Spandidos Publications Logo
  • About
    • About Spandidos
    • Aims and Scopes
    • Abstracting and Indexing
    • Editorial Policies
    • Reprints and Permissions
    • Job Opportunities
    • Terms and Conditions
    • Contact
  • Journals
    • All Journals
    • Oncology Letters
      • Oncology Letters
      • Information for Authors
      • Editorial Policies
      • Editorial Board
      • Aims and Scope
      • Abstracting and Indexing
      • Bibliographic Information
      • Archive
    • International Journal of Oncology
      • International Journal of Oncology
      • Information for Authors
      • Editorial Policies
      • Editorial Board
      • Aims and Scope
      • Abstracting and Indexing
      • Bibliographic Information
      • Archive
    • Molecular and Clinical Oncology
      • Molecular and Clinical Oncology
      • Information for Authors
      • Editorial Policies
      • Editorial Board
      • Aims and Scope
      • Abstracting and Indexing
      • Bibliographic Information
      • Archive
    • Experimental and Therapeutic Medicine
      • Experimental and Therapeutic Medicine
      • Information for Authors
      • Editorial Policies
      • Editorial Board
      • Aims and Scope
      • Abstracting and Indexing
      • Bibliographic Information
      • Archive
    • International Journal of Molecular Medicine
      • International Journal of Molecular Medicine
      • Information for Authors
      • Editorial Policies
      • Editorial Board
      • Aims and Scope
      • Abstracting and Indexing
      • Bibliographic Information
      • Archive
    • Biomedical Reports
      • Biomedical Reports
      • Information for Authors
      • Editorial Policies
      • Editorial Board
      • Aims and Scope
      • Abstracting and Indexing
      • Bibliographic Information
      • Archive
    • Oncology Reports
      • Oncology Reports
      • Information for Authors
      • Editorial Policies
      • Editorial Board
      • Aims and Scope
      • Abstracting and Indexing
      • Bibliographic Information
      • Archive
    • Molecular Medicine Reports
      • Molecular Medicine Reports
      • Information for Authors
      • Editorial Policies
      • Editorial Board
      • Aims and Scope
      • Abstracting and Indexing
      • Bibliographic Information
      • Archive
    • World Academy of Sciences Journal
      • World Academy of Sciences Journal
      • Information for Authors
      • Editorial Policies
      • Editorial Board
      • Aims and Scope
      • Abstracting and Indexing
      • Bibliographic Information
      • Archive
    • International Journal of Functional Nutrition
      • International Journal of Functional Nutrition
      • Information for Authors
      • Editorial Policies
      • Editorial Board
      • Aims and Scope
      • Abstracting and Indexing
      • Bibliographic Information
      • Archive
    • International Journal of Epigenetics
      • International Journal of Epigenetics
      • Information for Authors
      • Editorial Policies
      • Editorial Board
      • Aims and Scope
      • Abstracting and Indexing
      • Bibliographic Information
      • Archive
    • Medicine International
      • Medicine International
      • Information for Authors
      • Editorial Policies
      • Editorial Board
      • Aims and Scope
      • Abstracting and Indexing
      • Bibliographic Information
      • Archive
  • Articles
  • Information
    • Information for Authors
    • Information for Reviewers
    • Information for Librarians
    • Information for Advertisers
    • Conferences
  • Language Editing
Spandidos Publications Logo
  • About
    • About Spandidos
    • Aims and Scopes
    • Abstracting and Indexing
    • Editorial Policies
    • Reprints and Permissions
    • Job Opportunities
    • Terms and Conditions
    • Contact
  • Journals
    • All Journals
    • Biomedical Reports
      • Information for Authors
      • Editorial Policies
      • Editorial Board
      • Aims and Scope
      • Abstracting and Indexing
      • Bibliographic Information
      • Archive
    • Experimental and Therapeutic Medicine
      • Information for Authors
      • Editorial Policies
      • Editorial Board
      • Aims and Scope
      • Abstracting and Indexing
      • Bibliographic Information
      • Archive
    • International Journal of Epigenetics
      • Information for Authors
      • Editorial Policies
      • Editorial Board
      • Aims and Scope
      • Abstracting and Indexing
      • Bibliographic Information
      • Archive
    • International Journal of Functional Nutrition
      • Information for Authors
      • Editorial Policies
      • Editorial Board
      • Aims and Scope
      • Abstracting and Indexing
      • Bibliographic Information
      • Archive
    • International Journal of Molecular Medicine
      • Information for Authors
      • Editorial Policies
      • Editorial Board
      • Aims and Scope
      • Abstracting and Indexing
      • Bibliographic Information
      • Archive
    • International Journal of Oncology
      • Information for Authors
      • Editorial Policies
      • Editorial Board
      • Aims and Scope
      • Abstracting and Indexing
      • Bibliographic Information
      • Archive
    • Medicine International
      • Information for Authors
      • Editorial Policies
      • Editorial Board
      • Aims and Scope
      • Abstracting and Indexing
      • Bibliographic Information
      • Archive
    • Molecular and Clinical Oncology
      • Information for Authors
      • Editorial Policies
      • Editorial Board
      • Aims and Scope
      • Abstracting and Indexing
      • Bibliographic Information
      • Archive
    • Molecular Medicine Reports
      • Information for Authors
      • Editorial Policies
      • Editorial Board
      • Aims and Scope
      • Abstracting and Indexing
      • Bibliographic Information
      • Archive
    • Oncology Letters
      • Information for Authors
      • Editorial Policies
      • Editorial Board
      • Aims and Scope
      • Abstracting and Indexing
      • Bibliographic Information
      • Archive
    • Oncology Reports
      • Information for Authors
      • Editorial Policies
      • Editorial Board
      • Aims and Scope
      • Abstracting and Indexing
      • Bibliographic Information
      • Archive
    • World Academy of Sciences Journal
      • Information for Authors
      • Editorial Policies
      • Editorial Board
      • Aims and Scope
      • Abstracting and Indexing
      • Bibliographic Information
      • Archive
  • Articles
  • Information
    • For Authors
    • For Reviewers
    • For Librarians
    • For Advertisers
    • Conferences
  • Language Editing
Login Register Submit
  • This site uses cookies
  • You can change your cookie settings at any time by following the instructions in our Cookie Policy. To find out more, you may read our Privacy Policy.

    I agree
Search articles by DOI, keyword, author or affiliation
Search
Advanced Search
presentation
Experimental and Therapeutic Medicine
Join Editorial Board Propose a Special Issue
Print ISSN: 1792-0981 Online ISSN: 1792-1015
Journal Cover
February 2012 Volume 3 Issue 2

Full Size Image

Sign up for eToc alerts
Recommend to Library

Journals

International Journal of Molecular Medicine

International Journal of Molecular Medicine

International Journal of Molecular Medicine is an international journal devoted to molecular mechanisms of human disease.

International Journal of Oncology

International Journal of Oncology

International Journal of Oncology is an international journal devoted to oncology research and cancer treatment.

Molecular Medicine Reports

Molecular Medicine Reports

Covers molecular medicine topics such as pharmacology, pathology, genetics, neuroscience, infectious diseases, molecular cardiology, and molecular surgery.

Oncology Reports

Oncology Reports

Oncology Reports is an international journal devoted to fundamental and applied research in Oncology.

Experimental and Therapeutic Medicine

Experimental and Therapeutic Medicine

Experimental and Therapeutic Medicine is an international journal devoted to laboratory and clinical medicine.

Oncology Letters

Oncology Letters

Oncology Letters is an international journal devoted to Experimental and Clinical Oncology.

Biomedical Reports

Biomedical Reports

Explores a wide range of biological and medical fields, including pharmacology, genetics, microbiology, neuroscience, and molecular cardiology.

Molecular and Clinical Oncology

Molecular and Clinical Oncology

International journal addressing all aspects of oncology research, from tumorigenesis and oncogenes to chemotherapy and metastasis.

World Academy of Sciences Journal

World Academy of Sciences Journal

Multidisciplinary open-access journal spanning biochemistry, genetics, neuroscience, environmental health, and synthetic biology.

International Journal of Functional Nutrition

International Journal of Functional Nutrition

Open-access journal combining biochemistry, pharmacology, immunology, and genetics to advance health through functional nutrition.

International Journal of Epigenetics

International Journal of Epigenetics

Publishes open-access research on using epigenetics to advance understanding and treatment of human disease.

Medicine International

Medicine International

An International Open Access Journal Devoted to General Medicine.

Journal Cover
February 2012 Volume 3 Issue 2

Full Size Image

Sign up for eToc alerts
Recommend to Library

  • Article
  • Citations
    • Cite This Article
    • Download Citation
    • Create Citation Alert
    • Remove Citation Alert
    • Cited By
  • Similar Articles
    • Related Articles (in Spandidos Publications)
    • Similar Articles (Google Scholar)
    • Similar Articles (PubMed)
  • Download PDF
  • Download XML
  • View XML
Article

Use of a novel sonosensitizer in sonodynamic therapy of U251 glioma cells in vitro

  • Authors:
    • Zhiqiang Chen
    • Jianhua Li
    • Xueming Song
    • Zhi Wang
    • Wu Yue
  • View Affiliations / Copyright

    Affiliations: Department of Neurosurgery, The Fourth College Hospital of Harbin Medical University, Harbin, P.R. China, Department of Neurosurgery, The First College Hospital of Harbin Medical University, Harbin, P.R. China
  • Pages: 273-278
    |
    Published online on: November 25, 2011
       https://doi.org/10.3892/etm.2011.390
  • Expand metrics +
Metrics: Total Views: 0 (Spandidos Publications: | PMC Statistics: )
Metrics: Total PDF Downloads: 0 (Spandidos Publications: | PMC Statistics: )
Cited By (CrossRef): 0 citations Loading Articles...

This article is mentioned in:



Abstract

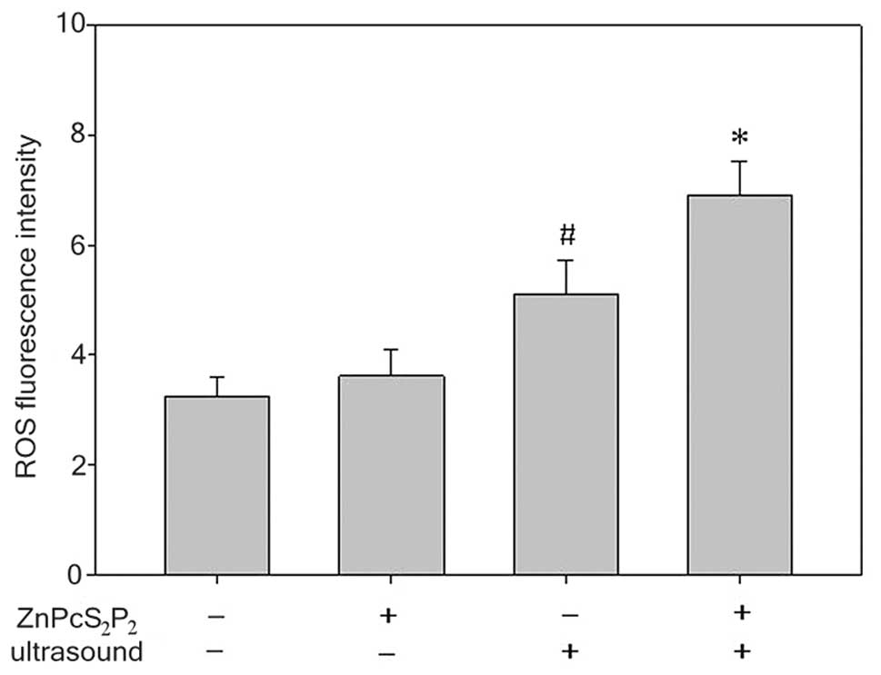
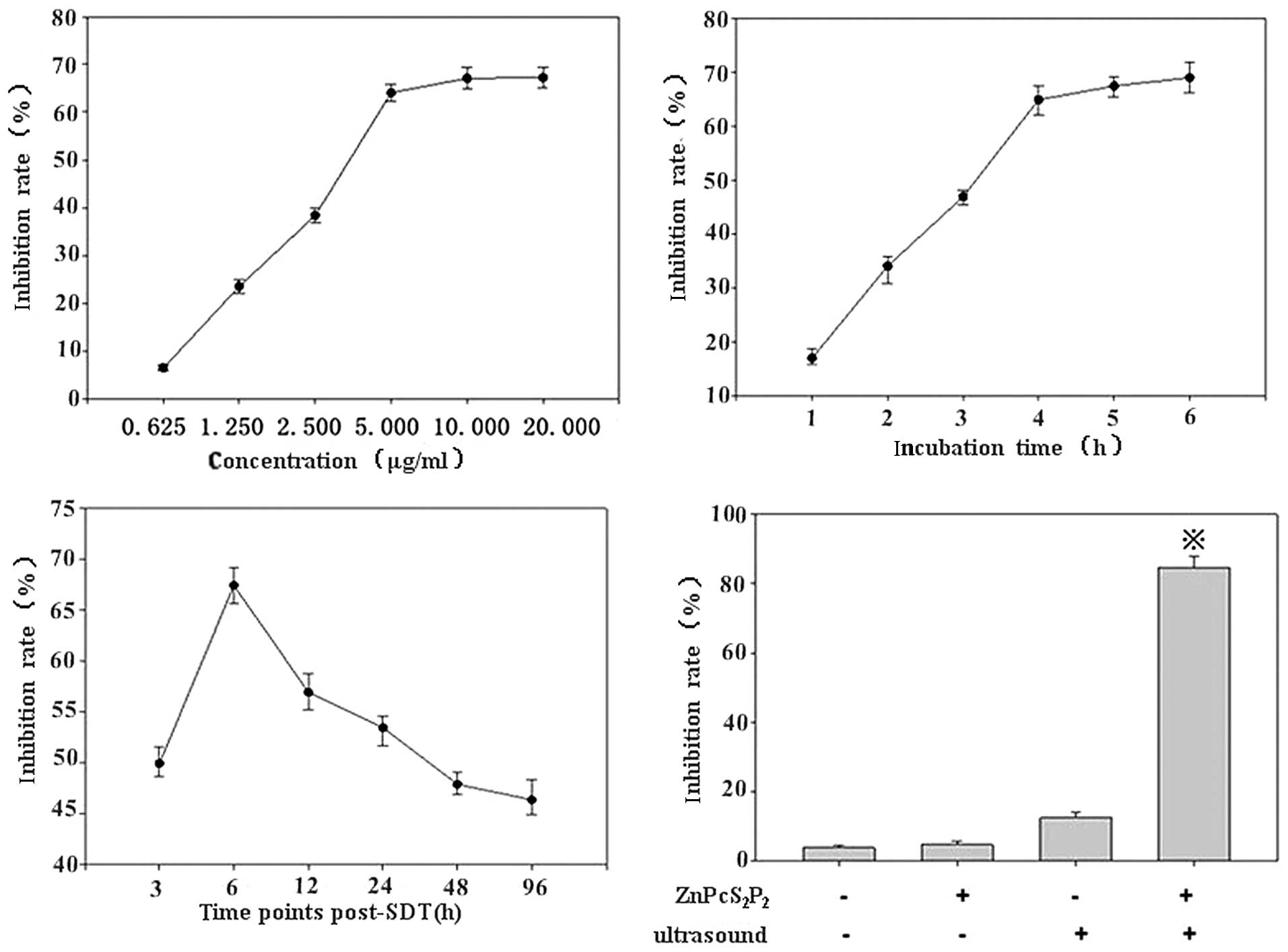
The aim of the present study was to investigate the effect of ZnPcS2P2-meditated sonodynamic therapy (SDT) on U251 human glioma cells and to identify its underlying biological mechanism. The growth inhibition rate was determined by MTT assay. The apoptotic rate was examined by flow cytometry. Fine structures were observed with transmission electron microscopy (TEM). Generation of reactive oxygen species (ROS) was detected spectrophotometrically. Caspase-3, -8 and -9 expression was detected by Western blot analysis. The growth inhibition rate of U251 human glioma cells indicated that ZnPcS2P2-meditated SDT had a better growth inhibition rate of tumor cells at a concentration of 5.0 µg/ml ZnPcS2P2, at a 4-h incubation time with ZnPcS2P2, and at 6 h re-incubation following SDT. At 6 h after SDT, the growth inhibition rate of cells was significantly higher compared to other groups, apoptosis could be detected in SDT by flow cytometry. TEM examination revealed morphological features of apoptosis or necrosis. Furthermore, caspase-3, -8 and -9 expression following SDT was found to be increased by Western blot analysis. Finally, generation of ROS in cells was also elevated. In conclusion, ZnPcS2P2-SDT is capable of inducing U251 cell apoptosis or necrosis and has satisfying antitumor effects. The mechanism of ZnPcS2P2‑meditated SDT involves ROS generation in U251 cells, which initiates subsequent apoptosis through the mitochondrial and death receptor pathways.
View Figures

Figure 1

Figure 2

Figure 3

Figure 4

Figure 5

Figure 6

Figure 7

View References

1. 

G PerilongoConsiderations on the role of chemotherapy and modern radiotherapy in the treatment of childhood low grade gliomaJ Neurooncol75301307200510.1007/s11060-005-6754-816195800

2. 

N YumitaR NishigakiK UmemuraS UmemuraHematoporphyrin as a sensitizer of cell damaging effect of ultrasoundJpn J Cancer Res80219222198910.1111/j.1349-7006.1989.tb02295.x2470713

3. 

D KesselJ LoR JeffersJB FowlkesC CainModes of photodynamic vs. sonodynamic cytotoxicityJ Photochem Photobiol B28219221199510.1016/1011-1344(94)07111-Z7623187

4. 

JL HuangNS ChenJD HuangMetal phthalocyanine as photosensitizer for photodynamic therapy(PDT) - preparation, characterization and anticancer activities of an amphiphilic phthalocyanine ZnPcS2P2Sci China Ser B441131222001

5. 

W LiuN ChenH JinIntravenous repeated-dose toxicity study of ZnPcS2P2-based-photodynamic therapy in beagle dogsRegul Toxicol Pharmacol47221231200710.1016/j.yrtph.2006.06.00617367655

6. 

HF HuangYZ ChenY WuP ChenPurging of murine erythroblastic leukemia by ZnPcS2P2-based-photodynamic therapyBone Marrow Transplant37213217200610.1038/sj.bmt.170521616284611

7. 

HF HuangYZ ChenY WuExperimental studies of the effects of ZnPcS2P2-based-photodynamic therapy on bone marrow purgingChin Med J (Engl)1181051102005

8. 

HF HuangYZ ChenY WuMitochondria-dependent apoptosis induced by a novel amphipathic photochemotherapeutic agent ZnPcS2P2 in HL60 cellsActa Pharmacol Sin2611381144200510.1111/j.1745-7254.2005.00160.x16115383

9. 

I ChowdhuryB TharakanGK BhatCurrent concepts in apoptosis: the physiological suicide program revisitedCell Mol Biol Lett11506525200610.2478/s11658-006-0041-316977376

10. 

F DunnAJ AverbuchWD O’Brien JrA primary method for the determination of ultrasonic intensity with the elastic sphere radiometerAcoustica3858611977

11. 

NN OrieW ZidekM TepelChemoattractant- and mitogen-induced generation of reactive oxygen species in human lymphocytes: the role of calciumExp Physiol84515520199910.1111/j.1469-445X.1999.01861.x10362849

12. 

M KurokiK HachimineH AbeSonodynamic therapy of cancer using novel sonosensitizersAnticancer Res2736733677200717970027

13. 

JH LiDY SongYG XuZ HuangW YueIn vitro study of haematoporphyrin monomethyl ether-mediated sonodynamic effects on C6 glioma cellsNeurol Sci29229235200810.1007/s10072-008-0972-818810596

14. 

AH BaratiM Mokhtari-DizajiUltrasound dose fractionation in sonodynamic therapyUltrasound Med Biol36880887201010.1016/j.ultrasmedbio.2010.03.01020510185

15. 

XB WangQH LiuP WangK ZhangW TangBL WangEnhancement of apoptosis by sonodynamic therapy with protoporphyrin IX in isolate sarcoma 180 cellsCancer Biother Radiopharm23238246200810.1089/cbr.2007.043618454693

16. 

BC BarnhartEC AlappatME PeterThe CD95 type I/type II modelSemin Immunol15185193200310.1016/S1044-5323(03)00031-914563117

17. 

MH AzizKE SundlingNE DreckschmidtAK VermaProtein kinase C epsilon inhibits UVR-induced expression of FADD, an adaptor protein, linked to both Fas- and TNFR1-mediated apoptosisJ Invest Dermatol12920112021200910.1038/jid.2008.45819194472

18. 

SG KimHS JongTY KimTransforming growth factor-beta 1 induces apoptosis through Fas ligand-independent activation of the Fas death pathway in human gastric SNU-620 carcinoma cellsMol Biol Cell15420434200410.1091/mbc.E03-04-020114595120

19. 

SA ChoiSJ KimKC ChungHuntingtin-interacting protein 1-mediated neuronal cell death occurs through intrinsic apoptotic pathways and mitochondrial alterationsFEBS Lett58052755282200610.1016/j.febslet.2006.08.07616979168

20. 

U Felderhoff-MueserM SifringerS PesditschekPathways leading to apoptotic neurodegeneration following trauma to the developing rat brainNeurobiol Dis11231245200210.1006/nbdi.2002.052112505417

21. 

AE MilnerDH PalmerEA HodgkinInduction of apoptosis by chemotherapeutic drugs: the role of FADD in activation of caspase-8 and synergy with death receptor ligands in ovarian carcinoma cellsCell Death Differ9287300200210.1038/sj.cdd.440094511859411

22. 

Q LiuX WangP WangH QiK ZhangL XiaoSonodynamic effects of protoporphyrin IX disodium salt on isolated sarcoma 180 cellsUltrasonics455660200610.1016/j.ultras.2006.06.06316890264

23. 

L Quan-hongS Shi-huiX Ya-pingSynergistic anti-tumor effect of ultrasound and hematoporphyrin on sarcoma 180 cells with special reference to the changes of morphology and cytochrome oxidase activity of tumor cellsJ Exp Clin Cancer Res23333341200415354420

24. 

S DaiS HuC WuApoptotic effect of sonodynamic therapy mediated by hematoporphyrin monomethyl ether on C6 glioma cells in vitroActa Neurochir15116551661200910.1007/s00701-009-0456-519597759

25. 

F ReineckeO LevanetsY OlivierMetallothionein isoform 2A expression is inducible and protects against ROS-mediated cell death in rotenone-treated HeLa cellsBiochemistry395405415200610.1042/BJ2005125316402917

26. 

CC SuJG LinTM LiCurcumin-induced apoptosis of human colon cancer colo 205 cells through the production of ROS, Ca2+ and the activation of caspase-3Anticancer Res2643794389200617201158

Related Articles

  • Abstract
  • View
  • Download
  • Twitter
Copy and paste a formatted citation
Spandidos Publications style
Chen Z, Li J, Song X, Wang Z and Yue W: Use of a novel sonosensitizer in sonodynamic therapy of U251 glioma cells in vitro. Exp Ther Med 3: 273-278, 2012.
APA
Chen, Z., Li, J., Song, X., Wang, Z., & Yue, W. (2012). Use of a novel sonosensitizer in sonodynamic therapy of U251 glioma cells in vitro. Experimental and Therapeutic Medicine, 3, 273-278. https://doi.org/10.3892/etm.2011.390
MLA
Chen, Z., Li, J., Song, X., Wang, Z., Yue, W."Use of a novel sonosensitizer in sonodynamic therapy of U251 glioma cells in vitro". Experimental and Therapeutic Medicine 3.2 (2012): 273-278.
Chicago
Chen, Z., Li, J., Song, X., Wang, Z., Yue, W."Use of a novel sonosensitizer in sonodynamic therapy of U251 glioma cells in vitro". Experimental and Therapeutic Medicine 3, no. 2 (2012): 273-278. https://doi.org/10.3892/etm.2011.390
Copy and paste a formatted citation
x
Spandidos Publications style
Chen Z, Li J, Song X, Wang Z and Yue W: Use of a novel sonosensitizer in sonodynamic therapy of U251 glioma cells in vitro. Exp Ther Med 3: 273-278, 2012.
APA
Chen, Z., Li, J., Song, X., Wang, Z., & Yue, W. (2012). Use of a novel sonosensitizer in sonodynamic therapy of U251 glioma cells in vitro. Experimental and Therapeutic Medicine, 3, 273-278. https://doi.org/10.3892/etm.2011.390
MLA
Chen, Z., Li, J., Song, X., Wang, Z., Yue, W."Use of a novel sonosensitizer in sonodynamic therapy of U251 glioma cells in vitro". Experimental and Therapeutic Medicine 3.2 (2012): 273-278.
Chicago
Chen, Z., Li, J., Song, X., Wang, Z., Yue, W."Use of a novel sonosensitizer in sonodynamic therapy of U251 glioma cells in vitro". Experimental and Therapeutic Medicine 3, no. 2 (2012): 273-278. https://doi.org/10.3892/etm.2011.390
Follow us
  • Twitter
  • LinkedIn
  • Facebook
About
  • Spandidos Publications
  • Careers
  • Cookie Policy
  • Privacy Policy
How can we help?
  • Help
  • Live Chat
  • Contact
  • Email to our Support Team