Spandidos Publications Logo
  • About
    • About Spandidos
    • Aims and Scopes
    • Abstracting and Indexing
    • Editorial Policies
    • Reprints and Permissions
    • Job Opportunities
    • Terms and Conditions
    • Contact
  • Journals
    • All Journals
    • Oncology Letters
      • Oncology Letters
      • Information for Authors
      • Editorial Policies
      • Editorial Board
      • Aims and Scope
      • Abstracting and Indexing
      • Bibliographic Information
      • Archive
    • International Journal of Oncology
      • International Journal of Oncology
      • Information for Authors
      • Editorial Policies
      • Editorial Board
      • Aims and Scope
      • Abstracting and Indexing
      • Bibliographic Information
      • Archive
    • Molecular and Clinical Oncology
      • Molecular and Clinical Oncology
      • Information for Authors
      • Editorial Policies
      • Editorial Board
      • Aims and Scope
      • Abstracting and Indexing
      • Bibliographic Information
      • Archive
    • Experimental and Therapeutic Medicine
      • Experimental and Therapeutic Medicine
      • Information for Authors
      • Editorial Policies
      • Editorial Board
      • Aims and Scope
      • Abstracting and Indexing
      • Bibliographic Information
      • Archive
    • International Journal of Molecular Medicine
      • International Journal of Molecular Medicine
      • Information for Authors
      • Editorial Policies
      • Editorial Board
      • Aims and Scope
      • Abstracting and Indexing
      • Bibliographic Information
      • Archive
    • Biomedical Reports
      • Biomedical Reports
      • Information for Authors
      • Editorial Policies
      • Editorial Board
      • Aims and Scope
      • Abstracting and Indexing
      • Bibliographic Information
      • Archive
    • Oncology Reports
      • Oncology Reports
      • Information for Authors
      • Editorial Policies
      • Editorial Board
      • Aims and Scope
      • Abstracting and Indexing
      • Bibliographic Information
      • Archive
    • Molecular Medicine Reports
      • Molecular Medicine Reports
      • Information for Authors
      • Editorial Policies
      • Editorial Board
      • Aims and Scope
      • Abstracting and Indexing
      • Bibliographic Information
      • Archive
    • World Academy of Sciences Journal
      • World Academy of Sciences Journal
      • Information for Authors
      • Editorial Policies
      • Editorial Board
      • Aims and Scope
      • Abstracting and Indexing
      • Bibliographic Information
      • Archive
    • International Journal of Functional Nutrition
      • International Journal of Functional Nutrition
      • Information for Authors
      • Editorial Policies
      • Editorial Board
      • Aims and Scope
      • Abstracting and Indexing
      • Bibliographic Information
      • Archive
    • International Journal of Epigenetics
      • International Journal of Epigenetics
      • Information for Authors
      • Editorial Policies
      • Editorial Board
      • Aims and Scope
      • Abstracting and Indexing
      • Bibliographic Information
      • Archive
    • Medicine International
      • Medicine International
      • Information for Authors
      • Editorial Policies
      • Editorial Board
      • Aims and Scope
      • Abstracting and Indexing
      • Bibliographic Information
      • Archive
  • Articles
  • Information
    • Information for Authors
    • Information for Reviewers
    • Information for Librarians
    • Information for Advertisers
    • Conferences
  • Language Editing
Spandidos Publications Logo
  • About
    • About Spandidos
    • Aims and Scopes
    • Abstracting and Indexing
    • Editorial Policies
    • Reprints and Permissions
    • Job Opportunities
    • Terms and Conditions
    • Contact
  • Journals
    • All Journals
    • Biomedical Reports
      • Information for Authors
      • Editorial Policies
      • Editorial Board
      • Aims and Scope
      • Abstracting and Indexing
      • Bibliographic Information
      • Archive
    • Experimental and Therapeutic Medicine
      • Information for Authors
      • Editorial Policies
      • Editorial Board
      • Aims and Scope
      • Abstracting and Indexing
      • Bibliographic Information
      • Archive
    • International Journal of Epigenetics
      • Information for Authors
      • Editorial Policies
      • Editorial Board
      • Aims and Scope
      • Abstracting and Indexing
      • Bibliographic Information
      • Archive
    • International Journal of Functional Nutrition
      • Information for Authors
      • Editorial Policies
      • Editorial Board
      • Aims and Scope
      • Abstracting and Indexing
      • Bibliographic Information
      • Archive
    • International Journal of Molecular Medicine
      • Information for Authors
      • Editorial Policies
      • Editorial Board
      • Aims and Scope
      • Abstracting and Indexing
      • Bibliographic Information
      • Archive
    • International Journal of Oncology
      • Information for Authors
      • Editorial Policies
      • Editorial Board
      • Aims and Scope
      • Abstracting and Indexing
      • Bibliographic Information
      • Archive
    • Medicine International
      • Information for Authors
      • Editorial Policies
      • Editorial Board
      • Aims and Scope
      • Abstracting and Indexing
      • Bibliographic Information
      • Archive
    • Molecular and Clinical Oncology
      • Information for Authors
      • Editorial Policies
      • Editorial Board
      • Aims and Scope
      • Abstracting and Indexing
      • Bibliographic Information
      • Archive
    • Molecular Medicine Reports
      • Information for Authors
      • Editorial Policies
      • Editorial Board
      • Aims and Scope
      • Abstracting and Indexing
      • Bibliographic Information
      • Archive
    • Oncology Letters
      • Information for Authors
      • Editorial Policies
      • Editorial Board
      • Aims and Scope
      • Abstracting and Indexing
      • Bibliographic Information
      • Archive
    • Oncology Reports
      • Information for Authors
      • Editorial Policies
      • Editorial Board
      • Aims and Scope
      • Abstracting and Indexing
      • Bibliographic Information
      • Archive
    • World Academy of Sciences Journal
      • Information for Authors
      • Editorial Policies
      • Editorial Board
      • Aims and Scope
      • Abstracting and Indexing
      • Bibliographic Information
      • Archive
  • Articles
  • Information
    • For Authors
    • For Reviewers
    • For Librarians
    • For Advertisers
    • Conferences
  • Language Editing
Login Register Submit
  • This site uses cookies
  • You can change your cookie settings at any time by following the instructions in our Cookie Policy. To find out more, you may read our Privacy Policy.

    I agree
Search articles by DOI, keyword, author or affiliation
Search
Advanced Search
presentation
Experimental and Therapeutic Medicine
Join Editorial Board Propose a Special Issue
Print ISSN: 1792-0981 Online ISSN: 1792-1015
Journal Cover
October-2018 Volume 16 Issue 4

Full Size Image

Sign up for eToc alerts
Recommend to Library

Journals

International Journal of Molecular Medicine

International Journal of Molecular Medicine

International Journal of Molecular Medicine is an international journal devoted to molecular mechanisms of human disease.

International Journal of Oncology

International Journal of Oncology

International Journal of Oncology is an international journal devoted to oncology research and cancer treatment.

Molecular Medicine Reports

Molecular Medicine Reports

Covers molecular medicine topics such as pharmacology, pathology, genetics, neuroscience, infectious diseases, molecular cardiology, and molecular surgery.

Oncology Reports

Oncology Reports

Oncology Reports is an international journal devoted to fundamental and applied research in Oncology.

Experimental and Therapeutic Medicine

Experimental and Therapeutic Medicine

Experimental and Therapeutic Medicine is an international journal devoted to laboratory and clinical medicine.

Oncology Letters

Oncology Letters

Oncology Letters is an international journal devoted to Experimental and Clinical Oncology.

Biomedical Reports

Biomedical Reports

Explores a wide range of biological and medical fields, including pharmacology, genetics, microbiology, neuroscience, and molecular cardiology.

Molecular and Clinical Oncology

Molecular and Clinical Oncology

International journal addressing all aspects of oncology research, from tumorigenesis and oncogenes to chemotherapy and metastasis.

World Academy of Sciences Journal

World Academy of Sciences Journal

Multidisciplinary open-access journal spanning biochemistry, genetics, neuroscience, environmental health, and synthetic biology.

International Journal of Functional Nutrition

International Journal of Functional Nutrition

Open-access journal combining biochemistry, pharmacology, immunology, and genetics to advance health through functional nutrition.

International Journal of Epigenetics

International Journal of Epigenetics

Publishes open-access research on using epigenetics to advance understanding and treatment of human disease.

Medicine International

Medicine International

An International Open Access Journal Devoted to General Medicine.

Journal Cover
October-2018 Volume 16 Issue 4

Full Size Image

Sign up for eToc alerts
Recommend to Library

  • Article
  • Citations
    • Cite This Article
    • Download Citation
    • Create Citation Alert
    • Remove Citation Alert
    • Cited By
  • Similar Articles
    • Related Articles (in Spandidos Publications)
    • Similar Articles (Google Scholar)
    • Similar Articles (PubMed)
  • Download PDF
  • Download XML
  • View XML
Article Open Access

Aconitine‑induced cardiac arrhythmia in human induced pluripotent stem cell‑derived cardiomyocytes

  • Authors:
    • Feng Zhang
    • Lin Cai
    • Jing Zhang
    • Xueyan Qi
    • Chengzhi Lu
  • View Affiliations / Copyright

    Affiliations: Department of Cardiology, Tianjin First Central Hospital, Tianjin 300192, P.R. China, Department of Cardiology, Tianjin International Medical Center, Tianjin First Central Hospital, Tianjin 300192, P.R. China
    Copyright: © Zhang et al. This is an open access article distributed under the terms of Creative Commons Attribution License.
  • Pages: 3497-3503
    |
    Published online on: August 22, 2018
       https://doi.org/10.3892/etm.2018.6644
  • Expand metrics +
Metrics: Total Views: 0 (Spandidos Publications: | PMC Statistics: )
Metrics: Total PDF Downloads: 0 (Spandidos Publications: | PMC Statistics: )
Cited By (CrossRef): 0 citations Loading Articles...

This article is mentioned in:



Abstract

Pre‑clinical evaluation of cardiac dysfunction is important for assessing the safety of traditional or novel medicines due to the universality of potential drug‑induced heart failure and irreversible arrhythmia. Aconitine (ACO), a traditionally used anti‑pyretic, analgesic and anti‑rheumatic drug, has been reported to have arrhythmogenic effects. In the present study, the Real‑Time Cellular Analysis Cardio system was applied to evaluate the arrhythmogenic effects of ACO in human induced pluripotent stem cell‑derived cardiomyocytes (hiPSC‑CMs). The results indicated that ACO is capable of increasing the frequency and decreasing the amplitude of hiPSC‑CM contraction in a dose‑ and time‑dependent manner. ACO at 0.25 µM increased the beating rate of hiPSC‑CMs by 3.7‑fold within 30 min, while 3.0 µM of ACO increased the beating rate by 7.3‑fold. The present study also evaluated the potential pro‑apoptotic effects of ACO by using caspase‑3 and caspase‑9 kits. To the best of our knowledge, the present study was the first to record the ACO‑induced cardiac arrhythmia of hiPSC‑CMsin real‑time. The results also indicate that ACO‑induced cell death is mediated, at least in part, by caspase‑dependent apoptotic pathways.

Introduction

Aconitum carmichaelii Debeaux is widely used in traditional Chinese medicine, which has been used in China and other countries for >2,000 years due to its antipyretic, antirheumatic and analgesic activities (1–3). There are 32 prescriptions containing aconitum in the Chinese Pharmacopoeia (4). However, the use of aconitum has been associated with severe cardiovascular toxicities, including tachyarrhythmia and hypotension (5). Aconitine is a key active component of aconitum plants. A recent study has reported that when combined with quercetin, aconitine synergistically inhibited the proliferation of HeLa cells at a wide range of concentrations (6). Identifying the toxic effects of ACO is important for the safe clinical application of aconitum species. The arrhythmogenic effects of ACO include the induction of ventricular tachycardia (VT) and ventricular fibrillation (VF), which result in a high mortality in affected patients (7,8). In isolated sheep heart Purkinje fibers, ACO has been demonstrated to act as a cardiac Na+ channel agonist that opens the Na+ channels during the depolarization/repolarization phase of an action potential, leading to a delayed repolarization and early after-depolarization (7,9). Similar effects of ACO were also obtained with isolated ventricular myocytes of mice, rats and guinea pigs (10). A previous study has reported that L-type calcium channel (LTCC) inhibition is a major mechanism of the arrhythmogenic action of ACO on human cardiomyocytes (5). While the cardiotoxic effect of ACO has been comprehensively documented in animal cardiomyocytes, the effects of ACO in human cardiomyocytes and the underlying mechanisms have remained to be assessed due to the lack of human cardiomyocyte models and suitable methods.

Human induced pluripotent stem cell-derived cardiomyocytes (hiPSC-CMs), which have a high similarity with native human cardiac myocytes in their structure and in function, have provided useful models to help elucidate cardiovascular function and diseases (11,12). HiPSC-CMs have been successfully adopted for modeling various cardiac diseases and for drug testing. A recent scientific breakthrough, namely the development of the Real-Time Cellular Analysis (RTCA) Cardio system, provides a homogeneous population of relatively pure single cells in vitro (13). The RTCA Cardio system allows for the real-time, label-free and non-invasive analysis of cardiomyocyte function. This platform has been used for cardiovascular toxicity screening, drug-induced cardiac contractility evaluation and estimating the risk of drug-induced arrhythmia (14–17).

The present study aimed to monitor the cardiotoxic effects of ACO in hiPSC-CMs by using the RTCA cardio system. It was observed that ACO was capable of triggering arrhythmogenic effects in hiPSC-CMs, as indicated by an increased beating frequency and a decreased amplitude. Such changes were accompanied by dose- and time-dependent intensive temporal profiling and gradually decreased cell index (CI). The potential pro-apoptotic effects of ACO on hiPSC-CMs were also evaluated. The resulting enhanced caspase-3 and caspase-9 activities indicated that ACO-induced cell death was mediated, at least in part, via caspase-dependent apoptotic pathways.

Materials and methods

Reagents and materials

ACO was obtained from Sigma-Aldrich (Merck KGaA, Darmstadt, Germany) and dissolved in dimethyl sulfoxide (DMSO). Fetal bovine serum (FBS) for cell culture was purchased from Invitrogen (Thermo Fisher Scientific, Inc., Waltham, MA, USA). PSCeasy® pluripotent stem cell culture medium (PSCM; cat. no. CA1001500) was provided by Cellapybio (Beijing, China).

Cell culture of hiPSC-CMs

HiPSC-CMs, provided by a domestic manufacturer (cat. no. CA4024106; Cellapybio, Beijing, China), were cultured in fibronectin-coated wells of 96-well plates according to the manufacturer's protocols. In brief, the plates were prepared by coating each well with 50 µl 0.1% gelatin overnight at 4°C. Frozen vials of cells were thawed at 37°C and diluted with pre-warmed PSCM at 500,000 cells/ml. After removing the excess coating solution, 100 µl of the cell suspension (containing 50,000 cells) was added per well. The plates containing cells were kept at room temperature for 30 min and then maintained at 37°C in a humidified incubator containing air with 5% CO2. The culture medium was refreshed daily without disturbing the attached cells.

MTT assay

The cell viability was determined by using the MTT assay. In brief, hiPSC-CMs were seeded into 96-well plates at a density of 50,000 cells/well. The cells were treated with ACO at the concentration of 0.125, 0.25, 0.5, 1, 2, 4, 8 µM or DMSO as a vehicle control (final concentration of DMSO, 0.3%). After incubation for the indicated durations, 20 µl 0.5 mg/ml MTT solution (Sigma-Aldrich; Merck KGaA) was added to each well, followed by further incubation for 4 h. The medium was then removed and the formazan crystals were dissolved in 100 µl DMSO. The absorbance was measured at 570 nm on a microplate reader (Tecan Infinite M1000; Tecan Group, Ltd, Maennedorf, Switzerland). The relative cell viability was expressed as a percentage of the control group.

Functional data recording and analysis

The xCELLigence RTCA Cardio instrument (ACEA Biosciences, Inc., San Diego, CA, USA) was used to monitor the cardiomyocyte contractility. Impedance signals were recorded, from which the CI value was calculated, a measure of relative changes in electric impedance that represents the cell status. Hence, the number of attached cells and their morphology were reflected by the CI value. The E-Plate 96 (ACEA Biosciences, Inc.) was coated with 50 µl 0.1% gelatin overnight at 4°C. The solution was then replaced by 150 µl pre-warmed PSCM and incubated at 37°C for 4 h. The background impedance of the media was determined prior to seeding the cells to ensure that all wells were functional. The software automatically informs the researcher if any connection problems arise. Following harvesting and counting, hiPSC-CMs were seeded onto the plate at a density of 50,000 cells per well. The E-plate was monitored every 15 min on the RTCA Cardio Instrument at 37°C in a 5% CO2 incubator after incubation for 15 min at room temperature for an initial cell adhesion at the bottom of each well. The plate was then incubated in a 5% CO2 incubator at 37°C. Typically, drug treatment was initiated 60–100 h after cell seeding, when the contraction was continuous and stable.

ACO treatment of hiPSC-CMs

ACO was dissolved in dimethyl sulfoxide (DMSO). Once the hiPSC-CMs generated robust and regular beating signals (usually occurring on day 3 after seeding), drug treatment was initiated. The culture medium was replaced with 90 µl fresh PSCM 4 h prior to drug treatment. Subsequently, 90 µl drug solution at the two-fold final concentration (dissolved in PSCM) was added to each well. HiPSC-CMs were treated with ACO at the final concentrations of 0.25, 0.3, 0.5, 1, 1.5, 2, 2.5 and 3 µM or with a vehicle control. The cellular response to the drug treatments was recorded over 20-sec every 5 min in the first 30 min and every 15 min thereafter. After the data acquisition, the RTCA Cardio software1.0 was used to calculate the parameters, including such as the normalized beating rate and amplitude with statistical analysis. Experiments were performed in 6 wells in parallel and repeated three times.

Measurement of the activities of caspase-3 and caspase-9

Caspase-3 and caspase-9 activities in the lysates of cells were determined using the CaspACE™ Assay System (Promega Corp., Madison, WI, USA) and the Caspase-Glo® 9 Assay kit (Promega Corp.) following the manufacturer's instructions. In brief, control- or ACO-treated cells were lysed, incubated on ice for 30 min and then centrifuged at 16,000 × g for 10 min at 4°C. The supernatant fraction was collected. For the colorimetric caspase-3 activity assay, the supernatant was incubated with 200 µM DEVDpNA substrate at 37°C for 4 h and the absorbance was measured at 405 nm using a microplate reader. Caspase-9 activity was measured using a luminescent assay with the samples mixed with the respective aliquot of Caspase-Glo® 9 reagent and incubated for 3 h at room temperature. The luminescence was measured with a plate-reading luminometer (GloMax® Navigator; Promega Corporation, Madison, WI, USA) according to the protocol of the luminometer manufacturer.

Statistical analysis

For data analysis, the cellular impedance index, beating rate and amplitude were measured off-line using RTCA Cardio software 1.0 and normalized for each well to the baseline (pre-dose) values measured prior to the drug treatment. Statistical analysis was performed using SPSS 21.0 software (IBM Corp., Armonk, NY, USA). Values are expressed as the mean ± standard deviation. Statistical significance of differences was estimated by one-way analysis of variance with Tukey-Kramer corrections. Comparisons of continuous variables between two groups were performed using unpaired two-tailed Student's t-tests. Multiple group comparisons were performed using Student-Newman-Keuls following analysis of variance. P<0.05 was considered to indicate a statistically significant difference.

Results

Cultured hiPSC-CMs exhibit a functional cardiomyocyte phenotype on the xCELLigence Cardio platform

Based on previous studies (18), cells were seeded on the E-Plate 96 at 50,000/well. As presented in Fig. 1A and B, after 40 h of culture, the CI reached a stable value of 5.0688±0.1745, which was representative of viable hiPSC-CMs. Spontaneous contraction was observed at ~42 h after and stable contraction was achieved at ~60 h with a beating rate of 72.3±8.941 bpm. Fig. 1C represents the beating rates of different the wells of hiPSC-CMs from the beginning until stable contraction. Typical transient pulse patterns of hiPSC-CMs over a duration of 20 sec is presented in Fig. 1D. Based on these results, the subsequent experiments were performed at 60 h after seeding.

Figure 1.

Growth curve and typical contraction of hiPSC-CMs. (A) Growth curve of hiPSC-CMs. (B) Statistical chart of CI and beating rates of hiPSC-CMs. (C) Beating rates of hiPSC-CMs. (D) Typical transient pulse patterns of the hiPSC-CMs over 20 sec. Values are expressed as the mean ± SD (n=3). hiPSC-CMs, human induced pluripotent stem cell-derived cardiomyocytes; RTCA, real-time cellular analysis; CI, cell index; SD, standard deviation.

Time- and dose-dependent effects of ACO on hiPSC-CMs

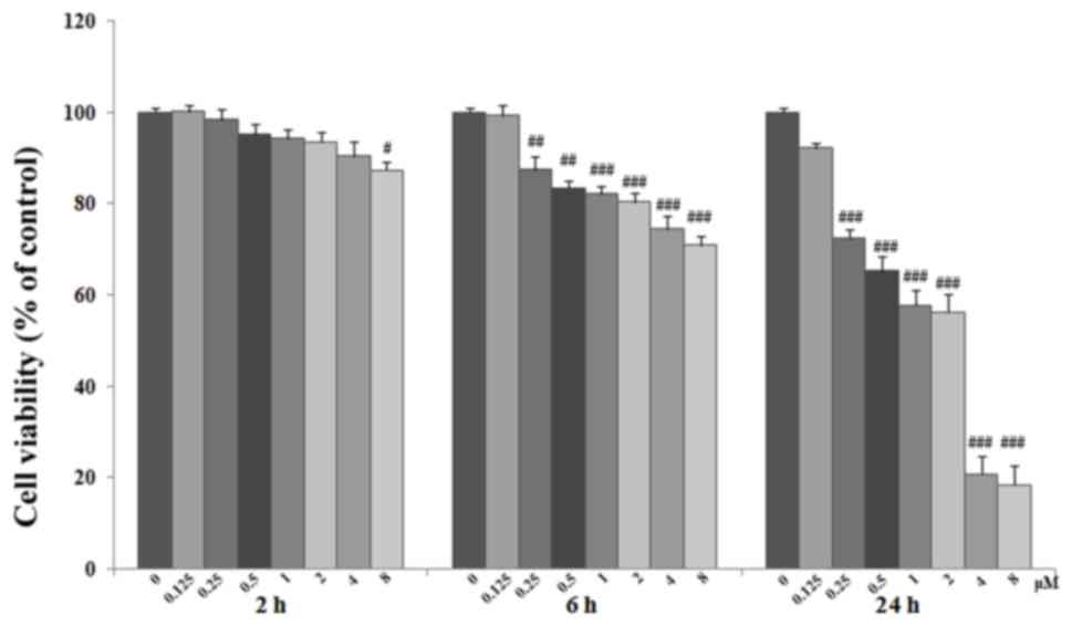
In the clinical setting, ACO induces cell death of cardiomyocyte in certain patients within hours of intravenous administration (19,20). The present study investigated ACO-induced cytotoxicity by an MTT assay. Cells were grown on fibronectin-coated plates and exposed to ACO at 0.125, 0.25, 0.5, 1, 2, 4 or 8 µM for 2, 6 or 24 h. As presented in Fig. 2, exposure to 0.125–4 µM ACO for 2 h only had a marginal effect on the cell viability. However, exposure for longer periods and/or to higher concentrations of ACO induced a dose- and time-dependent decrease in viability compared with that of the control cells (P<0.05 or P<0.01). ACO at 2–4 µM had a significant but not excessive cytotoxic effect. Therefore, ACO was used at the concentrations of 0.25, 0.3, 0.5, 1, 1.5, 2, 2.5 and 3 µM in the subsequent experiments.

Figure 2.

Viability of human induced pluripotent stem cell-derived cardiomyocytes after treatment with ACO at the specified concentrations/durations. The cell viability was assessed by an MTT assay. Values are expressed as the mean ± standard deviation (n=3). #P<0.05, ##P<0.00, ###P<0.001 vs. control group. ACO, aconitine.

Time- and dose-dependent arrhythmogenic effects of ACO on hiPSC-CMs

The clinical use of ACO has been associated with various arrhythmias by affecting the electrophysiological characteristics of cardiomyocytes (5). To gain insight into the electrophysiological effects of ACO, the beating properties of hiPSC-CMs were assessed by using the xCELLigence Cardio platform. At 85 h after seeding, when the cardiomyocyte contraction was continuous and stable, ACO at the concentration of 0.25, 0.3, 0.5, 1, 1.5, 2, 2.5 or 3 µM was added to the hiPSC-CMs. As presented in Fig. 3A, the spontaneous beating rate of hiPSC-CMs was rapidly increased by ACO. All concentrations of ACO were capable of markedly enhancing the beating rate, and the effect of ACO was time- and dose-dependent. ACO at 0.25 µM increased the beating rate of hiPSC-CMs by 3.7-fold within 30 min, while 3.0 µM ACO increased the beating rate by 7.3-fold. As presented in Fig. 3B, amplitudes of hiPSC-CMs were reduced in parallel with the increase of the beating rates. A reduction of the CI was also observed within 6 h culture. In comparison with the control group, ACO treatment induced a time- and dose-dependent decrease in cell viability as shown by the cell index (Fig. 3C). ACO at 3.0 µM significantly decreased the CI after 3 h of incubation, while low concentrations of ACO (0.25, 0.3, 0.5, 1.0, 1.5, and 2.0 µM) also significantly decreased the CI within 4 h (P<0.001). Of note, after 6 h of incubation, 3.0 µM ACO reduced the cell index by 27.2% (P<0.001).

Figure 3.

Dose effects of ACO on the hiPSC-CMs at the specified concentrations. (A) Effect of ACO on the beating rate of hiPSC-CMs. (B) Effect of ACO on the amplitude of hiPSC-CMs. (C) Cell index fluctuation of hiPSC-CMs in the presence of various doses of ACO. Values are expressed as the mean ± standard deviation (n=3). ###P<0.001 vs. control group. ACO, aconitine; hiPSC-CMs, human induced pluripotent stem cell-derived cardiomyocytes; Cont, control.

Effects of ACO on the typical temporal profiling and beating rates of hiPSC-CMs

The transient pulse patterns of hiPSC-CMs treated with various doses of ACO were then assessed. Fig. 4A presents typical temporal profiles at 5 time-points prior to and after ACO treatment. ACO had time- and dose-dependent stimulatory effects on the beating pattern of hiPSC-CMs. Accelerated beating patterns were observed with all concentrations of ACO immediately after addition of the drug. Of note, 3.0 µM ACO caused a serious disorder within 5 min, followed by an intense temporal profiling and relative low amplitude, which may be associated with lethal cardiac arrhythmias. Furthermore, the intensive beating patterns were gradually further compressed as time went on. The beating rate of hiPSC-CMs after 30 min of ACO treatment is presented in Fig. 4B.

Figure 4.

Effects of ACO on the typical temporal profiling and beating rates of hiPSC-CMs. (A) The transient pulse patterns of hiPSC-CMs treated with various doses of ACO; (B) The beating rate of hiPSC-CMs after 30 min of treatment with various doses of ACO. Values are expressed as the mean ± standard deviation (n=3). ###P<0.001 vs. control group. ACO, aconitine; hiPSC-CMs, human induced pluripotent stem cell-derived cardiomyocytes; Cont, control.

Effects of ACO on caspase-dependent apoptosis of hiPSC-CMs

The activation of caspase is a unique feature of apoptotic cell death. In order to investigate whether ACO-induced cytotoxicity is associated with caspase-dependent apoptosis, the activities of caspase-3 and caspase-9 were analyzed using assay kits. hiPSC-CMs were grown onto fibronectin-coated plates and exposed to 3.0 µM ACO, which was selected according to the aforementioned results. The activities of caspase-3 and caspase-9 were detected at different time-points. As presented in Fig. 5, ACO treatment resulted in a time-dependent increase in caspase-3 and caspase-9 activities after 4–6 h of treatment when compared with those in the control group.

Figure 5.

Effect of ACO on the apoptosis of hiPSC-CMs. hiPSC-CMs were incubated with ACO (3.0 µM) for different durations. (A) Caspase-3 and (B) caspase-9 were measured to determine the apoptosis of hiPSC-CMs. Values are expressed as the mean ± standard deviation (n=3). #P<0.05, ##P<0.00, ###P<0.001 vs. control group.

Discussion

Along with the extensive use of aconitum, the cardiotoxic effect of ACO has received increasing attention (7). Studies have reported that ACO is capable of inducing VT and VF by opening the Na+ channels of isolated cardiac myocytes from mice, rats, guinea pigs and rabbits (21). In addition, ACO-induced LTCC inhibition has been reported (5,22). In the present study, the RTCA Cardio system was applied, which is able to monitor the contractility of cardiomyocyte in real-time, to evaluate the arrhythmogenic effects of ACO in hiPSC-CMs. The results indicate that ACO is capable of triggering arrhythmogenic effects in hiPSC-derived cardiomyocytes in a dose- and time-dependent manner. Furthermore, the results suggested that ACO-induced cardiomyocyte death is mediated, at least in part, by inducing apoptosis. Overall, these results are in agreement with those of previous studies from cellular and human biopsy studies demonstrating ACO-induced cardiotoxicity (7,9,22).

Due to the high incidence of drug-induced heart failure and irreversible arrhythmia, the pre-clinical evaluation of the cardiotoxicity of drugs is important (23). However, efficient approaches to evaluate the cardiotoxicity of traditional or novel treatments have been lacking. The development of drug evaluation systems remains difficult due to the lack of human cardiomyocyte models and suitable methods. HiPSC-CMs, which have predefined contractile characteristics of native cardiomyocytes, a genetically relevant background and the scope of serving as a model of relevant cardiac disease phenotypes, have provided an opportunity for pre-clinical drug evaluation (14,24). More importantly, hiPSC-CMs also have stable electrophysiological and contractile characteristics, which allows for a wide range of applications, including drug discovery, toxicity testing and cardiac disease research (12,25). A sensitive tool with accurate recording capacity is also required, since most of the previous techniques only defined end-point measurements, for example MTT assays and flow cytometry, which can be performed at specific time points but not continuous. The impedance-based system RTCA has provided an opportunity to reassign a variety of assays, including pre-clinical drug evaluation, compound validation, monitoring of compound effects and exploration of cardiac disease models (13,15). The RTCA Cardio system has provided a more sensitive tool to detect potential cardiac side effects when compared to cytotoxicity assays using the H9C2 cell line. Furthermore, the sensitive label-free assay made it possible to detect the regular beating pattern of cardiomyocytes under physiological or pathological conditions. The RTCA Cardio system uses regular beating patterns to reflect the detailed beating status and to assess the beating activities of cardiomyocytes, which are diverse and comprehensive (16,26). To analyze the detailed beating status, multiple parameters require assessment. Thus, in the present study, using the RTCA Cardio system, the dose and time responses to ACO were characterized by four parameters, including the CI, beating rate, amplitude and beating pattern in hiPSC-CMs. Compared to the H9C2 cell line, the spontaneous rhythm of the hiPSC-CMs tended to be more consistent and less irregular after cultivation for a certain duration.

The present results illustrated that ACO has time- and dose-dependent stimulatory effects on the beating pattern of hiPSC-CMs. The spontaneous beating rates of hiPSC-CMs were rapidly increased by ACO. At all concentrations (0.25, 0.3, 0.5, 1, 1.5, 2, 2.5 and 3.0 µM), ACO was capable of markedly enhancing the beating rate. Accelerated beating patterns were observed immediately upon addition of the drug. Of note, 3.0 µM ACO caused an intensive temporal profiling and relative low amplitude, which may be associated with lethal cardiac arrhythmias. Furthermore, the intensive beating patterns were gradually further compressed as time went on. ACO at 0.25 µM increased the beating rate of hiPSC-CMs by 3.7-fold within 30 min, while 3.0 µM of ACO increased the beating rate by 7.3-fold when compared with the control group. The resulting rapid collapse of the beating pattern due to excessive acceleration indicated that ACO exerts a significant stimulatory effect on cardiac contraction. The amplitudes of the beating of the hiPSC-CMs were reduced in parallel with the increase of the beating rates. A reduction of the CI and cell viability was also observed within 6 h of incubation with ACO. In comparison with the control group, ACO treatment induced a time- and dose-dependent decrease in cell viability and CI. Treatment with ACO at 3.0 µM significantly decreased the CI at 3 h, while low concentrations of ACO (0.25, 0.5, 1 and 2.0 µM) also significantly decreased the CI within 4 h.

Irreversible cell death, which includes apoptosis and necrosis, is another aspect of ACO-induced cardiotoxicity. Apoptosis (programmed cell death), which may be activated by a caspase-dependent or -independent pathway, is one of the crucial factors for cardiomyocyte loss. In order to investigate whether the ACO-induced cytotoxicity is associated with caspase-dependent cell apoptosis, the activities of caspase-3 and caspase-9 were analyzed with specific assay kits. ACO caused a significant increase in caspase-3 and caspase-9 activities after 4 and 6 h of treatment when compared with those in the control group. These results suggest that the ACO-induced cell death is mediated, at least in part, by caspase-dependent cardiomyocyte apoptosis. However, necrosis, involving swelling of mitochondria, irreversible damage to cellular membranes, potentially includes in ACO-induced cell death (27). The cytotoxicity of ACO on the hiPSC-CMs was evident at dose as low as 0.25 µM. The present results support the use of the hiPSC-derived cardiomyocytes as a human cellular model to assess the potential cardiotoxicity of pharmaceutical agents.

In conclusion, the present study suggested that ACO dose- and time-dependently induced arrhythmia and cardiotoxicity. An experimental in vitro cell model to mimic regular cardiac contraction was explored as a tool to provide the novel insight into the cardiac safety of ACO in vitro. More importantly, the present study introduced an efficient and effective approach to evaluate the potential cardiac risk of the tested compounds.

Acknowledgements

Not applicable.

Funding

No funding was received.

Availability of data and materials

The datasets used and/or analyzed during the current study are available from the corresponding author on reasonable request.

Authors' contributions

FZ and LC conducted the study. JZ and FZ designed the experiments. XQ, FZ and CL performed experiments, and collected and analyzed the data. All authors commented on the study and approved the final manuscript.

Ethics approval and consent to participate

Not applicable.

Patient consent for publication

Not applicable.

Competing interests

The authors declare that they have no competing interests.

Glossary

Abbreviations

Abbreviations:

CMs

cardiomyocytes

RTCA

real-time cell analysis system

hiPSC-CMs

human induced pluripotent stem cell-derived cardiomyocytes

CI

cell index

References

1 

Park G, Kim KM, Choi S and Oh DS: Aconitum carmichaelii protects against acetaminophen-induced hepatotoxicity via B-cell lymphoma-2 protein-mediated inhibition of mitochondrial dysfunction. Environ Toxicol Pharmacol. 42:218–225. 2016. View Article : Google Scholar : PubMed/NCBI

2 

Li X, Gu L, Yang L, Zhang D and Shen J: Aconitine: A potential novel treatment for systemic lupus erythematosus. J Pharmacol Sci. 133:115–121. 2017. View Article : Google Scholar : PubMed/NCBI

3 

Luo JX, Zhang Y, Hu XY, Chen G, Liu XY, Nie HM, Liu JL and Wen DC: Aqueous extract from Aconitum carmichaelii Debeaux reduces liver injury in rats via regulation of HMGB1/TLR4/NF-KB/caspase-3 and PCNA signaling pathways. J Ethnopharmacol. 183:187–192. 2016. View Article : Google Scholar : PubMed/NCBI

4 

National Pharmacopoeia Committee, . Pharmacopoeia of People's Republic of China [M]. Part 2Beijing: Chemical Industry Press; 2015

5 

Zhou YH, Piao XM, Liu X, Liang HH, Wang LM, Xiong XH, Wang L, Lu YJ and Shan HL: Arrhythmogenesis toxicity of aconitine is related to intracellular ca(2+) signals. Int J Med Sci. 10:1242–1249. 2013. View Article : Google Scholar : PubMed/NCBI

6 

Li XM, Liu J, Pan FF, Shi DD, Wen ZG and Yang PL: Quercetin and aconitine synergistically induces the human cervical carcinoma HeLa cell apoptosis via endoplasmic reticulum (ER) stress pathway. PLoS One. 13:e01910622018. View Article : Google Scholar : PubMed/NCBI

7 

Oredipe OA and Stohs SJ: Effects of lithium on time to onset of aconitine-induced initial arrhythmia and ventricular tachycardia. Arch Int Pharmacodyn Ther. 240:249–256. 1979.PubMed/NCBI

8 

Tak S, Lakhotia M, Gupta A, Sagar A, Bohra G and Bajari R: Aconite poisoning with arrhythmia and shock. Indian Heart J. 68 Suppl 2:S207–S209. 2016. View Article : Google Scholar : PubMed/NCBI

9 

Imanaga I: Effects of some ions and drugs on the aconitine-induced fibrillation of the Purkinje fibers. Jpn Circ J. 31:1819–1831. 1967. View Article : Google Scholar : PubMed/NCBI

10 

Wangchuk P, Navarro S, Shepherd C, Keller PA, Pyne SG and Loukas A: Diterpenoid alkaloids of Aconitum laciniatum and mitigation of inflammation by 14-O-acetylneoline in a murine model of ulcerative colitis. Sci Rep. 5:128452015. View Article : Google Scholar : PubMed/NCBI

11 

Guo L, Eldridge S, Furniss M, Mussio J and Davis M: Use of human induced pluripotent stem cell-derived cardiomyocytes (hiPSC-CMs) to monitor compound effects on cardiac myocyte signaling pathways. Curr Protoc Chem Biol. 7:141–185. 2015. View Article : Google Scholar : PubMed/NCBI

12 

Scott CW, Zhang X, Abi-Gerges N, Lamore SD, Abassi YA and Peters MF: An impedance-based cellular assay using human iPSC-derived cardiomyocytes to quantify modulators of cardiac contractility. Toxicol Sci. 142:331–338. 2014. View Article : Google Scholar : PubMed/NCBI

13 

Wang T, Hu N, Cao J, Wu J, Su K and Wang P: A cardiomyocyte-based biosensor for antiarrhythmic drug evaluation by simultaneously monitoring cell growth and beating. Biosens Bioelectron. 49:9–13. 2013. View Article : Google Scholar : PubMed/NCBI

14 

Yu Y, Sun S, Wang S, Zhang Q, Li M, Lan F, Li S and Liu C: Liensinine- and Neferine-induced cardiotoxicity in primary neonatal rat cardiomyocytes and Human-induced pluripotent stem Cell-derived cardiomyocytes. Int J Mol Sci. 17(pii): E1862016. View Article : Google Scholar : PubMed/NCBI

15 

Peters MF, Scott CW, Ochalski R and Dragan YP: Evaluation of cellular impedance measures of cardiomyocyte cultures for drug screening applications. Assay Drug Dev Technol. 10:525–532. 2012. View Article : Google Scholar : PubMed/NCBI

16 

Abassi YA, Xi B, Li N, Ouyang W, Seiler A, Watzele M, Kettenhofen R, Bohlen H, Ehlich A, Kolossov E, et al: Dynamic monitoring of beating periodicity of stem cell-derived cardiomyocytes as a predictive tool for preclinical safety assessment. Br J Pharmacol. 165:1424–1441. 2012. View Article : Google Scholar : PubMed/NCBI

17 

Gepstein L, Ding C, Rahmutula D, Wilson EE, Yankelson L, Caspi O, Gepstein A, Huber I and Olgin JE: In vivo assessment of the electrophysiological integration and arrhythmogenic risk of myocardial cell transplantation strategies. Stem Cells. 28:2151–2161. 2010. View Article : Google Scholar : PubMed/NCBI

18 

Kho D, MacDonald C, Johnson R, Unsworth CP, O'Carroll SJ, du Mez E, Angel CE and Graham ES: Application of xCELLigence RTCA biosensor technology for revealing the profile and window of drug responsiveness in real time. Biosensors (Basel). 5:199–222. 2015. View Article : Google Scholar : PubMed/NCBI

19 

Mingxia Y: Analysis on the treatment of ventricular arrhythmia caused by aconitine poisoning. China Health Industry. 11:143–144. 2014.(In Chinese).

20 

Ping W: To investigate the quantity-effect-toxicity relationship of aconitine transdermal drug delivery. Pharmacol Clinics Chin Materia Med. 29:53–56. 2013.(In Chinese).

21 

Chan TY: Aconitum alkaloid poisoning because of contamination of herbs by aconite roots. Phytother Res. 30:3–8. 2016. View Article : Google Scholar : PubMed/NCBI

22 

Wu J, Wang X, Chung YY, Koh CH, Liu Z, Guo H, Yuan Q, Wang C, Su S and Wei H: L-type calcium channel inhibition contributes to the proarrhythmic effects of aconitine in human cardiomyocytes. PLoS One. 12:e01684352017. View Article : Google Scholar : PubMed/NCBI

23 

Zhao Q, Wang X, Wang S, Song Z, Wang J and Ma J: Cardiotoxicity evaluation using human embryonic stem cells and induced pluripotent stem cell-derived cardiomyocytes. Stem Cell Res Ther. 8:542017. View Article : Google Scholar : PubMed/NCBI

24 

Jonsson MK, Wang QD and Becker B: Impedance-based detection of beating rhythm and proarrhythmic effects of compounds on stem cell-derived cardiomyocytes. Assay Drug Dev Technol. 9:589–599. 2011. View Article : Google Scholar : PubMed/NCBI

25 

Eldridge S, Guo L, Mussio J, Furniss M, Hamre J III and Davis M: Examining the protective role of ErbB2 modulation in human-induced pluripotent stem cell-derived cardiomyocytes. Toxicol Sci. 141:547–559. 2014. View Article : Google Scholar : PubMed/NCBI

26 

Xi B, Wang T, Li N, Ouyang W, Zhang W, Wu J, Xu X, Wang X and Abassi YA: Functional cardiotoxicity profiling and screening using the xCELLigence RTCA Cardio System. J Lab Autom. 16:415–421. 2011. View Article : Google Scholar : PubMed/NCBI

27 

Fulda S: Alternative cell death pathways and cell metabolism. Int J Cell Biol. 2013:4636372013. View Article : Google Scholar : PubMed/NCBI

Related Articles

  • Abstract
  • View
  • Download
  • Twitter
Copy and paste a formatted citation
Spandidos Publications style
Zhang F, Cai L, Zhang J, Qi X and Lu C: Aconitine‑induced cardiac arrhythmia in human induced pluripotent stem cell‑derived cardiomyocytes. Exp Ther Med 16: 3497-3503, 2018.
APA
Zhang, F., Cai, L., Zhang, J., Qi, X., & Lu, C. (2018). Aconitine‑induced cardiac arrhythmia in human induced pluripotent stem cell‑derived cardiomyocytes. Experimental and Therapeutic Medicine, 16, 3497-3503. https://doi.org/10.3892/etm.2018.6644
MLA
Zhang, F., Cai, L., Zhang, J., Qi, X., Lu, C."Aconitine‑induced cardiac arrhythmia in human induced pluripotent stem cell‑derived cardiomyocytes". Experimental and Therapeutic Medicine 16.4 (2018): 3497-3503.
Chicago
Zhang, F., Cai, L., Zhang, J., Qi, X., Lu, C."Aconitine‑induced cardiac arrhythmia in human induced pluripotent stem cell‑derived cardiomyocytes". Experimental and Therapeutic Medicine 16, no. 4 (2018): 3497-3503. https://doi.org/10.3892/etm.2018.6644
Copy and paste a formatted citation
x
Spandidos Publications style
Zhang F, Cai L, Zhang J, Qi X and Lu C: Aconitine‑induced cardiac arrhythmia in human induced pluripotent stem cell‑derived cardiomyocytes. Exp Ther Med 16: 3497-3503, 2018.
APA
Zhang, F., Cai, L., Zhang, J., Qi, X., & Lu, C. (2018). Aconitine‑induced cardiac arrhythmia in human induced pluripotent stem cell‑derived cardiomyocytes. Experimental and Therapeutic Medicine, 16, 3497-3503. https://doi.org/10.3892/etm.2018.6644
MLA
Zhang, F., Cai, L., Zhang, J., Qi, X., Lu, C."Aconitine‑induced cardiac arrhythmia in human induced pluripotent stem cell‑derived cardiomyocytes". Experimental and Therapeutic Medicine 16.4 (2018): 3497-3503.
Chicago
Zhang, F., Cai, L., Zhang, J., Qi, X., Lu, C."Aconitine‑induced cardiac arrhythmia in human induced pluripotent stem cell‑derived cardiomyocytes". Experimental and Therapeutic Medicine 16, no. 4 (2018): 3497-3503. https://doi.org/10.3892/etm.2018.6644
Follow us
  • Twitter
  • LinkedIn
  • Facebook
About
  • Spandidos Publications
  • Careers
  • Cookie Policy
  • Privacy Policy
How can we help?
  • Help
  • Live Chat
  • Contact
  • Email to our Support Team