Spandidos Publications Logo
  • About
    • About Spandidos
    • Aims and Scopes
    • Abstracting and Indexing
    • Editorial Policies
    • Reprints and Permissions
    • Job Opportunities
    • Terms and Conditions
    • Contact
  • Journals
    • All Journals
    • Oncology Letters
      • Oncology Letters
      • Information for Authors
      • Editorial Policies
      • Editorial Board
      • Aims and Scope
      • Abstracting and Indexing
      • Bibliographic Information
      • Archive
    • International Journal of Oncology
      • International Journal of Oncology
      • Information for Authors
      • Editorial Policies
      • Editorial Board
      • Aims and Scope
      • Abstracting and Indexing
      • Bibliographic Information
      • Archive
    • Molecular and Clinical Oncology
      • Molecular and Clinical Oncology
      • Information for Authors
      • Editorial Policies
      • Editorial Board
      • Aims and Scope
      • Abstracting and Indexing
      • Bibliographic Information
      • Archive
    • Experimental and Therapeutic Medicine
      • Experimental and Therapeutic Medicine
      • Information for Authors
      • Editorial Policies
      • Editorial Board
      • Aims and Scope
      • Abstracting and Indexing
      • Bibliographic Information
      • Archive
    • International Journal of Molecular Medicine
      • International Journal of Molecular Medicine
      • Information for Authors
      • Editorial Policies
      • Editorial Board
      • Aims and Scope
      • Abstracting and Indexing
      • Bibliographic Information
      • Archive
    • Biomedical Reports
      • Biomedical Reports
      • Information for Authors
      • Editorial Policies
      • Editorial Board
      • Aims and Scope
      • Abstracting and Indexing
      • Bibliographic Information
      • Archive
    • Oncology Reports
      • Oncology Reports
      • Information for Authors
      • Editorial Policies
      • Editorial Board
      • Aims and Scope
      • Abstracting and Indexing
      • Bibliographic Information
      • Archive
    • Molecular Medicine Reports
      • Molecular Medicine Reports
      • Information for Authors
      • Editorial Policies
      • Editorial Board
      • Aims and Scope
      • Abstracting and Indexing
      • Bibliographic Information
      • Archive
    • World Academy of Sciences Journal
      • World Academy of Sciences Journal
      • Information for Authors
      • Editorial Policies
      • Editorial Board
      • Aims and Scope
      • Abstracting and Indexing
      • Bibliographic Information
      • Archive
    • International Journal of Functional Nutrition
      • International Journal of Functional Nutrition
      • Information for Authors
      • Editorial Policies
      • Editorial Board
      • Aims and Scope
      • Abstracting and Indexing
      • Bibliographic Information
      • Archive
    • International Journal of Epigenetics
      • International Journal of Epigenetics
      • Information for Authors
      • Editorial Policies
      • Editorial Board
      • Aims and Scope
      • Abstracting and Indexing
      • Bibliographic Information
      • Archive
    • Medicine International
      • Medicine International
      • Information for Authors
      • Editorial Policies
      • Editorial Board
      • Aims and Scope
      • Abstracting and Indexing
      • Bibliographic Information
      • Archive
  • Articles
  • Information
    • Information for Authors
    • Information for Reviewers
    • Information for Librarians
    • Information for Advertisers
    • Conferences
  • Language Editing
Spandidos Publications Logo
  • About
    • About Spandidos
    • Aims and Scopes
    • Abstracting and Indexing
    • Editorial Policies
    • Reprints and Permissions
    • Job Opportunities
    • Terms and Conditions
    • Contact
  • Journals
    • All Journals
    • Biomedical Reports
      • Information for Authors
      • Editorial Policies
      • Editorial Board
      • Aims and Scope
      • Abstracting and Indexing
      • Bibliographic Information
      • Archive
    • Experimental and Therapeutic Medicine
      • Information for Authors
      • Editorial Policies
      • Editorial Board
      • Aims and Scope
      • Abstracting and Indexing
      • Bibliographic Information
      • Archive
    • International Journal of Epigenetics
      • Information for Authors
      • Editorial Policies
      • Editorial Board
      • Aims and Scope
      • Abstracting and Indexing
      • Bibliographic Information
      • Archive
    • International Journal of Functional Nutrition
      • Information for Authors
      • Editorial Policies
      • Editorial Board
      • Aims and Scope
      • Abstracting and Indexing
      • Bibliographic Information
      • Archive
    • International Journal of Molecular Medicine
      • Information for Authors
      • Editorial Policies
      • Editorial Board
      • Aims and Scope
      • Abstracting and Indexing
      • Bibliographic Information
      • Archive
    • International Journal of Oncology
      • Information for Authors
      • Editorial Policies
      • Editorial Board
      • Aims and Scope
      • Abstracting and Indexing
      • Bibliographic Information
      • Archive
    • Medicine International
      • Information for Authors
      • Editorial Policies
      • Editorial Board
      • Aims and Scope
      • Abstracting and Indexing
      • Bibliographic Information
      • Archive
    • Molecular and Clinical Oncology
      • Information for Authors
      • Editorial Policies
      • Editorial Board
      • Aims and Scope
      • Abstracting and Indexing
      • Bibliographic Information
      • Archive
    • Molecular Medicine Reports
      • Information for Authors
      • Editorial Policies
      • Editorial Board
      • Aims and Scope
      • Abstracting and Indexing
      • Bibliographic Information
      • Archive
    • Oncology Letters
      • Information for Authors
      • Editorial Policies
      • Editorial Board
      • Aims and Scope
      • Abstracting and Indexing
      • Bibliographic Information
      • Archive
    • Oncology Reports
      • Information for Authors
      • Editorial Policies
      • Editorial Board
      • Aims and Scope
      • Abstracting and Indexing
      • Bibliographic Information
      • Archive
    • World Academy of Sciences Journal
      • Information for Authors
      • Editorial Policies
      • Editorial Board
      • Aims and Scope
      • Abstracting and Indexing
      • Bibliographic Information
      • Archive
  • Articles
  • Information
    • For Authors
    • For Reviewers
    • For Librarians
    • For Advertisers
    • Conferences
  • Language Editing
Login Register Submit
  • This site uses cookies
  • You can change your cookie settings at any time by following the instructions in our Cookie Policy. To find out more, you may read our Privacy Policy.

    I agree
Search articles by DOI, keyword, author or affiliation
Search
Advanced Search
presentation
Experimental and Therapeutic Medicine
Join Editorial Board Propose a Special Issue
Print ISSN: 1792-0981 Online ISSN: 1792-1015
Journal Cover
March 2012 Volume 3 Issue 3

Full Size Image

Sign up for eToc alerts
Recommend to Library

Journals

International Journal of Molecular Medicine

International Journal of Molecular Medicine

International Journal of Molecular Medicine is an international journal devoted to molecular mechanisms of human disease.

International Journal of Oncology

International Journal of Oncology

International Journal of Oncology is an international journal devoted to oncology research and cancer treatment.

Molecular Medicine Reports

Molecular Medicine Reports

Covers molecular medicine topics such as pharmacology, pathology, genetics, neuroscience, infectious diseases, molecular cardiology, and molecular surgery.

Oncology Reports

Oncology Reports

Oncology Reports is an international journal devoted to fundamental and applied research in Oncology.

Experimental and Therapeutic Medicine

Experimental and Therapeutic Medicine

Experimental and Therapeutic Medicine is an international journal devoted to laboratory and clinical medicine.

Oncology Letters

Oncology Letters

Oncology Letters is an international journal devoted to Experimental and Clinical Oncology.

Biomedical Reports

Biomedical Reports

Explores a wide range of biological and medical fields, including pharmacology, genetics, microbiology, neuroscience, and molecular cardiology.

Molecular and Clinical Oncology

Molecular and Clinical Oncology

International journal addressing all aspects of oncology research, from tumorigenesis and oncogenes to chemotherapy and metastasis.

World Academy of Sciences Journal

World Academy of Sciences Journal

Multidisciplinary open-access journal spanning biochemistry, genetics, neuroscience, environmental health, and synthetic biology.

International Journal of Functional Nutrition

International Journal of Functional Nutrition

Open-access journal combining biochemistry, pharmacology, immunology, and genetics to advance health through functional nutrition.

International Journal of Epigenetics

International Journal of Epigenetics

Publishes open-access research on using epigenetics to advance understanding and treatment of human disease.

Medicine International

Medicine International

An International Open Access Journal Devoted to General Medicine.

Journal Cover
March 2012 Volume 3 Issue 3

Full Size Image

Sign up for eToc alerts
Recommend to Library

  • Article
  • Citations
    • Cite This Article
    • Download Citation
    • Create Citation Alert
    • Remove Citation Alert
    • Cited By
  • Similar Articles
    • Related Articles (in Spandidos Publications)
    • Similar Articles (Google Scholar)
    • Similar Articles (PubMed)
  • Download PDF
  • Download XML
  • View XML
Article Open Access

Sequential analysis of diethylnitrosamine‑induced hepatocarcinogenesis in rats

  • Authors:
    • Ryo Abe
    • Jun-Ichi Okano
    • Ryu Imamoto
    • Yuki Fujise
    • Yoshikazu Murawaki
  • View Affiliations / Copyright

    Affiliations: Second Department of Internal Medicine, Tottori University School of Medicine, Yonago, Tottori 683-8504, Japan
  • Pages: 371-378
    |
    Published online on: December 15, 2011
       https://doi.org/10.3892/etm.2011.419
  • Expand metrics +
Metrics: Total Views: 0 (Spandidos Publications: | PMC Statistics: )
Metrics: Total PDF Downloads: 0 (Spandidos Publications: | PMC Statistics: )
Cited By (CrossRef): 0 citations Loading Articles...

This article is mentioned in:



Abstract

In the present study, we examined the sequential changes of diethylnitrosamine (DEN)-induced hepatocarcinogenesis in Wistar rats. After 14 weeks of DEN treatment, hyperplastic nodules developed as a consequence of the appearance of renewed hepatocytes, degenerated hepatocytes, oval cells and fibrotic changes. Total bilirubin and alanine aminotransferase levels were significantly higher in the DEN group compared to the control group throughout the experimental period. Our data may prove beneficial to future analyses of chemopreventive compounds during various stages of hepatocarcinogenesis in rats.

Introduction

Hepatocellular carcinoma (HCC) is one of the most common malignancies in the world, and is the third-leading cause of mortality from cancer (1,2) and the fifth most prevalent malignancy worldwide (3). Treatment options for HCC include liver resection, radiofrequency ablation (RFA) and molecular targeted therapies, such as sorafenib (4). In spite of the advances in the treatment and early detection of HCC, the prognosis of patients with HCC is still unsatisfactory and HCC remains an intractable disease. Experimental animal models of HCC are feasible for investigating novel chemopreventive remedies for patients with chronic liver diseases who are at high risk of developing HCC. Although a number of HCC models have been generated, including hepatitis C virus (HCV) core transgenic mice (5), Pten-deficient mice (6) and activation-induced cytidine deaminase (AID)-transgenic mice (7), these models require intricate genetic manipulation.

Diethylnitrosamine (DEN) is present in tobacco smoke, water, cured and fried meals, agricultural chemicals, cosmetics and pharmaceutical agents (8) and is commercially available for experimental use. DEN is an established powerful hepatocarcinogen in rats, which possibly works by altering the DNA structure, forming alkyl DNA adducts, and inducing chromosomal aberrations and micronuclei in the liver (9,10). It has also been reported that oxidative stress plays a pivotal role during carcinogenesis (11). Although a single injection of DEN followed by partial hepatectomy coupled with 2-acetylaminofluorene (2-AAF) is an established procedure for developing HCC in rodents (12), the sequential administration of DEN for a number of weeks has also been employed for inducing HCC (13,14). However, sequential changes in the liver in DEN-based hepatocarcinogenesis have not been clarified. In this study, we analyzed DEN-induced hepatocarcinogenesis in rats by chronologically evaluating biological parameters and liver tissues following treatment with DEN.

Materials and methods

Chemicals

DEN and an anti-β-actin antibody were purchased from Sigma-Aldrich (St. Louis, MO, USA). Pentobarbital was purchased from Dainippon Sumitomo Pharma Co., Ltd. (Osaka, Japan). Antibodies against proliferating cell nuclear antigen (PCNA) and glutathione S-transferase placental type (GST-P) were purchased from Santa Cruz Biotechnology Inc. (Santa Cruz, CA, USA) and Assay Designs, Inc. (Ann Arbor, MI, USA), respectively. Secondary anti-mouse and anti-rabbit horseradish peroxidase (HRP) antibodies for western blot analysis were obtained from GE Healthcare Ltd. (Buckinghamshire, UK). All other chemicals and solvents used in this study were of analytical grade.

Animals, treatments and tissue collection

Male Wistar rats weighing ~200 g were purchased from Japan SLC, Inc. (Hamamatsu, Shizuoka, Japan). All animals received humane care and the experimental protocols were approved by the Tottori University Animal Ethics Committee. The animals were housed two per cage with rice husks for bedding in an air-ventilated room under a 12-h light/dark cycle with a constant temperature (22°C) and humidity (55%). The animals were allowed access to food and tap water ad libitum during the experiment. The rats were randomly divided into two groups and intraperitoneally injected with DEN (40 mg/kg body weight) in phosphate-buffered saline (PBS) (DEN groups, 4 rats were assigned to each treatment week) or PBS (control groups, 2 rats were assigned to each treatment week) weekly for 4, 6, 8, 10, 12 and 14 weeks (Fig. 1). Body weights were monitored weekly throughout the experimental period. One week following the last treatment, the rats were sacrificed under anesthesia by pentobarbital. Blood samples were collected via cardiac puncture and serum samples were stored at −30°C until analysis. Immediately after the livers were excised, they were weighed and divided into two sections for histological examination in 10% neutral buffered formalin and for protein extraction at −80°C.

Figure 1.

Experimental schedules of Wistar rats. Male Wistar rats were randomly divided into two groups: DEN and control groups. Rats in the DEN group were intraperitoneally injected with 40 mg/kg body weight of DEN dissolved in PBS for 4, 6, 8, 10, 12 and 14 weeks. Four rats were assigned to each treatment week. Rats in the control group were intraperitoneally injected with 740 μl/kg body weight of PBS for 4, 6, 8, 10, 12 and 14 weeks. Two rats were assigned to each treatment week. DEN, diethylnitrosamine; ip, intraperitoneal; PBS, phosphate-buffered saline; S, sacrifice; W, weeks.

Measurement of serum transaminase and total bilirubin

Serum aspartate aminotransferase (AST), alanine aminotransferase (ALT) and total bilirubin levels were measured at SRL, Inc. (Tokyo, Japan).

Total protein preparation and western blotting

The liver samples were mashed with a BioMasher (Nippi Inc., Tokyo, Japan) and lysed in radioimmune precipitation (RIPA) buffer (Millipore Corp., Bedford, MA, USA) supplemented with 1 mM sodium orthovanadate, 1 mM phenylmethylsulfonyl fluoride (PMSF) and a protease inhibitor mixture tablet (Roche Diagnostics, Basel, Switzerland) for 10 min on ice. Total protein samples (5 μg) were separated on a sodium lauryl sulfate (SDS)-polyacrylamide gel (PAGE) (SuperSep, Wako Pure Chemical Industries, Ltd., Osaka, Japan) and transferred to a polyvinylidene difluoride (PVDF) membrane (Immobilon-P, Millipore Corp.). After the membranes were blocked in 5% non-fat milk (Santa Cruz Biotechnology Inc.) in TBST (10 mM Tris, 150 mM NaCl, pH 8.0, and 0.1% Tween-20) for 1 h at room temperature, they were probed with primary antibodies overnight at 4°C, washed three times in TBST, and incubated with anti-mouse or anti-rabbit HRP antibody in TBST for 1 h at room temperature. After the signals were developed with a chemiluminescence solution (ECL, GE Healthcare Ltd.), they were visualized and quantified using an image analyzer (LAS-3000 mini, Fujifilm Co., Tokyo, Japan).

Histology and immunohistochemistry

The rat liver tissues were fixed in 10% neutral buffered formalin and paraffin embedded. For histologic analysis, serial sections (5 μm) were stained with hematoxylin and eosin (H&E). Neoplastic nodules and HCC were classified on the basis of Japanese criteria (15). Degenerated hepatocytes, oval cells, renewed hepatocytes and hyperplastic nodules were quantified as follows: grade 1 when <5%, grade 2 when 5–50%, and grade 3 when >50% in the field. For immunohistochemistry with the PCNA and GST-P antibodies, Histofine® Simple Stain Rat MAX PO was employed (Nichirei Biosciences Inc., Tokyo, Japan). Briefly, after routine dewaxing with xylene and hydration through a graded ethanol series, the sections were incubated with 3% hydrogen peroxide solution for 15 min at room temperature to quench endogenous peroxidase activity. After washing in gently-running tap water, the sections were rinsed with PBS, and incubated with primary antibodies overnight at 4°C. After rinsing with PBS, the sections were incubated with biotinylated secondary antibody for 30 min at room temperature. The peroxidase activity was developed with DAB solution (Vector Laboratories, Inc., Burlingame, CA, USA). Counterstaining was performed with hematoxylin. The PCNA labeling indices were represented as the percentage of positively stained nuclei by counting 1,000 cells in the field at x400 magnification. The GST-P-positive area was measured on images captured by a charge coupled device (CCD) camera on a Windows® computer.

Statistical analysis

All data were expressed as the means ± standard deviation (SD). Statistical analysis was performed by the unrelated t-test or the Mann-Whitney U test. A p-value <0.05 was considered to indicate a statistically significant difference.

Results

Relative liver weight and biological parameters

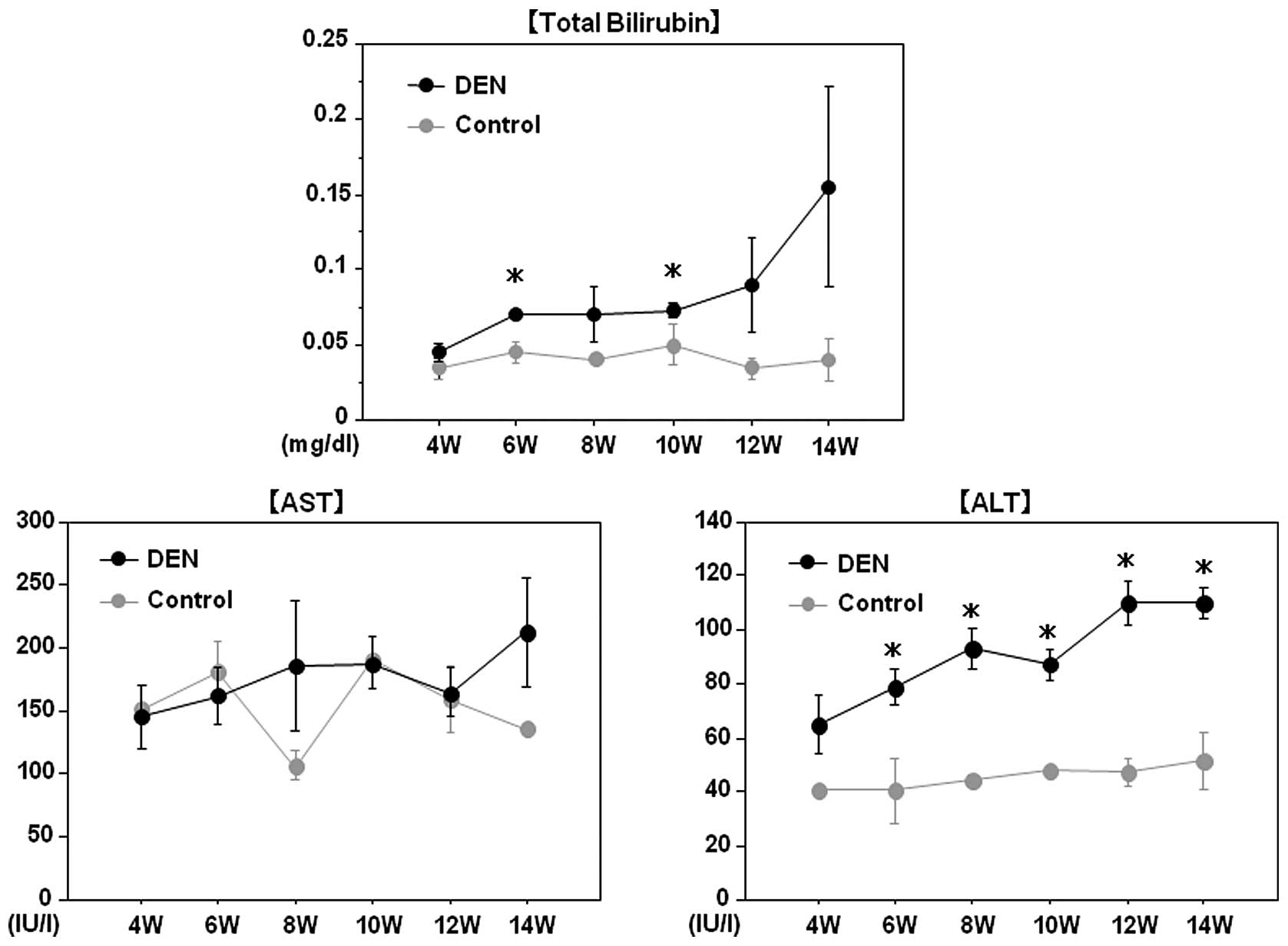
All rats survived throughout the experimental period. Chronological changes in the liver and body weights are demonstrated in Fig. 2. After 12 and 14 weeks of the treatment, the relative liver weight (liver weight/body weight) in the DEN group was significantly higher than that in the control group, presumably due to the development of liver tumors in the DEN group. Although serum AST levels did not differ between the two groups, total bilirubin and ALT levels were significantly higher in the DEN group than in the control group throughout the experimental period, possibly reflecting liver injury induced by DEN (Fig. 3).

Figure 2.

Chronological changes in the liver and body weights. Chronological changes in the liver and body weights of the rats in the DEN and control groups are demonstrated. After 12 and 14 weeks of the treatment, the relative liver weight (liver weight/body weight) in the DEN group was significantly higher than that in the control group. DEN, diethylnitrosamine; W, weeks. *p<0.05 (unrelated t-test).

Figure 3.

Serum alanine aminotransferase (ALT), aspartate aminotransferase (AST) and total bilirubin levels. Changes in serum ALT, AST and total bilirubin levels during the experimental period are demonstrated. Although serum AST levels did not differ between the two groups, total bilirubin and ALT levels were significantly higher in the DEN group than in the control group throughout the experimental period. DEN, diethylnitrosamine; W, weeks. *p<0.05 (unrelated t-test).

Histological examinations

Macroscopic and microscopic features of the liver were chronologically examined. In the control group, as expected, no liver tumors were observed throughout the experimental period (Fig. 4A). In the DEN group, no significant gross lesions were observed following 8 weeks of the treatment. However, following 10 weeks of the treatment, white nodules were macroscopically noted, the number of which increased thereafter (Fig. 4B–D). Microscopic analysis revealed that renewed hepatocytes started to appear after 4 weeks of the treatment, and degenerated hepatocytes, oval cells and fibrotic changes were observed after 6 weeks of the treatment (Fig. 4E). After 12 weeks of the DEN treatment, hyperplastic nodules developed (Fig. 4D). However, no definite HCC was observed throughout the experimental period. Quantified histological changes following the DEN treatment are summarized in Table I.

Figure 4.

Macroscopic and microscopic features of the liver. Macroscopic and microscopic features of the liver in (A) the control group and (B–E) the DEN group are chronologically demonstrated. (A) Livers in the control group appeared normal throughout the experimental period. Original maginification, x100. (B and C) After 10 weeks of the DEN treatment, white nodules started to appear. Renewed hepatocytes appeared after 4 weeks, and degenerated hepatocytes, oval cells and fibrotic changes appeared after 6 weeks of the treatment (original maginification, x100). (D) After 12 weeks of the DEN treatment, a number of white nodules were observed. Histological analysis revealed that these were hyperplastic nodules (original maginification, x100). (E) Regenerated hepatocytes (single arrow) and renewed hepatocytes (double arrows) observed after 6 weeks of the DEN treatment are demonstrated in the top image (original maginification, x400). Oval cells observed after 10 weeks of the DEN treatment are demonstrated in the bottom image (original maginification, x400). DEN, diethylnitrosamine; W, weeks.

Table I.

Summary of quantified histological changes after the DEN treatment.

Table I.

Summary of quantified histological changes after the DEN treatment.

GroupWeeksNo.Degenerated hepatocytesOval cellsRenewed hepatocytesHyperplastic nodulesHCCFibrosis
Control
4301000000
302000000
6303000000
304000000
8305000000
306000000
10307000000
308000000
12309000000
310000000
14311000000
312000000
DEN
4501000000
502001000
503000000
504000000
6505101000
506101001
507111001
508000000
8509201001
510211001
511211001
512211001
10513211001
514211001
515211001
516211001
12517112102
518112202
519112101
520122101
14521122201
522222102
523122102
524223202

[i] 0, none; 1 <5%; 2, <50%; 3, ≥50%. DEN, diethylnitrosamine; HCC, hepatocellular carcinoma.

Expression levels of GST-P and PCNA

Among the GSTs, a family of detoxification enzymes that catalyze the conjugation of glutathione with a large number of carcinogens, GST-P has been used as a reliable tumor marker for experimental hepatocarcinogenesis in the rat (16). PCNA is an essential regulator of the cell cycle, whose expression has been a useful tool for studying cell proliferation, including cell proliferation in the liver (17). We sought to investigate the expression levels of GST-P and PCNA during hepatocarcinogenesis induced by DEN. As expected, the control liver did not express a significant amount of GST-P when evaluated by immunohistochemical or western blot analysis (Fig. 5A and B). GST-P-positive foci started to appear after 6 weeks of the DEN treatment and the expression levels of GST-P were significantly increased thereafter throughout the experimental period (Fig. 5A and B). The expression levels of PCNA were sequentially increased after the treatment with DEN when analyzed by immunohistochemical and western blot analysis (Fig. 6A and B).

Figure 5.

GST-P expression in the liver. Expression levels of GST-P were chronologically analyzed by (A) immunohistochemical analysis and (B) western blot analysis. (A) Representative sections immunostained with the anti-GST-P antibody are demonstrated. GST-P-positive foci are indicated by arrows. (B) Protein samples extracted from control and DEN-treated livers for 4, 6, 8, 10, 12 and 14 weeks were utilized for western blot analysis with the anti-GST-P antibody. The membrane was stripped and reprobed with anti-β-actin antibody as the internal control. Original maginification, x100. DEN, diethylnitrosamine; GST, glutathione S-transferase; W, weeks. *p<0.05 (Mann-Whitney U test).

Figure 6

PCNA expression in the liver. PCNA expression levels were chronologically analyzed by (A) immunohistochemical analysis and (B) western blot analysis. (A) Representative sections immunostained with the anti-PCNA antibody are demonstrated. PCNA-positive cells are indicated by arrows. (B) Protein samples extracted from the control and DEN-treated livers for 4, 6, 8, 10, 12 and 14 weeks were utilized for western blot analysis with the anti-PCNA antibody. The membrane was stripped and reprobed with anti-β-actin antibody as the internal control. Original maginification, x100. DEN, diethylnitrosamine; PCNA, proliferating cell nuclear antigen; W, weeks. *p<0.05 (Mann-Whitney U test).

Discussion

DEN-based HCC models have been utilized for investigating the beneficial effects of anti-carcinogenic compounds in vivo. Since the sequential changes in the liver following the administration of DEN have not been clarified, we evaluated them by sequentially examining biological parameters and liver tissues. After 14 weeks of DEN treatment, hyperplastic nodules developed as a consequence of the appearance of renewed hepatocytes, degenerated hepatocytes, oval cells and fibrotic changes. Unfortunately, we did not observe the rats beyond 14 weeks. It is plausible that longer treatment with DEN could lead to the development of HCC. In addition, since we did not investigate the molecular mechanisms involved in the histological changes following treatment with DEN in this study, future intensive studies are necessary to unveil these issues.

Compounds which have potential chemopreventive effects on the liver include acyclic retinoid (ACR), caffeine, capsaicin, cinnamaldehyde, curcumin, diallyl sulfide (DAS), eicosapentaenoic acid (EPA), epigallocatechin-3-gallate (EGCG), genistein, lycopene, resveratrol, silymarin and sulforaphane (SFN) (18). Since the anti-hepatocarcinogenic effects of these compounds have become known mainly from in vitro experimental studies and epidemiology, hepatocarcinogenic models in rats would be useful for testing these compounds in vivo. As shown in the present study, the sequential analysis of DEN-induced hepatocarcinogenesis may be valuable for investigating the effects of compounds at variable stages of hepatocarcinogenesis.

Abbreviations:

ALT,

alanine aminotransferase;

AST,

aspartate aminotransferase;

DEN,

diethylnitrosamine;

GST,

glutathione S-transferase;

H&E,

hematoxylin and eosin;

HCC,

hepatocellular carcinoma;

HCV,

hepatitis C virus;

PBS,

phosphate-buffered saline;

PCNA,

proliferating cell nuclear antigen

Acknowledgements

We would like to thank Mr. Yujirou Ikuta for his technical assistance.

References

1. 

FX BoschJ RibesJ BorrasEpidemiology of primary liver cancerSemin Liver Dis19271285199910.1055/s-2007-100711710518307

2. 

HB El-SeragKL RudolphHepatocellular carcinoma: epidemiology and molecular carcinogenesisGastroenterology13225572576200710.1053/j.gastro.2007.04.06117570226

3. 

PA FaraziRA DePinhoHepatocellular carcinoma pathogenesis: from genes to environmentNat Rev Cancer6674687200610.1038/nrc193416929323

4. 

YC ShenC HsuAL ChengMolecular targeted therapy for advanced hepatocellular carcinoma: current status and future perspectivesJ Gastroenterol45794807201010.1007/s00535-010-0270-020567987

5. 

K MoriyaH FujieY ShintaniThe core protein of hepatitis C virus induces hepatocellular carcinoma in transgenic miceNat Med410651067199810.1038/20539734402

6. 

Y HorieA SuzukiE KataokaHepatocyte-specific Pten deficiency results in steatohepatitis and hepatocellular carcinomasJ Clin Invest11317741783200410.1172/JCI2051315199412

7. 

A TakaiT ToyoshimaM UemuraA novel mouse model of hepatocarcinogenesis triggered by AID causing deleterious p53 mutationsOncogene28469478200910.1038/onc.2008.41518997814

8. 

M El-ShahatS El-AbdM AlkafafyG El-KhatibPotential chemoprevention of diethylnitrosamine-induced hepatocarcinogenesis in rats: Myrrh (Commiphora molmol) vs. turmeric (Curcuma longa)Acta HistochemAug252011(E-pub ahead of print)

9. 

SS Al-RejaieAM AleisaAA Al-YahyaProgression of diethylnitrosamine-induced hepatic carcinogenesis in carnitine-depleted ratsWorld J Gastroenterol1513731380200910.3748/wjg.15.137319294768

10. 

L VernaJ WhysnerGM WilliamsN-nitrosodiethylamine mechanistic data and risk assessment: bioactivation, DNA-adduct formation, mutagenicity, and tumor initiationPharmacol Ther715781199610.1016/0163-7258(96)00062-98910949

11. 

S JayakumarA MadankumarS AsokkumarPotential preventive effect of carvacrol against diethylnitrosamine-induced hepatocellular carcinoma in ratsMol Cell BiochemAug312011(E-pub ahead of print)

12. 

DB SoltE CayamaH TsudaK EnomotoG LeeE FarberPromotion of liver cancer development by brief exposure to dietary 2-acetylaminofluorene plus partial hepatectomy or carbon tetrachlorideCancer Res4318819119836291753

13. 

S-E ChuangA-L ChengJ-K LinM-L KuoInhibition by curcumin of diethylnitrosamine-induced hepatic hyperplasia, inflammation, cellular gene products and cell-cycle-related proteins in ratsFood Chem Toxicol38991995200010.1016/S0278-6915(00)00101-011038236

14. 

G ShiotaK HaradaM IshidaInhibition of hepatocellular carcinoma by glycyrrhizin in diethylnitrosamine-treated miceCarcinogenesis205963199910.1093/carcin/20.1.599934850

15. 

RA SquireMH LevittReport of a workshop on classification of specific hepatocellular lesions in ratsCancer Res35321432231975171067

16. 

M SakaiM MuramatsuRegulation of glutathione transferase P: a tumor marker of hepatocarcinogenesisBiochem Biophys Res Commun357575578200710.1016/j.bbrc.2007.03.17417434454

17. 

FQ AlenziEM El-NasharSS Al-GhamdiInvestigation of Bcl-2 and PCNA in hepatocellular carcinoma: relation to chronic HCVJ Egypt Natl Canc Inst228794201021503011

18. 

J OkanoY FujiseR AbeR ImamotoY MurawakiChemo-prevention against hepatocellular carcinomaClin J Gastroenterol4185197201110.1007/s12328-011-0227-8

Related Articles

  • Abstract
  • View
  • Download
  • Twitter
Copy and paste a formatted citation
Spandidos Publications style
Abe R, Okano J, Imamoto R, Fujise Y and Murawaki Y: Sequential analysis of diethylnitrosamine‑induced hepatocarcinogenesis in rats. Exp Ther Med 3: 371-378, 2012.
APA
Abe, R., Okano, J., Imamoto, R., Fujise, Y., & Murawaki, Y. (2012). Sequential analysis of diethylnitrosamine‑induced hepatocarcinogenesis in rats. Experimental and Therapeutic Medicine, 3, 371-378. https://doi.org/10.3892/etm.2011.419
MLA
Abe, R., Okano, J., Imamoto, R., Fujise, Y., Murawaki, Y."Sequential analysis of diethylnitrosamine‑induced hepatocarcinogenesis in rats". Experimental and Therapeutic Medicine 3.3 (2012): 371-378.
Chicago
Abe, R., Okano, J., Imamoto, R., Fujise, Y., Murawaki, Y."Sequential analysis of diethylnitrosamine‑induced hepatocarcinogenesis in rats". Experimental and Therapeutic Medicine 3, no. 3 (2012): 371-378. https://doi.org/10.3892/etm.2011.419
Copy and paste a formatted citation
x
Spandidos Publications style
Abe R, Okano J, Imamoto R, Fujise Y and Murawaki Y: Sequential analysis of diethylnitrosamine‑induced hepatocarcinogenesis in rats. Exp Ther Med 3: 371-378, 2012.
APA
Abe, R., Okano, J., Imamoto, R., Fujise, Y., & Murawaki, Y. (2012). Sequential analysis of diethylnitrosamine‑induced hepatocarcinogenesis in rats. Experimental and Therapeutic Medicine, 3, 371-378. https://doi.org/10.3892/etm.2011.419
MLA
Abe, R., Okano, J., Imamoto, R., Fujise, Y., Murawaki, Y."Sequential analysis of diethylnitrosamine‑induced hepatocarcinogenesis in rats". Experimental and Therapeutic Medicine 3.3 (2012): 371-378.
Chicago
Abe, R., Okano, J., Imamoto, R., Fujise, Y., Murawaki, Y."Sequential analysis of diethylnitrosamine‑induced hepatocarcinogenesis in rats". Experimental and Therapeutic Medicine 3, no. 3 (2012): 371-378. https://doi.org/10.3892/etm.2011.419
Follow us
  • Twitter
  • LinkedIn
  • Facebook
About
  • Spandidos Publications
  • Careers
  • Cookie Policy
  • Privacy Policy
How can we help?
  • Help
  • Live Chat
  • Contact
  • Email to our Support Team