Spandidos Publications Logo
  • About
    • About Spandidos
    • Aims and Scopes
    • Abstracting and Indexing
    • Editorial Policies
    • Reprints and Permissions
    • Job Opportunities
    • Terms and Conditions
    • Contact
  • Journals
    • All Journals
    • Oncology Letters
      • Oncology Letters
      • Information for Authors
      • Editorial Policies
      • Editorial Board
      • Aims and Scope
      • Abstracting and Indexing
      • Bibliographic Information
      • Archive
    • International Journal of Oncology
      • International Journal of Oncology
      • Information for Authors
      • Editorial Policies
      • Editorial Board
      • Aims and Scope
      • Abstracting and Indexing
      • Bibliographic Information
      • Archive
    • Molecular and Clinical Oncology
      • Molecular and Clinical Oncology
      • Information for Authors
      • Editorial Policies
      • Editorial Board
      • Aims and Scope
      • Abstracting and Indexing
      • Bibliographic Information
      • Archive
    • Experimental and Therapeutic Medicine
      • Experimental and Therapeutic Medicine
      • Information for Authors
      • Editorial Policies
      • Editorial Board
      • Aims and Scope
      • Abstracting and Indexing
      • Bibliographic Information
      • Archive
    • International Journal of Molecular Medicine
      • International Journal of Molecular Medicine
      • Information for Authors
      • Editorial Policies
      • Editorial Board
      • Aims and Scope
      • Abstracting and Indexing
      • Bibliographic Information
      • Archive
    • Biomedical Reports
      • Biomedical Reports
      • Information for Authors
      • Editorial Policies
      • Editorial Board
      • Aims and Scope
      • Abstracting and Indexing
      • Bibliographic Information
      • Archive
    • Oncology Reports
      • Oncology Reports
      • Information for Authors
      • Editorial Policies
      • Editorial Board
      • Aims and Scope
      • Abstracting and Indexing
      • Bibliographic Information
      • Archive
    • Molecular Medicine Reports
      • Molecular Medicine Reports
      • Information for Authors
      • Editorial Policies
      • Editorial Board
      • Aims and Scope
      • Abstracting and Indexing
      • Bibliographic Information
      • Archive
    • World Academy of Sciences Journal
      • World Academy of Sciences Journal
      • Information for Authors
      • Editorial Policies
      • Editorial Board
      • Aims and Scope
      • Abstracting and Indexing
      • Bibliographic Information
      • Archive
    • International Journal of Functional Nutrition
      • International Journal of Functional Nutrition
      • Information for Authors
      • Editorial Policies
      • Editorial Board
      • Aims and Scope
      • Abstracting and Indexing
      • Bibliographic Information
      • Archive
    • International Journal of Epigenetics
      • International Journal of Epigenetics
      • Information for Authors
      • Editorial Policies
      • Editorial Board
      • Aims and Scope
      • Abstracting and Indexing
      • Bibliographic Information
      • Archive
    • Medicine International
      • Medicine International
      • Information for Authors
      • Editorial Policies
      • Editorial Board
      • Aims and Scope
      • Abstracting and Indexing
      • Bibliographic Information
      • Archive
  • Articles
  • Information
    • Information for Authors
    • Information for Reviewers
    • Information for Librarians
    • Information for Advertisers
    • Conferences
  • Language Editing
Spandidos Publications Logo
  • About
    • About Spandidos
    • Aims and Scopes
    • Abstracting and Indexing
    • Editorial Policies
    • Reprints and Permissions
    • Job Opportunities
    • Terms and Conditions
    • Contact
  • Journals
    • All Journals
    • Biomedical Reports
      • Information for Authors
      • Editorial Policies
      • Editorial Board
      • Aims and Scope
      • Abstracting and Indexing
      • Bibliographic Information
      • Archive
    • Experimental and Therapeutic Medicine
      • Information for Authors
      • Editorial Policies
      • Editorial Board
      • Aims and Scope
      • Abstracting and Indexing
      • Bibliographic Information
      • Archive
    • International Journal of Epigenetics
      • Information for Authors
      • Editorial Policies
      • Editorial Board
      • Aims and Scope
      • Abstracting and Indexing
      • Bibliographic Information
      • Archive
    • International Journal of Functional Nutrition
      • Information for Authors
      • Editorial Policies
      • Editorial Board
      • Aims and Scope
      • Abstracting and Indexing
      • Bibliographic Information
      • Archive
    • International Journal of Molecular Medicine
      • Information for Authors
      • Editorial Policies
      • Editorial Board
      • Aims and Scope
      • Abstracting and Indexing
      • Bibliographic Information
      • Archive
    • International Journal of Oncology
      • Information for Authors
      • Editorial Policies
      • Editorial Board
      • Aims and Scope
      • Abstracting and Indexing
      • Bibliographic Information
      • Archive
    • Medicine International
      • Information for Authors
      • Editorial Policies
      • Editorial Board
      • Aims and Scope
      • Abstracting and Indexing
      • Bibliographic Information
      • Archive
    • Molecular and Clinical Oncology
      • Information for Authors
      • Editorial Policies
      • Editorial Board
      • Aims and Scope
      • Abstracting and Indexing
      • Bibliographic Information
      • Archive
    • Molecular Medicine Reports
      • Information for Authors
      • Editorial Policies
      • Editorial Board
      • Aims and Scope
      • Abstracting and Indexing
      • Bibliographic Information
      • Archive
    • Oncology Letters
      • Information for Authors
      • Editorial Policies
      • Editorial Board
      • Aims and Scope
      • Abstracting and Indexing
      • Bibliographic Information
      • Archive
    • Oncology Reports
      • Information for Authors
      • Editorial Policies
      • Editorial Board
      • Aims and Scope
      • Abstracting and Indexing
      • Bibliographic Information
      • Archive
    • World Academy of Sciences Journal
      • Information for Authors
      • Editorial Policies
      • Editorial Board
      • Aims and Scope
      • Abstracting and Indexing
      • Bibliographic Information
      • Archive
  • Articles
  • Information
    • For Authors
    • For Reviewers
    • For Librarians
    • For Advertisers
    • Conferences
  • Language Editing
Login Register Submit
  • This site uses cookies
  • You can change your cookie settings at any time by following the instructions in our Cookie Policy. To find out more, you may read our Privacy Policy.

    I agree
Search articles by DOI, keyword, author or affiliation
Search
Advanced Search
presentation
Experimental and Therapeutic Medicine
Join Editorial Board Propose a Special Issue
Print ISSN: 1792-0981 Online ISSN: 1792-1015
Journal Cover
June-2018 Volume 15 Issue 6

Full Size Image

Sign up for eToc alerts
Recommend to Library

Journals

International Journal of Molecular Medicine

International Journal of Molecular Medicine

International Journal of Molecular Medicine is an international journal devoted to molecular mechanisms of human disease.

International Journal of Oncology

International Journal of Oncology

International Journal of Oncology is an international journal devoted to oncology research and cancer treatment.

Molecular Medicine Reports

Molecular Medicine Reports

Covers molecular medicine topics such as pharmacology, pathology, genetics, neuroscience, infectious diseases, molecular cardiology, and molecular surgery.

Oncology Reports

Oncology Reports

Oncology Reports is an international journal devoted to fundamental and applied research in Oncology.

Experimental and Therapeutic Medicine

Experimental and Therapeutic Medicine

Experimental and Therapeutic Medicine is an international journal devoted to laboratory and clinical medicine.

Oncology Letters

Oncology Letters

Oncology Letters is an international journal devoted to Experimental and Clinical Oncology.

Biomedical Reports

Biomedical Reports

Explores a wide range of biological and medical fields, including pharmacology, genetics, microbiology, neuroscience, and molecular cardiology.

Molecular and Clinical Oncology

Molecular and Clinical Oncology

International journal addressing all aspects of oncology research, from tumorigenesis and oncogenes to chemotherapy and metastasis.

World Academy of Sciences Journal

World Academy of Sciences Journal

Multidisciplinary open-access journal spanning biochemistry, genetics, neuroscience, environmental health, and synthetic biology.

International Journal of Functional Nutrition

International Journal of Functional Nutrition

Open-access journal combining biochemistry, pharmacology, immunology, and genetics to advance health through functional nutrition.

International Journal of Epigenetics

International Journal of Epigenetics

Publishes open-access research on using epigenetics to advance understanding and treatment of human disease.

Medicine International

Medicine International

An International Open Access Journal Devoted to General Medicine.

Journal Cover
June-2018 Volume 15 Issue 6

Full Size Image

Sign up for eToc alerts
Recommend to Library

  • Article
  • Citations
    • Cite This Article
    • Download Citation
    • Create Citation Alert
    • Remove Citation Alert
    • Cited By
  • Similar Articles
    • Related Articles (in Spandidos Publications)
    • Similar Articles (Google Scholar)
    • Similar Articles (PubMed)
  • Download PDF
  • Download XML
  • View XML
Article

Clinical efficacy of implementing Bio Immune(G)ene MEDicine in the treatment of chronic asthma with the objective of reducing or removing effectively corticosteroid therapy: A novel approach and promising results

  • Authors:
    • Gilbert Glady
  • View Affiliations / Copyright

    Affiliations: European Bio Immune(G)ene Medecine Association, Internal Medicine, 68000 Colmar, France
  • Pages: 5133-5140
    |
    Published online on: April 2, 2018
       https://doi.org/10.3892/etm.2018.6019
  • Expand metrics +
Metrics: Total Views: 0 (Spandidos Publications: | PMC Statistics: )
Metrics: Total PDF Downloads: 0 (Spandidos Publications: | PMC Statistics: )
Cited By (CrossRef): 0 citations Loading Articles...

This article is mentioned in:



Abstract

Asthma is one of the diseases that demonstrates a wide range of variation in its clinical expression, in addition to an important heterogeneity in the pathophysiological mechanisms present in each case. The ever‑increasing knowledge of the molecular signalling routes and the development of the Bio Immune(G)ene Medicine [BI(G)MED] therapy in line with this knowledge has revealed a whole novel potential set of self‑regulation biological molecules, that may be used to promote the physiological immunogenic self‑regulation mechanisms and re‑establish the homeostatic balance at a genomic, proteomic and cellular level. The aim of the present study is to demonstrate that the sublingual use of a therapeutic protocol based on BI(G)MED regulatory BIMUREGs in the treatment of chronic asthma may reduce or suppress corticosteroid therapy and avoid its harmful side effects which some patients suffer when using this treatment on a long‑term basis. The clinical efficacy of BI(G)MED for chronic asthma was evaluated through a multi‑centre study carried out in 2016 implementing a 6‑month BI(G)MED treatment protocol for Bronchial Asthma. A total of 61 patients from private medical centres and of European countries including Germany, Austria, France, Belgium and Spain participated. The manuscript describes in detail the clinical efficacy of Bio Immune(G)ene regulatory BI(G)MED treatment protocol that allows the reduction or total removal of the corticosteroid dose in patients with chronic asthma. No adverse reactions were observed. The BI(G)MED regulatory therapy brings novel therapeutic possibilities as an effective and safe treatment of chronic asthma. BI(G)MED was demonstrated to significantly reduce asthma severity when parameter compositions were all analysed by categorical outcomes. Therefore, it is considered a good therapeutic alternative for patients who respond poorly to steroids.

Introduction

Asthma is an inflammatory lung condition characterized by an exaggerated response of the airways, which remodelling is one of the most common medical pathologies of long duration. Allergic asthma is an inflammatory lung disease characterized by an abnormal response of lymphocytes T-helper 2 (TH2) after the inhalation of antigens (1,2).

It is well-established that a strong correlation exists between the presence of eosinophils and the presence of Th2 cells in the asthmatic airways and that classical Th2 cell-derived cytokines, namely interleukin (IL)-4, IL-5, IL-9 and IL-13, play critical roles in orchestrating and amplifying allergic inflammation in asthma (3).

More recently, roles for basophils, iNKT cells, Th17 cells, and a number of soluble mediators, including TSLP, IL-25, and IL-33, have also been proposed (4,5).

MicroRNAs (miRNAs) are small non-coding RNAs that regulate the function of the innate immune cells by controlling the stability and translation of mRNA in health and disease (6). The emerging role of miRNAs as biological agents in regulating immune and inflammatory responses in the lung has been recently reviewed (7,8). The main results indicate that these lung disorders can be attributed to abnormal immune responses to environmental stimuli and infections (9). Therefore, understanding the host natural systems of innate defences and regulating systems is essential for the development of new therapeutic approaches. In this regard, there is growing interest in the role of miRNAs in the regulation of host natural innate immune defence responses and in the inflammatory sequels of the respiratory disease.

The use of these miRNAs is opening a promising novel biological approach to improve asthma processes (10). In fact, a subset of miRNAs has been identified as potential therapeutic targets in asthma patients (1,11,12). Their role in regulating the response to corticosteroids and airway hyper-responsiveness has also recently been verified. For example, the microRNA miR-9 regulates the glucocorticoid receptor signalling and the hyper-responsiveness of the airway resistant to steroids. Very recently, it has also been proposed that modulating the function of miR-9 could be a novel approach to the treatment of asthma, even for the patients who are resistant to steroid therapy (13).

Sublingual immunotherapy (SLIT) has been also reported to be effective and safe in the treatment of allergic rhinitis, in a systematic review type meta-analysis on the treatment of asthma, although the magnitude of effect reported was not very large (14). At the moment, there is an increasingly broad consensus to promote SLIT, and to consider SLIT as a safe alternative to subcutaneous therapy route (15).

Materials and methods

The Bio Immune(G)ene Medicine [BI(G)MED] as diagnostic method

As part of BI(G)MED therapeutic protocols, two specific biological laboratory tests are essentially used and systematically performed, regardless of diagnosis.

First a protein profile, as the blood protein profile provides a good overview of the humoral immune status. Second, a lymphocyte typing, as the characterization of lymphocytes allows to evaluate the cellular immune status.

This modality helps the healthcare provider to look at the overall response of the immune system of the patient and thereby act upon biological evidence-based to perform subsequent follow-up monitoring.

The two tests mentioned above are complemented by studies to analyse the existence of pathogenic microorganisms (bacterial, viral, fungal and parasitic). The existence of a reactivation of microbial agents must be identified by serological tests as a priority in all asthmatic process. Amongst the microbial agents, two of them have to be considered as a priority: Respiratory Syncytial Virus (RSV) and Rhinoviruses (16) as well as Chlamydia pneumoniae and Mycoplasma pneumoniae (17). It has to be taken into account that most pathogens have the potential to trigger or worsen into more or less a clinically latent asthmatic condition. In this context, we think that the presence and reactivation of Epstein Barr Virus (EBV) must always be explored.

Furthermore, in the case of bronchial asthma, it is essential to assess the levels of immunoglobulin E (IgE). The measure of IgE total and/or specific IgE allows to identify the potential of allergens involved in triggering the asthmatic process; nevertheless, the bacterial and viral serology tests are the main tests that can help to clarify the pathogenesis of the bronchial asthmatic process (18).

Only once a careful clinical and biological diagnosis has been carried out, is it possible to identify which BI(G)MED therapeutic protocol is best suited for modulating and improving the cell imbalances found in the asthmatic patient, in terms of: Th2 predominant polarity, Th17/Tregs disbalance and/or regulation of the intestinal barrier.

The BI(G)MED targets are several types of cells belonging to the innate immune system (i.e., eosinophils, basophils, CDs and macrophages), as well as the pathogens found in serological tests, either bacteria and/or viruses (19).

The BI(G)MED as a nanobiotherapy method

Nanotechnology is a growing sector. It uses nanovectors capable to transport an active substance where it should act in the organism, in order to increase its effectiveness while minimizing side effects. The BI(G)MED-nanovectors are so-called xylitol globules produced and analysed by Remedy Bank (Hoboken, Belgium), that will be given on a sublingual way to reach immediately the pharyngeal immune structures.

The BI(G)MED is included in this scientific field and relies on different methods and concepts. There are five fundamental pillars of BI(G)MED.

Nanomedicine refers to biomedical and pharmaceutical applications of nanosized cargos of drugs/vaccine/DNA therapeutics including nanoparticles, nanoclusters, and nanospheres. Such particles have unique characteristics related to their size, surface, drug loading, and targeting potential. This therapeutic approach is already well known in oncology (20,21).

Synthetic Biology is a high biotechnology field situated between molecular biology, organic chemistry, scientific engineering, nanobiotechnology and information technology. The aim of synthetic biology is to design and produce new biological parts, devices and systems as well as to re-shape what already exists in natural biological systems that have a proposed utility. By genetically manipulating the biosynthetic machinery involved in the assembly of natural products and exploiting Nature's strategies for synthesizing structurally diverse metabolites, compounds with enhanced biological features can be produced that were otherwise inaccessible using traditional synthetic methods (22).

The concept of hormesis belongs to classical pharmacology and helped to explain why the majority of substances have a reserved effect when they are diluted; ‘Hormesis is now generally accepted as a real and reproducible biological phenomenon, being highly generalized and independent of biological model, endpoint measured and chemical class/physical stressor. The quantitative features of the hormetic dose response are generally highly consistent, regardless of the model and mechanism, and represent a quantitative index of biological plasticity at multiple levels of biological organization’ (23,24).

Ab initio molecular dynamics simulation, improved to its current stage where the analysis of existing processes and the prediction of further chemical features and real-world processes are feasible (25), explains the dilution revitalization (dynamisation) process through molecular acceleration which is the interaction source with the aqueous substrate (26).

RNA interference is one of the most important epigenetic processes, preserved during evolution and responsible, through its post-transcriptional repression route, for the suppression of gene expression (27). The most important feature today of BI(G)MED is given by the therapeutic use of miRNAs.

The BI(G)MED scientific study described in this manuscript applies all these basic concepts to allergy and bronchial asthma at a diagnostic and therapeutic level. It works on well-known key cellular events and signalling pathways.

Characteristics of patients who participated in the study

We performed a multicentre study which involved 61 patients from private medical offices in several European countries, including Germany, Austria, Belgium, France and Spain. The sample included male and female patients of all ages in the same proportion. That had a process of persistent bronchial asthma or allergic asthma, whose evolution had started at least two years ago. Patients who had asthma due to exercise have been specifically excluded from this study.

In the selection of patients it has been taken into consideration that they were not polymedicated by other diseases and in particular, that they had not ruled on a routine basis in the conventional treatment with β-mimetic agents but ruled only in case of acute asthma attacks.

Inclusion criteria were as follows: Any age and gender, regular asthma since at least 2 years prior to starting the study, treatment with corticosteroids (oral or inhaled) for at least two years.

Exclusion criteria, on the other hand, were as follows: Other conventional treatments for asthma (i.e., treatment with theophylline), coexistence of other illnesses of the immune system or chronic infections, patients undergoing chronic treatment with psychotropic drugs, patients unable to follow the study for whatever reason both physical or mental (in order to make sure there will be a good adhesion to the treatment).

Duration of the study

The study took place in 2016 over a 6-month period. During this time patients included in the study followed a BI(G)MED protocol treatment described later in detail. Four medical controls were carried out during the study, one at study entry and then follow-up checks were performed every 2 months.

BI(G)MED protocol and BIMUREGs used in this study

There were five Bio Immune(G)ene Regulators (BIMUREGs) used to improve the asthma process in this study. All these BIMUREGs were prepared strongly according to the nanobiologic method of dilution-dynamisation and all were certificated GPP. Their composition is as described in Table I. The therapeutic protocol followed for all patients of this study was as described in Table II.

Table I.

BIMUREGs used in the study and their composition.

Table I.

BIMUREGs used in the study and their composition.

CompoundsConcentration (Mol)
BIMUREG 1
  IL-4 1×10−10
  IL-5″
  IL-9″
  IL-13″
  EGF″
  PGD2″
  GM-CSF″
  TNF-α″
  DNA (ADAM 33)″
  RNA (miR-9, −19a, −155)″
BIMUREG 2
  IL-4 1×10−10
  IL-5″
  IL-10″
  IL-25″
  TGF-β 1×10−8
  Notch gene″
  CTLA-4″
  DNA (CTLA-4, Notch)″
  RNA (miR-21, −106a, −126)″
BIMUREG 3
  IL-3 1×10−10
  IL-5″
  IL-9″
  IL-6 1×10−8
  IFN-γ″
  TGF-β″
  miR-126″
  DNA (IL-5)″
  RNA (let-7, miR-145, −223)″
BIMUREG 4
  IL-4Rα 1×10−10
  IL-5″
  IFN-γ″
  LTC4″
  PGD2″
  HISTAMINE″
  miR-223″
  DNA (GATA-1)″
  RNA (miR-132, miR-221, −222)″
BIMUREG 5
  IL-4 1×10−10
  IL-10″
  TNF-α″
  TGF-β 1×10−8
  IL-1RA″
  RNA (miR-146a)″

Table II.

Therapeutic protocol.

Table II.

Therapeutic protocol.

Time of dayMondayTuesdayWednesdayThursdayFridaySaturday
MorningBIMUREG 2 BIMUREG 2 BIMUREG 2
Afternoon BIMUREG 3 BIMUREG 3 BIMUREG 3
EveningBIMUREG 1BIMUREG 1BIMUREG 1BIMUREG 1BIMUREG 1BIMUREG 1

All participants were instructed with recommendations for dosage, time and way of intake of the drugs. Opening the capsule that contains the BI(G)MED-formulas, then pouring its contents under the tongue till it's fully absorbed by the oral mucosa. Not to combine two BI(G)MED products at a time. To wait at least for half an hour in between the two doses. To always take BI(G)MED medication between meals, at least half an hour before eating.

In case of acute asthma episode, the following BI(G)MED-formulas were also used in combination: BIMUREG 4 + BIMUREG 5, two or three times daily alternately. The parallel use, or not, of Homeopathy and/or Phytotherapy, among other complementary therapies, was assessed. And the eventual use of β-mimetics and exceptionally corticosteroid, was also valued.

Monitoring and control parameters used to assess clinical symptoms

The following clinical and biological parameters were controlled regularly, i.e., at the beginning of the study, at months 2 and 4 and at the end of the study (i.e., after 6 months of treatment with BI(G)MED-formulas).

The clinical course was assessed by a BI(G)MED standardized questionnaire for asthma (Table III) with evaluation of wheezing (sibilances), cough, expectoration (cough-up), acute asthma crisis, dyspnea (breathless), as well as value of total IgE and percentage of eosinophils in peripheral blood.

Table III.

BI(G)MED standardised questionnaire for asthma multicentre study in reduced format.

Table III.

BI(G)MED standardised questionnaire for asthma multicentre study in reduced format.

To evaluate the progress of the clinical symptoms, the standardised BI(G)MED questionnaire (Table III) was designed and translated into different EU languages. Patient's consent for participating in this study and for publication of material related was obtained from all study participants. Patients names were not included, only initials, age, sex and a number of questions for statistical analysis purposes. Only a minimum set of key clinical tests was included to facilitate the follow up in all cases.

It is important to specify here that all study participants were informed according to the principles of the Declaration of Helsinki, and that all doctors involved in this study officially declare having obtained oral consent from all patients.

Besides, due to the type of nanopreparations used as treatment throughout the study, no harmful side effects were to be expected, which was specified upfront to all the patients.

Finally, in the context of a study based on patients coming from private practices only, no ethical committee (involved in monitoring studies taking place in hospitals) could be solicited.

Results

The statistical analysis has been carried out on the XIstat programme, version 2015.2. The variables that have been valued in this study are: Wheezing (sibilances), cough, expectoration (cough-up), acute asthma crisis, dyspnea (breathless), total IgE, percentage of eosinophils and inhaled use of corticosteroids.

The data has been taken from 61 patients over 6 months. The variables described before have been valued specifically at the start of the study (time 0), at 2 months (time 2), at 4 months (time 4), and at 6 months (time 6). Depending on the nature of the variable, two types of analysis have been carried out.

For the variables of the dichotomous type Yes/No (i.e., wheezing, cough, expectoration, acute crisis) an analysis was done to compare the percentage of YES recorded at each stage of the study and the difference between these percentages have been compared to evaluate when they are significantly different and when they are not.

For the numeric type variables (i.e., dyspnea, total IgE, eosinophils % and inhaled corticosteroids) a mixed model analysis with repeated measurements has been carried out because the data was obtained from the same patients at different times. In this case, what has been evaluated is if the results obtained in these variables were statistically different overtime, and in particular, at what specific moments they were significantly different.

The main difference between one analysis and another is that in the first one percentages are compared while averages are compared in the second one. No analysis has been carried out for the variable oral corticosteroid because the great majority of data is 0 and it doesn't make sense to analyse them by statistical inference. In any case, we discuss the results obtained in the few cases that patients do not have values 0. For all the comparisons carried out a 5% level of error has been applied.

If we take into account the dichotomous variables such as wheezing, cough and expectoration it has been observed that the percentage of YES diminishes over time. However, we have to analyse if this reduction is statistically significant.

The results are obtained from carrying out a hypothesis testing to compare the four YES percentages obtained at each stage. As the P-value for wheezing and cough is less than 0.0001 and, for the expectoration variable is less than 0,05 with the chi-square test as well as with the Montecarlo method, the conclusion is that these percentages are not statistically equal, that is to say, they are statistically significant. The Marascuilo procedure has been used to analyse between what stages we find the significant differences and at what other stages we don't. In these cases, we find that the YES percentage at the initial stage (0) is significantly different to the YES percentages obtained at 2 months (time 2), 4 months (time 4) and 6 months (time 6) while no significant differences are observed between the percentages obtained at 2 months, 4 months and 6 months (Figs. 1–3).

Figure 1.

Patients with sibilances. The percentage of patients with sibilances at the initial stage (0) is significantly different from the percentages obtained at 2 months (2), 4 months (4) and 6 months (6), while no significant differences are observed between the percentages obtained at 2 months (2), 4-months (4) and 6 months (6).

Figure 3.

Patients with expectoration. The percentage of patients with expectoration at the initial stage (0) is significantly different from the percentages obtained at 2 months (2), 4 months (4) and 6 months (6), while no significant differences are observed between the percentages obtained at 2 months (2), 4 months (4) and 6 months (6).

With respect to the contrast in the acute asthma crisis (with a P-value slightly above 0.05) the conclusion is that these percentages are statistically different between initial stage and after 6 months of treatment (Fig. 4).

Figure 4.

Patients with acute crisis. With respect to the contrast in the acute asthma crisis (with a P-value slightly above 0.05) the conclusion is that these percentages are statistically different between initial stage and after 6 months of treatment.

On the other hand, if we take into account the quantitative variables such as dyspnea, total IgE, percentage of eosinophils and the corticosteroids dose we obtain results from carrying out a hypothesis testing to compare the four mean averages of each of these variables obtained at each stage. As the P-value (in the case of dyspnea and the corticosteroids dose) is less than 0.0001 and (in the case of the total IgE and the percentage of eosinophils) is less than 0.05, the conclusion is that these averages are not statistically the same. The Tukey post-hoc contrast has been used to analyse at what stages we find the significant differences and at what stages we don't.

In the case of dyspnea we find that the mean average of this variable is significantly different at the initial stage from the measures obtained at 2 months, 4 months and 6 months. The means obtained after 2 months and 6 months are also significantly different, whilst no significant differences are observed between the 2 months and 4 months measures or between the 4 months and 6 months measures. We could say that we go from dyspnea occurring with a normal lifestyle (phase 2 of dyspnea) to dyspnea when doing exercise (phase 1), that is to say, one degree less of dyspnea than before the treatment was started (Fig. 5).

Figure 5.

Dyspnea. The number of patients with level 3 of dyspnea (even with minimum effort and below normal activity) and level 2 of dyspnea (during normal activity) is significantly lower after 2 months, 4 months and 6 months. On the contrary, the number of patients with level 1 of dyspnea (due to physical effort) is significantly larger after 2 months and keeps on increasing at 4 and 6 months. As a conclusion, we mainly go from dyspnea occurring with a normal lifestyle (level 2 of dyspnea) to dyspnea when doing exercise (level 1), that is to say one degree less of dyspnea than before the treatment was started.

For the IgE total, the mean average at the initial stage is significantly different to the mean average obtained at 6 months. It is also quite pronounced (without being statistically significant at 5%) between the average at the initial stage and at 4 months. The remaining comparisons are not at all significant (Fig. 6).

Figure 6.

Total IgE. The mean average at the initial stage is significantly different to the mean average obtained at 6 months. It is also quite pronounced (without being statistically significant at 5%) between the average at the initial stage and at 4 months. The remaining comparisons are not significant.

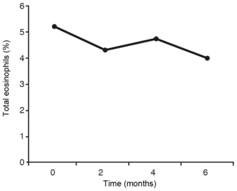
For the eosinophils (Fig. 7) the same statistical result is obtained as in IgE (Fig. 6). In the graph showing the inhaled corticosteroids (Fig. 8) we observe that the average of this variable is significantly different at the initial stage from the averages obtained at 2 months, 4 months and 6 months. The difference is also quite pronounced (without being statistically significant) between 2 months and 6 months, whilst no significant differences are observed between the rest of comparisons.

Figure 7.

Eosinophils. The mean average at the initial stage is significantly different to the mean average obtained at 6 months.

Figure 8.

Inhaled corticosteroids. We observe that the average of this variable is significantly different at the initial stage from the averages obtained at 2 months, 4 months and 6 months. The difference is also quite pronounced (without being statistically significant) between 2 months and 6 months, whilst no significant differences are observed between the rest of comparisons.

When we interpret the results, we can conclude that there is a noticeable improvement of the variables in the study as a whole. The use of the BI(G)MED protocol clearly improved the clinical symptoms and the biological parameters tested on one hand and on the other hand there is a significant reduction of the dose of inhaled corticosteroids in the long-term treatment of asthmatic patients that participated in this study. It is probably useful to specify here that no participant in the study followed oral corticosteroid therapy as a disease-modifying treatment of asthma, all used corticosteroids in inhaled form as basic treatment. In addition, only a few of them have exceptionally used oral corticosteroid therapy in the case of a particularly severe acute asthma crisis. For this reason, we have not introduced doses of oral corticosteroids as an evolutionary parameter in our study.

Discussion

The BI(G)MED can improve the evolution of chronic asthma and reduce the dose of corticosteroid treatment in asthmatic patients of long evolution. It even allows suppressing corticosteroids in some cases. Thus opening up new therapeutic possibilities, promoting self-regulation of immune-genetic mechanisms and restoring the homeostatic balance at genomic, proteomic and cellular levels. Furthermore, it becomes a new alternative for those patients who respond poorly to corticosteroid therapy, even at high doses.

The Bio Immune-regulatory ‘BI(G)MED’-formulas, so-called ‘BIMUREGs’, used in this study have managed to stabilize first, and thereafter to slow down and to stop the development and evolution of bronchial chronic asthmatic processes. Additionally, it improves other allergic manifestations. With, the added value that it has been proven to be a safe, innocuous and lacking in side effects nanotherapy.

And thanks to the therapeutic effects in line with the laws from quantum physics, hormesis and nanobiotechnology, it becomes possible to prevent some patients from the damaging effects that the long-term corticosteroid treatment for chronic asthma causes, and thereby open up new possibilities for a predictive, preventive and personalised medicine.

In conclusion, we can state that the BI(G)MED is actually a bio-medical nanotherapy approach of the highest order in the sense that it mimics nature in its most intimate essence, and our study demonstrates its efficacy in a disabling illness such as chronic bronchial asthma.

Acknowledgements

The author would like to thank Professor Maria Rosa Fenoll Brunet for her most appreciated contribution as regards to revising and formatting this manuscript, Josep Maria Mateo Sanz for developing the statistical analysis of this study and Monica Romero for all her matchless coordination work, so as all colleagues who have participated to this study by providing one or more cases-Linda Gryp, Monika Hartmann, Christian Hönemann, Stipe MALES, Beate Manderla, Martin Musch, Ernst Oelmann, Renate Quaißer, Andrea Roschlau, Ingeborg Spreng, Roland Ullrich, Ulrike van Campenhausen, Monika Wöstehoff, Gabriele Merkel, Christine Lang, Gerlinde Meyer, Ingrid Mayer, Rigoberto Lopez, Carme Pares Santillari, Horst Malsch. Dr. Gilbert Glady, main author of this manuscript and coordinator of the mentioned scientific study, is the president of the European Bio Immune(G)ene Medecine Association (https://translate.google.co.uk/translate?hl=en&sl=fr&u=http://www.ebma-europe.com/&prev=search).

Glossary

Abbreviations

Abbreviations:

BI(G)MED

Bio Immune(G)ene Medicine

EBMA

European Bio Immune(G)ene Medecine Association

References

1 

Mattes J, Collison A, Plank M, Phipps S and Foster PS: Antagonism of microRNA-126 suppresses the effector function of TH2 cells and the development of allergic airways disease. Proc Natl Acad Sci USA. 106:18704–18709. 2009. View Article : Google Scholar : PubMed/NCBI

2 

Stott B, Lavender P, Lehmann S, Pennino D, Durham S and Schmidt-Weber CB: Human IL-31 is induced by IL-4 and promotes TH2-driven inflammation. J Allergy Clin Immunol Aug. 132:446–454.e5. 2013. View Article : Google Scholar

3 

Nakajima H and Takatsu K: Role of cytokines in allergic airway inflammation. Int Arch Allergy Immunol. 142:265–273. 2007. View Article : Google Scholar : PubMed/NCBI

4 

Barrett NA and Austen KF: Innate cells and T helper 2 cell immunity in airway inflammation. Immunity. 31:425–437. 2009. View Article : Google Scholar : PubMed/NCBI

5 

Moreira AP, Cavassani KA, Ismailoglu UB, Hullinger R, Dunleavy MP, Knight DA, Kunkel SL, Uematsu S, Akira S and Hogaboam CM: The protective role of TLR6 in a mouse model of asthma is mediated by IL-23 and IL-17A. J Clin Invest. 121:4420–4432. 2011. View Article : Google Scholar : PubMed/NCBI

6 

Taft RJ, Pang KC, Mercer TR, Dinger M and Mattick JS: Non-coding RNAs: Regulators of disease. J Pathol. 220:126–139. 2010. View Article : Google Scholar : PubMed/NCBI

7 

Foster PS, Plank M, Collison A, Tay HL, Kaiko GE, Li J, Johnston SL, Hansbro PM, Kumar RK, Yang M and Mattes J: The emerging role of microRNAs in regulating immune and inflammatory responses in the lung. Immunol Rev. 253:198–215. 2013. View Article : Google Scholar : PubMed/NCBI

8 

Deshpande DA, Dileepan M, Walseth TF, Subramanian S and Kannan MS: MicroRNA regulation of airway inflammation and airway smooth muscle function: Relevance to asthma. Drug Dev Res. 76:286–295. 2015. View Article : Google Scholar : PubMed/NCBI

9 

Simpson LJ, Patel S, Bhakta NR, Choy DF, Brightbill HD, Ren X, Wang Y, Pua HH, Baumjohann D, Montoya MM, et al: A microRNA upregulated in asthma airway T cells promotes TH2 cytokine production. Nat Immunol Dec. 15:1162–1170. 2014. View Article : Google Scholar

10 

Brook PO, Perry MM, Adcock IM and Durham AL: Epigenome-modifying tools in asthma. Epigenomics. 7:1017–1032. 2015. View Article : Google Scholar : PubMed/NCBI

11 

Collison A, Herbert C, Siegle JS, Mattes J, Foster PS and Kumar RK: Altered expression of microRNA in the airway wall in chronic asthma: miR-126 as a potential therapeutic target. BMC Pulm Med. 11:292011. View Article : Google Scholar : PubMed/NCBI

12 

Collison A, Mattes J, Plank M and Foster PS: Inhibition of house dust mite-induced allergic airways disease by antagonism of microRNA-145 is comparable to glucocorticoid treatment. J Allergy Clin Immunol. 128:160–167. 2011. View Article : Google Scholar : PubMed/NCBI

13 

Li JJ, Tay HL, Maltby S, Xiang Y, Eyers F, Hatchwell L, Zhou H, Toop HD, Morris JC, Nair P, et al: MicroRNA-9 regulates steroid-resistant airway hyperresponsiveness by reducing protein phosphatase 2A activity. J Allergy Clin Immunol. 136:462–473. 2015. View Article : Google Scholar : PubMed/NCBI

14 

Calamita Z, Saconato H, Pelá AB and Atallah AN: Efficacy of sublingual immunotherapy in asthma: Systematic review of randomized-clinical trials using the cochrane collaboration method. Allergy. 61:1162–1172. 2006. View Article : Google Scholar : PubMed/NCBI

15 

Compalati E, Braido F and Canonica GW: An update on allergen immunotherapy and asthma. Curr Opin Pulm Med. 20:109–117. 2014. View Article : Google Scholar : PubMed/NCBI

16 

Moser S, Peroni DG, Comberiati P and Piacentini GL: Asthma and viruses: Is there a relationship? Front Biosci (Elite Ed). 6:46–54. 2014.PubMed/NCBI

17 

Metz G and Kraft M: Effects of atypical infections with Mycoplasma and Chlamydia on asthma. Immunol Allergy Clin North Am. 30(575–585): vii–viii. 2010.

18 

Kudo M, Ishigatsubo Y and Aoki I: Pathology of asthma. Front Microbiol. 4:2632013. View Article : Google Scholar : PubMed/NCBI

19 

Assa'ad AH and Rothenberg ME: Eosinophilic asthma: Insights into the effects of reducing IL-5 receptor-positive cell levels. J Allergy Clin Immunol. 132:1097–1085. 2013. View Article : Google Scholar : PubMed/NCBI

20 

Paliwal R, Babu RJ and Palakurthi S: Nanomedicine scale-up technologies: Feasibilities and challenges. AAPS PharmSciTech. 15:1527–1534. 2014. View Article : Google Scholar : PubMed/NCBI

21 

Chen LS, Wang AX, Dong B, Pu KF, Yuan LH and Zhu YM: A new prospect in cancer therapy: Targeting cancer stem cells to eradicate cancer. Chin J Cancer. 31:564–572. 2012. View Article : Google Scholar : PubMed/NCBI

22 

Winter JM and Tang Y: Synthetic biological approaches to natural product biosynthesis. Curr Opin Biotechnol. 23:736–743. 2012. View Article : Google Scholar : PubMed/NCBI

23 

Calabrese EJ: Hormesis is central to toxicology, pharmacology and risk assessment. Hum Exp Toxicol. 29:249–261. 2010. View Article : Google Scholar : PubMed/NCBI

24 

Calabrese EJ: The hormesis concept is the most fundamental dose-response in the biomedical and toxicological sciences. Br J Clin Pharmacol. 66:594–617. 2008.PubMed/NCBI

25 

Kirchner B, di Dio PJ and Hutter J: Real-world predictions from ab initio molecular dynamics simulations. Top Curr Chem. 307:109–153. 2012. View Article : Google Scholar : PubMed/NCBI

26 

Schrauwers A and Poolman B: Synthetische Biologie - Der Mensch als Schöpfer? Springer Spektrum; Heidelberg: 2013, View Article : Google Scholar

27 

Melo CA and Melo SA: Biogenesis and Physiology of MicroRNAsNon-Coding RNAs and Cancer. Fabbri M: Springer Science+Business Media, LLC; New York, NY: pp. 5–24. 2013

Related Articles

  • Abstract
  • View
  • Download
  • Twitter
Copy and paste a formatted citation
Spandidos Publications style
Glady G: Clinical efficacy of implementing Bio Immune(G)ene MEDicine in the treatment of chronic asthma with the objective of reducing or removing effectively corticosteroid therapy: A novel approach and promising results. Exp Ther Med 15: 5133-5140, 2018.
APA
Glady, G. (2018). Clinical efficacy of implementing Bio Immune(G)ene MEDicine in the treatment of chronic asthma with the objective of reducing or removing effectively corticosteroid therapy: A novel approach and promising results. Experimental and Therapeutic Medicine, 15, 5133-5140. https://doi.org/10.3892/etm.2018.6019
MLA
Glady, G."Clinical efficacy of implementing Bio Immune(G)ene MEDicine in the treatment of chronic asthma with the objective of reducing or removing effectively corticosteroid therapy: A novel approach and promising results". Experimental and Therapeutic Medicine 15.6 (2018): 5133-5140.
Chicago
Glady, G."Clinical efficacy of implementing Bio Immune(G)ene MEDicine in the treatment of chronic asthma with the objective of reducing or removing effectively corticosteroid therapy: A novel approach and promising results". Experimental and Therapeutic Medicine 15, no. 6 (2018): 5133-5140. https://doi.org/10.3892/etm.2018.6019
Copy and paste a formatted citation
x
Spandidos Publications style
Glady G: Clinical efficacy of implementing Bio Immune(G)ene MEDicine in the treatment of chronic asthma with the objective of reducing or removing effectively corticosteroid therapy: A novel approach and promising results. Exp Ther Med 15: 5133-5140, 2018.
APA
Glady, G. (2018). Clinical efficacy of implementing Bio Immune(G)ene MEDicine in the treatment of chronic asthma with the objective of reducing or removing effectively corticosteroid therapy: A novel approach and promising results. Experimental and Therapeutic Medicine, 15, 5133-5140. https://doi.org/10.3892/etm.2018.6019
MLA
Glady, G."Clinical efficacy of implementing Bio Immune(G)ene MEDicine in the treatment of chronic asthma with the objective of reducing or removing effectively corticosteroid therapy: A novel approach and promising results". Experimental and Therapeutic Medicine 15.6 (2018): 5133-5140.
Chicago
Glady, G."Clinical efficacy of implementing Bio Immune(G)ene MEDicine in the treatment of chronic asthma with the objective of reducing or removing effectively corticosteroid therapy: A novel approach and promising results". Experimental and Therapeutic Medicine 15, no. 6 (2018): 5133-5140. https://doi.org/10.3892/etm.2018.6019
Follow us
  • Twitter
  • LinkedIn
  • Facebook
About
  • Spandidos Publications
  • Careers
  • Cookie Policy
  • Privacy Policy
How can we help?
  • Help
  • Live Chat
  • Contact
  • Email to our Support Team