Spandidos Publications Logo
  • About
    • About Spandidos
    • Aims and Scopes
    • Abstracting and Indexing
    • Editorial Policies
    • Reprints and Permissions
    • Job Opportunities
    • Terms and Conditions
    • Contact
  • Journals
    • All Journals
    • Oncology Letters
      • Oncology Letters
      • Information for Authors
      • Editorial Policies
      • Editorial Board
      • Aims and Scope
      • Abstracting and Indexing
      • Bibliographic Information
      • Archive
    • International Journal of Oncology
      • International Journal of Oncology
      • Information for Authors
      • Editorial Policies
      • Editorial Board
      • Aims and Scope
      • Abstracting and Indexing
      • Bibliographic Information
      • Archive
    • Molecular and Clinical Oncology
      • Molecular and Clinical Oncology
      • Information for Authors
      • Editorial Policies
      • Editorial Board
      • Aims and Scope
      • Abstracting and Indexing
      • Bibliographic Information
      • Archive
    • Experimental and Therapeutic Medicine
      • Experimental and Therapeutic Medicine
      • Information for Authors
      • Editorial Policies
      • Editorial Board
      • Aims and Scope
      • Abstracting and Indexing
      • Bibliographic Information
      • Archive
    • International Journal of Molecular Medicine
      • International Journal of Molecular Medicine
      • Information for Authors
      • Editorial Policies
      • Editorial Board
      • Aims and Scope
      • Abstracting and Indexing
      • Bibliographic Information
      • Archive
    • Biomedical Reports
      • Biomedical Reports
      • Information for Authors
      • Editorial Policies
      • Editorial Board
      • Aims and Scope
      • Abstracting and Indexing
      • Bibliographic Information
      • Archive
    • Oncology Reports
      • Oncology Reports
      • Information for Authors
      • Editorial Policies
      • Editorial Board
      • Aims and Scope
      • Abstracting and Indexing
      • Bibliographic Information
      • Archive
    • Molecular Medicine Reports
      • Molecular Medicine Reports
      • Information for Authors
      • Editorial Policies
      • Editorial Board
      • Aims and Scope
      • Abstracting and Indexing
      • Bibliographic Information
      • Archive
    • World Academy of Sciences Journal
      • World Academy of Sciences Journal
      • Information for Authors
      • Editorial Policies
      • Editorial Board
      • Aims and Scope
      • Abstracting and Indexing
      • Bibliographic Information
      • Archive
    • International Journal of Functional Nutrition
      • International Journal of Functional Nutrition
      • Information for Authors
      • Editorial Policies
      • Editorial Board
      • Aims and Scope
      • Abstracting and Indexing
      • Bibliographic Information
      • Archive
    • International Journal of Epigenetics
      • International Journal of Epigenetics
      • Information for Authors
      • Editorial Policies
      • Editorial Board
      • Aims and Scope
      • Abstracting and Indexing
      • Bibliographic Information
      • Archive
    • Medicine International
      • Medicine International
      • Information for Authors
      • Editorial Policies
      • Editorial Board
      • Aims and Scope
      • Abstracting and Indexing
      • Bibliographic Information
      • Archive
  • Articles
  • Information
    • Information for Authors
    • Information for Reviewers
    • Information for Librarians
    • Information for Advertisers
    • Conferences
  • Language Editing
Spandidos Publications Logo
  • About
    • About Spandidos
    • Aims and Scopes
    • Abstracting and Indexing
    • Editorial Policies
    • Reprints and Permissions
    • Job Opportunities
    • Terms and Conditions
    • Contact
  • Journals
    • All Journals
    • Biomedical Reports
      • Information for Authors
      • Editorial Policies
      • Editorial Board
      • Aims and Scope
      • Abstracting and Indexing
      • Bibliographic Information
      • Archive
    • Experimental and Therapeutic Medicine
      • Information for Authors
      • Editorial Policies
      • Editorial Board
      • Aims and Scope
      • Abstracting and Indexing
      • Bibliographic Information
      • Archive
    • International Journal of Epigenetics
      • Information for Authors
      • Editorial Policies
      • Editorial Board
      • Aims and Scope
      • Abstracting and Indexing
      • Bibliographic Information
      • Archive
    • International Journal of Functional Nutrition
      • Information for Authors
      • Editorial Policies
      • Editorial Board
      • Aims and Scope
      • Abstracting and Indexing
      • Bibliographic Information
      • Archive
    • International Journal of Molecular Medicine
      • Information for Authors
      • Editorial Policies
      • Editorial Board
      • Aims and Scope
      • Abstracting and Indexing
      • Bibliographic Information
      • Archive
    • International Journal of Oncology
      • Information for Authors
      • Editorial Policies
      • Editorial Board
      • Aims and Scope
      • Abstracting and Indexing
      • Bibliographic Information
      • Archive
    • Medicine International
      • Information for Authors
      • Editorial Policies
      • Editorial Board
      • Aims and Scope
      • Abstracting and Indexing
      • Bibliographic Information
      • Archive
    • Molecular and Clinical Oncology
      • Information for Authors
      • Editorial Policies
      • Editorial Board
      • Aims and Scope
      • Abstracting and Indexing
      • Bibliographic Information
      • Archive
    • Molecular Medicine Reports
      • Information for Authors
      • Editorial Policies
      • Editorial Board
      • Aims and Scope
      • Abstracting and Indexing
      • Bibliographic Information
      • Archive
    • Oncology Letters
      • Information for Authors
      • Editorial Policies
      • Editorial Board
      • Aims and Scope
      • Abstracting and Indexing
      • Bibliographic Information
      • Archive
    • Oncology Reports
      • Information for Authors
      • Editorial Policies
      • Editorial Board
      • Aims and Scope
      • Abstracting and Indexing
      • Bibliographic Information
      • Archive
    • World Academy of Sciences Journal
      • Information for Authors
      • Editorial Policies
      • Editorial Board
      • Aims and Scope
      • Abstracting and Indexing
      • Bibliographic Information
      • Archive
  • Articles
  • Information
    • For Authors
    • For Reviewers
    • For Librarians
    • For Advertisers
    • Conferences
  • Language Editing
Login Register Submit
  • This site uses cookies
  • You can change your cookie settings at any time by following the instructions in our Cookie Policy. To find out more, you may read our Privacy Policy.

    I agree
Search articles by DOI, keyword, author or affiliation
Search
Advanced Search
presentation
Experimental and Therapeutic Medicine
Join Editorial Board Propose a Special Issue
Print ISSN: 1792-0981 Online ISSN: 1792-1015
Journal Cover
November-2017 Volume 14 Issue 5

Full Size Image

Sign up for eToc alerts
Recommend to Library

Journals

International Journal of Molecular Medicine

International Journal of Molecular Medicine

International Journal of Molecular Medicine is an international journal devoted to molecular mechanisms of human disease.

International Journal of Oncology

International Journal of Oncology

International Journal of Oncology is an international journal devoted to oncology research and cancer treatment.

Molecular Medicine Reports

Molecular Medicine Reports

Covers molecular medicine topics such as pharmacology, pathology, genetics, neuroscience, infectious diseases, molecular cardiology, and molecular surgery.

Oncology Reports

Oncology Reports

Oncology Reports is an international journal devoted to fundamental and applied research in Oncology.

Experimental and Therapeutic Medicine

Experimental and Therapeutic Medicine

Experimental and Therapeutic Medicine is an international journal devoted to laboratory and clinical medicine.

Oncology Letters

Oncology Letters

Oncology Letters is an international journal devoted to Experimental and Clinical Oncology.

Biomedical Reports

Biomedical Reports

Explores a wide range of biological and medical fields, including pharmacology, genetics, microbiology, neuroscience, and molecular cardiology.

Molecular and Clinical Oncology

Molecular and Clinical Oncology

International journal addressing all aspects of oncology research, from tumorigenesis and oncogenes to chemotherapy and metastasis.

World Academy of Sciences Journal

World Academy of Sciences Journal

Multidisciplinary open-access journal spanning biochemistry, genetics, neuroscience, environmental health, and synthetic biology.

International Journal of Functional Nutrition

International Journal of Functional Nutrition

Open-access journal combining biochemistry, pharmacology, immunology, and genetics to advance health through functional nutrition.

International Journal of Epigenetics

International Journal of Epigenetics

Publishes open-access research on using epigenetics to advance understanding and treatment of human disease.

Medicine International

Medicine International

An International Open Access Journal Devoted to General Medicine.

Journal Cover
November-2017 Volume 14 Issue 5

Full Size Image

Sign up for eToc alerts
Recommend to Library

  • Article
  • Citations
    • Cite This Article
    • Download Citation
    • Create Citation Alert
    • Remove Citation Alert
    • Cited By
  • Similar Articles
    • Related Articles (in Spandidos Publications)
    • Similar Articles (Google Scholar)
    • Similar Articles (PubMed)
  • Download PDF
  • Download XML
  • View XML
Article

Sirt1 regulates apoptosis and extracellular matrix degradation in resveratrol‑treated osteoarthritis chondrocytes via the Wnt/β‑catenin signaling pathways

  • Authors:
    • Shuan Liu
    • Hongping Yang
    • Bing Hu
    • Mingyong Zhang
  • View Affiliations / Copyright

    Affiliations: Department of Orthopaedics, Tianyou Hospital Affiliated to Wuhan University of Science and Technology, Wuhan, Hubei 430064, P.R. China
  • Pages: 5057-5062
    |
    Published online on: September 21, 2017
       https://doi.org/10.3892/etm.2017.5165
  • Expand metrics +
Metrics: Total Views: 0 (Spandidos Publications: | PMC Statistics: )
Metrics: Total PDF Downloads: 0 (Spandidos Publications: | PMC Statistics: )
Cited By (CrossRef): 0 citations Loading Articles...

This article is mentioned in:



Abstract

Osteoarthritis (OA) has become a major public health problem with the increased aging population. Previous studies have demonstrated that resveratrol (RES) was able to increase the level of sirtuin 1 (Sirt1) in OA chondrocytes. However, further investigations are required to elucidate the precise molecular mechanism of RES and the potential link between Sirt1 and RES. Therefore, the present study used 30 clinical OA chondrocyte to examine chondrocyte viability, apoptosis rate and the mRNA and protein expression levels of Sirt1 and relevant genes implicated in apoptosis, extracellular matrix (ECM) degradation and Wnt/β‑catenin signaling pathway. RES and nicotinamide were used as the stimulus and inhibitor, respectively. The results demonstrated that the apoptotic rate reduced as the cell population decreased from 13.83 to 6.55% in response to 10 µM RES. Expression levels of B‑cell lymphoma 2 (Bcl‑2) associated X protein (Bax), procaspase‑3 and ‑9, matrix metalloproteinase 1 (MMP1), MMP3, MMP13, Wnt3a, Wnt5a, Wnt7a and β‑catenin were significantly inhibited (P<0.01), whereas the level of Bcl‑2 was significantly increased (P<0.01) in OA chondrocytes treated with 10 µM RES. These observations suggested that Sirt1 may regulate apoptosis and ECM degradation in RES‑treated osteoarthritis chondrocytes via the Wnt/β‑catenin signaling pathway.

Introduction

Osteoarthritis (OA) is a progressively degenerative joint disorder affecting ~10% of males and ~18% of females aged >60 years old worldwide (1). Risk factors of OA include obesity, bone mass, joint injury and deformity, trauma and age (2). Although OA influences the adjoining bone, synovial lining and periarticular muscle, the cause may be primarily attributed to a progressive structural and functional compromise of the cartilage (3). Typical symptoms include activity-related or mechanical pain and brief morning stiffness (3). Therapeutic approaches currently available are limited for patients with OA prior to prosthetic joint replacement, which may be required (4).

Sirtuin 1 (Sirt1), the homolog of silence information regulator 2, is a highly conserved and well-characterized nicotinamide adenine dinucleotide (NAD)-dependent class III histone deacetylase in mammalian cells (5). Increased cellular ionized NAD (NAD+) as a substrate induces the activation of Sirt1, whereas a high concentration of nicotinamide (NAM) inhibits the activity of Sirt1. Numerous studies have demonstrated that Sirt1 has a central role in the regulation of cell proliferation, apoptosis and inflammation (6–8). Abnormal Sirt1 expression has been considered to be involved in OA pathogenesis. Compared with normal cartilage from cadavers, Sirt1 protein was highly expressed in OA cartilage (9). Sirt1 mRNA expression was also higher in severely degenerated cartilage, when compared with less damaged cartilage (10). Previous studies have demonstrated that Sirt1 induced abnormal sclerostin expression in human osteoarthritis subchondral osteoblasts (11) and regulated the osteoarthritic gene expression changes in human chondrocytes (12).

Resveratrol (RES) is a polyphenolic compound commonly identified in grape skin, berries and peanuts that has multiple functions, including anti-apoptosis, anti-inflammation and anti-oxidation effects (13). It has been indicated that RES may be an activator of Sirt1 in articular chondrocytes (14) and RES has been demonstrated to have a positive effect against OA (15). Although Sirt1 activation induced by RES appears to improve the survival and metabolism of OA chondrocytes (9,10), the precise molecular mechanism of RES and the potential link between Sirt1 and RES remain to be elucidated (16).

The present study aimed to examine the effect of Sirt1 on the Wnt/β-catenin signaling pathway. To do this, the present study detected the expression levels of a number of pivotal genes and corresponding translated proteins implicated in apoptosis, extracellular matrix (ECM) degradation and the Wnt/β-catenin signaling pathway in RES-treated osteoarthritis chondrocyte.

Materials and methods

Cartilage sample

Cartilage samples were harvested from 30 individual patients with OA (69.0±14 years; 14 males and 16 females) between March 2015 and March 2016. Patients were admitted to the Department of Orthopaedics, Tianyou Hospital (Wuhan, China) and samples were collected during surgery. An OA diagnosis in these patients was determined according to the criteria of the American College of Rheumatology (17). The present study was performed following approval from the Experimental Animal Ethics Committee of Tianyou Hospital Affiliated to Wuhan University of Science and Technology and informed consent was provided by all participants.

Preparation of chondrocytes

OA cartilage tissue was washed with sterile phosphate-buffered saline (PBS; pH 7.2) and sliced into 1-mm3 sections with ophthalmic scissors. OA chondrocytes were acquired via incubation at 37°C in 0.25% trypsin for 30 min and 0.2% type II collagenase (Gibco; Thermo Fisher Scientific, Inc., Waltham, MA, USA) for 2 h. Chondrocytes were filtered, centrifuged at 37°C at 1,500 × g for 10 min and resuspended in Dulbecco's modified Eagle's medium (DMEM)/F-12 supplemented with 10% fetal bovine serum (FBS; Thermo Fisher Scientific, Inc.) at 37°C and 5% CO2. Chondrocytes began to converge following 4–5 h incubation. Second generation chondrocytes were used in the present experiment.

Groups

Log phase chondrocytes were randomly divided into three groups: Control group without any stimulus, the RES group administered the ultimate concentration of 10 µM RES, and the NAM group administered the ultimate concentration of 20 µM NAM. Chondrocytes were cultivated for 48 h separately prior to subsequent experiments.

Reverse transcription-quantitative polymerase chain reaction (RT-qPCR)

Following three washes with PBS for 90 sec, total RNA was extracted from OA chondrocytes using a RNAprep pure kit (DP430; Tiangen Biotech, Co., Ltd., Beijing, China) according to the manufacturer's instructions. RNA was quantified using a NanoDrop 2000 (Thermo Fisher Scientific, Inc.). Isolated RNA was transcribed into cDNA using a PrimeScript One Step miRNA cDNA Synthesis kit (Takara Bio, Inc., Otsu, Japan) according to the manufacturer's instructions. qPCR (2X SYBR Green qPCR kit; Beijing Solarbio Science and Technology Co., Ltd., Beijing, China) was subsequently performed with a reaction mixture of 20 µl containing: 10 µl 2X SYBR Fast qPCR Mix, 0.8 µl PCR forward and reverse primers, 0.4 µl 50X ROX Reference Dye II and 2 µl cDNA template. The PCR reaction was performed as follows: 95°C for 30 sec, followed by 40 cycles of 95°C for 3 sec and 60°C for 13 sec. The reaction was performed using an Applied Biosystems® 7500 Fast Dx Real-Time PCR instrument (Thermo Fisher Scientific, Inc.). Expression of Sirt1 was normalized to GAPDH, as a reference control. Primer sequences were as follows: Sirt1 forward, 5′-TGGACTCCACGACGTACT-3′ and reverse, 5′-TCTCCTGGGAGGCATAGACC-3′ (total length, 122 bp); and GAPDH forward, 5′-AGCCACATCGCTCAGACA-3′ and reverse, 5′-TCTCCTGGGAGGCATAGACC-3′ (total length, 314 bp). Primers were synthesized by Sangon Biotech Co., Ltd. (Shanghai, China). Relative target gene expression was calculated as a fold change of 2−ΔΔCq value, in which ΔCt = Cttarfet gene - Ctendogenous control (18). The experiments were performed in triplicate on three independent occasions.

MTT assay

The three groups of OA chondrocytes were seeded at a density of 5×103 cells/ml into 96-well plates. Following 24, 48 and 72 h incubations at 37°C, 20 µl 5 mg/ml cells were combined with 10 µl sterile 3-(4,5-dimethylthiazol-2-yl)-2,5-diphenyltetrazolium bromide (MTT; Beyotime Institute of Biotechnology, Haimen, China) for 4 h at 37°C. The solution containing MTT was removed and cells were mixed with 150 µl dimethyl sulfoxide for 10 min. The plate was read spectrophotometrically at a wavelength of 560 nm by a Bio-Rad model 550 microplate reader (Bio-Rad Laboratories, Inc., Hercules, CA, USA) to detect cell viability.

Apoptosis detection

Apoptosis of OA chondrocytes was detected using fluorescein isothiocyanate (FITC)-labeled Annexin V and propidium iodide (PI) kit (cat. no. C1063; BestBio, Co., Shanghai, China), according to the manufacturer's instructions. Briefly, the chondrocytes were collected following digestion in EDTA-free 0.25% trypsin for 1 h at 37°C. Following centrifugation at room temperature (1,000 × g; 10 min), 8 ml Annexin-FITC and 10 ml PI were added to the cell suspension and incubated for 15 min at room temperature. The rate of apoptosis was analyzed using a FACSCalibur flow cytometer (BD Biosciences, Franklin Lakes, NJ, USA) and inbuilt software.

Western blot analysis

Protein expression levels of Sirt1, B-cell lymphoma 2 (Bcl-2), Bcl-2 associated X protein (Bax), procaspase-3, −9, matrix metalloproteinase 1(MMP1), MMP3, MMP13, Wnt3a, Wnt5a, Wnt7a and GAPDH were determined by western blot analysis. Briefly, the proteins were extracted from the cells in each group using an EpiQuik Total Histone Extraction kit (Epigentek, Farmingdale, NY, USA) according to manufacturer instructions and quantified using a BCA Protein Quantification kit (Vazyme Biotech Co., Ltd., Nanjing, China) according to the manufacturer's instructions. Subsequently, ~50 mg total protein extracts were separated by 12% SDS-PAGE prior to being transferred to a polyvinylidene fluoride membrane (EMD Millipore, Billerica, MA, USA). The membrane was blocked using 5% milk solution for 2 h at room temperature and washed three times with Tris-buffered saline with Tween-20 (TBST; Sigma-Aldrich; Merck KGaA, Darmstadt, Germany). The membrane was respectively incubated with the primary rabbit monoclonal antibodies of Sirt1 (cat. no. ab110304; Abcam, Cambridge, MA, USA), Bax, Bcl-2, procaspase-3, −9 (cat. nos. 1063-1, 1071-1, 1061-1 and 1084-1; Epitomics; Abcam), MMP1, MMP3, MMP13, Wnt3a, Wnt5a, Wnt7a, β-catenin and GAPDH (cat. nos. EP1247Y, ab53015, ab39012, ab28472, ab72583, ab100792, ab32572 and ab8245; Abcam) at 4°C overnight at a dilution of 1:100. This incubation was followed by a further three TBST washes for 5 min. The membrane was subsequently incubated at room temperature with secondary goat anti-rabbit antibody conjugated with horseradish peroxidase (cat. no. A0208; Beyotime Institute of Biotechnology) at a dilution of 1:500 for 90 min and washed with TBST. Strip gray levels were quantified using Quantity One software (version 4.62; Bio-Rad Laboratories, Inc.).

Statistical analysis

Experiments were performed in triplicate on three independent occasions. Data were presented as the mean ± standard deviation and analyzed using a two-tailed Student's t-test. Statistical analyses were conducted using SPSS version 17 (SPSS, Inc., Chicago, IL, USA). P<0.05 was considered to indicate a statistically significant difference.

Results

Expression of Sirt1 mRNA and protein in OA chondrocytes

Compared with the control, the expression levels of Sirt1 mRNA and protein in the RES group were significantly increased (P<0.01; Fig. 1A and B, respectively), but decreased significantly in the NAM group (P<0.01).

Figure 1.

Sirt1 protein expression levels, evaluated via western blotting and densitometry, and mRNA expression levels, evaluated via reverse transcription-quantitative polymerase chain reaction analysis. (A) mRNA expression levels of Sirt1 and GAPDH presented as an electrophoretogram and quantitative analysis. (B) Western blot analysis of Sirt1 and GAPDH protein expression treated with 10 µM RES and 20 µM NAM individually. **P<0.01 vs. the control. GAPDH, glyceraldehyde 3-phosphate dehydrogenase; Sirt1, sirtuin 1; RES, resveratrol; NAM, nicotinamide.

Cell viability and apoptosis in OA chondrocytes

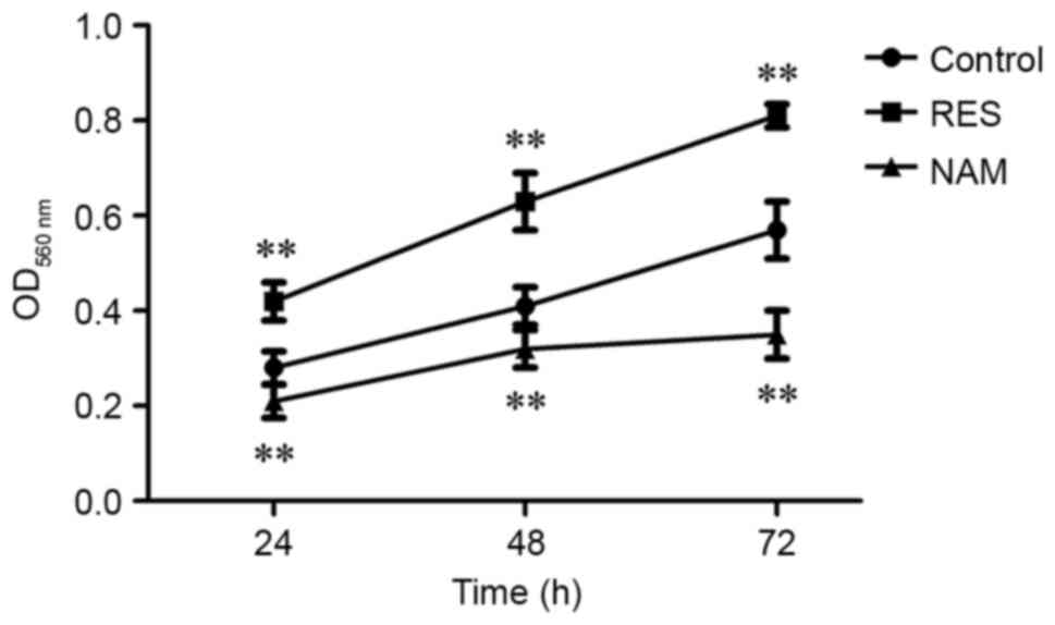
Compared with the control, the cell viabilities were significantly improved at 24, 48 and 72 h in the RES group (P<0.01; Fig. 2), and significantly suppressed in the NAM group despite the slow growth of chondrocytes (P<0.01). The rate of cell apoptosis was reduced from 13.84 to 6.55% in response to 10 µM RES, but increased from 13.84 to 47.33% in response to 20 µM NAM (P<0.01; Fig. 3).

Figure 2.

OD (560 nm) curve of cell viability at 24, 48 and 72 h following treatment with 10 µM RES and 20 µM NAM individually. **P<0.01 vs. the control. OD, optical density; RES, resveratrol; NAM, nicotinamide.

Figure 3.

Apoptotic rates detected by Annexin V-PI staining when 10 µM RES and 20 µM NAM were administered. PI, propidium iodide; RES, resveratrol; NAM, nicotinamide.

Protein expression of critical genes implicated in apoptosis, ECM degradation and the Wnt/β-catenin signaling pathway

To assess the effect of Sirt1 on apoptosis, ECM degradation and Wnt/β-catenin signaling in RES-treated OA chondrocytes, the protein expression levels of Bax, Bcl-2, procaspase-3, −9, MMP1, MMP3, MMP13, Wnt3a, Wnt5a, Wnt7a and β-catenin were determined. It was observed that the expression levels of Bax, procaspase-3 and −9, MMP1, MMP3, MMP13, Wnt3a, Wnt5a, Wnt7a, and β-catenin were significantly inhibited following treatment with RES (P<0.01; Figs. 4–6). However, Bcl-2 expression levels were significantly increased in RES-treated OA chondrocytes (P<0.01; Fig. 4). These variation tendencies were the opposite in NAM-treated OA chondrocytes; when the expression was significantly increased in the RES group, it was significantly decreased in the NAM group (P<0.01; Figs. 4–6).

Figure 4.

Western blot analysis and semi-quantification of protein expression. (A) Western blot analysis and (B) semi-quantification of Bax, Bcl-2, procaspase-3 and −9 proteins in 10 µM RES-treated and 20 µM NAM-treated OA chondrocytes. **P<0.01 vs. the GAPDH control. Bcl-2, B-cell lymphoma 2; Bax, Bcl-2 associated X protein; RES, resveratrol; NAM, nicotinamide; OA, osteoarthritis; GAPDH, glyceraldehyde 3-phosphate dehydrogenase.

Figure 6.

Western blot analysis and semi-quantification of protein expression. (A) Western blot analysis and (B) semi-quantification of Wnt3a, Wnt5a, Wnt7a and β-catenin proteins in 10 µM RES-treated and 20 µM NAM-treated OA chondrocytes. **P<0.01 vs. the GAPDH control. RES, resveratrol; NAM, nicotinamide; OA, osteoarthritis; GAPDH, glyceraldehyde 3-phosphate dehydrogenase.

Discussion

RES is a natural phytoalexin and has been demonstrated to be an effective stimulator of Sirt1 expression in response to OA chondrocyte metabolism, apoptosis and proliferation (15,16,19). Consistent with previous studies, the present study observed that the levels of Sirt1 mRNA and protein were significantly increased in OA chondrocytes treated with RES. Sirt1 has been confirmed in vitro and in vivo to be essential in the prevention of apoptosis in human chondrocytes, which is associated with cartilage degeneration in OA, via the mitochondrial-related pathway (20,21). Following exposure to RES, the present findings demonstrated that increased Sirt1 expression had a lower apoptotic rate compared with the control, indicating that Sirt1 may promote OA chondrocyte survival. Further experiments evaluated the association of Sirt1 with the mitochondrial-related apoptotic pathway. As in mitochondria, the balance between proapoptotic members (such as Bax) and antiapoptotic members (such as Bcl-2) in the Bcl family determines cellular apoptosis and survival. Therefore, the effect of Sirt1 on the protein expression levels of Bax, Bcl-2, procaspase-3 and −9 was surveyed. In line with previous findings, Sirt1 inhibited the expression of Bax, procaspase-3 and procaspase-9 and increased Bcl-2 expression (20), indicating that Sirt1 induced the apoptosis of OA chondrocytes treated with RES through the mitochondria pathway.

Type II collagen is one of the primary ECM macromolecules in cartilage. MMPs are a family of 23 enzymes with a specific function to hydrolyze the triple helical structure in type II collagen, maintaining the balance between synthesis and degradation in normal cartilage ECM. It is generally hypothesized that the abnormal expression of various MMP members may lead to proteolysis and pathological cartilage breakdown in OA (22,23). The primary function of three MMPs (MMP1, MMP3 and MMP13) has been demonstrated to serve a role in chondrocyte-mediated cartilage matrix degeneration in OA (24), among which MMP13 has a central role in the regulation of OA chondrocytes (22,25). In RES-treated OA chondrocytes, the expression of MMP1, MMP3 and MMP13 decreased along with the increase of Sirt1, and MMP13 exhibited a more evident decrease of expression than MMP1 and 3. Notably, increased Sirt1 induced by RES may inhibit MMP13 and suppress type II collagen degradation (26,27). These observations suggest Sirt1-mediated OA delay may benefit from the suppressions of a number of critical MMP members, including MMP1, MMP3 and MMP13, in RES-treated chondrocytes.

Wnt signaling is a conserved pathway that is associated with the response to cell differentiation and fate determination during embryogenesis and the late stages of development (28). Activation of Wnt/β-catenin, the canonical pathway, has been suggested to be involved in OA aggravation (29). Primary effectors implicated in OA development include three Wnt proteins (Wnt3a, Wnt5a and Wnt7a) (30–32). As described, MMP13, a target protein downstream of the Wnt/β-catenin signaling pathway (2,33), exhibited reduced expression caused by the elevated Sirt1. Notably, the present study demonstrated that an increase in the expression of Sirt1 may effectively suppress the expression of Wnt3a, Wnt5a, Wnt7a and β-catenin in RES-treated OA chondrocytes, indicating that Sirt may reduce OA progression through the Wnt/β-catenin signaling pathway.

In conclusion, the present study used RES-treated chondrocytes to monitor a number of critical factors in the progression of OA, and demonstrated that RES may increase Sirt1, leading to a decrease in the expression levels of Bax, procaspase-3 and −9, MMP1, MMP3, MMP13, Wnt3a, Wnt5a, Wnt7a and β-catenin and an increase in the level of Bcl-2. These results demonstrate that Sirt1 may regulate the apoptosis and ECM degradation in RES-treated osteoarthritis chondrocytes via the Wnt/β-catenin signaling pathway.

References

1 

Glyn-Jones S, Palmer AJ, Agricola R, Price AJ, Vincent TL, Weinans H and Carr AJ: Osteoarthritis. Lancet. 386:376–387. 2015. View Article : Google Scholar : PubMed/NCBI

2 

Zhou X, Li W, Jiang L, Bao J, Tao L, Li J and Wu L: Tetrandrine inhibits the Wnt/β-catenin signalling pathway and alleviates osteoarthritis: An in vitro and in vivo study. Evid Based Complement Alternat Med. 2013:8095792013. View Article : Google Scholar : PubMed/NCBI

3 

Gelber AC: In the clinic. Osteoarthritis. Ann Intern Med. 161:ITC1–ITC16. 2014. View Article : Google Scholar : PubMed/NCBI

4 

Takamatsu A, Ohkawara B, Ito M, Masuda A, Sakai T, Ishiguro N and Ohno K: Verapamil protects against cartilage degradation in osteoarthritis by inhibiting Wnt/β-catenin signaling. PLoS One. 9:e926992014. View Article : Google Scholar : PubMed/NCBI

5 

Blander G and Guarente L: The Sir2 family of protein deacetylases. Annu Rev Biochem. 73:417–435. 2004. View Article : Google Scholar : PubMed/NCBI

6 

Seo JS, Moon MH, Jeong JK, Seol JW, Lee YJ, Park BH and Park SY: SIRT1, a histone deacetylase, regulates prion protein-induced neuronal cell death. Neurobiol Aging. 33:1110–1120. 2012. View Article : Google Scholar : PubMed/NCBI

7 

Michan S and Sinclair D: Sirtuins in mammals: Insights into their biological function. Biochem J. 404:1–13. 2007. View Article : Google Scholar : PubMed/NCBI

8 

Yamamoto H, Schoonjans K and Auwerx J: Sirtuin functions in health and disease. Mol Endocrinol. 21:1745–1755. 2007. View Article : Google Scholar : PubMed/NCBI

9 

Dvir-Ginzberg M, Gagarina V, Lee EJ and Hall DJ: Regulation of cartilage-specific gene expression in human chondrocytes by SirT1 and nicotinamide phosphoribosyltransferase. J Biol Chem. 283:36300–36310. 2008. View Article : Google Scholar : PubMed/NCBI

10 

Fujita N, Matsushita T, Ishida K, Kubo S, Matsumoto T, Takayama K, Kurosaka M and Kuroda R: Potential involvement of SIRT1 in the pathogenesis of osteoarthritis through the modulation of chondrocyte gene expressions. J Orthop Res. 29:511–515. 2011. View Article : Google Scholar : PubMed/NCBI

11 

Abed É, Couchourel D, Delalandre A, Duval N, Pelletier JP, Martel-Pelletier J and Lajeunesse D: Low sirtuin 1 levels in human osteoarthritis subchondral osteoblasts lead to abnormal sclerostin expression which decreases Wnt/β-catenin activity. Bone. 59:28–36. 2014. View Article : Google Scholar : PubMed/NCBI

12 

Matsushita T, Sasaki H, Takayama K, Ishida K, Matsumoto T, Kubo S, Matsuzaki T, Nishida K, Kurosaka M and Kuroda R: The overexpression of SIRT1 inhibited osteoarthritic gene expression changes induced by interleukin-1β in human chondrocytes. J Orthop Res. 31:531–537. 2013. View Article : Google Scholar : PubMed/NCBI

13 

Yadav M, Jain S, Bhardwaj A, Nagpal R, Puniya M, Tomar R, Singh V, Parkash O, Prasad GB, Marotta F and Yadav H: Biological and medicinal properties of grapes and their bioactive constituents: An update. J Med Food. 12:473–484. 2009. View Article : Google Scholar : PubMed/NCBI

14 

Lei M, Wang JG, Xiao DM, Fan M, Wang DP, Xiong JY, Chen Y, Ding Y and Liu SL: Resveratrol inhibits interleukin 1β-mediated inducible nitric oxide synthase expression in articular chondrocytes by activating SIRT1 and thereby suppressing nuclear factor-κB activity. Eur J Pharmacol. 674:73–79. 2012. View Article : Google Scholar : PubMed/NCBI

15 

Wang J, Gao JS, Chen JW, Li F and Tian J: Effect of resveratrol on cartilage protection and apoptosis inhibition in experimental osteoarthritis of rabbit. Rheumatol Int. 32:1541–1548. 2012. View Article : Google Scholar : PubMed/NCBI

16 

Kim H, Braun H and Dragoo J: The effect of resveratrol on normal and osteoarthritic chondrocyte metabolism. Bone Joint Res. 3:51–59. 2014. View Article : Google Scholar : PubMed/NCBI

17 

Altman R, Asch E, Bloch D, Bole G, Borenstein D, Brandt K, Christy W, Cooke T, Greenwald R, Hochberg M, et al: Development of criteria for the classification and reporting of osteoarthritis. Classification of osteoarthritis of the knee. Diagnostic and Therapeutic Criteria Committee of the American Rheumatism Association. Arthritis Rheum. 29:1039–1049. 1986. View Article : Google Scholar : PubMed/NCBI

18 

Livak KJ and Schmittgen TD: Analysis of relative gene expression data using real-time quantitative PCR and the 2(-Delta Delta C(T)) method. Methods. 25:402–408. 2001. View Article : Google Scholar : PubMed/NCBI

19 

Xie J, Zhang X and Zhang L: Negative regulation of inflammation by SIRT1. Pharmacol Res. 67:60–67. 2013. View Article : Google Scholar : PubMed/NCBI

20 

Takayama K, Ishida K, Matsushita T, Fujita N, Hayashi S, Sasaki K, Tei K, Kubo S, Matsumoto T, Fujioka H, et al: SIRT1 regulation of apoptosis of human chondrocytes. Arthritis Rheum. 60:2731–2740. 2009. View Article : Google Scholar : PubMed/NCBI

21 

Gabay O, Oppenhiemer H, Meir H, Zaal K, Sanchez C and Dvir-Ginzberg M: Increased apoptotic chondrocytes in articular cartilage from adult heterozygous SirT1 mice. Ann Rheum Dis. 71:613–636. 2012. View Article : Google Scholar : PubMed/NCBI

22 

Kevorkian L, Young DA, Darrah C, Donell ST, Shepstone L, Porter S, Brockbank SM, Edwards DR, Parker AE and Clark IM: Expression profiling of metalloproteinases and their inhibitors in cartilage. Arthritis Rheum. 50:131–141. 2004. View Article : Google Scholar : PubMed/NCBI

23 

Murphy G, Knauper V, Atkinson S, Butler G, English W, Hutton M, Stracke J and Clark I: Matrix metalloproteinases in arthritic disease. Arthritis Res. 4 Suppl 3:S39–S49. 2002. View Article : Google Scholar : PubMed/NCBI

24 

Tetlow LC, Adlam DJ and Woolley DE: Matrix metalloproteinase and proinflammatory cytokine production by chondrocytes of human osteoarthritic cartilage: Associations with degenerative changes. Arthritis Rheum. 44:585–594. 2001. View Article : Google Scholar : PubMed/NCBI

25 

Davidson RK, Waters JG, Kevorkian L, Darrah C, Cooper A, Donell ST and Clark IM: Expression profiling of metalloproteinases and their inhibitors in synovium and cartilage. Arthritis Res Ther. 8:R1242006. View Article : Google Scholar : PubMed/NCBI

26 

Liu FC, Hung LF, Wu WL, Chang DM, Huang CY, Lai JH and Ho LJ: Chondroprotective effects and mechanisms of resveratrol in advanced glycation end products-stimulated chondrocytes. Arthritis Res Ther. 12:R1672010. View Article : Google Scholar : PubMed/NCBI

27 

Lei M: Resveratrol protects bone marrow mesenchymal stem cell derived chondrocytes cultured on chitosan-gelatin scaffolds from the inhibitory effect of interleukin-1beta. Acta Pharmacol Sin. 29:1350–1356. 2008. View Article : Google Scholar : PubMed/NCBI

28 

Sassi N, Laadhar L, Allouche M, Achek A, Kallel-Sellami M, Makni S and Sellami S: WNT signaling and chondrocytes: From cell fate determination to osteoarthritis physiopathology. J Recept Signal Transduct Res. 34:73–80. 2014. View Article : Google Scholar : PubMed/NCBI

29 

Yuasa T, Otani T, Koike T, Iwamoto M and Enomoto-Iwamoto M: Wnt/β-catenin signaling stimulates matrix catabolic genes and activity in articular chondrocytes: Its possible role in joint degeneration. Lab Invest. 88:264–274. 2008. View Article : Google Scholar : PubMed/NCBI

30 

Nalesso G, Sherwood J, Bertrand J, Pap T, Ramachandran M, De Bari C, Pitzalis C and Dell'accio F: WNT-3A modulates articular chondrocyte phenotype by activating both canonical and noncanonical pathways. J Cell Biol. 193:551–564. 2011. View Article : Google Scholar : PubMed/NCBI

31 

Huh YH, Ryu JH and Chun JS: Regulation of type II collagen expression by histone deacetylase in articular chondrocytes. J Biol Chem. 282:17123–17131. 2007. View Article : Google Scholar : PubMed/NCBI

32 

Sassi N, Laadhar L, Allouche M, Zandieh-Doulabi B, Hamdoun M, Klein-Nulend J, Makni S and Sellami S: The roles of canonical and non-canonical Wnt signaling in human de-differentiated articular chondrocytes. Biotech Histochem. 89:53–65. 2014. View Article : Google Scholar : PubMed/NCBI

33 

Bernard NJ: Osteoarthritis: Repositioning verapamil-for Wnt of an OA treatment. Nat Rev Rheumatol. 10:2602014. View Article : Google Scholar : PubMed/NCBI

Related Articles

  • Abstract
  • View
  • Download
  • Twitter
Copy and paste a formatted citation
Spandidos Publications style
Liu S, Yang H, Hu B and Zhang M: Sirt1 regulates apoptosis and extracellular matrix degradation in resveratrol‑treated osteoarthritis chondrocytes via the Wnt/β‑catenin signaling pathways. Exp Ther Med 14: 5057-5062, 2017.
APA
Liu, S., Yang, H., Hu, B., & Zhang, M. (2017). Sirt1 regulates apoptosis and extracellular matrix degradation in resveratrol‑treated osteoarthritis chondrocytes via the Wnt/β‑catenin signaling pathways. Experimental and Therapeutic Medicine, 14, 5057-5062. https://doi.org/10.3892/etm.2017.5165
MLA
Liu, S., Yang, H., Hu, B., Zhang, M."Sirt1 regulates apoptosis and extracellular matrix degradation in resveratrol‑treated osteoarthritis chondrocytes via the Wnt/β‑catenin signaling pathways". Experimental and Therapeutic Medicine 14.5 (2017): 5057-5062.
Chicago
Liu, S., Yang, H., Hu, B., Zhang, M."Sirt1 regulates apoptosis and extracellular matrix degradation in resveratrol‑treated osteoarthritis chondrocytes via the Wnt/β‑catenin signaling pathways". Experimental and Therapeutic Medicine 14, no. 5 (2017): 5057-5062. https://doi.org/10.3892/etm.2017.5165
Copy and paste a formatted citation
x
Spandidos Publications style
Liu S, Yang H, Hu B and Zhang M: Sirt1 regulates apoptosis and extracellular matrix degradation in resveratrol‑treated osteoarthritis chondrocytes via the Wnt/β‑catenin signaling pathways. Exp Ther Med 14: 5057-5062, 2017.
APA
Liu, S., Yang, H., Hu, B., & Zhang, M. (2017). Sirt1 regulates apoptosis and extracellular matrix degradation in resveratrol‑treated osteoarthritis chondrocytes via the Wnt/β‑catenin signaling pathways. Experimental and Therapeutic Medicine, 14, 5057-5062. https://doi.org/10.3892/etm.2017.5165
MLA
Liu, S., Yang, H., Hu, B., Zhang, M."Sirt1 regulates apoptosis and extracellular matrix degradation in resveratrol‑treated osteoarthritis chondrocytes via the Wnt/β‑catenin signaling pathways". Experimental and Therapeutic Medicine 14.5 (2017): 5057-5062.
Chicago
Liu, S., Yang, H., Hu, B., Zhang, M."Sirt1 regulates apoptosis and extracellular matrix degradation in resveratrol‑treated osteoarthritis chondrocytes via the Wnt/β‑catenin signaling pathways". Experimental and Therapeutic Medicine 14, no. 5 (2017): 5057-5062. https://doi.org/10.3892/etm.2017.5165
Follow us
  • Twitter
  • LinkedIn
  • Facebook
About
  • Spandidos Publications
  • Careers
  • Cookie Policy
  • Privacy Policy
How can we help?
  • Help
  • Live Chat
  • Contact
  • Email to our Support Team