies
      • Editorial Board
      • Aims and Scope
      • Abstracting and Indexing
      • Bibliographic Information
      • Archive
    • Molecular and Clinical Oncology
      • Information for Authors
      • Editorial Policies
      • Editorial Board
      • Aims and Scope
      • Abstracting and Indexing
      • Bibliographic Information
      • Archive
    • Molecular Medicine Reports
      • Information for Authors
      • Editorial Policies
      • Editorial Board
      • Aims and Scope
      • Abstracting and Indexing
      • Bibliographic Information
      • Archive
    • Oncology Letters
      • Information for Authors
      • Editorial Policies
      • Editorial Board
      • Aims and Scope
      • Abstracting and Indexing
      • Bibliographic Information
      • Archive
    • Oncology Reports
      • Information for Authors
      • Editorial Policies
      • Editorial Board
      • Aims and Scope
      • Abstracting and Indexing
      • Bibliographic Information
      • Archive
    • World Academy of Sciences Journal
      • Information for Authors
      • Editorial Policies
      • Editorial Board
      • Aims and Scope
      • Abstracting and Indexing
      • Bibliographic Information
      • Archive
  • Articles
  • Information
    • For Authors
    • For Reviewers
    • For Librarians
    • For Advertisers
    • Conferences
  • Language Editing
Login Register Submit
  • This site uses cookies
  • You can change your cookie settings at any time by following the instructions in our Cookie Policy. To find out more, you may read our Privacy Policy.

    I agree
Search articles by DOI, keyword, author or affiliation
Search
Advanced Search
presentation
Biomedical Reports
Join Editorial Board Propose a Special Issue
Print ISSN: 2049-9434 Online ISSN: 2049-9442
Journal Cover
May-2025 Volume 22 Issue 5

Full Size Image

Sign up for eToc alerts
Recommend to Library

Journals

International Journal of Molecular Medicine

International Journal of Molecular Medicine

International Journal of Molecular Medicine is an international journal devoted to molecular mechanisms of human disease.

International Journal of Oncology

International Journal of Oncology

International Journal of Oncology is an international journal devoted to oncology research and cancer treatment.

Molecular Medicine Reports

Molecular Medicine Reports

Covers molecular medicine topics such as pharmacology, pathology, genetics, neuroscience, infectious diseases, molecular cardiology, and molecular surgery.

Oncology Reports

Oncology Reports

Oncology Reports is an international journal devoted to fundamental and applied research in Oncology.

Experimental and Therapeutic Medicine

Experimental and Therapeutic Medicine

Experimental and Therapeutic Medicine is an international journal devoted to laboratory and clinical medicine.

Oncology Letters

Oncology Letters

Oncology Letters is an international journal devoted to Experimental and Clinical Oncology.

Biomedical Reports

Biomedical Reports

Explores a wide range of biological and medical fields, including pharmacology, genetics, microbiology, neuroscience, and molecular cardiology.

Molecular and Clinical Oncology

Molecular and Clinical Oncology

International journal addressing all aspects of oncology research, from tumorigenesis and oncogenes to chemotherapy and metastasis.

World Academy of Sciences Journal

World Academy of Sciences Journal

Multidisciplinary open-access journal spanning biochemistry, genetics, neuroscience, environmental health, and synthetic biology.

International Journal of Functional Nutrition

International Journal of Functional Nutrition

Open-access journal combining biochemistry, pharmacology, immunology, and genetics to advance health through functional nutrition.

International Journal of Epigenetics

International Journal of Epigenetics

Publishes open-access research on using epigenetics to advance understanding and treatment of human disease.

Medicine International

Medicine International

An International Open Access Journal Devoted to General Medicine.

Journal Cover
May-2025 Volume 22 Issue 5

Full Size Image

Sign up for eToc alerts
Recommend to Library

  • Article
  • Citations
    • Cite This Article
    • Download Citation
    • Create Citation Alert
    • Remove Citation Alert
    • Cited By
  • Similar Articles
    • Related Articles (in Spandidos Publications)
    • Similar Articles (Google Scholar)
    • Similar Articles (PubMed)
  • Download PDF
  • Download XML
  • View XML
Article Open Access

Biochanin‑A as SIRT‑1 modulator in preventing statin‑associated diabetogenesis: An in vitro study

  • Authors:
    • Anuranjana Putiya Veedu
    • Divya Kunhipurayil
    • Fathima Beegum
    • Krupa Thankam George
    • Abhinav Kanwal
    • Rekha Raghuveer Shenoy
    • Krishnadas Nandakumar
  • View Affiliations / Copyright

    Affiliations: Department of Pharmacology, Manipal College of Pharmaceutical Sciences, Manipal Academy of Higher Education, Manipal, Karnataka 576104, India, Department of Pharmacology, All India Institute of Medical Sciences, Bathinda, Punjab 151005, India
    Copyright: © Veedu et al. This is an open access article distributed under the terms of Creative Commons Attribution License.
  • Article Number: 91
    |
    Published online on: March 24, 2025
       https://doi.org/10.3892/br.2025.1969
  • Expand metrics +
Metrics: Total Views: 0 (Spandidos Publications: | PMC Statistics: )
Metrics: Total PDF Downloads: 0 (Spandidos Publications: | PMC Statistics: )
Cited By (CrossRef): 0 citations Loading Articles...

This article is mentioned in:



Abstract

The widespread use of statin therapy for hypercholesterolemia has raised concerns due to its associated risk of inducing diabetes. Biochanin‑A (BA), an isoflavone, exhibits potential in preventing diabetes and hyperlipidemia, yet its efficacy in mitigating statin‑induced diabetes remains unexplored. This gap prompts a crucial inquiry: Can BA reduce the risk of diabetes associated with statin therapy? The present study investigated the molecular mechanisms behind atorvastatin's diabetogenic nature and evaluated the potential of BA to counteract these effects. Insulin resistance was assessed using L6 skeletal muscle cells and pancreatic beta cell apoptosis in MIN‑6 cells. Our hypothesis posits that atorvastatin exacerbates free fatty acid accumulation, leading to the downregulation of sirtuin‑1 (SIRT‑1) and decreased uncoupling protein (UCP) 3 expression, culminating in insulin resistance. Conversely, BA is assumed to positively modulate SIRT‑1 and downregulate UCP2, thus offering a protective effect. In vitro studies using L6 and MIN‑6 cells revealed that BA has increased cell viability and shown optimal protection against the toxicity induced by atorvastatin in both cell lines at different concentrations. BA effectively inhibited the reduction in glucose uptake caused by atorvastatin. Pre‑treatment with BA upregulated proteins that are involved in the insulin‑signaling pathway and reversed the expression levels of UCPs induced by atorvastatin. BA also enhanced insulin release, preserved mitochondrial function, and prevented atorvastatin‑induced apoptosis. Furthermore, BA improved SIRT‑1 expression, potentially through the nicotinamide phospho‑ribosyl‑transferase‑nicotinamide adenine dinucleotide + SIRT1‑pathway, revealing that BA may play a role in modulating cellular processes in statin‑associated SIRT‑1 downregulation. BA can be considered a promising molecule to counteract statin‑induced diabetes, suggesting a prospective therapeutic role in enhancing the safety profile of statin therapy. This research lays the groundwork for future clinical evaluations of BA as an adjunctive treatment for patients at risk of statin‑induced diabetes.

Introduction

Identifying the impact of cholesterol reduction agents and cardiovascular morbidity in the scientific world was crucial. Since then, statins, the cholesterol-lowering class of drugs, are considered to have achieved remarkable results in this field and are the most prescribed drugs worldwide (1,2). Statins offer a considerable health benefit for both primary and secondary prevention of cardiovascular diseases (3). Conversely, concerns have been raised about the negative consequences of long-term statin usage. In a significant percentage of individuals, statin medications appear to be safe to utilize. However, individuals with various other disease co-morbidities are more likely to experience undesirable side effects from long-term statin treatment. Though the advantages of statins exceed their heightened risks, the FDA has recently added diabetes as a black box label warning for statins (4). Statins have been proven to double an individual's chance of developing diabetes mellitus due to how they may interfere with insulin signaling pathways, impair the function of pancreatic beta cells, and possibly raise insulin resistance (5). The risk of developing a new onset of diabetes rose by 46% after statin therapy in a METSIM cohort study, and numerous studies point towards the diabetogenicity of statins (6-8). It is concerning to realize that individuals with cardiovascular disease consuming statins are also vulnerable to other fatal conditions such as diabetes, which necessitates severe consideration and further research in this area. Globally and markedly more quickly, the burden of diabetes mellitus is increasing. Diabetes disease comprises 6.28% of the global population (9).

The specific mechanism(s) of diabetogenesis with statins are unresolved. However, they may include decreased insulin sensitivity, mitigated beta-cell function and elevated intracellular cholesterol absorption (10,11). Insulin resistance was found in a study with 10-week statin administration in non-diabetic individuals, indicating the propensity of the risk of developing diabetes (12). An interventional RCT study testing rosuvastatin (JUPITER) revealed a slight but substantial rise in diabetes incidence rates in individuals who received statins over a median of 1.9 years (13). Individuals who are at high-risk categories for developing diabetes had a greater incidence of the disease with statin medication in a cohort study indicating its likelihood of developing diabetes at a faster rate (14). Statins produced insulin resistance by diminishing the phosphorylation of insulin receptor, insulin receptor substrate-1, AKT, glycogen synthase 3β and downregulated Glut-4 expression; and it was demonstrated that statin-induced insulin resistance is independent of cholesterol biosynthesis inhibition by a fatty acid-mediated effect on the insulin signaling pathway (15). Statins cause increased IL-1β secretion from macrophages. Long-term fluvastatin treatment of obese mice led to impaired insulin-stimulated glucose uptake in adipose tissue and disrupted insulin signaling in lipopolysaccharide (LPS)-primed 3T3-L1 adipocytes. This effect was associated with an increase in caspase-1 activity (16).

Statins, while recognized for their cholesterol-lowering benefits in coronary heart disease prevention, exhibit pleiotropic effects extending beyond lipid modulation. These include improved endothelial function, atherosclerotic plaque stabilization, reduced oxidative stress and inflammation and inhibition of thrombogenic response. Furthermore, statins demonstrate benefits beyond the cardiovascular system, impacting the immune, central nervous and skeletal systems. These pleiotropic effects are partially attributed to the inhibition of isoprenoids, particularly affecting small GTP-binding proteins such as Rho, Ras, and Rac, essential for intracellular signalling (17). Beyond their established cardiovascular benefits, statins have shown promise in tackling critical conditions including cancer and inflammatory bowel disease. Their potential extends to improving vascular tone, suggesting a broader therapeutic scope than previously recognized (18,19). This protective effect extends beyond cholesterol reduction, highlighting the pleiotropic benefits of statins. Rajangam et al (20) demonstrated that acute rosuvastatin administration significantly reduced doxorubicin-induced cardiotoxicity in rats, evidenced by decreased cardiac marker enzymes and improved antioxidant activity. Statins also exhibit pleiotropic properties with potential applications in various neurological conditions, including epilepsy. Interestingly, recent research suggests that statins may interact synergistically with certain antiepileptic drugs. For example, Rajangam et al (21) demonstrated that atorvastatin potentiated the anticonvulsant effects of lacosamide in both electroshock and chemo-convulsant models of epilepsy in mice. This synergistic effect was linked to increased plasma concentrations of atorvastatin and a potential modulation of neuronal sodium channels (21). Further demonstrating the pleiotropic benefits of statins, rosuvastatin mitigated scopolamine-induced amnesia in mice, improving cognitive function in elevated plus maze and Morris water maze tests (22).

Biochanin-A (BA) is one of the essential isoflavones that can potentially prevent and treat numerous diseases by acting on various human systems. BA is a plant-derived chemical found in soy, red clover, peas and alfalfa. It has shown excellent research outcomes in treating cancers, neurological disorders, diabetes, airway disorders, hyperlipidemia, and numerous other disorders/diseases (23). The chemical structure of BA is shown in Fig. 1. By increasing SIRT-1 expression in pancreatic tissue, BA considerably lowered blood glucose levels, glucose tolerance, insulin resistance, and enhanced insulin sensitivity, demonstrating a significant impact on type 2 diabetes mellitus in a study on high-fat diet diabetic rats (24). It has a significant effect on type 2 diabetes mellitus, which might be linked with SIRT-1. Another study revealed the ability of BA to prevent diabetes by diminishing the genes transforming growth factor-β1 and protease-activated receptors 2, which are responsible for diabetic nephropathy and reducing blood glucose levels of diabetic animals (25). While BA has demonstrated anti-diabetic effects in various studies (24,26-31) its potential in mitigating statin-induced diabetes remains unexplored. Moreover, the molecular mechanisms underlying such an effect remain to be elucidated.

Figure 1

Chemical structure of Biochanin-A.

Sirtuins are members of Sir2 genes which is a nicotinamide adenine dinucleotide (NAD)+-dependent deacetylase family of proteins. Among seven different sirtuins, sirtuin-1 (SIRT-1) has direct and indirect involvement in insulin signaling, and insulin resistance causing Type 2 diabetes mellitus (32). By increasing SIRT-1 expression, the insulin sensitivity of skeletal muscle can be improved. Previous studies have highlighted the role of SIRT-1 in metabolism and shown that its regulation can influence insulin resistance (33), and metformin could be acting through SIRT-1 for insulin resistance by its upregulation (34). It has been revealed that diabetic patients have SIRT-1 downregulated in muscle tissue (35). SIRT-1 is a protein that is dysregulated when a person is on a high-calorie diet or when there is chronic exposure to high free fatty acids (FFA) (36), which is the case in patients who are taking statin. The increase in acetyl Co-A will lead to the accumulation of FFA and result in the downregulation of SIRT-1 (33,37,38). SIRT-1 inhibition can cause upregulation of uncoupling proteins (UCP) UCP2 and UCP3 which will result in insulin resistance and pancreatic beta cell death.

BA has not been investigated specifically for its use in statin-induced diabetes. To date, only hydroxychloroquine has been tested successfully for the same (39), but its potential mechanism has not been researched; only its action has been confirmed. Mechanism for statin-induced diabetes has not been well established. The present study addresses these critical gaps by investigating the mechanism of statin-induced diabetes and, for the first time, establishing the role of SIRT-1 and UCPs in this context.

Statins cause insulin resistance due to the accumulation of acetyl CoA which is diverted to the synthesis of FFA (15). This excess accumulation of FFA is further exacerbated by the downregulation of SIRT-1, preventing the metabolism of the fatty acids (33,36-38). These accumulated fatty acids prevent the phosphorylation of Insulin receptors resulting in insulin resistance. The possible molecular pathway involving SIRT-1 is depicted in Fig. 2.

Figure 2

Possible mechanism of statin-induced diabetes and Biochanin-A preventing the effects through modulating SIR-1 levels. NAMPT, nicotinamide phospho-ribosyl-transferase; CoQ-10, co-enzyme Q10; SIRT-1, sirtuin-1; UCP, uncoupling protein.

BA works to upregulate SIRT-1 in statin-induced diabetes which in turn halts the apoptosis of pancreatic beta cells. It also functions to prevent insulin resistance in muscle cells by the same mechanism. The upregulation of SIRT-1 causes the downregulation of UCP2(40) which plays a role in insulin resistance in pancreatic beta cells and muscle cells. Statin treatment is known to lower the UCP3 level (15,41,42). Insulin resistance was assessed using L6 skeletal muscle cells and pancreatic beta cell apoptosis in MIN-6 cells. MIN-6 cells, derived from mouse pancreatic beta-cells, are a well-established in vitro model for studying beta-cell function and dysfunction. Their responsiveness to glucose, as evidenced by glucose-stimulated insulin secretion, makes them particularly relevant for investigating statin-induced diabetes, which is often characterized by impaired beta-cell function. Furthermore, previous studies, including the authors' own preliminary findings, have identified that MIN-6 cells exhibit sensitivity to statin exposure, mimicking aspects of statin-induced beta-cell dysfunction observed in vivo. This sensitivity makes them a suitable model for investigating the potential protective effects of BA in statin-induced diabetes.

L6 skeletal muscle cells were chosen for our study because skeletal muscle is a major site of glucose disposal in the body, accounting for a significant portion of insulin-stimulated glucose uptake. Dysregulation of glucose metabolism in skeletal muscle is a key contributor to insulin resistance and type 2 diabetes. Importantly, statins have been shown to influence skeletal muscle function and insulin sensitivity, highlighting the relevance of L6 cells in the context of statin-induced diabetes. By including L6 cells, it was aimed to capture potential systemic effects of both statins and BA on glucose metabolism beyond pancreatic beta-cells.

Prior to our study, there was limited understanding of the mechanism behind statin-induced diabetes. While BA has shown promise as an anti-diabetic agent in preclinical studies, its specific potential to mitigate statin-induced diabetes was largely unexplored. The present study directly addresses this gap by investigating the effects of BA on cellular models of statin-induced diabetes. Although some studies have explored the influence of BA on metabolic pathways, its precise mechanisms of action in the context of statin-induced diabetes were not well-defined. The current research delves into these molecular mechanisms, focusing particularly on SIRT-1, UCP2 and lipogenic pathways, to elucidate how BA might counteract the diabetogenic effects of statins at a cellular level.

The present study contributes significantly to the field by providing the first evidence, to the best of our knowledge, of BA's potential to prevent statin-induced diabetes in an in vitro setting. Novel insights into the molecular mechanisms through which BA exerts its protective effects are provided, highlighting potential therapeutic targets for further investigation. These findings lay the groundwork for future in vivo and clinical studies to further validate the therapeutic potential of BA and ultimately translate these findings into clinical practice.

Statins continue to be essential in treating cardiovascular conditions since their substantial benefits surpass potential side effects. Therefore, statins are likely to maintain their critical role in cardiac treatment strategies. However, diabetes is a serious chronic disorder with severe complications, and preventing added comorbidities is essential. For this purpose, if an additional compound can prevent diabetes, it would be of great benefit to millions of patients. The study would also help establish the mechanism of statin-induced diabetes and explore the role of SIRT-1 and UCPs in the disease.

Materials and methods

Cell culture and chemicals

The mouse pancreatic beta cell line (MIN-6) and rat myoblast (L6) cell lines were procured from the American Type Culture Collection (ATCC). The cells were cultured in Dulbecco's Modified Eagle's medium (DMEM; Gibco; Thermo Fisher Scientific, Inc.). The MIN-6 culture medium was supplemented with 15% heat-inactivated fetal bovine serum (FBS), 1% antibiotic-antimycotic solution and 1X β-mercaptoethanol (all from Gibco; Thermo Fisher Scientific, Inc.) in an atmosphere of 5% CO2 and 95% humidity at 37˚C. Media was changed every 48 h. The cell was dissociated with cell dissociating solution (0.2% trypsin, 0.02% EDTA, glucose-free PBS).

L6 were maintained using DMEM with 10% FBS, penicillin (100 IU/ml) and streptomycin (100 µg/ml) (both from Gibco; Thermo Fisher Scientific, Inc.) in a humidified atmosphere of 5% CO2 at 37˚C until confluent. The cell was dissociated with cell dissociating solution (0.2% trypsin, 0.02% EDTA, glucose-free PBS). When L6 myoblasts reached confluence, the medium was switched to the differentiation medium containing DMEM and 2% horse serum (Gibco; Thermo Fisher Scientific, Inc.). After 4 additional days, the differentiated L6 cells had fused into myotubes. L6 myotubes were used for treatment. All the chemicals were obtained from Invitrogen; Thermo Fisher Scientific, Inc. unless otherwise stated.

Cell viability assay

The effect of BA and atorvastatin on the viability of L6 and MIN-6 cells was determined by sulforhodamine B (SRB) assay (43). Briefly, a confluent monolayer of cells was trypsinized, counted, and seeded in a flat bottom 96-well plate at a density of 5x103 cells/well with a culture medium. After 24 h, the residual medium was replaced, and the cells were incubated in a new culture medium containing different concentrations of atorvastatin and BA. The pre-treatment with 0.0001 to 10 µM of BA for 24 h and 100 nM of atorvastatin for 48 h in the L6 cells and pre-treatment with 6.25 to 200 µM of BA for 24 h and 50 µM of atorvastatin for 48 h in MIN-6 cells were carried out for the study. After desired incubation, cells were fixed with 50% (w/v) cold TCA, and then plates were kept at 4˚C for 1 h. Following 1 h incubation, plates were washed with distilled water four times and allowed to dry at room temperature (RT). Dried plates were stained with 0.4% (w/v) SRB in 1% (v/v) acetic acid for 30 min in dark. Excess and unbound SRB dye was removed by repeated washing with 1% (v/v) acetic acid, and plates were allowed to air dry. Absorbance was measured at 540 nm using a microplate reader by solubilizing the bound dye with 10 mM (w/v) Tris HCl.

Glucose uptake assay

A total of 5x103 L6 cells were seeded per well in a 96-well plate using 100 µl of DMEM supplemented with 10% FBS. The cell culture was maintained by replacing the medium every 2-3 days. On the 5th day, the cells were differentiated into myotubes by substituting the medium with DMEM containing 2% horse serum. Subsequent daily medium replacements with low serum facilitated myotube maturation over 3 days. Prior to the assay, the medium was switched to serum-free DMEM. On the assay day, cells were treated with various conditions, including insulin or samples lacking serum or glucose, and incubation was performed for specified durations. Glucose uptake was assessed using a 2-deoxyglucose (2DG) uptake assay (Glucose uptake Glo-Kit; cat no. J1341; Promega Corporation) wherein cells were exposed to 0.1 mM 2DG in PBS for 30 min at 25˚C. The reaction was halted by adding stop buffer followed by neutralization buffer, and then 2-Deoxy-D-glucose 6-phosphate (2DG6P) detection reagent was added. After 1 h of incubation at 25˚C, luminescence was measured using a luminometer with integration ranging from 0.3 to 1 sec. The Glucose Uptake Rate was calculated according to the following formula: Rate of glucose uptake=[(2DG6P x (volume of sample) ÷ (number of cells x time of uptake)].

FFA estimation assay

DMEM, FBS, penicillin-streptomycin, trypsin and the FFA Quantification Kit (cat no. MAK044; MilliporeSigma) were utilized. L6 cells (1x106) were harvested and extracted using 200 µl of chloroform containing 1% Triton-100, employing a micro-pestle. The resulting samples underwent centrifugation at 13,000 x g for 10 min at 4˚C to eliminate insoluble material. The organic phase was carefully transferred to a new tube and air-dried at 50˚C to eliminate chloroform, discarding the resultant pellet. Subsequently, samples were subjected to drying using a nitrogen evaporator to remove any residual organic solvent.

The dried lipids were reconstituted by dissolving them in 200 µl of the FFA assay buffer, followed by sonication or vortex until a homogeneous mixture was achieved. FFA quantification was performed according to the manufacturer's protocol (cat. no. MAK044). In brief, 50 µl of the sample was mixed with 2 µl of ACS and incubated for 30 min at 37˚C. This was followed by adding a master mix of 50 µl to each reaction. The samples were thoroughly mixed and further incubated for 30 min at 37˚C in the dark. Absorbance measurements were received at 570 nm.

Cholesterol estimation assay

Cells (1x106) were extracted using 200 µl of a mixture containing chloroform, isopropanol and IGEPAL (7:11:0.1) in a micro-homogenizer. After extraction, samples were centrifuged at 13,000 x g for 10 min at 4˚C to eliminate insoluble material. The resulting organic phase was carefully transferred to a new tube and air-dried at 50˚C to remove chloroform, with the pellet subsequently discarded. Samples were dried using a nitrogen evaporator to eliminate residual organic solvent.

The dried lipids were reconstituted by dissolving them in 200 µl of Cholesterol Assay Buffer (1X PBS with 50 mM cholic acid), followed by sonication or vortex until a homogeneous mixture was obtained. Cholesterol estimation was performed using a modified protocol employing the Agape kit (cholesterol quantification kit; cat. no. MAK043; MilliporeSigma). Specifically, 10 µl of the sample was mixed with 200 µl of cholesterol assay reagent and incubated for 10 min at 37˚C. Absorbance was then measured at 510 nm.

Insulin release assay

The MIN-6 cell line, sourced from ATCC, was cultured in DMEM supplemented with 10% inactivated FBS, glutamine, BME, penicillin (100 IU/ml) and streptomycin (100 µg/ml) until confluent. After dissociation with cell dissociating solution (0.25% trypsin, 0.02% EDTA, in PBS), cells were seeded at 0.8x106 cells/well in a 6-well plate and incubated for 24 h at 37˚C in a 5% CO2 incubator. The cells were then treated with BA samples for 24 h, followed by statin treatment at 50 µM for 48 h. Subsequently, the media was replaced with Krebs's buffer containing 5.8 mM glucose and incubated for 4 h. Cell culture supernatants were collected and subjected to ELISA for insulin quantification according to the manufacturer's protocol (Mouse INS1 ELISA kit; cat. no. RAB0817; MilliporeSigma). In the ELISA procedure, standards and samples were added to appropriate wells and incubated for 2.5 h at RT or overnight at 4˚C. After washing, detection antibody and Streptavidin solution were added successively, followed by incubation and washing steps. TMB one-step substrate reagent was added, and after 30 min of incubation in the dark, the reaction was stopped with a stop solution. Absorbance was measured at 450 nm.

Mitochondrial membrane potential (MMP) assay

The MIN-6 cells were treated with 50 and 100 µM BA for 24 h, followed by 50 µM atorvastatin treatment for 48 h post-incubation. After treatment, the media was removed, and cells were gently washed with 1X PBS. Subsequently, the cells were stained with Rhodamine 123 (cat. no: R8004; MilliporeSigma) and analyzed using a BD FACSCanto™ II flow cytometer (BD Biosciences). The data were analyzed using FlowJo™ software (version 10.8; BD Biosciences).

Western blotting

The procedure involved initial sample preparation, where cells or tissues were harvested and homogenized in a RIPA buffer (cat. no. 89901; Thermo Fisher Scientific, Inc.) containing a protease inhibitor cocktail (cat. no. 11873580001; Roche Diagnostics). Following centrifugation to remove debris, protein concentration was determined using Bradford or BCA assay. Subsequently, proteins were separated via SDS-PAGE electrophoresis, loaded onto the gel alongside molecular weight markers, and electrophoresed until dye migration was complete. Transfer of proteins to a PVDF or nitrocellulose membrane was carried out using a wet or semi-dry transfer apparatus with an appropriate transfer buffer. Post-transfer, the membrane underwent blocking with 5% non-fat milk or BSA (cat. no. A7906; MilliporeSigma) in TBST containing 0.1% Tween-20 to prevent non-specific binding before being incubated with primary antibodies overnight at 4˚C. After washing, the membrane was probed with HRP-conjugated secondary antibodies and rewashed to remove unbound antibodies. Protein bands were visualized using ECL Western Blotting Detection Reagent (cat. no. RPN2106; GE Healthcare Life Sciences), and images were captured with a ChemiDoc™ Imaging System (Bio-Rad Laboratories, Inc.). Band intensity analysis was performed using ImageJ software (version 1.53; National Institutes of Health). Statistical analysis was conducted using GraphPad Prism software (version 8.0; GraphPad Software, Inc.; Dotmatics) to ascertain significant differences between experimental groups. Positive and negative controls were included to validate assay specificity, while housekeeping proteins served as loading controls for normalization. Experiments were conducted with sufficient biological and technical replicates to ensure robustness and reproducibility of results.

Protein estimation for insulin receptor pathway and UCPs in L6 cells was conducted by BCA protein assay kit (Invitrogen; Thermo Fisher Scientific, Inc.). The cells were conventionally sub-cultured and counted using a Hemocytometer. The cell count was adjusted to 1x105 cells/2 ml. A total of 2 ml of cell suspension was added to each dish in a 6-well plate and incubated until the cells reached confluence. Cells were further cultured in DMEM supplemented with 2% horse serum for 7 days with alternate-day media change. The cells, post harvesting, were washed twice using 1X PBS. Cells were lysed to extract total protein using 300 µl RIPA buffer containing 1X protease inhibitor. Cell contents were incubated for 30 min by gentle mixing every 5 min at 4˚C. Post incubation, the cells were centrifuged at 14,123 x g for 15 min for 4˚C to obtain the protein lysates. The supernatant containing the protein lysate was carefully transferred to a fresh tube, and the protein concentration was determined using the BCA Protein Assay Kit according to the manufacturer's instructions. A total of 100 µg protein samples from each cell lysate were mixed with 5X loading dye and heated for 2 min at 95°C. Protein samples were loaded and separated on 8-, 10- and 15% SDS-PAGE gel using Mini protean Tetra cell (Bio-Rad Laboratories, Inc.). Nitrocellulose membrane (0.2 µM) was equilibrated in transfer buffer for 10 min at RT. Protein transfer was conducted for 15 min in Turbo Transblot (Bio-Rad Laboratories, Inc.) apparatus at 2.5 A and 25 V. Blots were blocked in 3% BSA in TBST for 1 h at RT followed by incubation with respective primary antibodies (antibody details provided in Table I, Table II and Table III) at appropriate dilutions overnight at 4˚C. The blots were washed three times with TBST for 5 min at RT. The blots were then incubated for 1 h at RT with HRP-conjugated secondary antibodies (anti-Rabbit IgG; HRP-conjugated; 1:10,000; cat. no. E-AB-1003; Elabscience Biotechnology, Inc.). After three washes with TBST for 5 min at room temperature, the blots were rinsed with ECL reagent for 1 min in the dark, and the images were captured between 0.5-15 sec exposure in a Chemidoc XRS + imaging system. The SDS-PAGE gel profile with the percentage of separating and stacking gel, and primary antibody details for different protein markers in the L6 cell line are provided in Fig. 3 and Table I.

Figure 3

SDS PAGE loading details in the L6 cell line; 10% Separating and 5% Stacking gel; Lane 1: Protein Ladder, Lane 2: Control, Lane 3: Atorvastatin 100 nM, Lane 4: BA 10 µM + 100 nM Statin, Lane 5: BA 1 µM + Statin 100 nM. BA, Biochanin-A.

Table I

SDS-PAGE gel profile with the percentage of separating and stacking gel, and antibody details for different protein markers in the L6 cell line.

Table I

SDS-PAGE gel profile with the percentage of separating and stacking gel, and antibody details for different protein markers in the L6 cell line.

Protein markersSeparating gel percentage (%)Stacking gel percentage (%)DilutionCat. no.SupplierExposure time (sec)
GAPDH1051:1,000E-AB-20072Elabscience Biotechnology, Inc.15
IRS-1851:500E-AB-31831 1
Pan Akt1051:500E-AB-12213 15
GLUT41051:500E-AB-31558 10
PPAR-Gamma1051:1,000E-AB-60059 15
UCP21551:1,000E-AB-70257 30
UCP31051:1,000E-AB-17514 5

Table II

SDS-PAGE gel profile with the percentage of separating and stacking gel, and antibody details for different protein markers in the MIN-6 cell line.

Table II

SDS-PAGE gel profile with the percentage of separating and stacking gel, and antibody details for different protein markers in the MIN-6 cell line.

Protein markersSeparating gel percentage (%)Stacking gel percentage (%)DilutionCat. no.SupplierExposure time (sec)
GAPDH1051:1,000E-AB-20072Elabscience Biotechnology, Inc.1
p531051:1,000E-AB-32466 10
Nicotinamide phospho ribosyl-transferase1051:600E-AB-14435 10
Sirtuin-11051:2,000E-AB-32901 20

Table III

SDS-PAGE gel profile with the percentage of separating and stacking gel, and antibody details for caspase-3 protein markers in the MIN6 cell line.

Table III

SDS-PAGE gel profile with the percentage of separating and stacking gel, and antibody details for caspase-3 protein markers in the MIN6 cell line.

Protein markersSeparating gel percentage (%)Stacking gel percentage (%)DilutionCat. no.SupplierExposure time (sec)
GAPDH1051:1,000E-AB-20072Elabscience Biotechnology, Inc.0.5-10
Caspase-31051:1,000E-AB-66940 0.5-60

MIN-6 cells were cultured using a similar procedure as the L6 cells with the following modifications: The cell count was adjusted to 10x106 cells/2 ml before plating in P35 dishes, and 20 µg of protein samples from each cell lysate were loaded per lane for subsequent analysis. Apoptosis markers, SIRT-1 and nicotinamide phospho-ribosyl-transferase (NAMPT) protein expression were analyzed in the MIN-6 cell line.

The SDS-PAGE gel profile and details of SDS PAGE loading for different protein markers in MIN-6 cell line are presented in Fig. 4 and Table II. The SDS-PAGE gel profile with the percentage of separating and stacking gel, and primary antibody details for caspase-3 protein markers in the MIN-6 cell line is given in Fig. 5 and Table III.

Figure 4

SDS PAGE loading details in the MIN-6 cell line; 10% Separating and 5% Stacking gel; Lane 1: Protein Ladder, Lane 2: Control, Lane 2: Atorvastatin 50 µM, Lane 3: BA 100 µM + 50 µM Statin, Lane 4: BA 50 µM + Statin 50 µM. BA, Biochanin-A.

Figure 5

SDS PAGE loading details: 10% separating and 5% stacking gel; Lane 1: Protein Ladder, Lane 2: Control, Lane 2: Statin 50 µM, Lane 3: BA 100 µM + 50 µM Statin, Lane 4: BA 50 µM + Statin 50 µM of caspase-3 protein markers in the MIN-6 cell line. BA, Biochanin-A.

Statistical analysis

Experimental results are expressed as the mean ± SEM. One-way ANOVA using GraphPad Prism software (version 8 and 8.4.2; Dotmatics) was used for statistical analysis, followed by Dunnett's multiple comparison test to assess the significance between groups or unless stated otherwise. P<0.05 was considered to indicate a statistically significant difference. All assays were performed with three independent experiments (n=3), except for western blots, where two independent experiments (n=2) were conducted for the analysis of protein markers.

Results

Effect of BA and atorvastatin on the viability of L6 and MIN-6 cells

The cytotoxic effects of atorvastatin on L6 and MIN-6 cells were assessed via the SRB assay, revealing an IC50 value of 86.3 nM for L6 cells and 41.22 µM for MIN-6 cells. Treatment of L6 cells with BA at varying concentrations resulted in negligible cytotoxicity, with a maximum of 19.78% observed at 10 µM. Subsequent co-treatment with 100 nM atorvastatin and BA led to a significant increase in cell proliferation, reaching 23.93% at 10 µM concentration in L6 cells (Fig. 6A). Similarly, in MIN-6 cells, BA demonstrated a protective effect against statin-induced cytotoxicity, with cell proliferation of up to 28.10% observed at 100 µM concentration of atorvastatin (Fig. 6B). Notably, BA exhibited a dose-dependent response in both cell lines, with lower concentrations failing to induce proliferation. These findings suggest that BA may effectively counteract statin-induced cytotoxicity and promote cell proliferation in both L6 and MIN-6 cells. For subsequent studies, concentrations of 10 and 1 µM BA in combination with 100 nM of atorvastatin were utilized in L6 cells, while 50 µM statin-induced cytotoxicity treated with 100 and 50 µM BA was employed in MIN-6 cells to further elucidate its protective mechanisms.

Figure 6

BA promotes the proliferation of L6 and MIN-6 cells. (A) L6 Cells were treated with varying concentrations of Atorvastatin to determine the IC50 and the cell proliferation with the combination of Atorvastatin and BA by SRB assay. The value is represented as the mean ± SEM (n=3). (B) MIN-6 Cells were treated with BA against Atorvastatin-induced cytotoxicity. IC50 of BA and Atorvastatin was analyzed. The highest cell proliferation was observed for the combination of Atorvastatin with 50 and 100 µM BA. The value is presented as the mean ± SEM (n=3). BA, Biochanin-A; SRB, sulforhodamine B.

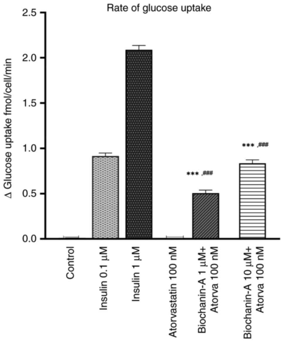
Effect of BA and atorvastatin on the glucose uptake of L6 cells

In the present study, the effect of BA and atorvastatin on glucose uptake in L6 skeletal muscle cells was assessed using the 2-deoxyglucose uptake assay. The results demonstrated a significant increase in glucose uptake upon treatment with insulin (Fig. 7). Specifically, treatment with 1 µM insulin resulted in a 2.07-fold increase in glucose uptake compared with the untreated control (P<0.0001). When L6 cells were pre-treated with BA at concentrations of 1 and 10 µM for 24 h and subsequently treated with atorvastatin (100 nM) for 48 h, a fold increases in glucose uptake of 0.49 and 0.82, respectively, was observed compared with control cells. These findings indicate that while BA did increase glucose uptake, its effectiveness was less than that of insulin treatment alone.

Figure 7

Estimation of rate of glucose uptake in L6 cells treated with various concentrations of Biochanin-A and Atorvastatin. Atorvastatin inhibited the insulin-mediated glucose uptake of L6 cells. Pre-treatment with Biochanin-A reduced the inhibitory effects of Atorvastatin on glucose uptake, suggesting the protective impact of Biochanin-A. All values are expressed as the mean ± SEM (n=3). ***P<0.0001 vs. atorvastatin; ###P<0.0001 when compared with insulin 1 µM by Tukey's comparison test.

Notably, atorvastatin treatment inhibited insulin-mediated glucose uptake in L6 cells. However, pre-treatment with BA mitigated the inhibitory effects of atorvastatin on glucose uptake, suggesting that BA has a protective role against the negative impact of atorvastatin on cellular glucose regulation. These results were significant (P<0.0001 when compared with the effect of insulin and statin alone), as determined by Tukey's comparison test (Fig. 7).

Effect on insulin receptor pathway by western blotting on L6 cells

To evaluate the impact of atorvastatin and BA on the insulin receptor pathway, western blot analysis was conducted to assess the protein expression levels of key factors, including IRS-1, pan-Akt, GLUT-4 and peroxisome proliferator-activated receptor (PPAR)-gamma in L6 cells (Fig. 8A). The insulin receptor substrate-1 is key in the signal transmission cascade initiated by insulin. An increase in IRS-1 can enhance insulin signaling and consequently boost cellular glucose absorption, which might ameliorate insulin resistance. Western blot results showed that L6 cells pre-treated with 10 µM BA demonstrated a significant upregulation of IRS-1, with levels rising 2.42-fold (Fig. 8A). This increase suggests that BA promotes insulin signaling, potentially enhancing glucose uptake. Dose dependency was noted, as the effect was specific to the 10 µM concentration. Atorvastatin did not significantly affect IRS-1 expression.

Figure 8

Western blot analysis of insulin receptor pathway proteins. (A) L6 cells were pre-treated with BA (1 or 10 µM) for 24 h and Atorvastatin (100 nM) for 48 h. Cell lysates were subjected to western blot analysis using antibodies against IRS-1, AKT, GLUT4 and PPAR-gamma (loading control). Pre-treatment with BA upregulated the levels of these proteins at 10 µM. Densitometric analysis of protein expression normalized to GAPDH. Data are presented as the mean ± SEM (n=2). **P<0.01, ***P<0.001 and ****P<0.0001 compared with control group, as indicated. Statistical significance was determined by one-way ANOVA followed by Dunnett's post hoc test. (B) Representative western blot images of IRS-1, AKT, GLUT4 and PPAR-gamma in L6 cells treated with atorvastatin alone and BA pre-treatment at 1 and 10 µM, followed by atorvastatin exposure. The bands shown in this panel originate from different western blots conducted under identical experimental conditions. A shared GAPDH control was used for comparison across the blots, which was necessary due to the 10-well capacity of the mini blot module. BA, Biochanin-A; PPAR, peroxisome proliferator-activated receptor.

The western blot analysis focused on pan-Akt, a crucial protein kinase involved in metabolism and cell survival, revealed that L6 skeletal muscle cells treated solely with atorvastatin displayed a significant change in pan-Akt levels but lesser when compared with the combination of BA groups. By contrast, cells pre-treated with BA followed by atorvastatin exhibited a significant 1.79-fold increase in pan-Akt expression, suggesting that BA may enhance Akt activation within the insulin signaling pathway (Fig. 8A).

Western blot analyses demonstrated that pre-treatment of L6 cells with 10 µM BA led to a substantial increase in GLUT4 protein levels, with a 2.76-fold upregulation observed (Fig. 8A). This effect of BA on GLUT4 expression was dose-dependent, indicating a potential mechanism for increased glucose uptake and metabolism through the insulin signaling pathway.

PPAR-gamma is a nuclear receptor that plays a critical role in regulating insulin sensitivity and glucose homeostasis. PPAR activation in mature adipocytes induces the expression of a number of genes involved in the insulin signaling cascade, thereby improving insulin sensitivity. PPAR-gamma activation results in a marked improvement in type 2 diabetic patients of insulin and glucose parameters resulting from an improvement of whole-body insulin sensitivity. BA at a dose of 10 µM in combination with atorvastatin 100 nm showed a dose-dependent effect by upregulating the PPAR-gamma protein by 1.71-fold (Fig. 8A). This indicates that BA can activate PPAR-gamma significantly and modulate insulin signaling despite the statin effect of downregulating this protein by 0.71-fold.

Pre-treatment of L6 cells with 10 µM BA significantly upregulated IRS-1, pan-Akt and GLUT4 expression, by 2.42-fold, 1.79-fold and 2.76-fold, respectively. This suggests that BA enhances insulin signaling and glucose uptake. Additionally, BA (10 µM) in combination with atorvastatin (100 nm) increased PPAR-gamma protein expression by 1.71-fold, indicating its ability to modulate insulin sensitivity despite atorvastatin's downregulation of PPAR-gamma. These findings highlight the potential of BA to improve insulin sensitivity and glucose homeostasis through multiple pathways. The western blot images of these markers are specified in Fig. 8B.

Role of UCPs in modulating sSIRT-1 by BA and atorvastatin-treated L6 cells

In evaluating the biochemical pathway interactions between BA and atorvastatin, a key focus was on the UCP levels (Fig. 9). Our in vitro experiments on L6 cells revealed a significant upregulation of UCP2 by atorvastatin. Western blotting demonstrated that atorvastatin elevated UCP2 expression by 3.43-fold compared with the untreated control group. This upregulation of UCP2, in the absence of BA, was associated with a decrease in SIRT-1 protein levels, aligning with our original hypothesis.

Figure 9

Densitometric analysis of protein expression normalized to GAPDH. (A) Western blot analysis of UCPs, on L6 cells. Pre-treatment with BA downregulated the levels of UCP3 and upregulated UCP2 at 10 µM. Data is presented as the mean ± SEM (n=2). *P<0.05, ***P<0.001 and ****P<0.0001 compared with control. Statistical significance was determined by one-way ANOVA with Dunnett post-hoc test. (B) Representative western blot images. The bands shown in this panel originate from different western blots conducted under identical experimental conditions. A shared GAPDH control used in Fig. 8B was utilized for comparison across the blots, ensuring consistency across experiments due to the 10-well capacity of the mini blot module. BA, Biochanin-A; UCP, uncoupling protein.

Subsequent treatment with BA in combination with atorvastatin produced a reversal of this effect, with normalization of UCP2 expression to 1-1.08-fold relative to the control. This suggests a mitigating influence of BA on the atorvastatin-induced overexpression of UCP2, which may be through the modulation of the SIRT-1 pathway (Fig. 9A and B).

Western blot analysis of BA and atorvastatin on UCP3 proteins in L6 muscle cells revealed that pre-treatment with 10 µM of BA significantly increased UCP3 levels, with a 2.6-fold enhancement compared with untreated controls. Conversely, cells exposed to 100 nM of atorvastatin alone exhibited a marked decrease in UCP3 expression, down to 0.31-fold of control levels.

The statin treatment downregulated UCP3 expression observably and BA treatment revealed upregulation of UCP3 in a dose-dependent manner. Overall, the results suggest that the UCP2 and UCP3 expression is inversely associated under the influence of these compounds. The data indicate that BA may serve a protective role, modulating the negative effects statins have on UCP3 expression.

Effect of BA on statin-induced FFA and cholesterol quantification. FFA quantification

The result of the FFA estimation assay demonstrated that the cells treated with atorvastatin alone and its combination with BA had an increase in FFA content compared with the control group. The L6 cells treated with statin alone at 100 nM showed a maximum of 47.78 nM/µl whereas BA at 1 and 10 µM respectively showed 40.18 and 39.33 nM/µl compared with control in FFA concentration. It was found that there was a significant change in FFA content in the statin-alone and combination groups when compared with the control group indicating a modulation of FFA accumulation by BA (Fig. 10).

Figure 10

Free fatty acid assay of L6 cells treated with Atorvastatin and Biochanin-A. Data is presented as the mean ± SEM (n=3). **P<0.001 and ****P<0.0001 compared with the normal control group. Samples were analyzed by one-way ANOVA with Dunnett post-hoc test.

Cholesterol quantification. The result of the cholesterol quantification assay revealed that the cells treated with atorvastatin alone and its combination with BA had a reduction in cholesterol content compared with the normal control group. The L6 cells treated with statin alone at 100 nM showed a minimum of 0.02 mg/ml, and BA at 1 and 10 µM respectively showed 0.59 and 0.133 mg/ml levels of cholesterol concentration. These findings illustrate that the combination of BA with atorvastatin does not hamper the cholesterol-lowering efficacy of atorvastatin (Fig. 11).

Figure 11

Cholesterol estimation assay of L6 cells treated with Atorvastatin and Biochanin-A. Data is presented as the mean ± SEM (n=3). ****P<0.0001compared with the normal control group. Samples were analyzed by one-way ANOVA with Dunnett post-hoc test.

Effect of BA on statin-induced insulin release in MIN-6 cells

Cells were pre-treated with BA at 50 and 100 µM to evaluate the effect on insulin secretion against statin treatment with response to glucose stimulation at 5.8 mM. The results suggest the dose-dependent increase in insulin levels at BA 50 and 100 µM with 7.45 and 9.7 µU/ml compared with statin treatment with 4.2 µU/ml. Insulin level in untreated control was observed to be 9.9 µU/ml. BA treatment at 100 µM shows a significant increase in insulin levels compared with Statin (P<0.01).

The results suggest that BA can improve insulin release against the statin effect of lowered insulin release, which indicates that BA is an effective treatment choice in statin-induced diabetes (Fig. 12).

Figure 12

Effect of Biochanin-A and atorvastatin on insulin release using Insulin release assay in MIN-6 cells. All values are expressed as the mean ± SEM (n=3). ***P<0.001 and ****P<0.0001 vs. glucose 5.8 mM by Tukey's comparison test.

Effect on MMP by flow cytometry

The results of the MMP assay using Rhodamine dye suggest that atorvastatin produced a decrease in cell fluorescence which indicates loss of MMP. However, when combined with BA, there was a significant increase in cell fluorescence compared with atorvastatin alone, indicating a potential protective effect of BA. The pre-treatment with BA showed a dose-dependent enhancement of MMP in MIN-6 cells compared with the normal control. These results suggest that BA may have a beneficial role in preserving mitochondrial function, potentially offering therapeutic benefits in conditions associated with mitochondrial dysfunction (Fig. 13A and B).

Figure 13

(A) Histogram with a mean fluorescence of the treated groups. (B) The MMP analysis of MIN-6 cells treated with Atorvastatin and Biochanin-A. Statin treatment produced a decreased MMP whereas the combination of Biochanin-A with statin has improved the MMP of the cells. All values are expressed as the mean ± SEM (n=3). ****P<0.0001 when compared with the control group and ####P<0.0001 compared with Atorvastatin treated group. Statistical analysis is performed by One-way ANOVA followed by Tukey's multiple comparison tests. MMP, mitochondrial membrane potential.

Impact of BA and statin treatment on apoptosis marker expression in MIN-6 cells. p53 protein expression

An upregulation of the p53 marker in the atorvastatin-alone treatment group compared with the normal control group was revealed using western blotting. The pre-treatment of BA with atorvastatin showed a decrease in p53 levels at a 50 µM dose. However, when the BA dose was doubled to 100 µM, an increase in p53 levels was evident, suggesting that high doses of BA might trigger cellular responses to counteract DNA damage.

These findings indicate a complex interaction where low doses of BA protect against apoptosis induced by statin treatment and potentially protecting pancreatic beta cells from statin-induced toxicity. This dual action of BA, with an initial downregulation followed by upregulation of p53 at higher concentrations, warrants further exploration into the pathway mechanisms, particularly the analysis of p53 downstream targets (Fig. 14A and B).

Figure 14

Quantitative representation of western blot analysis of apoptosis markers expression normalized to GAPDH on MIN-6 cells. (A) Pre-treatment with Biochanin-A downregulated the levels of Caspase-3 and upregulated p53 at 100 µM. Data is presented as the mean ± SEM (n=2). Samples were analyzed by one-way ANOVA with Dunnett post hoc test. (B) Representative western blot images of GAPDH, p53 and caspase-3 in MIN-6 cells treated with atorvastatin alone, as well as BA pre-treatment at 100 and 50 µM, followed by atorvastatin exposure. The bands shown in this panel originate from different western blots conducted under identical experimental conditions. A total of 2 separate GAPDH controls were used for comparison with the respective protein blots (p53 and caspase-3), ensuring consistency across experiments. The blotting procedure was adapted to the 10-well capacity of the mini blot module. *P<0.05, **P<0.01 and ***P<0.001 compared with control group. BA, Biochanin-A.

Caspase-3 protein expression. The western blot results of MIN-6 cells pre-treated with BA at concentrations of 50 and 100 µM suggest a significant downregulation of Caspase-3 by 1.26 and 1.91-fold, respectively, compared with the control group. The BA treatment exhibited a dose-dependent effect on Caspase-3 protein expression. By contrast, atorvastatin at a concentration of 50 µM showed an upregulation of Caspase-3 by 4.03-fold compared with the control group. These results suggest that atorvastatin induces apoptosis in the MIN-6 cells at 50 µM concentration (Fig. 14A and B).

Interestingly, BA in combination with atorvastatin prevented cell apoptosis. This observation indicates a protective effect of BA against atorvastatin-induced apoptosis. Furthermore, this analysis confirms the reason for the increased levels of p53 observed in the present study. The elevated levels of p53 indicate the activation of a feedback mechanism at higher combination doses of BA.

Effect of BA and statin in modulating SIRT-1 by western blotting. SIRT-1 protein expression

The western blot findings for MIN-6 cells subjected to pre-treatment with BA in combination with statin at concentrations of 100 and 50 µM indicate a respective upregulation of SIRT-1 protein by 1.62 and 1.13-fold compared with the control. Additionally, the upregulation observed in the BA combination groups with atorvastatin was 2.35-fold and 1.64-fold higher at 100 and 50 µM respectively, compared with atorvastatin alone at 50 µM. Notably, the combination group with 100 µM BA demonstrated a significant increase in upregulation, indicating a dose-dependent effect when compared with the statin-alone-treated group. Atorvastatin treatment resulted in a reduction in the expression of SIRT-1 compared with the control and BA combination groups. The BA treatment improved the SIRT-1 expression in the combination group of atorvastatin indicating that BA can be considered as SIRT-1 modulator/activator (Fig. 15A and B).

Figure 15

Quantitative representation of western blot analysis of SIRT-1 and NAMPT markers expression normalized to GAPDH on MIN-6 cells. (A) Pre-treatment with BA upregulated the levels of these proteins at 100 µM. Data is presented as the mean ± SEM (n=2). Statistical analysis was performed using one-way ANOVA with Tukey's multiple comparison. (B) Representative western blot images of GAPDH, SIRT-1 and NAMPT in MIN-6 cells treated with atorvastatin alone, as well as BA pre-treatment at 100 and 50 µM, followed by atorvastatin exposure. The same GAPDH control used for p53 in Fig. 14B is also used here for comparison with SIRT-1 and NAMPT protein expression. The bands originate from different western blots conducted under identical experimental conditions. This approach was necessary due to the 10-well capacity of the mini blot module, which required the use of a shared GAPDH control. *P<0.05 compared with control; #P<0.05, ##P<0.01 compared with statin-alone group. SIRT-1, sirtuin-1; NAMPT, nicotinamide phospho-ribosyl-transferase; BA, Biochanin-A.

NAMPT protein expression

The western blot results of MIN-6 cells pre-treated with BA at 100 µM concentrations suggest a significant upregulation of the NAMPT protein by 1.92-fold compared with the control and 3.92-fold when compared with atorvastatin alone group. Atorvastatin at a concentration of 50 µM resulted in a 0.49-fold regulation of NAMPT expression compared with the normal control group. BA combination groups upregulated NAMPT expression, whereas atorvastatin alone downregulated its expression, highlighting the contrasting effects of these treatments (Fig. 15A and B).

Discussion

Atorvastatin is a widely prescribed medication that effectively lowers cholesterol levels and reduces the risk of cardiovascular disease by inhibiting HMG-coA reductase enzyme involved in cholesterol production (44). However, previous research has suggested a potential link between statin use and an increased risk of developing diabetes mellitus (4-8). This has raised concerns about the long-term impact of statins on glucose metabolism and has prompted the exploration of alternative approaches to mitigate this risk. In light of the risk-benefit analysis, statins are certainly here to stay. Thus, it is essential to discover an agent that could prevent these undesirable effects of statins without compromising their efficacy when used in combination. Several studies have demonstrated a significant association between statin use and the development of new-onset diabetes. The exact mechanisms underlying this relationship are not fully understood, but proposed hypotheses include impaired insulin secretion, increased insulin resistance, and disruptions in intracellular glucose metabolism (11). Understanding the precise pathways through which statins may impact glucose homeostasis is crucial for improved risk stratification and management of patients on statin therapy.

The present study evaluated the effect of BA in preventing statin-induced type-2 diabetes mellitus by analyzing insulin resistance in L6 skeletal muscle cells and pancreatic beta cell death in MIN-6 cells. The emphasis on skeletal muscle is due to its central role in glucose control and energy balance, as it is the main site for postprandial glucose uptake. Disruptions in this system can lead to type 2 diabetes (45). The use of L6 and MIN-6 cell lines offers a dual approach, providing insights into both insulin action within muscle tissue and beta cell health, two critical determinants in disease progression.

By employing the SRB assay (43), the optimal concentrations of atorvastatin and BA to induce functional inhibition in MIN-6 and L6 cell lines were determined, paving the way for further investigations. Subsequently, experiments were conducted following the established workflow in our laboratory. Similar to a prior study demonstrating the stimulatory impact of BA on 2-NBDG glucose uptake assay (46), the current findings from the 2-DG assay revealed an improved glucose uptake in L6 cells among the group pre-treated with BA. Multiple studies have shown that atorvastatin inhibits the glucose uptake of the cells (47-49). The present findings agree with the literature, as BA was able to reduce the effect of statins decreasing glucose uptake, while atorvastatin restricted the insulin-mediated glucose uptake of L6 cells.

It was noted that statin inhibits the insulin-mediated glucose uptake of the cell through impairment of the intracellular insulin receptor signaling (50) or by excessive accumulation of FFA in skeletal muscle as a result of HMG-CoA reductase enzyme and pathway inhibition (51). Statin decreases the GLUT-4 translocation (49,52,53) and impaired AKT activation (53,54) in muscle cells leading to impairment of glucose transport in myotubes and producing disrupted insulin receptor pathway signaling. Our protein expression analysis revealed that there was dose-dependent upregulation of IRS-1, GLUT-4 and PPAR-γ proteins in pre-treatment with BA in combination with atorvastatin at 10 µM concentration. AKT protein expression was elevated with pre-treatment of BA but not in a dose-dependent manner. However, atorvastatin when treated alone inhibited IRS-1 and PPAR-γ protein expression levels. Atorvastatin produced no changes in the level of GLUT-4 but showed an increase in the AKT expression when compared with control. The combination of BA with atorvastatin enhanced IRS-1 expression in skeletal muscle, improving the efficiency of the insulin signaling pathway, and resulting in increased glucose uptake by muscle cells in response to insulin. The number of glucose transporters on the cell membrane is increased, leading to enhanced glucose uptake in response to insulin, as GLUT-4 protein levels are upregulated when BA is administered. BA in combination with a statin medication upregulates Akt protein expression in skeletal muscle, thereby enhancing the efficiency of the insulin signaling pathway and facilitating glucose uptake. When PPAR gamma protein expression is upregulated in skeletal muscle, it enhances insulin sensitivity and glucose uptake by promoting the transcription of genes involved in glucose metabolism and insulin signaling, thus improving overall insulin signaling pathway efficiency.

SIRT-1 protein has involvement in insulin signaling, and insulin resistance causing type-2 diabetes mellitus (32). The metabolic defect of skeletal muscle is responsible for insulin resistance (55). Decreased level of SIRT-1 protein in muscle tissue leads to insulin resistance (56). By increasing SIRT-1 expression in skeletal muscle, insulin sensitivity can be improved (33). It is proven that diabetic patients have downregulated SIRT-1 in muscle tissue (36).

UCPs are mitochondrial inner membrane proteins, responsible for cellular respiration. UCP2 is present in the pancreatic β cell, liver and heart. UCP3 is selectively expressed in skeletal muscle cells (57). SIRT-1 is known to repress the UCP2 gene, binding directly to UCP2 promoter (40). After glucose stimulation, β cells fail to increase the level of ATP due to upregulation of UCP2(58). UCP2 and UCP3 are involved in mitochondrial function and metabolic regulation. UCP2 negatively regulates insulin secretion in pancreatic β cells, while UCP3, primarily in skeletal muscle, plays a role in fatty acid metabolism (33). It was shown that UCP3 levels are lowered by statin (15). The accumulation of FFA is inhibited by UCP3. According to a study, silencing of UCP-2 was associated with an upregulation of GLUT-4, increased glucose uptake, and reduced intracellular lactate levels, indicating improvement of oxidative glucose metabolism (59). When statin is administered, there will be an accumulation of FFA and downregulation of SIRT-1 protein, which will cause an upregulation of UCP2 levels. BA is known to upregulate SIRT-1 protein and thereby reverse the effect (33). It was hypothesized that BA may be able to inhibit statin-induced diabetes, possibly by modulating SIRT-1 via downregulating UCP2 and upregulating UCP3.

The expression study on L6 cells revealed that atorvastatin enhances UCP2 protein levels compared with the control. By contrast, the combination of BA with atorvastatin reduced the UCP2 expression up to 1-1.08-fold compared with the control. The increase in UCP2 expression observed in the statin-alone group may be attributed to the reduced expression of the SIRT-1 protein, as hypothesized. The levels of SIRT-1 were assessed in our in vivo samples to confirm the findings.

The effect of BA on statin-induced FFA accumulation on L6 cells was analyzed using the FFA Quantification Kit. The colorimetric assay is based on an enzymatic cycling reaction that selectively detects FFA in the presence of other lipids, measuring the absorbance at 570 nm. Post incubation, the cells were treated with BA for 24 h (1 and 10 µM) followed by atorvastatin treatment (100 nm) for 48 h. Research indicates that an increase in plasma-FFA concentrations is a significant factor contributing to the occurrence of insulin resistance in skeletal muscle tissue (60,61). Atorvastatin administration can cause FFA accumulation in the cells due to the inhibition of the HMG CoA reductase enzyme and further mevalonate formation in the cholesterol synthesis pathway. This accumulation of FFA may be the foremost reason for the insulin resistance in muscle cells connecting to the path of SIRT-1 and UCP2. Using atorvastatin, a hypothesized metabolic repercussion is the elevation of FFA in the bloodstream. Atorvastatin's mechanism of action fundamentally involves the inhibition of HMG-CoA reductase, an enzyme central to the cholesterol synthesis pathway. This suppression leads to a decrease in intracellular cholesterol, which sets off a regulatory response that activates sterol regulatory element-binding proteins (SREBP) (62). As SREBPs are transcription factors that govern lipid biosynthesis, their increased activity heightens the expression of lipid-associated genes, including those facilitating fatty acid synthesis. The subsequent rise in FFA levels may contribute to metabolic complications, emphasizing the complexities of statin's lipid homeostasis and its potential consequences for insulin sensitivity (63,64). The FFA estimation assay revealed that there was a significant change in FFA content in the statin-alone and combination groups when compared with the control group.

The present study utilized a cholesterol quantification assay kit to evaluate the impact of BA and atorvastatin on cellular cholesterol levels in L6 cells. Cholesterol in the bloodstream exists in two primary forms: Free cholesterol and cholesterol esters (65). This assay provides a streamlined and efficient methodology to quantify both forms separately or combined as total cholesterol using a coupled enzymatic reaction that colorimetrically determines cholesterol concentration (66). The experimental data revealed that treatment with atorvastatin, both alone and in combination with BA, effectively reduced cholesterol content in cells when compared with the untreated control. Importantly, the presence of BA did not disrupt the cholesterol-lowering capability of the statin. This suggests the potential compatibility of BA as an adjunct therapy with statins, as it does not interfere with the primary lipid-lowering effect of atorvastatin and might even offer additional therapeutic benefits without compromising cholesterol management.

The functional impact of BA on pancreatic beta-cell activity was assessed by measuring insulin release from MIN-6 cells. Employing a mouse insulin solid-phase sandwich ELISA, which utilizes a pre-coated antibody specific to insulin on a microplate to capture the hormone released by the cells, insulin levels were quantified after treatments. The results depicted a dose-dependent augmentation in insulin secretion with BA treatment, demonstrating increased levels of 7.45 and 9.7 µU/ml at 50 and 100 µM, respectively. This contrasted with the lowered insulin secretion witnessed with atorvastatin treatment alone, which amounted to 4.2 µU/ml, suggesting a suppressive effect of the statin on insulin release. Compared with the untreated control, which had an insulin level of 9.9 µU/ml, BA at 100 µM restored insulin secretion to a level statistically comparable to that of untreated cells. This significant enhancement over the atorvastatin-only treatment (P<0.01) underlines the potential of BA as a modulatory agent capable of countering statin-induced reduction in insulin release. Consequently, these findings propose that BA could serve as a protective adjunct in statin-associated diabetes, offering a novel avenue to manage the glucose metabolic side effects associated with statin therapy.

The MMP is a critical indicator of cellular health and mitochondrial function (67). In the present study, flow cytometric analysis with Rhodamine dye revealed that atorvastatin produced a decrease in MMP, shown by reduced cell fluorescence, which is consistent with studies of statins exerting a negative impact on mitochondrial integrity (42,68). Conversely, pre-treatment with BA mitigated this effect, as evidenced by a significant increase in fluorescence intensity in the cells treated with the combination of atorvastatin and BA, indicating enhanced MMP. These protective effects of BA were further substantiated by a dose-dependent restoration of MMP in MIN-6 cells, suggesting that BA potentially counteracts the mitochondrial dysfunction commonly associated with statin use. This aligns with previous studies that report the mitochondrial protective roles of isoflavones and BA (23,69,70). Our observations propose that BA could serve as a novel therapeutic agent to prevent or reverse mitochondrial damage, particularly in conditions that are characterized by mitochondrial dysfunction. This aligns with the increasing interest in plant-derived compounds as modulators of mitochondrial health and could have far-reaching implications for patients experiencing adverse effects from statin therapy.

Effect on p53 and Caspase-3 as apoptosis markers on MIN-6 cells was performed. Western blot analysis revealed an upregulation of the p53 marker in cells treated with Atorvastatin alone, which is consistent with the known cellular stress responses elicited by this statin (71). Intriguingly, co-treatment with BA at a 50 µM concentration reduced p53 levels. This might reflect that BA may exert a protective effect on the cells at this dose, perhaps by ameliorating the atorvastatin-induced stress. By contrast, a higher BA dose (100 µM) resulted in the upregulation of p53 expression relative to the atorvastatin-alone group. The increase in p53 expression could signify a threshold beyond which BA shifts from a protective role to a more stimulatory one in DNA damage response against apoptosis. The reduction of p53 expression at lower BA concentrations aligns with the compound's putative role in mediating cellular protective pathways. Specifically, these results can be interpreted as evidence that BA can confer resistance against statin-induced cellular stress in a dose-dependent manner. Given the central role of p53 in coordinating the cell's response to DNA damage and the subsequent decision between repair and apoptosis, the varying effects of BA on p53 expression warrant further exploration. Further exploring the downstream targets and consequences of p53 modulation will shed additional light on the precise molecular interactions at play. In conclusion, the bidirectional regulation of p53 by BA depending on dosage, suggests a complex interaction that can either potentiate or mitigate the apoptotic signals in the context of statin treatment. The observation of reduced apoptosis marker levels at lower BA doses holds promise for the compound's therapeutic potential in preventing pancreatic beta-cell apoptosis due to statin therapy. Future studies should aim to decipher the downstream effectors of p53 that contribute to these protective effects, thereby enhancing our comprehension of BA's cellular impact and informing its potential utility in clinical settings.

Caspase-3 is an essential enzyme within the caspase family and is known for its critical function in apoptosis, the controlled mechanism by which cells systematically disassemble and die (72). Activated through both the internal (about the mitochondria) and external (connected to death receptors) apoptotic signaling routes, caspase-3 acts as the principal effector, responsible for apoptosis within the cell. The activation of caspase-3 thus represents a central event in the apoptotic program, marking the point at which various signaling pathways converge to execute cell death (73). Both p53 and caspase-3 are instrumental in managing the cellular response to various stress or damage that necessitate cell removal. When p53 becomes activated due to such stressors, it prompts the upregulation of genes involved in cell death, including those influencing caspase-3 pathways. As a result, caspase-3 is activated to dismantle vital cellular components, effectively carrying out cell termination. This relationship between p53 and caspase-3 is key to determining cellular outcomes, wherein p53-induced activation of apoptotic agents culminates in the execution of apoptosis through caspase-3(74). The western blot results of MIN-6 cells pre-treated with BA at 100 and 50 µM suggest a significant downregulation of caspase-3, compared with the control group. The BA treatment exhibited a dose-dependent effect on caspase-3 protein expression. By contrast, atorvastatin at a concentration of 50 µM showed an upregulation of caspase-3 compared with the control group. These results suggest that atorvastatin induces apoptosis in the MIN-6 cells at 50 µM concentration. Interestingly, BA in combination with atorvastatin prevented cell apoptosis. This observation indicates a protective effect of BA against atorvastatin-induced apoptosis. Furthermore, this analysis confirms the reason for the increased levels of p53 at higher doses of BA in combination with statin observed in the present study. The elevated levels of p53 indicate the activation of a feedback mechanism at higher combination doses of BA.

In summary, BA exhibits a dose-dependent downregulation of caspase-3, suggesting its anti-apoptotic effect on MIN-6 cells. By contrast, atorvastatin induces apoptosis, while BA, in combination with atorvastatin, prevents cell apoptosis. These findings provide insights into the potential protective role of BA and its interaction with atorvastatin in regulating apoptosis pathways in pancreatic cells.

The present study has delved into the role of sirtuins, particularly SIRT-1, which is part of the sirtuin family, known for its NAD+-dependent deacetylase activity. The significance of SIRT-1 in modulating insulin signaling pathways and its relevance to the pathogenesis of insulin resistance and type 2 diabetes mellitus has been demonstrated through our research as well as previous studies. The regulatory influence of SIRT-1 over metabolism and insulin resistance has been firmly established (33,75-77). The observed downregulation of SIRT-1 in the muscle tissues of diabetic patients elucidates a critical aspect of metabolic dysfunction associated with diabetes (35). The current findings align with existing literature that proposes a correlation between high-calorie diets or persistent exposure to elevated levels of FFA and the subsequent downregulation of SIRT-1. This is particularly relevant for patients undergoing statin therapy, wherein the mechanism of action for statin-induced diabetes may partially stem from the statins' effect on the modulation of SIRT-1.

In our experimental model using MIN-6 cells, BA, when administered alongside atorvastatin, led to a remarkable upregulation of SIRT-1 protein levels, as quantified by western blot analysis. An increase in the presence of 100 and 50 µM BA was observed compared with untreated controls. This upregulation was also observed compared with the cells subjected to atorvastatin alone, thereby suggesting that BA plays a potential modulatory role in enhancing SIRT-1 expression. These results suggest that the administration of BA may counteract the suppression of SIRT-1 induced by statin treatment, offering a promising therapeutic prospect for individuals facing challenges with diabetes related to statin therapy.

Given the decrease in SIRT-1 expression with atorvastatin treatment, it was concluded that upregulation of SIRT-1 through pharmacological agents such as BA might serve as a viable therapeutic strategy to manage or possibly prevent statin-induced diabetes. Therefore, BA emerges as a putative SIRT-1 activator/modulator, marking an exciting avenue for further research and clinical exploration.

NAMPT is a critical regulator of SIRT-1 activity, acting as a key enzyme in the NAD+ biosynthetic pathway and directly influencing SIRT-1's deacetylase function (78). Increased levels of NAMPT lead to elevated NAD+ availability, which is essential for SIRT-1 activation. The interaction between NAMPT and SIRT-1 significantly impacts insulin signaling pathways; upregulation of NAMPT enhances SIRT-1 activity, promoting insulin sensitivity and improving glucose homeostasis (79). Conversely, dysregulation of NAMPT expression has been associated with metabolic dysfunction, including insulin resistance (75). By supporting SIRT-1 activation, NAMPT can help mitigate these negative effects, underscoring its potential therapeutic role in conditions such as type 2 diabetes. Our protein expression analysis aligns with this notion, as a similar trend is observed in the present results. Pre-treatment with BA, particularly at higher doses, upregulated NAMPT expression in a manner similar to that of SIRT-1, validating BA as a SIRT-1 modulator in statin-induced diabetes. UCPs are critical in the regulation of mitochondrial function and cellular energy balance. UCP2, in particular, is involved in the regulation of insulin secretion by pancreatic β-cells. The activity of UCP2 is modulated by SIRT-1, which represses the UCP2 gene by binding directly to its promoter. When SIRT-1 is downregulated, as can occur with statin treatment, this repression is relieved, leading to an upregulation of UCP2. An increase in UCP2 levels can impair the β-cell's ability to generate ATP in response to glucose stimulation, as UCP2 uncouples the mitochondrial proton gradient, reducing the efficiency of oxidative phosphorylation and ATP synthesis. This uncoupling can result in diminished insulin secretion due to a lack of adequate ATP to drive the process.

On the other hand, UCP3, also located in the mitochondrial inner membrane, is suggested to mitigate FFA accumulation by promoting their oxidation and reducing their toxic effects intracellularly. Statins have been found to decrease UCP3 levels, which could exacerbate the accumulation of FFAs, leading to lipotoxicity and further contributing to insulin resistance.

The introduction of BA appears to counteract these effects. By upregulating SIRT-1, BA could potentially reverse the statin-induced upregulation of UCP2, thereby restoring normal mitochondrial function and insulin secretion in β-cells. Additionally, the effects of BA on SIRT-1 and possibly on UCP3 could help in reducing the accumulation of FFAs, which is important in maintaining insulin sensitivity. Therefore, in the context of statin-induced metabolic disturbances, BA may offer a protective effect by modulating the expression of SIRT-1 and UCP proteins, ultimately improving the regulation of cellular energy metabolism and insulin secretion.

The observed elevated level of UCP2 expression in the atorvastatin-treated group compared with the normal control aligns with the known effect of decreased SIRT-1 activity induced by statins. Since SIRT-1 typically represses UCP2, reduced SIRT-1 activity would relieve this repression, leading to an increase in UCP2. As UCP2 acts as a negative regulator of insulin secretion by uncoupling oxidative phosphorylation in β-cells, this could potentially contribute to an unfavourable metabolic profile leading to diabetes. Conversely, BA's positive modulation of SIRT-1 appears to counteract the effect of atorvastatin, as evidenced by the decreased UCP2 gene expression when both are administered in combination. This suggests that BA could be beneficial in preventing the atorvastatin-induced upregulation of UCP2, possibly aiding in the maintenance of β-cell function and insulin secretion.

Regarding UCP3, decreased gene expression was noted in the atorvastatin-treated group. Since UCP3 is involved in fatty acid oxidation and can help to minimize the toxic effects of FFA accumulation, downregulation by statins might exacerbate lipid-related metabolic issues. Intriguingly, the co-treatment with BA reversed this effect, leading to upregulation of UCP3 gene expression. This upregulation indicates a potential protective role of BA, which might contribute to preventing FFA accumulation and associated insulin resistance.

The present findings suggest that BA could represent a novel preventative strategy for statin-induced diabetes. This is significant because statin-induced diabetes is a recognized adverse effect of statin therapy, which is widely prescribed for cardiovascular disease prevention. Identifying effective strategies to mitigate this risk is crucial for improving patient outcomes. The mechanisms by which BA exerts its protective effects, particularly its influence on SIRT-1, UCP2, and lipogenic pathways are particularly promising. The upregulation of SIRT-1 by BA highlights its potential in enhancing insulin sensitivity and protecting pancreatic β-cells, both of which are crucial for managing diabetes. The downregulation of UCP2 further suggests that BA may improve mitochondrial efficiency and reduce oxidative stress, thereby improving overall metabolic health. These pathways are known to play critical roles in glucose metabolism and insulin sensitivity, suggesting that BA may target fundamental processes underlying statin-induced diabetes. BA might have broader therapeutic applications, potentially benefiting patients with various forms of diabetes and metabolic syndrome as the pathways modulated by BA are also relevant to other metabolic disorders. The potential for BA to be used as an adjunct therapy alongside statins is an exciting prospect. This could allow patients to benefit from the well-established cardiovascular benefits of statins while minimizing the risk of developing statin-induced diabetes. However, it is essential to acknowledge that these findings stem from an in vitro study. Further research, particularly in vivo studies and ultimately clinical trials, are necessary to confirm these findings and translate them into clinical practice.

Overall, the present study provides encouraging preliminary evidence to support further investigation into BA as a potential therapeutic option for preventing statin-induced diabetes. If confirmed in future studies, BA could have a significant impact on public health by improving the safety and efficacy of statin therapy.

The current findings suggest that BA alone exerts significant anti-diabetic effects, indicating its potential as a monotherapy in statin-induced diabetic conditions. Investigating the use of BA as an adjunct to existing therapies for diabetic and statin induced diabetic conditions are a promising avenue for future research. This could involve preclinical studies exploring synergistic effects with commonly used drugs. Based on its mechanism of action, combining BA with agents that target SIRT-1, UCPs, insulin release pathway and lipogenic pathway could be particularly effective. Combining BA with statins could reduce the statin toxicity and prevent the development of diabetes. Further research, including clinical trials, is crucial to determine the optimal dosage, long-term safety, and most effective clinical application of BA.

These results suggest that BA could serve as a mitigating agent against certain metabolic complications such as diabetes associated with statin therapy, through its combined effects on SIRT-1 and UCP proteins. These insights suggest that incorporating BA with atorvastatin treatment may enhance patient outcomes by reducing the possible side effects related to insulin sensitivity.

The conclusion from our in vitro study necessitates additional investigation in more complex biological systems to confirm and substantiate the findings. Further research should focus on validating these results in vivo, using appropriate animal models to determine if BA can effectively and safely prevent statin-induced diabetes. Ex vivo studies using animal or human tissues could provide valuable insights into the effects of BA on relevant tissues and cell types involved in statin-induced diabetes. Incorporating more complex 3D cell culture models, such as organoids, into future in vitro studies could provide a more physiologically relevant system to investigate the effects of BA. Ultimately, clinical trials are essential to determine the therapeutic potential of BA in preventing statin-induced diabetes in humans. Further research is needed to determine the bioavailability and pharmacokinetics of BA in humans, which will be crucial for designing adequate clinical trials. Advanced mechanistic studies are warranted to fully elucidate the molecular pathways and interactions involved in BA's protective effects against statin-induced diabetes. Investigating the interaction of BA with other metabolic pathways and its potential synergistic effects when combined with other antidiabetic agents is also recommended. Conducting long-term studies to assess the chronic effects of BA, including its impact on insulin sensitivity, pancreatic β-cell function and overall metabolic health will provide additional information. By developing and optimizing BA formulations to enhance its bioavailability and stability, ensuring effective delivery and sustained therapeutic action is necessary. Furthermore, dose-response studies, comparative studies, influence of genetic and environmental factors on the response to BA treatment, testing in different patient subpopulations and safety studies are recommended research directions that will help to build a robust understanding of BA's therapeutic potential and its clinical application in managing statin-induced diabetes.

A limitation of the present study is that the western blot experiments were conducted in duplicate due to resource constraints associated with outsourcing. While the results are consistent with other findings in the present study, the lack of triplicate experiments limits statistical robustness. Ongoing in vivo studies aim to confirm these findings and address reproducibility concerns. Future investigations will incorporate triplicate western blot analyses to enhance reliability. It is important to note that the current findings offer a valuable foundation for understanding the potential of BA; it is essential to acknowledge that these results reflect cellular responses in an isolated environment. Input from experts in endocrinology and histology would add significant value to the present study. Their perspectives could provide deeper insights into the endocrine mechanisms and histological changes associated with BA's effects. Extrapolating these findings to predict whole-body homeostasis requires further investigation. The research's in vivo phase is currently planned by the authors to address this aspect. The in vivo phase will include a comprehensive examination of animal tissues, focusing on endocrine function and histopathological analysis to assess the systemic effects of BA. This next stage will allow us to evaluate the effects of BA within the complexity of a living organism, providing a more comprehensive understanding of its therapeutic potential. While our in vitro study provides a strong foundation, these future research directions will be crucial for translating the current findings into potential therapeutic strategies for preventing statin-induced diabetes in humans.

In conclusion, the adverse effects of statin therapy, particularly its association with an increased risk of new-onset diabetes mellitus, represent a significant concern in clinical practice. The present study has underscored the complex interplay between statin-induced modulation of key metabolic proteins and the consequential disturbance in glucose homeostasis. Specifically, the downregulation of SIRT-1 and the resulting upregulation of UCP2 in response to statin treatment emerge as influential factors contributing to insulin resistance, while the decrease in UCP3 exacerbates the detrimental build-up of FFA, leading to the risk of metabolic dysfunction.

The present study sheds light on the promising role of BA in preventing these adverse effects. The findings suggest that BA effectively upregulates SIRT-1, thereby reducing the untoward upregulation of UCP2. This action is paired with the upregulation of UCP3 and insulin receptor pathway proteins, indicating an enhancement in fatty acid oxidation and glucose uptake, the key determinants in preserving insulin sensitivity and metabolic balance.

Moreover, this investigation contributes to an improved understanding of the molecular mechanisms behind statin-induced diabetes, laying a foundation for the development of adjunct or combination therapeutic strategies. The observed benefits of BA offer a compelling rationale for its incorporation into treatment regimens, representing a possible intervention to safeguard patients from the paradoxical diabetogenic effects of statins, while still focussing on their cardioprotective properties. Further clinical studies are necessary to establish optimal dosing and comprehensively assess the long-term efficacy and safety of BA in combination with statins. Nevertheless, the current understanding of BA's pharmacodynamics, such as its specific interactions within metabolic pathways and its modulation of mitochondrial function, demands a comprehensive exploration in future studies. Despite the promising results, BA's translation from experimental models to clinical practice is not without challenges. The bioavailability and pharmacokinetics of BA in humans remain to be fully elucidated. Dosage optimization, long-term safety and potential interactions with other medications must be thoroughly assessed. Furthermore, while extensive research has investigated the pathways involved in the onset of prediabetes, the identification of precise mechanisms through which BA can affect these pathways in patients at risk for diabetes necessitates detailed inquiry. The evidence presented highlights the preventive strategy to manage diabetes associated with statin therapy. It is expected that such integrative methods will contribute to a holistic approach to cardiovascular care, along with lipid management by preserving the metabolic health of patients.

Acknowledgements

The authors would like to thank the faculty of the Department of Pharmacology, Manipal College of Pharmaceutical Sciences for their hands-on training with cell culture and words of encouragement. The authors would also like to thank Dr Nitesh Kumar (Department of Pharmacology, NIPER, Hajipur), Dr Gopalan Kutty (Nampurath, Department of Pharmacology, MCOPS, Manipal) and Dr Mallikarjuna Rao (Former Principal, MCOPS, Manipal) for the critic and suggestions provided during the conduct of the research with their subject expertise in the field. All authors thank the Manipal Academy of Higher Education for providing the laboratory facilities for the execution of this project and the support provided to ensure the timely completion of the research.

Funding

Funding: The present study was supported by the Intra mural grant from Manipal Academy of Higher Education (Manipal, India; grant no. MAHE/DREG/PHD/IMF/2019).

Availability of data and materials

The data generated in the present study may be requested from the corresponding author.

Authors' contributions

APV and KN conceptualized the study. APV conducted the experiments, analyzed the data, interpreted the results and prepared the draft version of the manuscript. DKP, FB and KTG contributed to data analysis and experiments. RS conducted statistical analysis, contributed to data interpretation, and supervised the study. AK provided critical intellectual input during the study and contributed to manuscript revision. KN supervised the study, revised the final manuscript. APV and KN confirm the authenticity of all the raw data. All authors read and approved the final version of the manuscript.

Ethics approval and consent to participate

Not applicable.

Patient consent for publication

Not applicable.

Competing interests

The authors declare that they have no competing interests.

References

1 

Steinberg D and Gotto AM Jr: Preventing coronary artery disease by lowering cholesterol levels: Fifty years from bench to bedside. JAMA. 282:2043–2050. 1999.PubMed/NCBI View Article : Google Scholar

2 

Lippi G, Mattiuzzi C and Cervellin G: Statins popularity: A global picture. Br J Clin Pharmacol. 85:1614–1615. 2019.PubMed/NCBI View Article : Google Scholar

3 

Taylor F, Huffman MD, Macedo AF, Moore TH, Burke M, Davey Smith G, Ward K and Ebrahim S: Statins for the primary prevention of cardiovascular disease. Cochrane Database Syst Rev. 2013(CD004816)2013.PubMed/NCBI View Article : Google Scholar

4 

U.S. Food and Drug Administration (FDA): FDA Drug Safety Communication: Important safety label changes to cholesterol-lowering statin drugs, 2016. https://www.fda.gov/drugs/drug-safety-and-availability/fda-drug-safety-communication-important-safety-label-changes-cholesterol-lowering-statin-drugs. Accessed November 25, 2020.

5 

Ramkumar S, Raghunath A and Raghunath S: Statin therapy : Review of safety and potential side effects. Acta Cardiol Sin. 32:631–639. 2016.PubMed/NCBI View Article : Google Scholar

6 

Cederberg H, Stančáková A, Yaluri N, Modi S, Kuusisto J and Laakso M: Increased risk of diabetes with statin treatment is associated with impaired insulin sensitivity and insulin secretion: A 6 year follow-up study of the METSIM cohort. Diabetologia. 58:1109–1117. 2015.PubMed/NCBI View Article : Google Scholar

7 

Sattar N, Preiss D, Murray HM, Welsh P, Buckley BM, de Craen AJ, Seshasai SR, McMurray JJ, Freeman DJ, Jukema JW, et al: Statins and risk of incident diabetes: A collaborative meta-analysis of randomised statin trials. Lancet. 375:735–742. 2010.PubMed/NCBI View Article : Google Scholar

8 

Bang CN and Okin PM: Statin treatment, new-onset diabetes, and other adverse effects: A systematic review. Curr Cardiol Rep. 16(461)2014.PubMed/NCBI View Article : Google Scholar

9 

Khan MAB, Hashim MJ, King JK, Govender RD, Mustafa H and Al Kaabi J: Epidemiology of type 2 diabetes-global burden of disease and forecasted trends. J Epidemiol Glob Health. 10:107–111. 2020.PubMed/NCBI View Article : Google Scholar

10 

Ganda OP: Statin-induced diabetes: Incidence, mechanisms, and implications. F1000Res. 5(1499)2016.PubMed/NCBI View Article : Google Scholar

11 

Keni R, Sekhar A, Gourishetti K, Nayak PG, Kinra M, Kumar N, Shenoy RR, Kishore A and Nandakumar K: Role of statins in new-onset diabetes mellitus: The underlying cause, mechanisms involved, and strategies to combat. Curr Drug Targets. 22:1121–1128. 2021.PubMed/NCBI View Article : Google Scholar

12 

Abbasi F, Lamendola C, Harris CS, Harris V, Tsai MS, Tripathi P, Abbas F, Reaven GM, Reaven PD, Snyder MP, et al: Statins are associated with increased insulin resistance and secretion. Arterioscler Thromb Vasc Biol. 41:2786–2797. 2021.PubMed/NCBI View Article : Google Scholar

13 

Ridker PM, Pradhan A, MacFadyen JG, Libby P and Glynn RJ: Cardiovascular benefits and diabetes risks of statin therapy in primary prevention: An analysis from the JUPITER trial. Lancet. 380:565–571. 2012.PubMed/NCBI View Article : Google Scholar

14 

Crandall JP, Mather K, Rajpathak SN, Goldberg RB, Watson K, Foo S, Ratner R, Barrett-Connor E and Temprosa M: Statin use and risk of developing diabetes: Results from the diabetes prevention program. BMJ Open Diabetes Res Care. 5(e000438)2017.PubMed/NCBI View Article : Google Scholar

15 

Kain V, Kapadia B, Misra P and Saxena U: Simvastatin may induce insulin resistance through a novel fatty acid mediated cholesterol independent mechanism. Sci Rep. 5(13823)2015.PubMed/NCBI View Article : Google Scholar

16 

Henriksbo BD, Lau TC, Cavallari JF, Denou E, Chi W, Lally JS, Crane JD, Duggan BM, Foley KP, Fullerton MD, et al: Fluvastatin Causes NLRP3 inflammasome-mediated adipose insulin resistance. Diabetes. 63:3742–3747. 2014.PubMed/NCBI View Article : Google Scholar

17 

Liao JK and Laufs U: Pleiotropic effects of statins. Annu Rev Pharmacol Toxicol. 45:89–118. 2005.PubMed/NCBI View Article : Google Scholar

18 

Choudhary A, Rawat U, Kumar P and Mittal P: Pleotropic effects of statins: The dilemma of wider utilization of statin. Egypt Hear J. 75(1)2023.PubMed/NCBI View Article : Google Scholar

19 

Oesterle A, Laufs U and Liao JK: Pleiotropic effects of statins on the cardiovascular system. Circ Res. 120:229–243. 2017.PubMed/NCBI View Article : Google Scholar

20 

Rajangam J, Krishnan N, Palei NN, Bhatt S, Das MK, Das S and Mathusoothanan K: Ameliorative potential of rosuvastatin on doxorubicin-induced cardiotoxicity by modulating oxidative damage in rats. Turk J Pharm Sci. 19:28–34. 2022.PubMed/NCBI View Article : Google Scholar

21 

Rajangam J, Lakshmanan AP, Palei NN, Elumalai K, Kotakonda M, Prakash R and Latha P: Differential pharmacokinetic interplay of atorvastatin on lacosamide and levetiracetam on experimental convulsions in mice. Curr Drug Metab. 24:645–655. 2023.PubMed/NCBI View Article : Google Scholar

22 

Rajangam J and Lavanya O: Effect of rosuvastatin on learning and memory in scopolamine induced amnesia in Mice. Trends Med. 18:1–4. 2018.

23 

Anuranjana PV, Beegum F, K P D, George KT, Viswanatha GL, Nayak PG, Kanwal A, Kishore A and Shenoy RR: Mechanisms behind the pharmacological application of biochanin-A: A review. F1000Res. 12(107)2023.PubMed/NCBI View Article : Google Scholar

24 

Oza MJ and Kulkarni YA: Biochanin A improves insulin sensitivity and controls hyperglycemia in type 2 diabetes. Biomed Pharmacother. 107:1119–1127. 2018.PubMed/NCBI View Article : Google Scholar

25 

Amri J, Alaee M, Babaei R, Salemi Z, Meshkani R, Ghazavi A, Akbari A and Salehi M: Biochanin-A has antidiabetic, antihyperlipidemic, antioxidant, and protective effects on diabetic nephropathy via suppression of TGF-β1 and PAR-2 genes expression in kidney tissues of STZ-induced diabetic rats. Biotechnol Appl Biochem. 69:2112–2121. 2022.PubMed/NCBI View Article : Google Scholar

26 

Azizi R, Goodarzi MT and Salemi Z: Effect of biochanin a on serum visfatin level of streptozocin-induced diabetic rats. Iran Red Crescent Med J. 16(e15424)2014.PubMed/NCBI View Article : Google Scholar

27 

Sadri H, Goodarzi MT, Salemi Z and Seifi M: Antioxidant effects of biochanin A in streptozotocin induced diabetic rats. Braz Arch Biol Technol. 60(e17160741)2017.

28 

Harini R, Ezhumalai M and Pugalendi KV: Antihyperglycemic effect of biochanin A, a soy isoflavone, on streptozotocin-diabetic rats. Eur J Pharmacol. 676:89–94. 2012.PubMed/NCBI View Article : Google Scholar

29 

Shen P, Liu MH, Ng TY, Chan YH and Yong EL: Differential effects of isoflavones, from Astragalus membranaceus and pueraria thomsonii, on the activation of PPARalpha, PPARgamma, and adipocyte differentiation in vitro. J Nutr. 136:899–905. 2006.PubMed/NCBI View Article : Google Scholar

30 

Mehrabadi ME and Salemi Z: Effect of biochanin A on serum nesfatin-1 level in STZ induced type 1 diabetic rat. Diabetol Stoffwechs. 11(P225)2016.

31 

Salemi Z, Ghasemi H, Morovati A and Sadri H: Effects of biochanin A on Resistin, adiponectin and some stress oxidative markers in normal and STZ-induced diabetic rats. Arch Med Lab Sci. 4:9–16. 2020.

32 

Cao Y, Jiang X, Ma H, Wang Y, Xue P and Liu Y: SIRT1 and insulin resistance. J Diabetes Complications. 30:178–183. 2016.PubMed/NCBI View Article : Google Scholar

33 

Zhou S, Tang X and Chen HZ: Sirtuins and insulin resistance. Front Endocrinol (Lausanne). 9(748)2018.PubMed/NCBI View Article : Google Scholar

34 

Cuyàs E, Verdura S, Llorach-Parés L, Fernández-Arroyo S, Joven J, Martin-Castillo B, Bosch-Barrera J, Brunet J, Nonell-Canals A, Sanchez-Martinez M and Menendez JA: Metformin is a direct SIRT1-activating compound: computational modeling and experimental validation. Front Endocrinol (Lausanne). 9(657)2018.PubMed/NCBI View Article : Google Scholar

35 

Kitada M and Koya D: SIRT1 in type 2 diabetes: Mechanisms and therapeutic potential. Diabetes Metab J. 37:315–325. 2013.PubMed/NCBI View Article : Google Scholar

36 

Lou PH, Lucchinetti E, Scott KY, Huang Y, Gandhi M, Hersberger M, Clanachan AS, Lemieux H and Zaugg M: Alterations in fatty acid metabolism and sirtuin signaling characterize early type-2 diabetic hearts of fructose-fed rats. Physiol Rep. 5(e13388)2017.PubMed/NCBI View Article : Google Scholar

37 

Hou X, Xu S, Maitland-Toolan KA, Sato K, Jiang B, Ido Y, Lan F, Walsh K, Wierzbicki M, Verbeuren TJ, et al: SIRT1 regulates hepatocyte lipid metabolism through activating AMP-activated protein kinase. J Biol Chem. 283:20015–20026. 2008.PubMed/NCBI View Article : Google Scholar

38 

Kilic U, Gok O, Elibol-Can B, Uysal O and Bacaksiz A: Efficacy of statins on sirtuin 1 and endothelial nitric oxide synthase expression: the role of sirtuin 1 gene variants in human coronary atherosclerosis. Clin Exp Pharmacol Physiol. 42:321–330. 2015.PubMed/NCBI View Article : Google Scholar

39 

Pareek A, Yeole P, Tenpe C, Chandurkar N and Payghan R: Effect of atorvastatin and hydroxychloroquine combination on blood glucose in alloxan-induced diabetic rats. Indian J Pharmacol. 41:125–128. 2009.PubMed/NCBI View Article : Google Scholar

40 

Bordone L, Motta MC, Picard F, Robinson A, Jhala US, Apfeld J, McDonagh T, Lemieux M, McBurney M, Szilvasi A, et al: Sirt1 regulates insulin secretion by repressing UCP2 in pancreatic beta cells. PLoS Biol. 4(e31)2006.PubMed/NCBI View Article : Google Scholar

41 

Brault M, Ray J, Gomez YH, Mantzoros CS and Daskalopoulou SS: Statin treatment and new-onset diabetes: A review of proposed mechanisms. Metabolism. 63:735–745. 2014.PubMed/NCBI View Article : Google Scholar

42 

Mollazadeh H, Tavana E, Fanni G, Bo S, Banach M, Pirro M, von Haehling S, Jamialahmadi T and Sahebkar A: Effects of statins on mitochondrial pathways. J Cachexia Sarcopenia Muscle. 12:237–251. 2021.PubMed/NCBI View Article : Google Scholar

43 

Vichai V and Kirtikara K: Sulforhodamine B colorimetric assay for cytotoxicity screening. Nat Protoc. 1:1112–1116. 2006.PubMed/NCBI View Article : Google Scholar

44 

Valentovic M: Atorvastatin. In: xPharm: The comprehensive pharmacology reference. Elsevier; Amsterdam, The Netherlands, pp1-6, 2007.

45 

Merz KE and Thurmond DC: Role of skeletal muscle in insulin resistance and glucose uptake. In: Comprehensive Physiology. Wiley, pp785-809, 2020.

46 

Hwang JT and Kim SH: Evaluation of Anti-diabetic Effect of Biochanin A in C2C12 Myotube. Korean Soc Biotechnol Bioeng J. 27:57–60. 2012.

47 

Nowis D, Malenda A, Furs K, Oleszczak B, Sadowski R, Chlebowska J, Firczuk M, Bujnicki JM, Staruch AD, Zagozdzon R, et al: Statins impair glucose uptake in human cells. BMJ Open Diabetes Res Care. 2(e000017)2014.PubMed/NCBI View Article : Google Scholar

48 

Jiang Z, Yu B and Li Y: Effect of three statins on glucose uptake of cardiomyocytes and its mechanism. Med Sci Monit. 22:2825–2830. 2016.PubMed/NCBI View Article : Google Scholar

49 

Sun B, Zhong Z, Wang F, Xu J, Xu F, Kong W, Ling Z, Shu N, Li Y, Wu T, et al: Atorvastatin impaired glucose metabolism in C2C12 cells partly via inhibiting cholesterol-dependent glucose transporter 4 translocation. Biochem Pharmacol. 150:108–119. 2018.PubMed/NCBI View Article : Google Scholar

50 

Carnagarin R, Dharmarajan AM and Dass CR: Molecular aspects of glucose homeostasis in skeletal muscle-A focus on the molecular mechanisms of insulin resistance. Mol Cell Endocrinol. 417:52–62. 2015.PubMed/NCBI View Article : Google Scholar

51 

Galicia-Garcia U, Jebari S, Larrea-Sebal A, Uribe KB, Siddiqi H, Ostolaza H, Benito-Vicente A and Martín C: Statin treatment-induced development of type 2 diabetes: From clinical evidence to mechanistic insights. Int J Mol Sci. 21(4725)2020.PubMed/NCBI View Article : Google Scholar

52 

Yaluri N, Modi S and Kokkola T: Simvastatin induces insulin resistance in L6 skeletal muscle myotubes by suppressing insulin signaling, GLUT4 expression and GSK-3β phosphorylation. Biochem Biophys Res Commun. 480:194–200. 2016.PubMed/NCBI View Article : Google Scholar

53 

Sanvee GM, Panajatovic MV, Bouitbir J and Krähenbühl S: Mechanisms of insulin resistance by simvastatin in C2C12 myotubes and in mouse skeletal muscle. Biochem Pharmacol. 164:23–33. 2019.PubMed/NCBI View Article : Google Scholar

54 

Bonifacio A, Sanvee GM, Brecht K, Kratschmar DV, Odermatt A, Bouitbir J and Krähenbühl S: IGF-1 prevents simvastatin-induced myotoxicity in C2C12 myotubes. Arch Toxicol. 91:2223–2234. 2017.PubMed/NCBI View Article : Google Scholar

55 

Abdul-Ghani MA and DeFronzo RA: Pathogenesis of insulin resistance in skeletal muscle. J Biomed Biotechnol. 2010(476279)2010.PubMed/NCBI View Article : Google Scholar

56 

Elibol B and Kilic U: High levels of SIRT1 expression as a protective mechanism against disease-related conditions. Front Endocrinol (Lausanne). 9(614)2018.PubMed/NCBI View Article : Google Scholar

57 

Rousset S, Alves-Guerra MC, Mozo J, Miroux B, Cassard-Doulcier AM, Bouillaud F and Ricquier D: The biology of mitochondrial uncoupling proteins. Diabetes. 53 (Suppl 1):S130–S135. 2004.PubMed/NCBI View Article : Google Scholar

58 

Azzu V and Brand MD: The on-off switches of the mitochondrial uncoupling proteins. Trends Biochem Sci. 35:298–307. 2010.PubMed/NCBI View Article : Google Scholar

59 

Kutsche HS, Schreckenberg R, Weber M, Hirschhäuser C, Rohrbach S, Li L, Niemann B, Schulz R and Schlüter KD: Alterations in glucose metabolism during the transition to heart failure: The contribution of UCP-2. Cells. 9(552)2020.PubMed/NCBI View Article : Google Scholar

60 

Martins AR, Nachbar RT, Gorjao R, Vinolo MA, Festuccia WT, Lambertucci RH, Cury-Boaventura MF, Silveira LR, Curi R and Hirabara SM: Mechanisms underlying skeletal muscle insulin resistance induced by fatty acids: Importance of the mitochondrial function. Lipids Health Dis. 11(30)2012.PubMed/NCBI View Article : Google Scholar

61 

Randle PJ, Garland PB, Hales CN and Newsholme EA: The glucose fatty-acid cycle. Its role in insulin sensitivity and the metabolic disturbances of diabetes mellitus. Lancet. 281:785–789. 1963.PubMed/NCBI View Article : Google Scholar

62 

Liscurn L: Chapter 15 Cholesterol biosynthesis. Elsevier, pp409-431, 2002.

63 

Chavez JA and Summers SA: Lipid oversupply, selective insulin resistance, and lipotoxicity: Molecular mechanisms. Biochim Biophys Acta. 1801:252–265. 2010.PubMed/NCBI View Article : Google Scholar

64 

Hughes RI and Aitman TJ: Genetics of the metabolic syndrome and implications for therapy. Int Congr Ser. 1262:224–229. 2004.

65 

Kohlmeier M: Cholesterol. In: Nutrient Metabolism. Elsevier, pp511-526, 2003.

66 

Li LH, Dutkiewicz EP, Huang YC, Zhou HB and Hsu CC: Analytical methods for cholesterol quantification. J Food Drug Anal. 27:375–386. 2019.PubMed/NCBI View Article : Google Scholar

67 

Gorospe CM, Carvalho G, Herrera Curbelo A, Marchhart L, Mendes IC, Niedźwiecka K and Wanrooij PH: Mitochondrial membrane potential acts as a retrograde signal to regulate cell cycle progression. Life Sci Alliance. 6(e202302091)2023.PubMed/NCBI View Article : Google Scholar

68 

Urbano F, Bugliani M, Filippello A, Scamporrino A, Di Mauro S, Di Pino A, Scicali R, Noto D, Rabuazzo AM, Averna M, et al: Atorvastatin but not pravastatin impairs mitochondrial function in human pancreatic islets and rat β-cells. Direct effect of oxidative stress. Sci Rep. 7(11863)2017.PubMed/NCBI View Article : Google Scholar

69 

Koklesova L, Liskova A, Samec M, Zhai K, Al-Ishaq RK, Bugos O, Šudomová M, Biringer K, Pec M, Adamkov M, et al: Protective effects of flavonoids against mitochondriopathies and associated pathologies: Focus on the predictive approach and personalized prevention. Int J Mol Sci. 22(8649)2021.PubMed/NCBI View Article : Google Scholar

70 

Kicinska A and Jarmuszkiewicz W: Flavonoids and mitochondria: Activation of cytoprotective pathways? Molecules. 25(3060)2020.PubMed/NCBI View Article : Google Scholar

71 

Delgado-León TG, Sálas-Pacheco JM, Vazquez-Alaniz F, Vértiz-Hernández ÁA, López-Guzmán OD, Lozano-Guzmán E, Martínez-Romero A, Úrtiz-Estrada N and Cervantes-Flores M: Apoptosis in pancreatic β-cells is induced by arsenic and atorvastatin in Wistar rats with diabetes mellitus type 2. J Trace Elem Med Biol. 46:144–149. 2018.PubMed/NCBI View Article : Google Scholar

72 

McIlwain DR, Berger T and Mak TW: Caspase functions in cell death and disease. Cold Spring Harb Perspect Biol. 5(a008656)2013.PubMed/NCBI View Article : Google Scholar

73 

Shalini S, Dorstyn L, Dawar S and Kumar S: Old, new and emerging functions of caspases. Cell Death Differ. 22:526–539. 2015.PubMed/NCBI View Article : Google Scholar

74 

Fulda S, Gorman AM, Hori O and Samali A: Cellular stress responses: Cell survival and cell death. Int J Cell Biol. 2010(214074)2010.PubMed/NCBI View Article : Google Scholar

75 

Li X: SIRT1 and energy metabolism. Acta Biochim Biophys Sin (Shanghai). 45:51–60. 2013.PubMed/NCBI View Article : Google Scholar

76 

Chalkiadaki A and Guarente L: High-fat diet triggers inflammation-induced cleavage of SIRT1 in adipose tissue to promote metabolic dysfunction. Cell Metab. 16:180–188. 2012.PubMed/NCBI View Article : Google Scholar

77 

Sun C, Zhang F, Ge X, Yan T, Chen X, Shi X and Zhai Q: SIRT1 improves insulin sensitivity under insulin-resistant conditions by repressing PTP1B. Cell Metab. 6:307–319. 2007.PubMed/NCBI View Article : Google Scholar

78 

Imai S and Yoshino J: The importance of NAMPT/NAD/SIRT1 in the systemic regulation of metabolism and ageing. Diabetes Obes Metab. 15 (Suppl 3):S26–S33. 2013.PubMed/NCBI View Article : Google Scholar

79 

Imai S and Kiess W: Therapeutic potential of SIRT1 and NAMPT-mediated NAD biosynthesis in type 2 diabetes. Front Biosci (Landmark Ed). 14:2983–2995. 2009.PubMed/NCBI View Article : Google Scholar

Related Articles

  • Abstract
  • View
  • Download
  • Twitter
Copy and paste a formatted citation
Spandidos Publications style
Veedu AP, Kunhipurayil D, Beegum F, George KT, Kanwal A, Shenoy RR and Nandakumar K: Biochanin‑A as SIRT‑1 modulator in preventing statin‑associated diabetogenesis: An <em>in vitro</em> study. Biomed Rep 22: 91, 2025.
APA
Veedu, A.P., Kunhipurayil, D., Beegum, F., George, K.T., Kanwal, A., Shenoy, R.R., & Nandakumar, K. (2025). Biochanin‑A as SIRT‑1 modulator in preventing statin‑associated diabetogenesis: An <em>in vitro</em> study. Biomedical Reports, 22, 91. https://doi.org/10.3892/br.2025.1969
MLA
Veedu, A. P., Kunhipurayil, D., Beegum, F., George, K. T., Kanwal, A., Shenoy, R. R., Nandakumar, K."Biochanin‑A as SIRT‑1 modulator in preventing statin‑associated diabetogenesis: An <em>in vitro</em> study". Biomedical Reports 22.5 (2025): 91.
Chicago
Veedu, A. P., Kunhipurayil, D., Beegum, F., George, K. T., Kanwal, A., Shenoy, R. R., Nandakumar, K."Biochanin‑A as SIRT‑1 modulator in preventing statin‑associated diabetogenesis: An <em>in vitro</em> study". Biomedical Reports 22, no. 5 (2025): 91. https://doi.org/10.3892/br.2025.1969
Copy and paste a formatted citation
x
Spandidos Publications style
Veedu AP, Kunhipurayil D, Beegum F, George KT, Kanwal A, Shenoy RR and Nandakumar K: Biochanin‑A as SIRT‑1 modulator in preventing statin‑associated diabetogenesis: An <em>in vitro</em> study. Biomed Rep 22: 91, 2025.
APA
Veedu, A.P., Kunhipurayil, D., Beegum, F., George, K.T., Kanwal, A., Shenoy, R.R., & Nandakumar, K. (2025). Biochanin‑A as SIRT‑1 modulator in preventing statin‑associated diabetogenesis: An <em>in vitro</em> study. Biomedical Reports, 22, 91. https://doi.org/10.3892/br.2025.1969
MLA
Veedu, A. P., Kunhipurayil, D., Beegum, F., George, K. T., Kanwal, A., Shenoy, R. R., Nandakumar, K."Biochanin‑A as SIRT‑1 modulator in preventing statin‑associated diabetogenesis: An <em>in vitro</em> study". Biomedical Reports 22.5 (2025): 91.
Chicago
Veedu, A. P., Kunhipurayil, D., Beegum, F., George, K. T., Kanwal, A., Shenoy, R. R., Nandakumar, K."Biochanin‑A as SIRT‑1 modulator in preventing statin‑associated diabetogenesis: An <em>in vitro</em> study". Biomedical Reports 22, no. 5 (2025): 91. https://doi.org/10.3892/br.2025.1969
Follow us
  • Twitter
  • LinkedIn
  • Facebook
About
  • Spandidos Publications
  • Careers
  • Cookie Policy
  • Privacy Policy
How can we help?
  • Help
  • Live Chat
  • Contact
  • Email to our Support Team