Spandidos Publications Logo
  • About
    • About Spandidos
    • Aims and Scopes
    • Abstracting and Indexing
    • Editorial Policies
    • Reprints and Permissions
    • Job Opportunities
    • Terms and Conditions
    • Contact
  • Journals
    • All Journals
    • Oncology Letters
      • Oncology Letters
      • Information for Authors
      • Editorial Policies
      • Editorial Board
      • Aims and Scope
      • Abstracting and Indexing
      • Bibliographic Information
      • Archive
    • International Journal of Oncology
      • International Journal of Oncology
      • Information for Authors
      • Editorial Policies
      • Editorial Board
      • Aims and Scope
      • Abstracting and Indexing
      • Bibliographic Information
      • Archive
    • Molecular and Clinical Oncology
      • Molecular and Clinical Oncology
      • Information for Authors
      • Editorial Policies
      • Editorial Board
      • Aims and Scope
      • Abstracting and Indexing
      • Bibliographic Information
      • Archive
    • Experimental and Therapeutic Medicine
      • Experimental and Therapeutic Medicine
      • Information for Authors
      • Editorial Policies
      • Editorial Board
      • Aims and Scope
      • Abstracting and Indexing
      • Bibliographic Information
      • Archive
    • International Journal of Molecular Medicine
      • International Journal of Molecular Medicine
      • Information for Authors
      • Editorial Policies
      • Editorial Board
      • Aims and Scope
      • Abstracting and Indexing
      • Bibliographic Information
      • Archive
    • Biomedical Reports
      • Biomedical Reports
      • Information for Authors
      • Editorial Policies
      • Editorial Board
      • Aims and Scope
      • Abstracting and Indexing
      • Bibliographic Information
      • Archive
    • Oncology Reports
      • Oncology Reports
      • Information for Authors
      • Editorial Policies
      • Editorial Board
      • Aims and Scope
      • Abstracting and Indexing
      • Bibliographic Information
      • Archive
    • Molecular Medicine Reports
      • Molecular Medicine Reports
      • Information for Authors
      • Editorial Policies
      • Editorial Board
      • Aims and Scope
      • Abstracting and Indexing
      • Bibliographic Information
      • Archive
    • World Academy of Sciences Journal
      • World Academy of Sciences Journal
      • Information for Authors
      • Editorial Policies
      • Editorial Board
      • Aims and Scope
      • Abstracting and Indexing
      • Bibliographic Information
      • Archive
    • International Journal of Functional Nutrition
      • International Journal of Functional Nutrition
      • Information for Authors
      • Editorial Policies
      • Editorial Board
      • Aims and Scope
      • Abstracting and Indexing
      • Bibliographic Information
      • Archive
    • International Journal of Epigenetics
      • International Journal of Epigenetics
      • Information for Authors
      • Editorial Policies
      • Editorial Board
      • Aims and Scope
      • Abstracting and Indexing
      • Bibliographic Information
      • Archive
    • Medicine International
      • Medicine International
      • Information for Authors
      • Editorial Policies
      • Editorial Board
      • Aims and Scope
      • Abstracting and Indexing
      • Bibliographic Information
      • Archive
  • Articles
  • Information
    • Information for Authors
    • Information for Reviewers
    • Information for Librarians
    • Information for Advertisers
    • Conferences
  • Language Editing
Spandidos Publications Logo
  • About
    • About Spandidos
    • Aims and Scopes
    • Abstracting and Indexing
    • Editorial Policies
    • Reprints and Permissions
    • Job Opportunities
    • Terms and Conditions
    • Contact
  • Journals
    • All Journals
    • Biomedical Reports
      • Information for Authors
      • Editorial Policies
      • Editorial Board
      • Aims and Scope
      • Abstracting and Indexing
      • Bibliographic Information
      • Archive
    • Experimental and Therapeutic Medicine
      • Information for Authors
      • Editorial Policies
      • Editorial Board
      • Aims and Scope
      • Abstracting and Indexing
      • Bibliographic Information
      • Archive
    • International Journal of Epigenetics
      • Information for Authors
      • Editorial Policies
      • Editorial Board
      • Aims and Scope
      • Abstracting and Indexing
      • Bibliographic Information
      • Archive
    • International Journal of Functional Nutrition
      • Information for Authors
      • Editorial Policies
      • Editorial Board
      • Aims and Scope
      • Abstracting and Indexing
      • Bibliographic Information
      • Archive
    • International Journal of Molecular Medicine
      • Information for Authors
      • Editorial Policies
      • Editorial Board
      • Aims and Scope
      • Abstracting and Indexing
      • Bibliographic Information
      • Archive
    • International Journal of Oncology
      • Information for Authors
      • Editorial Policies
      • Editorial Board
      • Aims and Scope
      • Abstracting and Indexing
      • Bibliographic Information
      • Archive
    • Medicine International
      • Information for Authors
      • Editorial Policies
      • Editorial Board
      • Aims and Scope
      • Abstracting and Indexing
      • Bibliographic Information
      • Archive
    • Molecular and Clinical Oncology
      • Information for Authors
      • Editorial Policies
      • Editorial Board
      • Aims and Scope
      • Abstracting and Indexing
      • Bibliographic Information
      • Archive
    • Molecular Medicine Reports
      • Information for Authors
      • Editorial Policies
      • Editorial Board
      • Aims and Scope
      • Abstracting and Indexing
      • Bibliographic Information
      • Archive
    • Oncology Letters
      • Information for Authors
      • Editorial Policies
      • Editorial Board
      • Aims and Scope
      • Abstracting and Indexing
      • Bibliographic Information
      • Archive
    • Oncology Reports
      • Information for Authors
      • Editorial Policies
      • Editorial Board
      • Aims and Scope
      • Abstracting and Indexing
      • Bibliographic Information
      • Archive
    • World Academy of Sciences Journal
      • Information for Authors
      • Editorial Policies
      • Editorial Board
      • Aims and Scope
      • Abstracting and Indexing
      • Bibliographic Information
      • Archive
  • Articles
  • Information
    • For Authors
    • For Reviewers
    • For Librarians
    • For Advertisers
    • Conferences
  • Language Editing
Login Register Submit
  • This site uses cookies
  • You can change your cookie settings at any time by following the instructions in our Cookie Policy. To find out more, you may read our Privacy Policy.

    I agree
Search articles by DOI, keyword, author or affiliation
Search
Advanced Search
presentation
Experimental and Therapeutic Medicine
Join Editorial Board Propose a Special Issue
Print ISSN: 1792-0981 Online ISSN: 1792-1015
Journal Cover
September-2018 Volume 16 Issue 3

Full Size Image

Sign up for eToc alerts
Recommend to Library

Journals

International Journal of Molecular Medicine

International Journal of Molecular Medicine

International Journal of Molecular Medicine is an international journal devoted to molecular mechanisms of human disease.

International Journal of Oncology

International Journal of Oncology

International Journal of Oncology is an international journal devoted to oncology research and cancer treatment.

Molecular Medicine Reports

Molecular Medicine Reports

Covers molecular medicine topics such as pharmacology, pathology, genetics, neuroscience, infectious diseases, molecular cardiology, and molecular surgery.

Oncology Reports

Oncology Reports

Oncology Reports is an international journal devoted to fundamental and applied research in Oncology.

Experimental and Therapeutic Medicine

Experimental and Therapeutic Medicine

Experimental and Therapeutic Medicine is an international journal devoted to laboratory and clinical medicine.

Oncology Letters

Oncology Letters

Oncology Letters is an international journal devoted to Experimental and Clinical Oncology.

Biomedical Reports

Biomedical Reports

Explores a wide range of biological and medical fields, including pharmacology, genetics, microbiology, neuroscience, and molecular cardiology.

Molecular and Clinical Oncology

Molecular and Clinical Oncology

International journal addressing all aspects of oncology research, from tumorigenesis and oncogenes to chemotherapy and metastasis.

World Academy of Sciences Journal

World Academy of Sciences Journal

Multidisciplinary open-access journal spanning biochemistry, genetics, neuroscience, environmental health, and synthetic biology.

International Journal of Functional Nutrition

International Journal of Functional Nutrition

Open-access journal combining biochemistry, pharmacology, immunology, and genetics to advance health through functional nutrition.

International Journal of Epigenetics

International Journal of Epigenetics

Publishes open-access research on using epigenetics to advance understanding and treatment of human disease.

Medicine International

Medicine International

An International Open Access Journal Devoted to General Medicine.

Journal Cover
September-2018 Volume 16 Issue 3

Full Size Image

Sign up for eToc alerts
Recommend to Library

  • Article
  • Citations
    • Cite This Article
    • Download Citation
    • Create Citation Alert
    • Remove Citation Alert
    • Cited By
  • Similar Articles
    • Related Articles (in Spandidos Publications)
    • Similar Articles (Google Scholar)
    • Similar Articles (PubMed)
  • Download PDF
  • Download XML
  • View XML
Article

Identification of a novel TCOF1 mutation in a Chinese family with Treacher Collins syndrome

  • Authors:
    • Zhiqiang Yan
    • Yu Lu
    • Yanfei Wang
    • Xiuju Zhang
    • Hong Duan
    • Jing Cheng
    • Huijun Yuan
    • Dongyi Han
  • View Affiliations / Copyright

    Affiliations: Department of Otolaryngology, Head and Neck Surgery, Chinese PLA General Hospital, Beijing 100853, P.R. China, Medical Genetics Center, First Affiliated Hospital, Army Medical University, Chongqing 400038, P.R. China
  • Pages: 2645-2650
    |
    Published online on: July 16, 2018
       https://doi.org/10.3892/etm.2018.6446
  • Expand metrics +
Metrics: Total Views: 0 (Spandidos Publications: | PMC Statistics: )
Metrics: Total PDF Downloads: 0 (Spandidos Publications: | PMC Statistics: )
Cited By (CrossRef): 0 citations Loading Articles...

This article is mentioned in:



Abstract

Treacher Collins syndrome (TCS) is a severe congenital disorder characterized by craniofacial malformations, including cleft palate, hypoplasia of the facial bones, downward slanting of the palpebral fissures and malformation of the external and middle ear. Worldwide, 90% of cases of TCS are caused by mutations in the TCOF1 gene, which are inherited via an autosomal dominant pattern, while <2% cases are caused by POLR1D and POLR1C genes, which are inherited via autosomal dominant and autosomal recessive patterns, respectively. The present study describes the clinical findings and molecular diagnostics of a Chinese family with TCS. TCS was diagnosed in a 9‑year‑old female Chinese proband and her mother, while no craniofacial abnormalities were apparent in other family members. Exons of the TCOF1 gene and segregation analysis were used to examine causative mutations using the Sanger sequencing approach. A single novel heterozygous mutation in TCOF1 exon 3 splicing site c.165‑1G>A was detected in the proband. Furthermore, the same mutation was identified in her mother, but not in other family members. These results suggest that c.165‑1G>A is a novel heterozygous mutation of the TCOF1 gene that caused the development of TCS in the proband and her mother. The TCOF1 mutation that was identified in proband was inherited from her mother and so can be considered as de novo mutation.

Introduction

Treacher Collins syndrome (TCS) is a severe congenital disorder characterized by craniofacial malformation that occurs in 1 out of 50,000 live births (1–4). The condition was first described by Thompson in 1846, however TCS was named after E. Treacher Collins, who described the essential components of the condition in 1900 (5). The first extensive review of the condition was performed by Franceschetti and Klein in 1949, who used the term mandibulofacial dysostosis (MFD) to describe relative clinical features (6–8). The major characteristics of TCS include cleft palate, hypoplasia of the facial bones, the mandible and zygomatic complex, downward slanting of the palpebral fissures and malformation of the external and middle ear (9–12). Patients affected by TCS require management strategies or treatment plans for hearing, respiration, a variety of malformations, bad overall quality of life and mental health, which describes a great burden to individuals, families and society (13).

TCOF1 mutations occur in >90% of cases of TCS and are inherited via an autosomal dominant pattern (12). Over the past decade, two additional gene mutations have been reported in <2% of TCS patients: POLR1D, which is autosomal dominant, and POLR1C, which is inherited via autosomal recessive pattern (14–17). Furthermore, >60% of patients with TCS have no previous family history of the disease and TCS arises as the result of de novo mutations (6,17). Affected individuals may transmit the defect to each child with a 50% probability according to Mendelian laws of genetics, which emphasizes the importance of genetic counseling to affected individuals (5). In the present study, the clinical findings and molecular diagnosis of a Chinese family with TCS are reported.

Materials and methods

Patients

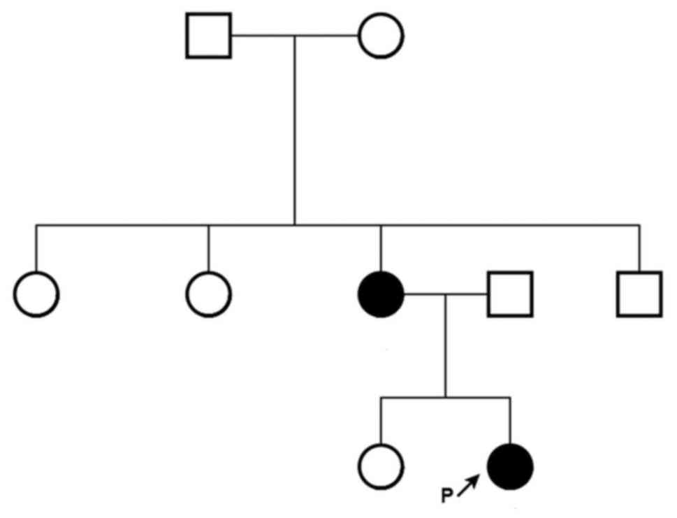
A 9-year-old Chinese girl (the proband; Fig. 1) and her 40-year-old mother (Fig. 2) from Jiangsu, China, were diagnosed with TCS based on a physical examination in December 2013 at the Department of Otolaryngology Head and Neck Surgery, Chinese PLA 97th Hospital (Beijing, China). No craniofacial abnormalities were apparent in the proband's father, sister or maternal grandfather, grandmother, aunts or uncle.

Figure 1.

(A) Facial and (B) ear malformations observed in the proband. Microtia, narrowed nasal cavity, downward slanting of the eyelids, hypoplasia of the zygomatic bone, mandibular hypoplasia and coloboma with eyelashes absent in the medial part of the eyelids were observed.

Figure 2.

Facial features of the mother. Narrowed nasal cavity, downward slanting of the eyelids, hypoplasia of the zygomatic bone, mandibular hypoplasia and coloboma with eyelashes absent in the medial part of the eyelids were observed.

Based on the physical examination of the proband, the following clinical features were observed: Conductive hearing loss, microtia, hypoplasia of the middle ear with concomitant atresia of the external auditory canal, narrow nasal cavity, soft palate drooping downward, downward slanting of the eyelids, hypoplasia of the zygomatic bone, mandibular hypoplasia, coloboma with eyelashes absent in the medial part of the eyelids and funnel chest. Similar features, but with a lower level of clinical severity, assessed by slight deformity, including mandibular and zygomatic hypoplasia; partial absence of lower eyelashes; and coloboma of the lower lateral eyelid, were detected in her mother. In addition, the proband and her mother used hearing aids and were undergoing speech therapy. The family pedigree is presented in Fig. 3.

Figure 3.

Family pedigree. Squares indicate males, circles indicate females. Black shading indicates a patient with Treacher Collins syndrome.

The present study was approved by the General Hospital of PLA Clinical Human Research Ethics Committee (Beijing, China). All participants provided written informed consent and all procedures complied with the Declaration of Helsinki.

Sanger sequencing

Following the physical examination, peripheral blood samples (3–5 ml) were collected from the elbow vein of the subjects, including the proband and the sister, father, mother, maternal grandfather and maternal grandmother. Blood samples were stored at 4°C for DNA extraction within 3 days or at −80°C for a longer storage times. DNA was extracted from peripheral blood samples using the AxyPrep DNA blood Midi kit (Axygen; Corning Incorporated, Corning, NY, USA) according to the manufacturer's protocol. All TCOF1 exons were sequenced to identify the causative mutation in the proband. A total of 27 exons of TCOF1 were amplified using polymerase chain reaction (PCR) under optimal conditions. Specific primers were designed using Primer3-v.0.4.0 online software (http://bioinfo.ut.ee/) (Table I).

Table I.

Self-designed primers used for TCOF1 gene amplification and sequencing.

Table I.

Self-designed primers used for TCOF1 gene amplification and sequencing.

ExonDirectionSequence (5′-3′)Length (bp)
1Forward GAAAGAGGAGCCGGAAGTGT397
Reverse ACTGAAGTCGCAGTGGGAAG
2Forward CCTCTTCTGAACCACCTGTCTA233
Reverse CTTATTCCAAGCTGAGTTGCTT
3Forward TGCCTATACTGTGTTTTCACCA392
Reverse CCCAGGGTCTTTTAGGTCTTCT
4Forward ACAGAGCTCATTCCTGCAAGTC381
Reverse TAAGATCCCACAACTGGTGACA
5Forward TTGAAGGGGTAGTTTACCCAAA275
Reverse CCCTCGTCTAGGTGATGAGAAA
6Forward CTTTGATGAGCAGCTGGTTT228
Reverse AGGTTCCTGGAAGGGTTAGAG
6AForward AAGCCTTGTGTACTTTTCTGGA486
Reverse AGAGGTGCTCATGGCAGAGT
7Forward GTGTGGCCAAAGTATCAGTCAA497
Reverse ACACAGTGAGAGGGGAGTAAGG
8Forward GGACTTGTTCTCCCACTCTGG500
Reverse GAAACAGGATGAGGGGAGAG
9Forward GAATCGGACAGTGAGGAGGAG455
Reverse GGAAAAGTCAAAACCACAGGAG
10Forward CCTGTGGTTTTGACTTTTCCTC500
Reverse GAGATACACAGGATCGGGAGAG
11Forward ACCTCACACTGGGACTCTGTCT480
Reverse GGAATTTTCAGAGCTGGTTTTG
12Forward ATGGACAACTCGGAGAGCAG587
Reverse GACAAGGGGAAGAGAGGTGTC
13Forward GTGAGGCCTGTGTTTTCTGG400
Reverse CTGAGGCTTCTGCACACCTG
14Forward CTCAGGTTCACACGCCTATTG399
Reverse CCCCACTATGGCACAACTCT
15Forward GGTAGAGAGGAGGACCAGTCAC485
Reverse AGCTCTGATCTGGTGGGTCTT
16Forward TAACACCTTTGCCACATCCA388
Reverse GCCTCCCAAAGTGCTAGGAT
16AForward CCGACCACGTGCTTATCC246
Reverse ATGGCGAGATTTTCCCTATG
17Forward GTGGACCCTTTGCCTTGTAA373
Reverse ACTCAGCCAGTGTCCTGTCC
18Forward GCTCTAGATCACCAGCACAGG393
Reverse TAGGAGGCCAGAAAGCCTCT
19Forward CAGTTTTGCCCCTTTGACTG359
Reverse CAAACCAAGTGCAGAGGTCA
20Forward CATGTGTGCCCCATCTAACA474
Reverse TACAGGTGGGGAAACTGAGG
21Forward GTGAGGGACCTGCAGAGAGA270
Reverse CTGAGGGATCGGGTAGACAG
22Forward AGGGCAGGGTGATCCTAGAG298
Reverse CTGTTTTAGGGGACAACATGC
23Forward ATTGGTGGAAAGGTGTGAGC837
Reverse AGGAATGAGACCAGGTGCTG
24Forward CTGGGATTGCAGGAATGAAC398
Reverse GGTGTGTCACAACCCCTGAC
25Forward CGCTGCAGACCCAGTATCTA250
Reverse TCAGGTCTGCCTGGCTCTCT

PCR amplification was performed in a 25 µl reaction volume using the Taq PCR Master mix (Biomed Gene Technology Co., Ltd., Beijing, China) according to the manufacturer's protocol. Thermocycling conditions were as follows: Denaturation at 95°C for 5 min followed by 14 cycles of 95°C for 30 sec, annealing at 60°C for 30 sec and extension at 72°C for 45 sec, followed by 21 cycles at 95°C for 30 sec, annealing at 56°C for 30 sec and extension at 72°C for 45 sec. The reaction was completed with a final extension step at 72°C for 7 min. PCR products were purified and sequenced. Sequencing was performed according to the manufacture's protocol using an ABI PRISM Big Dye Terminator v3.1 Cycle Sequencing-ready Reaction kit (Applied Biosystems; Thermo Fisher Scientific, Inc., Waltham, MA, USA) with an ABI 3130 Genetic analyzer (Applied Biosystems; Thermo Fisher Scientific, Inc.).

Mutational analysis

Sanger sequencing reads were mapped to a human genome reference sequence (hg19; University of California, Santa Cruz, CA, USA) using the Mutation Surveyor (v.5.0.2; SoftGenetics, LLC, State College, PA, USA). Consequently, the frequency of each variant was obtained from dbSNP database (version 132, http://www.ncbi.nlm.nih.gov/snp/); all variants with a frequency >1% were filtered. Finally, the possible causative variants were predicted using the combined annotation dependent depletion tool (http://cadd.gs.washington.edu/) for missense variants. To validate candidate mutations, phenotype-genotype co-segregation analysis was performed in family members, including the proband and the sister, father, mother, maternal grandfather and maternal grandmother, using the Sanger sequencing results (Figs. 3 and 4).

Figure 4.

Pedigree and sequence analysis of TCOF1 mutations in (A) P and her (B) mother, (C) father, (D) sister, (E) grandfather and (F) grandmother. The results of Sanger sequencing demonstrate heterozygous mutations in P and her mother. P, proband.

Results

Clinical features

Prominent TCS features were observed in the proband (Fig. 1). Furthermore, similar features with lower clinical severity were observed in her mother, including conductive hearing loss and deformities in face and ear (Fig. 2).

Sequencing and diagnosis

One novel heterozygous mutation was identified in the TCOF1 exon 3 splicing site c.165-1G>A (Fig. 4) of the proband and her mother. Furthermore, segregation analysis confirmed the co-segregation of this TCOF1 exon 3 coding region mutation (Fig. 4). No apparent craniofacial abnormalities were observed in the other family members assessed. In addition, their hearing was normal and there were no changes in this coding region post-sequencing (Fig. 4).

Discussion

TCS is associated with autosomal dominant mutations in the TCOF1 gene, which is located on chromosome 5q32-q33 (6,10,18). TCOF1 encodes a 144 kDa nucleolar phosphoprotein, Treacle, which serves a role in ribosomal DNA gene transcription via interacting with upstream binding factors and RNA polymerase I in the nucleolus (2). TCOF1 is broadly expressed throughout the embryo, with particularly strong activity in the neuroepithelium where it serves an essential role in cell survival (2,11,19). Treacle participates in ribosome biogenesis by controlling preribosomal (pre-r)RNA synthesis or by pre-rRNA processing (8,12). Dixon et al (11) suggested that general cranio skeletal hypoplasia observed in individuals with TCS is caused by a deficiency in neural crest cells, rather than neural crest cell migration defect. TCOF1/treacle is essential for neural crest cell formation, neuroepithelial survival and neural crest cell proliferation (11,20). However, the biological role of Treacle remains to be fully elucidated.

It was previously believed that the TCOF1 gene included 25 exons, 49–561 bp in length (21). In 2004, two additional exons were discovered by So et al (22): 6A, 231 bp, situated between exons 6 and 7; and 16A, 108 bp, localized between exons 16 and 17 (21). Pathogenic mutations in the TCOF1 gene are spread throughout its coding region and typically comprise point mutations or small frame shift deletions and insertions, the majority of which are family-specific (23). The existence of mutational hot spots in TCOF1 has been suggested, indicating that exons 23 and 24 are responsible for ~1/3 of all known pathogenic changes (23). The majority of mutations responsible for TCS are localized in exons, mainly in the hot spots of exons 10, 15, 16, 23 and 24 (21,24). The TCOF1 gene mutations include missense, nonsense, small deletions and duplications. The most common classes of TCOF1 alleles are small deletions (60%) and duplications (25%), resulting in frame shift (17).

Multiple exons have been identified within the TCOF1 gene and different splicing patterns result in several variants of the mutant gene. So far, >200 mutations have been identified (2). Combined analysis of the variants and clinical features has not revealed a clear association between genotype and phenotype (2). Spontaneous mutations can occur first in the proband or be inherited from a parent. There is no gender predilection and mutations can be splice site, nonsense or deletion variants. All mutations lead to the insertion of a premature termination codon (2,17,25).

In the present study, the proband was diagnosed based on physical examination; and TCS was subsequently confirmed using molecular analysis. Briefly, one novel heterozygous mutation in the TCOF1 gene was identified. To the best of our knowledge, this mutation has not previously been reported in TCS. The Deafness Variation Database (http://deafnessvariationdatabase.org) and Exome Aggregation Consortium (http://exac.broadinstitute.org) databases were also searched and the mutation was not listed. As such, the mutation described in the present study, chr5:149743675:G>A; NM_000356.3:c.165-1G>A, appears to be a novel TCOF1 mutation. The mutation is localized in exon 3 of the TCOF1 gene and is a splice site mutation that can lead to exon 3 being skipped in the matured mRNA. This results in the formation of a truncated TCOF1 protein with loss of function.

The phenotypic variability observed in TCS makes diagnosis challenging. Although there is no clear explanation yet, genotype and phenotype discordance have been suggested by some studies. In some individuals, phenotypic expression of TCS is so mild that it is near impossible to diagnose based on physical examination alone (26). In contrast, some patients may succumb to respiratory distress soon after birth due to the severity of TCS symptoms (26). More than 60% of patients with TCS have no positive family history and the condition is thought to arise from de novo mutations (5). At present, the reason for the differences in TCS presentation remains unknown. The wide variation in symptoms has been attributed to modifier genes, epigenetic factors and the role of wild-type alleles (26–28). Some studies have demonstrated that patient phenotype is not dependent on the type or localization of the mutation responsible (21,23). Identical mutations in the same family may cause variable expressivity in different individuals, variable expressivity of TCOF1 mutations may not be a consequence of mutational heterogeneity and phenotypic expression of this disorder may be modified by combined effect of genetic, environmental and stochastic factors, while there are indications of increased severity over generations phenotypic expression can not modified by the gender of the parent (29,30). In the present study, with the exception of her mother, the proband's family did not have any features of TCS and no mutations were identified in the same region. Since the novel TCOF1 gene mutation was detected in the same region in the mother as in the proband, it follows that this mutation initially occurred in the mother and was inherited by the proband with increased severity.

In conclusion, in the present study a novel pathogenic mutation of the TCOF1 gene was identified in a proband with TCS and her mother. The results suggest that this mutation could be passed on to the next generation in an autosomal dominant manner. As a result, the progeny of the proband and her mother have a 50% risk of suffering from TCS and therefore require genetic counseling.

Acknowledgements

Not applicable.

Funding

The present study was supported by the National Natural Science foundation of China (grant no. 81030017).

Availability of data and materials

All data generated or analyzed during this study are included in this published article.

Authors' contributions

HY and DH contributed to the conception and design of the study. ZY, YL, YW, XZ, HD, JC performed the experiments. ZY and YL analyzed the data. ZY prepared the manuscript. All authors read and approved the final version of the manuscript.

Ethics approval and consent to participate

The present study was approved by the General Hospital of PLA Clinical Human Research Ethics Committee (Beijing, China). All participants provided written informed consent.

Patient consent for publications

All participants provided written informed consent.

Competing interests

The authors declare that they have no competing interests.

Glossary

Abbreviations

Abbreviations:

MD

mandibulofacial dysostosis

TCS

Treacher Collins syndrome

References

1 

Rosa F, Coutinho MB, Ferreira JP and Sousa CA: Ear malformations, hearing loss and hearing rehabilitation in children with Treacher Collins syndrome. Acta Otorrinolaringol Esp. 67:142–147. 2016.(In English, Spanish). View Article : Google Scholar : PubMed/NCBI

2 

Sakai D, Dixon J, Achilleos A, Dixon M and Trainor PA: Prevention of Treacher Collins syndrome craniofacial anomalies in mouse models via maternal antioxidant supplementation. Nat Commun. 7:103282016. View Article : Google Scholar : PubMed/NCBI

3 

Luquetti DV, Hing AV, Rieder MJ, Nickerson DA, Turner EH, Smith J, Park S and Cunningham ML: ‘Mandibulofacial dysostosis with microcephaly’ caused by EFTUD2 mutations: Expanding the phenotype. Am J Med Genet A. 161A:1–113. 2013.PubMed/NCBI

4 

Vincent M, Collet C, Verloes A, Lambert L, Herlin C, Blanchet C, Sanchez E, Drunat S, Vigneron J, Laplanche JL, et al: Large deletions encompassing the TCOF1 and CAMK2A genes are responsible for Treacher Collins syndrome with intellectual disability. Eur J Hum Genet. 22:52–56. 2014. View Article : Google Scholar : PubMed/NCBI

5 

Mohan RP, Verma S, Agarwal N and Singh U: Treacher Collins syndrome: A case report. BMJ Case Rep 2013. pii:bcr2013009341. 2013.

6 

Sakai D and Trainor PA: Treacher Collins syndrome: Unmasking the role of Tcof1/treacle. Int J Biochem Cell Biol. 41:1229–1232. 2009. View Article : Google Scholar : PubMed/NCBI

7 

Mehrotra D, Hasan M, Pandey R and Kumar S: Clinical spectrum of Treacher Collins syndrome. J Oral Biol Craniofac Res. 1:36–40. 2011. View Article : Google Scholar : PubMed/NCBI

8 

Renju R, Varma BR, Kumar SJ and Kumaran P: Mandibulofacial dysostosis (Treacher Collins syndrome): A case report and review of literature. Contemp Clin Dent. 5:532–534. 2014. View Article : Google Scholar : PubMed/NCBI

9 

Shetty SB, Thomas A and Pidamale R: Treacher Collins syndrome: A case report and a brief review on diagnostic aids. Int J Clin Pediatr Dent. 4:235–239. 2011. View Article : Google Scholar : PubMed/NCBI

10 

Andrade EC, Junior VS, Didoni AL, Freitas PZ, Carneiro AF and Yoshimoto FR: Treacher Collins Syndrome with choanal atresia: A case report and review of disease features. Braz J Otorhinolaryngol. 71:107–110. 2005. View Article : Google Scholar : PubMed/NCBI

11 

Dixon J, Edwards SJ, Anderson I, Brass A, Scambler PJ and Dixon MJ: Identification of the complete coding sequence and genomic organization of the Treacher Collins syndrome gene. Genome Res. 7:223–234. 1997. View Article : Google Scholar : PubMed/NCBI

12 

Weiner AM, Scampoli NL and Calcaterra NB: Fishing the molecular bases of Treacher Collins syndrome. PLoS One. 7:e295742012. View Article : Google Scholar : PubMed/NCBI

13 

Geirdal AØ, Saltnes SS, Storhaug K, Åsten P, Nordgarden H and Jensen JL: Living with orofacial conditions: Psychological distress and quality of life in adults affected with Treacher Collins syndrome, cherubism, or oligodontia/ectodermal dysplasia-a comparative study. Qual Life Res. 24:927–35. 2015. View Article : Google Scholar : PubMed/NCBI

14 

Schaefer E, Collet C, Genevieve D, Vincent M, Lohmann DR, Sanchez E, Bolender C, Eliot MM, Nürnberg G, Passos-Bueno MR, et al: Autosomal recessive POLR1D mutation with decrease of TCOF1 mRNA is responsible for Treacher Collins syndrome. Genet Med. 16:720–724. 2014. View Article : Google Scholar : PubMed/NCBI

15 

Weaver KN, Watt KE, Hufnagel RB, Navajas Acedo J, Linscott LL, Sund KL, Bender PL, König R, Lourenco CM, Hehr U, et al: Acrofacial dysostosis, Cincinnati type, a mandibulofacial dysostosis syndrome with limb anomalies, is caused by POLR1A dysfunction. Am J Hum Genet. 96:765–774. 2015. View Article : Google Scholar : PubMed/NCBI

16 

Noack Watt KE, Achilleos A, Neben CL, Merrill AE and Trainor PA: The roles of RNA polymerase I and III subunits Polr1c and Polr1d in craniofacial development and in Zebrafish models of Treacher Collins syndrome. PLoS Genet. 12:e10061872016. View Article : Google Scholar : PubMed/NCBI

17 

Conte C, D'Apice MR, Rinaldi F, Gambardella S, Sangiuolo F and Novelli G: Novel mutations of TCOF1 gene in European patients with Treacher Collins syndrome. BMC Med Genet. 12:1252011. View Article : Google Scholar : PubMed/NCBI

18 

Positional cloning of a gene involved in the pathogenesis of Treacher Collins syndrome, : The Treacher Collins syndrome collaborative group. Nat Genet. 12:130–136. 1996.PubMed/NCBI

19 

Chang CC and Steinbacher DM: Treacher Collins syndrome. Semin Plast Surg. 26:83–90. 2012. View Article : Google Scholar : PubMed/NCBI

20 

Dixon J, Jones NC, Sandell LL, Jayasinghe SM, Crane J, Rey JP, Dixon MJ and Trainor PA: Tcof1/Treacle is required for neural crest cell formation and proliferation deficiencies that cause craniofacial abnormalities. Proc Natl Acad Sci USA. 103:13403–13408. 2006. View Article : Google Scholar : PubMed/NCBI

21 

Marszalek-Kruk BA, Wojcicki P, Smigiel R and Trzeciak WH: Novel insertion in exon 5 of the TCOF1 gene in twin sisters with Treacher Collins syndrome. J Appl Genet. 53:279–282. 2012. View Article : Google Scholar : PubMed/NCBI

22 

So RB, Gonzales B, Henning D, Dixon J, Dixon MJ and Valdez BC: Another face of the Treacher Collins syndrome (TCOF1) gene: Identification of additional exons. Gene. 328:49–57. 2004. View Article : Google Scholar : PubMed/NCBI

23 

Splendore A, Jabs EW, Felix TM and Passos-Bueno MR: Parental origin of mutations in sporadic cases of Treacher Collins syndrome. Eur J Hum Genet. 11:718–722. 2003. View Article : Google Scholar : PubMed/NCBI

24 

Splendore A, Silva EO, Alonso LG, Richieri-Costa A, Alonso N, Rosa A, Carakushanky G, Cavalcanti DP, Brunoni D and Passos-Bueno MR: High mutation detection rate in TCOF1 among Treacher Collins syndrome patients reveals clustering of mutations and 16 novel pathogenic changes. Hum Mutat. 16:315–322. 2000. View Article : Google Scholar : PubMed/NCBI

25 

Trainor PA: Craniofacial birth defects: The role of neural crest cells in the etiology and pathogenesis of Treacher Collins syndrome and the potential for prevention. Am J Med Genet A. 152A:1–2994. 2010. View Article : Google Scholar : PubMed/NCBI

26 

Ulusal S, Gurkan H, Vatansever U, Kurkcu K, Tozkir H and Acunas B: A case of Treacher Collins syndrome. Balkan J Med Genet. 16:77–80. 2013. View Article : Google Scholar : PubMed/NCBI

27 

Horiuchi K, Ariga T, Fujioka H, Kawashima K, Yamamoto Y, Igawa H, Sugihara T and Sakiyama Y: Mutational analysis of the TCOF1 gene in 11 Japanese patients with Treacher Collins Syndrome and mechanism of mutagenesis. Am J Med Genet A. 134:363–367. 2005. View Article : Google Scholar : PubMed/NCBI

28 

Schlump JU, Stein A, Hehr U, Karen T, Möller-Hartmann C, Elcioglu NH, Bogdanova N, Woike HF, Lohmann DR, Felderhoff-Mueser U, et al: Treacher Collins syndrome: Clinical implications for the paediatrician-a new mutation in a severely affected newborn and comparison with three further patients with the same mutation, and review of the literature. Eur J Pediatr. 171:1611–1618. 2012. View Article : Google Scholar : PubMed/NCBI

29 

Geirdal AO, Saltnes SS, Storhaug K, Asten P, Nordgarden H and Jensen JL: Living with orofacial conditions: Psychological distress and quality of life in adults affected with Treacher Collins syndrome, cherubism, or oligodontia/ectodermal dysplasia-a comparative study. Qual Life Res. 24:927–935. 2015. View Article : Google Scholar : PubMed/NCBI

30 

Teber OA, Gillessen-Kaesbach G, Fischer S, Böhringer S, Albrecht B, Albert A, Arslan-Kirchner M, Haan E, Hagedorn-Greiwe M, Hammans C, et al: Genotyping in 46 patients with tentative diagnosis of Treacher Collins syndrome revealed unexpected phenotypic variation. Eur J Hum Genet. 12:879–890. 2004. View Article : Google Scholar : PubMed/NCBI

Related Articles

  • Abstract
  • View
  • Download
  • Twitter
Copy and paste a formatted citation
Spandidos Publications style
Yan Z, Lu Y, Wang Y, Zhang X, Duan H, Cheng J, Yuan H and Han D: Identification of a novel TCOF1 mutation in a Chinese family with Treacher Collins syndrome. Exp Ther Med 16: 2645-2650, 2018.
APA
Yan, Z., Lu, Y., Wang, Y., Zhang, X., Duan, H., Cheng, J. ... Han, D. (2018). Identification of a novel TCOF1 mutation in a Chinese family with Treacher Collins syndrome. Experimental and Therapeutic Medicine, 16, 2645-2650. https://doi.org/10.3892/etm.2018.6446
MLA
Yan, Z., Lu, Y., Wang, Y., Zhang, X., Duan, H., Cheng, J., Yuan, H., Han, D."Identification of a novel TCOF1 mutation in a Chinese family with Treacher Collins syndrome". Experimental and Therapeutic Medicine 16.3 (2018): 2645-2650.
Chicago
Yan, Z., Lu, Y., Wang, Y., Zhang, X., Duan, H., Cheng, J., Yuan, H., Han, D."Identification of a novel TCOF1 mutation in a Chinese family with Treacher Collins syndrome". Experimental and Therapeutic Medicine 16, no. 3 (2018): 2645-2650. https://doi.org/10.3892/etm.2018.6446
Copy and paste a formatted citation
x
Spandidos Publications style
Yan Z, Lu Y, Wang Y, Zhang X, Duan H, Cheng J, Yuan H and Han D: Identification of a novel TCOF1 mutation in a Chinese family with Treacher Collins syndrome. Exp Ther Med 16: 2645-2650, 2018.
APA
Yan, Z., Lu, Y., Wang, Y., Zhang, X., Duan, H., Cheng, J. ... Han, D. (2018). Identification of a novel TCOF1 mutation in a Chinese family with Treacher Collins syndrome. Experimental and Therapeutic Medicine, 16, 2645-2650. https://doi.org/10.3892/etm.2018.6446
MLA
Yan, Z., Lu, Y., Wang, Y., Zhang, X., Duan, H., Cheng, J., Yuan, H., Han, D."Identification of a novel TCOF1 mutation in a Chinese family with Treacher Collins syndrome". Experimental and Therapeutic Medicine 16.3 (2018): 2645-2650.
Chicago
Yan, Z., Lu, Y., Wang, Y., Zhang, X., Duan, H., Cheng, J., Yuan, H., Han, D."Identification of a novel TCOF1 mutation in a Chinese family with Treacher Collins syndrome". Experimental and Therapeutic Medicine 16, no. 3 (2018): 2645-2650. https://doi.org/10.3892/etm.2018.6446
Follow us
  • Twitter
  • LinkedIn
  • Facebook
About
  • Spandidos Publications
  • Careers
  • Cookie Policy
  • Privacy Policy
How can we help?
  • Help
  • Live Chat
  • Contact
  • Email to our Support Team