Spandidos Publications Logo
  • About
    • About Spandidos
    • Aims and Scopes
    • Abstracting and Indexing
    • Editorial Policies
    • Reprints and Permissions
    • Job Opportunities
    • Terms and Conditions
    • Contact
  • Journals
    • All Journals
    • Oncology Letters
      • Oncology Letters
      • Information for Authors
      • Editorial Policies
      • Editorial Board
      • Aims and Scope
      • Abstracting and Indexing
      • Bibliographic Information
      • Archive
    • International Journal of Oncology
      • International Journal of Oncology
      • Information for Authors
      • Editorial Policies
      • Editorial Board
      • Aims and Scope
      • Abstracting and Indexing
      • Bibliographic Information
      • Archive
    • Molecular and Clinical Oncology
      • Molecular and Clinical Oncology
      • Information for Authors
      • Editorial Policies
      • Editorial Board
      • Aims and Scope
      • Abstracting and Indexing
      • Bibliographic Information
      • Archive
    • Experimental and Therapeutic Medicine
      • Experimental and Therapeutic Medicine
      • Information for Authors
      • Editorial Policies
      • Editorial Board
      • Aims and Scope
      • Abstracting and Indexing
      • Bibliographic Information
      • Archive
    • International Journal of Molecular Medicine
      • International Journal of Molecular Medicine
      • Information for Authors
      • Editorial Policies
      • Editorial Board
      • Aims and Scope
      • Abstracting and Indexing
      • Bibliographic Information
      • Archive
    • Biomedical Reports
      • Biomedical Reports
      • Information for Authors
      • Editorial Policies
      • Editorial Board
      • Aims and Scope
      • Abstracting and Indexing
      • Bibliographic Information
      • Archive
    • Oncology Reports
      • Oncology Reports
      • Information for Authors
      • Editorial Policies
      • Editorial Board
      • Aims and Scope
      • Abstracting and Indexing
      • Bibliographic Information
      • Archive
    • Molecular Medicine Reports
      • Molecular Medicine Reports
      • Information for Authors
      • Editorial Policies
      • Editorial Board
      • Aims and Scope
      • Abstracting and Indexing
      • Bibliographic Information
      • Archive
    • World Academy of Sciences Journal
      • World Academy of Sciences Journal
      • Information for Authors
      • Editorial Policies
      • Editorial Board
      • Aims and Scope
      • Abstracting and Indexing
      • Bibliographic Information
      • Archive
    • International Journal of Functional Nutrition
      • International Journal of Functional Nutrition
      • Information for Authors
      • Editorial Policies
      • Editorial Board
      • Aims and Scope
      • Abstracting and Indexing
      • Bibliographic Information
      • Archive
    • International Journal of Epigenetics
      • International Journal of Epigenetics
      • Information for Authors
      • Editorial Policies
      • Editorial Board
      • Aims and Scope
      • Abstracting and Indexing
      • Bibliographic Information
      • Archive
    • Medicine International
      • Medicine International
      • Information for Authors
      • Editorial Policies
      • Editorial Board
      • Aims and Scope
      • Abstracting and Indexing
      • Bibliographic Information
      • Archive
  • Articles
  • Information
    • Information for Authors
    • Information for Reviewers
    • Information for Librarians
    • Information for Advertisers
    • Conferences
  • Language Editing
Spandidos Publications Logo
  • About
    • About Spandidos
    • Aims and Scopes
    • Abstracting and Indexing
    • Editorial Policies
    • Reprints and Permissions
    • Job Opportunities
    • Terms and Conditions
    • Contact
  • Journals
    • All Journals
    • Biomedical Reports
      • Information for Authors
      • Editorial Policies
      • Editorial Board
      • Aims and Scope
      • Abstracting and Indexing
      • Bibliographic Information
      • Archive
    • Experimental and Therapeutic Medicine
      • Information for Authors
      • Editorial Policies
      • Editorial Board
      • Aims and Scope
      • Abstracting and Indexing
      • Bibliographic Information
      • Archive
    • International Journal of Epigenetics
      • Information for Authors
      • Editorial Policies
      • Editorial Board
      • Aims and Scope
      • Abstracting and Indexing
      • Bibliographic Information
      • Archive
    • International Journal of Functional Nutrition
      • Information for Authors
      • Editorial Policies
      • Editorial Board
      • Aims and Scope
      • Abstracting and Indexing
      • Bibliographic Information
      • Archive
    • International Journal of Molecular Medicine
      • Information for Authors
      • Editorial Policies
      • Editorial Board
      • Aims and Scope
      • Abstracting and Indexing
      • Bibliographic Information
      • Archive
    • International Journal of Oncology
      • Information for Authors
      • Editorial Policies
      • Editorial Board
      • Aims and Scope
      • Abstracting and Indexing
      • Bibliographic Information
      • Archive
    • Medicine International
      • Information for Authors
      • Editorial Policies
      • Editorial Board
      • Aims and Scope
      • Abstracting and Indexing
      • Bibliographic Information
      • Archive
    • Molecular and Clinical Oncology
      • Information for Authors
      • Editorial Policies
      • Editorial Board
      • Aims and Scope
      • Abstracting and Indexing
      • Bibliographic Information
      • Archive
    • Molecular Medicine Reports
      • Information for Authors
      • Editorial Policies
      • Editorial Board
      • Aims and Scope
      • Abstracting and Indexing
      • Bibliographic Information
      • Archive
    • Oncology Letters
      • Information for Authors
      • Editorial Policies
      • Editorial Board
      • Aims and Scope
      • Abstracting and Indexing
      • Bibliographic Information
      • Archive
    • Oncology Reports
      • Information for Authors
      • Editorial Policies
      • Editorial Board
      • Aims and Scope
      • Abstracting and Indexing
      • Bibliographic Information
      • Archive
    • World Academy of Sciences Journal
      • Information for Authors
      • Editorial Policies
      • Editorial Board
      • Aims and Scope
      • Abstracting and Indexing
      • Bibliographic Information
      • Archive
  • Articles
  • Information
    • For Authors
    • For Reviewers
    • For Librarians
    • For Advertisers
    • Conferences
  • Language Editing
Login Register Submit
  • This site uses cookies
  • You can change your cookie settings at any time by following the instructions in our Cookie Policy. To find out more, you may read our Privacy Policy.

    I agree
Search articles by DOI, keyword, author or affiliation
Search
Advanced Search
presentation
Experimental and Therapeutic Medicine
Join Editorial Board Propose a Special Issue
Print ISSN: 1792-0981 Online ISSN: 1792-1015
Journal Cover
December 2013 Volume 6 Issue 6

Full Size Image

Sign up for eToc alerts
Recommend to Library

Journals

International Journal of Molecular Medicine

International Journal of Molecular Medicine

International Journal of Molecular Medicine is an international journal devoted to molecular mechanisms of human disease.

International Journal of Oncology

International Journal of Oncology

International Journal of Oncology is an international journal devoted to oncology research and cancer treatment.

Molecular Medicine Reports

Molecular Medicine Reports

Covers molecular medicine topics such as pharmacology, pathology, genetics, neuroscience, infectious diseases, molecular cardiology, and molecular surgery.

Oncology Reports

Oncology Reports

Oncology Reports is an international journal devoted to fundamental and applied research in Oncology.

Experimental and Therapeutic Medicine

Experimental and Therapeutic Medicine

Experimental and Therapeutic Medicine is an international journal devoted to laboratory and clinical medicine.

Oncology Letters

Oncology Letters

Oncology Letters is an international journal devoted to Experimental and Clinical Oncology.

Biomedical Reports

Biomedical Reports

Explores a wide range of biological and medical fields, including pharmacology, genetics, microbiology, neuroscience, and molecular cardiology.

Molecular and Clinical Oncology

Molecular and Clinical Oncology

International journal addressing all aspects of oncology research, from tumorigenesis and oncogenes to chemotherapy and metastasis.

World Academy of Sciences Journal

World Academy of Sciences Journal

Multidisciplinary open-access journal spanning biochemistry, genetics, neuroscience, environmental health, and synthetic biology.

International Journal of Functional Nutrition

International Journal of Functional Nutrition

Open-access journal combining biochemistry, pharmacology, immunology, and genetics to advance health through functional nutrition.

International Journal of Epigenetics

International Journal of Epigenetics

Publishes open-access research on using epigenetics to advance understanding and treatment of human disease.

Medicine International

Medicine International

An International Open Access Journal Devoted to General Medicine.

Journal Cover
December 2013 Volume 6 Issue 6

Full Size Image

Sign up for eToc alerts
Recommend to Library

  • Article
  • Citations
    • Cite This Article
    • Download Citation
    • Create Citation Alert
    • Remove Citation Alert
    • Cited By
  • Similar Articles
    • Related Articles (in Spandidos Publications)
    • Similar Articles (Google Scholar)
    • Similar Articles (PubMed)
  • Download PDF
  • Download XML
  • View XML
Article

Urinary TNF‑α and NGAL are correlated with the progression of nephropathy in patients with type 2 diabetes

  • Authors:
    • Jian Wu
    • Yaqing Ding
    • Chunling Zhu
    • Xiaohong Shao
    • Xin Xie
    • Kan Lu
    • Rui Wang
  • View Affiliations / Copyright

    Affiliations: Department of Endocrinology, Shanghai TCM‑Integrated Hospital, Shanghai 200082, P.R. China
  • Pages: 1482-1488
    |
    Published online on: September 26, 2013
       https://doi.org/10.3892/etm.2013.1315
  • Expand metrics +
Metrics: Total Views: 0 (Spandidos Publications: | PMC Statistics: )
Metrics: Total PDF Downloads: 0 (Spandidos Publications: | PMC Statistics: )
Cited By (CrossRef): 0 citations Loading Articles...

This article is mentioned in:



Abstract

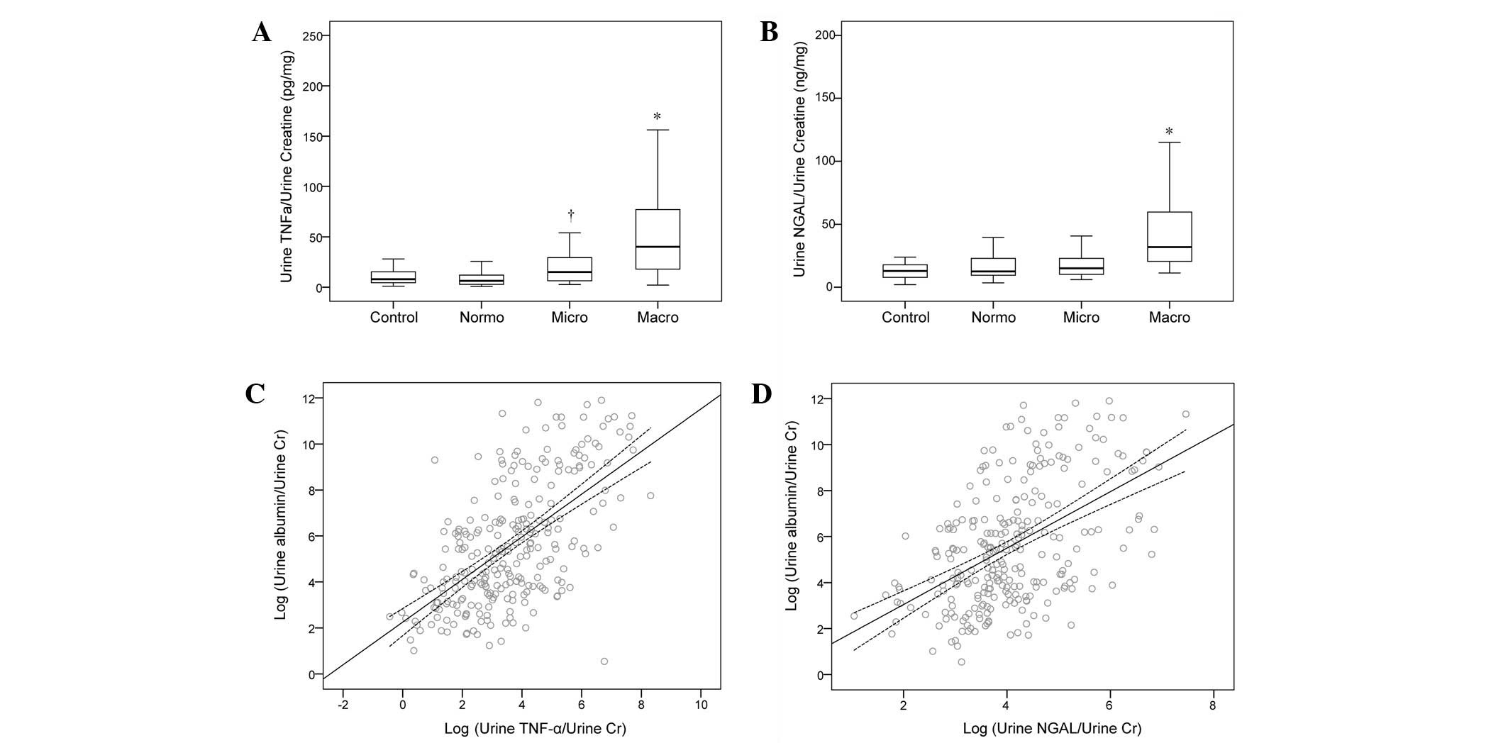
The aim of this study was to investigate the correlation of the proinflammatory marker tumor necrosis factor‑α (TNF‑α) and the tubular marker neutrophil gelatinase‑associated lipocalin (NGAL) with the progression of the early stage of type 2 diabetic nephropathy (DN). Baseline levels of urinary TNF‑α and NGAL were measured in 63 non‑diabetic controls and 201 patients with type 2 diabetes and different albuminuria statuses. The patients with diabetes (n=125) with normo‑ or microalbuminuria were subsequently followed‑up for 28 (25‑32) months, with routine measurements of creatinine and urinary albumin excretion (UAE). It was observed that baseline levels of urinary TNF‑α and NGAL were significantly elevated and correlated with the severity of albuminuria in patients with diabetes. During the follow‑up, the urinary levels of TNF‑α and NGAL were observed to be significantly correlated with a rapid decline in the estimated glomerular filtration rate (eGFR). Following adjustment for other progression promoters, including albuminuria, TNF‑α remained a significant predictor of eGFR decline. These results suggest that inflammation is important in the pathogenesis of DN and indicate that TNF‑α may be used as an independent predictor for the progression of DN at the early stage.
View Figures

Figure 1

Figure 2

View References

1 

Gross JL, de Azevedo MJ, Silveiro SP, Canani LH, Caramori ML and Zelmanovitz T: Diabetic nephropathy: diagnosis, prevention, and treatment. Diabetes Care. 28:164–176. 2005. View Article : Google Scholar : PubMed/NCBI

2 

Rossing P, Rossing K, Gaede P, Pedersen O and Parving HH: Monitoring kidney function in type 2 diabetic patients with incipient and overt diabetic nephropathy. Diabetes Care. 29:1024–1030. 2006. View Article : Google Scholar : PubMed/NCBI

3 

American Diabetes Association. Standards of medical care in diabetes - 2011. Diabetes Care. 34(Suppl 1): S11–S61. 2011.

4 

Choudhury D, Tuncel M and Levi M: Diabetic nephropathy - a multifaceted target of new therapies. Discov Med. 10:406–415. 2010.PubMed/NCBI

5 

Moresco RN, Sangoi MB, De Carvalho JA, Tatsch E and Bochi GV: Diabetic nephropathy: traditional to proteomic markers. Clin Chim Acta. 421:17–30. 2013. View Article : Google Scholar : PubMed/NCBI

6 

Booya F, Bandarian F, Larijani B, Pajouhi M, Nooraei M and Lotfi J: Potential risk factors for diabetic neuropathy: a case control study. BMC Neurol. 5:242005. View Article : Google Scholar : PubMed/NCBI

7 

Retnakaran R, Cull CA, Thorne KI, Adler AI and Holman RR; UKPDS Study Group. Risk factors for renal dysfunction in type 2 diabetes: U.K. Prospective Diabetes Study 74. Diabetes. 55:1832–1839. 2006. View Article : Google Scholar : PubMed/NCBI

8 

Cohen-Bucay A and Viswanathan G: Urinary markers of glomerular injury in diabetic nephropathy. Int J Nephrol. 2012:1469872012. View Article : Google Scholar : PubMed/NCBI

9 

Kim SS, Song SH, Kim IJ, et al: Clinical implication of urinary tubular markers in the early stage of nephropathy with type 2 diabetic patients. Diabetes Res Clin Pract. 97:251–257. 2012. View Article : Google Scholar : PubMed/NCBI

10 

Garg JP and Bakris GL: Microalbuminuria: marker of vascular dysfunction, risk factor for cardiovascular disease. Vasc Med. 7:35–43. 2002. View Article : Google Scholar : PubMed/NCBI

11 

Cohen MP, Lautenslager GT and Shearman CW: Increased collagen IV excretion in diabetes. A marker of compromised filtration function. Diabetes Care. 24:914–918. 2001. View Article : Google Scholar : PubMed/NCBI

12 

Isakova T, Xie H, Yang W, et al: Fibroblast growth factor 23 and risks of mortality and end-stage renal disease in patients with chronic kidney disease. JAMA. 305:2432–2439. 2011. View Article : Google Scholar : PubMed/NCBI

13 

Barratt J and Topham P: Urine proteomics: the present and future of measuring urinary protein components in disease. CMAJ. 177:361–368. 2007. View Article : Google Scholar : PubMed/NCBI

14 

Kim SS, Song SH, Kim IJ, et al: Urinary cystatin C and tubular proteinuria predict progression of diabetic nephropathy. Diabetes Care. 36:656–661. 2013. View Article : Google Scholar : PubMed/NCBI

15 

Han WK, Wagener G, Zhu Y, Wang S and Lee HT: Urinary biomarkers in the early detection of acute kidney injury after cardiac surgery. Clin J Am Soc Nephrol. 4:873–882. 2009. View Article : Google Scholar : PubMed/NCBI

16 

Nielsen SE, Reinhard H, Zdunek D, et al: Tubular markers are associated with decline in kidney function in proteinuric type 2 diabetic patients. Diabetes Res Clin Pract. 97:71–76. 2012. View Article : Google Scholar : PubMed/NCBI

17 

Liangos O, Perianayagam MC, Vaidya VS, et al: Urinary N-acetyl-beta-(D)-glucosaminidase activity and kidney injury molecule-1 level are associated with adverse outcomes in acute renal failure. J Am Soc Nephrol. 18:904–912. 2007. View Article : Google Scholar : PubMed/NCBI

18 

Bennett M, Dent CL, Ma Q, et al: Urine NGAL predicts severity of acute kidney injury after cardiac surgery: a prospective study. Clin J Am Soc Nephrol. 3:665–673. 2008. View Article : Google Scholar : PubMed/NCBI

19 

Bazzi C, Petrini C, Rizza V, et al: Urinary N-acetyl-beta-glucosaminidase excretion is a marker of tubular cell dysfunction and a predictor of outcome in primary glomerulonephritis. Nephrol Dial Transplant. 17:1890–1896. 2002. View Article : Google Scholar : PubMed/NCBI

20 

Mori K and Nakao K: Neutrophil gelatinase-associated lipocalin as the real-time indicator of active kidney damage. Kidney Int. 71:967–970. 2007. View Article : Google Scholar : PubMed/NCBI

21 

Lim AK and Tesch GH: Inflammation in diabetic nephropathy. Mediators Inflamm. 2012:1461542012.PubMed/NCBI

22 

Navarro JF, Mora C, Maca M and Garca J: Inflammatory parameters are independently associated with urinary albumin in type 2 diabetes mellitus. Am J Kidney Dis. 42:53–61. 2003. View Article : Google Scholar : PubMed/NCBI

23 

Misseri R, Meldrum DR, Dinarello CA, et al: TNF-alpha mediates obstruction-induced renal tubular cell apoptosis and proapoptotic signaling. Am J Physiol Renal Physiol. 288:F406–F411. 2005. View Article : Google Scholar : PubMed/NCBI

24 

Navarro JF and Mora-Fernández C: The role of TNF-alpha in diabetic nephropathy: pathogenic and therapeutic implications. Cytokine Growth Factor Rev. 17:441–450. 2006. View Article : Google Scholar : PubMed/NCBI

25 

Ma YC, Zuo L, Chen JH, et al: Modified glomerular filtration rate estimating equation for Chinese patients with chronic kidney disease. J Am Soc Nephrol. 17:2937–2944. 2006. View Article : Google Scholar : PubMed/NCBI

26 

Vaidya VS, Waikar SS, Ferguson MA, et al: Urinary biomarkers for sensitive and specific detection of acute kidney injury in humans. Clin Transl Sci. 1:200–208. 2008. View Article : Google Scholar : PubMed/NCBI

27 

Titan SM, Vieira JM Jr, Dominguez WV, et al: Urinary MCP-1 and RBP: independent predictors of renal outcome in macroalbuminuric diabetic nephropathy. J Diabetes Complications. 26:546–553. 2012. View Article : Google Scholar : PubMed/NCBI

28 

Hong CY, Chia KS and Ling SL: Urinary protein excretion in Type 2 diabetes with complications. J Diabetes Complications. 14:259–265. 2000. View Article : Google Scholar : PubMed/NCBI

29 

Nakamura A, Shikata K, Hiramatsu M, et al: Serum interleukin-18 levels are associated with nephropathy and atherosclerosis in Japanese patients with type 2 diabetes. Diabetes Care. 28:2890–2895. 2005. View Article : Google Scholar : PubMed/NCBI

30 

Deng WJ, Nie S, Dai J, Wu JR and Zeng R: Proteome, phosphoproteome, and hydroxyproteome of liver mitochondria in diabetic rats at early pathogenic stages. Mol Cell Proteomics. 9:100–116. 2010. View Article : Google Scholar : PubMed/NCBI

31 

Ben Ameur R, Molina L, Bolvin C, et al: Proteomic approaches for discovering biomarkers of diabetic nephropathy. Nephrol Dial Transplant. 25:2866–2875. 2010.PubMed/NCBI

32 

Darde VM, Barderas MG and Vivanco F: Multiple reaction monitoring (MRM) of plasma proteins in cardiovascular proteomics. Methods Mol Biol. 1000:191–199. 2013. View Article : Google Scholar : PubMed/NCBI

Related Articles

  • Abstract
  • View
  • Download
  • Twitter
Copy and paste a formatted citation
Spandidos Publications style
Wu J, Ding Y, Zhu C, Shao X, Xie X, Lu K and Wang R: Urinary TNF‑α and NGAL are correlated with the progression of nephropathy in patients with type 2 diabetes. Exp Ther Med 6: 1482-1488, 2013.
APA
Wu, J., Ding, Y., Zhu, C., Shao, X., Xie, X., Lu, K., & Wang, R. (2013). Urinary TNF‑α and NGAL are correlated with the progression of nephropathy in patients with type 2 diabetes. Experimental and Therapeutic Medicine, 6, 1482-1488. https://doi.org/10.3892/etm.2013.1315
MLA
Wu, J., Ding, Y., Zhu, C., Shao, X., Xie, X., Lu, K., Wang, R."Urinary TNF‑α and NGAL are correlated with the progression of nephropathy in patients with type 2 diabetes". Experimental and Therapeutic Medicine 6.6 (2013): 1482-1488.
Chicago
Wu, J., Ding, Y., Zhu, C., Shao, X., Xie, X., Lu, K., Wang, R."Urinary TNF‑α and NGAL are correlated with the progression of nephropathy in patients with type 2 diabetes". Experimental and Therapeutic Medicine 6, no. 6 (2013): 1482-1488. https://doi.org/10.3892/etm.2013.1315
Copy and paste a formatted citation
x
Spandidos Publications style
Wu J, Ding Y, Zhu C, Shao X, Xie X, Lu K and Wang R: Urinary TNF‑α and NGAL are correlated with the progression of nephropathy in patients with type 2 diabetes. Exp Ther Med 6: 1482-1488, 2013.
APA
Wu, J., Ding, Y., Zhu, C., Shao, X., Xie, X., Lu, K., & Wang, R. (2013). Urinary TNF‑α and NGAL are correlated with the progression of nephropathy in patients with type 2 diabetes. Experimental and Therapeutic Medicine, 6, 1482-1488. https://doi.org/10.3892/etm.2013.1315
MLA
Wu, J., Ding, Y., Zhu, C., Shao, X., Xie, X., Lu, K., Wang, R."Urinary TNF‑α and NGAL are correlated with the progression of nephropathy in patients with type 2 diabetes". Experimental and Therapeutic Medicine 6.6 (2013): 1482-1488.
Chicago
Wu, J., Ding, Y., Zhu, C., Shao, X., Xie, X., Lu, K., Wang, R."Urinary TNF‑α and NGAL are correlated with the progression of nephropathy in patients with type 2 diabetes". Experimental and Therapeutic Medicine 6, no. 6 (2013): 1482-1488. https://doi.org/10.3892/etm.2013.1315
Follow us
  • Twitter
  • LinkedIn
  • Facebook
About
  • Spandidos Publications
  • Careers
  • Cookie Policy
  • Privacy Policy
How can we help?
  • Help
  • Live Chat
  • Contact
  • Email to our Support Team