Spandidos Publications Logo
  • About
    • About Spandidos
    • Aims and Scopes
    • Abstracting and Indexing
    • Editorial Policies
    • Reprints and Permissions
    • Job Opportunities
    • Terms and Conditions
    • Contact
  • Journals
    • All Journals
    • Oncology Letters
      • Oncology Letters
      • Information for Authors
      • Editorial Policies
      • Editorial Board
      • Aims and Scope
      • Abstracting and Indexing
      • Bibliographic Information
      • Archive
    • International Journal of Oncology
      • International Journal of Oncology
      • Information for Authors
      • Editorial Policies
      • Editorial Board
      • Aims and Scope
      • Abstracting and Indexing
      • Bibliographic Information
      • Archive
    • Molecular and Clinical Oncology
      • Molecular and Clinical Oncology
      • Information for Authors
      • Editorial Policies
      • Editorial Board
      • Aims and Scope
      • Abstracting and Indexing
      • Bibliographic Information
      • Archive
    • Experimental and Therapeutic Medicine
      • Experimental and Therapeutic Medicine
      • Information for Authors
      • Editorial Policies
      • Editorial Board
      • Aims and Scope
      • Abstracting and Indexing
      • Bibliographic Information
      • Archive
    • International Journal of Molecular Medicine
      • International Journal of Molecular Medicine
      • Information for Authors
      • Editorial Policies
      • Editorial Board
      • Aims and Scope
      • Abstracting and Indexing
      • Bibliographic Information
      • Archive
    • Biomedical Reports
      • Biomedical Reports
      • Information for Authors
      • Editorial Policies
      • Editorial Board
      • Aims and Scope
      • Abstracting and Indexing
      • Bibliographic Information
      • Archive
    • Oncology Reports
      • Oncology Reports
      • Information for Authors
      • Editorial Policies
      • Editorial Board
      • Aims and Scope
      • Abstracting and Indexing
      • Bibliographic Information
      • Archive
    • Molecular Medicine Reports
      • Molecular Medicine Reports
      • Information for Authors
      • Editorial Policies
      • Editorial Board
      • Aims and Scope
      • Abstracting and Indexing
      • Bibliographic Information
      • Archive
    • World Academy of Sciences Journal
      • World Academy of Sciences Journal
      • Information for Authors
      • Editorial Policies
      • Editorial Board
      • Aims and Scope
      • Abstracting and Indexing
      • Bibliographic Information
      • Archive
    • International Journal of Functional Nutrition
      • International Journal of Functional Nutrition
      • Information for Authors
      • Editorial Policies
      • Editorial Board
      • Aims and Scope
      • Abstracting and Indexing
      • Bibliographic Information
      • Archive
    • International Journal of Epigenetics
      • International Journal of Epigenetics
      • Information for Authors
      • Editorial Policies
      • Editorial Board
      • Aims and Scope
      • Abstracting and Indexing
      • Bibliographic Information
      • Archive
    • Medicine International
      • Medicine International
      • Information for Authors
      • Editorial Policies
      • Editorial Board
      • Aims and Scope
      • Abstracting and Indexing
      • Bibliographic Information
      • Archive
  • Articles
  • Information
    • Information for Authors
    • Information for Reviewers
    • Information for Librarians
    • Information for Advertisers
    • Conferences
  • Language Editing
Spandidos Publications Logo
  • About
    • About Spandidos
    • Aims and Scopes
    • Abstracting and Indexing
    • Editorial Policies
    • Reprints and Permissions
    • Job Opportunities
    • Terms and Conditions
    • Contact
  • Journals
    • All Journals
    • Biomedical Reports
      • Information for Authors
      • Editorial Policies
      • Editorial Board
      • Aims and Scope
      • Abstracting and Indexing
      • Bibliographic Information
      • Archive
    • Experimental and Therapeutic Medicine
      • Information for Authors
      • Editorial Policies
      • Editorial Board
      • Aims and Scope
      • Abstracting and Indexing
      • Bibliographic Information
      • Archive
    • International Journal of Epigenetics
      • Information for Authors
      • Editorial Policies
      • Editorial Board
      • Aims and Scope
      • Abstracting and Indexing
      • Bibliographic Information
      • Archive
    • International Journal of Functional Nutrition
      • Information for Authors
      • Editorial Policies
      • Editorial Board
      • Aims and Scope
      • Abstracting and Indexing
      • Bibliographic Information
      • Archive
    • International Journal of Molecular Medicine
      • Information for Authors
      • Editorial Policies
      • Editorial Board
      • Aims and Scope
      • Abstracting and Indexing
      • Bibliographic Information
      • Archive
    • International Journal of Oncology
      • Information for Authors
      • Editorial Policies
      • Editorial Board
      • Aims and Scope
      • Abstracting and Indexing
      • Bibliographic Information
      • Archive
    • Medicine International
      • Information for Authors
      • Editorial Policies
      • Editorial Board
      • Aims and Scope
      • Abstracting and Indexing
      • Bibliographic Information
      • Archive
    • Molecular and Clinical Oncology
      • Information for Authors
      • Editorial Policies
      • Editorial Board
      • Aims and Scope
      • Abstracting and Indexing
      • Bibliographic Information
      • Archive
    • Molecular Medicine Reports
      • Information for Authors
      • Editorial Policies
      • Editorial Board
      • Aims and Scope
      • Abstracting and Indexing
      • Bibliographic Information
      • Archive
    • Oncology Letters
      • Information for Authors
      • Editorial Policies
      • Editorial Board
      • Aims and Scope
      • Abstracting and Indexing
      • Bibliographic Information
      • Archive
    • Oncology Reports
      • Information for Authors
      • Editorial Policies
      • Editorial Board
      • Aims and Scope
      • Abstracting and Indexing
      • Bibliographic Information
      • Archive
    • World Academy of Sciences Journal
      • Information for Authors
      • Editorial Policies
      • Editorial Board
      • Aims and Scope
      • Abstracting and Indexing
      • Bibliographic Information
      • Archive
  • Articles
  • Information
    • For Authors
    • For Reviewers
    • For Librarians
    • For Advertisers
    • Conferences
  • Language Editing
Login Register Submit
  • This site uses cookies
  • You can change your cookie settings at any time by following the instructions in our Cookie Policy. To find out more, you may read our Privacy Policy.

    I agree
Search articles by DOI, keyword, author or affiliation
Search
Advanced Search
presentation
Experimental and Therapeutic Medicine
Join Editorial Board Propose a Special Issue
Print ISSN: 1792-0981 Online ISSN: 1792-1015
Journal Cover
April-2017 Volume 13 Issue 4

Full Size Image

Sign up for eToc alerts
Recommend to Library

Journals

International Journal of Molecular Medicine

International Journal of Molecular Medicine

International Journal of Molecular Medicine is an international journal devoted to molecular mechanisms of human disease.

International Journal of Oncology

International Journal of Oncology

International Journal of Oncology is an international journal devoted to oncology research and cancer treatment.

Molecular Medicine Reports

Molecular Medicine Reports

Covers molecular medicine topics such as pharmacology, pathology, genetics, neuroscience, infectious diseases, molecular cardiology, and molecular surgery.

Oncology Reports

Oncology Reports

Oncology Reports is an international journal devoted to fundamental and applied research in Oncology.

Experimental and Therapeutic Medicine

Experimental and Therapeutic Medicine

Experimental and Therapeutic Medicine is an international journal devoted to laboratory and clinical medicine.

Oncology Letters

Oncology Letters

Oncology Letters is an international journal devoted to Experimental and Clinical Oncology.

Biomedical Reports

Biomedical Reports

Explores a wide range of biological and medical fields, including pharmacology, genetics, microbiology, neuroscience, and molecular cardiology.

Molecular and Clinical Oncology

Molecular and Clinical Oncology

International journal addressing all aspects of oncology research, from tumorigenesis and oncogenes to chemotherapy and metastasis.

World Academy of Sciences Journal

World Academy of Sciences Journal

Multidisciplinary open-access journal spanning biochemistry, genetics, neuroscience, environmental health, and synthetic biology.

International Journal of Functional Nutrition

International Journal of Functional Nutrition

Open-access journal combining biochemistry, pharmacology, immunology, and genetics to advance health through functional nutrition.

International Journal of Epigenetics

International Journal of Epigenetics

Publishes open-access research on using epigenetics to advance understanding and treatment of human disease.

Medicine International

Medicine International

An International Open Access Journal Devoted to General Medicine.

Journal Cover
April-2017 Volume 13 Issue 4

Full Size Image

Sign up for eToc alerts
Recommend to Library

  • Article
  • Citations
    • Cite This Article
    • Download Citation
    • Create Citation Alert
    • Remove Citation Alert
    • Cited By
  • Similar Articles
    • Related Articles (in Spandidos Publications)
    • Similar Articles (Google Scholar)
    • Similar Articles (PubMed)
  • Download PDF
  • Download XML
  • View XML
Article

Dynamic variations of the peripheral blood immune cell subpopulation in patients with critical H7N9 swine-origin influenza A virus infection: A retrospective small-scale study

  • Authors:
    • Cheng Chen
    • Wei Sun
    • Jun Chen
    • Jian‑An Huang
  • View Affiliations / Copyright

    Affiliations: Respiratory Department, The First Affiliated Hospital of Soochow University, Suzhou, Jiangsu 215006, P.R. China, Intensive Care Unit, The First Affiliated Hospital of Soochow University, Suzhou, Jiangsu 215006, P.R. China
  • Pages: 1490-1494
    |
    Published online on: February 21, 2017
       https://doi.org/10.3892/etm.2017.4144
  • Expand metrics +
Metrics: Total Views: 0 (Spandidos Publications: | PMC Statistics: )
Metrics: Total PDF Downloads: 0 (Spandidos Publications: | PMC Statistics: )
Cited By (CrossRef): 0 citations Loading Articles...

This article is mentioned in:



Abstract

H7N9 influenza is a recently emerging infection with a high mortality rate. The aim of the present study was to investigate dynamic fluctuations of peripheral blood immune cell subgroups in patients with critical H7N9 infection. Flow cytometry was used to assess the cells in whole blood samples from 9 cases. With regard to the innate immune system, in the majority of patients, the natural killer (NK) cell counts were similar to those of monocytes, which demonstrated a gradual increase in the progression period and an early increase followed by a reduction during recovery. B cells exhibited a reduction during progression and were further decreased during recovery. The CD4+T cells of all patients decreased during progression, and further decreased during recovery. By contrast, CD8+T cells increased in the majority of patients in the progression stage, and underwent an initial reduction followed by a gradual increase during recovery. However, CD8+ programmed death (PD)‑1+T cell and T helper (Th) 1 cell frequencies demonstrated a moderate increase in all patients during the progression stage, and regulatory T cell (Treg) frequencies tended to be reduced during progression and increased during recovery. Notably, this preliminary data also showed that the frequencies of B cells, Th2 cells and Th17 cells in the progression period were higher than those in the recovery period. The frequencies of monocytes, CD4+T cell, CD8+T cell, CD4+PD‑1+T cells and CD8+PD‑1+T cells in the progression period were lower than those during recovery. In conclusion, different levels of peripheral blood immune cell subgroups during the pathogenesis of H7N9 infection may be associated with elimination of the virus and immune damage.

Introduction

H7N9 influenza is a recently emerging infection and has a high rate of mortality. Typical clinical manifestations include fever, cough, dyspnea and rapid progression of pulmonary infiltration or consolidation (1,2). Cytokines and immune cells regulate the immune response to viral infection, mediate inflammatory responses, and are involved in tissue damage and repair. Following initial infection, the innate immune system of the host, as a first line of defense, reacts earlier than the adaptive immune system to reduce further viral invasion or replication. However, too strong an immune reaction also causes aggravation, and subsequently induces lung injury (3–5). Although successfully eliminating the virus is essential, the response of virus-specific T cells could also result in tissue damage and autoimmune responses in the host. Therefore, monitoring the variation of cellular immune functions in patients with H7N9 infection has important clinical significance, particularly in critical patients, as it would contribute to the establishment of a predictive immune parameter.

The aim of the present study was to analyze the dynamic fluctuations of T cells, B cells, natural killer (NK) cells and macrophages in patients infected with H7N9 influenza, and to examine the association between persistence of computed tomography (CT) abnormalities and dynamic variations of the peripheral blood immune cell subpopulation.

Materials and methods

Study subjects

The study subjects comprised 9 patients that were admitted to the First Affiliated Hospital of Soochow University (Suzhou, China) and diagnosed with H7N9 infection from April 1 to April 20, 2013. Diagnosis of H7N9 infection in patients was made by positive throat-swab specimen tests for viral RNA. Among those patients, 8 were male and 1 was female. The ages of the patients ranged from 20 to 75 years, and the median age was 69 years. Two patients succumbed during the course of the study; data for 7 and 5 patients were recorded during progression and recovery respectively. In addition, 8 healthy volunteers were enrolled in the study and used as control group. This retrospective, small-scale study was approved by the Ethics and Review Committee of the First Affiliated Hospital of Soochow University.

Clinical manifestations

All patients had been treated with oseltamivir (150 mg twice daily; Roche, Basel, Switzerland) and additionally treated with methylprednisolone (1–2 mg/kg/day). Antibiotics given to all patients included moxifloxacin, sulbactam and cefoperazone, levofloxacin, meropenem, piperacillin, imipenem and cilastatin. Some patients also received continuous renal replacement therapy (n=4) and mechanical ventilation therapy (n=7).

Following guidelines from the influenza A H7N9 clinic program published by the National Health and Family Planning Commission of P.R. China (2nd edition, 2013), patients were considered critically ill if they met the following criteria: i) Pneumonia with two or more complications, such as acute respiratory distress syndrome, heart failure, renal failure, septic shock, encephalopathy and secondary infections, and ii) no improvement in at least one of the above mentioned complications after 3 days of active treatment. Recovery was considered by improvement of symptoms, no detectable H7N9 virus in the throat-swab specimens and the initiation of absorption in chest computed tomography images.

Antibodies, sample collection and analysis

Monoclonal antibodies (mAbs) fluorescently labeled with phycoerythrin (PE), fluorescein isothiocyanate (FITC), phycoerythrin-anthocyanidin (PE-Cy5) or phycoerythrin-Texas red (ECD) were used. PE-programmed death 1 (PE-PD-1; cat. no. 557946) mAb and PE-interleukin (IL)-17A (cat. no. 560486) mAb were purchased from BD Biosciences (San Jose, CA, USA), and the other mAbs were obtained from Beckman Coulter, Inc. (Brea, CA, USA). Results are expressed as the percentages of the T-cell subset in the total lymphocyte population. The samples were analyzed using a flow cytometer (Beckman Coulter Epics XL; Beckman Coulter, Inc.). Data were collected and analyzed using EXPO32™ ADC software (Beckman Coulter, Inc.).

Whole blood samples (2 ml) were collected from patients for the detection of CD4+T cells (FITC-CD45 mAb, cat. no. 6603838; PE-Cy5-CD3 mAb, cat. no. 6607010; PE-CD4 mAb, cat. no. IM0449U), CD8+T cells (FITC-CD45 mAb; PE-Cy5-CD3 mAb; ECD-CD8 mAb, cat. no. 6604728), NK cells (FITC-CD45 mAb; PE-Cy5-CD3 mAb; PE-CD56 mAb, cat. no. IM2073U), B cells (ECD-CD19 mAb, cat. no. 6604551), regulatory T cells (Tregs; FITC-CD4 mAb, cat. no. 6602393; PE-Cy5-CD25 mAb, cat. no. IM2646U; PE-CD127 mAb, cat. no. IM1980U), monocytes (PE-CD14 mAb, cat. no. IM0650U; FITC-CD16 mAb, cat. no. 6604894), CD4+PD-1+T cells (PE-Cy5-CD4 mAb, cat. no. IM2636U; PE-PD-1 mAb) and CD8+PD-1+T cells (FITC-CD8 mAb, cat. no. 6602385; PE-PD-1 mAb). Briefly, 100 µl sodium citrate anticoagulant was added to the sample in each flow tube and mouse anti-human fluorescence-labeled mAbs were then added (10 µl). After mixing, the samples were incubated for 15 min away from light at room temperature. Red blood cell lysis and cell fixation was conducted using a Coulter Q-Prep specimen processing instrument (Beckman Coulter, Inc.), and >1×105 cells were counted.

For the detection of T helper (Th)1 (CD3+CD8−IFN-γ+ T cells; ECD-CD3 mAb, cat. no. IM2705U; PE-Cy5-CD8 mAb, cat. no. IM2638U; FITC-IFN-γ mAb, cat. no. IM2716U), Th2 (CD3+CD8−IL4+ T cells; ECD-CD3 mAb; PE-Cy5-CD8 mAb; PE-IL-4 mAb, cat. no. IM2719U) and Th17 cells (CD3+CD8−IL17+ T cells; PE-IL-17A mAb; ECD-CD3 mAb; PE-Cy5-CD8 mAb), 50 µl whole blood was treated with hemolysis reagent (BD Pharmingen™; San Diego, CA, USA) for 4–6 h. Cells were then harvested, stained with ECD-CD3 mAb and PE-Cy5-CD8 mAb (10 µl), permeabilized in IntraPrep Permeabilization Reagent 1 and Reagent 2 (BD Pharmingen™), then stained with FITC-IFN-γ mAb, PE-IL-4 mAb or PE-IL-17A mAb (10 µl) according to the manufacturer's recommendations. Flow cytometric acquisition was gated on CD3+CD8− cells.

Statistical analysis

Statistical analysis was performed with SPSS statistical software (SPSS version 9.0; SPSS Inc., Chicago, IL, USA). One-way analysis of variance with multiple comparisons tests (Kruskal-Wallis tests) were used and P<0.05 was considered to indicate a statistically significant difference.

Results

Peripheral blood cell subgroup changes at progression

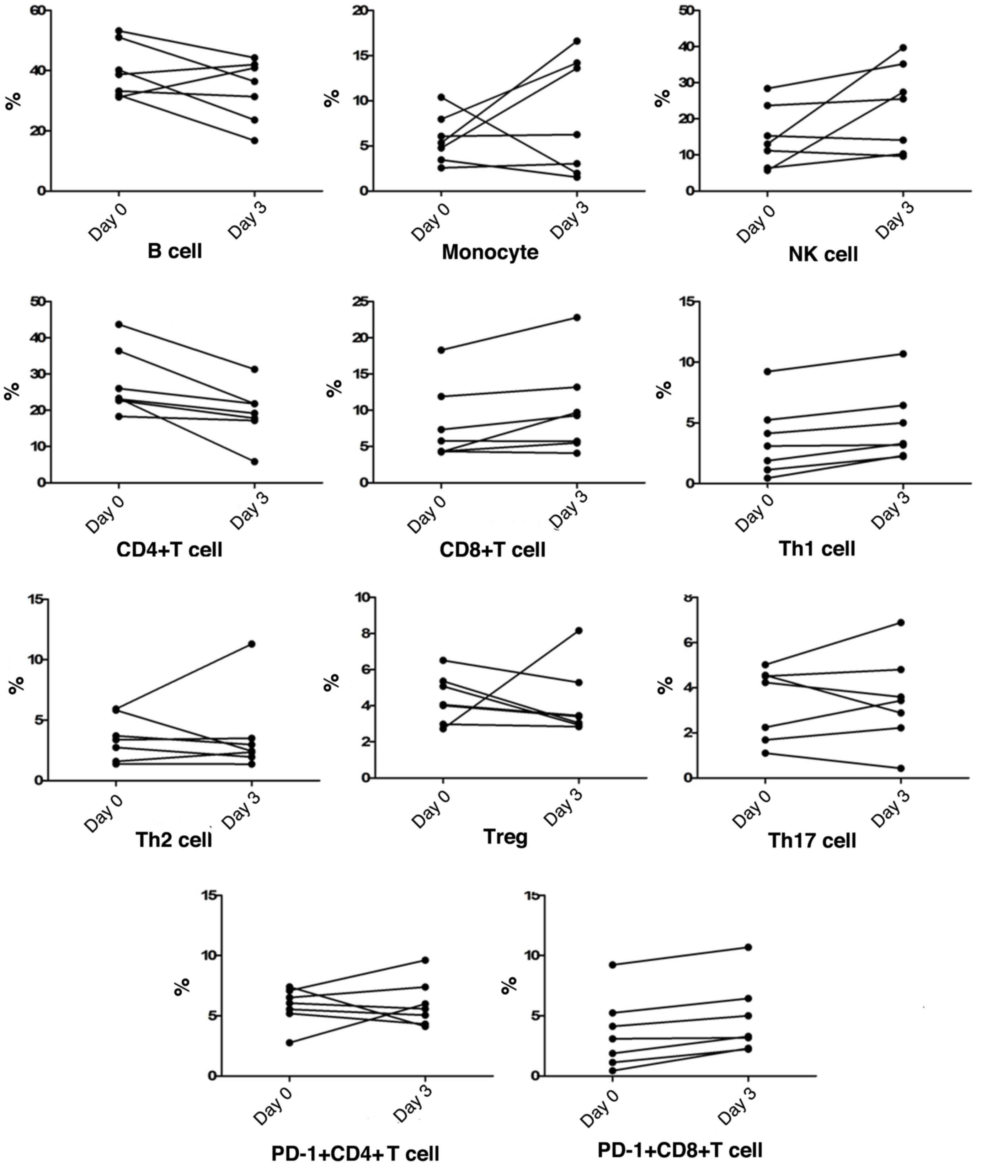
Along with chest radiological progression within the first 3 days, in most patients, the NK cell counts were similar to monocyte counts, which both demonstrated a gradual increase, whereas the frequency of B cells showed an obvious reduction. The frequency of peripheral blood CD4+T cells gradually decreased in all patients, whereas CD8+T cell frequencies showed a gradual increase in the majority of patients, thus causing a CD4/CD8 imbalance. Among T cell subtypes, Th1 cells, Th2 cells, CD8+PD-1+T cells, CD4+PD-1+T cells, Tregs and Th17 cell frequencies fluctuated by ~10%. Notably, peripheral blood CD8+PD-1+T cells and Th1 cells both demonstrated a slight increase in frequency in all patients, together with a downward trend of Tregs frequencies in most cases (Fig. 1).

Figure 1.

Analysis of dynamic changes in lymphocyte subgroups in the peripheral blood of patients with influenza A (H7N9) in the progression period. Results are presented as a percentage of total peripheral blood leukocytes. NK, natural killer; Th, T helper; PD-1, programmed death 1; Treg, regulatory T cell.

Peripheral blood cell subgroup changes during recovery

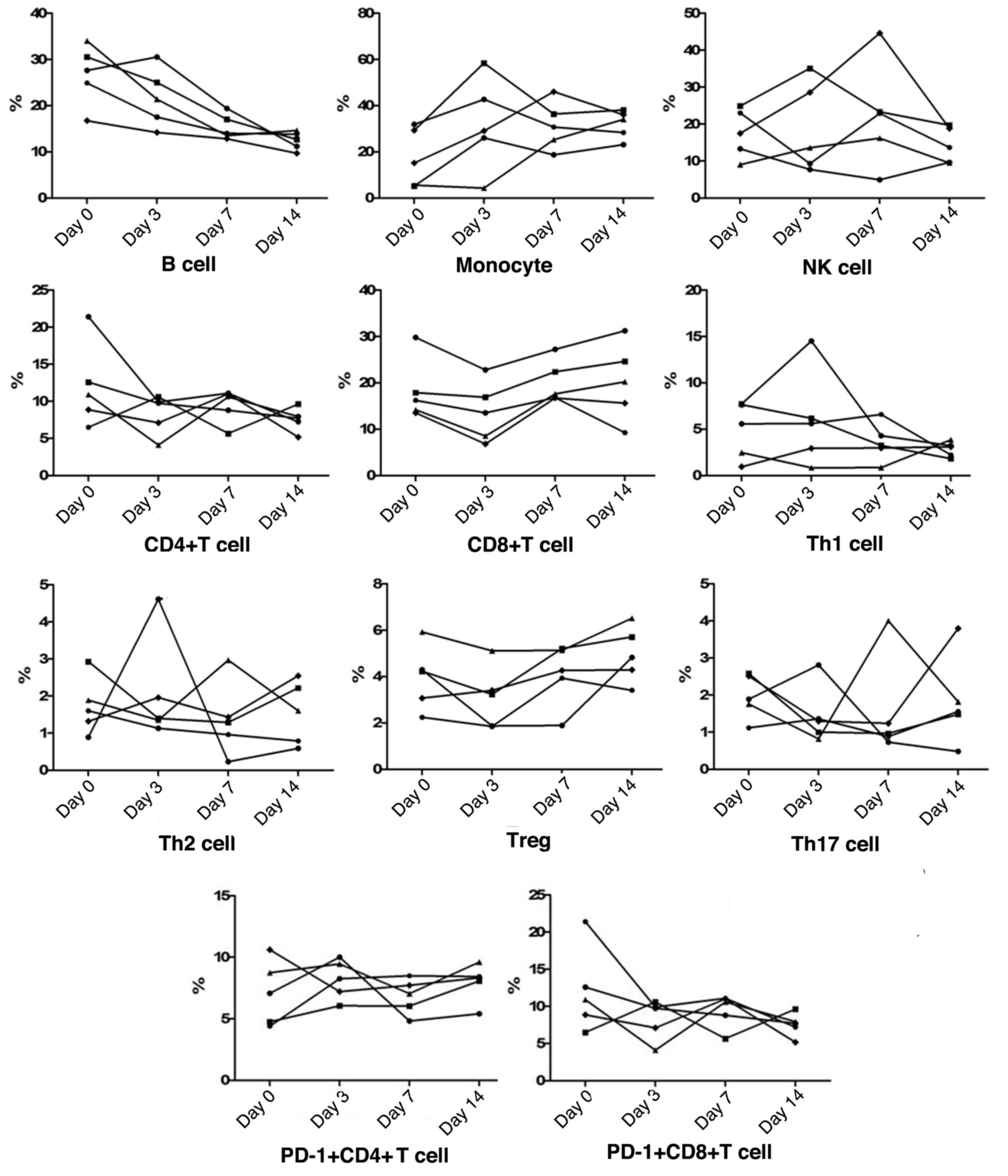
During recovery, both NK cell and monocyte frequencies were found to be increased initially and gradually reduce again in most patients, whereas all cases were classified as having a reduction in B cells. As for T cell subsets, the frequency of CD4+T cells gradually decreased, whereas CD8+T cell frequencies showed an initial reduction and a subsequent increase in all patients, to restore the CD4/CD8 balance. Furthermore, peripheral Th1 cell, Th2 cell, CD4+PD-1+T cell, CD8+PD-1+T cell, Tregs and Th17 cell frequencies fluctuated slightly in a narrow range. Among these T cell subsets, all recovering patients exhibited an increased trend of Tregs frequencies, and in patients who presented with higher levels of Th1 cells, the levels were subsequently reduced during recovery (Fig. 2).

Figure 2.

Analysis of dynamic changes in the lymphocyte subgroups in the peripheral blood of patients with influenza A (H7N9) in the recovery period. NK, natural killer; Th, T helper; PD-1, programmed death 1; Treg, regulatory T cell.

Differences between the progression and recovery periods

The frequencies of the different cell subsets at different periods were statistically compared (Table I). The preliminary data from this study showed that the frequencies of B cells, Th2 cells and Th17 cells in the progression period were significantly higher than those in the recovery period (P<0.01, P=0.001 and P=0.001, respectively). The frequencies of CD4+T cells, CD8+T cells, monocytes, CD4+PD-1+T cells and CD8+PD-1+T cells in the progression period were less than those in the recovery period (P<0.001, P=0.0003, P=0.0001, P=0.013 and P=0.0001, respectively). The frequencies of NK cells, Th1 cells and Tregs exhibited no significant differences between the two periods (P=0.85, P=0.88 and P=0.62, respectively).

Table I.

Analysis of differences of lymphocyte subgroups in the peripheral blood of patients with influenza A (H7N9) between the progression and recovery periods.

Table I.

Analysis of differences of lymphocyte subgroups in the peripheral blood of patients with influenza A (H7N9) between the progression and recovery periods.

Cell typeHealthy (n=8)Progression (n=7)Recovery (n=5)
B cells12.59±1.2336.78±2.63 19.05±1.62a
NK cells16.40±2.2118.97±2.9218.26±2.22
Monocytes2.57±0.476.99±1.31 25.21±3.31a
CD4+T cells38.75±2.4023.46±2.43 39.43±2.33b
CD8+T cells22.79±2.169.04±1.54 18.08±1.50a
Th1 cells4.16±0.524.17±0.794.33±0.72
Th2 cells0.35±0.083.60±0.70 1.69±0.22a
PD-1+CD4+T cells3.78±0.925.90±0.45 7.52±0.41a
PD-1+CD8+T cells0.50±0.154.17±0.79 9.33±0.81a
Tregs5.95±0.564.28±0.43 4.02±0.31c
Th17 cells0.29±0.753.40±0.47 1.71±0.22a

{ label (or @symbol) needed for fn[@id='tfn1-etm-0-0-4144'] } Data are presented as mean ± standard deviation.

a P<0.05 vs. the progression and healthy groups

b P<0.05 vs. the progression group

c P<0.05 vs. the healthy group. NK, natural killer; Th, T helper; PD-1, programmed death 1; Treg, regulatory T cell.

When compared with healthy volunteers, it was observed that increases of B cell, Th2 cell and Th17 cell frequencies in the pathogenesis of the critical H7N9 infection occurred and these frequencies exhibited a normalization trend during recovery, while reductions of CD4+T cell andCD8+T cell frequencies occurred during progression and the frequencies subsequently normalized during recovery. With regard toCD8+PD-1+T cell, PD-1+CD4+T cell and monocyte frequencies, they exhibited further increases during recovery compared with those during progression.

Discussion

NK cells are the major effector cells during acute infection, rapidly killing infected cells in the process. Previous studies have shown that a reduction in NK cell count occurs mainly because the virus directly infects and kills NK cells, thereby limiting their activity and leading to their apoptosis (5,6). In a study of H1N1-infected patients, the frequency of NK cells in patients with severe and moderate disease was found to be less than that of the control group (6). In the present study, for the majority of patients, although no significant difference in the frequency of NK cells was found between the progression period and recovery, the NK cell frequency demonstrated a gradual increase in the progression period and an early increase and sequential reduction during recovery. Notably, the patients with a higher level of NK cells in the progression period exhibited a quicker recovery from the disease. In conclusion, when infection is accompanied by a dynamic NK cell change, this could indicate that the body is in a balance between anti-infective immunity and autoimmune damage.

Previously, mononuclear cell infiltration and alveolar cell desquamation have been described during the acute phase of severe acute respiratory syndrome, together with dysregulation of plasma cytokine levels (7). Exposure of monocytes or macrophages to viruses causes the release of proinflammatory cytokines, such as TNF-α, IL-1 and IL-6, and chemokines, as well as members of the CC-chemokine subfamily such as MIP-1α, MCP-1 and RANTES, which preferentially attract monocytes and lymphocytes (8). In the present study, for most patients, the frequency of monocytes in the progression period was less than that during recovery, and the monocyte counts demonstrated a gradual increase in the progression period and an early increase and subsequent reduction during recovery. It is hypothesized that the increase of monocyte frequency in the progression period exhibits both immune protective and chemoattracting functions, and its subsequent reduction was important in achieving balanced cytokine production.

CD4+ and CD8+ T cells are associated with viral immunity and a lack of these cells would lead to a delay in viral clearance and an increase in mortality. In an animal study, it was found that CD4+ T cells, CD8+ T cells and B cells achieved peak values within 5–6 days after swine-origin influenza A virus infection (9). In accordance with previous data concerning H1N1, which indicated that the frequency of B cells in patients with severe disease was significantly higher than that in patients with moderate disease and the control (10), the present study showed that CD4+ T cells, CD8+ T cells and B cells all demonstrated detectable changes, which included an imbalance of CD4/CD8 in the progression stage, together with a continuous reduction in CD4+ T cells and B cells. This could indicate that the disease progression may be attributed to inhibition of the antiviral immune response of T cells, thereby causing the CD4/CD8 ratio to balance during recovery, and a downregulation of B cell-induced humoral immune responses against H7N9 virus.

No statistically significant changes were found during the continuous monitoring of CD4+IFN-γ+ T cell, CD4+IL-4+ T cell, CD4+PD-1+ T cell, CD8+PD-1+ T cell, Tregs and Th17 cell frequencies of patients with severe H7N9 in the progression period, or during recovery. However, despite the relatively low numbers of study subjects, the observations of the present study indicate that there are persistent abnormalities of these T cell subsets in patients who have suffered from H7N9 infection. In the progression period, although CD4+IFN-γ+ T cell frequencies increased, CD8+PD-1+ T cell frequencies also increased in all patients, together with higher levels ofCD4+IL-4+ T cells, which might induce the inhibition of Th1 cell-mediated antiviral immunity. In support, during recovery, the Th1/Th2 balance was maintained, and CD8+PD-1+ T cell frequencies demonstrated a mild downward trend in the majority of cases. With regard to regulatory T cells, a downward trend of Treg frequencies in the majority of cases might contribute to an enhancement of the immune response to virus during disease progression, along with subsequent uncontrolled immune damage in patients with H7N9 infection (11). It was also found that the frequency of Th17 cells in the progression period was significantly higher than that in recovery, which suggested that Th17 cells promote pathogenesis of the disease. In addition, pro-inflammatory cytokine responses, characterized by a combined Th1/Th17 cytokine induction may be responsible for the disease progression of patients with H7N9 infection (12).

In present study, it was noted that the immune cell changes in H1N1- and H7N9-infected patients differ. This could be associated with T cells, the peak detection of which may have been missed because of failure to diagnose and treat the disease at an early stage. Furthermore, a study by Cao et al has indicated that the incidence of severe H1N1 is highest in the 15- to 19-year-old age group and lowest for patients aged >65 years (13). However, the clinical data in the current study indicated that the most severe H7N9 infections occurred in individuals >60 years old. This difference in patient age might be responsible for differences in immune cell differences between H1N1- and H7N9-infections.

In conclusion, H7N9 infection stimulates host and cellular immune responses. Each lymphocyte subgroup in patients infected with the H7N9 virus plays a more important antiviral role in the early stages of infection, but an excessive immune response leads to an increase of immunological injury, and establishment of immunological homeostasis is helpful to control the disease. Since the preliminary results reported in the present study were based on a small sample, further studies with larger sample sizes are required to verify and extend its findings.

Acknowledgements

This study was supported by Clinical Medical Center of Suzhou (no. SZZX201502), Suzhou Key Laboratory for Respiratory Medicine (no. SZS201617), Projects of the Department of Health of Jiangsu Province (no. QNRC2016748) and the Natural Science Foundation of Jiangsu Province University (no. 13KJB320021). The authors would like to acknowledge Professor Xue-Guang Zhang of The First Affiliated Hospital of Soochow University for providing constructive criticism and helpful suggestions for this manuscript.

Glossary

Abbreviations

Abbreviations:

NK

natural killer

Treg

regulatory T cell

PD-1

programmed death 1

PE

phycoerythrin

FITC

fluorescein isothiocyanate

PE-Cy5

phycoerythrin-anthocyanidin

ECD

phycoerythrin-Texas red

References

1 

Wang XF, Shi GC, Wan HY, Hang SG, Chen H, Chen W, Qu HP, Han BH and Zhou M: Clinical features of three avian influenza H7N9 virus-infected patients in Shanghai. Clin Respir J. 8:410–416. 2014. View Article : Google Scholar : PubMed/NCBI

2 

Gao HN, Lu HZ, Cao B, Du B, Shang H, Gan JH, Lu SH, Yang YD, Fang Q, Shen YZ, et al: Clinical findings in 111 cases of influenza A (H7N9) virus infection. N Engl J Med. 368:2277–2285. 2013. View Article : Google Scholar : PubMed/NCBI

3 

Koyama S, Ishii KJ, Coban C and Akira S: Innate immune response to viral infection. Cytokine. 43:336–341. 2008. View Article : Google Scholar : PubMed/NCBI

4 

Heltzer ML, Coffin SE, Maurer K, Bagashev A, Zhang Z, Orange JS and Sullivan KE: Immune dysregulation in severe influenza. J Leukoc Biol. 85:1036–1043. 2009. View Article : Google Scholar : PubMed/NCBI

5 

Mao H, Tu W, Qin G, Law HK, Sia SF, Chan PL, Liu Y, Lam KT, Zheng J, Peiris M and Lau YL: Influenza virus directly infects human natural killer cells and induces cell apoptosis. Virol. 83:9215–9222. 2009. View Article : Google Scholar

6 

Giamarellos-Bourboulis EJ, Raftogiannis M, Antonopoulou A, Baziaka F, Koutoukas P, Savva A, Kanni T, Georgitsi M, Pistiki A, Tsaganos T, et al: Effect of the novel influenza A (H1N1) virus in the human immune system. PLoS One. 4:e83932009. View Article : Google Scholar : PubMed/NCBI

7 

Tse GM, To KF, Chan PK, Lo AW, Ng KC, Wu A, Lee N, Wong HC, Mak SM, et al: Pulmonary pathological features in coronavirus associated severe acute respiratory syndrome (SARS). J Clin Pathol. 57:260–265. 2004. View Article : Google Scholar : PubMed/NCBI

8 

Wang CH, Liu CY, Wan YL, Chou CL, Huang KH, Lin HC, Lin SM, Lin TY, Chung KF and Kuo HP: Persistence of lung inflammation and lung cytokines with high-resolution CT abnormalities during recovery from SARS. Respir Res. 6:422005. View Article : Google Scholar : PubMed/NCBI

9 

Lange E, Kalthoff D, Blohm U, Teifke JP, Breithaupt A, Maresch C, Starick E, Fereidouni S, Hoffmann B, Mettenleiter TC, et al: Pathogenesis and transmission of the novel swine-origin influenza virus A/H1N1 after experimental infection of pigs. J Gen Virol. 90:2119–2123. 2009. View Article : Google Scholar : PubMed/NCBI

10 

Guo X, Chen Y, Li X, Kong H, Yang S, Ye B, Cui D, Wu W and Li L: Dynamic variations in the peripheral blood lymphocyte subgroups of patients with 2009 pandemic H1N1 swine-origin influenza A virus infection. Virol J. 8:2152011. View Article : Google Scholar : PubMed/NCBI

11 

Joedicke JJ, Dietze KK, Zelinskyy G and Dittmer U: The phenotype and activation status of regulatory T cells during Friend retrovirus infection. Virol Sin. 29:48–60. 2014. View Article : Google Scholar : PubMed/NCBI

12 

Tan HL and Rosenthal M: IL-17 in lung disease: Friend or foe? Thorax. 68:788–790. 2013. View Article : Google Scholar : PubMed/NCBI

13 

Cao B, Li XW, Mao Y, Wang J, Lu HZ, Chen YS, Liang ZA, Liang L, Zhang SJ, Zhang B, et al: Clinical features of the initial cases of 2009 pandemic influenza A (H1N1) virus infection in China. N Engl J Med. 361:2507–2517. 2009. View Article : Google Scholar : PubMed/NCBI

Related Articles

  • Abstract
  • View
  • Download
  • Twitter
Copy and paste a formatted citation
Spandidos Publications style
Chen C, Sun W, Chen J and Huang JA: Dynamic variations of the peripheral blood immune cell subpopulation in patients with critical H7N9 swine-origin influenza A virus infection: A retrospective small-scale study. Exp Ther Med 13: 1490-1494, 2017.
APA
Chen, C., Sun, W., Chen, J., & Huang, J. (2017). Dynamic variations of the peripheral blood immune cell subpopulation in patients with critical H7N9 swine-origin influenza A virus infection: A retrospective small-scale study. Experimental and Therapeutic Medicine, 13, 1490-1494. https://doi.org/10.3892/etm.2017.4144
MLA
Chen, C., Sun, W., Chen, J., Huang, J."Dynamic variations of the peripheral blood immune cell subpopulation in patients with critical H7N9 swine-origin influenza A virus infection: A retrospective small-scale study". Experimental and Therapeutic Medicine 13.4 (2017): 1490-1494.
Chicago
Chen, C., Sun, W., Chen, J., Huang, J."Dynamic variations of the peripheral blood immune cell subpopulation in patients with critical H7N9 swine-origin influenza A virus infection: A retrospective small-scale study". Experimental and Therapeutic Medicine 13, no. 4 (2017): 1490-1494. https://doi.org/10.3892/etm.2017.4144
Copy and paste a formatted citation
x
Spandidos Publications style
Chen C, Sun W, Chen J and Huang JA: Dynamic variations of the peripheral blood immune cell subpopulation in patients with critical H7N9 swine-origin influenza A virus infection: A retrospective small-scale study. Exp Ther Med 13: 1490-1494, 2017.
APA
Chen, C., Sun, W., Chen, J., & Huang, J. (2017). Dynamic variations of the peripheral blood immune cell subpopulation in patients with critical H7N9 swine-origin influenza A virus infection: A retrospective small-scale study. Experimental and Therapeutic Medicine, 13, 1490-1494. https://doi.org/10.3892/etm.2017.4144
MLA
Chen, C., Sun, W., Chen, J., Huang, J."Dynamic variations of the peripheral blood immune cell subpopulation in patients with critical H7N9 swine-origin influenza A virus infection: A retrospective small-scale study". Experimental and Therapeutic Medicine 13.4 (2017): 1490-1494.
Chicago
Chen, C., Sun, W., Chen, J., Huang, J."Dynamic variations of the peripheral blood immune cell subpopulation in patients with critical H7N9 swine-origin influenza A virus infection: A retrospective small-scale study". Experimental and Therapeutic Medicine 13, no. 4 (2017): 1490-1494. https://doi.org/10.3892/etm.2017.4144
Follow us
  • Twitter
  • LinkedIn
  • Facebook
About
  • Spandidos Publications
  • Careers
  • Cookie Policy
  • Privacy Policy
How can we help?
  • Help
  • Live Chat
  • Contact
  • Email to our Support Team